Abstract
Background/Objectives: This study analyzes the database of the National Alzheimer’s Coordinating Center (NACC) to examine the correlation between the age of onset and the prevalence of cognitive impairment with the number of subjects carrying APOE4 alleles. The research also evaluates the interaction of race and gender in the effect of APOE4 on cognition and age of onset to determine whether the findings support or refute the Nigerian paradox. This paradox refers to the observed resistance of Nigerians to the increasing prevalence of cognitive impairment associated with a higher APOE4 count. Methods: The NACC67 dataset consists of 195,196 rows and 1024 columns, yielding data from 40,210 individual subjects, including information on race, gender, APOE alleles, and cognitive impairment. Among these subjects, 24,673 had recorded data on the age when cognitive decline was first observed. Logistic regression, Chi-square tests, and ANOVA analyses were performed to explore these relationships. The hypotheses tested were as follows: (1) that the APOE4 count is associated with both the prevalence and earlier onset of cognitive impairment and (2) whether the Nigerian paradox (a resistance to APOE4-associated cognitive impairment) could be observed in racial groups represented in the NACC dataset. Results: The results showed a significant positive association between cognitive impairment and the APOE4 count. A logistic regression analysis assessed potential interactions between race or gender and the relationship between the APOE4 count, cognitive impairment prevalence, and the age of onset. No significant interactions were observed among White, Black, Asian, and “Other” racial groups. Across all racial groups except for Pacific Islanders, an increase in APOE4 count was associated with an earlier onset of cognitive impairment and a higher prevalence of the condition. A statistically significant correlation between APOE4 count and age of onset was found only in Black and White individuals. The female gender, the White race, and a higher APOE4 count were associated with a greater prevalence of cognitive impairment and an earlier onset. However, gender and race did not significantly modify the effect of the APOE4 count on cognitive impairment. Conclusions: These findings do not support the Nigerian paradox in White, Black, Asian, and “Other” racial groups, comprising a total of 39,660 subjects. The association between APOE4 and the age of cognitive decline remained consistent across gender and racial groups.
1. Introduction
Alzheimer’s disease (AD) is a constellation of clinical findings characterized primarily by a loss of cognitive function. Excluding the known autosomal dominant causes of AD, apolipoprotein E4 is the strongest genetic predictor of Alzheimer’s disease known [1,2]. However, some groups, such as Nigerians in Africa, Hispanics, and Black people in the United States, reportedly do not have this increased risk of AD with APOE4 (e4). This lack of association between APOE4 and AD has been termed “The Nigerian Paradox” [3]. The female gender has been reported to enhance e4-associated risk [4]. We propose to analyze the NACC database for gender differences and support or refute this Nigerian paradox for all races listed in this database. Given that earlier studies of the Nigerian paradox [5,6] relied on small and now-dated datasets, we sought to revisit this important question using the large and up-to-date NACC dataset. Our goal was to rigorously assess whether the paradox holds across diverse racial and age groups in subjects across different ethnicities and racial diversity.
1.1. Race and Ethnicity
Race and ethnicity are social constructs based on phenotypes. Race and ethnicity evolve. Over short time scales of a few years, they appear static and can be used as a proxy for genetics and lifestyle [7]. But over a longer time scale of centuries, there is a mixing and resorting of genetic makeup and ethnic lifestyle into new races and ethnicities [8]. Lifestyle differences between races and ethnicities change over time and place. Factors associated with AD development can modify each other’s effects. Genetic makeup cannot be changed easily, leaving only lifestyle modification and medical intervention to decrease the probability of developing AD. Lifestyle modification encompasses the environment, all physical and mental activity, and everything consumed, such as food, liquids, drugs, inhalants, or other intake.
1.2. Nigerian Paradox
There is usually a strong association between APOE4 and the more frequent and earlier onset of AD in all races and ethnicities [9]. The original paper reporting the Nigerian paradox involved a total of 56 patients with an APOE analysis and 17 patients with dementia, 12 of whom were diagnosed with AD. The group with dementia was reported to have 17.6 percent with at least one APOE4 allele, and the non-demented group had 20.5 percent with at least one APOE4 allele, leading to the idea of the ‘Nigerian paradox’. Of the 12 AD patients, 6 had an e4 allele, and one had 2 e4 alleles for a gross total of 58.3 percent of the AD patients having at least one e4 allele [3]. This is, as expected, not a paradox. More data were needed. The count of APOE4 alleles is associated with dementia in most Hispanic studies, but there appears to be a Nigerian paradox in the Mestizo population of Mexico [10]. This variation in the association of APOE4 and AD supports the idea that the negative effect of APOE4 on dementia may be altered.
1.3. ApolipoproteinE (APOE)
APOE is an apolipoprotein. Apolipoproteins mainly solubilize fats and transport them to receptors in and around cells, but they also bind to other things, including amyloid beta . There are three common alleles of ApoE, 2, 3, and 4. The E3 and E2 alleles are recent evolutionary changes. E4 is the oldest and most thrifty for survival in times of food shortages, but it is associated with an increased risk of vascular disease and AD. There are many rare variants of the APOE. Some, such as the Christchurch and Jacksonville APOE3 variants, may protect against AD [2,11,12]. Approximately 220,000 years ago, a cysteine substitution for arginine occurred at amino acid 112 (Cys112Arg) of the apolipoprotein, encoded by the E3 allele. Moreover, 80,000 years ago, another substitution of arginine for cysteine at amino acid 158 (Cys158Arg) of the apolipoprotein coded by the APOE3 gene created the E2 allele [1]. The E2 allele is associated with a lower risk of AD, but it can cause Type III hyperlipidemia and an increased risk of lobar hemorrhage [13,14]. The association between the APOE4 allele and AD appears weaker in some groups. In the absence of E4, Hispanics/Latinos and African Americans had 2.2 and 5.7 times the rate of developing Alzheimer’s disease compared to non-Hispanic whites, but rates were similar in the presence of two e4 alleles [15]. The APOE4 allele has an even stronger effect in East Asian populations, with Japanese populations having 33 times the odds compared to other populations. Caucasians who were homozygous for the allele had 12.5 times the chances of developing AD [2]. Hispanics have much lower rates of APOE4 than non-Hispanic Whites, but a higher rate of AD and 7-year- earlier onset. The biomarkers that predict the progression from normal cognition to mild cognitive impairment (MCI) and dementia are different between Hispanics and non-Hispanic Whites [16].
Genetics plays a central role in AD, but most cases are sporadic late-onset AD (LOAD). Autosomal dominant familial AD is rare and usually early-onset (EOAD), occurring before age 60. EOAD ranges from 1 to of all AD cases. The most common non-autosomal dominant genetic risk factor for (sporadic) late-onset AD (LOAD) is the APOE4 allele. There are three common and other less common autosomal dominant gene variations associated with AD (AD1, PSEN1, and PSEN2). PSEN1 and PSEN2 are mutations in the code for gamma-secretase subunits that lead to incorrect cleavage of the amyloid precursor protein (APP). AD1 is on Chromosome 21 in the APP coding region and encodes the amyloid precursor protein [1,17].
Genetic variations associated with a decrease in the effect of APOE4 on cognition are found, but their frequency is unknown. So, the effects of APOE4 on CI are nuanced and not deterministic [18]. These rare protective genetic variations are being exploited in new therapies [19]. To guide personalized medicine (precision medicine), our previous work evaluated the association of critical biomarkers with cognitive status [20]. To aid this effort, we also evaluated the efficacy of various machine learning models in predicting cognitive status [21].
Given the known importance of APOE genetic variants in the development of AD, this study aims to evaluate the effects of the APOE4 gene on the prevalence of CI and the age of onset of cognitive decline for all races and genders in the NACC67 database. Through our analysis, we will accept or reject the Nigerian paradox for particular racial groups and genders in the NACC67 database.
2. Materials and Methods
2.1. Clinical Data Set
The September 2024 NACC data freeze, request ID #13390, was downloaded on 31 October 2024. This analysis used data from 46 Alzheimer’s disease research centers (ADRCs). This database comprised 192,094 rows and 1024 columns of data, which included multiple repetitions for some patients. The following data was processed initially using Excel: Version 16.89.1 (24091630) and then using Jupyter Notebook 7 [22]. The 195,196 rows were sorted in descending order according to the NACCAPOE values. Then, the 26,693 NACCAPOE = 9 with no APOE data were removed, leaving 168,503 rows. The NACCAPOE values represent the following alleles: 1 = E3, E3, 2 = E3, E4, 3 = E3, E2, 4 = E4, E4, 5 = E4, E2, 6 = E2, E2, and 9 = Missing/unknown/not assessed. The remaining data were sorted in descending order by the NACCUDSD column: NACCUDSD 0 = normal, 1 = impaired but not MCI (mild cognitive impairment), 3 = MCI, and 4 = dementia. Data were obtained from 40,210 individual subjects, including information on race, gender, APOE alleles, and cognitive impairment. Among these subjects, 24,673 had recorded data on their age when cognitive decline was first observed. The age distribution in our dataset (N = 24,673) is centered around a mean of 69.1 years (SD = 11.0), with ages ranging from 15 to 107 years; the interquartile range spans from 62 to 77 years, and the median age is 70. The remove-duplicates function was used to remove duplicates from the remaining data based on the NACCID column, which is unique to each patient. This selected rows for each patient with the greatest cognitive impairment, leaving 40,210 patients. A new column was created, cognitive impairment, defining NACCUDSD = 1 or 2 as “no cognitive impairment” = 0 or NACCUDSD = 3 or 4 as “Cognitively Impaired (CI)” = 1. Another column was created, E4 count, showing the number of E4 alleles for each individual. NACCAPOE = 1, 3, and 6 had E4 count = 0; NACCAPOE = 2 and 5 had E4 count = 1; and NACCAPOE = 4 had E4 count = 2, according to the number of E4 alleles. These data are summarized in Table 1, which includes the percentage of cognitively impaired patients.
Table 1.
The number of subjects in each E4 count and race group and the percentage of cognitively impaired patients for each (E4 count, race) group.
The following is from the NACC Handbook: Using NACC data for incidence and prevalence rates NACC data is not suitable for analyzing the dementia incidence or prevalence at a city, state, or national level. This is because the sample is not population-based. Recruitment protocols differ by center; depending on the ADRC, subjects may or may not have been randomly selected. Therefore, the NACC data are best viewed as a case series, and caution should be exercised when developing research aims surrounding the NACC data and interpreting the results [23].
In Table 2, we calculated allele frequencies from observed genotype counts and used them to compute expected genotype frequencies under HWE assumptions. We then applied the Chi-squared goodness-of-fit test with 1 degree of freedom, since the allele frequency is estimated from the data. The resulting p-value from the current dataset indicates whether the observed distribution conforms to the HWE expectations. Table 3, shows the proportion with CI for each E4 count and race group.
Table 2.
Chi-square tests of HWE by race: observed vs. expected counts of CI for E4 = 0, 1, 2.
Table 3.
Proportion with cognitive impairment by race and E4 count.
2.2. Statistical Analysis
Chi-square and logistic regression analyses were used to evaluate the effect of the E4 count on cognitive impairment (CI) for each race individually. The interaction of race or gender with the effect of E4 count on CI was analyzed using a logistic regression analysis. An ANOVA was used to assess the interaction of race and gender with the effect of the E4 count on the age of onset of CI.
2.2.1. Logistic Regression
Logistic regression was chosen to assess the relationship between the E4 genotype and the probability of cognitive impairment (CI) because it is well suited to modeling monotonic linear relationships. Logistic regression was used to assess the effect of the E4 count on the prevalence of CI for each race. For all logistic regression models, unless otherwise mentioned, lasso regularization (L1) with moderate strength (C = 1) was selected, and the models were evaluated by random sampling 25% of the training set with 5 repetitions.
2.2.2. Chi-Square
The Chi-square test was used to assess the dependence between the E4 genotype and the presence of CI because it is a non-parametric test that assesses whether there is a significant association between categorical variables. This test is particularly suitable here, as it allows us to determine whether the distribution of CI status differs significantly across different E4 genotype categories without requiring assumptions about the underlying distribution of the data.
2.2.3. ANOVA
An ANOVA (analysis of variance) was used to evaluate differences in the age of onset of CI between multiple groups defined by E4 count and race or gender because it is a robust method to compare means between more than two groups. A two-way ANOVA is suitable here to assess whether there is a statistically significant interaction between race or gender in the effect of the E4 count on the age of onset of CI.
3. Results
In general, increasing the E4 count was associated with an increased prevalence of cognitive impairment, as Figure 1 shows, and an earlier age of onset of declining cognition; see Figure 2. For this database, evaluations for the effects of race and gender on CI are meaningless since the database does not represent the population as a whole. The prevalence of CI for a given race or gender does not necessarily reflect the population as a whole. The data is heavily skewed with very few Pacific Islanders, American Indians, Others, and Unknowns, not to mention the ambiguity of some of these less-well-represented races. However, with Mendelian randomization, the APOE allele status was used as a population reference. All races showed a higher prevalence of CI with an increase in the E4 count, except Pacific Islanders from the E4 count = 1 to the E4 count = 2, which involved only two subjects (Figure 3). Figure 7 shows that gender did not affect this to a significant degree.
Figure 1.
Overall association between E4 count and CI using Chi-square test. Blue represents the absence of cognitive impairment (CI = 0), and red represents the presence of cognitive impairment (CI = 1). Chi-squared statistics for the test of independence and corresponding p-values are given below the diagram. The test shows a significant association between the E4 count and CI.
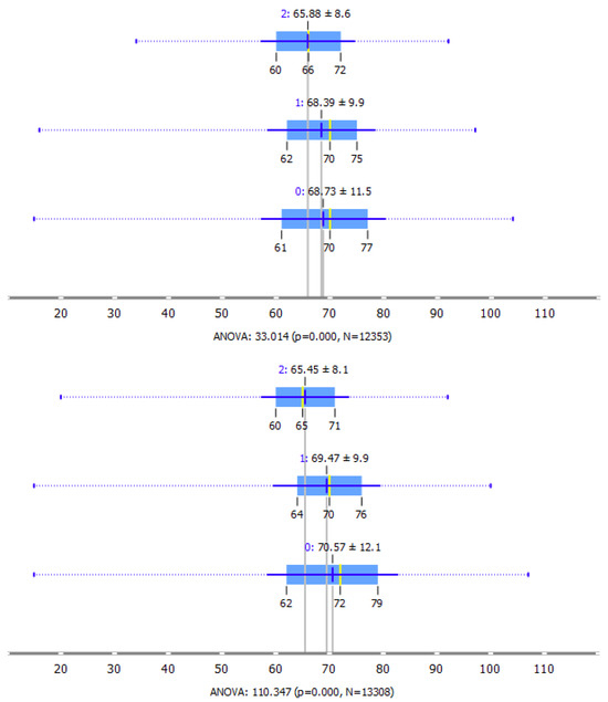
Figure 2.
ANOVA of E4 count vs. age of onset. An ANOVA of age at the onset of cognitive impairment by APOE-E4 allele count. Boxplots show the median (yellow line), interquartile range (blue box), and 5th–95th percentile whiskers for E4 counts of 0 (bottom), 1 (middle), and 2 (top). Each group’s mean ± SD is annotated above its box: 69.67 ± 11.8 years (E4 = 0, N = 25,661), 68.97 ± 9.9 years (E4 = 1), and 65.66 ± 8.3 years (E4 = 2). Vertical gray lines mark the overall median, and the ANOVA test (F = 131.776, p < 0.001) confirms a significant dose-dependent decrease in the age of onset with an increasing E4 count.
Figure 3.
Prevalence of cognitive impairment for each E4 count by race.
Table 4 shows the results of a logistic regression analysis examining the association between the APOE-E4 allele count and cognitive impairment. A strong, statistically significant relationship was observed (likelihood ratio = 1144.89, p < 0.001). Individuals with one E4 allele had 79% higher odds of cognitive impairment compared to those with no E4 alleles (OR = 1.79, 95% CI: 1.71–1.87, p < 0.001). This association was even stronger for individuals with two E4 alleles, who exhibited nearly four times the odds of cognitive impairment (OR = 3.75, 95% CI: 3.36–4.18, p < 0.001) compared to those with no E4 alleles. The observed dose–response relationship, where risk increases substantially with each additional E4 allele, further provides statistical evidence validating the results that we can see in Chi-square (see Figure 1 and ANOVA analysis (see Figure 2)).
Table 4.
Logistic regression analysis of the association between APOE-E4 allele count and cognitive impairment.
The analysis of the relationship between the APOE-E4 allele count and the age of onset (Figure 2) revealed a dose-dependent pattern. Individuals with two E4 alleles exhibited a substantially earlier disease onset (mean age: 65.66 ± 8.3 years) compared to those with one E4 allele (68.97 ± 9.9 years) and those with no E4 alleles (69.67 ± 11.8 years). This represents a clinically meaningful difference of approximately 4 years between homozygous E4 carriers and non-carriers. Notably, the age distribution became progressively narrower with an increasing E4 count (SD: 11.9→9.9→8.3), suggesting more predictable onset timing in E4 carriers. Despite technical limitations in calculating formal ANOVA statistics, the large sample size (N = 24,673) and clear stepwise pattern provide robust evidence for APOE-E4’s role in accelerating cognitive decline. These findings complement our logistic regression results, demonstrating that E4 not only increases the likelihood of cognitive impairment but also advances its onset in a dose-dependent manner, consistent with the established literature on APOE-E4 as a key genetic risk factor for earlier-onset cognitive disorders.
3.1. Race Effect on E4 Count Relation to Prevalence of CI
Chi-square analysis shows an association between the E4 count and CI for all races (see Figure 4). Except for Pacific Islanders, all races showed a monotonically increasing prevalence of cognitive impairment. Even Pacific Islanders had an increasing prevalence of CI, as the E4 count changed from 0 to 1. Only when the E4 count changed from 1 to 2 did the prevalence of CI decrease. However, this was based on only two homozygous individuals for E4. (E4 count = 2). White, Black, other, and Asian races reached statistical significance through a logistic regression analysis. Pacific Islanders showed an increasing rate of CI from an E4 count of 0 to 1. However, there were only two Pacific Islander patients with an E4 count = 2. One subject had CI, and the other did not. A logistic regression analysis showed the relationship between an increased prevalence of CI and an increased E4 count (see Table 5 and Table 6). All race-specific logistic models were fit with lasso (L1) regularization at moderate strength (penalty C = 1), which was applied to reduce overfitting while preserving small but meaningful effects. The hyperparameter choice was guided by five repetitions of 75/25 train/test splits, optimizing the mean AUC. Model discrimination and calibration were then assessed using the following: AUC (area under the ROC curve), to quantify overall separability; classification accuracy (CA), F1, precision, and recall, to gauge balanced prediction performance; and the Matthews correlation coefficient (MCC), for a robust single-metric summary.

Figure 4.
Association between E4 counts and CI for each race (part 1 of 2). Panels: White (top) and then Black and American Ind. (bottom). Association between E4 counts and CI for each race. Panels: Pacific Island, Asian, Other (Hisp), and Unknown. Blue represents E4 count = 0, Red = 1, Green = 2. Chi2 and corresponding p-values are below each figure.
Table 5.
The coefficients of the logistic regression model for CI using E4 counts as a predictor grouped by race.
Table 6.
The logistic regression model evaluations by race for CI using E4 counts as a predictor.
Race and E4 counts separately have a statistically significant correlation with the prevalence of CI. However, there is no statistically significant interaction between race and the effect of E4 counts on the prevalence of CI through a logistic regression analysis and odds ratio comparison; see Table 7.
Table 7.
Summary of the log-odds increase coefficient, odds ratio, and p-value for race-specific logistic regression results for E4 Count on CI coefficient, odds ratio, and p-value by race.
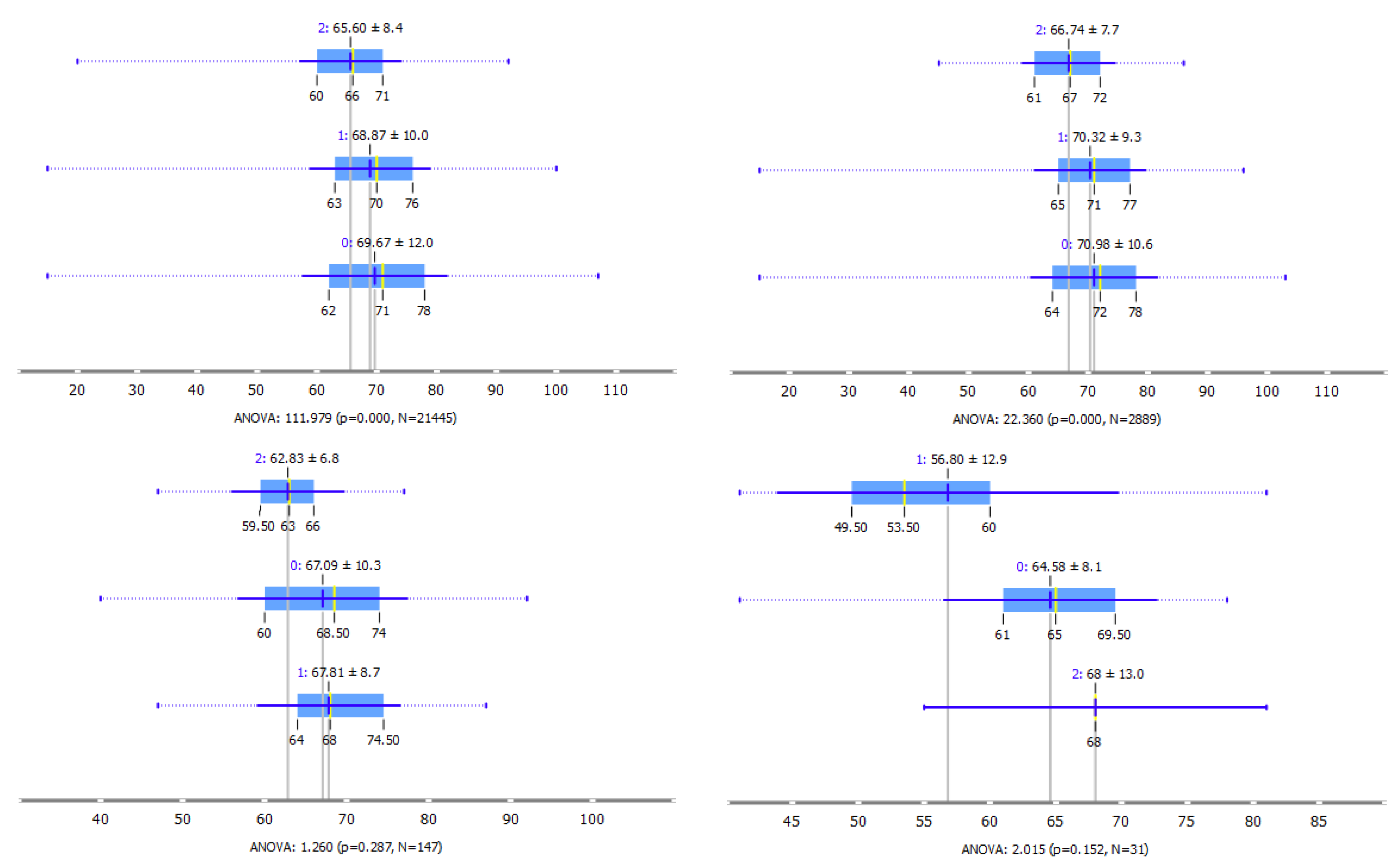
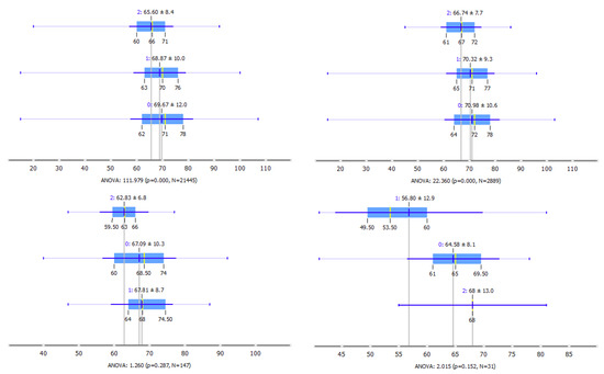
3.2. Race Effect on E4 Count Relation to Age of Onset of CI
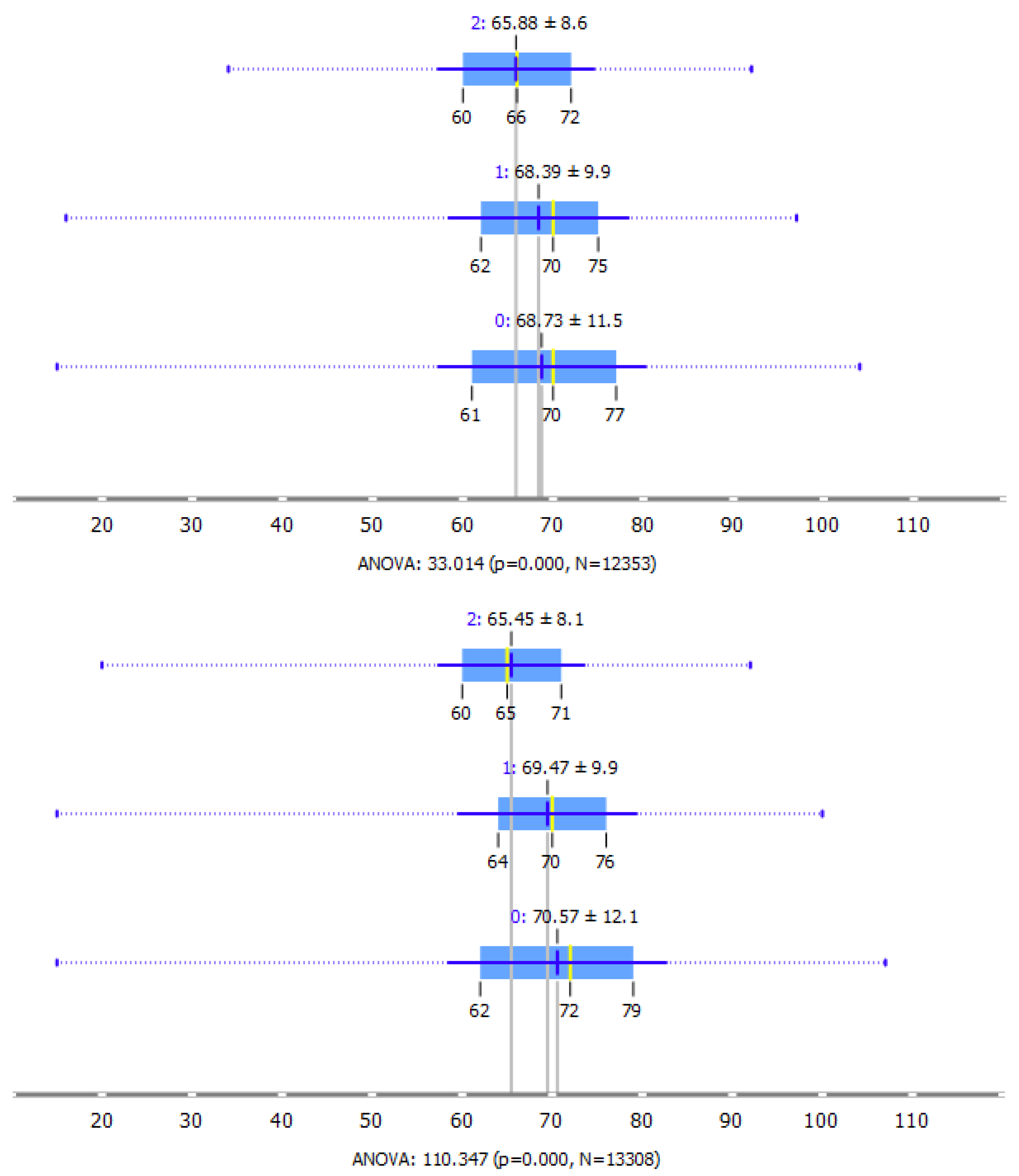
The age of onset of CI decreased significantly, as the E4 count increased only for White and Black subjects; see Figure 5 and Figure 6. Although there was a trend towards an earlier age of onset for cognitive decline among other races as the E4 count increased, these did not reach statistical significance according to the ANOVA; see Table 8 and Table 9.
Figure 5.
Analyzing the association between E4 counts and the age of onset of CI within each race using ANOVA. Diagrams from top left to bottom right represent the White, Black, American Indian, and Pacific Island groups. Chi-square statistics for the test of independence and corresponding p-values are given below each diagram.
Figure 6.
ANOVA analyzing the association between E4 counts and the age of onset of CI within each race. Diagrams represent the Asian, Other (Hispanic), and Unknown groups. Chi-square statistics for the test of independence and corresponding p-values are given below each diagram.
Table 8.
The coefficients of the linear regression model for the age of onset of CI, using E4 counts as a predictor, grouped by race.
Table 9.
The linear regression model evaluations for the age of onset of CI using E4 counts as a predictor by race. (Note: a negative R2 value suggests that the model’s predictions are less accurate than simply using the average as a prediction.)
3.3. Gender Effect on E4 Count Relation to Prevalence of CI
There was a higher prevalence of CI in men compared to women, but the slope of the effect of E4 count on women was slightly higher than that in men. Figure 8. This database does not reflect the total population, and an inference regarding actual prevalence cannot be made. However, the difference in the slope of the effect of E4 on CI is minimal and can be generalized; see Figure 7. The Chi-square test indicated a strong association between gender and CI; see Figure 8 and Figure 9. In Section 3.1, the Chi-square test also indicated a strong association between E4 counts and CI (see Figure 4). However, logistic regression models for the effect of gender on the relationship of E4 counts with CI did not reveal any significant interaction. The area under the curve (AUC) values were 0.579 for males and 0.589 for females. So, although both men and women exhibited a strong correlation between E4 counts and CI using Chi-square and logistic regression analyses, there was no significant interaction of gender with the association of E4 counts and CI; see Table 10.
Figure 7.
[CI prevalence by E4 count and gender]. Prevalence of cognitive impairment (CI) by APOE-E4 allele count (0, 1, 2) and gender. Blue bars show males, and gold bars show females. In both genders, CI prevalence rises with each additional E4 allele: at E4 = 0, approximately 66 % of males and 52 % of females are impaired; at E4 = 1, about 77 % of males and 67 % of females are impaired; and at E4 = 2, roughly 88 % of males and 80 % of females are impaired. Gender differences are modest at each genotype, indicating a consistent dose-dependent effect of E4 on CI prevalence across sexes.
Figure 8.
Chi-squared test shows strong dependence between gender and CI.
Figure 9.
A Chi-squared test shows a strong dependence between E4s count and CI for both male (left) and female (right) subjects.
Table 10.
The coefficients of the logistic regression model for CI using E4 counts as a predictor, grouped by gender, do not show a significant difference.
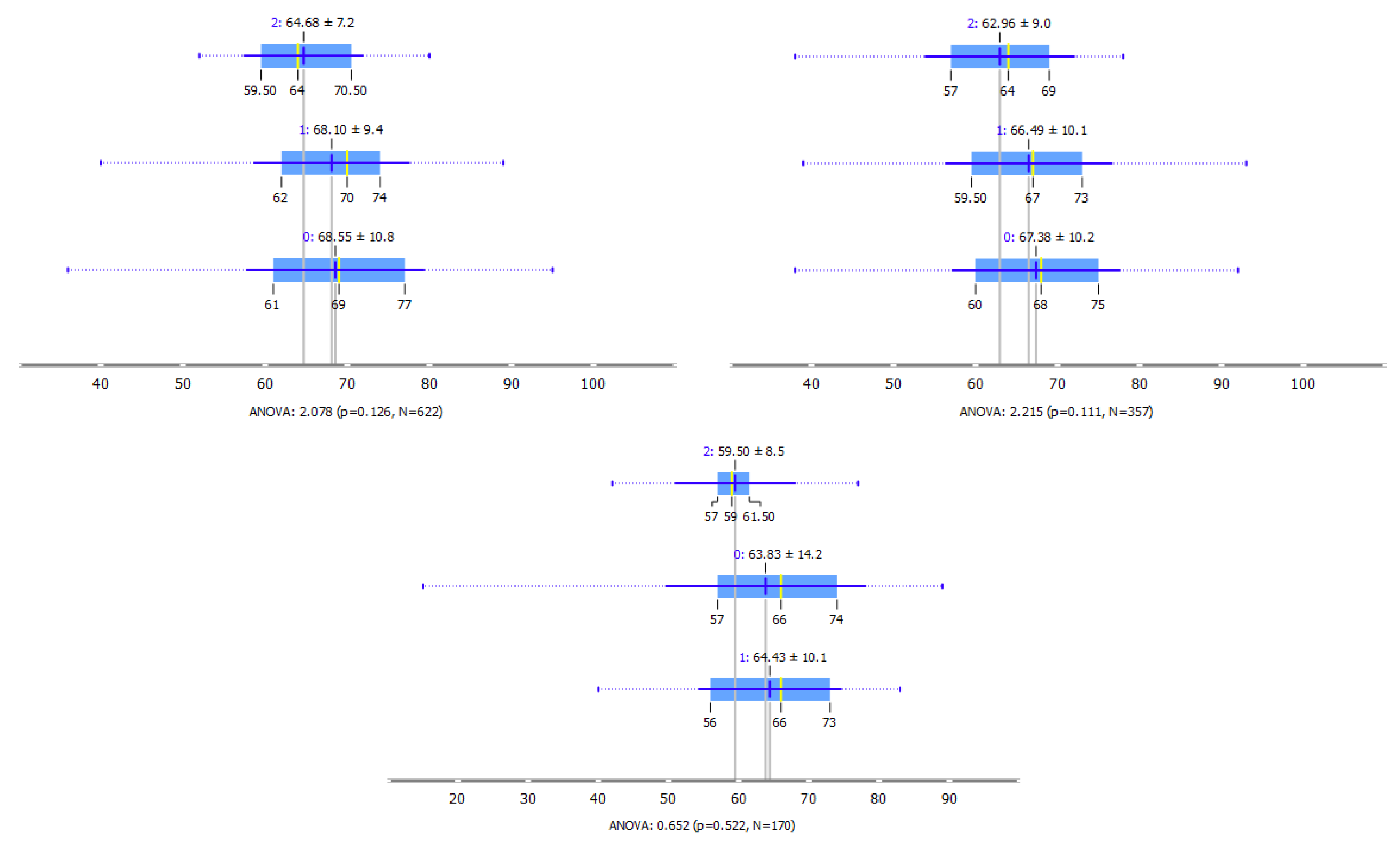
3.4. Gender Effect on E4 Count Relation to Age of Onset of CI
The linear regression analysis and ANOVA did not show any effect of gender on the relationship between E4 counts and the age of onset of CI; see Figure 10 and Table 11 and Table 12.
Figure 10.
ANOVA test shows a strong difference in the mean age of onset of CI for various E4 counts for both males (top) and females (bottom).
Table 11.
The coefficients of the linear regression model for the age of onset of CI, using E4 counts as a predictor, grouped by gender.
Table 12.
The linear regression model evaluations for the age of onset of CI, using E4 counts as a predictor, grouped by gender.
3.5. Clinical and Demographic Confounder Analysis
We conducted a comprehensive confounder analysis to examine the relationship between APOE-4 allele counts and cognitive impairment while controlling for potential confounding variables. The analysis began with 24,673 records, which were cleaned by removing invalid codes (−4 and 9), resulting in 10,023 complete cases. We constructed three nested logistic regression models: (1) a base model examining only the E4–CI relationship, (2) a demographic model adding age, sex, education, and race, and (3) a medical history model incorporating hypertension (HYPERT), diabetes (DIABET), thyroid disease (THYDIS), and vitamin B12 deficiency (VB12DEF). Table 13 shows the characteristics of the data that we applied to the confounder analysis before and after the data cleaning.
Table 13.
Population characteristics before and after data cleaning.
The analysis presented in Table 14 and Table 15 reveals that the association between E4 allele counts and cognitive impairment remains strong and significant across all models. The presence of one E4 allele increases the odds of cognitive impairment by approximately 88% (OR = 1.88, 95% CI: 1.56–2.26), while two E4 alleles more than triple the odds (OR = 3.25, 95% CI: 2.17–4.88) in the fully adjusted model.
Table 14.
Odds ratios for E4 count across models.
Table 15.
Model Comparison Statistics.
Adding demographic variables significantly improved the model fit ( = 66.99, p < 0.001), suggesting that age, sex, education, and race are important modifiers of the E4–CI relationship. Notable demographic effects include the following:
- Lower odds of CI among females (OR = 0.73, ).
- Increased odds in the 80 age group (OR = 1.59, p = 0.003).
- Lower odds among Black participants (OR = 0.54, ).
The addition of medical history variables did not significantly improve the model fit ( = 5.03, p = 0.285), suggesting that these conditions possibly do not substantially confound the E4–CI relationship.
The substantial data reduction (59.4% of records removed) during the data cleaning demands more thorough scrutiny while generalizing these results. However, the consistency of the E4 effect across models supports the robustness of this relationship.
4. Discussion
4.1. APOE4 Is Associated with Cognitive Impairment
The prevalence of CI increased monotonically as the E4 count increased for almost all races. The exception was the two Pacific Islanders homozygous for E4 (E4 count = 2), which is too small a group to draw any conclusions. Statistical significance was reached for White, Black, Asian, and “Other” races with Chi-square and multiple regression analysis. American Indians, Pacific Islanders, and the “Unknown” races did not reach statistical significance. However, the number of individuals in these groups was relatively small. The NACC67 database is not designed to be representative of any population as a whole and cannot be used to determine prevalence directly. No interaction was found between race or gender with the increased CI associated with the increase in E4 count. Therefore, the Nigerian paradox is rejected for these data. A logistic regression analysis showed a statistically significant effect of Asian and White races on the association between E4 count = 1 and CI increasing, which means that these groups may be more sensitive to the effect of E4. This was not found for E4 count = 2 in any group, which does not support this idea.
The age of onset of CI is known to decrease as the E4 count increases [12]. This effect was significant only for the White and Black races. Although there was a trend towards an earlier age of onset for cognitive decline among other races as the E4 count increased, these did not reach statistical significance in the regression analysis. There was no significant gender difference in the age of onset of CI. A large study in 2023 showed that women have been found to have a significantly greater effect of the E4 count on CI than men [4]. More studies are needed to evaluate the effect of gender on cognitive impairment, especially the effect of APOE4. We did not find any effect of gender on the association between E4 counts and CI.
The dataset is heavily skewed and not representative of the general population, limiting meaningful evaluations of race and gender effects. The small sample size for certain groups causes certain limitation constraints on the interpretation of interaction effects. Also, the Chi-square test was used to examine whether CI status is significantly associated with E4 genotype, as it is appropriate for testing relationships between categorical variables without assuming any specific data distribution.
4.2. Genetic Variants May Protect a Few
Many genetic variations have been associated with a reduction in the association of E4 counts with CI [2,11,13,18,24]. Although no Nigerian paradox was found in this analysis of the NACC67 data, there are uncommon genetic variations that ameliorate the effect of E4 counts on CI. These variations are used to guide new avenues of prevention and treatment [9].
4.3. APOE Has Many Variations with Unknown Consequences
Homozygous E4 has a comparable impact on the rate of CI to common autosomal dominant mutations associated with AD [25]. Changes in the genetic code can affect the phenotype in many ways. The change cannot be too great, or the organism will not survive or reproduce. A single-nucleotide polymorphism (SNP) is a change in one base pair. If this change occurs in an exon, the small fraction of DNA encoding for the production of a polypeptide, a new polypeptide, or a protein sequence is usually obtained. There is redundancy in DNA coding for amino acids; up to three of these three-base-pair codons may code for the same amino acid. Adding or subtracting a base pair from an exon results in a frame-shift mutation through which the remaining codons are all shifted, hence creating a new amino acid sequence. This is usually catastrophic but can rarely occur in a survivable form. A given protein may consist of several different polypeptide sequences. Each polypeptide sequence usually comes from several different exons scattered over a neighborhood of DNA. These subsequences of DNA are transcribed to mRNA and spliced together to form the template for the polypeptide. Errors can occur in this post-translational processing, resulting in different polypeptides and thence protein. The effect of these differences on proteins such as APOE2,3,4 makes a difference in their function. Different forms of a protein can result in a loss of function relative to other forms or result in the gain of a new function not previously seen. Hence, most autosomal dominant mutations involve changes in the gain of function [1,2]. The effect of APOE4 on CI was dose-dependent in most racial groups and, therefore, not autosomal-dominant. This was not demonstrated in Pacific Islanders.
Autosomal-dominant familial AD is rare and usually results in early-onset Alzheimer’s disease (EOAD) that occurs before age 60. EOAD ranges from 1 to of all AD cases. The most common non-autosomal dominant genetic risk factor for (sporadic) late-onset AD (LOAD) is the APOE4 allele. There are three common autosomal-dominant gene variations associated with AD (ADI, PSEN1, and PSEN2). PSEN1 and PSEN2 are mutations in the code for gamma-secretase subunits that lead to the incorrect cleavage of the amyloid precursor protein (APP). ADI is on Chromosome 21 in the APP coding region and may explain the development of EOAD in Down’s syndrome, which has three copies of Chromosome 21 [1,17]. There is a case report of a woman with a mutation in PSEN1 (presenilin 1) who did not develop mild cognitive impairment until her 70s, three decades after the expected age of clinical onset. The individual had two copies of the Christchurch APOE3 mutation (R136S), and unusually high brain amyloid levels, but limited tau and neurodegenerative measurements [11].
4.4. Summary and Limitations
Race and APOE4 are an oversimplification of reality, in which races are an ever-changing continuum, and there are many variants of APOE, not just three. The more homogeneous the population, the more likely there will be two copies of a gene that causes a problem. Mixed-race individuals are less likely to have overlapped harmful recessive genes. Our analysis showed the least effect of E4 counts on CI in the “Unknown” race. Geographic and social isolation for many generations promotes genetic and ethnic homogeneity, making genetic and environmental diseases more common and easier to identify [7]. The relationship between APOE-E4 allele counts and cognitive impairment appears to be genuine and not explained by measured confounders. But the number of confounders we studied in this paper is limited, and a more thorough analysis is needed to obtain a more generalized conclusion.
5. Conclusions
From our analysis, and considering no other confounders apart from race, age, and ethnicity, we cannot accept the Nigerian hypothesis that one race exhibits a statistically significant decrease in the correlation between the number of APOE4 alleles and cognitive impairment, or the age of onset of cognitive impairment, in this database. Furthermore, we did not find a significant effect of gender on the correlation between the number of APOE4 alleles and cognitive impairment or the age of onset of cognitive impairment, as some reports have.
The APOE4 count correlates with a higher prevalence of CI and an earlier onset in almost everyone. Gender and race do not significantly affect this. The Nigerian paradox is rejected for White, Black, Asian, and “Other” racial groups, a total of 39,660 subjects. A further analysis including other demographic and medical confounders did not significantly alter these findings.
Author Contributions
Conceptualization, R.H.B.; methodology, V.P.O. and S.R.; software, R.H.B., V.P.O. and S.R.; validation, R.H.B., V.P.O., S.R. and S.Y.; formal analysis, R.H.B., V.P.O. and S.R.; investigation, R.H.B., V.P.O., S.R. and S.Y.; resources, R.H.B. and V.P.O.; data curation, R.H.B., V.P.O. and S.R.; writing—original draft preparation, R.H.B. and V.P.O.; writing—review and editing, R.H.B., V.P.O., S.R. and S.Y.; visualization, V.P.O. and S.R.; supervision, S.Y.; project administration, S.Y. All authors have read and agreed to the published version of the manuscript.
Funding
There were no funding sources for this study.
Informed Consent Statement
We received consent from the National Alzheimer’s Coordinating Center (NACC) to use this dataset. No direct patient involvement occurred to require other consent.
Data Availability Statement
The data used in this study is freely available upon request and approval from the National Alzheimer’s Coordinating Center (NACC) https://naccdata.org/.
Acknowledgments
The NACC database is funded by NIA/NIH Grant U24 AG072122. NACC data are contributed by the NIA-funded ADRCs: P30 AG062429 (PI James Brewer, MD, PhD), P30 AG066468 (PI Oscar Lopez, MD), P30 AG062421 (PI Bradley Hyman, MD, PhD), P30 AG066509 (PI Thomas Grabowski, MD), P30 AG066514 (PI Mary Sano, PhD), P30 AG066530 (PI Helena Chui, MD), P30 AG066507 (PI Marilyn Albert, PhD), P30 AG066444 (PI David Holtzman, MD), P30 AG066518 (PI Lisa Silbert, MD, MCR), P30 AG066512 (PI Thomas Wisniewski, MD), P30 AG066462 (PI Scott Small, MD), P30 AG072979 (PI David Wolk, MD), P30 AG072972 (PI Charles DeCarli, MD), P30 AG072976 (PI Andrew Saykin, PsyD), P30 AG072975 (PI Julie A. Schneider, MD, MS), P30 AG072978 (PI Ann McKee, MD), P30 AG072977 (PI Robert Vassar, PhD), P30 AG066519 (PI Frank LaFerla, PhD), P30 AG062677 (PI Ronald Petersen, MD, PhD), P30 AG079280 (PI Jessica Langbaum, PhD), P30 AG062422 (PI Gil Rabinovici, MD), P30 AG066511 (PI Allan Levey, MD, PhD), P30 AG072946 (PI Linda Van Eldik, PhD), P30 AG062715 (PI Sanjay Asthana, MD, FRCP), P30 AG072973 (PI Russell Swerdlow, MD), P30 AG066506 (PI Glenn Smith, PhD, ABPP), P30 AG066508 (PI Stephen Strittmatter, MD, PhD), P30 AG066515 (PI Victor Henderson, MD, MS), P30 AG072947 (PI Suzanne Craft, PhD), P30 AG072931 (PI Henry Paulson, MD, PhD), P30 AG066546 (PI Sudha Seshadri, MD), P30 AG086401 (PI Erik Roberson, MD, PhD), P30 AG086404 (PI Gary Rosenberg, MD), P20 AG068082 (PI Angela Jefferson, PhD), P30 AG072958 (PI Heather Whitson, MD), and P30 AG072959 (PI James Leverenz, MD). The authors thank the reviewers for their time and effort in reviewing the paper and for their constructive comments.
Conflicts of Interest
There is no conflict of interest among the authors in this study.
Abbreviations
APOE4: E4; cognitive impairment: CI; mild cognitive impairment: MCI; number of APOE4
alleles: E4 count; Alzheimer’s Disease Research Center: (ADRC); amyloid beta: (Aβ); area under
the curve: (AUC); polymorphism: (SNP); early-onset Alzheimer’s Disease: (EOAD); late-onset AD:
(LOAD); amyloid precursor protein: (APP); presenilin 1: PSEN1.
References
- Bekris, L.M.; Yu, C.E.; Bird, T.D.; Tsuang, D.W. Genetics of Alzheimer disease. J. Geriatr. Psychiatry Neurol. 2010, 23, 213–227. [Google Scholar] [CrossRef]
- Jackson, R.J.; Hyman, B.T.; Serrano-Pozo, A. Multifaceted roles of APOE in Alzheimer’s disease. Nat. Rev. Neurol. 2024, 20, 457–474. [Google Scholar] [CrossRef]
- Osuntokun, B.O.; Sahota, A.; Ogunniyi, A.O.; Gureje, O.; Baiyewu, O.; Adeyinka, A.; Oluwole, S.O.; Komolafe, O.; Hall, K.S.; Unverzagt, F.W.; et al. Lack of an association between apolipoprotein e4 and Alzheimer’s disease in elderly Nigerians. Ann. Neurol. 1995, 38, 463–465. [Google Scholar] [CrossRef]
- Walters, S.; Contreras, A.G.; Eissman, J.M.; Mukherjee, S.; Lee, M.L.; Choi, S.-E.; Scollard, P.; Trittschuh, E.H.; Mez, J.B.; Bush, W.S.; et al. Associations of Sex, Race, and Apolipoprotein E Alleles with Multiple Domains of Cognition Among Older Adults. JAMA Neurol. 2023, 80, 929–939. [Google Scholar] [CrossRef]
- Kalaria, R.; Ogeng’o, J.; Patel, N.; Sayi, J.; Kitinya, J.; Chande, H.; Matuja, W.; Mtui, E.; Kimani, J.; Premkumar, D.; et al. Evaluation of Risk Factors for Alzheimer’s Disease in Elderly East Africans. Brain Res. Bull. 1997, 44, 573–577. [Google Scholar] [CrossRef]
- Chandra, V.; Pandav, R. Gene-Environment Interaction in Alzheimer’s Disease: A Potential Role for Cholesterol. Neuroepidemiology 1998, 17, 225–232. [Google Scholar] [CrossRef]
- Foster, M.W.; Sharp, R.R. Race, ethnicity, and genomics: Social classifications as proxies of biological heterogeneity. Genome Res. 2002, 12, 844–850. [Google Scholar] [CrossRef]
- Cornell, S.; Hartmann, D. Ethnicity and Race: Making Identities in a Changing World; Sociology for a New Century Series; SAGE Publications: Thousand Oaks, CA, USA, 2006. [Google Scholar]
- Narasimhan, S.; Holtzman, D.A.L. Apolipoprotein E in Alzheimer’s disease trajectories and the next-generation clinical care pathway. Nat. Neurosci. 2024, 27, 1236–1252. [Google Scholar] [CrossRef]
- Huggins, L.K.L.; Min, S.H.; Kaplan, S.; Wei, J.; Welsh-Bohmer, K.; Xu, H. Meta-Analysis of Variations in Association between APOE ε4 and Alzheimer’s Disease and Related Dementias Across Hispanic Regions of Origin. J. Alzheimers Dis. 2023, 93, 1095–1109. [Google Scholar] [CrossRef]
- Arboleda-Velasquez, J.F.; Lopera, F.; O’Hare, M.; Delgado-Tirado, S.; Marino, C.; Chmielewska, N. Resistance to autosomal dominant Alzheimer’s disease in an APOE3 Christchurch homozygote: A case report. Nat. Med. 2019, 25, 1680–1683. [Google Scholar] [CrossRef]
- Hunsberger, H.C.; Pinky, P.D.; Smith, W.; Suppiramaniam, V.; Reed, M.N. The role of APOE4 in Alzheimer’s disease: Strategies for future therapeutic interventions. Neuronal. Signal 2019, 3, NS20180203. [Google Scholar] [CrossRef]
- Duong, M.T.; Nasrallah, I.M.; Wolk, D.A.; Chang, C.C.Y.; Chang, T.Y. Cholesterol, Atherosclerosis, and APOE in Vascular Contributions to Cognitive Impairment and Dementia (VCID): Potential Mechanisms and Therapy. Front. Aging Neurosci. 2021, 13, 647990. [Google Scholar] [CrossRef]
- Bea, A.M.; Larrea-Sebal, A.; Marco-Benedi, V.; Uribe, K.B.; Galicia-Garcia, U.; Lamiquiz-Moneo, I.; Laclaustra, M.; Moreno-Franco, B.; Fernandez-Corredoira, P.; Olmos, S.; et al. Contribution of APOE Genetic Variants to Dyslipidemia. Arterioscler. Thromb. Vasc. Biol. 2023, 43, 1066–1077. [Google Scholar] [CrossRef]
- Tang, M.X.; Stern, Y.; Marder, K.; Bell, K.; Gurland, B.; Lantigua, R.; Andrews, H.; Feng, L.; Tycko, B.; Mayeux, R. The APOE-∈4 Allele and the Risk of Alzheimer Disease Among African Americans, Whites, and Hispanics. JAMA 1998, 279, 751–755. [Google Scholar] [CrossRef]
- O’Bryant, S.E.; Petersen, M.; Hall, J.; Johnson, L. APOEε4 Genotype Is Related to Brain Amyloid Among Mexican Americans in the HABS-HD Study. Front. Neurol. 2022, 13, 834685. [Google Scholar] [CrossRef]
- Coronel, R.; Bernabeu-Zornoza, A.; Palmer, C.; Muñiz-Moreno, M.; Zambrano, A.; Cano, E.; Liste-Noya, I. Role of Amyloid Precursor Protein (APP) and Its Derivatives in the Biology and Cell Fate Specification of Neural Stem Cells. Mol. Neurobiol. 2018, 55, 7107–7117. [Google Scholar] [CrossRef]
- Rajabli, F.; Feliciano-Astacio, B.; Celis, K.; Hamilton-Nelson, K.L.; Whitehead, P.; Adams, L.D.; Bussies, P.L.; McCauley, J.; Acosta, H.; Chinea, A.; et al. African Haplotypic Background Mitigates the Effect of APOE e4 Risk Allele in Alzheimer Disease (P2.195). Neurology 2018, 90, P2.195. [Google Scholar] [CrossRef]
- Naguib, S.; Torres, E.A. APOE3-R136S mutation confers resilience against tau pathology via cGAS-STING-IFN inhibition. bioRxiv 2024. bioRxiv:591140. [Google Scholar] [CrossRef]
- Vaghawan Prasad, O.; Riahi, S.; Bobo, R.; Moravveji, S.; Meteumba, L.; Yarahmadian, S. Analysis of cognitive status of Alzheimer’s disease’s subjects and its association with biomarkers (amyloid beta and tau proteins) using NACC data. Discov. Psychol. 2025, 5, 20. [Google Scholar] [CrossRef]
- Meteumba, L.; Vaghawan Prasad Ojha, S.Y. Comprehensive Evaluation of Machine Learning Models For Predicting the Cognitive Status of Alzheimer Disease Subjects and Susceptible. Discov. Psychol. 2025, 5, 20. [Google Scholar]
- Kluyver, T.; Ragan-Kelley, B.; Pérez, F.; Granger, B.; Bussonnier, M.; Frederic, J.; Kelley, K.; Hamrick, J.; Grout, J.; Corlay, S.; et al. Jupyter Notebooks—A publishing format for reproducible computational workflows. In Positioning and Power in Academic Publishing: Players, Agents and Agendas; IOS Press: Amsterdam, The Netherlands, 2016; pp. 87–90. [Google Scholar]
- Using NACC Data for Incidence and Prevalence Rates. Available online: https://naccdata.org/requesting-data/data-request-process#naccHandbook (accessed on 25 July 2024).
- Rajabli, F.; Seixas, E.A. African ancestry APOE e4 non-carriers with higher educational attainment are resilient to Alzheimer disease pathology-specific blood biomarker pTau181. medRxiv 2023. medRxiv:06.23292263. [Google Scholar] [CrossRef]
- Fortea, J.; Pegueroles, J.; Alcolea, D.; Belbin, O.; Dols-Icardo, O.; Vaque-Alcazar, L.; Videla, L.; Gispert, J.D.; Galvet, M.S.; Johnson, S.C.; et al. APOE4 homozygosity represents a distinct genetic form of Alzheimer’s disease. Nat. Med. 2024, 30, 1284–1291. [Google Scholar] [CrossRef]
Disclaimer/Publisher’s Note: The statements, opinions and data contained in all publications are solely those of the individual author(s) and contributor(s) and not of MDPI and/or the editor(s). MDPI and/or the editor(s) disclaim responsibility for any injury to people or property resulting from any ideas, methods, instructions or products referred to in the content. |
© 2025 by the authors. Licensee MDPI, Basel, Switzerland. This article is an open access article distributed under the terms and conditions of the Creative Commons Attribution (CC BY) license (https://creativecommons.org/licenses/by/4.0/).










