Abstract
On the cornea, daily epithelial resurfacing is a critical process to prevent the loss of normal function, ocular morbidity, corneal structure, and vision loss. There are several components to wound healing, including cellular attachment, migration, and growth. To develop a treatment for corneal epithelial healing, we studied the effect of substance P (SP) on corneal epithelial cell migration using a cell culture system of either transformed human corneal epithelial cells (SV-40), or rabbit corneal epithelial cells (SIRC). We investigated the effect of SP with insulin and insulin-like growth factor-I (IGF-1). We found that SP is synergistic with insulin and IGF-1 on the stimulation of transformed human corneal epithelial migration in a cell culture system, as well as in rabbit SIRC cells. The addition of either SP, insulin, or IGF-1 alone did not greatly affect epithelial migration, while the combination of SP and insulin or SP and IGF-1 markedly stimulated epithelial migration in a dose-dependent manner. The synergistic effects of SP with insulin and SP with IGF-1 were inhibited by the addition of the SP-specific inhibitor (CP96345). However, the effect of insulin and IGF-1 alone were not inhibited by the NK-1-specific inhibitor (CP96345). Our results are consistent with the need for the involvement of the neuropeptide SP in corneal epithelial wound healing of diabetic corneas where nerve-ending dropout occurs. Additionally, almost identical results were obtained with human and rabbit corneal epithelial cells. These results suggest that the maintenance of the normal integrity of the corneal epithelium might be regulated by both humoral and neural factors.
1. Introduction
Substance P (SP), an undecapeptide from the tachykinin family, was discovered in 1931 by Von Euler and Gaddum from tissue extracts of equine brain and intestine [1]. When Leeman and colleagues were trying to isolate corticotropin-releasing factor, they came across a peptide that increased salivary production when administered into sedated rats [2]; however, the sequence of SP remained elusive. Prior to being put up against SP, this peptide’s physical and chemical properties were referred to as sialogen. Later, it was discovered to be the same as SP. Chang, Leeman, and Niall published the SP sequence in 1971: Arg-Pro-Lys-Pro-Gln-Gln-Phe-Phe-Gly-Leu-Met-NH2. Tachykinins are a class of peptides that includes substance P. Its production is mediated by a wide variety of cells, including neurons, astrocytes, microglia, epithelial, and endothelial cells, as well as immune cells including T-cells, dendritic cells (DCs), and eosinophils. The class I (rhodopsin-like) family of G-protein-coupled neurokinin receptors, which SP employs to exercise its biological effects, includes the neurokinin 1 receptor (NK1R), neurokinin 2 receptor (NK2R), and neurokinin 3 receptor (NK3R) [1].
It has been known since Magendie in 1825 that sectioning of the trigeminal nerve causes tropic or degenerative changes in the cornea, clinically referred to as neurotropic or neuroparalytic keratitis [3]. These corneal changes are similar to trophic changes elsewhere in the body and include edema, redness, and slow-healing ulcers. Various theories have been advanced regarding the pathogenesis of neuroparalytic keratitis including trophic disturbances, corneal desiccation, irritative effects, and abnormal cellular metabolism [4,5,6]. What this effect does show is that sensory nerve fibers have a direct effect on the maintenance of the normal epithelial function. In addition, sensory denervation has experimentally resulted in altered permeability, abnormal wound healing with failure of re-epithelialization, cell migration, and decreased epithelial mitoses [7,8,9,10,11,12]. One possible mechanism of these effects could be the lack of release of SP from the corneal nerves. SP is found in many nerves of the eye, including those in the cornea, and the absence of SP has been shown to be related to conditions in which wound healing does not occur. During previous studies of SP, this neuropeptide was shown to promote the wound healing of rabbit corneal ulcers where corneas are defective in the expression of neuropeptides [13,14,15]. We have also reported the effect of SP on wound healing in the human cornea [15,16,17]. Further investigation demonstrated that neither SP nor IGF-1 alone affect corneal epithelial wound closure in vivo, but they act synergistically to stimulate corneal re-epithelialization by activating the NK1 receptor [18,19,20]. Other studies found that adjunct therapies, such as tetrapeptide (SSSR; Ser33-Ser-Ser-Arg) derived from the C domain of IGF-1 and capsaicin, improved both corneal epithelial along with SP and IGF-1 [21,22,23]. The present study was carried out to determine whether this effect is seen in cells in culture where the presence of other growth factors can be controlled and where the role of SP receptor (NK-1) can be evaluated. This was carried out by measuring the cellular migration of transformed human corneal epithelial cells and rabbit SIRC cells in the presence of different concentrations of insulin and IGF-1 both individually and together with SP.
2. Materials and Methods
2.1. Materials
Sigma Chemical Co. (St. Louis, MO, USA) supplied the following: DMSO, fetal bovine serum, gentamicin, IGF-1, insulin, L-glutamine, sodium bicarbonate, and SP. The tissue culture 12-well plates were purchased from Fisher Scientific Co. (Houston, TX, USA). DMEM/F12 media were purchased from Life Technologies (Rochville, MD, USA). The silicon was GE silicon 1, all purpose, clear silicon caulk from Walmart. The transformed human corneal epithelial cells (SV-40) were obtained from Dr. Paul Russell (UC Davis). The SP-specific inhibitor CP96345 was obtained as a gift from Pfizer diagnostics (Groton, CT, USA). The SIRC cells were obtained from ATCC, CCL-60 (Manassas, VA, USA).
2.2. Preparation
Silicon was squeezed into each well of a 12-well plate to a thickness of 5 mm (Figure 1A). Then, the silicon surface was streaked evenly to prevent the formation of air bubbles. Ten plates with silicon were created and the plates were left at room temperature for at least 5 days for the silicon to solidify. Then, forceps were used to carefully remove the silicon from the well. A sharp knife was then used to cut each silicon cake at its diameter into two even pieces. All the silicon plugs in 10% bleach and stayed at room temperature for 2 days. Next, the silicon plugs were taken out and washed well with de-ionized water. The silicon plugs were then left in 70% ethanol at room temperature for an additional two days. Finally, the silicon plates were removed and allowed to dry. After incubation again in 70% ethanol, sterile forceps were used to pick up the silicon plug and insert them into half of each well of the 12-well plate. Several plates were created at the same time and allowed to dry using ethanol at room temperature inside a sterile hood. After two days, the plates with silicon plugs were ready for experiments.
Figure 1.
(A) Experiment methodology for silicon surface preparation. (B) Cell migration protocol summary (M1, M2, and M3 are the three measurements used for the analysis).
2.3. Epithelial Migration
All experiments were performed with transformed human corneal epithelial cells (SV-40) or SIRC cells. The cells were grown in 12-well plates where half of each well was blocked using a silicon plug. Approximately 1 × 106 cells were seeded and grown to approximately 80% confluency in 3 mL DMEM/F12 with sodium bicarbonate; L-glutamine (1 mg/mL); gentamicin (40 μg/mL); DMSO (0.5%); and 10% inactivated fetal bovine serum. After two days, a mark was etched into the under-side of the plate where the edge of the plug stopped. At that time the media were removed, serum free media were added. After an additional two days, the silicon plug was removed and new media containing migration factors (SP; insulin; IGF-1) were added to a final volume of 3 mL. The cellular migration from the baseline was measured with a scale of 0.5 mm/unit by means of a microscope. Cellular migration was measured for 8 days. The SP receptor-specific inhibitor CP96 345 was used at 2 × 10−8 M. A summary of the procedure is shown in Figure 1B.
2.4. Statistical Analysis
For experiments conducted in cell lines, the measurements were carried out in triplicate, and the experiments were repeated 3–4 times. For the repetitions of the analysis, a microscopic camera was used to take pictures of the cell migration at the same time and place each day. Data are expressed as mean values of independent experiments ± S.D. Statistical analyses and graphing were performed in GraphPad Prism 7.01 software (Graphpad, San Diego, CA, USA). Statistical differences between the control groups and the experimental groups were analyzed using a two-tailed unpaired Student’s t-test for single comparison, which was chosen because of its ability to carry out single comparisons and due to the small sample size; the alpha- and p-value considered for significance was p < 0.05. For both statistical tests, the normality was confirmed using GraphPad Prism 7.01 software (Graphpad).
3. Results
a. Human SV40-transformed corneal epithelial cells.
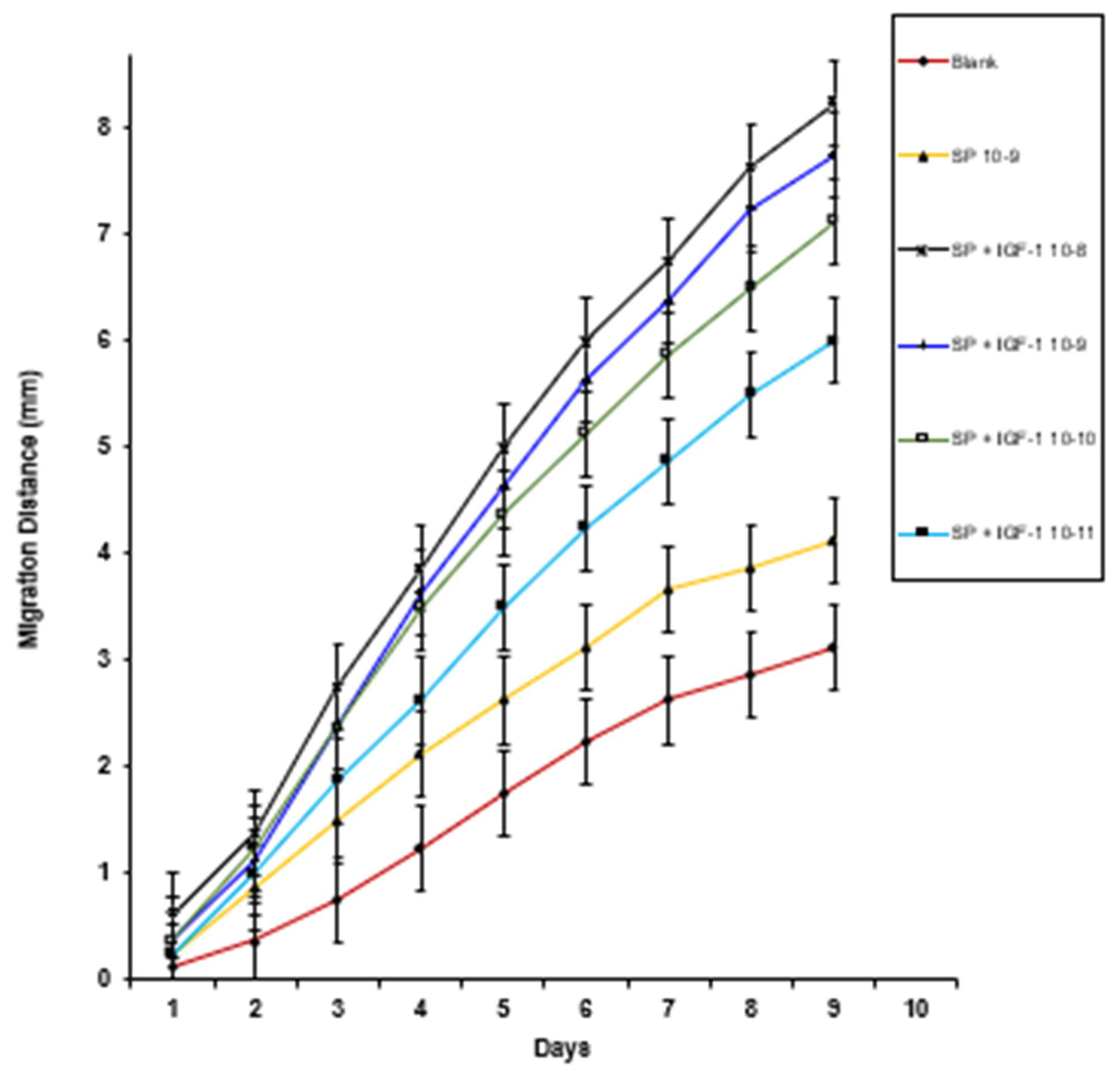
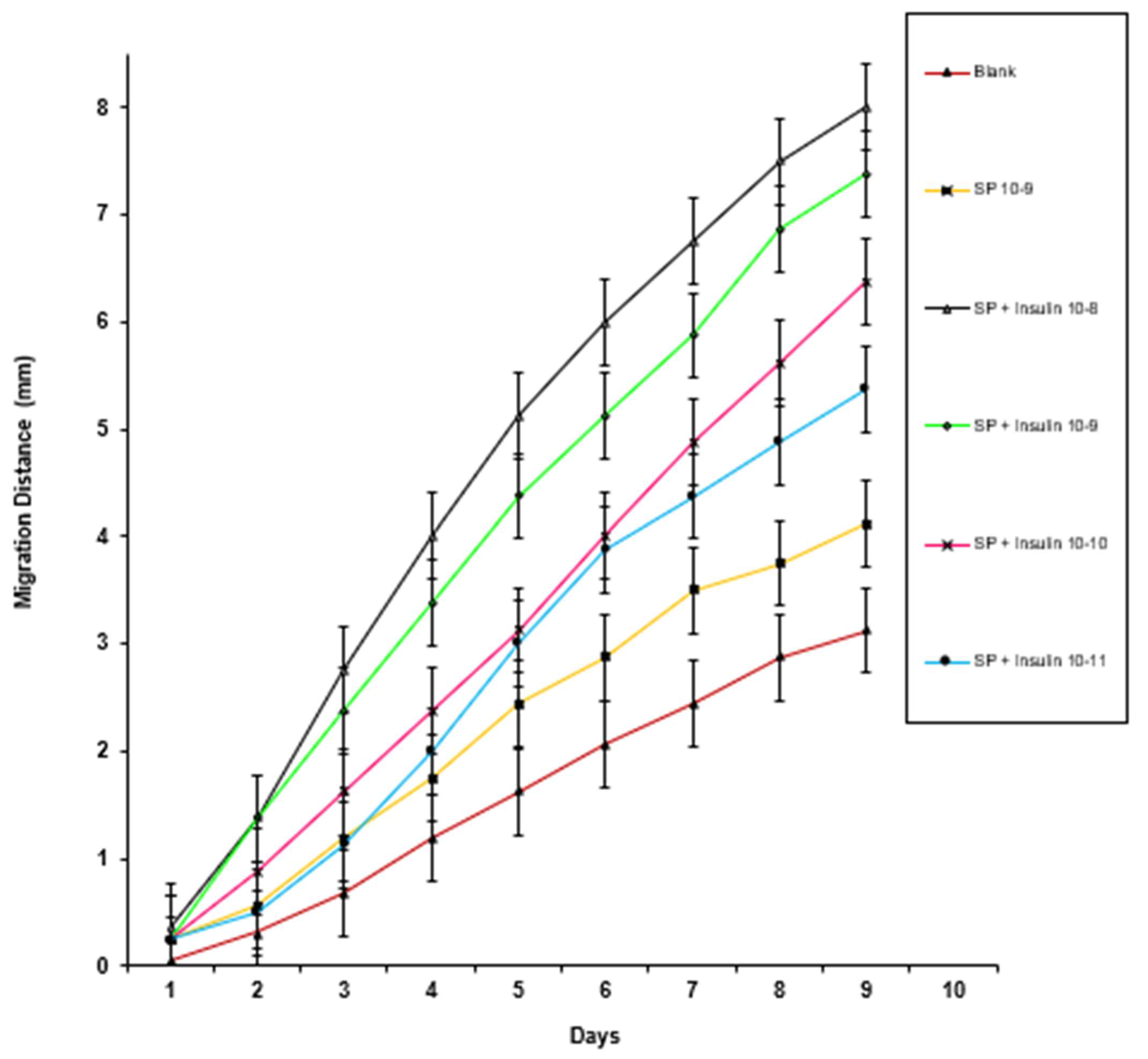
It was found that SP alone would stimulate migration with a half-maximal concentration of 10−9 M (Figure 2). The effect of SP alone and then in the presence of different concentrations of IGF-1 (10−10 M) or insulin (10−10 M) was determined at different times (days) (Figure 3 and Figure 4). Day 7 was chosen to determine a dose response curve for the SP stimulation in the presence of either insulin (0.1 nM) or IGF-1 (0.1 nM), with or without the SP-specific inhibitor CP96345 (Figure 5 and Figure 6). This showed half-maximal stimulation at 10−9 M; however, the maximum stimulation was much higher than that shown by either SP, insulin, or IGF-1 alone (Figure 7 and Figure 8). IGF-1 and insulin both showed half-maximal stimulation in the presence of 10−9 M SP, at 5 × 10−11 M. The SP effect was inhibited with the NK1-specific inhibitor CP96345, which had no effect on IGF-1 or insulin stimulation of migration (Figure 9).
Figure 2.
(A) The effect of SP on cellular migration of SV-40 Cells. SV-40 cells were treated with various concentrations of SP in DMEM-F12-free serum media. Error bars represent the SEM from three determinations. (B) Cell morphology of SV-40 cells [24]. The measurements were taken after 7 days.
Figure 3.
Cellular migration of SV-40—transformed human corneal epithelial cells increases with time after treatment with SP at 1 nM and various concentrations of IGF-1. Error bars represent the SEM from three determinations.
Figure 4.
Cellular migration of SV-40—transformed human corneal epithelial cells increases with time after treatment with SP at 1 nM and various concentrations of insulin. Error bars represent the SEM from three determinations.
Figure 5.
The SP-stimulated migration in the presence of IGF-1 is inhibited by the NK-1-specific inhibitor CP96345. The measurements were taken after 7 days. Error bars represent the SEM from three determinations. Significance (*) was defined as a p < 0.05 using Student’s t-test. The different number of stars represent significance * p < 0.05, ** p < 0.01.
Figure 6.
The SP-stimulated migration in the presence of insulin is inhibited by the NK-1-specific inhibitor CP96345. The measurements were taken after 7 days. Error bars represent the SEM from three determinations. Significance (*) was defined as a p < 0.05 using Student’s t-test. The different number of stars represent significance * p < 0.05, ** p < 0.01.
Figure 7.
SP is synergistic with IGF-1 on cellular migration of SV-40 at 1 nM. The measurements were taken after 7 days. Error bars represent the SEM from three determinations. Significance (*) was defined as a p < 0.05 using Student’s t-test. The different number of stars represent significance ** p < 0.01.
Figure 8.
Effect of SP (1 nM) with insulin, on cellular migration of SV-40. The measurements were taken after 7 days. Error bars represent the SEM from three determinations. Significance (*) was defined as a p < 0.05 using Student’s t-test. The different number of stars represent significance * p < 0.05 and ** p < 0.01.
Figure 9.
(A) The effect of IGF-1 on human SV-40-transformed cell migration with and without the SP receptor-specific inhibitor CP96345. The measurements were taken after 7 days. Error bars represent the SEM from three determinations. (B) Effect of insulin on cellular migration of human SV-40-transformed cells after 7 days, with and without the SP receptor-specific inhibitor CP96345. Error bars represent the SEM from three determinations.
b. Rabbit corneal epithelial cells (SIRC)
These results are shown in the Supplementary Materials. It was found that SP alone would stimulate migration (Figure S1). The effects of SP alone and then in the presence of different concentrations of IGF-1 or insulin were determined at different times (days) (Figures S2 and S3). This shows that the response is uniform for the two different growth factors over time. The dose response curves for the SP stimulation in the presence of either insulin (0.1 nM) (Figure S4) or IGF-1 (0.1 nM) (Figure S5), with or without the SP-specific inhibitor CP96345, were then determined. These showed roughly a half-maximal stimulation at 10−9 M SP. The maximum stimulation of SP with insulin or IGF-1 was much higher than that shown by either SP, insulin, or IGF-1 alone (Figures S6 and S7). Using the data from 7 days of migration IGF-1 and insulin both showed half-maximal stimulation in the presence of 10−9 M SP at 5 × 10−11 M (Figures S6 and S7). The SP effect was inhibited with the NK-1-specific inhibitor CP96345, which had no effect on IGF-1 or insulin stimulation of migration (Figures S8 and S9). It is worth noting that the results with these cells are almost identical to those using human SV40 corneal epithelial cells. Thus, using cells from a different mammalian species, which was used for almost all the early studies, gives the same results as those observed for human cells.
4. Discussion
Over the last few decades, there have been several pre-clinical and clinical studies to show the importance of SP with corneal epithelium healing. Bee et al. showed that collagen type IV intrastromal fibers are orthogonal to the epithelial basement membrane in the cornea [25]. The neurons that innervate the epithelium display an abundant SP immunoreactivity. On the twelfth day of development, the SP immunoreactive nerves were first discovered, coinciding with the beginning of epithelial innervation rather than the extension of nerves through the stroma [25]. Such nerve fibers exhibited substantial connection with both basal and superficial epithelial cells and increased in number as the body developed. Therefore, SP primary afferents are abundantly supplied to the avian cornea [25]. Furthermore, the expression of SP immunoreactivity correlates directly with the initiation of innervation of the corneal epithelium. Another study by Miller et al. found a dense network of SP immunoreactive axons in the cornea’s substantia propria, subepithelial layer, and corneal epithelium [26]. Subsequently, it was discovered that SP has important functions in corneal re-epithelialization after injury [13,27,28].
In recent years, an increasing number of small regulatory peptides have been discovered in the neural and neuroendocrine cells of mammalian tissues [29]. These peptides appear to behave as local hormones or neurotransmitters, acting in a paracrine fashion on adjacent cells. An intriguing development is the discovery that regulatory peptides can also act as mitogens for cells in culture. A direct growth-promoting effect of SP and substance K has been reported in smooth muscle cells and human skin fibroblasts [30,31,32]. A direct role for SP in promoting cell growth has recently been reported for a number of tissues, including smooth muscle cells, human skin fibroblasts, ocular epithelial cells and also in the enhancement of the proliferation of human blood T-lymphocytes, an effect apparently mediated by specific receptors for this peptide [13,30,31,32]. It was also reported that SP stimulates the release of PGE2 and proliferation in rheumatoid synoviocytes and that it can stimulate neovascularization [33,34,35]. These findings are agree with other evidence which indirectly suggests that the release of tachykinins from sensory nerves in the skin, joints, and other peripheral tissues might function as mediators of local inflammatory and wound-healing responses [13,35,36].
The immunofluorescence of SP in embryonic and newborn rats suggests that SP might play a role in developing ocular tissue in addition to its neurotransmitter or neuromodulator roles, which it is thought to play in adults because SP appears before the establishment of synaptogenesis, and SP appears in the cornea during fetal development [37]. Dense networks of SP-positive nerve fibers are found in most layers of the cornea and tend to end in the epithelium. SP immunoreactive (SPI) fibers enter the cornea from two levels: one from the middle layer of the sclera and the other from the episclera. From the sclera, thick SPI fiber bundles innervate the epithelium. The SPI fiber bundles from the episclera were smaller than those from the sclera. However, both fiber bundles formed a dense fiber network in the uppermost part of the stroma and epithelium [37,38]. A more recent detailed study of canine corneal innervation showed similar results [39]. The current results show SP synergism with IGF-1 and insulin for both human and rabbit epithelial cells [15]. Thus, the previous results with SP stimulation of epithelial migration with blocks of rabbit cornea correlate with the current studies of these two species [40,41]. In addition, the results with rabbit corneas for the healing of corneas after photorefractive keratectomy, in conjunction with the present results on the comparison of these two species, are consistent with the findings that SP may be useful for the treatment of humans after photorefractive keratectomy [42].
5. Conclusions
SP is synergistic with IGF-1 and insulin for the stimulation of transformed human corneal epithelial cells and rabbit corneal epithelial cells’ (SIRC) migration at physiological (or less) concentrations. The results with CP96345 show that SP uses the NK1 receptor. This is consistent with the involvement of this neuropeptide in corneal epithelial wound healing. This is also consistent with the poor wound healing of diabetic corneas where nerve-ending dropout occurs, and other cases of neuropathy such as burns or bed sores.
Supplementary Materials
The following supporting information can be downloaded at: https://www.mdpi.com/article/10.3390/jcto1030010/s1, Figure S1: The effect of Substance P on SIRC cells migration. Error bars represent the s.e.m from three determinations.; Figure S2: Cellular migration of SIRC cells increases with time after treatment with substance P at 1nM and various concentrations of Insulin. Error bars represent the s.e.m from 3 determinations.; Figure S3: Cellular migration of SIRC cells increases with time after treatment with substance P at 1nM and various concentrations of IGF-1. Error bars represent the s.e.m from 3 determinations. Figure S4: The substance P stimulated migration in the presence of Insulin is inhibited by the NK-1 specific inhibitor CP96,345. Error bars represent the s.e.m from three determinations. Figure S5: The substance P stimulated migration in the presence of IGF-1 is inhibited by the NK-1 specific inhibitor CP96,345. Error bars represent the s.e.m from three determinations. Figure S6: Effect of Substance P (1 nM) with Insulin, on cellular migration of SIRC cells after 7 days. Error bars represent the s.e.m from three determinations. Figure S7: Effect of Substance P (1 nM) with IGF-1, on cellular migration of SIRC cells after 7 days. Error bars represent the s.e.m from three determinations. Figure S8: Effect of insulin on celllular migration of SIRC cells after 7 days, with and without the substance P receptor specific inhibitor CP96,345. Error bars represent the s.e.m from three determinations. Figure S9: The effect of IGF-1 on SIRC cells transformed cell migration after 7 days, with and without the substance P receptor specific inhibitor CP96,345. Error bars represent the s.e.m from three determinations.
Author Contributions
Conception and design, administrative support, provision of study materials or patients, T.W.R.; collection and assembly of data, P.T.; data analysis and interpretation, P.T. and J.K.; manuscript writing, P.T., J.K. and T.W.R.; final approval of manuscript, P.T., J.K. and T.W.R. All authors have read and agreed to the published version of the manuscript.
Funding
This research received no external funding.
Institutional Review Board Statement
Not applicable.
Informed Consent Statement
Not applicable.
Data Availability Statement
Not applicable.
Conflicts of Interest
The authors declare no conflict of interest.
References
- Singh, R.B.; Naderi, A.; Cho, W.; Ortiz, G.; Musayeva, A.; Dohlman, T.H.; Chen, Y.; Ferrari, G.; Dana, R. Modulating the tachykinin: Role of substance P and neurokinin receptor expression in ocular surface disorders. Ocul. Surf. 2022, 25, 142–153. [Google Scholar] [CrossRef] [PubMed]
- Chang, M.M.; Leeman, S.E. Isolation of a Sialogogic Peptide from Bovine Hypothalamic Tissue and Its Characterization as Substance P. J. Biol. Chem. 1970, 245, 4784–4790. [Google Scholar] [CrossRef] [PubMed]
- Magendie, F. Pris Entaire de Physiologie/par F. Magendie; Chez Muignon-Marvis: Paris, France, 1825. [Google Scholar]
- Lewis, R.A. Corneal Anesthesia After Percutaneous Radiofrequency Trigeminal Rhizotomy. Arch. Ophthal. 1982, 100, 301. [Google Scholar] [CrossRef]
- Davies, M.S. Corneal anaesthesia after alcohol injection of the trigeminal sensory root. Examination of 100 anaesthetic corneae. Br. J. Ophthal. 1970, 54, 577–586. [Google Scholar] [CrossRef] [PubMed]
- Payne, F. Text-book of Ophthalmology: The Neurology of Vision, Motor and Optical Anomalies, Vol. IV. W. Stewart Duke-Elder. St. Louis, Mo.: C. V. Mosby, 1949. 3473- 4627 pp. $20.00. Science 1950, 111, 433–434. [Google Scholar] [CrossRef]
- Beuerman, R.W.; Schimmelpfennig, B. Sensory denervation of the rabbit cornea affects epithelial properties. Exp. Neurol. 1980, 69, 196–201. [Google Scholar] [CrossRef]
- Cintron, C.; Schneider, H.; Kublin, C. Corneal scar formation. Exp. Eye Res. 1973, 17, 251–259. [Google Scholar] [CrossRef]
- Fitzgerald, G.G.; Cooper, J.R. Acetylcholine as a possible sensory mediator in rabbit corneal epithelium. Biochem. Pharm. 1971, 20, 2741–2748. [Google Scholar] [CrossRef]
- Mackie, R.M.; Parratt, D.; Jenkins, W.M.M. The relationship between immunological parameters and response to therapy in resistant oral candidosis. Br. J. Dermatol. 1978, 98, 343–348. [Google Scholar] [CrossRef]
- Takeya, K.; Mlnamishima, Y.; Amako, K.; Ohnishi, Y. A small rod-shaped pyocin. Virology 1967, 31, 166–168. [Google Scholar] [CrossRef]
- Okada, Y.; Sumioka, T.; Reinach, P.S.; Miyajima, M.; Saika, S. Roles of Epithelial and Mesenchymal TRP Channels in Mediating Inflammatory Fibrosis. Front. Immunol. 2022, 12, 731674. [Google Scholar] [CrossRef]
- Reid, T.W.; Murphy, C.J.; Iwahashi, C.K.; Foster, B.A.; Mannis, M.J. Stimulation of epithelial cell growth by the neuropeptide substance P. J. Cell. Biochem. 1993, 52, 476–485. [Google Scholar] [CrossRef]
- Reid, T.W. Growth control of cornea and lens epithelial cells. Prog. Retin. Eye Res. 1994, 13, 507–554. [Google Scholar] [CrossRef]
- Ofuji, K.; Nakamura, M.; Nishida, T. Signaling regulation for synergistic effects of substance P and insulin-like growth factor-1 or epidermal growth factor on corneal epithelial migration. Jpn. J. Ophthalmol. 2000, 44, 1–8. [Google Scholar] [CrossRef] [PubMed]
- Brown, S.M.; Lamberts, D.; Reid, T.; Nishida, T.; Murphy, C. Neurotrophic and Anhidrotic Keratopathy Treated With Substance P and Insulinlike Growth Factor 1. Arch. Ophthal. 1997, 115, 926. [Google Scholar] [CrossRef] [PubMed]
- Murphy, C.J.; Marfurt, C.F.; McDermott, A.; Bentley, E.; Abrams, G.A.; Reid, T.W.; Campbell, S. Spontaneous chronic corneal epithelial defects (SCCED) in dogs: Clinical features, innervation, and effect of topical SP, with or without IGF-1. Investig. Ophthalmol. Vis. Sci. 2001, 42, 2252–2261. [Google Scholar]
- Nakamura, M.; Ofuji, K.; Chikama, T.; Nishida, T. Combined effects of substance P and insulin-like growth factor-1 on corneal epithelial wound closure of rabbit in vivo. Curr. Eye Res. 1997, 16, 275–278. [Google Scholar] [CrossRef]
- Nakamura, M.; Ofuji, K.; Chikama, T.; Nishida, T. The NK1 receptor and its participation in the synergistic enhancement of corneal epithelial migration by substance P and insulin-like growth factor-1. Br. J. Pharmacol. 1997, 120, 547–552. [Google Scholar] [CrossRef]
- Nakamura, M.; Chikama, T.; Nishida, T. Synergistic effect with Phe-Gly-Leu-Met-NH2 of the C-terminal of substance P and insulin-like growth factor-1 on epithelial wound healing of rabbit cornea. Br. J. Pharmacol. 1999, 127, 489–497. [Google Scholar] [CrossRef]
- Nakamura, M.; Kawahara, M.; Nakata, K.; Nishida, T. Restoration of corneal epithelial barrier function and wound healing by substance P and IGF-1 in rats with capsaicin-induced neurotrophic keratopathy. Investig. Ophthalmol. Vis. Sci. 2003, 44, 2937–2940. [Google Scholar] [CrossRef]
- Yamada, N.; Yanai, R.; Kawamoto, K.; Nagano, T.; Nakamura, M.; Inui, M.; Nishida, T. Promotion of corneal epithelial wound healing by a tetrapeptide (SSSR) derived from IGF-1. Investig. Ophthalmol. Vis. Sci. 2006, 47, 3286–3292. [Google Scholar] [CrossRef] [PubMed]
- Yamada, N.; Yanai, R.; Nakamura, M.; Inui, M.; Nishida, T. Role of the C domain of IGFs in synergistic promotion, with a substance P-derived peptide, of rabbit corneal epithelial wound healing. Investig. Ophthalmol. Vis. Sci. 2004, 45, 1125–1131. [Google Scholar] [CrossRef] [PubMed]
- Furuya, K.; Wu, T.; Orimoto, A.; Sugano, E.; Tomita, H.; Kiyono, T.; Kurose, T.; Takai, Y.; Fukuda, T. The transcriptome of wild-type and immortalized corneal epithelial cells. Sci. Data 2021, 8, 126. [Google Scholar] [CrossRef] [PubMed]
- Bee, J.A.; Kuhl, U.; Edgar, D.; von der Mark, K. Avian corneal nerves: Co-distribution with collagen type IV and acquisition of substance P immunoreactivity. Investig. Ophthalmol. Vis. Sci. 1988, 29, 101–107. [Google Scholar]
- Miller, A.; Costa, M.; Furness, J.B.; Chubb, I.W. Substance P immunoreactive sensory nerves supply the rat iris and cornea. Neurosci. Lett. 1981, 23, 243–249. [Google Scholar] [CrossRef]
- Bentley, E.; Abrams, G.A.; Covitz, D.; Cook, C.S.; Fischer, C.A.; Hacker, D.; Stuhr, C.M.; Reid, T.W.; Murphy, C.J. Morphology and immunohistochemistry of spontaneous chronic corneal epithelial defects (SCCED) in dogs. Investig. Ophthalmol. Vis. Sci. 2001, 42, 2262–2269. [Google Scholar]
- Kopel, J.; Keshvani, C.; Mitchell, K.; Reid, T. The Activity of Substance P (SP) on the Corneal Epithelium. J. Clin. Transl. Ophthalmol. 2023, 1, 35–51. [Google Scholar] [CrossRef]
- Lynch, D.R.; Snyder, S.H. Neuropeptides: Multiple Molecular Forms, Metabolic Pathways, and Receptors. Ann. Rev. Biochem. 1986, 55, 773–799. [Google Scholar] [CrossRef]
- Nilsson, J.; von Euler, A.M.; Dalsgaard, C.-J. Stimulation of connective tissue cell growth by substance P and substance K. Nature 1985, 315, 61–63. [Google Scholar] [CrossRef]
- Payan, D.G. Receptor-mediated mitogenic effects of substance P on cultured smooth muscle cells. Biochem. Biophys. Res. Commun. 1985, 130, 104–109. [Google Scholar] [CrossRef]
- Payan, P. Biographie de l’auteur. In À L’assaut du Palais; Éditions Universitaires d’Avignon: Avignon, France, 2021; p. 133. [Google Scholar] [CrossRef]
- Ziche, M.; Morbidelli, L.; Pacini, M.; Dolara, P.; Maggi, C.A. NK1-receptors mediate the proliferative response of human fibroblasts to tachykinins. Br. J. Pharm. 1990, 100, 11–14. [Google Scholar] [CrossRef]
- Ziche, M.; Morbidelli, L.; Pacini, M.; Geppetti, P.; Alessandri, G.; Maggi, C.A. Substance P stimulates neovascularization in vivo and proliferation of cultured endothelial cells. Microvasc. Res. 1990, 40, 264–278. [Google Scholar] [CrossRef] [PubMed]
- Lotz, M.; Carson, D.A.; Vaughan, J.H. Substance P Activation of Rheumatoid Synoviocytes: Neural Pathway in Pathogenesis of Arthritis. Science 1987, 235, 893–895. [Google Scholar] [CrossRef] [PubMed]
- Zachary, I.; Woll, P.J.; Rozengurt, E. A role for neuropeptides in the control of cell proliferation. Dev. Biol. 1987, 124, 295–308. [Google Scholar] [CrossRef] [PubMed]
- Sakiyama, T.; Kuwayama, Y.; Ishimoto, I.; Sasaoka, A.; Shiosaka, S.; Tohyama, M.; Manabe, R.; Shiotani, Y. Ontogeny of substance p-containing structures in the ocular tissue of the rat: An immunohistochemical analysis. Dev. Brain Res. 1984, 13, 275–281. [Google Scholar] [CrossRef]
- Sasaoka, A.; Ishimoto, I.; Kuwayama, Y.; Sakiyama, T.; Manabe, R.; Shiosaka, S.; Inagaki, S.; Tohyama, M. Overall distribution of substance P nerves in the rat cornea and their three-dimensional profiles. Investig. Ophthalmol. Vis. Sci. 1984, 25, 351–356. [Google Scholar]
- Marfurt, C.F.; Murphy, C.J.; Florczak, J.L. Morphology and neurochemistry of canine corneal innervation. Investig. Ophthalmol. Vis. Sci. 2001, 42, 2242–2251. [Google Scholar]
- Nakamura, M.; Nishida, T.; Ofuji, K.; Reid, T.W.; Mannis, M.J.; Murphy, C.J. Synergistic effect of substance P with epidermal growth factor on epithelial migration in rabbit cornea. Exp. Eye Res. 1997, 65, 321–329. [Google Scholar] [CrossRef]
- Nishida, T.; Nakamura, M.; Konma, T.; Ofuji, K.; Nagano, K.; Tanaka, T.; Enoki, M.; Reid, T.W.; Brown, S.M.; Murphy, C.J.; et al. Neurotrophic keratopathy—Studies on substance P and the clinical significance of corneal sensation. Nippon Ganka Gakkai Zasshi 1997, 101, 948–974. [Google Scholar]
- Ghiasi, Z.; Gray, T.; Tran, P.; Dubielzig, R.; Murphy, C.; McCartney, D.L.; Reid, T.W. The Effect of Topical Substance-P Plus Insulin-like Growth Factor-1 (IGF-1) on Epithelial Healing After Photorefractive Keratectomy in Rabbits. Trans. Vis. Sci. Technol. 2018, 7, 12. [Google Scholar] [CrossRef]
Disclaimer/Publisher’s Note: The statements, opinions and data contained in all publications are solely those of the individual author(s) and contributor(s) and not of MDPI and/or the editor(s). MDPI and/or the editor(s) disclaim responsibility for any injury to people or property resulting from any ideas, methods, instructions or products referred to in the content. |
© 2023 by the authors. Licensee MDPI, Basel, Switzerland. This article is an open access article distributed under the terms and conditions of the Creative Commons Attribution (CC BY) license (https://creativecommons.org/licenses/by/4.0/).








