Abstract
Our genome has evolved a complex network of information designed to precisely regulate gene transcription. Commonly known as cis-regulatory elements, they represent those parts of DNA that are highly sensitive to environmental changes in the form of associated multi-protein complexes. Oxygen levels are an important environmental factor influencing a range of cellular activities, including cell survival. To respond to changes in oxygen levels, cells have developed an efficient and precise system for regulating gene expression. Cis-regulatory elements are the key hubs of this response and control the activation of the transcriptional response to hypoxia. In this review, we will discuss the complex genomic and epigenomic structures that are modulated by oxygen and control the activity of cis-regulatory elements and the adaptations to variations in O2 availability.
1. Hypoxia-Inducible Factors (HIFs) and the Cellular Oxygen Sensor
In order to proliferate and survive, cells must sense O2 levels and adapt to their fluctuations. In our tissues, hypoxia is a critical environmental factor that triggers efficient and rapid adaptations by controlling gene transcription. Cells are exposed to different O2 concentrations that influence their behavior. In addition, cells must quickly adapt to oxygen fluctuations, which are strictly monitored by an efficient sensor [1,2]. The key elements of this evolutionarily conserved adaptive response are the transcription factors (TFs) hypoxia-inducible factors (HIFs). HIF-1 is a heterodimer composed of an O2-regulated subunit HIF-1α/HIF1A and a constitutively expressed subunit HIF-1β/ARNT. A second O2-sensitive subunit, EPAS1/HIF2A/HIF-2α, may be expressed, and the relative amounts of the two isoforms may vary from cell to cell. The abundance of HIF-1α is controlled by O2 via the hydroxylation of proline residues 402 and 564 (Pro-405 and Pro-531 in EPAS1/HIF2A). These modifications are carried out by the prolyl hydroxylases PHD1, PHD2, and PHD3, also known as EGLN2, EGLN1, and EGLN3, respectively, and 2-oxoglutarate. Prolyl hydroxylation promotes interaction with the von Hippel–Lindau (VHL) E3-ubiquitin ligase complex. VHL is an important subunit of an E3 ubiquitin ligase complex that includes Elongin C, Elongin B, CUL2, and other proteins. This degradation machinery polyubiquitylates HIF-1α and HIF-2α for proteasomal degradation in an oxygen-dependent manner. Under hypoxia, the prolyl-hydroxylases that hydroxylate HIF-1α and HIF-2α in the presence of oxygen, are inactive. In this state, HIF-1α and HIF-2α are not hydroxylated, and are not recognized by the VHL complex [1,3,4,5]. This leads to an accumulation of these TFs in the cells to activate the transcription of hypoxia-inducible genes. EGLN2, EGLN1, and EGLN3 have the highest in vitro KM values for oxygen of all other 2-oxoglutarate-dependent dioxygenases, and are therefore able to respond to changes in oxygen levels in the range generally found in our body [6].
2. Cis-Regulatory Elements and the 3D Genome
Distal regulatory elements, known as enhancers, super-enhancers and silencers, are important DNA sequences that control gene expression. Enhancers work together with promoters to control gene transcription in response to environmental cues or to coordinate cell fate decisions. In certain genomic regions, enhancers can cluster and form a dense core of TF binding sites 5–50 kb in length. These clusters are referred to as super-enhancers (SEs) and, in addition to their particular size, also have similar epigenetic characteristics to typical enhancers (TEs). SEs are important nodes that control gene expression in the context of cell fate [7,8,9,10]. Recently, various regulatory elements have been proposed to organize SEs. Using the model of alpha-globin, SEs were divided into different domains defined as classical and facilitator enhancers, the latter elements being involved in the potentiation of classical enhancers. In the absence of facilitators, reduced Mediator recruitment, enhancer–RNA transcription, and enhancer–promoter interactions were observed for the alpha–globin locus [11].
How enhancers and promoters interact and cooperate to control gene expression, and which genes are under the spatial control of enhancers, is not entirely clear. One hypothesis assumes that the Cohesin complex drives the chromatin loops and, thus, the contacts between enhancers and promoters (E-P) [12]. The ability of the Cohesin complex to extrude chromatin loops has been implicated as a tool to control E-P interactions and to create transcription units by controlling the organization of topologically associating domains (TADs) via insulator-insulator protein interactions [10,12]. However, interfering with Cohesins expression does not lead to dramatic changes in gene expression, although the organization of TADs is disturbed [13,14]. Instead, active transcription is necessary for the stability of E-P interaction, but it is dispensable for the stability of TADs and limiting the extrusion of longer CTCF-anchored loops [14]. Recently, it has been proposed that RNA polymerase II, when paused at promoters, contributes to E-P interactions [14,15]. Regulation that may be influenced by HIF-1α through its ability to switch paused RNAPII at the promoters of hypoxia-regulated genes into an elongation-capable enzyme [16,17,18].
Several factors have been held responsible for the organization of E-P interactions [19,20,21]. For example, the architectural protein and transcriptional cofactor LDB1 has recently been proposed to mediate E-P and E-E loops and gene transcription independently of the Cohesins, CTCF or YY1 [22]. It is therefore becoming apparent that there are probably different types of E-P and E-E contacts/loops that are controlled by specific multiprotein complexes. In the following sections, we will discuss how HIFs modulate the hypoxia response by recognizing cis-regulatory elements, how epigenetic state may influence the accessibility of these sites, and whether hypoxia can modulate the epigenome, particularly at distal cis-regulatory sites.
3. Distal Cis-Regulatory Elements and the Hypoxia Response
Not surprisingly, distal cis-regulatory elements also play a key role in regulating the hypoxia response. TEs can promote the transcription of hypoxia genes, and also influence the adaptation of organisms to a hypoxic environment through Darwinian selection. Initial studies have identified a TE that promotes transcription of the erythropoietin (EPO) gene under hypoxia. This TE is located at the 3′-end of the gene [23,24,25]. TEs have also been identified that control or are embedded in other hypoxia-responsive genes such as vascular endothelial growth factor (VEGF) [26,27], GLUT1, the glucose transporter gene [28], lactate dehydrogenase A (LDHA) [29], glyceraldehyde-3-phosphate dehydrogenase (GAPDH) [30], and others [31,32], including genes involved in iron metabolism [33]. TEs may also be responsible for regulating HIF-1α expression in a feed-forward loop [34].
Often, these distal cis-regulatory elements contain hypoxia-responsive elements (HREs), the conserved HIF-binding site with an A/GCGTG core motif and a highly variable flanking sequence [35]. In complex with chromatin remodelers, and in cooperation with various transcription factors, HIFs (HIF-1α and/or HIF-2α) can also potently activate transcription at these sites. There is also evidence that the transcriptional activity of HIFs may be under the influence of the circadian rhythm [36,37,38].
The list of TEs examined under hypoxia is long and includes elements involved in the tumor formation process. Clear cell renal cell carcinoma (ccRCC) is characterized by the germline variant and somatic inactivation of the tumor suppressor VHL with the resulting stabilization of HIFs. ccRCC accounts for 80% of renal cell carcinomas, and represents an important model for understanding the contribution of HIFs to the tumor formation process [39]. In primary ccRCC cells and established cell lines, the rearrangements of cis-regulatory elements (promoters, enhancers, and super-enhancers) were mapped using classical epigenetic markers (H3K4me1, H3K4me3, and H3K27ac). Activated promoters control general cancer-related processes (cell cycle, RNA metabolism, etc.), while activated enhancers are associated with genes specific to ccRCC, including HIF1A, angiogenesis, glycolysis, and metabolism. Gained SEs were related to important oncogenes for ccRCC development (VEGFA and EPAS1/HIF2A). Although several of these cis-regulatory elements are under the regulation of VHL, particularly genes of the HIF pathway, other elements are activated independently of VHL. Indeed, mutations in chromatin regulators may characterize ccRCC. These genes may be involved in the switching of cis-regulatory elements, thus ensuring independence from VHL [40,41].
In ccRCC, rewiring of the transcriptional landscape driven by HIFs through binding to selected TEs, also in cooperation with other TFs, plays a crucial role in the tumorigenic process. HIF2A cooperates with the lineage-specific TF PAX8 to support the tumor cell growth. HIF2A is recruited to PAX8-bound TEs, including a cyclin D1 (CCND1) TE, to reshape the transcriptional landscape. In ccRCC, dysregulation of CCND1 is an important event of the tumorigenic process [42]. In ccRCC, polymorphisms can also influence HIF–DNA interactions at the TE, and thus promote the tumorigenic process [43]. A similar observation was made for other oncogenes regulated by HIF1A, such as MYC [44].
Similarly to TEs, SEs can also be used to regulate the hypoxia response. A SE drives the upregulation of the glycolysis gene hexokinase II (HK II) during hypoxia [45]. SE may also be responsible for individual adaptation to the hypoxic environment. A structural variant, a deletion in the SE that regulates EPAS1/HIF2A and possibly the expression of other genes, was identified it an altitude-adapted Tibetan [46]. In this context, the pioneer transcription factor FOXA1 can modulate various SE, of which the one that controls HIF2A transcription [47].
By mapping nascent long non-coding RNAs (lncRNAs) using global run-on sequencing (GRO-seq), a strategy to characterize nascent RNA, in endothelial cells under hypoxic conditions, an increase in promoter-associated lncRNA transcription over enhancer-associated was observed. This result suggests an important role of promoters in shaping transcriptome adaptation to hypoxia. However, the same authors also reported a significant induction of the activity of SE associated with genes controlling angiogenesis, cell adhesion, and survival [48].
In summary, a complex network of interactions between proximal and distal cis-regulatory elements controls the fine-tuning of hypoxic responses, and it is not surprising that dysregulations in this network can affect adaptation to hypoxic conditions.
4. The 3D Genome Under Hypoxia
Chromosome conformational assays were used to map the long-range physical connections between enhancers and promoters, including those recognized and bound by HIF-1α. Remarkably, these interactions are not altered by hypoxia in the experimental models used. Thus, HIF-1α appears to act on already defined sets of chromatin loops. These sometimes-extended chromatin loops are already defined under normoxic conditions. It appears that the hypoxic response in terms of nuclear architecture is a structurally predefined response that is already primed in cells that are not challenged by the hypoxic environment. It is possible that this strategy has become evolutionarily established, because it allows a faster and more efficient response to changes in oxygen levels [49,50]. The predetermined E-P network of interactions that controls transcription of hypoxia genes has also been observed in other studies. HIF-2α binds to an oxygen-sensitive enhancer in intron 3, and stimulates transcription of the WT1 gene in neuroblastoma cells through hypoxia-independent chromatin loops [51]. Furthermore, a hypoxia-responsive element (HRE) located −82 kb from the TSS of the PAG1 gene physically associates with the PAG1 promoter region independently of the HIF-DNA interaction, and is required for hypoxia-induced upregulation of transcription [52].
Using a different approach, high-throughput imaging, the spatial localization of about 100 hypoxia-responsive genes within the nucleus was determined. These hypoxia genes are often localized in the intermediate region of the nucleus. About 20% of them changed their position during hypoxia, but without a clear correlation with gene activation [53]. A recent study suggests that hypoxia may affect the fine 3D nuclear structure. Under hypoxia, upregulation of CTCF expression and binding may modulate the upstream promoter-exon loop. This spatial reorganization influences alternative splicing, and supports EMT [54].
In summary, although few studies have investigated the changes in high-order chromatin organization during hypoxia, it is emerging that several distal contacts between T and E, under the influence of HIFs, are already established in the absence of hypoxia [55]. However, further studies are needed to confirm this scenario and perhaps some new discoveries will be possible.
5. The Landscape of HIFs Genomic Binding
Despite some similarities in terms of regulation, HIF-1α and HIF-2α have a different tissue distribution, with HIF-2α being expressed only in certain tissues, while HIF-1α is more ubiquitously expressed [55,56,57]. Interactions with other transcriptional coactivators, including the acetyl-transferases, CBP (CREBBP) and p300, influence the transcriptional activities of HIF-1α and HIF-2α [57,58]. These KATs enhance the transcriptional activities of HIFs by acetylating HIFs themselves and the surrounding chromatin [5,55].
Pan-transcriptomic analyses of cells under hypoxia have shown that the transcriptional targets of HIFs are highly variable, mainly depending on the cell type [59]. Despite this high variability, a consensus set of 48 HIFs target genes was defined that is highly conserved across different cancer types and cell lines. This common signature may be useful as a reference for HIFs activities in different contexts [59].
The RCGTG motif is considered the minimal cis-regulatory element required for the binding of HIFs to dsDNA [35]. To understand the distinct and shared activities of HIF-1α and HIF-2α, defining the genomic regions under their influence was a fundamental step. Chromatin immunoprecipitation sequencing (ChIP-seq) is a common method used to map the regions of DNA bound by proteins on a genome-wide basis. In the first ChIP-seq studies, aimed at defining the genome-wide binding sites of HIF-1α and HIF-2α, only 0.05% and 0.04% of the putative (more than 106) RCGTG binding motifs in the human genome were found to be bound by these TFs under hypoxia, respectively. ChIP-seq studies in MCF-7 cells have shown that both HIF-1α and HIF-2α show a preference for an A over a G in the R position, but preference was also seen for T immediately 5′ to the RCGTG and for C immediately 3′ to this motif. In addition, HIF-1α binds preferentially near the TSS compared to HIF-2α [60,61] (Figure 1). Another ChIP-seq analysis performed in HUVECs under 1% O2 for 24 h revealed 2060 binding regions for HIF-1α, which are often quite distant from the TSS (>50 kb). The authors observed a decrease in binding of HIF-1α to the intergenic regions upon hypoxia, accompanied by an increase in binding to promoters [62]. Other studies reported far fewer regions bound by HIF-1α, a variability that could be due to the cell models studied, the experimental protocol used to induce hypoxia, or technical reasons [63,64,65,66,67].
Figure 1.
Genomic regions bounded by HIF-1α and HIF-2α. (A): Venn diagrams showing the overlaps between the HIF-1α and HIF-2α ChIP-seq enriched peaks. (B): Genomic distribution of the HIF-1α and HIF-2α ChIP-seq enriched peaks. Analyses were performed on previously published data [59].
Not surprisingly, the same large heterogeneity observed in the transcriptomic studies also occurred in the ChIP-seq experiments. When comparing the genomic regions bound by HIFs between different cell models, the differences dominated. Although HIF-1α and HIF-2α frequently show not-conserved DNA binding activities in different cell lines, they also exhibit conserved features such as distance from the TSS and genome binding ratio. HIF-1α always shows a higher number of bound regions than HIF-2α [60,61].
All of these genomic peculiarities are clearly reflected in specific patterns of hypoxia gene transcription. HIF-1α preferentially binds cis-regulatory elements of genes encoding enzymes of glycolytic metabolism [68] PGK and BNIP3 [68,69], while HIF-2α specific targets are EPO, OCT4, and TGFβ [69,70,71,72,73]. In contrast, VEGF is a common target of both TFs [58].
A large percentage of genomic regions bound by HIFs under hypoxia are already in open chromatin (DNAse I hypersensitive sites) under normoxic conditions, and show markers for open chromatin conformation such as H3K4me3 and H3 acetylation [60,63]. A predetermined condition also observed for the long-range interactions (E-P, P-E, and E-E) between intergenic HIF-binding regions and one or more promoters of hypoxia-inducible genes [49].
Since tumor growth is closely associated with the creation of a hypoxic environment, the activities of HIFs in the tumor formation process have been frequently studied. In general, cancer cells appear to be more dependent on HIF-1α than on HIF-2α, with the important exception of ccRCC [74,75]. Although HIF-2α and HIF-1α have the same effects on angiogenesis, invasion, and metabolism, all of which contribute to tumor growth and progression, they also exhibit opposite activities. For example, HIF-2α promotes c-Myc transcriptional activity and cell cycle progression, while HIF-1α inhibits c-Myc functions and cell proliferation [76].
6. Chromatin Accessibility Under Hypoxia
Further studies on the accessibility of chromatin under hypoxia have shown that while many regions are already available for transcription under normoxia, other regions can open up or increase their accessibility under hypoxia [77]. Using Assay for Transposase-Accessible Chromatin using sequencing (ATAC-seq), a method for the assessment of the accessibility of the whole genome, different open regions between normoxia and 6 h of hypoxia were identified in HUVEC cells. These regions account for 15.81% of the total 54,102 accessible chromatin regions [78].
Studies on changes in chromatin accessibility under hypoxia have often been associated with the identification of cis-regulatory elements. These studies have provided a better understanding of the evolution of cis-regulatory elements in the regulation of hypoxia. Identification of DNase I-sensitive sites was critical for defining a tissue-specific VEGFA enhancer [27] or for identifying single nucleotide polymorphisms (SNPs) in intergenic regions with regulatory properties, as described above [44]. In renal cell carcinoma (RCC), accessible chromatin regions with HIF-responsive promoters are embedded within an endogenous retroviral long terminal repeat (LTR). LTR elements can act as distal enhancers or promoters [79], and induce the expression of genes that are important for the aggressiveness of renal cell carcinoma [80]. Accessible chromatin regions often correlate with hypoxia-induced 6mA- and H3K4me1-marked regions (see below), strongly indicating that they are functional transcriptional regulatory elements such as TEs and SEs [81].
In addition to distal cis-regulatory elements, promoters are also frequently modulated in terms of their accessibility during hypoxia. Indeed, under hypoxia, differentially accessible regions, as defined by ATAC-seq experiments, correlate well with HIF-dependent changes in gene transcription [82]. Not surprisingly, there are also regions where chromatin accessibility is reduced during hypoxia. These restrictions can also occur independently of HIF-1α or HIF-2α. Examples include the regulatory regions that control the expression of genes belonging to the IFN signaling pathway, and that may contribute to the immunosuppressive environment observed in hypoxic tumors [83], or to the activation of specific differentiation pathways [84]. In other study, a reduction in accessibility was observed primarily at promoters of genes involved in DNA repair, RNA splicing, and the R-loop interactome [85].
Chromatin remodelers are large multiprotein complexes with ATPase activity that favor access to the DNA sequence [86]. Increased chromatin accessibility through the involvement of chromatin remodelers can also influence the response to hypoxia. The multiprotein complex SWI/SNF is the best studied chromatin remodeler. In humans, it is known as BAF (BRG1- or BRM-associated factors). In humans, three different subcomplexes of different sizes have been characterized: the canonical BAF (cBAF), the polybromo BAF (pBAF), and the non-canonical BAF (ncBAF, also known as GBAF). The three subcomplexes are characterized by a specific composition the subunits. BAF is characterized by the presence of ARID1A/ARID1B and DPF2. PBRM1, ARID2, and BRD7 distinguish pBAF, while GLTSCR1/GLTSCR1L and BRD9 are present in ncBAF/GBAF [87].
The involvement of components of the SWI/SNF complex in the activity of HIF-1α and presumably in the regulation of chromatin accessibility has been reported in an early study [36]. This likely reflects a basic strategy in nucleosome remodeling/eviction to facilitate access to genomic regions where the consensus binding sites of HIFs, or for other TFs that cooperate with HIFs, are located [36,88,89].
The existence of different BAF subcomplexes could explain some seemingly contradictory results regarding HIF-dependent transcription, especially in pathogenic contexts. In ccRCC, in addition to the VHL mutations, other cooperating mutations are necessary for the development of the disease. An example of this are mutations in the tumor suppressor genes PBRM1 and BAP1. The PBRM1 component of the pBAF complex limits the transcription activity of HIFs, and its loss increases the transcription intensity of HIF-1α [90,91]. In lung cancer, the alteration of the BAF complex due to a deficiency of the ARID1A subunit promotes tumor development and supports the hypoxia response. Loss of ARID1A leads to increased binding of HIF-1α to the promoter regions of glycolytic metabolism genes (PGAM1, PKM, and PGK1). In the absence of ARID1A, HDAC1 is not recruited to chromatin, leading to increased H4K8 and H4K12 acetylation at the promoter of these genes [92].
In summary, the overall profile of chromatin accessibility is not dramatically perturbed in hypoxia, suggesting a predetermined structural organization. This predefined configuration may reflect the requirement of a certain level of gene transcription, even under normoxic conditions. Regulation of chromatin accessibility may dynamically enhance this baseline level of gene expression under hypoxia. Moreover, these specific modulations may have important effects on tissue-specific adaptations to hypoxia and on the tumor formation process.
7. Epigenetic Modifications
7.1. DNA Methylation
DNA methylation is an important epigenetic modification that is generally involved in creating a compact chromatin state and a transcription inhibitory environment. DNA methylation occurs at selected cytosines (5-methylcytosine; 5mC), often in the presence of the dinucleotide cytosine-guanine, extended as CpG island [93,94,95].
During hypoxia, DNA methylation can shape the gene landscape under HIFs control in a differentiation- and tissue-specific context [96,97]. Hypoxia can also promote DNA methylation to repress gene expression [98,99,100]. For example, DNA methyltransferase 3a (DNMT3a), a de novo methylase, can silence the HIF-2α gene, preventing activation of the HIF-2α genetic program associated with hypoxic cell growth. This deficiency reduces the proliferative capacity of adult cells under low oxygen tension [101].
In addition to targeted DNA methylation, a global decrease in methylation was also observed during hypoxia. This decrease could have various causes. A decrease in the methyl donor S-adenosylmethionine (SAM), which was observed during hypoxia, could contribute to it [102]. This global demethylation can cause the expression of genomic regions that were silenced during normoxia, such as repetitive elements, including endogenous retroviruses [103,104]. Demethylation at repetitive elements may be under the control of HIFs, may cause accumulation of dsRNAs and viral mimicry, and may affect the immune response in tumors [105].
Also considering the studies on chromatin accessibility at HIF binding sites, DNA methylation appears to be primarily involved in regulating the tissue-specific or context-specific accessibility to hypoxia-responsive elements. Less common are the observations of a contribution of DNA methylation to the reorganization of chromatin accessibility at HIF binding sites under hypoxia [106]. However, there are also reports indicating an active role of DNA methylation in the plasticity of the hypoxia response, and in adaptive mechanisms, e.g., in the adaptation to high altitude exposure [107,108,109,110]. Modulation of DNA methylation under hypoxia can also influence the local spatial organization of chromatin and exon usage for the formation of VEGFA mRNA splice variants and angiogenesis [111]. Thus, although the potential hypoxia-dependent transcriptional program is largely predetermined by DNA methylation, some modifications are still possible.
DNA methylation is also subject to the control of enzymes that reverse this modification through a complex mechanism. DNA demethylation is catalyzed by the ten-eleven-translocation 5-methylcytosine dioxygenase (TET) family of enzymes. These enzymes convert 5-methylcytosine (5-mC) into the intermediate 5-hydroxymethylcytosine (5-hmC), which is subsequently modified into cytosine using various strategies [112]. Studies have shown a global increase in 5-hmC levels, including hypoxia genes. This regulation is part of a regulative circuit in which HIF-1α also upregulates TET1 transcription during hypoxia with the support of other TFs [113,114,115]. It has also been reported that TET1 acts as a co-activator of HIF-2α independently of its enzymatic activity [116]. In hematopoietic stem and progenitor cells, hypoxia, again via HIF-1α, regulates the transcription of TET3 [117]. The modulation of 5-hmC and of TET1 and TET3 during hypoxia has been confirmed by other studies [118,119]. TET2 activity is also involved in the hypoxia response. In breast cancer, TET2 is required to enable the binding of HIF-1α to the CTCF promoter, an important step in the regulation of EMT and tumor invasion [54]. A provocative report suggests that TET2 cooperates with NF-kB in macrophages and sustains the inflammatory response associated with immune infiltration and better prognosis of tumors [120]. Further studies have confirmed that TETs are regulated in hypoxia. In glioblastomas, they can regulate stem cells and pluripotency [121] and be a substrate of the PHD-pVHL pathway for proteasomal-mediated degradation. A mechanism that could help explain the increase in 5-hmC observed in hypoxia [122].
Although the expression of TETs is upregulated during hypoxia, their activity can be reduced, leading to hypermethylation in certain contexts. This leads to increased methylation of tumor suppressor gene promoters in hypoxic tumor tissue, a condition that gives the tumor cells an advantage. In a mouse model, this methylation can be reversed by the presence of oxygen [123].
Recently, another type of DNA methylation has entered the field: N6-methyldeoxyadenosine (6mA). The 6mA is enriched in mitochondrial DNA, and increases further in hypoxia, suggesting a regulatory role in the mitochondrial stress response [124]. In the nucleus, 6 mA is under the control of METTL4 during hypoxia. This modification controls the expression of RP11-390F4.3, a lncRNA, and of ZMIZ1, a novel HIF-1α activator. These genes coordinate the transcription of EMT genes. A response that influences the metastatic properties of cancer cells [125]. The 6mA modification has also been associated with accessible chromatin regions, and may play a role in controlling distal E-P interactions during hypoxia-induced gene expression [81].
In summary, overt changes in DNA methylation do not appear to be involved in the regulation of the essential hypoxia response, but peculiar modifications are emerging in various studies.
7.2. The Epigenetic of Histones
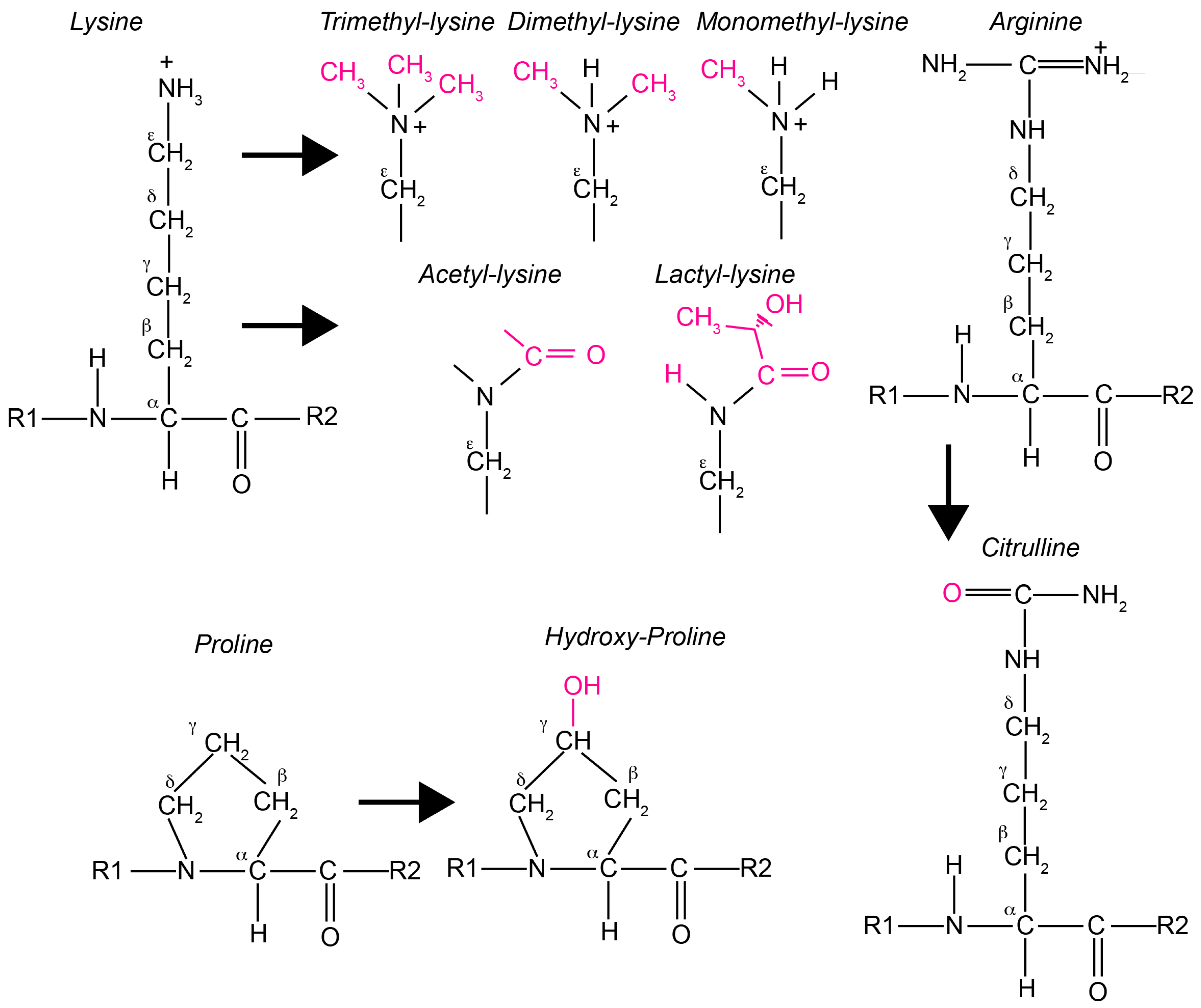
Chromatin accessibility and gene transcription is under the influence of different post-translational modifications (PTMs) of histones (Figure 2). These PTMs can influence the nucleosome structure and interaction, as well as the assembling of multiprotein complexes through the direct recognition of the induced PTMs. The result in terms of gene expression is or repression or transcription [126,127,128]. As we already briefly discussed, HIFs can interact with different co-activators or co-repressors, which can also orchestrate different epigenetic changes aimed to influence chromatin accessibility and gene expression. Several PTMs of histones such as acetylation, methylation, citrullination, krotonylation or ubiquitylation can be supervised by HIFs through the assembly in multiprotein complexes [129,130,131,132,133,134]. In the next sections, we will mainly focus the discussion on studies aimed to explore the genome-wide distribution of histone PTMs under hypoxia, using ChIP-seq experiments. We refer to previous excellent published reviews for a discussion on the local variations in specific histone PTMs during hypoxia [55,135].
Figure 2.
Main PTMs of the histones that are regulated during hypoxia. In red the specific modification is indicated.
7.3. Histone Acetylation Under Hypoxia
Histone acetylation is always associated with increased chromatin accessibility and the assembly of multiprotein complexes that promote gene expression [95,136]. A configuration of accessible chromatin achieved by neutralizing the positive charge of the ε-amino group, promoting chromatin remodeling, and controlling the assembly of transcriptional coregulators. N-ε-acetylation of lysine residues acts as a signal recognized by reader proteins characterized by the presence of acetyl-lysine binding domains known as bromodomains, YEATS domains, and PHD fingers [137].
Histone acetylation and, more generally, lysine acetylation is regulated by two antagonistic enzyme families of enzymes: the KATs, lysine acetyl-transferase and the KDACs, lysine deacetylases, also known as histone deacetylases (HDACs) [136,138,139]. The donor of the acetyl group is acetyl-CoA, whose availability directly links histone acetylation and gene expression to cell metabolism [137,138]. Cancer cells increase acetate uptake under hypoxia [140,141,142]. It has been proposed that this acetate uptake serves to buffer the global decrease in histone acetylation induced by hypoxia. Some leucine residues (H3K9, H3K27, and H3K56) show an increase in acetylation, while others (H3K14, H3K18, H3K23, and H3K36) are unaffected. This increase in histone acetylation affects genes involved in lipogenesis to regulate cell survival [142].
Acetylation of lysine 27 in histone H3 (H3K27ac) is the best-studied histone acetylation, and plays a key role in activating the transcription of several genes, including those involved in the hypoxia response (Table 1). H3K27ac is present in various cis-regulatory elements such as promoters, TEs, and SEs that can be modulated during hypoxia [7,143,144].
The genome distribution of histone acetylation by ChIP-seq was first performed in DLD-1 cancer cells and the non-cancerous counterpart TIG-3 to compare peak H3ac levels and distribution in normoxia and hypoxia (Table 1). In the regions surrounding the HIF-1α binding sites, H3ac peaks were already present in normoxia, and slightly increased in hypoxia in both cell lines [63]. In HUVEC cells, a comparative analysis of the genome-wide distribution of H3K27ac, H3ac, and H4ac between normoxia and hypoxia revealed that these epigenetic modifications were enriched in association with HIF-1α. Furthermore, H3K27ac covered 65% of the HIF-1α binding sites present in the genome [62]. In general, H3K27ac signals at HIF binding sites were already present in normoxia, and prior to binding of HIF-1α itself, although less abundant, suggesting that low-level expression of hypoxia-related genes occurs prior to hypoxia [49,145]. In HUVECs, H3K27ac peaks were increased after hypoxia, but the pattern of genome distribution did not change compared to normoxia. About 70% of H3K27ac peaks were found at the gene level under all conditions. Specifically, about 40% of the peaks were found between the first (16–17%) and the other introns (23–24%), and about 13–14% of the peaks were found between TSS (7%) and 5′-UTR (6–7%). The same results were obtained around the promoter of the ANGPTL4 gene in all conditions, emphasizing the relationship between H3K27ac, hypoxia, and angiogenesis [146]. This relationship between H3K27ac, hypoxia and angiogenesis has been confirmed by other studies. In fetal growth restriction (FGR), a condition in which the fetus cannot achieve full growth due to an insufficient supply of nutrients, growth factors and oxygen in the placenta, differentially acetylated regions can be mapped by ChIP-seq. A total of 515 genes can be associated with hyperacetylated regions, and 868 with hypoacetylated regions in FGR samples. Genes mapped to hyperacetylated regions were enriched in transcription regulated by HIF1-alpha/hypoxia or belonging to signaling pathways related to cancer and immune response. The genes annotated in the hypoacetylated regions, on the other hand, belonged to pathways related to angiogenesis, response to external signals and immune response [147].
The importance of H3K27ac in hypoxia has also been emphasized in the context of copper (Cu) deprivation. The authors performed a ChIP-Seq analysis of H3K27ac and HIF-1α distribution in a human umbilical vein endothelial cell line under simultaneous hypoxia and Cu deprivation. Based on colocalization between HIF-1α and H3K27ac signals, regions within 20 kb of the TSS bound by HIF-1α binding and characterized by H3K27ac signals were defined as “putative enhancers” (PEs). Approximately a thousand PEs were identified using this approach [148].
In ccRCC samples compared with corresponding healthy tissues, there were some gained enhancers characterized by the presence of H3K27ac and enriched with specific features of ccRCC such as HIF-1α network activity and proangiogenic pathways, such as VEGFA. This H3K27ac signature is VHL-dependent [40].
Hypoxia can be a problematic condition in the very last phase of pregnancy. During labor, the myometrium suffers from repeated transient hypoxia, which leads to increased uterine contraction. A key role in this process is played by members of the contraction-associated protein (CAP) family, such as gap junction protein alpha 1 (Gja1), prostaglandin endoperoxide synthase 2 (Ptgs2), and oxytocin receptors (Oxtr). In human myometrial smooth muscle cells (hMSMCs) exposed to hypoxia, H3K27ac levels were increased. Furthermore, HIF-1α ChIP-seq signals overlapped with H3K27ac peaks near the TSS or in the coding region of many genes, including those encoding the CAPs [149].
CBP/CREBBP/KAT3A and p300/KAT3B are important H3K27 acetyltransferases and key epigenetic regulators that determine the activity of TEs and SEs. These KATs can also regulate the activities of HIF-1α by direct binding and acetylation, but they also bind DNA in the vicinity of HREs. ChIP-seq experiments showed that 43% of CBP/p300 peaks induced by 2,2′-dipyridyl (2,2′-DP), a hypoxia mimetic, were within 2.5 kb of a TSS, but about 19% were within putative TEs that were more than 50 kb from a known TSS [150]. A result that confirms the important contribution of these KATs to hypoxia regulation [151].
Compared to H3K27ac, H3K4ac is much less studied. It can occur at both active TSSs and enhancers, where it appears to play a role in histone eviction and RNA transcription. H3K4ac signals mutually correlates with the presence of H3K4me1/3 [152]. Genome-wide studies on H3K4ac changes during hypoxia are still preliminary. However, modulation of H3K4ac at the promoter of genes modulated by hypoxia has been reported [153].
As mentioned above, a number of regions (cis-regulatory elements) bound by HIF-1α during hypoxia are already accessible under normoxia, but hypoxia can cause differential accessibility to DNA and a more open chromatin state in certain regions. This is the case with hypoxia-inducible enhancer RNA (HERNA), which is under the control of HIF-1α, and in which H3K27 acetylation at its promoter increases during hypoxia. HERNA in turn confers hypoxia sensitivity to nearby genes [154]. Other studies have similarly suggested changes in H3K27ac levels at the promoters of hypoxia-induced genes in line with their up- or down-regulation. A role for the repressive SIN3A complex, which contains HDAC1/2 activities in both the up- and down-regulated regions, has been suggested following genome-wide binding and RNA interference studies [155].
7.4. Histone Methylation Under Hypoxia
Histone methylation is not a unique epigenetic modification in terms of effects on chromatin compaction and gene expression (Figure 2). Depending on the specific sequence surrounding the modified residue, different types of readers dictate transcriptional output by opening or closing access to DNA. Another factor that influences the state of chromatin is the ability to conjugate single or two/three methyl groups to the same lysine or arginine residue. This complexity is reflected by a variety of readers that recognize the introduced PTMs via different specific domains and monitor the assembly of multiprotein complexes [156].
The s-adenosylmethionine (SAM) is the donor of the methyl group and its conjugation to lysine and arginine residues is supervised by different families of N-methyltransferases [55,95,135,157]. This PTM is reversible, and there are different types of demethylases. Groups have been defined on the basis of the catalysis mechanism [95,135,158]. As already discussed for KATs and KDACs, KTMs and KDMs can act as modulators of histone tails, and HIFs activities by methylating their residues. For example, the methyltransferase SET1B accumulates on chromatin under hypoxia and forms complexes with HIFs that are required to regulate H3K4me3 levels, H3K27 acetylation at promoters, and transcription of hypoxia genes [159]. Furthermore, these enzymes may themselves be under the control of HIFs during hypoxia, creating an integrated cycle of epigenetic changes [55,135,160].
All cis-regulatory elements, promoters, TEs, and SEs can be modulated by histone methylation during hypoxia, and this possibility soon aroused great interest [161]. It is important to know that KDMs belong to the family of 2-oxoglutarate-dependent dioxygenases (2-OGDO), which also includes the prolyl hydroxylases that control the stability of HIF-1α and HIF-2α. The catalytic activities of KDM depend on oxygen, iron and 2-oxoglutarate [162,163]. Therefore, a possible direct contribution of oxygen to the enzymatic activities of KDMs and to the shaping of the histone methylation landscape under hypoxia was initially hypothesized. This appears to be the case for KDM3A and KDM6A, which have been shown to sense oxygen levels and control gene expression and chromatin state during hypoxia [164,165]. However, further data are needed to clarify whether and which KDMs can be directly modulated by oxygen, within the range of variation in oxygen levels normally found in our body [55,135,166].
Genome-wide studies using ChIP-seq approaches have mapped the variation in histone methylation during hypoxia in different cell models (Table 2) [160,167,168,169]. As markers for active gene transcription, H3K4me3, which is enriched at promoters/TSS, and H3K4me1, which is enriched at enhancers, were examined genome-wide under different hypoxia conditions. Among the repressive methylation marks, H3K27me3, a major repressive trait subject to regulation by Polycomb repressive complex 2 (PRC2), was instead examined more frequently. In general, these epigenetic adaptations diverge in different tumors and cell types, indicating a dominant influence of the original differentiation lineage [105,170,171,172].
In HeLa cells grown under hypoxia, modification of H3K4me3 and H3K36me3, both markers of active transcription, is mainly caused by depletion the KDM5A demethylase, which belong to JmjC domain family. Notably, ChIP-seq analysis revealed that hypoxia induced a higher number of downregulated H3K4me3 peaks compared to upregulated peaks. The downregulated peaks were mainly found at promoters, whereas upregulated peaks were frequently found in the gene body and in intergenic regions predicted to be enhancers of hypoxia-inducible genes. H3K36me3 peaks upregulated by hypoxia correlated with HIF targets and H3K36me3 peaks downregulated by hypoxia correlated with genes repressed by hypoxia [169].
A dynamic global increase (reversible upon reoxygenation) of the repressive mark H3K27me3 was reported in MCF7 breast cancer cells during hypoxia. ChIP-seq analysis of H3K4me3, active TSS and H3K27me3 marks revealed a global increase in these antagonistic epigenetic modifications. This upregulation correlates with inhibition of KDMs and an increase in methyltransferase activities. H3K4me3 was increased at the TSS of specific loci such as OPRL1, APLN, ATP2A3, FOXF1, and IGFBP4 [167,173]. These promoter-driven enrichments of H3K4me3 signaling during hypoxia correlated with HIF binding sites, unlike the increase in enhancer-associated histone mark H3K4me1 [145]. The HIF-1α-bound promoters already show H3K4me3 and RNA Pol II occupancy under normal growth conditions before the onset of hypoxia [172].
Interestingly, some regions that were positive for both markers H3K4me3 and H3K27me3 increased during hypoxia, especially at the level of promoters rich in CpG [167]. A state of bivalence characteristic of embryonic stem cells (ESC) that serves to control the temporal expression of differentiation genes [173]. In total, 25% of hypoxia-induced bivalent genes in MCF7 cells overlapped with previously identified trimethylated genes in ESC [167].
As discussed for other genomic and epigenomic traits, the hypoxia program of histone methylation is largely predetermined. In fact, the normoxic profiles of the genomic distributions of H3K4me3 and H3K27me3 determine gene activity under hypoxia [168]. Although the status and deposition of H3K27me3 are largely preset in normoxia, some changes may also occur in hypoxia. In breast cancer cells, 8 h of hypoxia exposure resulted in an increase in H3K27me3 ChIP-seq signals in the DICER promoter region. DICER expression is reduced in hypoxic human breast cancer cells, leading to defects in miRNA processing and promoting EMT and metastasis [174]. Downregulation of DICER expression and changes in miRNA processing during hypoxia were previously described as VHL-dependent [175]. In addition to epigenetic control of transcription, mRNA stability, and protein stability may also be involved in controlling the amount of DICER protein. Interestingly, this downregulation may also maintain the hypoxia response [175].
A change in antagonistic epigenetic marks during hypoxia has also been observed, but is restricted to certain loci. At the promoter of the ΔNp63 gene, ChIP-seq analyses in HCC1806 breast cancer cells under normoxic or hypoxic conditions revealed that H3K27ac signals, which are enriched under normoxia, are replaced by H3K27me3 signals under hypoxia. This switch is mediated by the action of a multiprotein complex of HDAC2 and PRC2, a mechanism that favors the metastatic process [176]. To coordinate the accessibility of DNA and the transcription or repression of genes, various epigenetic modifications act in a coordinated manner, with a few exceptions, such as the poised promoters discussed above [173]. This is also the case with adaptations to hypoxia, where coordination between DNA and histone methylation has been demonstrated. The modification 6mA on the DNA correlates positively with H3K4me1, a marker for active enhancers, in hypoxia. These regions also correlated positively with H3K27ac signals, further supporting their bona fide role as TE or SE [81].
The resetting of an epigenetic signature can also occur by more drastic mechanisms. The N-terminus of histone H3 can be subject to proteolytic cleavage, especially during differentiation or senescence [177,178,179]. A phenomenon defined as H3 clipping. Removal of the histone tail can be seen as an epigenetic irreversible change (at least in non-proliferating cells) that could affect chromatin structure and alter histone-DNA contacts [179]. Hypoxia can counteract senescence [180,181], and limit H3 clipping. Hypoxia-assisted inhibition of H3 cleavage, by H3K18me3 and H3K23me3 methylation in heterochromatic regions. Overall, these hypoxia-dependent methylations reduce chromatin accessibility during oncogene-induced senescence [182].
In summary, similar to other genomic and epigenomic adaptations to hypoxia, evolution appears to have selected a predetermined transcriptional response in which chromatin for hypoxia genes is already accessible during normoxia as a more efficient option. Interventions, including regulation of histone methylation, are still possible to increase transcription, such as increasing the intensity and breadth of H3K4me3 signaling at the promoters of hypoxia genes [62,183].
Table 1.
List of ChIP-seq data on histone acetylation under hypoxia.
Table 1.
List of ChIP-seq data on histone acetylation under hypoxia.
| Histone Modification | Cell Line/Tissue | Hypoxia | Reference | GEO ID |
|---|---|---|---|---|
| H3K27ac | HUVECs | 1% | [146] | GSE38555 GSE50144 |
| H3K27ac | MCF-7 | 0.5% | [49,145] | GSE78113 |
| H3K27ac | hMSMCs | 3% | [149] | HRI266643 (GSA repository) |
| H3K27ac | PANC-1 | pO2 = 1% | [143] | GSE93982 GSE93989 |
| H3K27ac | EA.Hy926 | 1% | [148] | GSE120527 |
| H3K27ac | FaDu | 1% | [81] | GSE260872 |
| H3K27ac | ccRCC | VHL inactivation | [40] | GSE86095 |
| H3K27ac, H3ac, H4ac | HUVECs | 1% | [62] | GSE35932 |
| H3ac | DLD-1, TIG-3 | 1% | [63] | DRA000285-000288 DRA000293-000296 (DDBJ database) |
| H3K4ac | FaDu | 1% | [153] | GSE80218 |
| H3K27ac | Human placenta | FGR | [146] | N.A. * |
* Not available.
Table 2.
List of ChIP-seq data on histone methylation under hypoxia.
Table 2.
List of ChIP-seq data on histone methylation under hypoxia.
| Histone Modifications | Cell Line Tissue | Hypoxia | Reference | GEO ID |
|---|---|---|---|---|
| H3K4me3, H3K36me3 | HeLa cells | 1% | [169] | GSE120339 |
| H3K4me3 H3K4me1 | FaDu | 1% | [81] | GSE260872 |
| H3K4me3 | ESF, DSC | 1% | [183] | GSE167946 |
| H3K4me3, H3K4me1 | HUVEC | 1% | [62] | GSE39089 |
| H3K4me3, H3K27me3 | MCF7 | <0.02% | [168] | GSE71031 |
| H3K4me3 H3K27me3 | MCF7 | <0.02% | [167] | GSE71031 |
| H3K4me3 | MCF-7, Human PTCs | 1% | [145] | GSE78113 |
| H3K4me3 H3K4me1 | MCF7, RCC4, SK-MEL-28, A549 | 0.5% | [105] | GSE85352 |
| H3K4me3 | HepG2, U87 | 0.5% | [172] | GSE18505 |
| H3K27me3 | MCF7, HMLER | <0.02 to 1.0% | [174] | GSE61740 |
| H3K27me3 | HCC1806 cells | 1% | [176] | GSE253833 |
7.5. Other PTMs of Histones and Hypoxia
In addition to acetylation and methylation, other PTMs of histones can also act as epigenetic signals, including ubiquitylation, phosphorylation, O-glycosylation, lactylation, citrullination, crotonylation, succinylation, SUMOylation, propionylation, butyrylation, and hydroxylation (Figure 2). Some of them have already been studied during hypoxia, while others have only recently been included in the scenario. In the next sections, we will briefly discuss the most important ones related to hypoxia.
7.5.1. Histone Phosphorylation
Phosphorylation of the histone 2A variant H2A.X is an established marker for DNA double breaks (DSBs). The carboxyl-terminal Ser-Gln-Glu (SQE) motif of H2AX can be phosphorylated after DSBs by the ataxia-telangiectasia mutation (ATM), a member of the phosphoinositide 3-kinase-related kinase family [184,185,186,187]. Phosphorylated H2AX (γH2AX) is produced during DNA replication by cells growing in a hypoxic environment [188]. γH2AX positive domains generally spread to large regions of the genome [189,190]. Moreover, H2AX can control the nuclear retention of HIF-1α and influence its stability [191]. γH2AX can also be monoubiquitylated (mUb-H2AX) [192]. Hypoxia triggers mUb-H2AX and γH2AX in both normal and cancer cells. This leads to an overactivation of HIF-1α-driven tumorigenesis, glycolysis, and metastasis. H2AX-mediated HIF-1α activation occurs through nuclear retention and increased stability of HIF-1α, a proposed circuit that works via a positive feedback mechanism [191].
7.5.2. Histone Ubiquitylation
Hypoxia induces the accumulation of monoubiquitylated histone H2B (H2BK120ub1) at HIFs target genes through the involvement of HIF-1α. This modification is important for the modulation of HIF-1α-mediated transcription initiation and elongation. This activity requires the presence of the complex FACT (facilitates chromatin transcription) with chaperone and destabilizing effect on histones H2A and H2B [193] and the E3 ubiquitin ligase complex RNF20/40 [130]. H2BK120ub1 is closely linked to activation of gene expression. H2BK120ub1 enables the accumulation of H3K4me3 and H3K79 mono-, di- and trimethylation and gene transcription by modulating the activity of COMPASS/MLL1/KMT2A and DOT1L/KMT4, respectively [194].
7.5.3. Histone Hydroxylation
Hypoxia can also regulate epigenetics independently of HIFs. Recently, it has been reported that the H3 hydroxylation at proline 16 is regulated by ELGN2 and, therefore, by the level of O2. Regions labeled with H3P16oh are quite abundant in the genome. This PTM facilitates the binding of KDM5A to its substrate H3K4me3, increases its demethylation and gene repression [195]. Hypoxia can directly decrease binding between H3 and KDM5A, leading to an increase in H3K4me3 and gene transcription. Several genomic regions containing H3P16oh are enriched in H3K4me3 under hypoxia. This result suggests HIF-independent modulations of chromatin status and gene expression under hypoxia. In addition, the authors indicated that the loss of H3P16oh under hypoxia occurs rapidly before changes in KDM5A [195]. Therefore, this mechanism may anticipate or act synergistically with the downregulation of KDM5A associated with hypoxia [169].
7.5.4. Histone Citrullination
The modification of proteins by the presence of citrulline has been known for many years, and several proteins can be subjected to such PTM [196]. Citrullination or peptidylarginine deimination consists of the hydrolysis of arginine and the simultaneous release of ammonia [196]. A family of enzymes is involved in this reaction: the peptidylarginine deiminases (PADI) [196]. Citrullination of histones has been reported in several studies [197,198,199,200]. Recently, a link between citrullination and hypoxia has been proposed. Hypoxia can induce citrullination of histones (H3 and H4), especially at HREs. This citrullination is dependent on PADI4 and HIF-1α, and PADI4 is a hypoxic gene controlled by HIF-1α. This is another example of a positive feedback loop operating during hypoxia. Citrullination appears to be required for the orchestration of other epigenetic changes associated with gene activation, such as: H3K4me3, H3K36me3, H3K4ac, and H4K5ac [132]. These analyses were limited to selected loci using ChIP-endpoint assays. It will be interesting to evaluate these changes at the genomic level.
7.5.5. Histone Lactylation
The modification L-lactate is a metabolic byproduct of the glycolytic metabolism. It is generated in the cytosol by the lactate dehydrogenase A (LDHA), which converts pyruvate and regenerates NAD+, supporting glycolysis [201]. During hypoxia cells accumulate L-lactate due to the upregulation of the HIFs target genes pyruvate dehydrogenase kinase 1 (PDK1) and LDHA [171,202]. Lactate influences various cellular activities, and can also modulate the tumor microenvironment [201]. Particularly, during hypoxia lactate is actively effluxed by the cells in the microenvironment to prevent intracellular acidification [203]. Lactate can also act as an epigenetic modifier and promote gene transcription. Lactyl-lysine was mapped in various residues at the amino terminus of the four core histones and also within the globular domain. Lactylation of histones increases in hypoxia and is a secondary adaptive response compared to acetylation [204]. This PTM of histones is under the control of KATs and KDACs, with p300 playing an established role as a lactyltransferase and class I HDAC1/2/3 controlling delactylation [202,204,205].
In a first attempt to map the genomic distribution of H3K18la (lactylation of lysine 18 in H3) in different tissue and cells, a comparison was made with the distribution of H3K4me3 and H3K27ac traits of active transcription and the repressive mark H3K27me3. H3K18la is frequently present at the TSS of transcribed genes. In addition, the distribution of H3K18la is more similar to that of H3K27ac (marker of both active promoters and enhancers) compared to H3K4me3 (more specific for active promoters). H3K18la is enriched in active CpG island-containing promoters of highly expressed genes with cell line specificities, including many housekeeping genes [206]. Subsequent genomic studies aimed at investigating the effects of hypoxia on H3K18la and HIF-1α distribution have confirmed partial co-localization with HIF-1α-bound regions (approximately 23% of peaks). These regions include genes that are important for cell proliferation [207]. The regulation of genes involved in cell proliferation by H3K18la was also observed in a second study [208]. In another study, the genomic distribution of H3K9la was investigated using squamous cell carcinoma cells of the esophagus. Here, the most obvious effect of hypoxia was not an increase in H3K9la ChIP-seq peaks, but a redistribution from gene bodies and intergenic regions to promoters. Genes under H3K9la are involved in the regulation of cell adhesion and invasion [209].
To summarize, histone lactylation represents a new and, so far, only partially investigated epigenetic mechanism that directly links metabolism to the activation of gene transcription.
8. Conclusions
The response to reduced oxygen levels is an important adaptation to ensure cell survival under altered environmental conditions. Although the HIFs are the central machinery of this adaptive response, actions independent of the HIFs can also contribute. This response is largely predetermined in terms of genomic organization and epigenetic regions. The definition of the accessible cis-regulatory elements that can be activated during hypoxia are predetermined and depend on the specific differentiation program. In several examples, the regulation of gene transcription occurs via the “normoxia” profile of already active and organized transcription units. Nevertheless, the modulations are important, and involve both classical epigenetic marks and recently discovered marks. These modifications are important in linking metabolism to gene expression. However, the selective epigenetic profile determined by the specific differentiation program appears to influence the transcriptional activity of HIFs and the heterogeneous pattern of regulated genes observed in different tissues.
There is still space for further explorations in hypoxia. The contribution of super-enhancers to the hypoxia response and their modulation by HIFs is not well defined, as well as the network of genes under their regulation [210].
RNAPII pausing is certainly an important mechanism to couple productive transcription to hypoxia adaptation under the supervision of HIFs [16,17,18]. Several HIFs target genes are regulated by the release of paused RNAPII [211]. Hypoxia-dependent release of paused RNAPII has been studied in terms of molecular events, but still has several aspects that require further investigation, as well as the overlap with epigenetic changes [212].
Paused RNAPII is also involved in the regulation of lncRNAs. The contribution of lncRNAs to epigenetic modulation and 3D genome structure during hypoxia is possible, but poorly understood and deserves further investigation [213].
The transcriptomic and epigenomic resetting occurring during hypoxia has attracted interest also in a therapeutic perspective. Epigenetic drugs (epi-drugs) are promising molecule that can target a large plethora of writers, readers, and erasers [214]. Epi-drugs have been tested to repress or influence hypoxia in cancer cells [215,216,217]. The HDAC inhibitor (Abexinostat) in combination with VEGF inhibitor (pazopanib) has demonstrated benefits in a first clinical study on RCC patients [218]. However, epi-drugs cannot discriminate between the hypoxic cancer cells and the other cells. This implies several out of target effects that could also impair the therapeutic efficiency because of toxicity [217]. More selective targeting by engineered delivery systems, activable under the hypoxic environment, could represent an interesting strategy to increase efficacy [219,220].
Overall, the response to hypoxia is a fascinating and useful model to understand how our genome works.
Author Contributions
Conceptualization, C.B.; writing—original draft preparation, E.C., A.B., M.M. and C.B.; writing—review and editing, E.C., A.B., M.M. and C.B.; supervision, C.B.; project administration, C.B.; funding acquisition, C.B. All authors have read and agreed to the published version of the manuscript.
Funding
The laboratory of Epigenomics is supported by AIRC under IG 2021—ID. 26200 project—P.I. Brancolini and Interreg Italia-Osterreich ITAT11–018 SENECA to C.B; by CIB “Modelli innovativi per applicazioni di scienze omiche avanzate -Tecnologie innovative per le scienze omiche avanzate in modelli umani e vegetali” to C.B. and by MUR-PRIN:—Bando 2022 Prot. 20228A7JM7. “Targeting class IIa HDACs to reset super-enhancers activity in cancer cells: towards selective epigenetic therapies in the 3D reality” to C.B.
Conflicts of Interest
The authors declare no conflicts of interest.
References
- Pugh, C.W.; Ratcliffe, P.J. New Horizons in Hypoxia Signaling Pathways. Exp. Cell Res. 2017, 356, 116–121. [Google Scholar] [CrossRef]
- Choudhry, H.; Harris, A.L. Advances in Hypoxia-Inducible Factor Biology. Cell Metab. 2018, 27, 281–298. [Google Scholar] [CrossRef]
- Semenza, G.L. HIF-1 Mediates Metabolic Responses to Intratumoral Hypoxia and Oncogenic Mutations. J. Clin. Investig. 2013, 123, 3664–3671. [Google Scholar] [CrossRef]
- Kaelin, W.G. Von Hippel–Lindau Disease: Insights into Oxygen Sensing, Protein Degradation, and Cancer. J. Clin. Investig. 2022, 132, e162480. [Google Scholar] [CrossRef]
- Minisini, M.; Cricchi, E.; Brancolini, C. Acetylation and Phosphorylation in the Regulation of Hypoxia-Inducible Factor Activities: Additional Options to Modulate Adaptations to Changes in Oxygen Levels. Life 2024, 14, 20. [Google Scholar] [CrossRef]
- Islam, M.S.; Leissing, T.M.; Chowdhury, R.; Hopkinson, R.J.; Schofield, C.J. 2-Oxoglutarate-Dependent Oxygenases. Annu. Rev. Biochem. 2018, 87, 585–620. [Google Scholar] [CrossRef]
- Whyte, W.A.; Orlando, D.A.; Hnisz, D.; Abraham, B.J.; Lin, C.Y.; Kagey, M.H.; Rahl, P.B.; Lee, T.I.; Young, R.A. Master Transcription Factors and Mediator Establish Super-Enhancers at Key Cell Identity Genes. Cell 2013, 153, 307–319. [Google Scholar] [CrossRef]
- Hnisz, D.; Abraham, B.J.; Lee, T.I.; Lau, A.; Saint-André, V.; Sigova, A.A.; Hoke, H.A.; Young, R.A. Super-Enhancers in the Control of Cell Identity and Disease. Cell 2013, 155, 934–947. [Google Scholar] [CrossRef]
- Tang, S.C.; Vijayakumar, U.; Zhang, Y.; Fullwood, M.J. Super-Enhancers, Phase-Separated Condensates, and 3D Genome Organization in Cancer. Cancers 2022, 14, 2866. [Google Scholar] [CrossRef]
- Di Giorgio, E.; Benetti, R.; Kerschbamer, E.; Xodo, L.; Brancolini, C. Chapter Three—Super-Enhancer Landscape Rewiring in Cancer: The Epigenetic Control at Distal Sites. In International Review of Cell and Molecular Biology; Spada, S., Galluzzi, L., Eds.; Epigenetic Regulation of Cancer—Part A; Academic Press: Cambridge, MA, USA, 2023; Volume 380, pp. 97–148. [Google Scholar]
- Blayney, J.W.; Francis, H.; Rampasekova, A.; Camellato, B.; Mitchell, L.; Stolper, R.; Cornell, L.; Babbs, C.; Boeke, J.D.; Higgs, D.R.; et al. Super-Enhancers Include Classical Enhancers and Facilitators to Fully Activate Gene Expression. Cell 2023, 186, 5826–5839.e18. [Google Scholar] [CrossRef]
- Galouzis, C.C.; Furlong, E.E.M. Regulating Specificity in Enhancer–Promoter Communication. Curr. Opin. Cell Biol. 2022, 75, 102065. [Google Scholar] [CrossRef] [PubMed]
- Rao, S.S.P.; Huang, S.-C.; Hilaire, B.G.S.; Engreitz, J.M.; Perez, E.M.; Kieffer-Kwon, K.-R.; Sanborn, A.L.; Johnstone, S.E.; Bascom, G.D.; Bochkov, I.D.; et al. Cohesin Loss Eliminates All Loop Domains. Cell 2017, 171, 305–320.e24. [Google Scholar] [CrossRef] [PubMed]
- Fursova, N.A.; Larson, D.R. Transcriptional Machinery as an Architect of Genome Structure. Curr. Opin. Struct. Biol. 2024, 89, 102920. [Google Scholar] [CrossRef] [PubMed]
- Barshad, G.; Lewis, J.J.; Chivu, A.G.; Abuhashem, A.; Krietenstein, N.; Rice, E.J.; Ma, Y.; Wang, Z.; Rando, O.J.; Hadjantonakis, A.-K.; et al. RNA Polymerase II Dynamics Shape Enhancer–Promoter Interactions. Nat. Genet. 2023, 55, 1370–1380. [Google Scholar] [CrossRef]
- Galbraith, M.D.; Allen, M.A.; Bensard, C.L.; Wang, X.; Schwinn, M.K.; Qin, B.; Long, H.W.; Daniels, D.L.; Hahn, W.C.; Dowell, R.D.; et al. HIF1A Employs CDK8-Mediator to Stimulate RNAPII Elongation in Response to Hypoxia. Cell 2013, 153, 1327–1339. [Google Scholar] [CrossRef]
- Choudhry, H.; Schödel, J.; Oikonomopoulos, S.; Camps, C.; Grampp, S.; Harris, A.L.; Ratcliffe, P.J.; Ragoussis, J.; Mole, D.R. Extensive Regulation of the Non-coding Transcriptome by Hypoxia: Role of HIF in Releasing Paused RNApol2. EMBO Rep. 2014, 15, 70–76. [Google Scholar] [CrossRef]
- Chen, Y.; Zhang, B.; Bao, L.; Jin, L.; Yang, M.; Peng, Y.; Kumar, A.; Wang, J.E.; Wang, C.; Zou, X.; et al. ZMYND8 Acetylation Mediates HIF-Dependent Breast Cancer Progression and Metastasis. J. Clin. Investig. 2018, 128, 1937–1955. [Google Scholar] [CrossRef]
- Stadhouders, R.; Vidal, E.; Serra, F.; Di Stefano, B.; Le Dily, F.; Quilez, J.; Gomez, A.; Collombet, S.; Berenguer, C.; Cuartero, Y.; et al. Transcription Factors Orchestrate Dynamic Interplay between Genome Topology and Gene Regulation during Cell Reprogramming. Nat. Genet. 2018, 50, 238–249. [Google Scholar] [CrossRef]
- Weintraub, A.S.; Li, C.H.; Zamudio, A.V.; Sigova, A.A.; Hannett, N.M.; Day, D.S.; Abraham, B.J.; Cohen, M.A.; Nabet, B.; Buckley, D.L.; et al. YY1 Is a Structural Regulator of Enhancer-Promoter Loops. Cell 2017, 171, 1573–1588.e28. [Google Scholar] [CrossRef]
- Barajas-Mora, E.M.; Kleiman, E.; Xu, J.; Carrico, N.C.; Lu, H.; Oltz, E.M.; Murre, C.; Feeney, A.J. A B-Cell-Specific Enhancer Orchestrates Nuclear Architecture to Generate a Diverse Antigen Receptor Repertoire. Mol. Cell 2019, 73, 48–60.e5. [Google Scholar] [CrossRef]
- Aboreden, N.G.; Lam, J.C.; Goel, V.Y.; Wang, S.; Wang, X.; Midla, S.C.; Quijano, A.; Keller, C.A.; Giardine, B.M.; Hardison, R.C.; et al. LDB1 Establishes Multi-Enhancer Networks to Regulate Gene Expression. Mol. Cell 2025, 85, 376–393.e9. [Google Scholar] [CrossRef]
- Blanchard, K.L.; Acquaviva, A.M.; Galson, D.L.; Franklin Bunn, H. Hypoxic Induction of the Human Erythropoietin Gene: Cooperation between the Promoter and Enhancer, Each of Which Contains Steroid Receptor Response Elements. Mol. Cell. Biol. 1992, 12, 5373–5385. [Google Scholar] [PubMed]
- Semenza, G.L.; Wang, G.L. A Nuclear Factor Induced by Hypoxia via De Novo Protein Synthesis Binds to the Human Erythropoietin Gene Enhancer at a Site Required for Transcriptional Activation. Mol. Cell. Biol. 1992, 12, 5447–5454. [Google Scholar]
- Madan, A.; Curtin, P.T. A 24-Base-Pair Sequence 3′ to the Human Erythropoietin Gene Contains a Hypoxia-Responsive Transcriptional Enhancer. Proc. Natl. Acad. Sci. USA 1993, 90, 3928–3932. [Google Scholar] [CrossRef]
- Liu, Y.; Cox, S.R.; Morita, T.; Kourembanas, S. Hypoxia Regulates Vascular Endothelial Growth Factor Gene Expression in Endothelial Cells. Circ. Res. 1995, 77, 638–643. [Google Scholar] [CrossRef] [PubMed]
- Liang, Y.; Li, X.-Y.; Rebar, E.J.; Li, P.; Zhou, Y.; Chen, B.; Wolffe, A.P.; Case, C.C. Activation of Vascular Endothelial Growth Factor A Transcription in Tumorigenic Glioblastoma Cell Lines by an Enhancer with Cell Type-Specific DNase I Accessibility*. J. Biol. Chem. 2002, 277, 20087–20094. [Google Scholar] [CrossRef] [PubMed]
- Behrooz, A.; Ismail-Beigi, F. Dual Control of Glut1 Glucose Transporter Gene Expression by Hypoxia and by Inhibition of Oxidative Phosphorylation*. J. Biol. Chem. 1997, 272, 5555–5562. [Google Scholar] [CrossRef]
- Kambe, T.; Tada, J.; Chikuma, M.; Masuda, S.; Nagao, M.; Tsuchiya, T.; Ratcliffe, P.J.; Sasaki, R. Embryonal Carcinoma P19 Cells Produce Erythropoietin Constitutively But Express Lactate Dehydrogenase in an Oxygen-Dependent Manner. Blood 1998, 91, 1185–1195. [Google Scholar] [CrossRef]
- Graven, K.K.; Yu, Q.; Pan, D.; Roncarati, J.S.; Farber, H.W. Identification of an Oxygen Responsive Enhancer Element in the Glyceraldehyde-3-Phosphate Dehydrogenase Gene. Biochim. Biophys. Acta BBA-Gene Struct. Expr. 1999, 1447, 208–218. [Google Scholar] [CrossRef]
- Fukasawa, M.; Tsuchiya, T.; Takayama, E.; Shinomiya, N.; Uyeda, K.; Sakakibara, R.; Seki, S. Identification and Characterization of the Hypoxia-Responsive Element of the Human Placental 6-Phosphofructo-2-Kinase/Fructose-2,6-Bisphosphatase Gene. J. Biochem. 2004, 136, 273–277. [Google Scholar] [CrossRef]
- Stancevic, B.; Varda-Bloom, N.; Cheng, J.; Fuller, J.D.; Rotolo, J.A.; García-Barros, M.; Feldman, R.; Rao, S.; Weichselbaum, R.R.; Harats, D.; et al. Adenoviral Transduction of Human Acid Sphingomyelinase into Neo-Angiogenic Endothelium Radiosensitizes Tumor Cure. PLoS ONE 2013, 8, e69025. [Google Scholar] [CrossRef] [PubMed]
- Romney, S.J.; Newman, B.S.; Thacker, C.; Leibold, E.A. HIF-1 Regulates Iron Homeostasis in Caenorhabditis Elegans by Activation and Inhibition of Genes Involved in Iron Uptake and Storage. PLOS Genet. 2011, 7, e1002394. [Google Scholar] [CrossRef] [PubMed]
- Wang, X.; Brea, L.; Lu, X.; Gritsina, G.; Park, S.H.; Xie, W.; Zhao, J.C.; Yu, J. FOXA1 Inhibits Hypoxia Programs through Transcriptional Repression of HIF1A. Oncogene 2022, 41, 4259–4270. [Google Scholar] [CrossRef] [PubMed]
- Wenger, R.H.; Stiehl, D.P.; Camenisch, G. Integration of Oxygen Signaling at the Consensus HRE. Sci. STKE 2005, 2005, re12. [Google Scholar] [CrossRef]
- Wang, F.; Zhang, R.; Beischlag, T.V.; Muchardt, C.; Yaniv, M.; Hankinson, O. Roles of Brahma and Brahma/SWI2-Related Gene 1 in Hypoxic Induction of the Erythropoietin Gene*. J. Biol. Chem. 2004, 279, 46733–46741. [Google Scholar] [CrossRef]
- Makita, T.; Duncan, S.A.; Sucov, H.M. Retinoic Acid, Hypoxia, and GATA Factors Cooperatively Control the Onset of Fetal Liver Erythropoietin Expression and Erythropoietic Differentiation. Dev. Biol. 2005, 280, 59–72. [Google Scholar] [CrossRef]
- Kobayashi, M.; Morinibu, A.; Koyasu, S.; Goto, Y.; Hiraoka, M.; Harada, H. A Circadian Clock Gene, PER2, Activates HIF-1 as an Effector Molecule for Recruitment of HIF-1α to Promoter Regions of Its Downstream Genes. FEBS J. 2017, 284, 3804–3816. [Google Scholar] [CrossRef]
- Rioja, P.; Rey-Cardenas, M.; Velasco, G.D. Targeting HIF-2α and Anemia: A Therapeutic Breakthrough for Clear-Cell Renal Cell Carcinoma. Cancer Treat. Rev. 2024, 129, 102801. [Google Scholar] [CrossRef]
- Yao, X.; Tan, J.; Lim, K.J.; Koh, J.; Ooi, W.F.; Li, Z.; Huang, D.; Xing, M.; Chan, Y.S.; Qu, J.Z.; et al. VHL Deficiency Drives Enhancer Activation of Oncogenes in Clear Cell Renal Cell Carcinoma. Cancer Discov. 2017, 7, 1284–1305. [Google Scholar] [CrossRef]
- Ricketts, C.J.; Linehan, W.M. Insights into Epigenetic Remodeling in VHL-Deficient Clear Cell Renal Cell Carcinoma. Cancer Discov. 2017, 7, 1221–1223. [Google Scholar] [CrossRef]
- Patel, S.A.; Hirosue, S.; Rodrigues, P.; Vojtasova, E.; Richardson, E.K.; Ge, J.; Syafruddin, S.E.; Speed, A.; Papachristou, E.K.; Baker, D.; et al. The Renal Lineage Factor PAX8 Controls Oncogenic Signalling in Kidney Cancer. Nature 2022, 606, 999–1006. [Google Scholar] [CrossRef] [PubMed]
- Protze, J.; Naas, S.; Krüger, R.; Stöhr, C.; Kraus, A.; Grampp, S.; Wiesener, M.; Schiffer, M.; Hartmann, A.; Wullich, B.; et al. The Renal Cancer Risk Allele at 14q24.2 Activates a Novel Hypoxia-Inducible Transcription Factor-Binding Enhancer of DPF3 Expression. J. Biol. Chem. 2022, 298, 101699. [Google Scholar] [CrossRef] [PubMed]
- Grampp, S.; Platt, J.L.; Lauer, V.; Salama, R.; Kranz, F.; Neumann, V.K.; Wach, S.; Stöhr, C.; Hartmann, A.; Eckardt, K.-U.; et al. Genetic Variation at the 8q24.21 Renal Cancer Susceptibility Locus Affects HIF Binding to a MYC Enhancer. Nat. Commun. 2016, 7, 13183. [Google Scholar] [CrossRef] [PubMed]
- Wang, X.; Guan, X.; Zhu, X.; Zhang, L.; Ma, C.; He, S.; Bai, J.; Mei, J.; Li, Q.; Sun, N.; et al. CircNAP1L4 Regulates Pulmonary Artery Smooth Muscle Cell Proliferation via the NAP1L4-Mediated Super-Enhancer-Driven Glycolysis Gene Hexokinase II (HK II) in Pulmonary Hypertension. FASEB J. 2024, 38, e23868. [Google Scholar] [CrossRef]
- Shi, J.; Jia, Z.; Sun, J.; Wang, X.; Zhao, X.; Zhao, C.; Liang, F.; Song, X.; Guan, J.; Jia, X.; et al. Structural Variants Involved in High-Altitude Adaptation Detected Using Single-Molecule Long-Read Sequencing. Nat. Commun. 2023, 14, 8282. [Google Scholar] [CrossRef]
- Fu, X.; Pereira, R.; De Angelis, C.; Veeraraghavan, J.; Nanda, S.; Qin, L.; Cataldo, M.L.; Sethunath, V.; Mehravaran, S.; Gutierrez, C.; et al. FOXA1 Upregulation Promotes Enhancer and Transcriptional Reprogramming in Endocrine-Resistant Breast Cancer. Proc. Natl. Acad. Sci. USA 2019, 116, 26823–26834. [Google Scholar] [CrossRef]
- Moreau, P.R.; Örd, T.; Downes, N.L.; Niskanen, H.; Bouvy-Liivrand, M.; Aavik, E.; Ylä-Herttuala, S.; Kaikkonen, M.U. Transcriptional Profiling of Hypoxia-Regulated Non-Coding RNAs in Human Primary Endothelial Cells. Front. Cardiovasc. Med. 2018, 5, 159. [Google Scholar] [CrossRef]
- Platt, J.L.; Salama, R.; Smythies, J.; Choudhry, H.; Davies, J.O.; Hughes, J.R.; Ratcliffe, P.J.; Mole, D.R. Capture-C Reveals Preformed Chromatin Interactions between HIF-binding Sites and Distant Promoters. EMBO Rep. 2016, 17, 1410–1421. [Google Scholar] [CrossRef]
- Niskanen, H.; Tuszynska, I.; Zaborowski, R.; Heinäniemi, M.; Ylä-Herttuala, S.; Wilczynski, B.; Kaikkonen, M.U. Endothelial Cell Differentiation Is Encompassed by Changes in Long Range Interactions between Inactive Chromatin Regions. Nucleic Acids Res. 2018, 46, 1724–1740. [Google Scholar] [CrossRef]
- Krueger, K.; Catanese, L.; Sciesielski, L.K.; Kirschner, K.M.; Scholz, H. Deletion of an Intronic HIF-2α Binding Site Suppresses Hypoxia-Induced WT1 Expression. Biochim. Biophys. Acta BBA-Gene Regul. Mech. 2019, 1862, 71–83. [Google Scholar] [CrossRef]
- Schörg, A.; Santambrogio, S.; Platt, J.L.; Schödel, J.; Lindenmeyer, M.T.; Cohen, C.D.; Schrödter, K.; Mole, D.R.; Wenger, R.H.; Hoogewijs, D. Destruction of a Distal Hypoxia Response Element Abolishes Trans-Activation of the PAG1 Gene Mediated by HIF-Independent Chromatin Looping. Nucleic Acids Res. 2015, 43, 5810–5823. [Google Scholar] [CrossRef] [PubMed]
- Nakayama, K.; Shachar, S.; Finn, E.H.; Sato, H.; Hirakawa, A.; Misteli, T. Large-Scale Mapping of Positional Changes of Hypoxia-Responsive Genes upon Activation. Mol. Biol. Cell 2022, 33, ar72. [Google Scholar] [CrossRef]
- Kakani, P.; Dhamdhere, S.G.; Pant, D.; Joshi, R.; Mishra, S.; Pandey, A.; Notani, D.; Shukla, S. Hypoxia-Induced CTCF Mediates Alternative Splicing via Coupling Chromatin Looping and RNA Pol II Pause to Promote EMT in Breast Cancer. Cell Rep. 2025, 44, 115267. [Google Scholar] [CrossRef]
- Kindrick, J.D.; Mole, D.R. Hypoxic Regulation of Gene Transcription and Chromatin: Cause and Effect. Int. J. Mol. Sci. 2020, 21, 8320. [Google Scholar] [CrossRef] [PubMed]
- Wiesener, M.S.; Jürgensen, J.S.; Rosenberger, C.; Scholze, C.; Hörstrup, J.H.; Warnecke, C.; Mandriota, S.; Bechmann, I.; Frei, U.A.; Pugh, C.W.; et al. Widespread, Hypoxia-Inducible Expression of HIF-2α in Distinct Cell Populations of Different Organs. FASEB J. 2003, 17, 271–273. [Google Scholar] [CrossRef] [PubMed]
- Shi, Y.; Gilkes, D.M. HIF-1 and HIF-2 in Cancer: Structure, Regulation, and Therapeutic Prospects. Cell. Mol. Life Sci. 2025, 82, 44. [Google Scholar] [CrossRef]
- Loboda, A.; Jozkowicz, A.; Dulak, J. HIF-1 and HIF-2 Transcription Factors—Similar but Not Identical. Mol. Cells 2010, 29, 435–442. [Google Scholar] [CrossRef]
- Lombardi, O.; Li, R.; Halim, S.; Choudhry, H.; Ratcliffe, P.J.; Mole, D.R. Pan-Cancer Analysis of Tissue and Single-Cell HIF-Pathway Activation Using a Conserved Gene Signature. Cell Rep. 2022, 41, 111652. [Google Scholar] [CrossRef]
- Schödel, J.; Oikonomopoulos, S.; Ragoussis, J.; Pugh, C.W.; Ratcliffe, P.J.; Mole, D.R. High-Resolution Genome-Wide Mapping of HIF-Binding Sites by ChIP-Seq. Blood 2011, 117, e207–e217. [Google Scholar] [CrossRef]
- Smythies, J.A.; Sun, M.; Masson, N.; Salama, R.; Simpson, P.D.; Murray, E.; Neumann, V.; Cockman, M.E.; Choudhry, H.; Ratcliffe, P.J.; et al. Inherent DNA-binding Specificities of the HIF-1α and HIF-2α Transcription Factors in Chromatin. EMBO Rep. 2019, 20, e46401. [Google Scholar] [CrossRef]
- Mimura, I.; Nangaku, M.; Kanki, Y.; Tsutsumi, S.; Inoue, T.; Kohro, T.; Yamamoto, S.; Fujita, T.; Shimamura, T.; Suehiro, J.; et al. Dynamic Change of Chromatin Conformation in Response to Hypoxia Enhances the Expression of GLUT3 (SLC2A3) by Cooperative Interaction of Hypoxia-Inducible Factor 1 and KDM3A. Mol. Cell. Biol. 2012, 32, 3018–3032. [Google Scholar] [CrossRef]
- Tanimoto, K.; Tsuchihara, K.; Kanai, A.; Arauchi, T.; Esumi, H.; Suzuki, Y.; Sugano, S. Genome-Wide Identification and Annotation of HIF-1α Binding Sites in Two Cell Lines Using Massively Parallel Sequencing. HUGO J. 2010, 4, 35–48. [Google Scholar] [CrossRef]
- Loftus, S.K.; Baxter, L.L.; Cronin, J.C.; Fufa, T.D.; Program, N.C.S.; Pavan, W.J. Hypoxia-Induced HIF1α Targets in Melanocytes Reveal a Molecular Profile Associated with Poor Melanoma Prognosis. Pigment Cell Melanoma Res. 2017, 30, 339–352. [Google Scholar] [CrossRef] [PubMed]
- Tran, M.G.B.; Bibby, B.A.S.; Yang, L.; Lo, F.; Warren, A.Y.; Shukla, D.; Osborne, M.; Hadfield, J.; Carroll, T.; Stark, R.; et al. Independence of HIF1a and Androgen Signaling Pathways in Prostate Cancer. BMC Cancer 2020, 20, 469. [Google Scholar] [CrossRef] [PubMed]
- Martí, J.M.; Garcia-Diaz, A.; Delgado-Bellido, D.; O’Valle, F.; González-Flores, A.; Carlevaris, O.; Rodríguez-Vargas, J.M.; Amé, J.C.; Dantzer, F.; King, G.L.; et al. Selective Modulation by PARP-1 of HIF-1α-Recruitment to Chromatin during Hypoxia Is Required for Tumor Adaptation to Hypoxic Conditions. Redox Biol. 2021, 41, 101885. [Google Scholar] [CrossRef]
- Feng, D.; Qu, L.; Powell-Coffman, J.A. Whole Genome Profiling of Short-Term Hypoxia Induced Genes and Identification of HIF-1 Binding Sites Provide Insights into HIF-1 Function in Caenorhabditis Elegans. PLoS ONE 2024, 19, e0295094. [Google Scholar] [CrossRef] [PubMed]
- Hu, C.-J.; Wang, L.-Y.; Chodosh, L.A.; Keith, B.; Simon, M.C. Differential Roles of Hypoxia-Inducible Factor 1α (HIF-1α) and HIF-2α in Hypoxic Gene Regulation. Mol. Cell. Biol. 2003, 23, 9361–9374. [Google Scholar] [CrossRef]
- Raval, R.R.; Lau, K.W.; Tran, M.G.B.; Sowter, H.M.; Mandriota, S.J.; Li, J.-L.; Pugh, C.W.; Maxwell, P.H.; Harris, A.L.; Ratcliffe, P.J. Contrasting Properties of Hypoxia-Inducible Factor 1 (HIF-1) and HIF-2 in von Hippel-Lindau-Associated Renal Cell Carcinoma. Mol. Cell. Biol. 2005, 25, 5675–5686. [Google Scholar] [CrossRef]
- Scortegagna, M.; Ding, K.; Zhang, Q.; Oktay, Y.; Bennett, M.J.; Bennett, M.; Shelton, J.M.; Richardson, J.A.; Moe, O.; Garcia, J.A. HIF-2α Regulates Murine Hematopoietic Development in an Erythropoietin-Dependent Manner. Blood 2005, 105, 3133–3140. [Google Scholar] [CrossRef]
- Warnecke, C.; Zaborowska, Z.; Kurreck, J.; Erdmann, V.A.; Frei, U.; Wiesener, M.; Eckardt, K.-U. Differentiating the Functional Role of Hypoxia-Inducible Factor (HIF)-1α and HIF-2α (EPAS-1) by the Use of RNA Interference: Erythropoietin Is a HIF-2α Target Gene in Hep3B and Kelly Cells. FASEB J. 2004, 18, 1462–1464. [Google Scholar] [CrossRef]
- Rankin, E.B.; Biju, M.P.; Liu, Q.; Unger, T.L.; Rha, J.; Johnson, R.S.; Simon, M.C.; Keith, B.; Haase, V.H. Hypoxia-Inducible Factor–2 (HIF-2) Regulates Hepatic Erythropoietin in Vivo. J. Clin. Investig. 2007, 117, 1068–1077. [Google Scholar] [CrossRef]
- Covello, K.L.; Kehler, J.; Yu, H.; Gordan, J.D.; Arsham, A.M.; Hu, C.-J.; Labosky, P.A.; Simon, M.C.; Keith, B. HIF-2α Regulates Oct-4: Effects of Hypoxia on Stem Cell Function, Embryonic Development, and Tumor Growth. Genes Dev. 2006, 20, 557–570. [Google Scholar] [CrossRef] [PubMed]
- Sowter, H.M.; Raval, R.; Moore, J.; Ratcliffe, P.J.; Harris, A.L. Predominant Role of Hypoxia-Inducible Transcription Factor (Hif)-1α versus Hif-2α in Regulation of the Transcriptional Response to Hypoxia1. Cancer Res. 2003, 63, 6130–6134. [Google Scholar] [PubMed]
- Turner, K.J.; Moore, J.W.; Jones, A.; Taylor, C.F.; Cuthbert-Heavens, D.; Han, C.; Leek, R.D.; Gatter, K.C.; Maxwell, P.H.; Ratcliffe, P.J.; et al. Expression of Hypoxia-Inducible Factors in Human Renal Cancer: Relationship to Angiogenesis and to the von Hippel-Lindau Gene Mutation. Cancer Res. 2002, 62, 2957–2961. [Google Scholar]
- Gordan, J.D.; Bertout, J.A.; Hu, C.-J.; Diehl, J.A.; Simon, M.C. HIF-2α Promotes Hypoxic Cell Proliferation by Enhancing c-Myc Transcriptional Activity. Cancer Cell 2007, 11, 335–347. [Google Scholar] [CrossRef]
- Chen, X.; Litzenburger, U.M.; Wei, Y.; Schep, A.N.; LaGory, E.L.; Choudhry, H.; Giaccia, A.J.; Greenleaf, W.J.; Chang, H.Y. Joint Single-Cell DNA Accessibility and Protein Epitope Profiling Reveals Environmental Regulation of Epigenomic Heterogeneity. Nat. Commun. 2018, 9, 4590. [Google Scholar] [CrossRef] [PubMed]
- Xin, J.; Zhang, H.; He, Y.; Duren, Z.; Bai, C.; Chen, L.; Luo, X.; Yan, D.-S.; Zhang, C.; Zhu, X.; et al. Chromatin Accessibility Landscape and Regulatory Network of High-Altitude Hypoxia Adaptation. Nat. Commun. 2020, 11, 4928. [Google Scholar] [CrossRef]
- Gualandi, N.; Minisini, M.; Bertozzo, A.; Brancolini, C. Dissecting Transposable Elements and Endogenous Retroviruses Upregulation by HDAC Inhibitors in Leiomyosarcoma Cells: Implications for the Interferon Response. Genomics 2024, 116, 110909. [Google Scholar] [CrossRef]
- Siebenthall, K.T.; Miller, C.P.; Vierstra, J.D.; Mathieu, J.; Tretiakova, M.; Reynolds, A.; Sandstrom, R.; Rynes, E.; Haugen, E.; Johnson, A.; et al. Integrated Epigenomic Profiling Reveals Endogenous Retrovirus Reactivation in Renal Cell Carcinoma. EBioMedicine 2019, 41, 427–442. [Google Scholar] [CrossRef]
- Lai, J.C.-Y.; Hsu, K.-W.; Wu, K.-J. Interrogation of the Interplay between DNA N6-Methyladenosine (6mA) and Hypoxia-Induced Chromatin Accessibility by a Randomized Empirical Model (EnrichShuf). Nucleic Acids Res. 2024, 52, 13605–13624. [Google Scholar] [CrossRef]
- Batie, M.; Frost, J.; Shakir, D.; Rocha, S. Regulation of Chromatin Accessibility by Hypoxia and HIF. Biochem. J. 2022, 479, 767–786. [Google Scholar] [CrossRef] [PubMed]
- Miar, A.; Arnaiz, E.; Bridges, E.; Beedie, S.; Cribbs, A.P.; Downes, D.J.; Beagrie, R.A.; Rehwinkel, J.; Harris, A.L. Hypoxia Induces Transcriptional and Translational Downregulation of the Type I IFN Pathway in Multiple Cancer Cell Types. Cancer Res. 2020, 80, 5245–5256. [Google Scholar] [CrossRef]
- Li, Y.; Gruber, J.J.; Litzenburger, U.M.; Zhou, Y.; Miao, Y.R.; LaGory, E.L.; Li, A.M.; Hu, Z.; Yip, M.; Hart, L.S.; et al. Acetate Supplementation Restores Chromatin Accessibility and Promotes Tumor Cell Differentiation under Hypoxia. Cell Death Dis. 2020, 11, 102. [Google Scholar] [CrossRef]
- Leszczynska, K.B.; Dzwigonska, M.; Estephan, H.; Moehlenbrink, J.; Bowler, E.; Giaccia, A.J.; Mieczkowski, J.; Kaminska, B.; Hammond, E.M. Hypoxia-Mediated Regulation of DDX5 through Decreased Chromatin Accessibility and Post-Translational Targeting Restricts R-Loop Accumulation. Mol. Oncol. 2023, 17, 1173–1191. [Google Scholar] [CrossRef]
- Eustermann, S.; Patel, A.B.; Hopfner, K.-P.; He, Y.; Korber, P. Energy-Driven Genome Regulation by ATP-Dependent Chromatin Remodellers. Nat. Rev. Mol. Cell Biol. 2024, 25, 309–332. [Google Scholar] [CrossRef]
- Li, Z.; Zhao, J.; Tang, Y. Advances in the Role of SWI/SNF Complexes in Tumours. J. Cell. Mol. Med. 2023, 27, 1023–1031. [Google Scholar] [CrossRef] [PubMed]
- Kang, J.-S.; Kim, D.; Rhee, J.; Seo, J.-Y.; Park, I.; Kim, J.-H.; Lee, D.; Lee, W.; Kim, Y.L.; Yoo, K.; et al. Baf155 Regulates Skeletal Muscle Metabolism via HIF-1a Signaling. PLOS Biol. 2023, 21, e3002192. [Google Scholar] [CrossRef]
- Sena, J.A.; Wang, L.; Hu, C.-J. BRG1 and BRM Chromatin-Remodeling Complexes Regulate the Hypoxia Response by Acting as Coactivators for a Subset of Hypoxia-Inducible Transcription Factor Target Genes. Mol. Cell. Biol. 2013, 33, 3849–3863. [Google Scholar] [CrossRef] [PubMed]
- Gao, W.; Li, W.; Xiao, T.; Liu, X.S.; Kaelin, W.G. Inactivation of the PBRM1 Tumor Suppressor Gene Amplifies the HIF-Response in VHL−/− Clear Cell Renal Carcinoma. Proc. Natl. Acad. Sci. USA 2017, 114, 1027–1032. [Google Scholar] [CrossRef]
- Nargund, A.M.; Pham, C.G.; Dong, Y.; Wang, P.I.; Osmangeyoglu, H.U.; Xie, Y.; Aras, O.; Han, S.; Oyama, T.; Takeda, S.; et al. The SWI/SNF Protein PBRM1 Restrains VHL-Loss-Driven Clear Cell Renal Cell Carcinoma. Cell Rep. 2017, 18, 2893–2906. [Google Scholar] [CrossRef]
- Liu, X.; Li, Z.; Wang, Z.; Liu, F.; Zhang, L.; Ke, J.; Xu, X.; Zhang, Y.; Yuan, Y.; Wei, T.; et al. Chromatin Remodeling Induced by ARID1A Loss in Lung Cancer Promotes Glycolysis and Confers JQ1 Vulnerability. Cancer Res. 2022, 82, 791–804. [Google Scholar] [CrossRef]
- Wei, A.; Wu, H. Mammalian DNA Methylome Dynamics: Mechanisms, Functions and New Frontiers. Development 2022, 149, dev182683. [Google Scholar] [CrossRef]
- Greenberg, M.V.C.; Bourc’his, D. The Diverse Roles of DNA Methylation in Mammalian Development and Disease. Nat. Rev. Mol. Cell Biol. 2019, 20, 590–607. [Google Scholar] [CrossRef]
- Honer, M.A.; Ferman, B.I.; Gray, Z.H.; Bondarenko, E.A.; Whetstine, J.R. Epigenetic Modulators Provide a Path to Understanding Disease and Therapeutic Opportunity. Genes Dev. 2024, 38, 473–503. [Google Scholar] [CrossRef]
- Wenger, R.H.; Kvietikova, I.; Rolfs, A.; Camenisch, G.; Gassmann, M. Oxygen-Regulated Erythropoietin Gene Expression Is Dependent on a CpG Methylation-Free Hypoxia-Inducible Factor-1 DNA-Binding Site. Eur. J. Biochem. 1998, 253, 771–777. [Google Scholar] [CrossRef]
- Okami, J.; Simeone, D.M.; Logsdon, C.D. Silencing of the Hypoxia-Inducible Cell Death Protein BNIP3 in Pancreatic Cancer. Cancer Res. 2004, 64, 5338–5346. [Google Scholar] [CrossRef]
- Lee, S.H.; Kim, J.; Kim, W.-H.; Lee, Y.M. Hypoxic Silencing of Tumor Suppressor RUNX3 by Histone Modification in Gastric Cancer Cells. Oncogene 2009, 28, 184–194. [Google Scholar] [CrossRef]
- Lu, Y.; Chu, A.; Turker, M.S.; Glazer, P.M. Hypoxia-Induced Epigenetic Regulation and Silencing of the BRCA1 Promoter. Mol. Cell. Biol. 2011, 31, 3339–3350. [Google Scholar] [CrossRef]
- Lee, J.S.; Kim, Y.; Bhin, J.; Shin, H.-J.R.; Nam, H.J.; Lee, S.H.; Yoon, J.-B.; Binda, O.; Gozani, O.; Hwang, D.; et al. Hypoxia-Induced Methylation of a Pontin Chromatin Remodeling Factor. Proc. Natl. Acad. Sci. USA 2011, 108, 13510–13515. [Google Scholar] [CrossRef]
- Lachance, G.; Uniacke, J.; Audas, T.E.; Holterman, C.E.; Franovic, A.; Payette, J.; Lee, S. DNMT3a Epigenetic Program Regulates the HIF-2α Oxygen-Sensing Pathway and the Cellular Response to Hypoxia. Proc. Natl. Acad. Sci. USA 2014, 111, 7783–7788. [Google Scholar] [CrossRef]
- Liu, Q.; Liu, L.; Zhao, Y.; Zhang, J.; Wang, D.; Chen, J.; He, Y.; Wu, J.; Zhang, Z.; Liu, Z. Hypoxia Induces Genomic DNA Demethylation through the Activation of HIF-1α and Transcriptional Upregulation of MAT2A in Hepatoma Cells. Mol. Cancer Ther. 2011, 10, 1113–1123. [Google Scholar] [CrossRef]
- Pal, A.; Srivastava, T.; Sharma, M.K.; Mehndiratta, M.; Das, P.; Sinha, S.; Chattopadhyay, P. Aberrant Methylation and Associated Transcriptional Mobilization of Alu Elements Contributes to Genomic Instability in Hypoxia. J. Cell. Mol. Med. 2010, 14, 2646–2654. [Google Scholar] [CrossRef]
- Cherkasova, E.; Malinzak, E.; Rao, S.; Takahashi, Y.; Senchenko, V.N.; Kudryavtseva, A.V.; Nickerson, M.L.; Merino, M.; Hong, J.A.; Schrump, D.S.; et al. Inactivation of the von Hippel–Lindau Tumor Suppressor Leads to Selective Expression of a Human Endogenous Retrovirus in Kidney Cancer. Oncogene 2011, 30, 4697–4706. [Google Scholar] [CrossRef]
- D’Anna, F.; Van Dyck, L.; Xiong, J.; Zhao, H.; Berrens, R.V.; Qian, J.; Bieniasz-Krzywiec, P.; Chandra, V.; Schoonjans, L.; Matthews, J.; et al. DNA Methylation Repels Binding of Hypoxia-Inducible Transcription Factors to Maintain Tumor Immunotolerance. Genome Biol. 2020, 21, 182. [Google Scholar] [CrossRef]
- Hu, C.Y.; Mohtat, D.; Yu, Y.; Ko, Y.-A.; Shenoy, N.; Bhattacharya, S.; Izquierdo, M.C.; Park, A.S.D.; Giricz, O.; Vallumsetla, N.; et al. Kidney Cancer Is Characterized by Aberrant Methylation of Tissue-Specific Enhancers That Are Prognostic for Overall Survival. Clin. Cancer Res. 2014, 20, 4349–4360. [Google Scholar] [CrossRef]
- Childebayeva, A.; Jones, T.R.; Goodrich, J.M.; Leon-Velarde, F.; Rivera-Chira, M.; Kiyamu, M.; Brutsaert, T.D.; Dolinoy, D.C.; Bigham, A.W. LINE-1 and EPAS1 DNA Methylation Associations with High-Altitude Exposure. Epigenetics 2019, 14, 1–15. [Google Scholar] [CrossRef]
- Belmonte, K.C.D.; Harman, J.C.; Lanson, N.A.; Gidday, J.M. Intra- and Intergenerational Changes in the Cortical DNA Methylome in Response to Therapeutic Intermittent Hypoxia in Mice. Physiol. Genom. 2020, 52, 20–34. [Google Scholar] [CrossRef]
- Childebayeva, A.; Harman, T.; Weinstein, J.; Day, T.; Brutsaert, T.D.; Bigham, A.W. Genome-Wide DNA Methylation Changes Associated With High-Altitude Acclimatization During an Everest Base Camp Trek. Front. Physiol. 2021, 12, 660906. [Google Scholar] [CrossRef]
- Basang, Z.; Zhang, S.; Yang, L.; Quzong, D.; Li, Y.; Ma, Y.; Hao, M.; Pu, W.; Liu, X.; Xie, H.; et al. Correlation of DNA Methylation Patterns to the Phenotypic Features of Tibetan Elite Alpinists in Extreme Hypoxia. J. Genet. Genom. 2021, 48, 928–935. [Google Scholar] [CrossRef]
- Yadav, P.; Pandey, A.; Kakani, P.; Mutnuru, S.A.; Samaiya, A.; Mishra, J.; Shukla, S. Hypoxia-Induced Loss of SRSF2-Dependent DNA Methylation Promotes CTCF-Mediated Alternative Splicing of VEGFA in Breast Cancer. iScience 2023, 26, 106804. [Google Scholar] [CrossRef]
- Parry, A.; Rulands, S.; Reik, W. Active Turnover of DNA Methylation during Cell Fate Decisions. Nat. Rev. Genet. 2021, 22, 59–66. [Google Scholar] [CrossRef]
- Mariani, C.J.; Vasanthakumar, A.; Madzo, J.; Yesilkanal, A.; Bhagat, T.; Yu, Y.; Bhattacharyya, S.; Wenger, R.H.; Cohn, S.L.; Nanduri, J.; et al. TET1-Mediated Hydroxymethylation Facilitates Hypoxic Gene Induction in Neuroblastoma. Cell Rep. 2014, 7, 1343–1352. [Google Scholar] [CrossRef]
- Zhu, J.; Wang, K.; Li, T.; Chen, J.; Xie, D.; Chang, X.; Yao, J.; Wu, J.; Zhou, Q.; Jia, Y.; et al. Hypoxia-Induced TET1 Facilitates Trophoblast Cell Migration and Invasion through HIF1α Signaling Pathway. Sci. Rep. 2017, 7, 8077. [Google Scholar] [CrossRef]
- Hains, A.E.; Uppal, S.; Cao, J.Z.; Salwen, H.R.; Applebaum, M.A.; Cohn, S.L.; Godley, L.A. MYCN and HIF-1 Directly Regulate TET1 Expression to Control 5-hmC Gains and Enhance Neuroblastoma Cell Migration in Hypoxia. Epigenetics 2022, 17, 2056–2074. [Google Scholar] [CrossRef]
- Tsai, Y.-P.; Chen, H.-F.; Chen, S.-Y.; Cheng, W.-C.; Wang, H.-W.; Shen, Z.-J.; Song, C.; Teng, S.-C.; He, C.; Wu, K.-J. TET1 Regulates Hypoxia-Induced Epithelial-Mesenchymal Transition by Acting as a Co-Activator. Genome Biol. 2014, 15, 513. [Google Scholar] [CrossRef]
- Cao, J.Z.; Liu, H.; Wickrema, A.; Godley, L.A. HIF-1 Directly Induces TET3 Expression to Enhance 5-hmC Density and Induce Erythroid Gene Expression in Hypoxia. Blood Adv. 2020, 4, 3053–3062. [Google Scholar] [CrossRef]
- Wu, M.-Z.; Chen, S.-F.; Nieh, S.; Benner, C.; Ger, L.-P.; Jan, C.-I.; Ma, L.; Chen, C.-H.; Hishida, T.; Chang, H.-T.; et al. Hypoxia Drives Breast Tumor Malignancy through a TET–TNFα–P38–MAPK Signaling Axis. Cancer Res. 2015, 75, 3912–3924. [Google Scholar] [CrossRef]
- Burr, S.; Caldwell, A.; Chong, M.; Beretta, M.; Metcalf, S.; Hancock, M.; Arno, M.; Balu, S.; Kropf, V.L.; Mistry, R.K.; et al. Oxygen Gradients Can Determine Epigenetic Asymmetry and Cellular Differentiation via Differential Regulation of Tet Activity in Embryonic Stem Cells. Nucleic Acids Res. 2018, 46, 1210–1226. [Google Scholar] [CrossRef]
- de la Calle-Fabregat, C.; Calafell-Segura, J.; Gardet, M.; Dunsmore, G.; Mulder, K.; Ciudad, L.; Silvin, A.; Moreno-Càceres, J.; Corbí, Á.L.; Muñoz-Pinedo, C.; et al. NF-κB and TET2 Promote Macrophage Reprogramming in Hypoxia That Overrides the Immunosuppressive Effects of the Tumor Microenvironment. Sci. Adv. 2024, 10, eadq5226. [Google Scholar] [CrossRef]
- Prasad, P.; Mittal, S.A.; Chongtham, J.; Mohanty, S.; Srivastava, T. Hypoxia-Mediated Epigenetic Regulation of Stemness in Brain Tumor Cells. Stem Cells 2017, 35, 1468–1478. [Google Scholar] [CrossRef]
- Nosyreva, E.D.; Thompson, D.; Syeda, R. Identification and Functional Characterization of the Piezo1 Channel Pore Domain. J. Biol. Chem. 2021, 296, 100225. [Google Scholar] [CrossRef]
- Thienpont, B.; Steinbacher, J.; Zhao, H.; D’Anna, F.; Kuchnio, A.; Ploumakis, A.; Ghesquière, B.; Van Dyck, L.; Boeckx, B.; Schoonjans, L.; et al. Tumour Hypoxia Causes DNA Hypermethylation by Reducing TET Activity. Nature 2016, 537, 63–68. [Google Scholar] [CrossRef]
- Hao, Z.; Wu, T.; Cui, X.; Zhu, P.; Tan, C.; Dou, X.; Hsu, K.-W.; Lin, Y.-T.; Peng, P.-H.; Zhang, L.-S.; et al. N6-Deoxyadenosine Methylation in Mammalian Mitochondrial DNA. Mol. Cell 2020, 78, 382–395.e8. [Google Scholar] [CrossRef]
- Hsu, K.-W.; Lai, J.C.-Y.; Chang, J.-S.; Peng, P.-H.; Huang, C.-H.; Lee, D.-Y.; Tsai, Y.-C.; Chung, C.-J.; Chang, H.; Chang, C.-H.; et al. METTL4-Mediated Nuclear N6-Deoxyadenosine Methylation Promotes Metastasis through Activating Multiple Metastasis-Inducing Targets. Genome Biol. 2022, 23, 249. [Google Scholar] [CrossRef]
- Stillman, B. Histone Modifications: Insights into Their Influence on Gene Expression. Cell 2018, 175, 6–9. [Google Scholar] [CrossRef]
- Millán-Zambrano, G.; Burton, A.; Bannister, A.J.; Schneider, R. Histone Post-Translational Modifications—Cause and Consequence of Genome Function. Nat. Rev. Genet. 2022, 23, 563–580. [Google Scholar] [CrossRef]
- Jash, E.; Csankovszki, G. Chromatin Organization during C. Elegans Early Development. DNA 2024, 4, 64–83. [Google Scholar] [CrossRef]
- Luo, W.; Chang, R.; Zhong, J.; Pandey, A.; Semenza, G.L. Histone Demethylase JMJD2C Is a Coactivator for Hypoxia-Inducible Factor 1 That Is Required for Breast Cancer Progression. Proc. Natl. Acad. Sci. USA 2012, 109, E3367–E3376. [Google Scholar] [CrossRef]
- Lyu, Y.; Yang, Y.; Talwar, V.; Lu, H.; Chen, C.; Salman, S.; Wicks, E.E.; Huang, T.Y.-T.; Drehmer, D.; Wang, Y.; et al. Hypoxia-Inducible Factor 1 Recruits FACT and RNF20/40 to Mediate Histone Ubiquitination and Transcriptional Activation of Target Genes. Cell Rep. 2024, 43, 113972. [Google Scholar] [CrossRef]
- Perez-Perri, J.I.; Dengler, V.L.; Audetat, K.A.; Pandey, A.; Bonner, E.A.; Urh, M.; Mendez, J.; Daniels, D.L.; Wappner, P.; Galbraith, M.D.; et al. The TIP60 Complex Is a Conserved Coactivator of HIF1A. Cell Rep. 2016, 16, 37–47. [Google Scholar] [CrossRef]
- Wang, Y.; Lyu, Y.; Tu, K.; Xu, Q.; Yang, Y.; Salman, S.; Le, N.; Lu, H.; Chen, C.; Zhu, Y.; et al. Histone Citrullination by PADI4 Is Required for HIF-Dependent Transcriptional Responses to Hypoxia and Tumor Vascularization. Sci. Adv. 2021, 7, eabe3771. [Google Scholar] [CrossRef]
- Qu, M.; Long, Y.; Wang, Y.; Yin, N.; Zhang, X.; Zhang, J. Hypoxia Increases ATX Expression by Histone Crotonylation in a HIF-2α-Dependent Manner. Int. J. Mol. Sci. 2023, 24, 7031. [Google Scholar] [CrossRef]
- Karagiota, A.; Kanoura, A.; Paraskeva, E.; Simos, G.; Chachami, G. Pyruvate Dehydrogenase Phosphatase 1 (PDP1) Stimulates HIF Activity by Supporting Histone Acetylation under Hypoxia. FEBS J. 2023, 290, 2165–2179. [Google Scholar] [CrossRef]
- Collier, H.; Albanese, A.; Kwok, C.-S.; Kou, J.; Rocha, S. Functional Crosstalk between Chromatin and Hypoxia Signalling. Cell. Signal. 2023, 106, 110660. [Google Scholar] [CrossRef]
- Brancolini, C.; Gagliano, T.; Minisini, M. HDACs and the Epigenetic Plasticity of Cancer Cells: Target the Complexity. Pharmacol. Ther. 2022, 238, 108190. [Google Scholar] [CrossRef]
- Charidemou, E.; Kirmizis, A. A Two-Way Relationship between Histone Acetylation and Metabolism. Trends Biochem. Sci. 2024, 49, 1046–1062. [Google Scholar] [CrossRef]
- Sabari, B.R.; Zhang, D.; Allis, C.D.; Zhao, Y. Metabolic Regulation of Gene Expression through Histone Acylations. Nat. Rev. Mol. Cell Biol. 2017, 18, 90–101. [Google Scholar] [CrossRef]
- Drazic, A.; Myklebust, L.M.; Ree, R.; Arnesen, T. The World of Protein Acetylation. Biochim. Biophys. Acta BBA-Proteins Proteom. 2016, 1864, 1372–1401. [Google Scholar] [CrossRef]
- Kamphorst, J.J.; Chung, M.K.; Fan, J.; Rabinowitz, J.D. Quantitative Analysis of Acetyl-CoA Production in Hypoxic Cancer Cells Reveals Substantial Contribution from Acetate. Cancer Metab. 2014, 2, 23. [Google Scholar] [CrossRef]
- Schug, Z.T.; Peck, B.; Jones, D.T.; Zhang, Q.; Grosskurth, S.; Alam, I.S.; Goodwin, L.M.; Smethurst, E.; Mason, S.; Blyth, K.; et al. Acetyl-CoA Synthetase 2 Promotes Acetate Utilization and Maintains Cancer Cell Growth under Metabolic Stress. Cancer Cell 2015, 27, 57–71. [Google Scholar] [CrossRef]
- Gao, X.; Lin, S.-H.; Ren, F.; Li, J.-T.; Chen, J.-J.; Yao, C.-B.; Yang, H.-B.; Jiang, S.-X.; Yan, G.-Q.; Wang, D.; et al. Acetate Functions as an Epigenetic Metabolite to Promote Lipid Synthesis under Hypoxia. Nat. Commun. 2016, 7, 11960. [Google Scholar] [CrossRef]
- Kondo, A.; Yamamoto, S.; Nakaki, R.; Shimamura, T.; Hamakubo, T.; Sakai, J.; Kodama, T.; Yoshida, T.; Aburatani, H.; Osawa, T. Extracellular Acidic pH Activates the Sterol Regulatory Element-Binding Protein 2 to Promote Tumor Progression. Cell Rep. 2017, 18, 2228–2242. [Google Scholar] [CrossRef]
- Quevedo, M.; Meert, L.; Dekker, M.R.; Dekkers, D.H.W.; Brandsma, J.H.; van den Berg, D.L.C.; Ozgür, Z.; van IJcken, W.F.J.; Demmers, J.; Fornerod, M.; et al. Mediator Complex Interaction Partners Organize the Transcriptional Network That Defines Neural Stem Cells. Nat. Commun. 2019, 10, 2669. [Google Scholar] [CrossRef]
- Lauer, V.; Grampp, S.; Platt, J.; Lafleur, V.; Lombardi, O.; Choudhry, H.; Kranz, F.; Hartmann, A.; Wullich, B.; Yamamoto, A.; et al. Hypoxia Drives Glucose Transporter 3 Expression through Hypoxia-Inducible Transcription Factor (HIF)–Mediated Induction of the Long Noncoding RNA NICI. J. Biol. Chem. 2020, 295, 4065–4078. [Google Scholar] [CrossRef]
- Inoue, T.; Kohro, T.; Tanaka, T.; Kanki, Y.; Li, G.; Poh, H.-M.; Mimura, I.; Kobayashi, M.; Taguchi, A.; Maejima, T.; et al. Cross-Enhancement of ANGPTL4 Transcription by HIF1 Alpha and PPAR Beta/Delta Is the Result of the Conformational Proximity of Two Response Elements. Genome Biol. 2014, 15, R63. [Google Scholar] [CrossRef]
- Paauw, N.D.; Lely, A.T.; Joles, J.A.; Franx, A.; Nikkels, P.G.; Mokry, M.; van Rijn, B.B. H3K27 Acetylation and Gene Expression Analysis Reveals Differences in Placental Chromatin Activity in Fetal Growth Restriction. Clin. Epigenet. 2018, 10, 85. [Google Scholar] [CrossRef]
- Wu, Z.; Zhang, W.; Kang, Y.J. Copper Affects the Binding of HIF-1α to the Critical Motifs of Its Target Genes†. Metallomics 2019, 11, 429–438. [Google Scholar] [CrossRef]
- Wen, B.; Zheng, Z.; Wang, L.; Qian, X.; Wang, X.; Chen, Y.; Bao, J.; Jiang, Y.; Ji, K.; Liu, H. HIF-1α Is Essential for the Augmentation of Myometrial Contractility during Labor†. Biol. Reprod. 2022, 107, 1540–1550. [Google Scholar] [CrossRef]
- Kasper, L.H.; Qu, C.; Obenauer, J.C.; McGoldrick, D.J.; Brindle, P.K. Genome-Wide and Single-Cell Analyses Reveal a Context Dependent Relationship between CBP Recruitment and Gene Expression. Nucleic Acids Res. 2014, 42, 11363–11382. [Google Scholar] [CrossRef] [PubMed]
- Luo, W.; Wang, Y. Epigenetic Regulators: Multifunctional Proteins Modulating Hypoxia-Inducible Factor-α Protein Stability and Activity. Cell. Mol. Life Sci. 2018, 75, 1043–1056. [Google Scholar] [CrossRef] [PubMed]
- Kang, J.; Kang, Y.; Kim, A. Histone H3K4ac, as a Marker of Active Transcription Start Sites and Enhancers, Plays Roles in Histone Eviction and RNA Transcription. Biochim. Biophys. Acta BBA-Gene Regul. Mech. 2024, 1867, 195021. [Google Scholar] [CrossRef]
- Wang, J.-Q.; Yan, F.-Q.; Wang, L.-H.; Yin, W.-J.; Chang, T.-Y.; Liu, J.-P.; Wu, K.-J. Identification of New Hypoxia-Regulated Epithelial-Mesenchymal Transition Marker Genes Labeled by H3K4 Acetylation. Genes Chromosomes Cancer 2020, 59, 73–83. [Google Scholar] [CrossRef]
- Mirtschink, P.; Bischof, C.; Pham, M.-D.; Sharma, R.; Khadayate, S.; Rossi, G.; Fankhauser, N.; Traub, S.; Sossalla, S.; Hagag, E.; et al. Inhibition of the Hypoxia-Inducible Factor 1α–Induced Cardiospecific HERNA1 Enhance-Templated RNA Protects From Heart Disease. Circulation 2019, 139, 2778–2792. [Google Scholar] [CrossRef]
- Tiana, M.; Acosta-Iborra, B.; Puente-Santamaría, L.; Hernansanz-Agustin, P.; Worsley-Hunt, R.; Masson, N.; García-Rio, F.; Mole, D.; Ratcliffe, P.; Wasserman, W.W.; et al. The SIN3A Histone Deacetylase Complex Is Required for a Complete Transcriptional Response to Hypoxia. Nucleic Acids Res. 2018, 46, 120–133. [Google Scholar] [CrossRef]
- Musselman, C.A.; Lalonde, M.-E.; Côté, J.; Kutateladze, T.G. Perceiving the Epigenetic Landscape through Histone Readers. Nat. Struct. Mol. Biol. 2012, 19, 1218–1227. [Google Scholar] [CrossRef]
- Bae, A.A.; Zheng, Y.G. Hetero-Oligomeric Interaction as a New Regulatory Mechanism for Protein Arginine Methyltransferases. Biochem. Soc. Trans. 2024, 52, 2193–2201. [Google Scholar] [CrossRef]
- Wesche, J.; Kühn, S.; Kessler, B.M.; Salton, M.; Wolf, A. Protein Arginine Methylation: A Prominent Modification and Its Demethylation. Cell. Mol. Life Sci. 2017, 74, 3305–3315. [Google Scholar] [CrossRef]
- Ortmann, B.M.; Burrows, N.; Lobb, I.T.; Arnaiz, E.; Wit, N.; Bailey, P.S.J.; Jordon, L.H.; Lombardi, O.; Peñalver, A.; McCaffrey, J.; et al. The HIF Complex Recruits the Histone Methyltransferase SET1B to Activate Specific Hypoxia-Inducible Genes. Nat. Genet. 2021, 53, 1022–1035. [Google Scholar] [CrossRef]
- Kim, J.; Lee, H.; Yi, S.-J.; Kim, K. Gene Regulation by Histone-Modifying Enzymes under Hypoxic Conditions: A Focus on Histone Methylation and Acetylation. Exp. Mol. Med. 2022, 54, 878–889. [Google Scholar] [CrossRef]
- Chen, H.; Yan, Y.; Davidson, T.L.; Shinkai, Y.; Costa, M. Hypoxic Stress Induces Dimethylated Histone H3 Lysine 9 through Histone Methyltransferase G9a in Mammalian Cells. Cancer Res. 2006, 66, 9009–9016. [Google Scholar] [CrossRef]
- Hancock, R.L.; Masson, N.; Dunne, K.; Flashman, E.; Kawamura, A. The Activity of JmjC Histone Lysine Demethylase KDM4A Is Highly Sensitive to Oxygen Concentrations. ACS Chem. Biol. 2017, 12, 1011–1019. [Google Scholar] [CrossRef]
- Fiorini, G.; Schofield, C.J. Biochemistry of the Hypoxia-Inducible Factor Hydroxylases. Curr. Opin. Chem. Biol. 2024, 79, 102428. [Google Scholar] [CrossRef]
- Chakraborty, A.A.; Laukka, T.; Myllykoski, M.; Ringel, A.E.; Booker, M.A.; Tolstorukov, M.Y.; Meng, Y.J.; Meier, S.R.; Jennings, R.B.; Creech, A.L.; et al. Histone Demethylase KDM6A Directly Senses Oxygen to Control Chromatin and Cell Fate. Science 2019, 363, 1217–1222. [Google Scholar] [CrossRef]
- Qian, X.; Li, X.; Shi, Z.; Bai, X.; Xia, Y.; Zheng, Y.; Xu, D.; Chen, F.; You, Y.; Fang, J.; et al. KDM3A Senses Oxygen Availability to Regulate PGC-1α-Mediated Mitochondrial Biogenesis. Mol. Cell 2019, 76, 885–895.e7. [Google Scholar] [CrossRef]
- Ortmann, B.M.; Taylor, C.T.; Rocha, S. Hypoxia Research, Where to Now? Trends Biochem. Sci. 2024, 49, 573–582. [Google Scholar] [CrossRef]
- Adriaens, M.E.; Prickaerts, P.; Chan-Seng-Yue, M.; van den Beucken, T.; Dahlmans, V.E.H.; Eijssen, L.M.; Beck, T.; Wouters, B.G.; Voncken, J.W.; Evelo, C.T.A. Quantitative Analysis of ChIP-Seq Data Uncovers Dynamic and Sustained H3K4me3 and H3K27me3 Modulation in Cancer Cells under Hypoxia. Epigenet. Chromatin 2016, 9, 48. [Google Scholar] [CrossRef]
- Prickaerts, P.; Adriaens, M.E.; van den Beucken, T.; Koch, E.; Dubois, L.; Dahlmans, V.E.H.; Gits, C.; Evelo, C.T.A.; Chan-Seng-Yue, M.; Wouters, B.G.; et al. Hypoxia Increases Genome-Wide Bivalent Epigenetic Marking by Specific Gain of H3K27me3. Epigenet. Chromatin 2016, 9, 46. [Google Scholar] [CrossRef]
- Batie, M.; Frost, J.; Frost, M.; Wilson, J.W.; Schofield, P.; Rocha, S. Hypoxia Induces Rapid Changes to Histone Methylation and Reprograms Chromatin. Science 2019, 363, 1222–1226. [Google Scholar] [CrossRef]
- Semenza, G.L. Targeting HIF-1 for Cancer Therapy. Nat. Rev. Cancer 2003, 3, 721–732. [Google Scholar] [CrossRef]
- Ivan, M.; Kaelin, W.G. The EGLN-HIF O2-Sensing System: Multiple Inputs and Feedbacks. Mol. Cell 2017, 66, 772–779. [Google Scholar] [CrossRef]
- Xia, X.; Kung, A.L. Preferential Binding of HIF-1 to Transcriptionally Active Loci Determines Cell-Type Specific Response to Hypoxia. Genome Biol. 2009, 10, R113. [Google Scholar] [CrossRef]
- Macrae, T.A.; Fothergill-Robinson, J.; Ramalho-Santos, M. Regulation, Functions and Transmission of Bivalent Chromatin during Mammalian Development. Nat. Rev. Mol. Cell Biol. 2023, 24, 6–26. [Google Scholar] [CrossRef]
- van den Beucken, T.; Koch, E.; Chu, K.; Rupaimoole, R.; Prickaerts, P.; Adriaens, M.; Voncken, J.W.; Harris, A.L.; Buffa, F.M.; Haider, S.; et al. Hypoxia Promotes Stem Cell Phenotypes and Poor Prognosis through Epigenetic Regulation of DICER. Nat. Commun. 2014, 5, 5203. [Google Scholar] [CrossRef]
- Ho, J.J.D.; Metcalf, J.L.; Yan, M.S.; Turgeon, P.J.; Wang, J.J.; Chalsev, M.; Petruzziello-Pellegrini, T.N.; Tsui, A.K.Y.; He, J.Z.; Dhamko, H.; et al. Functional Importance of Dicer Protein in the Adaptive Cellular Response to Hypoxia*. J. Biol. Chem. 2012, 287, 29003–29020. [Google Scholar] [CrossRef]
- Chen, H.; Yu, S.; Ma, R.; Deng, L.; Yi, Y.; Niu, M.; Xu, C.; Xiao, Z.-X.J. Hypoxia-Activated XBP1s Recruits HDAC2-EZH2 to Engage Epigenetic Suppression of ΔNp63α Expression and Promote Breast Cancer Metastasis Independent of HIF1α. Cell Death Differ. 2024, 31, 447–459. [Google Scholar] [CrossRef]
- Duncan, E.M.; Muratore-Schroeder, T.L.; Cook, R.G.; Garcia, B.A.; Shabanowitz, J.; Hunt, D.F.; Allis, C.D. Cathepsin L Proteolytically Processes Histone H3 During Mouse Embryonic Stem Cell Differentiation. Cell 2008, 135, 284–294. [Google Scholar] [CrossRef]
- Duarte, L.F.; Young, A.R.J.; Wang, Z.; Wu, H.-A.; Panda, T.; Kou, Y.; Kapoor, A.; Hasson, D.; Mills, N.R.; Ma’ayan, A.; et al. Histone H3.3 and Its Proteolytically Processed Form Drive a Cellular Senescence Programme. Nat. Commun. 2014, 5, 5210. [Google Scholar] [CrossRef]
- Ferrari, K.J.; Amato, S.; Noberini, R.; Toscani, C.; Fernández-Pérez, D.; Rossi, A.; Conforti, P.; Zanotti, M.; Bonaldi, T.; Tamburri, S.; et al. Intestinal Differentiation Involves Cleavage of Histone H3 N-Terminal Tails by Multiple Proteases. Nucleic Acids Res. 2021, 49, 791–804. [Google Scholar] [CrossRef]
- Di Giorgio, E.; Paluvai, H.; Dalla, E.; Ranzino, L.; Renzini, A.; Moresi, V.; Minisini, M.; Picco, R.; Brancolini, C. HDAC4 Degradation during Senescence Unleashes an Epigenetic Program Driven by AP-1/P300 at Selected Enhancers and Super-Enhancers. Genome Biol. 2021, 22, 129. [Google Scholar] [CrossRef]
- Otero-Albiol, D.; Carnero, A. Cellular Senescence or Stemness: Hypoxia Flips the Coin. J. Exp. Clin. Cancer Res. 2021, 40, 243. [Google Scholar] [CrossRef]
- Chang, S.; Moon, R.; Nam, D.; Lee, S.-W.; Yoon, I.; Lee, D.-S.; Choi, S.; Paek, E.; Hwang, D.; Hur, J.K.; et al. Hypoxia Increases Methylated Histones to Prevent Histone Clipping and Heterochromatin Redistribution during Raf-Induced Senescence. Nucleic Acids Res. 2025, 53, gkae1210. [Google Scholar] [CrossRef]
- Rytkönen, K.T.; Faux, T.; Mahmoudian, M.; Heinosalo, T.; Nnamani, M.C.; Perheentupa, A.; Poutanen, M.; Elo, L.L.; Wagner, G.P. Histone H3K4me3 Breadth in Hypoxia Reveals Endometrial Core Functions and Stress Adaptation Linked to Endometriosis. iScience 2022, 25, 104235. [Google Scholar] [CrossRef]
- Rogakou, E.P.; Pilch, D.R.; Orr, A.H.; Ivanova, V.S.; Bonner, W.M. DNA Double-Stranded Breaks Induce Histone H2AX Phosphorylation on Serine 139*. J. Biol. Chem. 1998, 273, 5858–5868. [Google Scholar] [CrossRef]
- Burma, S.; Chen, B.P.; Murphy, M.; Kurimasa, A.; Chen, D.J. ATM Phosphorylates Histone H2AX in Response to DNA Double-Strand Breaks *. J. Biol. Chem. 2001, 276, 42462–42467. [Google Scholar] [CrossRef]
- Ward, I.M.; Chen, J. Histone H2AX Is Phosphorylated in an ATR-Dependent Manner in Response to Replicational Stress*. J. Biol. Chem. 2001, 276, 47759–47762. [Google Scholar] [CrossRef]
- Matsuoka, S.; Ballif, B.A.; Smogorzewska, A.; McDonald, E.R.; Hurov, K.E.; Luo, J.; Bakalarski, C.E.; Zhao, Z.; Solimini, N.; Lerenthal, Y.; et al. ATM and ATR Substrate Analysis Reveals Extensive Protein Networks Responsive to DNA Damage. Science 2007, 316, 1160–1166. [Google Scholar] [CrossRef]
- Economopoulou, M.; Langer, H.F.; Celeste, A.; Orlova, V.V.; Choi, E.Y.; Ma, M.; Vassilopoulos, A.; Callen, E.; Deng, C.; Bassing, C.H.; et al. Histone H2AX Is Integral to Hypoxia-Driven Neovascularization. Nat. Med. 2009, 15, 553–558. [Google Scholar] [CrossRef]
- Lyu, X.; Chastain, M.; Chai, W. Genome-Wide Mapping and Profiling of γH2AX Binding Hotspots in Response to Different Replication Stress Inducers. BMC Genom. 2019, 20, 579. [Google Scholar] [CrossRef]
- Di Giorgio, E.; Dalla, E.; Tolotto, V.; D’Este, F.; Paluvai, H.; Ranzino, L.; Brancolini, C. HDAC4 Influences the DNA Damage Response and Counteracts Senescence by Assembling with HDAC1/HDAC2 to Control H2BK120 Acetylation and Homology-Directed Repair. Nucleic Acids Res. 2024, 52, 8218–8240. [Google Scholar] [CrossRef]
- Rezaeian, A.-H.; Li, C.-F.; Wu, C.-Y.; Zhang, X.; Delacerda, J.; You, M.J.; Han, F.; Cai, Z.; Jeong, Y.S.; Jin, G.; et al. A Hypoxia-Responsive TRAF6–ATM–H2AX Signalling Axis Promotes HIF1α Activation, Tumorigenesis and Metastasis. Nat. Cell Biol. 2017, 19, 38–51. [Google Scholar] [CrossRef]
- Pan, M.-R.; Peng, G.; Hung, W.-C.; Lin, S.-Y. Monoubiquitination of H2AX Protein Regulates DNA Damage Response Signaling. J. Biol. Chem. 2011, 286, 28599–28607. [Google Scholar] [CrossRef]
- Formosa, T.; Winston, F. The Role of FACT in Managing Chromatin: Disruption, Assembly, or Repair? Nucleic Acids Res. 2020, 48, 11929–11941. [Google Scholar] [CrossRef]
- Fields, J.K.; Hicks, C.W.; Wolberger, C. Diverse Modes of Regulating Methyltransferase Activity by Histone Ubiquitination. Curr. Opin. Struct. Biol. 2023, 82, 102649. [Google Scholar] [CrossRef]
- Liu, X.; Wang, J.; Boyer, J.A.; Gong, W.; Zhao, S.; Xie, L.; Wu, Q.; Zhang, C.; Jain, K.; Guo, Y.; et al. Histone H3 Proline 16 Hydroxylation Regulates Mammalian Gene Expression. Nat. Genet. 2022, 54, 1721–1735. [Google Scholar] [CrossRef]
- Christophorou, M.A. The Virtues and Vices of Protein Citrullination. R. Soc. Open Sci. 2022, 9, 220125. [Google Scholar] [CrossRef]
- Cuthbert, G.L.; Daujat, S.; Snowden, A.W.; Erdjument-Bromage, H.; Hagiwara, T.; Yamada, M.; Schneider, R.; Gregory, P.D.; Tempst, P.; Bannister, A.J.; et al. Histone Deimination Antagonizes Arginine Methylation. Cell 2004, 118, 545–553. [Google Scholar] [CrossRef]
- Darrah, E.; Rosen, A.; Giles, J.T.; Andrade, F. Peptidylarginine Deiminase 2, 3 and 4 Have Distinct Specificities against Cellular Substrates: Novel Insights into Autoantigen Selection in Rheumatoid Arthritis. Ann. Rheum. Dis. 2012, 71, 92–98. [Google Scholar] [CrossRef]
- Sharma, P.; Azebi, S.; England, P.; Christensen, T.; Møller-Larsen, A.; Petersen, T.; Batsché, E.; Muchardt, C. Citrullination of Histone H3 Interferes with HP1-Mediated Transcriptional Repression. PLoS Genet. 2012, 8, e1002934. [Google Scholar] [CrossRef]
- Guertin, M.J.; Zhang, X.; Anguish, L.; Kim, S.; Varticovski, L.; Lis, J.T.; Hager, G.L.; Coonrod, S.A. Targeted H3R26 Deimination Specifically Facilitates Estrogen Receptor Binding by Modifying Nucleosome Structure. PLoS Genet. 2014, 10, e1004613. [Google Scholar] [CrossRef]
- Missiaen, R.; Lesner, N.P.; Simon, M.C. HIF: A Master Regulator of Nutrient Availability and Metabolic Cross-talk in the Tumor Microenvironment. EMBO J. 2023, 42, e112067. [Google Scholar] [CrossRef]
- Gao, J.; Liu, R.; Huang, K.; Li, Z.; Sheng, X.; Chakraborty, K.; Han, C.; Zhang, D.; Becker, L.; Zhao, Y. Dynamic Investigation of Hypoxia-Induced L-Lactylation. Proc. Natl. Acad. Sci. USA 2025, 122, e2404899122. [Google Scholar] [CrossRef]
- Pérez-Tomás, R.; Pérez-Guillén, I. Lactate in the Tumor Microenvironment: An Essential Molecule in Cancer Progression and Treatment. Cancers 2020, 12, 3244. [Google Scholar] [CrossRef]
- Zhang, Z.; Zhang, L.; Zhou, Y.; Li, L.; Zhao, J.; Qin, W.; Jin, Z.; Liu, W. Increase in HDAC9 Suppresses Myoblast Differentiation via Epigenetic Regulation of Autophagy in Hypoxia. Cell Death Dis. 2019, 10, 552. [Google Scholar] [CrossRef]
- Moreno-Yruela, C.; Zhang, D.; Wei, W.; Bæk, M.; Liu, W.; Gao, J.; Danková, D.; Nielsen, A.L.; Bolding, J.E.; Yang, L.; et al. Class I Histone Deacetylases (HDAC1–3) Are Histone Lysine Delactylases. Sci. Adv. 2022, 8, eabi6696. [Google Scholar] [CrossRef]
- Galle, E.; Wong, C.-W.; Ghosh, A.; Desgeorges, T.; Melrose, K.; Hinte, L.C.; Castellano-Castillo, D.; Engl, M.; de Sousa, J.A.; Ruiz-Ojeda, F.J.; et al. H3K18 Lactylation Marks Tissue-Specific Active Enhancers. Genome Biol. 2022, 23, 207. [Google Scholar] [CrossRef]
- Chen, J.; Zhang, M.; Liu, Y.; Zhao, S.; Wang, Y.; Wang, M.; Niu, W.; Jin, F.; Li, Z. Histone Lactylation Driven by mROS-Mediated Glycolytic Shift Promotes Hypoxic Pulmonary Hypertension. J. Mol. Cell Biol. 2022, 14, mjac073. [Google Scholar] [CrossRef]
- Xu, Y.; Meng, W.; Dai, Y.; Xu, L.; Ding, N.; Zhang, J.; Zhuang, X. Anaerobic Metabolism Promotes Breast Cancer Survival via Histone-3 Lysine-18 Lactylation Mediating PPARD Axis. Cell Death Discov. 2025, 11, 54. [Google Scholar] [CrossRef]
- Zang, Y.; Wang, A.; Zhang, J.; Xia, M.; Jiang, Z.; Jia, B.; Lu, C.; Chen, C.; Wang, S.; Zhang, Y.; et al. Hypoxia Promotes Histone H3K9 Lactylation to Enhance LAMC2 Transcription in Esophageal Squamous Cell Carcinoma. iScience 2024, 27, 110188. [Google Scholar] [CrossRef]
- Ji, K.; Wen, B.; Wang, X.; Chen, L.; Chen, Y.; Wang, L.; Bao, J.; Pan, X.; Zhang, G.; Jiang, Y.; et al. HIF1A facilitates hypoxia-induced changes in H3K27ac modification to promote myometrial contractility. Commun Biol. 2025, 8, 475. [Google Scholar] [CrossRef]
- Yang, Y.; Lu, H.; Chen, C.; Lyu, Y.; Cole, R.N.; Semenza, G.L. HIF-1 Interacts with TRIM28 and DNA-PK to release paused RNA polymerase II and activate target gene transcription in response to hypoxia. Nat Commun. 2022, 13, 316. [Google Scholar] [CrossRef]
- Soliman, S.H.A.; Iwanaszko, M.; Zheng, B.; Gold, S.; Howard, B.C.; Das, M.; Chakrabarty, R.P.; Chandel, N.S.; Shilatifard, A. Transcriptional elongation control of hypoxic response. Proc. Natl. Acad. Sci. USA 2024, 121, e2321502121. [Google Scholar] [CrossRef]
- Tachiwana, H.; Yamamoto, T.; Saitoh, N. Gene regulation by non-coding RNAs in the 3D genome architecture. Curr. Opin. Genet. Dev. 2020, 61, 69–74. [Google Scholar] [CrossRef]
- Suraweera, A.; O’Byrne, K.J.; Richard, D.J. Epigenetic drugs in cancer therapy. Cancer Metastasis Rev. 2025, 44, 37. [Google Scholar] [CrossRef]
- Sauvage, D.; Bosseler, M.; Viry, E.; Kanli, G.; Oudin, A.; Berchem, G.; Keunen, O.; Janji, B. The BET Protein Inhibitor JQ1 Decreases Hypoxia and Improves the Therapeutic Benefit of Anti-PD-1 in a High-Risk Neuroblastoma Mouse Model. Cells 2022, 11, 2783. [Google Scholar] [CrossRef]
- Hosokawa, M.; Tetsumoto, S.; Yasui, M.; Kono, Y.; Ogawara, K.I. 3-deazaneplanocin A, a histone methyltransferase inhibitor, improved the chemoresistance induced under hypoxia in melanoma cells. Biochem. Biophys. Res. Commun. 2023, 677, 26–30. [Google Scholar] [CrossRef]
- Pili, R.; Liu, G.; Chintala, S.; Verheul, H.; Rehman, S.; Attwood, K.; Lodge, M.A.; Wahl, R.; Martin, J.I.; Miles, K.M.; et al. Combination of the histone deacetylase inhibitor vorinostat with bevacizumab in patients with clear-cell renal cell carcinoma: A multicentre, single-arm phase I/II clinical trial. Br. J. Cancer 2017, 116, 874–883. [Google Scholar] [CrossRef]
- Tsang, E.S.; Aggarwal, R.R.; Bergsland, E.K.; Calabrese, S.; Rozie, A.; Chaudhuri, S.; Dhawan, M.S.; Pawlowska, N.; Grabowsky, J.; Thomas, S.; et al. Updated Survival Follow-Up for Phase Ib Trial of the Histone Deacetylase Inhibitor Abexinostat With Pazopanib in Patients With Solid Tumor Malignancies. JCO Precis. Oncol. 2024, 8, e2400328. [Google Scholar] [CrossRef]
- Skwarska, A.; Calder, E.D.D.; Sneddon, D.; Bolland, H.; Odyniec, M.L.; Mistry, I.N.; Martin, J.; Folkes, L.K.; Conway, S.J.; Hammond, E.M. Development and pre-clinical testing of a novel hypoxia-activated KDAC inhibitor. Cell Chem. Biol. 2021, 28, 1258–1270.e13. [Google Scholar] [CrossRef]
- Li, Z.; Liu, P.; Chen, W.; Liu, X.; Tong, F.; Sun, J.; Zhou, Y.; Lei, T.; Yang, W.; Ma, D.; et al. Hypoxia-cleavable and specific targeted nanomedicine delivers epigenetic drugs for enhanced treatment of breast cancer and bone metastasis. J. Nanobiotechnol. 2023, 21, 221. [Google Scholar] [CrossRef]
Disclaimer/Publisher’s Note: The statements, opinions and data contained in all publications are solely those of the individual author(s) and contributor(s) and not of MDPI and/or the editor(s). MDPI and/or the editor(s) disclaim responsibility for any injury to people or property resulting from any ideas, methods, instructions or products referred to in the content. |
© 2025 by the authors. Licensee MDPI, Basel, Switzerland. This article is an open access article distributed under the terms and conditions of the Creative Commons Attribution (CC BY) license (https://creativecommons.org/licenses/by/4.0/).

