Abstract
Springback represents the deflection of a workpiece after releasing the forming tools or dies, which influences the quality and precision of the final products. It is basically governed by the elastic strain recovery of the material after unloading. Most approaches only implement reverse bending to determine the final shape of the formed product. However, stretch plays significant role whe the blank is held by a blank holder. In this paper, an algorithm is presented to calculate the contributions of both stretch loads and bending moments to elastic deformation during springback for each element, and to combine them mathematically and geometrically to achieve the final shape of the product. Comparing the results of this algorithm for different sheet metal forming processes with experimental measurements demonstrates that this technique successfully predicts a wide range of springback with reasonable accuracy. The advantage of this approach is its accuracy, which is not sensitive to hardening and softening mechanisms, the magnitude of plastic deformation during the forming process, or the size of the object. The application of the proposed formulation is limited to long profiles (plane-strain cases). However, it can be extended to more general applications by adding the effect of torsion and developing equations in 3D space. Due to the explicit nature of the calculations, data-processing time would be reduced significantly compared to the sophisticated algorithms used in commercial software.
1. Introduction
One of the main defects affecting dimensional tolerance and quality in cold-formed metal sheets is springback. It can be defined as the change in shape of the deformed part during the unloading step. This deviation from the design geometry can cause significant issues during the assembly process.
Forming long profiles with L-, V-, and U-shaped cross-sections is a common process in the manufacturing of various metallic components used in automobiles, aircrafts, building products, and domestic appliances. Since the cross-section does not change along the axis of the object, it can be assumed that all deformations happen within the plane of the section. Therefore, the forming process can be considered a plane-strain phenomenon. This 2D nature of deformation reduces the complexity of the formulation. There are several solely analytical approaches in the literature. One example is a mathematical model describing the relationship between the generated stresses and springback in U-bending cases, as preseted by Morestin and Boivin [1], who used Prandtl and Reuss plasticity equations. Springback prediction has also been performed using models based on the moment−curvature relationship [2], residual differential strain [3], variation of yield stress under tensile and compressive loadings [4] for U-bent parts, as well as for double curved [5,6] or simple axisymmetric parts [7]. Other analytical models have also been developed based on deformation history and material anisotropy [8,9]. Recently, machine learning methods and neural network techniques have been used to predict springback [10,11]. However, as a first step, roll forming models need to be trained with large amounts of data from sources like experiments or Finite Element (FE) simulations.
Although the geometry of long profiles may seem to be a simple 2D case, establishing an analytical relationship between springback and the components of stress is challenging. This is challenge is due to the complex elastic−plastic stress distribution during the forming process [12]. Therefore, FE simulation is essential for this purpose, due to the material’s complex yielding behavior as the geometry changes [12,13]. By using the properties of isotropic materials, FE models can predict the final shape of the profile after springback [14]. However, since sheet metals are typically anisotropic due to various rolling directions, models that assume isotropy can introduce errors—often under 3% for steel [15]. Studies have shown that advanced constitutive models—like Hill-48 and Barlat-89 with kinematic hardening—correlate well with experimental data [16]. Proper calibration of yield criteria has proven effective, resulting in very small errors [17]. Sarkar et al. [18] demonstrated that the influence of backstress on the accuracy of springback modeling varies significantly with the strain path. Numerical techniques like mesh refinement can also impact accuracy [19]. Hybrid approaches integrating FE analysis with machine learning or optimization techniques have further improved prediction accuracy across different metals [20,21,22,23]. Overall, combining precise material modeling, refined meshing, and optimization strategies enhances the reliability of FE simulations for springback prediction in long profile forming. However, elastic stretch due to membrane (in-plane) stresses is often not included in springback calculations, as it is often negligible compared to the bending component. This is not an assumption in the algorithm proposed in this paper. Instead of modeling springback directly, FE simulation is used only to determine the stress distribution at the final step of forming. The resulting large springback is then predicted by separating the deformation caused by membrane and bending stresses after unloading. Considering elastic behavior at this step, the final configuration for each small straight element is determined by accounting for stretch as membrane deformation (reverse stretch) and rotation as bending curvature (reverse bending). The elements are then manually assembled to reconstruct the final shape of the object’s cross-section. The necessary mathematical relations are developed for long profiles in plane strain condition. However, it can be extended to more general cases by increasing the order of calculation from 1D to 2D and calculating elastic deformation of planar element in 3D space after unloading, or by adding torsion springback and calculating deformation for a cubic element under general 3D elastic loading.
2. Materials and Methods
2.1. Formulation of Springback
There are several types of springback in sheet metal forming including bending, membrane, twisting and combined bending-membrane [24]. Pure membrane springback takes place during the unloading of a material from in-plane tension (or compression), while pure bending springback happens after releasing bended material in plane-strain cases. Twisting-type springback when forming components with large differences in sectional dimensions, such as shallow panels can happen [25]. This type of springback is the result of uneven elastic recovery in different directions. The combined bending and membrane springback is the type relevant to metal forming of long profiles and is the focus of this study.
Upon removal of external loads, stresses are released elastically. A common approach to calculating residual stress involves determining the axial force and moment in the section at the onset of unloading, then balancing these with equivalent pure axial and pure bending stresses [26]. This provides the axial load and moment needed to reach equilibrium after unloading [26]. A similar approach is used in this study to determine elastic stretch and rotation as the deformation components caused by the springback phenomenon.
The algorithm to determine the final shape of the formed metal sheet includes the following steps:
Step 1: Determine the stress distribution across the sheet thickness for elements along the section profile using ABAQUS FE simulation (2022 version), at the onset just before tool removal.
Step 2: Calculate the balancing axial load and bending moment needed to elastically release stresses after tool removal. For this feasibility study of the proposed algorithm, a large amount of hand calculations was needed to calculate these parameters element by element.
Step 3: Calculating the axial deformation (stretch or contraction) and bending rotation (change in slope) caused by the axial load and bending moment from Step 2, separately. By applying the superposition principle for elastic behavior during springback, these data are used to determine the final configuration of each element. The product shape is then calculated by assembling the deformed elements.
2.1.1. Change in Slope Under Bending
To determine the deformation caused by tension and bending separately in each rectangular segment (element), relevant equations from plate and shell theory are used [27]. Figure 1a shows the components of force and moment applied to a rectangular plate.
Figure 1.
(a) General diagram of thee force and moment applied to a rectangular plate. (b) Schematic for reduced order to pure bending.
By implementing the plane-strain condition for long profiles in the y-direction, the governing differential equation is changed, as shown in Equation (1).
After simplification, the plate loading condition under pure bending is reduced to the schematic shown in Figure 1b. Proper boundary conditions for left and right edges along with general form of the solution for Equation (1) results in the displacement field indicated by Equation (2).
where M0 is the moment applied at the end of the sheet, E represents the elastic modulus in plane-strain conditions, t represents the sheet thickness, and is the Poisson ratio.
For small elements (plate) deformed under pure bending, it can be assumed that the length of the element does not change and it remains straight, but it rotates to the angle (slope) described in Equation (3).
where L represents the element length. Implementing Equations (2) and (3), the springback rotation angle (change in slope) is determined using Equation (4). Angle Ɵ is small, as the deformation w is small for a small element.
2.1.2. Stretch Under Membrane Loading
Figure 2 shows an element under pure tension, where the deformation due to pure tension is determined by Equation (5) and the slope remains unchanged.
Figure 2.
Pure tension applied to a rectangular plate.
2.2. Material and Testing
2.2.1. Three-Point Bending Sample
The sheet sample for the three-point bending test was created from high-strength steel, with its chemical composition summarized in Table 1. The composition was determined using a quantometer test with a SPECTRO machine.
Table 1.
Chemical composition of high-strength steel used in the three-point bending test.
The mechanical properties of the sheet metal, including yield strength, ultimate tensile strength, elastic modulus, and hardening exponent, were determined using a tensile test. These elastic and plastic properties are used to describe the material behavior in the FE simulation.
Tensile specimens were prepared according to the ASTM E8 standard [28] with a gauge length of 50 mm. Figure 3 shows the specimen dimensions. The thickness of the sheet is 1 mm. The tensile tests were performed at a constant crosshead speed of 0.85 mm/min and at room temperature (20 to 25 °C) with a SANTAM universal testing machine, model STM-50. The recorded engineering stress–strain curve is shown in Figure 4. These data are changed into a true stress–strain curve. Table 2 summarizes measured mechanical properties.
Figure 3.
Dimension for the tensile specimen [28].
Figure 4.
Engineering stress−strain curve.
Table 2.
Mechanical properties of the material.
Since true stress−strain curve is needed for FE simulation, the engineering stress–strain curve was converted to the true stress−strain curve. For rigid plastic sheet metals, when the plane stress and strain conditions are assumed and Hills’s 48 yield criteria [29] is used, Equation (6) indicates the relation between stress and strain.
where is the equivalent strain, is the strength coefficient, and n is the strain hardening exponent. For the steel used in this study, the best curve based on Equation (6) was applied to the strain−stress data, yielding the coefficients indicated in Equation (7).
2.2.2. U-Shape Deep Drawing Sample
The experiments and data reported in Ref. [21] were used as the source for the verification of the U-shape deep drawing model. The sheet samples (blank) were created using a low carbon steel, whose chemical composition is summarized in Table 3 [21]. The mechanical properties of the material are summarized in Table 4. The process parameters and geometry of tools and blank are presented in Section 3.2.1. More details about the materials and geometry can be found in Ref. [21].
Table 3.
Chemical composition of the steel used for U-shape deep drawing [21].
Table 4.
Mechanical properties of the steel used for U-shape deep drawing [21].
3. Results and Discussion
The proposed method was practically applied to two drawing processes. The objective of the first process is to predict large springback in a three-point bending test, which is a type of draw-bending process. The second objective is to predict small springback in the deep-drawing of long U-shape profiles. To simplify calculations under the plane strain condition, both processes are modeled as the forming of long profiles.
3.1. Three-Point Bending Test
The three-point bending test is treated as a forming process with significant springback. Specimens were prepared using the metal described in Section 2.2. The set-up configuration for the three-point bending test, as shown in Figure 5a. A custom fixture was fabricated for three-point bending test as shown in Figure 5b. The fixture includes two pins (10 mm in diameter each) with adjustable spacing between them. In this setup, the two pins on each side are 130 mm apart to allow for sufficient punch penetration and to avoid interfering with the springback motion. Experiments were performed using the SANTAM Universal testing machine STM-50 (Figure 5c). The transferring pin (upper) moved downwards at a crosshead speed of 0.253 mm/s to a depth of 37 mm. Figure 6a,b show the sheet during the forming process and after springback, respectively. The load−displacement curve was recorded to validate the simulation. The sheet wall angles, Ɵ1 and Ɵ2, were measured at the final step of drawing and after springback and recorded, respectively, as shown in Figure 6. These measurements are later used to evaluate the springback prediction by ABAQUS.
Figure 5.
Three-point bending test: (a) schematic view; (b) testing fixture; (c) testing machine.
Figure 6.
Deformed sheet: (a) during the forming process; (b) after springback.
3.1.1. FE Simulation of Three-Point Bending Process
The FE simulation was conducted using ABAQUS/2022 software. The simulation was conducted in two steps. In the first step, the punch moves down and forms a V-shape section. In the second step, the punch moves up (tool releases) and springback occurs. The first step is dynamically/explicitly modeled, while the second step is simulated dynamically/implicitly. Both solutions are available in the software, and this procedure is suggested in Ref. [30]. The tools were modeled as discrete rigid bodies, while the blank was modeled as a deformable body using S4R shell elements. A surface-to-surface contact interaction was defined in with a friction coefficient of 0.1 between the surfaces. To reach convergence, the number of elements was increased. Figure 7 shows two curves for the applied drawing load—one obtained using the simulation and one measured during the experiment.
Figure 7.
Applied and predicted punch forces.
Figure 7 shows good agreement between the experimental and FE analysis results. Therefore, the accuracy of the simulation is confirmed. For example, Figure 8 shows the stress distributions before and after removing the tool.
Figure 8.
Stress distribution obtained through FE simulations before (a) and after (b) removing the tool.
3.1.2. Decomposition of Stress for Three-Point Bending Test
The stress distribution along sheet thickness just before tool removal was obtained through FE simulation. Figure 9 schematically illustrates the calculated stresses, represented by arrows, for eight elements along the sheet length from the central pin to the supporting pin (Figure 10). Based on the procedure described in Section 2.1, the final shape of the V-shape section after springback was predicted by determining the final configuration of each straight element (longitudinal segment) and then reassembling. As shown in Figure 9, the neutral axis did shift considerably due to the negligible tension compared to the bending component; it moved slightly towards the layers with negative stress values. The contribution of bending gradually decreases from the central pin toward the supporting pin. Figure 10 shows a schematic view of the general stress variation along the length of the sheet.
Figure 9.
Analysis of 8 elements along the sheet.
Figure 10.
Schematic view of general stress variations along sheet length.
3.1.3. Evaluation of FE Prediction for Three-Point Bending Test
To evaluate the capability of the proposed algorithm in predicting large springback, the predicted final shape was compared with the shape recorded from the experiment. The ABAQUS prediction, as shown in Figure 8b, was added for comparison. It was obtained through a two-step simulation including the forming and unloading processes. As shown in Figure 11, the proposed approach predicts the final shape after large springback more accurately and is closer to the experimental results.
Figure 11.
Wall angle comparison.
3.2. Deep Drawing Forming of Long U-Shape Profiles
The forming of long U-shape profiles was considered as an example involving small springback under plane strain conditions. Experimental results in [21] were used to evaluate the accuracy of the proposed approach. The parameters associated with the springback of the deformed shape are shown in Figure 12, where Rf is flange–wall connection radius, Rb is wall–bottom connection radius, is the angle between the final flange position and tangent Δ1, is the angle between part bottom and tangent Δ2, and ρw is the sidewall radius.
Figure 12.
Springback parameters in the case of a bent part [21].
3.2.1. Simulation for U-Shape Profiles Forming
The deep drawing of U-shape profiles was simulated using the geometry and material properties of the workpiece presented in Ref. [21]. The properties and chemical composition of the steel used are summarized in Table 3 and Table 4. Figure 13 indicates the geometry of the die and workpiece. More details about the material and geometry can be found in Ref. [21]. To reduce the simulation time, half the symmetric object was modeled with symmetry conditions imposed on the axis of the blank (Figure 13). The tools are modeled as analytical rigid bodies and the blank is modeled as a deformable body using S4R shell elements. A blank holder force of 8500 N and the surface-to-surface contact type with a. Coulomb friction coefficient of 0.1 between surfaces were used [21].
Figure 13.
Schematic U-drawing of the bending process.
The stress distribution along the sheet thickness was obtained using FE simulation. Figure 14 shows the stress distribution results compared with the corresponding results in Ref. [21]. The close curves in Figure 14 confirm the accuracy of the generated FE model.
Figure 14.
Distribution of stresses along the sheet thickness.
3.2.2. Decomposition of Stress for Deep Drawing Process
The variation in normal stress along the sheet thickness was obtained by post-processing the FE simulation results. The bended zone was divided into five separate zones, as indicated in Figure 15. The distributions of stress along the thickness direction from the outer to inner surfaces of the sheet are presented in Figure 16 for three zones. In Figure 16, the outer surface is located at thickness −t/2, while the inner surface is located at thickness +t/2.
Figure 15.
Bent part and zones I, II, III, IV, and V as indicated by AB, BC, CD, DE, and EF [21].
Figure 16.
Distribution of stresses along thickness.
The stress in different zones demonstrates several non-uniform variations along the sheet thickness. In Zone II (see Figure 15), the stress value is positive at the inner surface and negative at the outer surface. However, for Zone IV, it is negative at the inner surface and positive at the outer surface.
Figure 17 presents an example demonstrating how stress along the thickness direction in the final forming stage is decomposed into pure axial and bending stresses. These stresses are released elastically during the springback process (see Section 2.1 for the calculation of the reverse stretch and bending). In addition, it indicates the remaining stress after removing the tool. This stress acts as residual stress in the drawn part. More details about the decomposition of stresses is provided in Ref. [26].
Figure 17.
The process of the stress decomposition.
3.2.3. Evaluation of FE Simulation for Deep Drawing
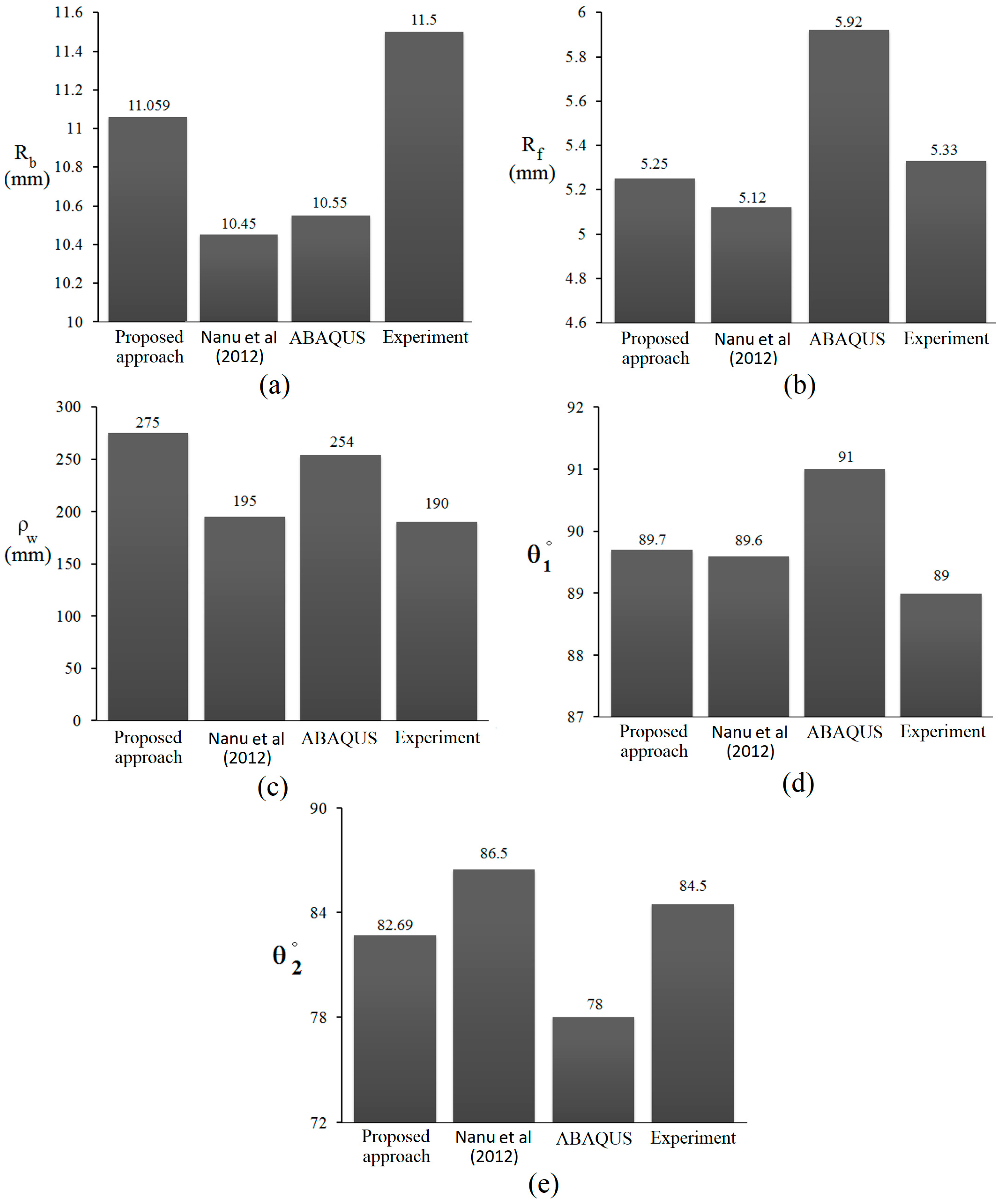
To evaluate prediction of the proposed algorithm for small springback in the U stretch–bending drawing process, the obtained results are compared with the data in Ref. [21] and ABAQUS simulation for springback in Figure 18. The errors for each method were calculated with respect to the experimental data for all five geometrical parameters, Rb, Rf, ρw, θ1°, and θ2°, as indicated in Figure 19. As shown in Figure 18a–e and confirmed in Figure 19, the proposed approach predicts springback with better accuracy compared with other sources. This is due to the significant role of stretch in deep drawing processes under blank holder action. Although Ref. [21] achieved better prediction of the sidewall radius, this parameter plays a less important role in the creation of the final shape.
Figure 18.
Comparison of results for accuracy: (a) parameter Rb (mm); (b) parameter Rf (mm); (c) parameter ρw (mm); (d) parameter θ1 (°); (e) parameter θ2 (°). (Nanu et al refers to Ref. [21]).
Figure 19.
Errors for parameters Rb, Rf, ρw, θ1°, and θ2°. (Nanu et al refers to Ref. [21]).
4. Conclusions
An algorithm was presented in this study that uses the elastic nature of deformation after tool release in forming processes, enabling precise calculation of reverse stretch and bending to predict springback. The accuracy and reliability of the results were compared with some of the available approaches. Membrane deformation was considered in the proposed formulation, which is important for deep drawing processes under blank holder action. The application of the proposed algorithm is not limited by the plastic behavior of the material, the size of the object, or the magnitude of the springback deformation. Although the formulation was developed under the plane-strain condition, it applies to a wide range of industrial forming processes including long profiles. It can be extended to general 3D cases after further development by adding torsion springback and calculating the deformation of a cubic element under general elastic loading. The strength of this approach is its simplicity and explicit formulation, which makes it suitable for commercial software. This reduces the processing time in comparison with the currently available general sophisticated algorithms.
Author Contributions
M.R.V.S. contributed to conceptualization, methodology, validation, formal analysis, investigation, resources, data curation, writing—review and editing, visualization, supervision, and project administration. H.M.B. contributed to methodology, software, validation, formal analysis, investigation, resources, data curation, writing—original draft preparation, and visualization. All authors have read and agreed to the published version of the manuscript.
Funding
This research received no external funding.
Institutional Review Board Statement
Not applicable.
Informed Consent Statement
Not applicable.
Data Availability Statement
The original contributions presented in this study are included in the article. Further inquiries can be directed to the corresponding author.
Conflicts of Interest
The authors declare no conflicts of interest.
References
- Morestin, F.; Boivin, M.; Silva, C. Elasto plastic formulation using a kinematic hardening model for springback analysis in sheet metal forming. J. Mater. Process. Technol. 1996, 56, 619–630. [Google Scholar] [CrossRef]
- Moon, Y.H.; Kim, D.W.; Van Tyne, C.J. Analytical model for prediction of sidewall curl during stretch-bend sheet metal forming. Int. J. Mech. Sci. 2008, 50, 666–675. [Google Scholar] [CrossRef]
- Yi, H.; Kim, D.; Van Tyne, C.; Moon, Y. Analytical prediction of springback based on residual differential strain during sheet metal bending. Proc. Inst. Mech. Eng. Part C 2008, 222, 117–129. [Google Scholar] [CrossRef]
- Lee, M.G.; Kim, J.H.; Chung, K.; Kim, S.J.; Wagoner, R.H.; Kim, H.Y. Analytical springback model for lightweight hexagonal close-packed sheet metal. Int. J. Plast. 2009, 25, 399–419. [Google Scholar] [CrossRef]
- Asnafi, N. On springback of double-curved autobody panels. Int. J. Mech. Sci. 2001, 43, 5–37. [Google Scholar] [CrossRef]
- Xue, P.; Yu, T.X.; Chu, E. An energy approach for predicting springback of metal sheets after double-curvature forming, Part I: Axisymmetric stamping. Int. J. Mech. Sci. 2001, 43, 1893–1914. [Google Scholar] [CrossRef]
- Xue, P.; Yu, T.X.; Chu, E. An energy approach for predicting springback of metal sheets after double-curvature forming, Part II: Unequal double-curvature forming. Int. J. Mech. Sci. 2001, 43, 1915–1924. [Google Scholar] [CrossRef]
- Verma, R.K.; Haldar, A. Effect of normal anisotropy on springback. J. Mater. Process. Technol. 2007, 190, 300–304. [Google Scholar] [CrossRef]
- Zhang, D.; Cui, Z.; Ruan, X.; Li, Y. An analytical model for predicting springback and side wall curl of sheet after U-bending. Comput. Mater. Sci. 2007, 38, 707–715. [Google Scholar] [CrossRef]
- Cu, S.; Sun, Y.; Wu, K. Machine learning methods for springback control in roll forming. Int. J. Mater. Form 2025, 18, 7. [Google Scholar] [CrossRef]
- Xu, J.; Yan, J.; Huang, Y.; Ding, D. Simulation and Prediction of Springback in Sheet Metal Bending Process Based on Embedded Control System. Sensors 2024, 24, 7863. [Google Scholar] [CrossRef] [PubMed]
- Takalkar, A.S.; Lenin Babu, M.C. A review on effect of thinning, wrinkling and spring-back on deep drawing process. Proc. Inst. Mech. Eng. Part B J. Eng. Manuf. 2018, 233, 1011–1036. [Google Scholar] [CrossRef]
- Kalujniy, O.V.; Kalujniy, V.L.; Aliiev, S.I.; Markov, O.E.; Levchenko, V.M. Investigation of variants of deep drawing of steel hollow parts. J. Braz. Soc. Mech. Sci. Eng. 2025, 47, 19. [Google Scholar] [CrossRef]
- Çelik, Y.; Ülke, I.; Yurdakul, M. A springback minimization study using the experimental design methods for 15-5 PH stainless steel material in the hydroforming process. World J. Eng. 2024. [Google Scholar] [CrossRef]
- Zhang, Y.; Duan, Y.; Fu, P.; Qi, S.; Zhao, J. On orthotropic elastic constitutive modeling for springback prediction. Exp. Mech. 2024, 64, 3–19. [Google Scholar] [CrossRef]
- Karabulut, S.; Esen, I.; Şahin, E. Springback prediction performance and experimental analysis in the V-bending process of SCGADUB1180 advanced high strength steel. Jordan J. Mech. Ind. Eng. 2024, 18, 441–453. [Google Scholar]
- Hajiahmadi, S.; Moslemi Naeini, H.; Talebi-Ghadikolaee, H.; Safdarian, R.; Zeinolabedin-Beygi, A. Insights into spring-back prediction: A comparative analysis of constitutive models for perforated U-shaped roll-formed steel profiles. Int. J. Adv. Manuf. Technol. 2024, 134, 1915–1933. [Google Scholar] [CrossRef]
- Sarkar, M.Z.; Sargeant, D.; Sharma, R.; Knezevic, M.; Fullwood, D.T.; Miles, M.P. Springback behavior after air bending of pre-strained AA 6016-T4 sheets: Influence of dislocation density and backstress on model accuracy. J. Manuf. Process. 2024, 131, 1437–1450. [Google Scholar] [CrossRef]
- Spišák, E.; Majerníková, J.; Mulidrán, P.; Hajduk, J.; Ruda, F. Springback analysis and prediction of automotive steel sheets used in compression bending. Materials 2025, 18, 774. [Google Scholar] [CrossRef]
- Abdullah, E.; Jalil, A. Enhancing experimental prediction of springback in forming processes using advanced finite element modelling. J. Mach. Eng. 2025, 25, 79–101. [Google Scholar] [CrossRef]
- Nanu, N.; Brabie, G. Analytical model for prediction of springback parameters in the case of U stretch–bending process as a function of stresses distribution in the sheet thickness. Int. J. Mech. Sci. 2012, 64, 11–21. [Google Scholar] [CrossRef]
- Abdullah, E.; Jalil, A. A hybrid advanced analysis approach for predicting spring back phenomena existing in metals. Adv. Sci. Technol. Res. J. 2025, 19, 185–199. [Google Scholar] [CrossRef] [PubMed]
- Aalouch, T.; Touache, A.; Mrabti, I.E.; Bouziane, K.; Hakimi, A.E.; Chamat, A. Investigation of the accurate FEA model of the springback prediction in deep drawing. In Proceedings of the 2024 4th International Conference on Innovative Research in Applied Science, Engineering and Technology (IRASET), Fez, Morocco, 16–17 May 2024; pp. 1–5. [Google Scholar] [CrossRef]
- Rasheed Mohameed, B.; Mhdi Mubarak, E.M.; Alsalihi, N.H. Effect of Die’s Shape, Sheet Thickness and Type of Alloy on the Springback Phenomenon. Eng. Technol. J. 2012, 30, 1446–1461. [Google Scholar] [CrossRef]
- Burchitz, I.A. Improvement of Springback Prediction in Sheet Metal Forming. Ph.D. Thesis, University of Twente, Enschede, The Netherlands, 2008. [Google Scholar]
- Beer, F.; Johnston, E.; DeWolf, J.; Mazurek, D. Mechanics of Materials, 8th ed.; McGraw-Hill: New York, NY, USA, 2020; ISBN 978-1-260-11327-3. [Google Scholar]
- Ugural, A.C. Stresses in Plates and Shells; McGraw-Hill: New York, NY, USA, 1981. [Google Scholar]
- ASTM E8/E8M-22; Standard Test Methods for Tension Testing of Metallic Materials. ASTM International: West Conshohocken, PA, USA, 2024. Available online: https://www.astm.org/e0008_e0008m-22.html (accessed on 1 October 2024).
- Hill, R. The Mathematical Theory of Plasticity; Oxford University Press: Oxford, UK, 1998. [Google Scholar]
- Cui, X.; Xiao, A.; Du, Z.; Yan, Z.; Yu, H. Springback reduction of L-shaped part using magnetic pulse forming. Materials 2020, 10, 390. [Google Scholar] [CrossRef]
Disclaimer/Publisher’s Note: The statements, opinions and data contained in all publications are solely those of the individual author(s) and contributor(s) and not of MDPI and/or the editor(s). MDPI and/or the editor(s) disclaim responsibility for any injury to people or property resulting from any ideas, methods, instructions or products referred to in the content. |
© 2025 by the authors. Licensee MDPI, Basel, Switzerland. This article is an open access article distributed under the terms and conditions of the Creative Commons Attribution (CC BY) license (https://creativecommons.org/licenses/by/4.0/).


















