Attenuation of the Acoustic Activity in Cement Beams under Constant Bending Load Closely Approaching the Fracture Load
Abstract
:1. Introduction
2. The Experimental Protocol
3. Experimental Results
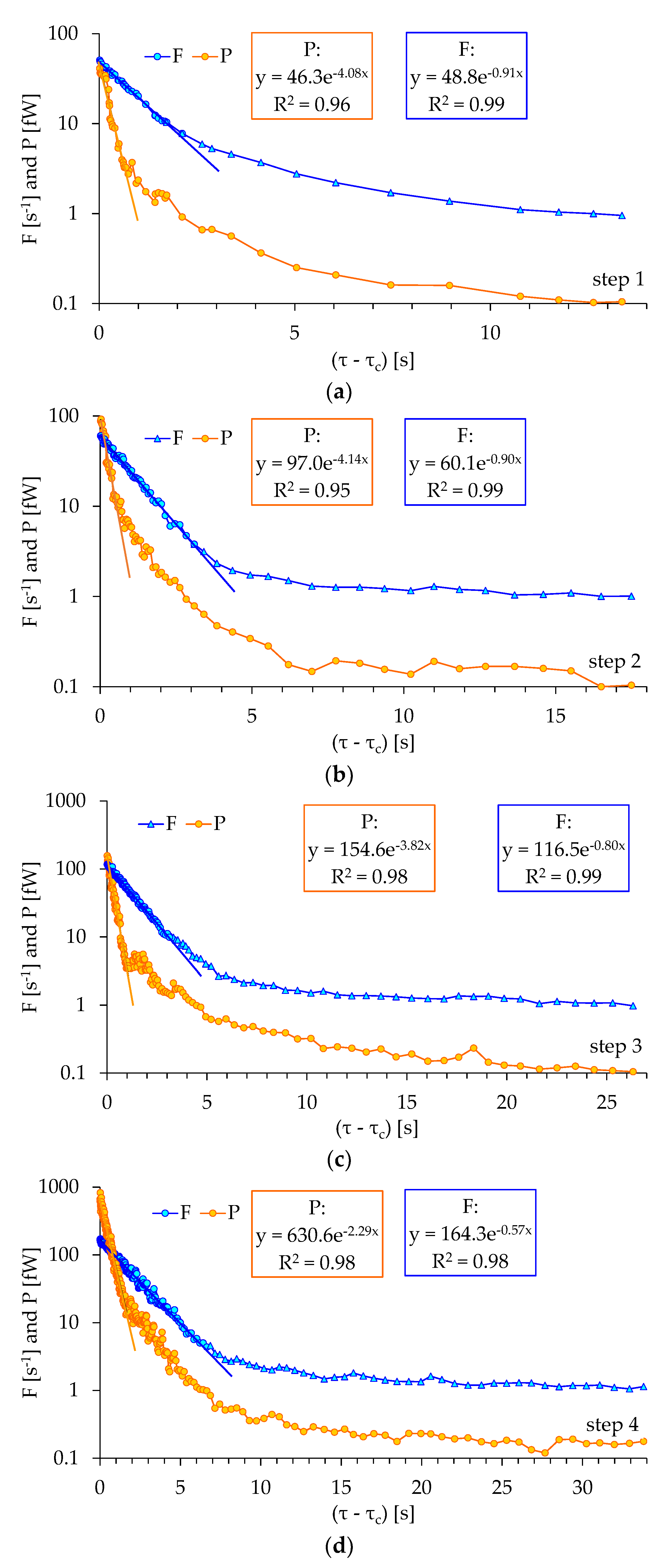
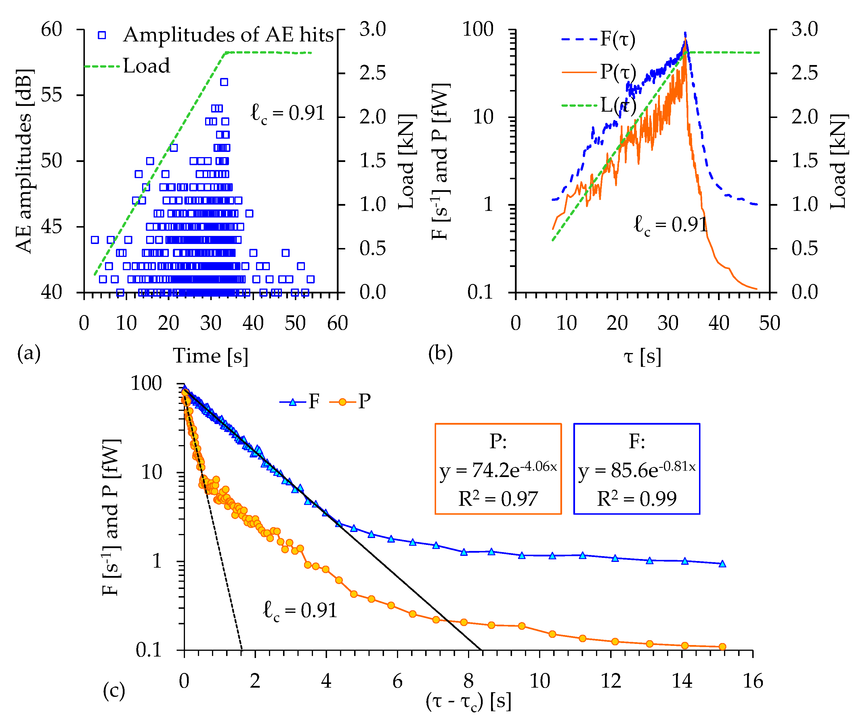
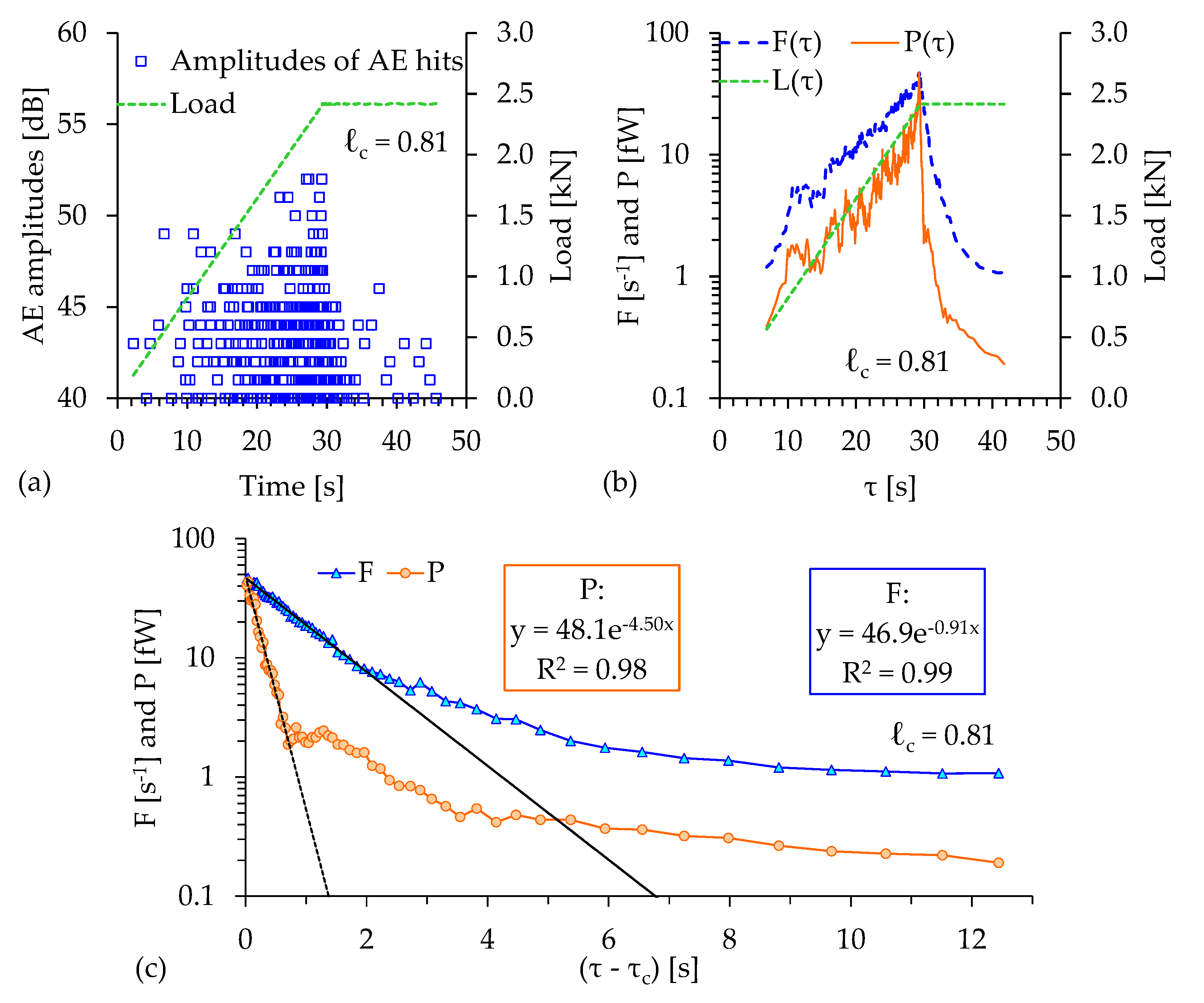
3.1. Multi-Step Loading Scheme

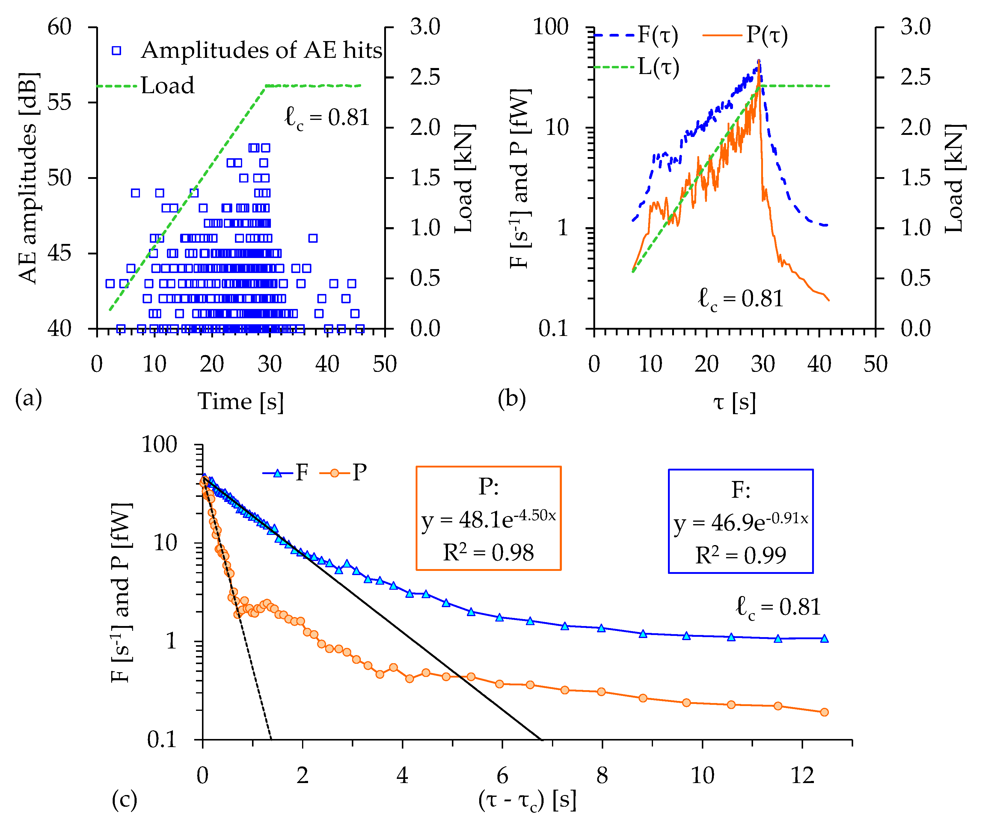
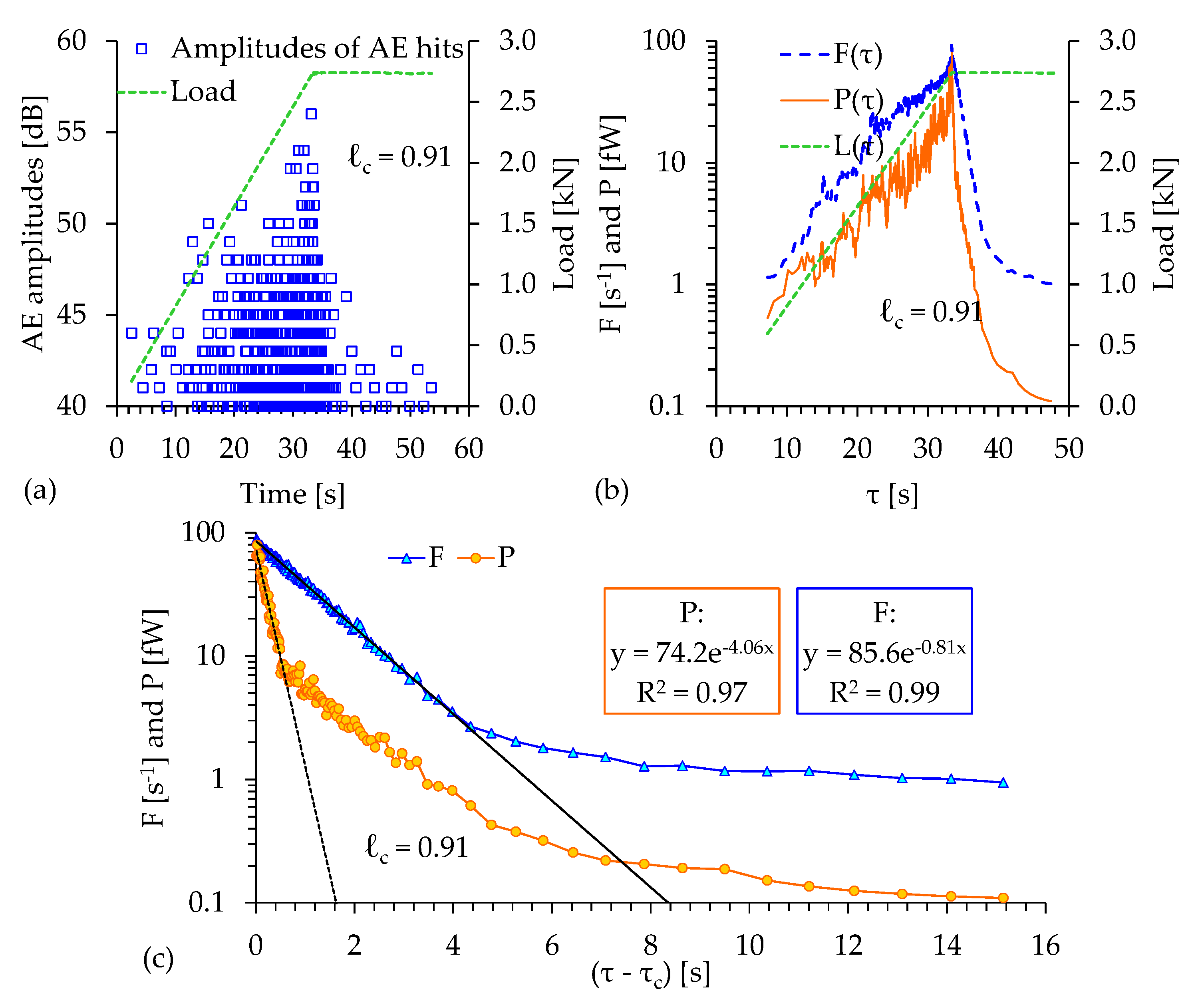
3.2. Single-Step Loading Scheme







4. Discussion

5. Conclusions
Author Contributions
Funding
Institutional Review Board Statement
Informed Consent Statement
Conflicts of Interest
References
- Grosse, C.; Ohtsu, M. Acoustic Emission Testing; Grosse, C.U., Ohtsu, M., Eds.; Springer: Berlin/Heidelberg, Germany, 2008. [Google Scholar]
- Ohtsu, M. The history and development of acoustic emission in concrete engineering. Mag. Concr. Res. 1996, 48, 321–330. [Google Scholar] [CrossRef]
- Sagar, R.V.; Prasad, B.K. A Review of recent development in parametric based acoustic emission techniques applied to concrete structures. Nondestr. Test. Eval. 2012, 27, 47–68. [Google Scholar] [CrossRef]
- Behnia, A.; Chai, H.K.; Shiotani, T. Advanced structural health monitoring of concrete structures with the aid of acoustic emission. Constr. Build. Mater. 2014, 65, 282–302. [Google Scholar] [CrossRef]
- Xu, J.; Fu, Z.; Han, Q.; Lacidogna, G.; Carpinteri, A. Micro-cracking monitoring and fracture evaluation for crumb rubber concrete based on acoustic emission techniques. Struct. Health Monit. 2018, 17, 946–958. [Google Scholar] [CrossRef]
- Kaklis, K.; Mavrigiannakis, S.; Saltas, V.; Vallianatos, F.; Agioutantis, Z. Using acoustic emissions to enhance fracture toughness calculations for CCNBD marble specimens. Frat. Integrita Strutt. 2017, 11, 1–17. [Google Scholar] [CrossRef] [Green Version]
- Carpinteri, A.; Lacidogna, G.; Manuello, A. The b-value analysis for the stability investigation of the ancient Athena Temple in Syracuse. Strain 2011, 47, e243–e253. [Google Scholar] [CrossRef]
- Loukidis, A.; Pasiou, E.D.; Sarlis, N.V.; Triantis, D. Fracture analysis of typical construction materials in natural time. Phys. A 2019, 547, 12381. [Google Scholar] [CrossRef]
- Loukidis, A.; Triantis, D.; Stavrakas, I.; Pasiou, E.D.; Kourkoulis, S.K. Detecting Criticality by Exploring the Acoustic Activity in Terms of the “Natural-Time” Concept. Appl. Sci. 2022, 12, 231. [Google Scholar] [CrossRef]
- Kourkoulis, S.K.; Pasiou, E.D.; Loukidis, A.; Stavrakas, I.; Triantis, D. Comparative Assessment of Criticality Indices Extracted from Acoustic and Electrical Signals Detected in Marble Specimens. Infrastructures 2022, 7, 15. [Google Scholar] [CrossRef]
- Rao, M.V.M.S.; Lakshmi, K.J.P. Analysis of b-value and improved b-value of acoustic emissions accompanying rock fracture. Curr. Sci. 2005, 89, 1577–1582. [Google Scholar]
- Carpinteri, A.; Lacidogna, G.; Pugno, N. Structural damage diagnosis and life-time assessment by acoustic emission monitoring. Eng. Fract. Mech. 2007, 74, 273–289. [Google Scholar] [CrossRef]
- Shiotani, T.; Yuyama, S.; Li, Z.W.; Ohtsu, M. Application of AE improved b-value to quantitative evaluation of fracture process in concrete materials. J. Acoust. Emiss. 2001, 19, 118–133. [Google Scholar]
- Colombo, I.S.; Main, I.G.; Forde, M.C. Assessing Damage of Reinforced Concrete Beam Using “b-value Analysis” of Acoustic Emission Signals. J. Mater. Civ. 2003, 15, 280–286. [Google Scholar] [CrossRef] [Green Version]
- Shearer, P.M. Introduction to Seismology; Cambridge University Press: Cambridge, UK, 1999; pp. 1–189. [Google Scholar]
- Triantis, D.; Kourkoulis, S.K. An Alternative Approach for Representing the Data Provided by the Acoustic Emission Technique. Rock Mech. Rock Eng. 2018, 51, 2433–2438. [Google Scholar] [CrossRef]
- Triantis, D.; Pasiou, E.D.; Stavrakas, I.; Kourkoulis, S.K. Hidden Affinities Between Electric and Acoustic Activities in Brittle Materials at Near-Fracture Load Levels. Rock Mech. Rock Eng. 2022, 55, 1325–1342. [Google Scholar] [CrossRef]
- Zhang, J.-Z.; Zhou, X.-P.; Zhou, L.-S.; Berto, F. Progressive failure of brittle rocks with non-isometric flaws: Insights from acousto-optic-mechanical (AOM) data. Fatigue Fract. Eng. Mater. Struct. 2019, 42, 1787–1802. [Google Scholar] [CrossRef]
- Niu, Y.; Zhou, X.-P.; Zhou, L.-S. Fracture damage prediction in fissured red sandstone under uniaxial compression: Acoustic emission b-value analysis. Fatigue Fract. Eng. Mater. Struct. 2020, 43, 175–190. [Google Scholar] [CrossRef]
- Li, J.; Lian, S.; Huang, Y.; Wang, C. Study on crack classification criterion and failure evaluation index of red sandstone based on acoustic emission parameter analysis. Sustainability 2022, 14, 5143. [Google Scholar] [CrossRef]
- Wang, X.; Wang, E.; Liu, X. Damage characterization of concrete under multi-step loading by integrated ultrasonic and acoustic emission techniques. Constr. Build. Mater. 2019, 221, 678–690. [Google Scholar] [CrossRef]
- Yao, W.; Yu, J.; Liu, X.; Zhou, X.; Cai, Y.; Zhu, Y.L. Study on acoustic emission characteristics and failure prediction of post-hightemperature granite. J. Test. Eval. 2019, 48, 2459–2473. [Google Scholar]
- Ge, Z.; Sun, Q. Acoustic emission characteristics of gabbro aftermicrowave heating. Rock Mech. Rock Eng. 2021, 138, 104616. [Google Scholar]
- Saltas, V.; Peraki, D.; Vallianatos, F. The use of acoustic emissions technique in the monitoring of fracturing in concrete using soundless chemical demolition agent. Frat. Integrita Strutt. 2019, 13, 505–516. [Google Scholar] [CrossRef] [Green Version]
- Zhou, X.; Niu, Y.; Cheng, H.; Berto, F. Cracking behaviors and chaotic characteristics of sandstone with unfilled and filled dentate flaw. Theor. Appl. Fract. Mech. 2021, 112, 102876. [Google Scholar] [CrossRef]
- Huang, J.; Liao, Z.; Hu, Q.; Song, Z.; Wang, X. Fracture mechanism of tight sandstone under high and complex 3-D stress compression: Insights from acoustic emission. J. Pet. Sci. Eng. 2022, 208, 109635. [Google Scholar] [CrossRef]
- Triantis, D.; Stavrakas, I.; Loukidis, A.; Pasiou, E.D.; Kourkoulis, S.K. Exploring the acoustic activity in brittle materials in terms of the position of the acoustic sources and the power of the acoustic signals—Part I: Founding the approach. Forces Mech. 2022, 7, 100088. [Google Scholar] [CrossRef]
- Stergiopoulos, C.; Stavrakas, I.; Triantis, D.; Vallianatos, F.; Stonham, J. Predicting fracture of mortar beams under three-point bending using non-extensive statistical modeling of electric emissions. Phys. A 2015, 419, 603–611. [Google Scholar] [CrossRef]
- Chai, M.; Hou, X.; Zhang, Z.; Duan, Q. Identification and prediction of fatigue crack growth under different stress ratios using acoustic emission data. Int. J. Fatigue 2022, 160, 106860. [Google Scholar] [CrossRef]
- Triantis, D.; Stavrakas, I.; Pasiou, E.D.; Kourkoulis, S.K. Assessing the acoustic activity in marble specimens under stepwise compressive loading. Mat. Design Process. Comm. 2020, 2, e100. [Google Scholar] [CrossRef] [Green Version]
- Shiotani, T.; Ohtsu, M.; Ikeda, K. Detection and evaluation of AE waves due to rock deformation. Constr. Build. Mater. 2001, 15, 235–246. [Google Scholar] [CrossRef]
- Aggelis, D.G.; Soulioti, D.V.; Sapouridis, N.; Barkoula, N.M.; Paipetis, A.S.; Matikas, T.E. Acoustic emission characterization of the fracture process in fiber reinforced concrete. Constr. Build. Mater. 2011, 25, 4126–4131. [Google Scholar] [CrossRef]
- Stavrakas, I.; Kourkoulis, S.; Triantis, D. Damage evolution in marble under uniaxial compression monitored by Pressure Stimulated Currents and Acoustic Emissions. Frat. Integrita Strutt. 2019, 13, 573–583. [Google Scholar] [CrossRef] [Green Version]



| Protocol | Test | Step | Lf | Lc | Fo | M | Po | K | |
|---|---|---|---|---|---|---|---|---|---|
| (kN) | (kN) | - | (s−1) | (s−1) | (fW) | (s−1) | |||
| First | 1 | 1 | 3.53 | 2.70 | 0.77 | 48.8 | 0.91 | 46.3 | 4.08 |
| 2 | 3.02 | 0.86 | 60.1 | 0.90 | 97.0 | 4.14 | |||
| 3 | 3.28 | 0.93 | 116.5 | 0.80 | 154.6 | 3.82 | |||
| 4 | 3.46 | 0.98 | 164.3 | 0.57 | 630.6 | 2.29 | |||
| Second | 2 | 2.98 | 2.42 | 0.81 | 46.9 | 0.91 | 48.1 | 4.50 | |
| 3 | 2.97 | 2.54 | 0.86 | 67.3 | 0.89 | 57.0 | 4.04 | ||
| 4 | 3.01 | 2.74 | 0.91 | 85.2 | 0.80 | 74.2 | 4.06 | ||
| 5 | 2.93 | 2.79 | 0.95 | 116.9 | 0.74 | 242.9 | 3.61 | ||
| 6 | 3.03 | 2.98 | 0.98 | 138.7 | 0.62 | 476.5 | 2.96 | ||
| 7 | 2.99 | 2.99 | 1.00 | 180.8 | 0.52 | 706.4 | 2.19 |
Publisher’s Note: MDPI stays neutral with regard to jurisdictional claims in published maps and institutional affiliations. |
© 2022 by the authors. Licensee MDPI, Basel, Switzerland. This article is an open access article distributed under the terms and conditions of the Creative Commons Attribution (CC BY) license (https://creativecommons.org/licenses/by/4.0/).
Share and Cite
Triantis, D.; Loukidis, A.; Stavrakas, I.; Pasiou, E.D.; Kourkoulis, S.K. Attenuation of the Acoustic Activity in Cement Beams under Constant Bending Load Closely Approaching the Fracture Load. Foundations 2022, 2, 590-606. https://doi.org/10.3390/foundations2030040
Triantis D, Loukidis A, Stavrakas I, Pasiou ED, Kourkoulis SK. Attenuation of the Acoustic Activity in Cement Beams under Constant Bending Load Closely Approaching the Fracture Load. Foundations. 2022; 2(3):590-606. https://doi.org/10.3390/foundations2030040
Chicago/Turabian StyleTriantis, Dimos, Andronikos Loukidis, Ilias Stavrakas, Ermioni D. Pasiou, and Stavros K. Kourkoulis. 2022. "Attenuation of the Acoustic Activity in Cement Beams under Constant Bending Load Closely Approaching the Fracture Load" Foundations 2, no. 3: 590-606. https://doi.org/10.3390/foundations2030040
APA StyleTriantis, D., Loukidis, A., Stavrakas, I., Pasiou, E. D., & Kourkoulis, S. K. (2022). Attenuation of the Acoustic Activity in Cement Beams under Constant Bending Load Closely Approaching the Fracture Load. Foundations, 2(3), 590-606. https://doi.org/10.3390/foundations2030040

