Abstract
Hatching eggs possess multiple physical and chemical barriers that limit microbial invasion; however, the role of the eggshell membrane in shaping late-stage embryonic and early post-hatch gastrointestinal (GI) microbiota remains poorly understood. This study aimed to (i) validate a reproducible eggshell membrane extraction method, (ii) assess whether microbial loads differ between nest- and floor-laid eggs, (iii) examine relationships between eggshell membrane-associated microbiota and embryonic intestinal microbiota, and (iv) determine whether microbial blooms align with key stages of the hatching process. In a preliminary experiment using White Leghorn hatching eggs, no significant differences were observed in aerobic, anaerobic, or fungal membrane counts between nest- and floor-laid eggs. In a commercial hatchery study using Ross 708 broiler eggs, membrane and GI microbial populations were evaluated across days 18–20 of incubation, corresponding to pre-pipping, internal pipping, and external pipping/post-hatch stages. Significant, day-dependent shifts in microbial counts were observed, with strong interactions between sampling day and location (membrane vs. GI) for most bacterial groups. Enterococci and anaerobic bacteria were enriched in the GI tract prior to hatch, whereas aerobic, Gram-negative, and Staphylococcus populations were more abundant on membranes during late incubation. Post-hatch chicks exhibited markedly higher GI microbial loads compared to embryos, indicating rapid colonization during the hatch transition. Collectively, these findings demonstrate that the pipping and hatching process represents a critical window for microbial redistribution from eggshell membranes to the developing chick gut, highlighting the hatchery as a key control point for early-life microbial exposure and intervention strategies.
1. Introduction
To protect the embryo against pathogenic organisms, eggs possess physical and chemical antimicrobial properties [1,2]. The calcium-based biomineral eggshell, which is a physical barrier, shields the egg embryo not only from mechanical insults but also from pathogens [3]. The porosity of the eggshell surface is decreased by being filled with a thin cuticle that serves as a barrier against microorganisms [4]. The two eggshell membranes act as a filtration barrier against microorganisms that enter through the eggshell [1,2,5]. The outer membrane is attached to the shell, and the inner membrane is attached to the outer membrane except at the air cell [1]. The shell membranes have been attributed with offering greater resistance to bacterial penetration than the shell itself [1]. The albumen possesses antimicrobial proteins and maintains an alkaline pH, which can protect the embryo against invasive microorganisms [1,2,6].
Several research methods have been developed to determine the extent of bacterial invasion from the eggshell surface to the internal contents, including the use of bioluminescent Salmonella marker strains, physical separations, and movement of indicator dyes, among others [5,7,8,9,10,11]. Sampling techniques for eggshell membrane extraction have only been examined in limited studies [9]. Detection of microbial transmission occurring between egg exterior sources and internal contents will require two separate sampling points, namely the eggshell membranes and the embryo or hatched chicks’ intestinal tract. During the final stages of hatching, several events occur, including penetration of the membrane at day 19 by the chick embryo’s egg tooth (internal pipping), followed by absorption of the yolk sac into the abdominal cavity over a 24 h period and eventual breakout (external pipping) of the chick from the egg [12].
The discovery of an intestinal microbial population in the embryos of hatching chicks and potential maternal contributions has been known for several years [13]. Results from more recent research indicated that some of the embryo intestinal microbiota are shared with the maternal oviduct and may also originate from the yolk microbiome [13,14]. Lee et al. (2019) [14] identified similar genera in the maternal magnum and cloaca, descendant eggshell, egg white, and embryo gastrointestinal tract, and suggested that the maternal microbiota may enter the embryo and form the intestinal microbiota. Maki et al. (2020) [15] demonstrated that the microbial populations on the eggshell were especially involved in the development of the chick jejunal and ileal intestinal microbiota. It has also been established that the fecal microbiome of broiler breeders can contribute to establishing the eggshell microbiota, including pathogens such as Campylobacter, Listeria, and Salmonella [16]. Since contact with the maternal hen is limited in conventional hatching, eggs are exposed to sanitizers; the impact of these practices on eggshell microbial populations and the embryo microbiota is uncertain. If sanitation protocols are effective, it is probable that pathogenic bacteria would be fewer throughout the broiler production cycle. However, bacteria on the eggshell membrane could contribute to the embryo intestinal microbiota at the time of hatch. Consequently, research is needed to determine the contribution of the eggshell membrane bacteria to the intestinal bacterial population in the final stages of hatching.
Therefore, the objectives of the current research were: (1) to demonstrate an effective means for eggshell membranes removal, (2) determine if there were distinctions between floor eggs and nest eggs in White Leghorn laying breeder flock pens, (3) to determine if bacteria inhabiting eggshell membranes could be related to the embryo intestinal microbiota, and (4) to ask whether steps of the late-stage hatching process line up with the bacterial bloom.
2. Materials and Methods
2.1. Experiment 1
White Leghorn hatching eggs from the Texas A&M University’s fertile egg production flock were used for one preliminary experiment. Animal handling and procedures conducted throughout the course of this study were in accordance with Texas A&M University Institutional Animal Care and Use Committee (IACUC 2021-0056). Nest eggs and floor eggs were evaluated to determine if the membrane extraction method was successful in removing the eggshell membranes. Nest eggs were randomly selected from the rubber-lined nesting locations provided in the breeder house. Floor eggs were randomly selected from the breeder house floor and laid on a mixture of pine shavings and organic material. The external surfaces of the eggs were visibly clean and had not been scrubbed or washed prior to membrane extraction.
2.2. Experiment 2—Commercial Hatchery
Commercial Ross 708 broiler hatching eggs from a post-peak producing flock were employed for the two trials. The experiments conducted in this study did not include any treatment. To determine if microbial relationships occurred between the internal and external pipping hatch stages, the same egg was utilized for membrane samples from the egg and intestinal tract samples of the embryo. Breeder flock, equipment, and hatchers used for this experiment, and the overall hatching percentage are listed in Table 1.
Table 1.
Trial, breed, egg location for sampling, and source of eggs for experiments 1 and 2.
2.3. Microbial Analysis
Experiment 1: On the day of lay, five nest eggs and five floor eggs were chosen. Fertile eggs were not previously incubated. The Texas A&M University (TAMU) Poultry Science Research and Teaching Center was utilized for all laboratory procedures. Before membranes were removed, a sanitizing solution (chlorhexidine diacetate) was used to dip the eggs for 15 s. After dipping, the eggs were opened from the air cell end, followed by the discarding of the internal contents. With 90% or more of the inner and outer shell membranes remaining intact, they were rinsed with sterile PBS (pH 7.4; HiMedia Laboratories, West Chester, PA, USA), followed by placement on a sterile pad.
Experiment 2: At 18 d and 19 d of incubation, ten eggs were randomly chosen. At 20 d of incubation, five eggs and five hatched chicks were chosen randomly. All laboratory procedures were conducted at the TAMU Poultry Science Research and Teaching Center. Before membranes were removed, unhatched eggs were placed in a cooler with ice for 3 h, followed by the euthanization of chicks with carbon dioxide gas prior to sampling. Chlorhexidine diacetate was applied for 15 s prior to embryo removal to dip eggs and chicks. Eggs were placed into the solution. Embryos were removed post-sanitizing. For sampling, eggs were cracked, and embryos were removed from the eggs at the air cell end, while retaining approximately 90% of the intact inner and outer membranes. Chicks were dipped into the solution for 15 s prior to necropsy at d 20, followed by removal of embryos, placement on a sterile pad, and labeling alongside their corresponding eggshells (with the membranes still intact).
2.4. Intestinal Microbial Enumeration
Experiment 2: Necropsies of euthanized chicks or embryos were conducted using tongs and surgical scissors after they had been sterilized by dipping them in 100% ethanol, followed by flaming. Intestinal tracts were removed aseptically, followed by placement in Whirl-Pak bags (Nasco, Fort Atkinson, WI, USA). After weighing each intestinal sample, sterile PBS (pH 7.4; HiMedia Laboratories, West Chester, PA, USA) was added to the bag at 4 times the weight of the intestinal sample. This was followed by crushing and rolling the samples to achieve homogenization of the contents in the Whirl-Pak bag. Ten-fold serial dilutions were conducted. Intestinal enumeration by agar media included tryptic soy agar for aerobic and anaerobic organisms (TSA, TSA-AN, BD Difco BBL Microbiology Distributor, Houston, TX, USA); mannitol salt agar for Staphylococcus aureus (MSA, Criterion, Hardy Diagnostics, Santa Maria, CA, USA); bile esculin agar for Enterococci and Group D Streptococci (BEA, Criterion, Hardy Diagnostics, Santa Maria, CA, USA); EMB agar for Escherichia coli and other Gram negative bacteria (Criterion); and egg yolk agar + 50% egg yolk enrichment for Clostridium spp. (EYA, HiMedia Laboratories PVT. Ltd., Maharashtra, India). For agar plates, each homogenized sample (0.1 mL aliquot) and each dilution were pipetted and spread onto the agar medium using sterile plastic spreaders (VWR International LLC, Radnor, PA, USA). Upon plating on the respective selective media, bacteria were incubated for 48 h at 37 °C under aerobic conditions, except for the anaerobic TSA-AN plates, which were incubated in an anaerobic chamber at 37 °C (Coy Laboratory Products, Grass Lake, MI, USA, 5% H2, 95% N2). Colonies were enumerated and calculated as log10 cfu/g of intestinal tract. Therefore, the limit of detection (LOD) was 40 cfu/g.
2.5. Eggshell Membrane Microbial Enumeration
Experiment 1: After removal of embryos from 0 d eggs, egg interiors were rinsed with sterile PBS (pH 7.4; HiMedia Laboratories, West Chester, PA, USA). Removal of inner and outer eggshell membranes was conducted using two sets of sterile tweezers, which were sterilized between contact with the eggshell exterior surface and the membrane interior contents. Membrane samples were added to tubes containing sterile PBS (20 mL, pH 7.4; HiMedia Laboratories, West Chester, PA, USA). After removal of membranes, samples were homogenized by vortexing. Ten-fold serial dilutions were conducted. For agar plates, each membrane rinse solution (0.1 mL) and dilution was pipetted and spread with sterile plastic spreaders (VWR International LLC, Radnor, PA, USA) onto each agar medium. A 1.0 mL aliquot of each membrane rinse solution and dilution was used for Petri films. Agar media used for intestinal enumeration included tryptic soy agar for anaerobic organisms (BD Difco BBL); APC Petri film for total aerobic organisms (3M United States, Maplewood, MN); and Sabouraud dextrose agar for fungi and aciduric organisms (SDA, Difco BBL). After plating, the APC media were incubated for 48 h at 37 °C. Anaerobic TSA-AN plates were incubated in an anaerobic chamber at 37 °C (Coy Laboratory Products). Fungi and aciduric organisms on SDA plates were incubated at 25 °C for 5 days. Colonies were enumerated and expressed as log10 CFU per membrane.
Experiment 2: At 18 d and 19 d of incubation, ten membrane samples plus five membrane samples from 20 d were extracted using two sets of sterile tweezers. Sterilization of tweezers was done using ethanol between contact with the eggshell exterior surface and the membrane interior contents. Membrane samples were added to tubes of sterile PBS (20 mL, pH 7.4; HiMedia Laboratories, West Chester, PA, USA). After removal of membranes, the samples were homogenized by vortexing. Ten-fold serial dilutions were conducted. For agar plates, each membrane rinse solution (0.1 mL) and dilution was spread (plastic spreaders (VWR International LLC, Radnor, PA, USA)) onto each agar medium. Membrane enumeration on agar media is the same as that used for intestinal microbial enumeration. After plating on the respective selective media, bacteria were incubated for 48 h at 37 °C under aerobic conditions, except for the anaerobic TSA-AN plates, which were incubated in an anaerobic chamber at 37 °C (Coy Laboratory Products, Grass Lake, MI, USA). Colonies were enumerated and expressed as log10 CFU per membrane.
2.6. Statistical Analysis
Microbial counts were log-transformed before statistical analysis. Experiment 1: Microbial counts on membranes of eggs collected on nest and floor pens were analyzed using JMP Pro 2016 software. Differences between treatment groups were evaluated using Student’s t-tests. Membrane samples that yielded zero colony counts were assigned a value of 1.0 log10 CFU per membrane, reflecting the minimum quantifiable value based on the plating scheme used for membrane samples. Intestinal samples that yielded zero colony counts were assigned a value of 1.3 log10 CFU/g for the statistical analysis. Experiment 2: Membrane and intestinal microbial counts were analyzed via one-way ANOVA and Tukey’s HSD to assess differences between days 18, 19, and 20 using R Studio version 2025.09.2. Membrane and intestinal counts were also compared based on day and media type using two-way ANOVA and Tukey’s HSD. Additionally, intestinal microbial counts of embryos and chicks post-hatch on day 20 were compared using Welch’s t-test. Significance was set at p < 0.05 across all analyses. Zero counts were infrequent and occurred primarily at early incubation time points. Therefore, substitution with minimum detectable values was applied to permit log-transformation and comparative analysis, consistent with standard culture-based microbiological practices.
3. Results
3.1. Egg Membrane Microbial Populations
Aerobic, anaerobic, and fungal counts did not differ significantly between the membranes of eggs collected from two sampling locations (nest or floor; Student’s t-test, p > 0.05; Table 2). Although insignificant, aerobic and fungal counts were slightly higher on the membranes of eggs collected from the floor compared to the eggs laid in nests. Anaerobic counts showed the least difference between nest- and floor-collected eggs. Due to the limited size of the samples in this experiment, some statistical differences may not have been detected. Future studies with increased replication are warranted to reduce standard error and improve statistical power. Overall, the results indicate minimal differences in membrane bacterial counts among freshly collected White Leghorn hatching eggs collected at different locations.
Table 2.
White Leghorn Eggshell membrane results for Preliminary Experiment 1. (Log10 cfu/membrane).
3.2. Hatching Egg Intestinal and Membrane Microbial Populations
For the hatching experiments, we compared microbial counts associated with the membrane and intestine across the three days of the hatching process: prehatch (n = 10, day 18), internal pipping (n = 10, day 19), external pipping, and post-hatch (n = 10, day 20). In egg membranes, Staphylococcus, Gram-negative, and Clostridial counts were significantly different across days (ANOVA, p < 0.05, Figure 1). Staphylococcus counts were significantly higher on d 19 compared to d 18 (Tukey’s HSD, p = 0.02, Δ log10 CFU = 1.16). Gram-negative counts were significantly higher on d 20 compared to d 18 and 19 (Tukey’s HSD, p = 0.02, Δ = 1.35; p = 0.009, Δ = 1.50). Clostridial counts were also significantly higher on d 20 compared to d 18 (Tukey’s HSD, p = 0.003, Δ = 1.74). Additionally, aerobic and anaerobic counts also showed a trend toward significant differences (ANOVA, p = 0.088 and 0.07, respectively). In intestinal samples, assessed microbial counts increased by d 20 compared to the previous day (Figure 2). Except for Staphylococcus, all assessed microbial counts in intestinal samples were significantly higher across sampling days (ANOVA, p < 0.05). Specifically, aerobic (Tukey’s HSD, p = 0.002, Δ = 1.74), anaerobic (p = 1.51 × 10−5, Δ = 3.44), Enterococci (p = 0.004, Δ = 2.25), Gram-negative (p = 0.003, Δ = 1.94), and Clostridial counts (p = 5.27 × 10−4, Δ = 2.99) were significantly higher on d 20 compared to d 18. Additionally, Gram-negative, anaerobic, and Clostridial counts were significantly higher on d 20 compared to d 19 (Tukey’s HSD, p = 0.003, Δ = 1.94; p = 0.04, Δ = 1.58; p = 0.009, Δ = 2.20).
Figure 1.
Eggshell membrane-associated microbial counts across late incubation and hatch. Log10 CFU per membrane is shown for aerobic bacteria (TSA), Staphylococcus spp. (MSA), Enterococci and Group D streptococci (BEA), Gram-negative bacteria (EMB), anaerobic bacteria (TSA-AN), and Clostridium spp. (EYA) on days 18 (pre-pipping), 19 (internal pipping), and 20 (external pipping/post-hatch). Boxplots represent the median and interquartile range, with whiskers indicating the minimum and maximum values; individual points represent biological replicates. Significant day-dependent shifts in membrane-associated microbial counts were observed across multiple taxa, with overall increases evident by day 20, corresponding to late-stage incubation and the hatching process.
Figure 2.
Gastrointestinal (GI) microbial counts of embryos and post-hatch chicks across late incubation and hatch. Log10 CFU per gram of intestinal tract is shown for aerobic bacteria (TSA), Staphylococcus spp. (MSA), Enterococci and Group D streptococci (BEA), Gram-negative bacteria (EMB), anaerobic bacteria (TSA-AN), and Clostridium spp. (EYA) on days 18 (pre-pipping), 19 (internal pipping), and 20 (external pipping/post-hatch). Boxplots depict the median and interquartile range, with whiskers representing minimum and maximum values; individual points represent biological replicates. GI-associated microbial loads increased markedly by day 20 across multiple bacterial groups, reflecting rapid intestinal colonization associated with the pipping and hatching process.
Additionally, we compared the effect of location (membrane or intestine) on indigenous microbial abundance with time. There were significant interactions between day and location for all assessed microbial counts except Clostridia (two-way ANOVA, p < 0.05; Figure 3). These interactions reflected day-specific effect (p = 0.012) on microbial abundance rather than independent effects of location alone (p = 0.331). Specifically, on day 19, Staphylococcus, Enterococci, and anaerobic counts were significantly different between the two locations (Tukey’s HSD, p < 0.05; estimate: 0.9, standard error (SE) = 0.38; −0.9, SE = 0.57; 0.93, SE = 0.43, respectively). On day 20, aerobic and Gram-negative counts were significantly different between the two locations (−1.5, SE = 0.57, −1.2, SE = 0.38, respectively).
Figure 3.
Comparison of microbial abundance between eggshell membranes and gastrointestinal (GI) samples across late incubation and hatch. Log10 CFU is shown for aerobic bacteria (TSA), Staphylococcus spp. (MSA), Enterococci and Group D streptococci (BEA), Gram-negative bacteria (EMB), anaerobic bacteria (TSA-AN), and Clostridium spp. (EYA) on days 18 (pre-pipping), 19 (internal pipping), and 20 (external pipping/post-hatch). Red boxplots represent GI-associated counts, and teal boxplots represent membrane-associated counts. Colored dots represent individual observations (jittered for visibility). Dot colors correspond with the sample location. Boxplots display medians and interquartile ranges, with whiskers indicating minimum and maximum values; points represent individual biological replicates. Significant interactions between sampling day and location were observed for most microbial groups, highlighting the dynamic redistribution of bacteria between the eggshell membrane and developing intestinal tract during the pipping and hatching process.
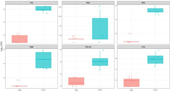
Furthermore, we compared intestinal microbial counts of embryos and hatched chicks on d 20 (Figure 4). All microbial counts in the intestinal samples of hatched chicks were significantly higher compared to embryos (Welch’s t-test, p < 0.05). Aerobic counts were ~5 log higher in chicks, Enterococci and Clostridial counts were ~4 log higher, and Gram-negative and anaerobic counts were ~3 log higher in chicks compared to embryos. Zero colony counts were observed predominantly in early incubation samples (d 18) and represented a minority of observations within each microbial group. The substantial log-scale differences observed across days and between embryos and post-hatch chicks indicate that overall conclusions were not driven by zero-value substitution.
Figure 4.
Comparison of gastrointestinal microbial abundance between embryos (egg) and post-hatch chicks on day 20 of incubation across selective and non-selective media. Log10 CFU per gram of intestinal tract is shown for aerobic bacteria (TSA), Staphylococcus spp. (MSA), Enterococci and Group D streptococci (BEA), Gram-negative bacteria (EMB), anaerobic bacteria (TSA-AN), and Clostridium spp. (EYA). Red boxplots represent egg-associated counts, and teal boxplots represent chick-associated counts. Boxplots represent medians and interquartile ranges, with whiskers indicating minimum and maximum values; points represent individual biological replicates. Across all media, GI microbial counts were significantly higher in post-hatch chicks compared to embryos, indicating rapid intestinal colonization associated with hatch and immediate post-hatch exposure.
4. Discussion
Hatchery sanitation procedures become increasingly important as eggshell membrane trends emerge. Fertile eggs that are clean, as well as free of organic adhering matter, are critical for reducing possible horizontal contamination in a commercial hatchery setting [17]. Eggs are naturally equipped with chemical and physical defenses that protect developing embryos from contamination by external sources [1,2,18]. However, based on the current study results, contamination is seen as early as the day when White Leghorn fertile eggs are laid. Early emergence of microbial contamination in egg whites and yolks has been detected in other studies, and the maternal oviduct microbiome has been shown to share core microbiome members with the embryo intestinal microbiome, and the yolk microbiome has also been speculated to contribute to the formation of the embryonic intestinal microbiota [14,19,20]. In the current study, the membrane-removal technique was successful, enabling us to remove 90% or more of the eggshell membranes for microbial enumeration. Over time, it became evident that the eggshell membrane degrades from the time eggs are laid until the late stages of incubation, which makes it easier to remove. No significant differences were observed between microbial counts associated with membranes of eggs laid in nest boxes versus those on the floor. The progressive degradation of the eggshell membrane during incubation may influence hatchery hygiene by increasing membrane fragility and the potential for microbial transfer during handling and late-stage incubation processes. Despite these structural changes, the absence of differences in microbial counts between nest- and floor-laid eggs suggests that early post-lay exposure and subsequent hatchery conditions may play a greater role in shaping membrane-associated microbiota than oviposition location alone. These findings underscore the importance of consistent sanitation practices and egg-handling protocols throughout incubation, particularly as membrane integrity declines.
In the second study, we investigated whether microbial counts differ between the eggshell membrane and the intestinal microbiota at different days of hatching. In most cases, the bacteria associated with the egg membranes were also present in the intestinal tract of the corresponding embryo. In some cases, bacteria were identified in the intestinal tract but were below the detection limit in the membrane. During the last three incubation days prior to hatching of the chick, embryos internally pip on d 19, externally pip on d 20, and begin hatching from their eggshells between d 20 and d 21. Except for Clostridia, all assessed microbial counts were significantly influenced by day and location, with day contributing significantly to the interaction, indicating that the hatching process influences bacterial distribution. Pairwise differences indicated that Staphylococcus counts were significantly lower in intestinal samples compared to the membrane on d 19 (estimate: −0.86). Similarly, aerobic and Gram-negative counts were significantly lower on d 20 in the intestine than in the membrane (estimates: −1.55 and −1.18, respectively). Conversely, Enterococci and anaerobic bacteria were significantly higher in intestinal samples compared to the membrane on d 19 (estimates: +0.87 and +0.93, respectively). These findings indicate that the hatching process may represent a critical window for microbial redistribution between the eggshell membrane and the developing intestinal tract. The appearance of Enterococci and anaerobic bacteria in the intestinal tract prior to hatch suggests that early internal colonization could be driven by physiological changes associated with internal pipping, such as increased oxygen limitation and exposure to amniotic and allantoic fluids. In contrast, the reduced recovery of aerobic, Gram-negative, and Staphylococcus populations in the intestinal tract at later stages may reflect host-mediated filtering or competitive exclusion during intestinal establishment. Collectively, these patterns highlight the importance of late-incubation hatchery conditions in shaping early chick microbiota and underscore the potential impact of membrane microorganisms as a seeding source during hatch. However, additional studies are needed to confirm this potential source and provide more in-depth taxonomic identification of the respective microbial populations.
Furthermore, the intestinal microbial counts associated with post-hatch chicks at d 20 were significantly higher compared to embryo intestinal counts. Aerobic counts were ~5 log higher in chicks, Enterococci and Clostridial counts were ~4 log higher, and Gram-negative and anaerobic counts were ~3 log higher in chicks compared to embryos. The notable increase in intestinal microbial counts observed in post-hatch chicks relative to embryos indicates that the transition from the protected intra-egg environment to the external hatchery setting represents a rapid and influential colonization phase. During pipping and hatch, chicks are exposed simultaneously to membrane-associated microorganisms, eggshell surfaces, hatcher air, and contact with neighboring chicks, creating multiple inoculation routes that could act in concert. This abrupt environmental shift coincides with increased oxygen availability, access to new nutrient sources, and elevated body temperature, all of which favor rapid microbial expansion. Together, these factors provide a mechanistic context for the substantial increases in bacterial counts observed immediately post-hatch. Depending on the genus and species, bacteria can have relatively short generation times. For example, different serovars and strains of Salmonella can vary in their enrichment and recovery times depending on media and the presence of multiple competing strains and serovars [21,22,23]. Likewise, doubling times can vary slightly among Campylobacter species [24]. It is possible that due to increases in oxygen exposure outside the shell, as well as airborne bacteria in hatchers, chick microbiota enumeration could multiply rapidly, but further research is needed. Based on the current study, there does appear to be a link between the pipping process through eggshell membranes and the increase in the chick intestinal microbiota.
Commercial broiler hatching eggs can differ at the level to which microorganisms associate with the membrane and intestinal contents of developing as well as newly hatched chicks. Thus, it becomes critical to decrease potential microbial contamination at the hatchery throughout the duration of an egg’s incubation. Visually soiled or washed eggs potentially exhibit a lower hatchability. Consequently, soiled eggs remain unwashed and, in turn, separated from good-quality hatching egg stock [25]. If eggs are contaminated, organisms located within developing embryos and newly hatched chicks can disseminate throughout live poultry production, ultimately posing a food safety concern for poultry products, depending on the type of organism [26,27]. Decreasing bacterial levels at the hatchery setting may require sanitation practices from the time eggs are laid at a breeder facility through hatch. Numerous innate egg physical and chemical defenses are in place to protect against invasive microorganisms, including the cuticle, eggshell, eggshell membranes, and the albumen [1,2,18,28,29]. These defenses vary in their physical and biological makeup and in their resistance properties [1,2]. However, a certain degree of uncertainty remains with the role that the eggshell membrane plays in overall resistance [1,30]. Limited research has been published on the microbiota of the eggshell membrane [1,10]. Tranter and Board [1], in summarizing research on eggshell membranes, concluded that the early colonization of egg membranes by bacteria was dominated by unfastidious Gram-negative bacteria, but the selection of specific organisms depended on temperature. This is consistent with the report by De Reu et al. [31] that Gram-negative, motile, and non-clustering bacteria traversed the eggshell most frequently. Even less is known about the correlation between bacterial contamination of the membrane and the eventual development of the intestinal tract microbiota of developing embryos. Similarly, in the current study, Gram-negative counts significantly increased in the egg membrane and GI on day 20, and these counts did not differ significantly between days by location. However, our results further demonstrate that this pattern is not exclusive to Gram-negative taxa. Notably, Enterococci and anaerobic bacteria exhibited significant enrichment in the GI tract prior to hatch, suggesting that physiological and microenvironmental changes during pipping selectively favor taxa adapted to low-oxygen conditions and host-associated niches.
Formaldehyde is commonly used in hatcheries as an antimicrobial intervention primarily targeting airborne bacteria, and when applied at appropriate concentrations, it effectively reduces microbial loads on eggshell surfaces [32,33,34,35]. This intervention is typically implemented during transfer from setters to hatchers between days 18 and 19 of incubation, coinciding with a critical developmental window when embryos begin internal pipping. In the present study, this timing aligns closely with the significant, day-dependent shifts observed in both eggshell membrane- and GI-associated microbiota, suggesting that hatchery sanitation practices during this transition may directly influence early microbial seeding of the chick gut. Moreover, concurrent in ovo vaccination procedures, which involve mechanical shell penetration and increased handling, may further modify microbial exposure pathways, potentially amplifying or mitigating the redistribution of bacteria observed during late incubation [36,37,38]. However, other potential sources of hatcher-derived contamination. such as hatcher air, chick-to-chick contact, handling during pipping, and hatch, should also be considered.
5. Conclusions and Future Studies
Hatching egg sanitation, handling, and in ovo vaccination are critical components of broiler production with direct implications for hatchability, chick quality, and downstream flock performance. The present findings demonstrate that microbial dynamics across the eggshell membrane and developing gastrointestinal tract shift markedly during late incubation and hatch, highlighting the hatchery as a key control point for early-life microbial exposure. Collectively, these results, in conjunction with established hatchery sanitation practices, suggest that targeted interventions can reduce early colonization by S. aureus, Enterococci, Streptococci, E. coli, and Clostridia, thereby mitigating post-hatch cross-contamination and improving overall flock health. However, more complete taxonomy assessments will be needed for distinguishing pathogenic strains and species from each other to determine the level of risk. As reliance on antibiotic-based disease prevention continues to decline in animal agriculture, hatchery-level sanitation and handling strategies represent a critical opportunity to reduce pathogen pressure at the earliest stages of poultry production. For example, specific hatchery practices could be tested in future studies that examine the impact of timing of egg transfer, sanitizer type, application rate, and other factors. Identifying key factors such as sanitizer type may lead to more effective control measures that are sufficiently effective to target most pathogens associated with hatcheries.
Future research should systematically evaluate the effectiveness of standard hatchery protocols, including sanitation methods, application rates, and timing of egg transfer and vaccination, to determine how these practices influence microbial redistribution during late incubation. Longitudinal assessment of microbial loads, hatchling quality, and hatchability following chick placement will be essential to link early microbial exposure with longer-term performance outcomes. Additional laboratory studies are also needed to characterize the specific relationship(s) between eggshell membrane microbiota and subsequent intestinal colonization, particularly during the pipping and hatch window identified in this study. Improved understanding of innate egg defense mechanisms and their persistence through the incubation period may further inform optimized sanitation and mitigation strategies. Finally, in-depth molecular characterization of microbial communities colonizing eggshell membranes and the developing intestinal tract would enable more precise resolution of taxa-specific transfer and selection processes. While extensive 16S rRNA gene sequencing studies have characterized poultry gastrointestinal microbiota [39,40], comparatively fewer studies have integrated membrane-associated communities into this framework. Coupling microbiome profiling with metabolomic analyses would provide functional insight into how microbial metabolism influences early gut establishment, pathogen resistance, and neonatal bird health, offering a foundation for next-generation hatchery interventions that extend beyond culture-based assessments [14,15,16,19,41].
Author Contributions
Conceptualization, B.D.M. and C.D.C.; methodology, B.D.M.; validation, B.D.M. and C.D.C.; resources, C.D.C.; writing—original draft preparation, B.D.M. and C.D.C.; writing, statistical analyses, review and editing, B.D.M., C.D.C., E.G.O. and S.C.R.; supervision: C.D.C.; project administration, C.D.C. All authors have read and agreed to the published version of the manuscript.
Funding
The graduate study of B.D. Meisinger was supported by the Texas A&M Department of Poultry Science. Donations of the broiler hatching eggs and White Leghorn hatching eggs were supplied by a commercial hatchery and the Department of Poultry Science, respectively.
Institutional Review Board Statement
The animal study protocol was approved by the Institutional Review Board of Texas A&M University Institutional Animal Care and Use Committee (IACUC 2021-0056 and 29 March 2021).
Informed Consent Statement
Not applicable.
Data Availability Statement
Data is available upon reasonable request to lead author B.D.M.
Acknowledgments
The graduate study of B.D. Meisinger was supported by the Texas A&M Department of Poultry Science. Donations of the broiler hatching eggs and White Leghorn hatching eggs were supplied by a commercial hatchery and the Department of Poultry Science, respectively. We thank Ally Blackledge and Koyle Knape for help in sampling and counting plates. We also thank Karley Cantú for input on the materials and methods and Keri Norman for help with the analysis. Statistical data analysis was provided by John B. Carey of the Department of Poultry Science and Keri Norman of the College of Veterinary Medicine and Biomedical Sciences, Texas A&M University, College Station, TX. The manuscript is a chapter in the Master of Science thesis by Meisinger, B. D. (2022). “Investigation of the Impacts of Hatchery Practices on Intestinal Microflora of Late-Stage Embryos and Early Post-Hatch Chicks”, Texas A&M University, College Station, TX.
Conflicts of Interest
The authors declare no conflicts of interest.
References
- Tranter, H.S.; Board, R.G. The antimicrobial defense of avian eggs: Biological perspective and chemical basis. J. Appl. Biochem. 1982, 4, 295–338. [Google Scholar]
- Mayes, F.J.; Takeballi, M.A. Microbial contamination of the hen’s egg: A review. J. Food Prot. 1983, 46, 1092–1098. [Google Scholar] [CrossRef]
- Le Roy, N.; Stapane, L.; Gautron, J.; Hincke, M.T. Evolution of the avian eggshell biomineralization protein toolkit—New insights from multi-omics. Front. Genet. 2021, 12, 672433. [Google Scholar] [CrossRef]
- Hincke, M.T.; Da Silva, M.; Guyot, N.; Gautron, J.; McKee, M.D.; Guabiraba-Brito, R.; Réhault-Godbert, S. Dynamics of structural barriers and innate immune components during incubation of the avian egg: Critical interplay between autonomous embryonic development and maternal anticipation. J. Innate Immun. 2019, 11, 111–124. [Google Scholar] [CrossRef]
- Wang, H.; Slavik, M.F. Bacterial penetration into eggs washed with various chemicals and stored at different temperatures and times. J. Food Prot. 1998, 61, 276–279. [Google Scholar] [CrossRef]
- Wellman-Labadie, O.; Picman, J.; Hincke, M.T. Antimicrobial activity of cuticle and outer eggshell protein extracts from three species of domestic birds. Br. Poult. Sci. 2008, 49, 133–143. [Google Scholar] [CrossRef]
- Chen, J.; Clarke, R.C.; Griffiths, M.W. Use of luminescent strains of Salmonella enteritidis to monitor contamination and survival in eggs. J. Food Prot. 1996, 59, 915–921. [Google Scholar] [CrossRef]
- Kim, J.W.; Slavik, M.F. Use of blue lake as an indicator of bac terial penetration into eggs. J. Rapid Meths. Auto. Microbiol. 1966, 4, 183–190. [Google Scholar] [CrossRef]
- Berrang, M.E.; Cox, N.A.; Frank, J.F.; Buhr, R.J. Bacterial penetration of the eggshell and shell membranes of the chicken hatching egg: A review. J. Appl. Poult. Res. 1999, 8, 499–504. [Google Scholar] [CrossRef]
- Berrang, M.E.; Frank, J.F.; Buhr, R.J.; Bailey, J.S.; Cox, N.A. Eggshell membrane structure and penetration by Salmonella Typhimurium. J. Food Prot. 1999, 62, 73–76. [Google Scholar] [CrossRef]
- Messens, W.; Grijspeerdt, K.; Herman, L. Eggshell penetration by Salmonella: A review. World’s Prot. Sci. J. 2005, 61, 71–86. [Google Scholar] [CrossRef]
- Tong, Q.; Romanini, C.E.; Exadaktylos, V.; Bahr, C.; Berckmans, D.; Bergoug, H.; Eterradossi, N.; Roulston, N.; Verhelst, R.; McGonnell, I.M.; et al. Embryonic development and the physiological factors that coordinate hatching in domestic chickens. Prot. Sci. 2013, 92, 620–628. [Google Scholar] [CrossRef]
- Ding, J.; Dai, R.; Yang, L.; He, C.; Xu, K.; Liu, S.; Zhao, W.; Xiao, L.; Luo, L.; Zhang, Y.; et al. Inheritance and establishment of gut microbiota in chickens. Front. Microbiol. 2017, 8, 1967. [Google Scholar] [CrossRef]
- Lee, S.; La, T.-M.; Lee, H.-J.; Choi, I.S.; Song, C.-S.; Park, S.-Y.; Lee, J.-B.; Lee, S.-W. Characterization of microbial communities in the chicken oviduct and the origin of chicken embryo gut microbiota. Sci. Rep. 2019, 9, 6838. [Google Scholar] [CrossRef]
- Maki, J.J.; Bobeck, E.A.; Sylte, M.J.; Looft, T. Eggshell and environmental bacteria contribute to the intestinal microbiota of growing chickens. J. Anim. Sci. Biotechnol. 2020, 11, 60. [Google Scholar] [CrossRef]
- Trudeau, S.; Thibodeau, A.; Côté, J.-C.; Gaucher, M.L.; Fravalo, P. Contribution of the broiler breeders’ fecal microbiota to the establishment of the eggshell microbiota. Front. Microbiol. 2020, 11, 666. [Google Scholar] [CrossRef]
- Berrang, M.E.; Frank, J.F.; Buhr, R.J.; Bailey, J.S.; Cox, N.A.; Maudlin, J.M. Microbiology of sanitized broiler hatching eggs through the egg production period. J. Appl. Prot. Res. 1997, 6, 298–305. [Google Scholar] [CrossRef]
- Rose-Martel, M.; Du, J.; Hincke, M.T. Proteomic analysis provides new insight into the chicken eggshell cuticle. J. Proteom. 2012, 75, 2697–2706. [Google Scholar] [CrossRef]
- Ding, P.; Liu, H.; Tong, Y.; He, X.; Yin, X.; Yin, Y.; Zhang, H.; Song, Z. Developmental change of yolk microbiota and its role on early colonization of intestinal microbiota in chicken embryo. Animals 2022, 12, 16. [Google Scholar] [CrossRef]
- Jin, J.; Zhou, Q.; Lan, F.; Li, J.; Yang, N.; Sun, C. Microbial composition of egg component and its association with hatchability of laying hens. Fronts. Microbiol. 2022, 13, 943097. [Google Scholar] [CrossRef]
- Gorski, L. Selective enrichment media bias the types of Salmonella enterica strains from mixed strain cultures and complex enrichment broths. PLoS ONE 2012, 7, e34722. [Google Scholar] [CrossRef]
- Singer, R.S.; Mayer, A.E.; Hanson, T.E.; Isaacson, R.E. Do microbial interactions and cultivation media decrease the accuracy of Salmonella surveillance systems and outbreak investigations? J. Food Prot. 2009, 72, 707–713. [Google Scholar] [CrossRef]
- Rivera Calo, J.; Baker, C.A.; Park, S.H.; Ricke, S.C. Specificity of Salmonella Typhimurium strain (ATCC 14028) growth responses to Salmonella serovar-generated spent media. J. Environ. Health Part B 2015, 50, 423–429. [Google Scholar] [CrossRef]
- Lanzl, M.L.; Zwietering, M.H.; Hazeleger, W.C.; Abee, T.; den Besten, H.M.W. Variability in lag-duration of Campylobacter spp. during enrichment after cold and oxidative stress and its impact on growth kinetics and reliable detection. Food Res. Int. 2020, 134, 109253. [Google Scholar] [CrossRef]
- Van den Brand, H.; Sosef, M.P.; Lourens, A.; Van Harn, J. Effects of floor eggs on hatchability and later life performance in broiler chickens. Prot. Sci. 2016, 95, 1025–1032. [Google Scholar] [CrossRef]
- Berrang, M.E.; Cox, N.A.; Frank, J.F.; Buhr, R.J.; Bailey, J.S. Hatching egg sanitization for prevention or reduction of human enteropathogens: A review. J. Appl. Prot. Res. 1999, 9, 279–284. [Google Scholar] [CrossRef]
- Coufal, C.D.; Chavez, C.; Knape, K.D.; Carey, J.B. Evaluation of a method of ultraviolet light sanitation of broiler hatching eggs. Prot. Sci. 2003, 82, 754–759. [Google Scholar] [CrossRef]
- Miyamoto, T.; Horie, T.; Baba, E.; Sasai, K.; Fukata, T.; Arakawa, A. Salmonella penetration through eggshell associated with freshness of laid eggs and refrigeration. J. Food Prot. 1998, 61, 350–353. [Google Scholar] [CrossRef]
- Harris, C.E.; Bartenfeld Josselson, L.N.; Bourassa, D.V.; Buhr, R.J. Examination of the impact of eggshell cuticle and membranes on Salmonella Enteritidis or Typhimurium recovery from inoculated and stored eggs. J. Appl. Poult. Res. 2022, 31, 100297. [Google Scholar] [CrossRef]
- Board, R.G. Review article: The course of microbial infection of the hen’s egg. J. Appl. Bact. 1966, 29, 319–341. [Google Scholar] [CrossRef] [PubMed]
- De Reu, K.; Grijspeerdt, K.; Messens, W.; Heyndrickx, M.; Uyttendaele, M.; Debevere, J.; Herman, L. Eggshell factors influencing eggshell penetration and whole egg contamination by different bacteria, including Salmonella enteritidis. Int. J. Food Microbiol. 2006, 112, 253–260. [Google Scholar] [CrossRef]
- Acklund, N.R.; Hinton, M.R.; Denmeade, K.R. Controlled formaldehyde fumigation system. Appl. Environ. Microb. 1980, 39, 480–487. [Google Scholar] [CrossRef]
- Braswell, J.R.; Spiner, D.R.; Hoffman, R.K. Adsorption of formaldehyde by various surfaces during gaseous decontamination. Appl. Microbiol. 1970, 20, 765–769. [Google Scholar] [CrossRef] [PubMed]
- Cadirci, S. Disinfection of hatching eggs by formaldehyde fumigation—A review. Eur. Poult. Sci. 2009, 73, 116–123. [Google Scholar] [CrossRef]
- Ricke, S.C.; Richardson, K.; Dittoe, D.K. Formaldehydes in feeds and interaction with the poultry gastrointestinal tract microbial community. Front. Vet. Sci. 2019, 6, 188. [Google Scholar] [CrossRef]
- Roto, S.M.; Kwon, Y.M.; Ricke, S.C. Applications of in ovo technique for the optimal development of the gastrointestinal tract and the potential influence on the establishment of its microbiome in poultry. Front. Vet. Sci. 2016, 3, 63. [Google Scholar] [CrossRef]
- Peebles, E.D. In ovo applications in poultry: A review. Prot. Sci. 2018, 97, 2322–2338. [Google Scholar] [CrossRef]
- Saeed, M.; Babazadeh, D.; Naveed, M.; Alagawany, M.; Abd El-Hack, M.E.; Arain, M.A.; Tiwari, R.; Sachan, S.; Karthik, K.; Dhama, K.; et al. In ovo delivery of various biological supplements, vaccines and drugs in poultry: Current knowledge. J. Sci. Food Agric. 2019, 99, 3727–3739. [Google Scholar] [CrossRef] [PubMed]
- Clavijo, V.; Flórez, M.J.V. The gastrointestinal microbiome and its association with the control of pathogens in broiler chicken production: A review. Prot. Sci. 2018, 97, 1006–1021. [Google Scholar] [CrossRef]
- Kers, J.G.; Velkers, F.C.; Fischer, E.A.J.; Hermes, G.D.A.; Stegeman, J.A.; Smidt, H. Host and environmental factors affecting the intestinal microbiota in chickens. Front. Microbiol. 2018, 9, 235. [Google Scholar] [CrossRef] [PubMed]
- Diaz Carrasco, J.M.; Casanova, N.A.; Fernández Miyakawa, M.E. Microbiota, Gut health and chicken productivity: What is the connection? Microorganisms 2019, 7, 374. [Google Scholar] [CrossRef] [PubMed]
Disclaimer/Publisher’s Note: The statements, opinions and data contained in all publications are solely those of the individual author(s) and contributor(s) and not of MDPI and/or the editor(s). MDPI and/or the editor(s) disclaim responsibility for any injury to people or property resulting from any ideas, methods, instructions or products referred to in the content. |
© 2026 by the authors. Licensee MDPI, Basel, Switzerland. This article is an open access article distributed under the terms and conditions of the Creative Commons Attribution (CC BY) license.



