Sign in to use this feature.

Years

Between: -

Subjects

remove_circle_outline
remove_circle_outline
remove_circle_outline
remove_circle_outline
remove_circle_outline
remove_circle_outline
remove_circle_outline
remove_circle_outline
remove_circle_outline

Journals

remove_circle_outline
remove_circle_outline
remove_circle_outline
remove_circle_outline
remove_circle_outline
remove_circle_outline
remove_circle_outline
remove_circle_outline
remove_circle_outline
remove_circle_outline
remove_circle_outline
remove_circle_outline
remove_circle_outline
remove_circle_outline
remove_circle_outline
remove_circle_outline
remove_circle_outline
remove_circle_outline
remove_circle_outline
remove_circle_outline
remove_circle_outline

Article Types

Countries / Regions

remove_circle_outline
remove_circle_outline
remove_circle_outline
remove_circle_outline
remove_circle_outline
remove_circle_outline
remove_circle_outline
remove_circle_outline

Search Results (2,040)

Search Parameters:
Keywords = gastrointestinal microbiota

Order results
Result details
Results per page
Select all
Export citation of selected articles as:
20 pages, 1967 KB  
Article
The Response of Mucosal Colonic Microbiota to Probiotic and Dietary Intervention In Vitro
by Agnieszka Rudzka, Ondřej Patloka, Magdalena Płecha, Marek Zborowski, Renata Barczyńska-Felusiak, Tomasz Królikowski, Michał Oczkowski, Danuta Kołożyn-Krajewska and Dorota Zielińska
Microorganisms 2026, 14(2), 270; https://doi.org/10.3390/microorganisms14020270 - 23 Jan 2026
Viewed by 82
Abstract
Recently, the role of mucosal intestinal microbiota in human health has received increasing attention. Nevertheless, data on the response of this microbiota to various interventions remain limited. Here, we have employed the Mucosal Simulator of Human Gastrointestinal Microbial Ecosystem (M-SHIME®) and [...] Read more.
Recently, the role of mucosal intestinal microbiota in human health has received increasing attention. Nevertheless, data on the response of this microbiota to various interventions remain limited. Here, we have employed the Mucosal Simulator of Human Gastrointestinal Microbial Ecosystem (M-SHIME®) and luminal SHIME® (L-SHIME®) to examine mucosal microbiota responses to interventions that are known to impact the intestinal microbial community in humans and study relationships between the responses of mucosal and luminal microbiota. Specifically, we evaluated the effects of varying macronutrient levels over a 28-day standard, balanced dietary intervention and a parallel 14-day administration of Lacticaseibacillus rhamnosus GG. Observed shifts in mucosal microbiota in response to interventions differed significantly from those observed in luminal microbiota (p < 0.05). In particular, we found that the mucosal microbiota compared to luminal microbiota was more stable and that the abundance of several genera (i.e., Subdoligranulum, Parabacteroides and Fusobacterium) in the M-SHIME® correlated positively with the intake of dietary macronutrients, especially protein, which was in line with results reported in previous human studies. This study demonstrates the reliability of advanced in vitro models in capturing diet-induced dynamics of the human mucosal microbiota, a compartment that remains understudied despite its critical role in intestinal immune regulation. Full article
(This article belongs to the Special Issue The Interactions Between Nutrients and Microbiota)
Show Figures

Graphical abstract

16 pages, 1154 KB  
Article
Bioactive Fiber and Polyphenols: Composition and Association with Fecal Lipid Profiles in Mango Bagasse and Peel Confectionery
by Yuritzi Barbosa, Alejandro Castrejon, Marcela Gaytán-Martínez, Jimena Álvarez-Chávez, Adriana Chico-Peralta, Mar Villamiel, Marcelo Hernández-Salazar and Aurea K. Ramírez-Jiménez
Int. J. Mol. Sci. 2026, 27(3), 1166; https://doi.org/10.3390/ijms27031166 - 23 Jan 2026
Viewed by 87
Abstract
Dietary fiber and phenolic compounds are key bioactives in gastrointestinal and metabolic health; however, their compositional features and metabolic implications have rarely been studied as an integrated system within realistic food matrices. Mango bagasse confectionery previously demonstrated prebiotic potential, and its reformulation with [...] Read more.
Dietary fiber and phenolic compounds are key bioactives in gastrointestinal and metabolic health; however, their compositional features and metabolic implications have rarely been studied as an integrated system within realistic food matrices. Mango bagasse confectionery previously demonstrated prebiotic potential, and its reformulation with extruded mango peel showed hepatoprotective effects linked to gut microbiota modulation. In this study, mango bagasse and peel confectionery (MBPC) was characterized and its metabolic impact was evaluated in vivo. Wistar rats were fed standard or high-fat diets with or without MBPC supplementation, followed by fecal fatty acid analysis. MBPC exhibited a high dietary fiber content for a confectionery product (25 g total fiber per 100 g), with monomeric profiles indicative of cell wall-derived polysaccharides and pectic components. The fiber fraction showed a low Mw (14.71 ± 0.02 kDa), suggesting a matrix favorable for fiber–phenolic interactions. Phenolic profiling revealed substantial concentrations of free (9.0 mg/mL) and bound (16.7 mg/mL) phenolic compounds. Fecal fatty acid profiles were diet-dependent, with palmitic acid showing the highest relative abundance, followed by stearic, oleic, and linoleic acids, associated with dietary fiber intake. This study elucidates the structural and metabolic relevance of dietary fiber–phenolic interactions within a formulated food matrix. Full article
(This article belongs to the Special Issue New Advances in Bioactive Compounds)
Show Figures

Figure 1

20 pages, 6491 KB  
Article
Lactiplantibacillus plantarum LPPerfectus001 Alleviating Irritable Bowel Syndrome in Mice by Modulating Gut Microbiota and NF-κB Signaling Pathway
by Yue Wang, Xiaoyue Bai, Yizhi Jing, Xin Feng, Yajuan Guo, Yanling Hao, Dun Su and Zhengyuan Zhai
Foods 2026, 15(3), 417; https://doi.org/10.3390/foods15030417 - 23 Jan 2026
Viewed by 113
Abstract
Irritable bowel syndrome (IBS) is a prevalent gastrointestinal disorder, often accompanied by low-grade inflammation, visceral hypersensitivity and gut microbiota dysbiosis. In this study, the therapeutic potential of Lactiplantibacillus plantarum LPPerfectus001 (L. plantarum 001) was investigated to alleviate IBS symptoms. Using an Lipopolysaccharides [...] Read more.
Irritable bowel syndrome (IBS) is a prevalent gastrointestinal disorder, often accompanied by low-grade inflammation, visceral hypersensitivity and gut microbiota dysbiosis. In this study, the therapeutic potential of Lactiplantibacillus plantarum LPPerfectus001 (L. plantarum 001) was investigated to alleviate IBS symptoms. Using an Lipopolysaccharides (LPS)-induced RAW264.7 macrophage model, L. plantarum 001 demonstrated significant anti-inflammatory properties by inhibiting Nitric Oxide production and downregulating pro-inflammatory cytokines. Furthermore, in a mouse model of IBS induced by Citrobacter rodentium infection and water avoidance stress, L. plantarum 001 intervention reduced fecal moisture, improved intestinal barrier integrity via up-regulating of ZO-1 and MUC2, and attenuated visceral hypersensitivity. Transcriptomic analysis combining with RT-qPCR revealed that L. plantarum 001 modulated the NF-κB signaling pathway and Th1/Th2 cell differentiation, reducing expression of key inflammatory genes. Additionally, 16S rRNA sequencing showed that L. plantarum 001 restored gut microbiota diversity, enriched beneficial butyrate-producing Odoribacter, and suppressed pro-inflammatory Pseudomonadota. These findings suggested that L. plantarum 001 alleviates IBS through multi-targeted mechanisms involving barrier repair, microbiota modulation, and anti-inflammatory signaling, highlighting its potential as a probiotic therapy for IBS. Full article
Show Figures

Graphical abstract

16 pages, 1073 KB  
Review
Hydrogen and Ozone Therapies as Adjunctive Strategies for Gastrointestinal Health in Geriatric Populations
by Joanna Michalina Jurek, Zuzanna Jakimowicz, Runyang Su, Kexin Shi and Yiqiao Qin
Gastrointest. Disord. 2026, 8(1), 8; https://doi.org/10.3390/gidisord8010008 - 23 Jan 2026
Viewed by 161
Abstract
Aging is accompanied by progressive gastrointestinal structural and functional decline, increased intestinal permeability, dysbiosis, and impaired mucosal immunity, collectively elevating susceptibility to infections, chronic inflammation, and multimorbidity. These age-related changes are further exacerbated by polypharmacy, metabolic disorders, and lifestyle factors, positioning the gastrointestinal [...] Read more.
Aging is accompanied by progressive gastrointestinal structural and functional decline, increased intestinal permeability, dysbiosis, and impaired mucosal immunity, collectively elevating susceptibility to infections, chronic inflammation, and multimorbidity. These age-related changes are further exacerbated by polypharmacy, metabolic disorders, and lifestyle factors, positioning the gastrointestinal tract as a central driver of systemic physiological decline. Gut-centered interventions have emerged as critical strategies to mitigate these vulnerabilities and support healthy aging. Dietary modulation, prebiotic and probiotic supplementation, and microbiota-targeted approaches have demonstrated efficacy in improving gut microbial diversity, enhancing short-chain fatty acid production, restoring epithelial integrity, and modulating immune signaling in older adults. Beyond nutritional strategies, non-nutritional interventions such as molecular hydrogen and medical ozone offer complementary mechanisms by selectively neutralizing reactive oxygen species, reducing pro-inflammatory signaling, modulating gut microbiota, and promoting mucosal repair. Hydrogen-based therapies, administered via hydrogen-rich water or inhalation, confer antioxidant, anti-inflammatory, and cytoprotective effects, while ozone therapy exhibits broad-spectrum antimicrobial activity, enhances tissue oxygenation, and stimulates epithelial and vascular repair. Economic considerations further differentiate these modalities, with hydrogenated water positioned as a premium wellness product and ozonated water representing a cost-effective, scalable option for geriatric gastrointestinal care. Although preclinical and early clinical studies are promising, evidence in older adults remains limited, emphasizing the need for well-designed, age-specific trials to establish safety, dosing, and efficacy. Integrating dietary, microbiota-targeted, and emerging non-nutritional gut-centered interventions offers a multimodal framework to preserve gut integrity, immune competence, and functional health, potentially mitigating age-related decline and supporting overall health span in older populations. Full article
Show Figures

Figure 1

30 pages, 2087 KB  
Review
Prebiotics and Gut Health: Mechanisms, Clinical Evidence, and Future Directions
by Cinara Regina A. V. Monteiro, Eduarda G. Bogea, Carmem D. L. Campos, José L. Pereira-Filho, Viviane S. S. Almeida, André A. M. Vale, Ana Paula S. Azevedo-Santos and Valério Monteiro-Neto
Nutrients 2026, 18(3), 372; https://doi.org/10.3390/nu18030372 - 23 Jan 2026
Viewed by 290
Abstract
Background/Objectives: Prebiotics, which are non-digestible compounds that selectively modulate gut microbiota, are recognized for their potential to promote host health. Although their bifidogenic effect is well documented, a systematic synthesis of how this microbial modulation translates into clinical gastrointestinal (GI) and metabolic outcomes [...] Read more.
Background/Objectives: Prebiotics, which are non-digestible compounds that selectively modulate gut microbiota, are recognized for their potential to promote host health. Although their bifidogenic effect is well documented, a systematic synthesis of how this microbial modulation translates into clinical gastrointestinal (GI) and metabolic outcomes across diverse populations is needed. This review aims to integrate mechanistic insights with clinical evidence to elucidate the pathway from prebiotic structures to tangible health benefits. Methods: This comprehensive narrative review details the structural properties of major prebiotics (e.g., inulin, FOS, and GOS) that govern their fermentation and the production of short-chain fatty acids (SCFAs). To evaluate clinical efficacy, an analysis of 22 randomized controlled trials from the past decade was conducted, focusing on human studies that utilized ISAPP-recognized prebiotics as the sole intervention. Results: The analysis confirms that prebiotic supplementation consistently increased the abundance of beneficial bacteria (e.g., Bifidobacterium and Lactobacillus) and SCFA production. These changes are associated with significant clinical improvements, including enhanced stool frequency and consistency, strengthened intestinal barrier function, and modulated immune responses. Benefits have been documented in healthy individuals, children, the elderly, and those with conditions such as constipation, metabolic syndrome, and antibiotic-associated dysbiosis. However, significant inter-individual variability in response was evident, and the study designs showed notable heterogeneity in prebiotic type, dosage, and duration. Conclusions: Prebiotics are effective modulators of gut health, driving clinical benefits through selective microbial fermentation and SCFA production. The documented heterogeneity and variability highlight the need for future research to focus on personalized nutritional strategies. Key priorities include standardizing intervention protocols, elucidating dose–response relationships, integrating multi-omics data to link taxonomy to function, and exploring novel applications such as synbiotic formulations and gut–brain axis modulation. Full article
Show Figures

Figure 1

25 pages, 3381 KB  
Article
Advances in Functional Foods: Using Double Emulsion Gels to Deliver CBD and Probiotics and to Modulate Human Gut Microbial Communities
by Sigita Jeznienė, Ina Jasutienė, Milda Keršienė, Rita Bandariavičiūtė, Laurita Varnaitė-Kapočė, Ieva Bartkuvienė, Vida Audra Budrienė, Arūnas Jonušas, Daiva Leskauskaitė and Aušra Šipailienė
Nutrients 2026, 18(3), 367; https://doi.org/10.3390/nu18030367 - 23 Jan 2026
Viewed by 99
Abstract
Background/Objectives: This study examines the application of the novel double emulsion gel system for the delivery and release of encapsulated cannabidiol (CBD) and the probiotic strain Lactiplantibacillus plantarum DSM 24624. Methods: During a six-week experimental period comprising stabilization, treatment, and wash-out phases, [...] Read more.
Background/Objectives: This study examines the application of the novel double emulsion gel system for the delivery and release of encapsulated cannabidiol (CBD) and the probiotic strain Lactiplantibacillus plantarum DSM 24624. Methods: During a six-week experimental period comprising stabilization, treatment, and wash-out phases, the dynamic Simulator of the Human Intestinal Microbial Ecosystem (SHIME®) model was employed to assess a system. The evaluation focused on the delivery of CBD and probiotics, as well as the system’s effects on microbial composition, diversity, and metabolic activity throughout the digestion process using 16S rRNA gene sequencing and digital PCR methods. Results: Microbial community analysis revealed significant shifts in both mucosal and luminal microbiota following supplementation. The treatment increased beneficial bacterial families such as Lachnospiraceae and Clostridiaceae, demonstrated effective delivery, release, and persistence of the probiotic L. plantarum, as well as enhanced butyrate and lactate production. Diversity analyses highlighted a transient rise in alpha diversity within the mucin layer and a decrease in the lumen, with significant changes in beta diversity across experimental phases. Conclusions: Findings suggest that double emulsion gel can be employed for the delivery of probiotics and CBD to the gastrointestinal tract. In addition, an innovative CBD-probiotic formulation can modulate gut microbiota composition and metabolic activity, suggesting its potential as a functional food innovation for intestinal health. However, the results are based on an in vitro model, which lacks the complexity of the human host environment, and further clinical studies are necessary to confirm the biological relevance and therapeutic potential of such delivery systems for gastrointestinal health. Full article
Show Figures

Figure 1

21 pages, 944 KB  
Review
Gut Microbiota-Derived Short-Chain Fatty Acids in Inflammatory Bowel Disease: Mechanistic Insights into Gut Inflammation, Barrier Function, and Therapeutic Potential
by Roberta Ottria, Susan Mirmajidi and Pierangela Ciuffreda
Int. J. Mol. Sci. 2026, 27(2), 1095; https://doi.org/10.3390/ijms27021095 - 22 Jan 2026
Viewed by 41
Abstract
This review delves into the complex relationship between short-chain fatty acids (SCFAs) produced by the gut microbiota and inflammatory bowel disease (IBD). IBD, which includes Crohn’s disease and ulcerative colitis, is a group of chronic gastrointestinal disorders with an increasing global incidence. Despite [...] Read more.
This review delves into the complex relationship between short-chain fatty acids (SCFAs) produced by the gut microbiota and inflammatory bowel disease (IBD). IBD, which includes Crohn’s disease and ulcerative colitis, is a group of chronic gastrointestinal disorders with an increasing global incidence. Despite extensive research, the exact etiopathogenesis remains elusive, although a complex interplay involving genetic predisposition, environmental influences, and abnormal immune responses against commensal gut microbes is widely recognized. SCFAs, primarily acetate and butyrate, emerge as key microbial metabolites derived from the fermentation of dietary fiber. They exert profound effects on gut homeostasis, notably with butyrate serving as an essential energy source for colonocytes, strengthening epithelial integrity, actively modulating local and systemic immune functions, suppressing the expression of pro-inflammatory cytokines, and enhancing mucosal defense mechanisms. However, clinical trials exploring SCFA administration have frequently yielded variable and inconsistent results due to differences in study design and patient characteristics. This review thoroughly analyzes the diverse roles of SCFAs in the large intestine, focusing on the intestinal barrier, immune modulation, and microbiota. It critically examines the therapeutic potential of SCFAs, including acetate and propionate, in addition to the well-known butyrate, in IBD management. Full article
Show Figures

Figure 1

20 pages, 3223 KB  
Article
Inhibition of the T2R/α-Defensin Pathway Mediates Nauclea officinalis-Induced Intestinal Barrier Dysfunction and Microbiota Alterations
by Xiaoman Li, Yao Yi, Tegele Si, Lianqian Wang, Zhiyong Hu, Jiayue Xiong, Xuemei Bao, Jun Jun, Sachurula Bao, Xiaoping Ji and Minghai Fu
Toxics 2026, 14(1), 99; https://doi.org/10.3390/toxics14010099 (registering DOI) - 21 Jan 2026
Viewed by 97
Abstract
Clinical reports have shown that administration of Nauclea officinalis (Danmu in Chinese, DM) preparations may cause significant gastrointestinal discomfort. This study aimed to systematically evaluate the adverse effects of DM and its primary active constituent, strictosamide, on gastrointestinal motility, intestinal barrier integrity, and [...] Read more.
Clinical reports have shown that administration of Nauclea officinalis (Danmu in Chinese, DM) preparations may cause significant gastrointestinal discomfort. This study aimed to systematically evaluate the adverse effects of DM and its primary active constituent, strictosamide, on gastrointestinal motility, intestinal barrier integrity, and gut microbiota homeostasis. Furthermore, we sought to investigate the potential role of the bitter taste receptor (T2R) signaling pathway in mediating these effects. In vitro cell cultures and ex vivo intestinal tissues were employed to assess cell viability and molecular alterations. In vivo studies involved short-term (2 weeks) gavage of DM (0.54 and 1.08 g/kg) and long-term (16 weeks) intervention (0.4, 0.8, and 1.2 g/kg) in rodents. Evaluations included histopathological examination, serum levels of cytokines and oxidative stress markers (ELISA), expression of tight junction proteins (Western blot and qPCR), and 16S rDNA sequencing of cecal microbiota. Mechanistic analyses focused on α-defensin secretion and T2R-associated gene and protein expression. Administration of DM resulted in significant gastrointestinal dysfunction, characterized by delayed intestinal propulsion and increased gastric retention. Dose-dependent histopathological damage, disruption of the intestinal barrier (reduced occludin and claudin-1 expression), and elevated levels of pro-inflammatory cytokines (IL-6, TNF-α, and IL-1β), oxidative stress markers (MDA, SOD, and GSH-Px), and immune mediators (IFN-γ) were observed. Gut microbiota analysis revealed dysbiosis, marked by a decline in beneficial genera (e.g., Mucispirillum, Butyricicoccus, Roseburia) and an increase in potentially pathogenic bacteria (e.g., Citrobacter, Helicobacter). Mechanistically, DM suppressed α-defensin secretion and downregulated the expression of TAS2R108, TAS2R138, and Gα-gustducin both in vitro and in vivo. DM and strictosamide disrupt gut microbiota composition and compromise intestinal barrier function, likely through inhibition of the T2R/α-defensin pathway. These findings provide important mechanistic insights into drug-induced gastrointestinal toxicity and underscore the potential risks associated with prolonged use of DM-containing preparations. Full article
(This article belongs to the Special Issue Mechanisms of Toxicity of Chemical Compounds and Natural Compounds)
Show Figures

Graphical abstract

19 pages, 1986 KB  
Article
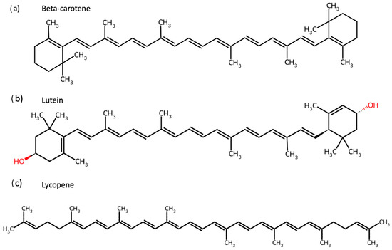
Bioinformatic Insights into the Carotenoids’ Role in Gut Microbiota Dynamics
by Helena R. Rocha, Pedro Ribeiro, Pedro Miguel Rodrigues, Ana M. Gomes, Manuela Pintado and Marta C. Coelho
Nutrients 2026, 18(2), 330; https://doi.org/10.3390/nu18020330 - 20 Jan 2026
Viewed by 135
Abstract
Background/Objectives: Carotenoids are bioactive pigments with well-established antioxidant and immunomodulatory properties, yet their impact on gut microbiota remains poorly understood from a chemical standpoint. This study explores how carotenoid structure and gastrointestinal stability shape microbial responses combining in vitro fermentation with bioinformatic analyses. [...] Read more.
Background/Objectives: Carotenoids are bioactive pigments with well-established antioxidant and immunomodulatory properties, yet their impact on gut microbiota remains poorly understood from a chemical standpoint. This study explores how carotenoid structure and gastrointestinal stability shape microbial responses combining in vitro fermentation with bioinformatic analyses. Methods: Individual carotenoids (beta (β)-carotene, lutein, lycopene) and combined carotenoids, as well as algal-derived extracts were subjected to 48 h in vitro fermentation, and microbial composition and activity were assessed through sequencing and computational analysis. Results: β-carotene and lycopene promoted acid-tolerant taxa such as Escherichia-Shigella, whereas lutein, due to its higher polarity, supported more transient fluctuations. Mixtures and algal carotenoids exhibited synergistic effects, sustaining beneficial genera including Bifidobacterium and Bacteroides and promoting structured ecological trajectories. Conclusions: These findings provide a chemistry-driven perspective on how carotenoids act as modulators of microbial ecosystems, with direct implications for the formulation of carotenoid-enriched functional foods and dietary interventions. Full article
(This article belongs to the Special Issue Dietary Carotenoids for Human Health)
Show Figures

Graphical abstract

65 pages, 861 KB  
Review
Fermented Plant-Based Foods and Postbiotics for Glycemic Control—Microbial Biotransformation of Phytochemicals
by Emilia Cevallos-Fernández, Elena Beltrán-Sinchiguano, Belén Jácome, Tatiana Quintana and Nadya Rivera
Molecules 2026, 31(2), 360; https://doi.org/10.3390/molecules31020360 - 20 Jan 2026
Viewed by 172
Abstract
Plant-based fermented foods are increasingly promoted for glycemic control, yet their mechanisms and clinical impact remain incompletely defined. This narrative review synthesizes mechanistic, preclinical, and human data for key matrices—kimchi and other fermented vegetables, tempeh/miso/natto, and related legume ferments, kombucha and fermented teas, [...] Read more.
Plant-based fermented foods are increasingly promoted for glycemic control, yet their mechanisms and clinical impact remain incompletely defined. This narrative review synthesizes mechanistic, preclinical, and human data for key matrices—kimchi and other fermented vegetables, tempeh/miso/natto, and related legume ferments, kombucha and fermented teas, plant-based kefir, and cereal/pulse sourdoughs. Across these systems, microbial β-glucosidases, esterases, tannases, and phenolic-acid decarboxylases remodel polyphenols toward more bioaccessible aglycones and phenolic acids, while lactic and acetic fermentations generate organic acids, exopolysaccharides, bacterial cellulose, γ-polyglutamic acid, γ-aminobutyric acid, and bioactive peptides. We map these postbiotic signatures onto proximal mechanisms—α-amylase/α-glucosidase inhibition, viscosity-driven slowing of starch digestion, gastric emptying and incretin signaling, intestinal-barrier reinforcement, and microbiota-dependent short-chain–fatty-acid and bile-acid pathways—and their downstream effects on AMPK/Nrf2 signaling and the gut–liver axis. Animal models consistently show improved glucose tolerance, insulin sensitivity, and hepatic steatosis under fermented vs. non-fermented diets. In humans, however, glycemic effects are modest and highly context-dependent: The most robust signal is early postprandial attenuation with γ-PGA-rich natto, strongly acidified or low-glycemic sourdough breads, and selected kombucha formulations, particularly in individuals with impaired glucose regulation. We identify major sources of heterogeneity (starters, process parameters, substrates, background diet) and safety considerations (sodium, ethanol, gastrointestinal symptoms) and propose minimum reporting standards and trial designs integrating metabolomics, microbiome, and host-omics. Overall, plant-based ferments appear best positioned as adjuncts within cardiometabolic dietary patterns and as candidates for “purpose-built” postbiotic products targeting early glycemic excursions and broader metabolic risk. Full article
(This article belongs to the Special Issue Phytochemistry, Antioxidants, and Anti-Diabetes)
Show Figures

Figure 1

19 pages, 4111 KB  
Article
The Effects of Chinese Dwarf Cherry (Cerasus humilis) Kernel Oil on Defecation and the Gut Microbiota in Constipated Mice
by Jingyu Gao, Yumin Dai, Zhe Liang, Nan Chen, Xilong Li, Xin Wen, Yuanying Ni and Mo Li
Nutrients 2026, 18(2), 319; https://doi.org/10.3390/nu18020319 - 19 Jan 2026
Viewed by 168
Abstract
Background: The Chinese dwarf cherry (CDC) has been valued for over 2000 years for its medicinal and nutritional properties, particularly its kernels. Despite its recognition as a rich source of oil, the potential health benefits of CDC kernel oil remain unclear. Method: Initially, [...] Read more.
Background: The Chinese dwarf cherry (CDC) has been valued for over 2000 years for its medicinal and nutritional properties, particularly its kernels. Despite its recognition as a rich source of oil, the potential health benefits of CDC kernel oil remain unclear. Method: Initially, we evaluated the preventive effectiveness of CDC in a mouse model of constipation induced by loperamide. Results: The findings indicated that CDC kernel oil alleviated constipation by reducing the first black fecal defecation time and increasing the fecal number, wet weight, water content and gastrointestinal transit rate in model mice. Additionally, CDC kernel oil reduced inhibitory neurotransmitters and increased excitability neurotransmitters, two anti-oxidases’ activity and fecal short-chain fatty acid (SCFA) content. Histological analysis revealed an improved mucus cell morphology in the intestinal tract. Furthermore, CDC kernel oil increased the abundance of some beneficial bacteria. It was identified that the gut microbiota was associated with neurotransmitters, mediators of inflammation and SCFAs. Conclusion: The findings offer a scientific foundation for considering CDC kernel oil as a potential functional food for the alleviation of constipation. Full article
(This article belongs to the Section Phytochemicals and Human Health)
Show Figures

Figure 1

13 pages, 567 KB  
Article
Fecal Microbiota Transplantation Donor Screening: Is Dientamoeba fragilis a Valid Criterion for Donor Exclusion? A Longitudinal Study of a Swiss Cohort
by Keyvan Moser, Aurélie Ballif, Trestan Pillonel, Maura Concu, Elena Montenegro-Borbolla, Beatrice Nickel, Camille Stampfli, Marie-Therese Ruf, Maxime Audry, Nathalie Kapel, Susanna Gerber, Damien Jacot, Claire Bertelli and Tatiana Galpérine
Microorganisms 2026, 14(1), 217; https://doi.org/10.3390/microorganisms14010217 - 17 Jan 2026
Viewed by 154
Abstract
Dientamoeba fragilis is a protozoan of the human digestive tract, yet its transmission and pathogenic role remain poorly understood. This study aimed to evaluate its impact on the efficacy and safety of fecal microbiota transplantation (FMT) in treating recurrent Clostridioides difficile infection (rCDI). [...] Read more.
Dientamoeba fragilis is a protozoan of the human digestive tract, yet its transmission and pathogenic role remain poorly understood. This study aimed to evaluate its impact on the efficacy and safety of fecal microbiota transplantation (FMT) in treating recurrent Clostridioides difficile infection (rCDI). This longitudinal cohort study analyzed stool samples from FMT donors and recipients pre-treatment and at 2 and 8 weeks post-FMT. All samples were retrospectively tested using real-time PCR. Shotgun metagenomics was also performed on selected donor–recipient pairs to explore transmission. CDI cure rates, gastrointestinal adverse events (AEs), and serious adverse events (SAEs) were assessed prospectively. A total of 53 FMT were analyzed (179 samples), with 23 (43%) derived from D. fragilis-positive donor stool (4 of 10 donors, 40%). Four of 52 recipients (18.2%), initially negative and who received treatment from positive donors, tested positive post-FMT. Shotgun metagenomics could not definitely confirm transmission due to the lack of a good reference genome. No significant differences in efficacy, AE, or SAE were observed between FMT from D. fragilis-positive versus -negative donors, even in immunocompromised patients. No SAEs were attributed to FMT. D. fragilis may be transmitted via FMT without evidence of short-term clinical impact. Consequently, RT-PCR detection should be interpreted cautiously in the context of donor exclusion decisions. Full article
(This article belongs to the Collection Impact of Fecal Microbiota Transplantation on Human Health)
Show Figures

Graphical abstract

12 pages, 270 KB  
Review
Clinical Use, Population-Level Impact, and Antimicrobial Resistance Considerations of Probiotics and Microbiome-Based Therapeutics: Review
by Monthon Lertcanawanichakul, Phuangthip Bhoopong, Husna Madoromae and Tuanhawanti Sahabuddeen
Pharmacoepidemiology 2026, 5(1), 3; https://doi.org/10.3390/pharma5010003 - 15 Jan 2026
Viewed by 163
Abstract
Probiotics and microbiome-based therapeutics are increasingly used to prevent antibiotic-associated diarrhea (AAD) and support gut microbiota health across children, adults, and elderly populations. Evidence synthesized in this narrative review from randomized controlled trials and meta-analyses (>20,000 participants) suggests that early probiotic administration, particularly [...] Read more.
Probiotics and microbiome-based therapeutics are increasingly used to prevent antibiotic-associated diarrhea (AAD) and support gut microbiota health across children, adults, and elderly populations. Evidence synthesized in this narrative review from randomized controlled trials and meta-analyses (>20,000 participants) suggests that early probiotic administration, particularly Lactobacillus rhamnosus GG, Bifidobacterium species, multistrain formulations, and Saccharomyces boulardii, is associated with a 30–40% relative reduction in AAD incidence across heterogeneous studies, with absolute risk reductions of approximately 5–12% depending on baseline risk, strain, dose, and timing. Probiotics are generally well tolerated, with mild gastrointestinal adverse effects reported in 3–5% of users and rare serious events mainly in immunocompromised individuals. However, heterogeneity in formulations, populations, and limited long-term real-world data underscores the need for further pharmacoepidemiological studies, microbiome surveillance, and evaluation of antimicrobial resistance implications. Full article
(This article belongs to the Special Issue Exploring Herbal Medicine: Applying Epidemiology Principles)
22 pages, 1375 KB  
Article
In Vitro Assessment of Gut Microbiota Modulation Through Functional Biscuits Enriched with Almond By-Products
by Angela Racioppo, Maria Rosaria Corbo, Angela Guerrieri, Milena Sinigaglia, Antonio Bevilacqua, Rossella Caporizzi, Antonio Derossi and Barbara Speranza
Foods 2026, 15(2), 313; https://doi.org/10.3390/foods15020313 - 15 Jan 2026
Viewed by 230
Abstract
Almond skin is an abundant by-product of almond processing and is recognized for its rich content of dietary fiber, polyphenols, and unsaturated fatty acids along with potential health benefits. This study aimed to evaluate the nutritional composition, prebiotic potential, and microbiota modulation properties [...] Read more.
Almond skin is an abundant by-product of almond processing and is recognized for its rich content of dietary fiber, polyphenols, and unsaturated fatty acids along with potential health benefits. This study aimed to evaluate the nutritional composition, prebiotic potential, and microbiota modulation properties of dehydrated almond skin, including its use in 3D-printed functional biscuits. Nutritional analysis revealed high dietary fiber (62.6%) and substantial antioxidant capacity linked to polyphenols. Almond skin supplementation with a concentration ranging from 2.5% to 5.0% significantly enhanced the viability of various probiotic strains during storage, extending their shelf life. Two biscuit formulations, with and without almond skin, were produced and subjected to simulated gastrointestinal digestion (INFOGEST protocol) followed by in vitro fermentation using a minimal gut microbiota model (Bifidobacterium longum, Lactobacillus rhamnosus, Bacteroides caccae, Escherichia coli, Segatella copri, and Clostridioides difficile). Results demonstrated that biscuit enriched with almond skin selectively promoted the growth of beneficial bacteria such as B. longum and L. rhamnosus (from 6.9 to 8.5 log cfu/mL and from 7.8 to 9.0 log cfu/mL, respectively) while suppressing pathogens including C. difficile and E. coli. Moreover, enriched biscuits retained higher polyphenol content and exhibited a favorable macronutrient profile. These findings support the valorization of almond skin as a sustainable functional ingredient offering prebiotic effects and probiotic viability protection, with promising applications in personalized nutrition and gut health management. Further in vivo studies and clinical trials are necessary to confirm these effects and optimize formulations for commercial use. Full article
(This article belongs to the Section Food Nutrition)
Show Figures

Figure 1

15 pages, 283 KB  
Review
The Role of FODMAPs in Sports Nutrition: A Narrative Review and Clinical Implications
by Aleksandra Kołodziejczyk, Wiktoria Staśkiewicz-Bartecka and Marek Kardas
Nutrients 2026, 18(2), 239; https://doi.org/10.3390/nu18020239 - 12 Jan 2026
Viewed by 233
Abstract
Background/Objectives: Intense physical activity can cause gastrointestinal symptoms, negatively impacting athletic performance. A low-FODMAP diet has the potential to reduce these symptoms and is increasingly being considered by physically active individuals. The aim of this review is to present the current knowledge on [...] Read more.
Background/Objectives: Intense physical activity can cause gastrointestinal symptoms, negatively impacting athletic performance. A low-FODMAP diet has the potential to reduce these symptoms and is increasingly being considered by physically active individuals. The aim of this review is to present the current knowledge on the importance of FODMAPs in sports nutrition. Methods: A narrative review was conducted in PubMed, Web of Science, ScienceDirect, and Google Scholar, covering publications published up to October 2025. Original studies, reviews, and meta-analyses addressing the relationship between FODMAP intake and gastrointestinal symptoms during physical activity were included. Selected articles were assessed for specific criteria, and the results were grouped thematically to present the current state of knowledge. Results: FODMAP consumption increases the risk of intestinal symptoms. Short-term FODMAP restriction, especially before and during exercise, reduced the severity of symptoms in most of the analyzed studies. Data on the long-term effects of a low FODMAP diet on the health, nutrition, and gut microbiota of athletes remain limited. Conclusions: A strategy of short-term FODMAP restriction in athletes’ diets shows potential for reducing gastrointestinal symptoms. An optimal approach requires individualization. Further research is needed to monitor potential side effects and long-term outcomes. Full article
(This article belongs to the Section Sports Nutrition)
Back to TopTop