Abstract
Industrial effluents pose a significant concern because they contain a variety of metals and metalloids that have detrimental effects on the environment. Conventional techniques are widely used in effluent treatment plants (ETPs) to remove metallic pollutants; however, they are less effective, are costly, and generate secondary toxic waste. Mycosorbent would be a sustainable and economical alternative to conventional techniques, as it offers numerous advantages. In this study, we shed light on the development of mycosorbent, which could be potentially applicable in the treatment of industrial effluent. In a competitive (i.e., multimetal system) optimisation study, mycosorbent AD2 exhibited a maximum biosorption capacity of 3.7 to 6.20 mg/g at pH 6.0, with an initial metal ion concentration of 25 mg/L, a contact time of 2 h, at 50 ± 2 °C, and a pHPZC of 5.3. The metal-removal capacity increased up to 1.23-fold after optimisation. The thermodynamic parameters confirmed that the AD2 mycosorbent facilitated an endothermic, feasible, and spontaneous biosorption process. The FT-IR and SEM characterisation analysis confirmed the adsorption of metals on the surface of the mycosorbent from the aqueous system. This study demonstrated that mycosorbent could be an effective tool for combating metallic pollutants in various industrial effluents.
1. Introduction
Industries extensively use water for various applications and purposes. The ongoing generation of industrial effluent is a major concern, as it not only contaminates freshwater bodies but also affects the quality and fertility of the soil, the whole ecosystem, and, ultimately, the environment. Among these industries, electroplating, textile, and paint industries generate effluents loaded with heavy metals and various metalloids, which is a global issue as metals tend to enter the food chain through the biomagnification process [1].
Heavy metals and metalloids are not easily degradable and persist in the environment due to their high solubility in aquatic environments and soils. The majority of industrial effluents are treated in their effluent-treatment plants (ETPs), where they utilise different conventional techniques such as electrodialysis where ion-exchange resins are being used, which are costly, and generate secondary toxic sludge which requires further treatments of various chemicals to clean those resins (sodium hydroxide), as well as not suitable for dilute concentration (10–100 mg/L) [2,3,4].
To overcome these issues, biological, economic, eco-friendly, and sustainable techniques have been developed. Different types of biological materials have been utilised to remove various inorganic and organic pollutants from aqueous systems, as the market value of ion-exchange resin is approximately USD 30–50, while natural biomass is marketed for only USD 3–5 [5,6]. Previously, phytoremediation has been widely applied to combat metal pollution, and some research suggested that those plants have been used in biogas production, which could be an excellent initiative in the field of sustainable technology. However, several concerns have been associated with it, such as the disposal of used plants being a critical concern. If they are employed for biogas production during anaerobic digestion, many contaminants are broken down. At the same time, heavy metals specifically remain in the digestate which requires further treatment to remove metals from the digestate or for safe disposal [7,8]. Significantly, fungal-based sorbent materials have gained widespread attention due to their variety of benefits and effectiveness, even at low concentrations of effluent [9]. Mycosorbents are widely applicable, as fungi are heterotrophic and can utilise a variety of contaminants and waste products for their growth. Interestingly, some fungi have the potential ability to grow in metal-contaminated aquatic systems. Their possible ability to utilise and remove heavy metals and various contaminants from soil and water makes them an effective biological tool for contaminant removal [10,11].
The ultimate objective of this study was to develop an unmodified mycosorbent that can be applied to treat various types of industrial effluents and handle metallic pollution. With this in mind, the effect of different process parameters under competitive (multimetal) systems was investigated to examine the removal of Cu, Cd, Cr, Ni, and Pb. Furthermore, statistical data analysis was performed to determine the effectiveness of the optimisation process. FT-IR and SEM characterisation are discussed to confirm metal removal, the involvement of different functional groups, as well as mono- and multilayer adsorption mechanisms. A thermodynamic study has been conducted to determine the favourability of the process, the nature of interactions that occur during the metal removal process, and whether the process of mycosorption is spontaneous or not. Morphological and 18S rRNA gene sequencing are also discussed to identify the fungi involved in this sustainable approach.
2. Materials and Methods
2.1. Cultivation and Preparation of Mycosorbent
For mycosorbent preparation, the purified fungal isolate AD2 was inoculated in individual 250 mL Erlenmeyer flasks containing 100 mL of Sabouraud Dextrose Broth (SDB) with a pH of 5.6 ± 0.2, adjusted using 0.1 N HCl. The flask was incubated in an environmental orbital shaker rotating at 150 rpm and 28 ± 2 °C for 96 h. At the end of incubation, the fungal biomass was collected after filtering the whole content through a muslin cloth. The collected fungal biomass was dried in an oven at 60 ± 2 °C for 24 h. The dry mycosorbent was crushed with the help of a mortar and pestle, sieved to sort particles of about 12 mm in size, and stored in a clean, airtight glass container for biosorption studies.
2.2. Preparation of Multimetal Solution for Competitive Biosorption
Simulated wastewater of 5 different metal ions was prepared from copper sulfate, lead nitrate, cadmium sulfate, nickel sulfate, and potassium dichromate. The working solution was 25 mg/L (Cr = 0.48 mM; Pb = 0.12 mM; Cd = 0.22 mM; Ni = 0.43 mM and Cu = 0.39 mM), prepared by diluting 1000 mg/L of multimetal stock solution of pH 2 (to enhance the solubility of all metal salts, pH was set to 2.0). The working solution pH was adjusted according to experimental requirements during the sorption study [3]. Solutions were prepared using double-distilled water to avoid salt contamination.
2.3. Point of Zero Charge (PZC) of Mycosorbent
A point-of-zero charge study was conducted to assess the surface charge of AD2 fungi. In a series of 100 mL flasks, 45 mL of 1% KNO3 solution was added. The initial pH was adjusted from 1 to 11 by adding either 0.1 N HNO3 or 0.1 N NaOH. After that, the final volume was made up to 50 mL by adding the KNO3 solution. The pHi (initial) of the solution was noted, and 0.1 g of dried mycosorbent AD2 was added to each flask. The flasks were placed on an environmental shaker at 50 rpm to reach equilibrium for 24 h. The mycosorbent was separated by filtration through Whatman filter paper no.1, and the pHf (final) of the supernatant liquids was noted. The PZC value was determined by plotting the initial pH against the final pH [12].
2.4. Process Optimisation by One Factor at a Time Approach (OFAT)
A process-optimisation study was conducted using the one-factor-at-a-time (OFAT) approach for the selected AD2 mycosorbent in a competitive system comprising five different metals. The influence of various process parameters listed below was examined using a dried mycosorbent of AD2 inoculated in a 100 mL multimetal solution (Cu, Cr, Ni, and Pb) and agitated at 150 rpm under various experimental conditions as required. All experiments were carried out in triplicate. Unless otherwise specified, 100 mg of dried mycosorbent was inoculated into a 250 mL Erlenmeyer flask containing a 6.0 ± 0.2 pH multimetal solution with an initial metal concentration of 25 mg/L. The flask was maintained on an orbital shaker at 32 ± 2 °C and 150 rpm [3].
2.4.1. Effect of Contact Time
This study was performed to examine the optimum contact time for maximum metal biosorption and equilibrium. At different time intervals, 0, 0.5, 1, 2, 3, 4, and 24 h samples were withdrawn to check metal biosorption.
2.4.2. Effect of pH
These experiments were conducted to understand the metal solubility and surface charges of the mycosorbent. The pH-ranging solutions 2, 3, 4, 5, and 6, with initial metal ion concentrations of 25 mg/L, were prepared in double-distilled water and used.
2.4.3. Effect of Initial Metal Ion Concentrations
To study the influence of different initial metal concentrations on the biosorption capacity of mycosorbent AD2, various multimetal solutions were prepared with initial metal ion concentrations of 5, 10, 15, 20, and 25 mg/L at a pH of 6.0 ± 0.2.
2.4.4. Effect of Dosage Concentrations
To check the optimum mycosorbent concentration for maximum multimetal biosorption, different amounts of mycosorbent (1, 2, 3, and 4 g/L) were added, along with 25 mg/L of multimetal solution.
2.4.5. Effect of Temperature
To examine the effect of temperature on metal-uptake biosorption, 400 mg of dried biosorbent was added to a 25 mg/L solution containing multiple metals. Flasks were maintained on an orbital shaker at different temperatures, 24 ± 2 °C, 32 ± 2 °C, and 50 ± 2 °C for 2 h of contact time.
2.5. Heavy Metal Analysis
Before and after biosorption, heavy metal concentration was determined by atomic absorption spectroscopy (Elico SL 243, Hyderabad, India). The instrument was calibrated using standard solutions (Thomas Bakers, Mumbai, India). The samples were diluted according to their standard range for accuracy.
The metal-removal percentage was calculated using Equation (1).
where Ci is the initial metal ion concentration, and Ct is the final metal ion concentration at a given time, t (0.5, 1, 2, 3, 4, and 24 h).
Likewise, milligrams of metal sorbed per gram of mycosorbent were determined by Equation (2).
where m is the dry weight of mycosorbent added to the biosorption experiment, and is the volume of metal solution [11,13,14].
2.6. Data Statistical Analysis
To evaluate the effects of various process parameters on the biosorption capacity of fungal biosorbents, statistical analysis was carried out. We performed a one-way ANOVA, where optimised and unoptimised processes were considered as factors and metal-removal capacity was regarded as the dependent variable. Afterwards, a post hoc multiple comparison test (HSD-Tukey) was performed to find significant differences between the percentages of metal removal and the factors studied. This test was selected because it allows for pairwise comparisons of each factor and the difference between groups [11].
2.7. Thermodynamic Modelling Study
Thermodynamic parameters, such as ∆G0 (kJ/mol) variation of Gibbs energy, ∆H0 (kJ/mol) variation of enthalpy, and ∆S0 (J/mol K) variation of entropy, play a significant role in adsorption. Consequently, the thermodynamic parameters were calculated by Van’t Hoff equations (Equations (3) and (4))
where ∆G0 (kJ/mol) is a variation of Gibbs energy, ∆H0 (kJ/mol) is a variation of enthalpy, and ∆S0 (J/mol K) is a variation of entropy. The linear correlation can be determined from the lnKL vs. 1/T graph [15].
∆G0 = −RT lnKL
The thermodynamic parameters were analysed to determine the feasibility of the biosorption reaction. The thermodynamic study was carried out at various temperatures (24 ± 2 °C, 32 ± 2 °C, 50 ± 2 °C) under optimised conditions: 4 g/L mycosorbent concentration, pH 6.0, initial metal ion concentration of 25 mg/L, and a 2 h contact time for AD2 mycosorbent.
2.8. Molecular Identification and Growth Characteristics Study of Mycosorbent AD2
To understand the cultural characteristics, the fungal strain was grown on Sabouraud Dextrose Agar (SDA) plate for 5 days at 30 ± 2 °C. Cultural attributes, such as shape, colour, appearance, and pigment of the colony, were noted.
For molecular identification, DNA from the fungal biomass was extracted using a Prepman Ultra (Thermo Fisher Scientific, Waltham, MA, USA) kit according to the manufacturer’s instructions. The internal transcribed spacer (ITS) region was amplified using the universal primers ITS1 F and ITS4 R. The PCR (Polymerase Chain Reaction) was carried out using Takara EmeraldAmp® GT PCR Master Mix 2X (Takara Bio India Private Ltd., New Delhi, India) solution, which contains Taq DNA polymerase, dNTPs, MgCl2, and reaction buffers for efficient PCR amplification of fungal DNA templates. The ITS regions were sequenced at the Gujarat Biotechnology Research Centre (GBRC) in Gandhinagar, Gujarat, India. The obtained sequence was analysed by nucleotide BLAST (NCBI BLASTn, version 2.15.0) against the NCBI standard nucleotide database. All closely related sequences, along with one outgroup, were downloaded, and the sequences were then aligned. A Neighbour-Joining method was used to construct a phylogenetic tree using MEGA software (MEGA 12).
2.9. Surface Characterisation of Mycosorbent AD2 by FT-IR and SEM Analysis
To evaluate the role of various functional groups in metal removal, the mycosorbent AD2, both before and after biosorption, was subjected to FT-IR analysis using an ALPHA spectrometer (Bruker India Scientific Pvt. Ltd., Mumbai, India). Mycosorbent AD2 was dried after the equilibrium and before adsorption, and then ground into a fine powder. Around 1.0 mg of mycosorbent was pressed into tablets for infrared spectrum analysis. The surface characterisation of mycosorbent AD2 before and after biosorption of the multimetals was examined by scanning electron microscope (SEM), FEI Thermo Fisher Scientific, Model Nova NanoSEM 450 (Thermo Fisher Scientific, MA, USA). For morphological analysis of mycosorbent, both used and unused samples were previously dried at 60 °C for 24 h to obtain a constant moisture content.
3. Results
3.1. Point of Zero Charge Study on AD2 Mycosorbent
The PZC study was conducted to investigate the surface charge of the dried mycosorbent AD2 at various pH levels. The PZC is an appropriate index for examining the working pH in biosorption studies. The PZC is the pH value at which the net charge of the mycosorbent is zero [16]. Under acidic conditions (pH < pHPZC), the net charge on mycosorbent becomes positively charged; hence, repulsion may occur between mycosorbent and positively charged metal ions. On the other hand, when the pH increases (pH > pHPZC), the net charge on the mycosorbent becomes negatively charged, which promotes electrostatic interactions and favours the adsorption of positively charged metal ions. The current study calculated the pHPZC of mycosorbent AD2 using the 11-point method [12]. Equilibrium between the initial and final pH was achieved at various pH levels for mycosorbent AD2, as represented in Figure 1. The pHPZC was found to be 5.3 for AD2 mycosorbent. The current study confirmed that cation biosorption is enhanced above the point of zero charge (PZC) values. Further studies were conducted above the pHPZC value to improve metal removal.
Figure 1.
Point of zero charge study of AD2 mycosorbent.
3.2. Process Optimisation Using One-Factor-At-a-Time (OFAT) Approach
3.2.1. Effect of Contact Time on Competitive Biosorption by Mycosorbent AD2
Contact time is a significant parameter in the case of multimetal removal from an aqueous system, as it determines the kinetics and equilibrium of the biosorption process. The effect of contact time on fungal biosorption was studied over a time range of 0 to 4 h and at 24 h. The effect of contact time on the percent removal of Cu, Cd, Cr, Pb, and Ni by AD2 mycosorbent is represented in Figure 2A. At the same time, the metal uptake capacity of AD2 is shown in Figure 2B. The figure shows that the removal of >20% of Cu, Cd, and Ni and >40 to 70% of Cr and Pb was found due to immediate physical sorption. The equilibrium was established at a 2 h contact time, with the maximum metal removal at 24 h of contact time. In the case of conventional techniques, such as adsorption through activated charcoal, including PAC (Powdered Activated Carbon) and GAC (Granular Activated Carbon), both require a contact time of 2 h or more (8 h) for efficient metal removal from industrial effluents at a large scale [17]. As compared to chemical adsorbent, mycosorbent AD2 showed maximum metal removal in less contact time, which could be a great asset in the scale-up of this process.
Figure 2.
Effect of contact time on multimetal sorption by mycosorbent AD2. (A) Percent sorption. (B) Multimetal-removal capacity.
3.2.2. Effect of pH on Competitive Biosorption by Mycosorbent AD2
The pH of the aqueous system has a considerable influence on competitive metal biosorption, as pH can alter the speciation, solubility, ionisation of metal ions, and surface charges of the mycosorbent, as mentioned in the previous section on PZC. In the present investigation, the effect of initial pH was examined in the range of 2 to 6 for a 2 h contact time using AD2 mycosorbent. The impact of pH on the competitive biosorption for mycosorbent AD2 is illustrated in Figure 3A,B. It is clear from the results that the maximum biosorption efficiency of AD2 mycosorbent increased gradually to pH 6.0, with the removal of 10.5 mg/g (Cu), 11.8 mg/g (Cd), 24.0 mg/g (Cr), 23.7 mg/g (Pb), and 11.1 mg/g (Ni) of mycosorbent. At lower pH 2.0, the biosorption efficiency of the mycosorbent decreased due to the positive charge on the surface, which causes repulsion between the same charge. In this scenario, the pHPZC is 5.3 as mentioned in Section 3.1. Furthermore, all experiments were conducted at pH 6.0, as pH 6.0 > pHPZC 5.3, indicating that the surface of the mycosorbent is now negatively charged, which attracts the positively charged metal ions. Therefore, performing experiments at pH 6.0 is not only possible but also provides a specific surface charge prediction for the application of mycosorbent material. In the majority of industrial effluents, prior pH adjustment is the primary step because at a pH of 8.0, all metal ions are converted into their hydroxide precipitate form. However, mycosorbent AD2 could act as a polishing step (precipitates will adsorb onto mycosorbent) or assist in the flocculation of these metal precipitates, as there are no longer dissolved metals present in the effluent with a pH of 8.0. Interestingly, mycosorbent AD2 not only works for dissolved metal ions but can also help remove metal precipitates, thereby reducing the cost of the pH-adjustment step in large-scale applications.

Figure 3.
Effect of various pHs on multimetal sorption by mycosorbent AD2. (A) Percent sorption. (B) Multimetal-removal capacity.
3.2.3. Effect of Initial Metal Ion Concentrations on Competitive Biosorption by Mycosorbent AD2
The initial metal ion concentration is crucial in the biosorption process, as it significantly affects the mass-transfer resistance between the solid surface and the metal ions. In this experiment, we selected initial metal concentrations ranging from 5 to 25 mg/L based on the metal concentrations found in actual domestic solid waste (PMSW) [3]. The influence of metal ions was checked at optimised conditions of pH 6.0 and a 2 h contact time. The graphical representation of the effect of initial metal concentration on multimetal biosorption by the mycosorbent AD2 is illustrated in Figure 4A,B. In this study, the maximum percentage of metal removal was observed at a lower initial metal ion concentration of 5 mg/L, which was approximately >61% of all the metals for mycosorbent AD2. The mycosorbent AD2 was able to remove 12.8 mg/g (Cu), 15.0 mg/g (Cd), 24.2 mg/g (Cr), 24.2 mg/g (Pb), and 13.5 mg/g (Ni) of metals from the multimetal system at an initial metal concentration of 25 mg/L. However, when the initial metal concentration increased, the sorption capacity of other metals decreased as compared to Cr and Pb. At a lower concentration (5 mg/L), a greater number of binding sites are available compared to the present metal ions, which may be the reason for the increased sorption at this concentration. On the other hand, at the highest initial metal concentration (25 mg/L), Pb and Cr showed maximum removal from the aqueous system due to their highest electronegativity and maximum positive charge (Cr+6), with the smallest ionic radius, significantly affecting their removal rate, respectively.
Figure 4.
Effect of initial metal concentration on multimetal sorption by mycosorbent AD2. (A) Percent sorption. (B) Multimetal-removal capacity (biosorption of Cr and Pb were found to be almost similar).
Similarly, Arcagok et al. [18] demonstrated that the metal sorption rate decreased after saturation of the active site, and subsequently, no significant increase was observed. However, as the initial metal ion concentrations increased, the percentage of metal removal decreased; nevertheless, the metal-removal capacity (mg/g) increased due to more metal-binding sites becoming available per gram of the mycosorbent. At high initial metal ion concentrations, there were insufficient binding sites available for metal ions to bind to the surface of the mycosorbent, which may be the reason for the decreased metal-uptake rate [9].
3.2.4. Effect of Dosage Concentration on Competitive Biosorption by Mycosorbent AD2
Another vital parameter that plays a crucial role in biosorption is the mycosorbent or dosage concentration. When the dosage concentration increased, the metal-uptake capacity also increased because more vacant sites were available. Yet, beyond the optimum concentration, increasing the mycosorbent concentration leads to the aggregation or clumping of the mycosorbent, which decreases the surface area and biosorption [19]. The biosorption capacity of the AD2 mycosorbent is illustrated in Figure 5A,B. In this study, the percentage biosorption capacity increased gradually as the mycosorbent concentration increased from 1 to 4 g/L, while the metal-removal capacity (mg/g) decreased with increasing mycosorbent concentration. Mycosorbent AD2 exhibited 3, 8, and 5% increases in percent biosorption with increasing mycosorbent concentration from 1 to 4 g/L for Cu, Cd, and Ni, respectively.

Figure 5.
Effect of dosage concentration on multimetal sorption by mycosorbent AD2. (A) Percent sorption (B). Multimetal-removal capacity (biosorption of Cr and Pb were found to be almost similar).
The decrease in the metal-removal capacity (mg/g) of all metals with increasing dosage concentration might be due to a lower concentration of metals in the system, as compared to mycosorbent, which would increase superficial adsorption on the surface of the mycosorbent rather than intraparticle diffusion [20]. In this study, the sorption capacity decreased or seems low while considering the low dosage concentration though the mycosorbent AD2 is showing preferential uptake of Cr and Pb compared to other metal ions and might be regarded as acceptable because the AD2 mycosorbent is an economic and sustainable material as compared to other synthetic resins (activated carbon). This selective adsorption could be considered for its actual application in the treatment of industrial effluent, particularly in terms of its maximum metal-removal capacity. Furthermore, in order to achieve maximum metal concentration, kinetic and isotherm studies should be performed to compare their theoretical and practical removal capacities.
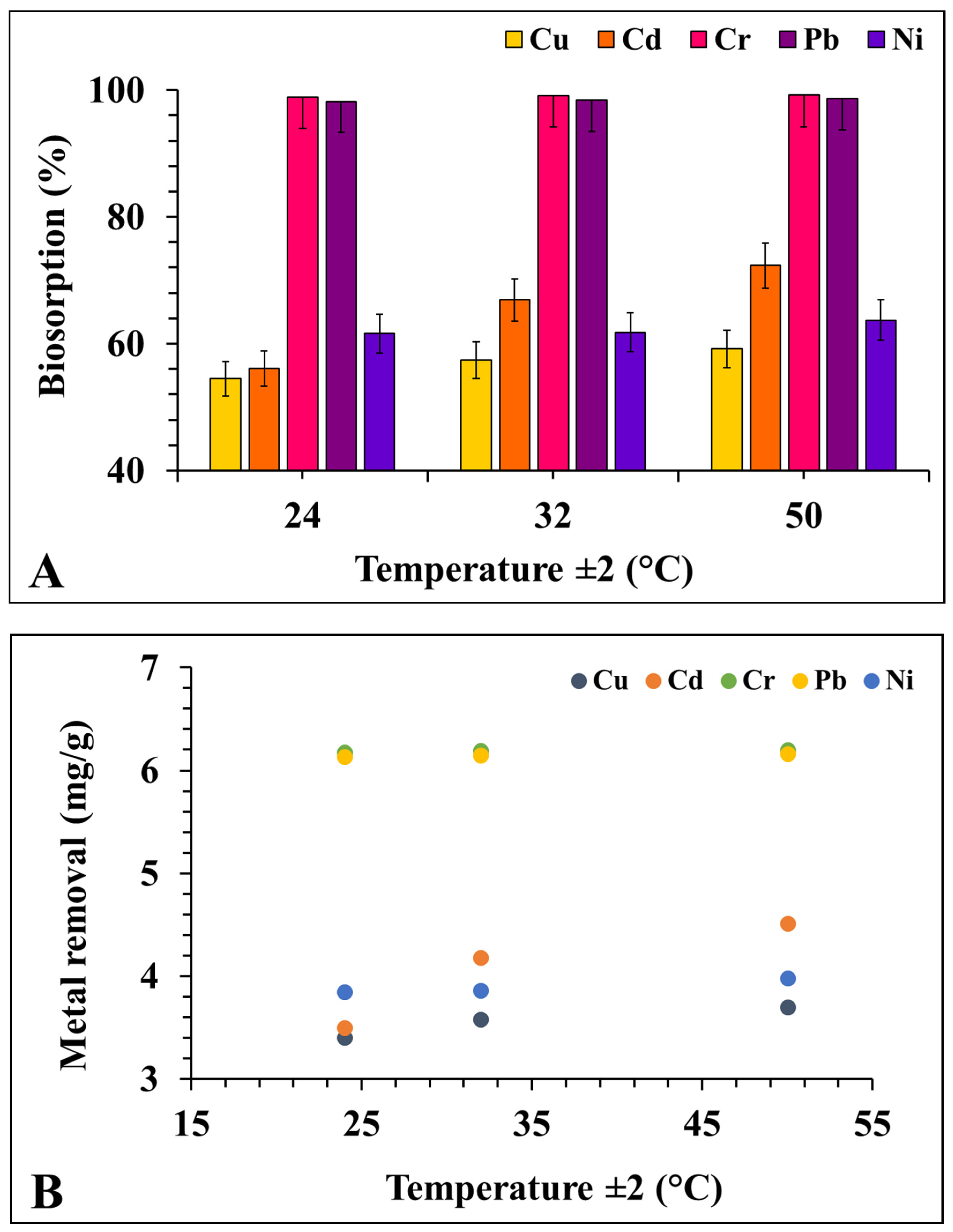
3.2.5. Effect of Temperature on Competitive Biosorption by Mycosorbent AD2
Temperature is a significant parameter that not only affects the biosorption capacity of mycosorbent but also raises the kinetic energy of the molecules due to the collisions of the molecules adhering to the surface of the mycosorbent [9]. Increasing the temperature also enhances particle mobility and reduces the viscosity of the aqueous system, thereby significantly increasing metal adsorption on the mycosorbent surface [15]. A detailed examination of the effect of temperature on the percentage biosorption of multimetal was carried out at pH 6.0 with an initial metal concentration of 25 mg/L, inoculated with a dosage concentration of 4 g/L at various temperatures for a 2 h contact time. The effect of different temperatures on the biosorption of heavy metals by fungi is demonstrated in Figure 6A,B. In this study, the percentage of biosorption and metal-removal capacity (mg/g) increased as temperature increased, confirming the endothermic nature of the biosorption process. Under optimised conditions, AD2 mycosorbent exhibited a gradual increase in percentage biosorption as the temperature rose, with maximum metal-removal capacities of 3.70 mg/g (Cu), 4.51 mg/g (Cd), 6.20 mg/g (Cr), 6.16 mg/g (Pb), and 3.98 mg/g (Ni).
Figure 6.
Effect of temperature on multimetal sorption by mycosorbent AD2. (A) Percent sorption (B). Multimetal-removal capacity.
In this study of competitive metal removal, mycosorbent AD2 removed metals with the affinity order Cr6+ > Pb2+ > Cd2+ > Ni2+ > Cu2+. The affinity order of metal removal in a competitive system not only depends on the concentration of metals (here, the concentration of metals is constant) but also on the chemical nature of the metals, such as valency, hydration energy, electronegativity, and hydrated radius. In this case, Cr showed maximum removal due to its having the smallest hydrated radius, the highest positive charge (resulting in stronger electrostatic interactions), and the highest hydration energy compared to other metals. In the case of Pb, the highest Pauling electronegativity (2.33) among all metals favoured its first uptake after Cr in affinity order [3]. In addition, Cd has the highest molecular weight, which may contribute to its preferential uptake over Ni and Cu. Lastly, these two metal ions have almost the same electronegativity (1.90 and 1.91, respectively) and similar hydration energies (2121 and 2106 kJ/mol, respectively). Their chemical characteristics contributed to their affinity towards mycosorbent AD2, where ionic, covalent, or hydrogen bonds might be involved [3].
3.3. Statistical Data Analysis of Process Optimisation for AD2 Mycosorbent
To evaluate the effect of process optimisation on the metal-removal capacity of the mycosorbent AD2, we calculated the metal removal before and after optimisation in terms of fold increase. After optimisation, the metal-removal capacity was found to be 1.23-fold increased for AD2. The total metal-removal capacity, expressed as a percentage, also increased from 63.7% to 78.5% after the optimisation process.
Furthermore, we performed a one-way analysis of variance (ANOVA). First, we compared the metal-removal capacity before and after the optimisation process using ANOVA analysis, where the p-value was <0.05. Optimised and unoptimised [3] conditions were considered factors, while the metal-removal capacity of the mycosorbent was considered a dependent variable. The description of the one-way ANOVA is presented in Table 1.
Table 1.
One-way ANOVA of K = 2 (unoptimised and optimised) independent treatments for mycosorbent AD2.
For mycosorbent AD2, the p-value was found to be <0.05, which demonstrated that the applied treatments are significantly different. In addition, both treatments were verified by a post-hoc Tukey HSD test to find significant differences (0.05 ≤ p ≤ 0.01). It allows for pairwise comparison, which gives an idea of the difference between the groups and confidence estimates. The post-hoc Tukey HSD test results are presented in Table 2, and the statistical data analysis of pairwise comparison treatments explained that both treatments are significantly different, where the p-value was found to be <0.01.
Table 2.
Post-hoc Tukey HSD analysis of mycosorbent AD2.
3.4. Thermodynamic Modelling Study of Mycosorbent AD2
The negative value of the variation in Gibbs free energy (∆G0) indicates that the uptake of metal ions is a feasible and spontaneous process, regardless of the properties of the biomass within the studied temperature range. It is important to note that increasing 24 to 50 °C causes a significant reduction in the values of Gibbs free energy (∆G0). This nature of multimetal biosorption proves that, at increased temperatures, a lesser amount of energy is needed to enhance the sorption process. In addition, increasing temperature favours more spontaneous reactions with an endothermic nature [21]. According to previous reports, a value of ∆G0 above −20 kJ/mol indicates physisorption with electrostatic interactions. While ∆G0 with a value of −40 kJ/mol or below is the chemisorption nature of adsorption with an ion-exchange mechanism [22,23]. In the present study, the values of ∆G0 for AD2 mycosorbent fall in the range of −20 kJ/mol, proving that physical adsorption occurs at the biomass surface.
In the bargain, the endothermic nature of the biosorption process is not only demonstrated by the positive value of the Gibbs free energy (∆G0) but also by the positive value of the enthalpy (∆H0). Remarkably, in the case of enthalpy values, chromium exhibits the lowest energy consumption for retaining metal ions [24]. Hence, the functional groups of mycosorbent AD2 are highly available to interact with chromium ions in solution. Analogously, the same pattern is also found in the case of lead ions. This explains why chromium ion has the most excellent preference in sorption in the competitive sorption study, which aligns with the reported experimental findings. In this instance, the values of ∆H0 fall within a wide range, from 3.74 to 34.66 kJ/mol, for AD2 mycosorbent. Therefore, values of ∆H0 and ∆G0 support the electrostatic interactions that play a significant role in physical adsorption.
In addition, the positive entropy (∆S0) value dominantly supported the electrostatic interactions between the biomass and metal ions. These higher positive values of ∆S0 indicate increased randomness at the liquid/solid interface, which suggests that the reaction is spontaneous and that metal ions may be retained due to electrostatic interactions [24]. The values of the thermodynamic study are presented in Table 3, and the linear relationship of lnKL vs. 1/T is illustrated in Figure 7.
Table 3.
Thermodynamic parameters of multimetal biosorption by mycosorbent AD2.
Figure 7.
Thermodynamic modelling study of mycosorbent AD2.
3.5. Identification of AD2 Isolate by Growth Characteristics and 18S rRNA Gene Sequencing
The primary identification was carried out using growth and morphological characteristics. The colony of the AD2 fungi was large, white, and had a cottony texture without any pigmentation. Figure 8 represents the growth characteristics of AD2 Alternaria sp. During the cultivation of biomass for the adsorption process, this fungus grows rapidly and produces high biomass within 96 h of incubation time. For large-scale applications, the incubation time was reduced from 96 to 48 or 72 h, as it produced efficient dried biomass (approximately 28.8 g/L), which was used in all experimental studies.
Figure 8.
Growth characteristics of AD2 fungal isolate.
The information regarding the molecular identification of the fungal isolate AD2, as determined by 18S rRNA gene sequencing, is presented in Table 4. The phylogenetic tree showing the evolutionary relationships of fungal strains is presented in Figure 9. The fungal isolate was identified as the species Alternaria and denoted as Alternaria jacinthicola AD2 based on sequencing of the 18S rRNA gene. The sequence was submitted to NCBI GenBank, and the accession number for Alternaria jacinthicola AD2 was PQ817781.
Table 4.
Results of BLAST analysis of AD2 fungal isolate.
Figure 9.
Phylogenetic relationship of AD2 Alternaria jacinthicola.
3.6. Characterisation of AD2 Mycosorbent Using FT-IR and SEM Analysis
To understand which functional group plays a crucial role in various metal adsorptions, Fourier-transform infrared spectroscopy (FTIR) can provide vital information regarding them. The characterisation of AD2 mycosorbent, both without and with metal ions, was measured in the range of 400–4000 cm−1, with their peaks represented in Figure 10A,B. The number of adsorption bands in the infrared spectra of Cr, Cd, Cu, Ni, and Pb was also measured and presented in Table 5. According to the literature, various functional groups, including amide, methyl, carbonyl, hydroxyl, and carboxyl, are present on the surface of fungi [25,26]. In the case of mycosorbent, AD2 mycosorbent demonstrated multimetal removal due to the role of various functional groups. Peaks at 3480.57, after metal uptake, confirmed the role of -OH bonds in alcohol/phenol and -NH bonds in amines. Similarly, after metal biosorption, sharp peaks were found at 2891.61 cm−1, indicating the presence of C–H and C=O of carbonyl compounds, where CH2 and CH3 groups played a role in metal uptake as constituents of phospholipids in fungal cell walls [27]. Interestingly, AD2 mycosorbent displayed involvement of isocyanate functional groups, as evidenced by a peak shift to approximately 2300 cm−1 [28]. AD2 mycosorbent also showed significant involvement of unsaturated alkene compounds (C=C) [29]. The sharp vibrations at 1030 to 1060 cm−1 indicate that the -COOH groups affected metal adsorption in AD2 [30]. However, vibrations of peaks < 1000 cm−1 were observed due to the fingerprint zone of amine, sulphate, and phosphate groups [31], which played a role in metal removal in the case of AD2.

Figure 10.
FT-IR spectra of AD2 mycosorbent (A) before metal biosorption, (B) after metal biosorption.
Table 5.
Comparisons of major functional groups involved before and after multimetal biosorption by AD2 mycosorbent.
To check the reusability of the mycosorbent AD2, it was tested against the actual industrial wastewater (electroplating industry). This mycosorbent demonstrated effective removal of metal ions from actual effluent over three successive cycles of sorption–desorption. However, after these cycles, the mycosorbent became less effective, as its overall metal-removal capacity decreased due to the corrosive effect of the acid as the desorbing agent (data not shown).
SEM images of used and unused mycosorbent AD2 (particle size < 12 mm) for multimetal adsorption are represented in Figure 11. The SEM images of multimetal biosorption before and after showed a significant difference in their morphological characteristics, measured at diameters of 10 and 50 µm. AD2 mycosorbent presented a decrease in the void and the appearance of bright areas (50 µm). In comparison, the presence of precipitate-like crystals on the surface was assumed to be metal ions that crystallised from the solution (10 µm). The surface of the used mycosorbent turned heterogeneous, with an irregular and cracked sponge-like structure appearing after multimetal biosorption. Before biosorption, the surface morphology of the mycosorbent showed visible pores and a crosslinked structure of the cell surface of the AD2 mycosorbent. There was also smoothening of the mycosorbent surface attributed to the accumulation of metal ions on the cell surface, indicating physical adsorption of metal ions. For further characterisation, XRD and EDX analyses are necessary.

Figure 11.
SEM image of AD2 mycosorbent (A) after biosorption (50 µm); (B) before biosorption (50 µm); (C) after biosorption (10 µm); (D) before biosorption (10 µm).
3.7. Possible Mechanisms of Mycosorption by AD2 Mycosorbent
The potential findings of the present investigation suggested several possible mechanisms governed by AD2 mycosorbent for the removal of metallic pollutants from simulated wastewater. One of the most common mechanisms is the electrostatic interaction associated with metal removal by AD2 mycosorbent, as confirmed by the shift in FT-IR spectra. The fewer voids and surface changes after the sorption process, as revealed in SEM images, indicate that the mycosorbent AD2 exhibits physisorption or physical adsorption through electrostatic interactions. From a theoretical and mathematical perspective, the negative value of ΔG0, a specific value of enthalpy (ΔH0), and a positive value of ΔS0 prove that physical adsorption and electrostatic interaction play a key role in metal removal by AD2 mycosorbent. For a more detailed understanding of the mechanisms, it is necessary to conduct adsorption isotherm and kinetic modelling studies, along with XRD analysis.
3.8. Scale-Up Approach and Techno-Economic Analysis for Future Perspectives
The scale-up and techno-economic analysis provide an excellent perspective, as they delve into the actual applicability of mycosorbent AD2 in industrial effluent treatment. For the scale-up, we conducted a batch column reactor study using different mycosorbent materials, including AD2 mycosorbent. For its future application, we are currently focusing on the techno-economic analysis, including capital costs and operating costs, as well as the overall economic viability of this sustainable approach. The present investigation, when compared with conventional techniques such as the use of activated charcoal, highlights that scalability is challenging for continuous flow reactors. However, fixed-bed columns would be applicable for AD2 mycosorbent, along with a desorption assembly, for a batch-removal process. Moreover, the production cost of mycosorbent is very low compared to activated charcoal. We have developed an economical medium for growing fungi to produce economic mycosorbent materials, which is two times cheaper than commercially available growth media. Another essential aspect in the scale-up and application of these mycosorbent materials is that their secondary waste (used mycosorbents) is less hazardous and may be biodegradable compared to activated charcoal. This overall process demonstrates environmental sustainability over conventional techniques; however, further research is required to understand the regeneration (possible cycles of sorption–desorption) and metal recovery for the complete commercialisation of this technique.
4. Conclusions
Mycosorbent AD2, prepared from Alternaria jacinthicola, has the potential ability to remove five different metals from a competitive system. The metal-removal order was found to be Cr > Pb > Cd > Ni > Cu. The optimisation data suggested that the given treatment was effective, as the p-value was found to be <0.05 in ANOVA and <0.01 in post-hoc Tukey HSD analysis. The thermodynamic study and surface characterisation data proved that the process occurring on the surface of the mycosorbent AD2 was feasible, endothermic, and spontaneous, where a physisorption process occurred in both monolayer and multilayer adsorption, as confirmed by the SEM analysis. Thus, mycosorbent AD2 could serve as an effective and economical biological material for treating industrial effluents.
Author Contributions
Conceptualisation, S.R.D. and D.R.T.; Methodology, A.V.P.; Software, A.V.P.; Validation, S.R.D. and D.R.T.; Formal analysis, A.V.P.; Investigation, A.V.P.; Resources, D.R.T.; Data curation, S.R.D. and D.R.T.; Writing—original draft, A.V.P.; Writing—review & editing, S.R.D. and D.R.T.; Visualization, S.R.D.; Supervision, D.R.T.; Project administration, D.R.T.; Funding acquisition, A.V.P. All authors have read and agreed to the published version of the manuscript.
Funding
This research was funded under the Shodh fellowship (grant number 2020021380120) by the Higher Education Department, Government of Gujarat, India.
Institutional Review Board Statement
Not applicable.
Informed Consent Statement
Not applicable.
Data Availability Statement
The original contributions presented in this study are included in the article. Further inquiries can be directed to the corresponding author(s).
Conflicts of Interest
The authors declare that they have no conflicts of interest.
References
- Oladimeji, T.E.; Oyedemi, M.; Emetere, M.E.; Agboola, O.; Adeoye, J.B.; Odunlami, O.A. Review on the impact of heavy metals from industrial wastewater effluent and removal technologies. Heliyon 2024, 10, e40370. [Google Scholar] [CrossRef]
- Barquilha, C.E.R.; Cossich, E.S.; Tavares, C.R.G.; Silva, E.A. Biosorption of nickel (II) and copper (II) ions by Sargassum sp. in nature and alginate extraction products. Bioresour. Technol. Rep. 2019, 5, 43–50. [Google Scholar] [CrossRef]
- Prajapati, A.V.; Baxi, N.N.; Dave, S.R.; Tipre, D.R. Mycosorption: A sustainable approach for removing heavy metals from simulated polluted water in non-competitive and competitive systems. Environ. Dev. Sustain. 2024, 26, 31557–31575. [Google Scholar] [CrossRef]
- Prajapati, A.V.; Dave, S.R.; Tipre, D.R. Mechanisms and major influencing factors for phycoremediation of metallic pollutants from industrial effluents. In Phycoremediation of Wastewater; CRC Press: Boca Raton, FL, USA, 2024; pp. 1–20. [Google Scholar]
- Volesky, B.; Naja, G. Biosorption: Application strategies. In Proceedings of the 16th International Biohydrometallurgy Symposium, Cape Town, South Africa, 25–29 September 2005; pp. 25–29. [Google Scholar]
- Macena, M.; Pereira, H.; Cruz-Lopes, L.; Grosche, L.; Esteves, B. Competitive adsorption of metal ions by lignocellulosic materials: A review of applications, mechanisms and influencing factors. Separations 2025, 12, 70. [Google Scholar] [CrossRef]
- Hunce, S.Y.; Clemente, R.; Bernal, M.P. Energy production potential of phytoremediation plant biomass: Helianthus annuus and Silybum marianum. Ind. Crops Prod. 2019, 135, 206–216. [Google Scholar] [CrossRef]
- Sharma, S.; Das, D.K.; Vinod, V.; Kumar, T.; Mittal, A.; Verma, N. Phytoremediation of heavy metals in soil-concepts, advancements, and future directions. J. Soil Sci. Plant Nutr. 2025, 25, 1253–1280. [Google Scholar] [CrossRef]
- Prajapati, A.V.; Alreshidi, M.A.; Dave, S.R.; Tipre, D.R. Mycosorption: A sustainable approach towards an emerging concern for removal of heavy metal (s) contaminant from aquatic systems. J. Mol. Liq. 2024, 394, 123712. [Google Scholar] [CrossRef]
- Shah, K.R.; Duggirala, S.M.; Tipre, D.R.; Dave, S.R. Mechanistic aspects of Au (III) sorption by Aspergillus terreus SRD49. J. Taiwan Inst. Chem. Eng. 2017, 80, 46–51. [Google Scholar] [CrossRef]
- Legorreta-Castañeda, A.J.; Lucho-Constantino, C.A.; Coronel-Olivares, C.; Beltrán-Hernández, R.I.; Vázquez-Rodríguez, G.A. Biosorption of precious metals present at dilute concentrations on fungal pellets. Processes 2022, 10, 645. [Google Scholar] [CrossRef]
- de Freitas, F.; Battirola, L.D.; Arruda, R.; de Andrade, R.L.T. Assessment of the Cu (II) and Pb (II) removal efficiency of aqueous solutions by the dry biomass Aguapé: Kinetics of adsorption. Environ. Monit. Assess. 2019, 191, 751. [Google Scholar] [CrossRef]
- El-Bondkly, A.M.A.; El-Gendy, M.M.A.A. Bioremoval of some heavy metals from aqueous solutions by two different indigenous fungi Aspergillus sp. AHM69 and Penicillium sp. AHM96 isolated from petroleum refining wastewater. Heliyon 2022, 8, e09854. [Google Scholar] [CrossRef]
- El-Gendy, M.M.A.A.; Abdel-Moniem, S.M.; Ammar, N.S.; El-Bondkly, A.M.A. Bioremoval of heavy metals from aqueous solution using dead biomass of indigenous fungi derived from fertiliser industry effluents: Isotherm models evaluation and batch optimisation. Biometals 2023, 36, 1307–1329. [Google Scholar] [CrossRef] [PubMed]
- Khodabakhshi, A.; Mohammadi-Moghadam, F.; Shakeri, K.; Hemati, S. Equilibrium and thermodynamic studies on the biosorption of lead (II) by living and nonliving biomass of Penicillium notatum. J. Chem. 2022, 2022, 3109212. [Google Scholar] [CrossRef]
- Maqbool, M.; Sadaf, S.; Bhatti, H.N.; Rehmat, S.; Kausar, A.; Alissa, S.A.; Iqbal, M. Sodium alginate and polypyrrole composites with algal dead biomass for the adsorption of Congo red dye: Kinetics, thermodynamics and desorption studies. Surf. Interfaces 2021, 25, 101183. [Google Scholar] [CrossRef]
- Mohammad-Pajooh, E.; Turcios, A.E.; Cuff, G.; Weichgrebe, D.; Rosenwinkel, K.H.; Vedenyapina, M.D.; Sharifullina, L.R. Removal of inert COD and trace metals from stabilised landfill leachate by granular activated carbon (GAC) adsorption. J. Environ. Manag. 2018, 228, 189–196. [Google Scholar] [CrossRef]
- Aracagök, Y.D. Biosorption of lead by a soil isolate Aspergillus neoalliaceus. Arch. Microbiol. 2022, 204, 547. [Google Scholar] [CrossRef]
- Tamjidi, S.; Ameri, A.; Esmaeili, H. A review of the application of fungi as an effective and attractive bio-adsorbent for biosorption of heavy metals from wastewater. Environ. Monit. Assess. 2023, 195, 91. [Google Scholar] [CrossRef]
- Bayramoğlu, G.; Çelik, G.; Yalçın, E.; Yılmaz, M.; Arıca, M.Y. Modification of surface properties of Lentinus sajor-caju mycelia by physical and chemical methods: Evaluation of their Cr6+ removal efficiencies from aqueous medium. J. Hazard. Mater. 2005, 119, 219–229. [Google Scholar] [CrossRef]
- Menezes, J.M.C.; da Silva Bento, A.M.; de Paula Filho, F.J.; da Costa, J.G.M.; Coutinho, H.D.M.; Teixeira, R.N.P. Kinetic and thermodynamic study of copper (II) IONS biosorption by Caryocar Coriaceum Wittm bark. Sustain. Chem. Pharm. 2021, 19, 100364. [Google Scholar] [CrossRef]
- Odidika, C.C.; Ajwe, V.I.E.; Eboagu, C.N.; Awuzie, C.I. Corrosion inhibition and adsorption properties of Commelina benghalensis leaves extract on mild steel in 1M H2SO4 solution. Science 2020, 8, 86–92. [Google Scholar]
- Kokalj, A. Corrosion inhibitors: Physisorbed or chemisorbed? Corros. Sci. 2022, 196, 109939. [Google Scholar] [CrossRef]
- Ciobanu, A.A.; Lucaci, A.R.; Bulgariu, L. Efficient metal ions biosorption on red and green algae biomass: Isotherm, kinetic and thermodynamic study. J. Appl. Phycol. 2024, 36, 3809–3827. [Google Scholar] [CrossRef]
- Aloufi, A.S.; Al Riyami, B.; Fawzy, M.A.; Al-Yasi, H.M.; Koutb, M.; Hassan, S.H. Model-assisted optimisation of cobalt biosorption on macroalgae Padina pavonica for wastewater treatment. Water 2024, 16, 887. [Google Scholar] [CrossRef]
- Liu, L.; Lin, X.; Luo, L.; Yang, J.; Luo, J.; Liao, X.; Cheng, H. Biosorption of copper ions through microalgae from piggery digestate: Optimisation, kinetics, isotherm and mechanism. J. Clean. Prod. 2021, 319, 128724. [Google Scholar] [CrossRef]
- Gururajan, K.; Belur, P.D. Screening and selection of indigenous metal tolerant fungal isolates for heavy metal removal. Environ. Technol. Innov. 2018, 9, 91–99. [Google Scholar] [CrossRef]
- Mushtaq, S.; Bareen, F.E.; Tayyeb, A. Equilibrium kinetics and thermodynamic studies on biosorption of heavy metals by metal-resistant strains of Trichoderma isolated from tannery solid waste. Environ. Sci. Pollut. Res. 2023, 30, 10925–10954. [Google Scholar] [CrossRef] [PubMed]
- Embaby, M.A.; Haggag, E.S.A.; El-Sheikh, A.S.; Marrez, D.A. Biosorption of Uranium from aqueous solution by green microalga Chlorella sorokiniana. Environ. Sci. Pollut. Res. 2022, 29, 58388–58404. [Google Scholar] [CrossRef]
- Chen, S.H.; Cheow, Y.L.; Ng, S.L.; Ting, A.S.Y. Mechanisms for metal removal established via electron microscopy and spectroscopy: A case study on metal tolerant fungi Penicillium simplicissimum. J. Hazard. Mater. 2019, 362, 394–402. [Google Scholar] [CrossRef]
- Mazrou, Y.S.; Neha, B.; Kandoliya, U.K.; Srutiben, G.; Hardik, L.; Gaber, A.; Awad, M.F.; Hassan, M.M. Selection and characterisation of novel zinc-tolerant Trichoderma strains obtained by protoplast fusion. J. Environ. Biol. 2020, 41, 718–726. [Google Scholar] [CrossRef]
Disclaimer/Publisher’s Note: The statements, opinions and data contained in all publications are solely those of the individual author(s) and contributor(s) and not of MDPI and/or the editor(s). MDPI and/or the editor(s) disclaim responsibility for any injury to people or property resulting from any ideas, methods, instructions or products referred to in the content. |
© 2025 by the authors. Licensee MDPI, Basel, Switzerland. This article is an open access article distributed under the terms and conditions of the Creative Commons Attribution (CC BY) license (https://creativecommons.org/licenses/by/4.0/).














