You are currently viewing a new version of our website. To view the old version click .
Applied Microbiology
  • Article
  • Open Access

5 November 2025

Evaluation of the Microalga Graesiella emersonii Growth on Concentrated Cheese Whey Permeate

,
,
and
1
Faculty of Medicine and Life Sciences, University of Latvia, Jelgavas Street 1, LV-1004 Riga, Latvia
2
Faculty of Science and Technology, University of Latvia, Jelgavas Street 1, LV-1004 Riga, Latvia
*
Author to whom correspondence should be addressed.

Abstract

The use of lactose-utilizing microalgae offers a sustainable and cost-effective approach for the bioconversion of dairy industry side-streams and the reduction in microalgae production costs. This work aims to improve the biomass productivity of the lactose-utilizing microalgal strain Graesiella emersonii MSCL 1718 in concentrated cheese whey permeate. It was demonstrated that the mixotrophic growth of the axenic G. emersonii culture resulted in a significantly higher biomass productivity in 20% permeate medium compared to the heterotrophic cultivation. Furthermore, supplementation of the permeate medium with iron, zinc, cobalt, and molybdenum resulted in 12.8%, 12.9%, 9.3%, and 28.9% significant increases (p < 0.05) in biomass synthesis, respectively, compared to the control permeate group. In the subsequent experiment, G. emersonii cultivated in molybdenum-supplemented permeate resulted in 0.34 ± 0.02 g/(L·d) biomass productivity and twofold higher lipid content (30.21 ± 1.29%) compared to the photoautotrophic control in defined synthetic medium. Analysis of the fatty acid composition revealed a twofold increase in saturated fatty acids, reaching 62.16% under mixotrophic cultivation in permeate, compared with the photoautotrophic control. Overall, concentrated cheese permeate proved to be a suitable medium for G. emersonii biomass production, supporting both enhanced growth and increased lipid accumulation.

1. Introduction

Microalgae are a polyphyletic group of microorganisms capable of synthesizing and accumulating substantial quantities of valuable compounds suitable for use in various industries, including bioenergy, biofertilizers, animal feed, nutraceuticals, pharmaceuticals, and cosmetics [1,2]. However, the large-scale commercial production of microalgae remains significantly constrained, with economic feasibility representing a critical limiting factor [3,4].
To overcome the financial limitations, various approaches are currently being explored to enhance microalgae cultivation efficiency and reduce overall production costs. Such efforts aim not only to improve biomass productivity, optimize bioreactor design, and select high-performing microalgal strains, but also to enhance the synthesis and accumulation of target bioactive compounds [4,5]. A promising approach for lowering the production costs involves the use of agricultural by-products and wastewater as a cheap source of nutrients for microalgae cultivation [6,7].
Among agricultural wastes, dairy industry side-streams are especially challenging, as their disposal requires complex purification procedures to avoid environmental damage. The composition of these side-streams is heterogeneous, but they are typically characterized by high lactose content as the primary carbon (C) source, along with significant levels of nitrogen (N) and phosphorus (P) [8]. Currently, despite their nutrient-rich profile, efficient valorization strategies for these side-streams remain limited, often resulting in their disposal as waste [9]. Additionally, the recent estimates show that the annual growth of global milk production is around 1.8%, potentially reaching an annual production of 1060 Mt in 2031 [10]. This results in a significant increase in generated side-streams, which poses additional challenges for their proper management and disposal [9]. If not properly managed, these compounds can cause severe environmental damage, especially in aquatic ecosystems [8].
Therefore, cultivation of microalgae can potentially mitigate the problems caused by dairy industry side-streams, while simultaneously decreasing value-added microalgae biomass production costs and contributing to circular economy principles [7,11]. Recent studies have demonstrated that selected microalgal species can efficiently grow in various lactose-containing substrates, including dairy industry by-products and wastewater, at controlled laboratory conditions [12,13]. For the selected strains, the utilization of lactose under mixotrophic and heterotrophic growth conditions usually results in higher biomass productivity compared with photoautotrophic cultivation in standard media [7]. For example, mixotrophic cultivation of Parachlorella kessleri UTEX 3225 in a 30% skimmed buttermilk wastewater medium resulted in dry biomass productivity of approximately 0.33 g/(L·d), significantly surpassing the biomass productivity of 0.08 g/(L·d) in the photoautotrophic control medium [13].
Currently, the lactose utilization by microalgae remains a relatively underexplored area of research [7,12]. Despite the recent advances, there is still a strong need to identify novel strains and develop efficient cultivation strategies suitable for lactose-containing substrates. Additionally, in certain cases, lactose uptake and the synthesis of β-galactosidase, i.e., the enzyme required for the breakdown of lactose to glucose and galactose, are often overlooked. Moreover, the use of pure algal cultures is not always clearly defined, raising the possibility that lactose hydrolysis may be driven by other co-existing microorganisms [12]. Furthermore, most investigations have been limited to laboratory conditions, and the scalability of such processes has yet to be demonstrated in larger-scale experiments [7]. This highlights the necessity of further evaluating the performance of prospective strains and addressing fundamental questions by investigating the lactose utilization mechanisms involved in this process to achieve the desired outcomes.
Currently, there is little data available on the lipid accumulation in the biomass of lactose-utilizing microalgae. As was summarized in various review articles, the ability of microalgae to synthesize lipids, including various polyunsaturated fatty acids (PUFA) such as long-chain Omega-3 fatty acids, makes microalgae a sustainable alternative for fish oil PUFA, especially with the increasing demand for such compounds in various sectors. Additionally, the human diet supplementation with PUFA provides multiple health benefits such as positive effects on cardiovascular and nervous systems as well as anti-inflammatory, anti-cancer, and oxidative stress-reducing properties [14,15]. Moreover, certain oleaginous microalgae are being evaluated as a feedstock for biodiesel production primarily due to the high content of saturated fatty acids (SFA), which demonstrate higher oxidative stability and cetane number compared to PUFA [14].
Various studies have shown that the use of dairy industry by-products can stimulate lipid synthesis in microalgae [12]; however, in some cases, lipid synthesis may be hindered. For example, as was reported in a study by Abreu et al. [16], the mixotrophic cultivation in cheese whey has decreased the accumulation of lipids in Chlorella vulgaris P12 to below 40% levels compared to the 42% of lipid content under photoautotrophic growth. Furthermore, Liu et al. [17] reported that cultivation of Chromochloris zofingiensis ATCC 30412 (formerly Chlorella zofingiensis) in lactose-supplemented defined Kuhl medium led to significant alterations in the concentrations of specific fatty acids compared with cultures grown in Kuhl medium supplemented with other C sources. Therefore, evaluating lipid accumulation and changes in fatty acid composition in microalgae is essential to address fundamental knowledge gaps and determine the most suitable application of the biomass.
This study aims to optimize the biomass productivity of Graesiella emersonii MSCL 1718 cultivated in concentrated cheese whey permeate medium under mixotrophic conditions and to characterize the strain’s fatty acid composition. G. emersonii is an understudied species of green microalgae that has attracted research interest due to its capacity for lipid accumulation, making it a potential feedstock for biodiesel production. Additionally, the ability for enhanced production of such valuable carotenoids as neoxanthin, zeaxanthin, and lutein highlights G. emersonii potential for use in pharmaceuticals and nutraceuticals [18].
Our previous studies on the recently isolated G. emersonii MSCL 1718 strain demonstrated its ability to utilize lactose in both a defined model medium and concentrated cheese whey permeate [19,20]. Earlier findings established that the 20% permeate medium (v/v; permeate/deionized water) with lactose concentration 38.21 ± 0.39 g/L provides sufficient nutrients to support notable biomass productivity (0.17 ± 0.02 g/(L·d)) [20]. Additionally, mixotrophic cultivation in a lactose-containing synthetic medium resulted in an increased lipid content in G. emersonii biomass [19]. Furthermore, G. emersonii was initially selected as it had not been previously evaluated for growth in lactose-containing medium, expanding the selection of potential candidates. As a result of the preliminary assessment of G. emersonii growth, it was established that its biomass productivity and lactose hydrolysis rates were comparable to those of other axenic lactose-utilizing strains such as Chlorella minutissima 26a, Nannochloropsis oculata 131 [21], Tetradesmus obliquus CPCC 5 [22], and C. zofingiensis ATCC 30412 [17].
In this study, the mixotrophic cultivation of G. emersonii in concentrated cheese whey permeate was investigated with the aim of enhancing biomass productivity, optimizing medium preparation strategies, evaluating lipid accumulation in the biomass, and characterizing intracellular and extracellular β-galactosidase activity during cultivation. Furthermore, this study, for the first time, provides a comprehensive assessment of trace element supplementation of the permeate medium for enhancing biomass synthesis and the influence of the permeate medium on the fatty acid composition of G. emersonii.

2. Materials and Methods

2.1. Microalgal Strain

Graesiella emersonii MSCL 1718 (Chlorophyta) was selected for this study based on the previous trials that demonstrated its ability to produce β-galactosidase and utilize lactose under mixotrophic as well as heterotrophic growth conditions. The strain was identified based on ITS, LSU, rbcL, and SSU gene sequences and subsequently deposited in the Microbial Strain Collection of Latvia, University of Latvia [19].

2.2. Cultivation Media

Modified Bold’s Basal medium with triple nitrogen and vitamins (3N-BBM+V) was used as the defined control medium for the trials [23]. The photoautotrophic cultivation was performed in 3N-BBM+V without the addition of lactose and served as a negative control, while 3N-BBM+V with 30 g/L lactose served as a positive control medium and was selected based on previous trials [19]. The medium was prepared by adding the reagent mixture to the autoclave-sterilized (15 min, 121 °C, 1.2 atm) deionized water or lactose solution using 0.22 µm syringe filters under sterile conditions.
Concentrated cheese whey permeate was obtained from JSC “Smiltenes Piens” (Smiltene, Latvia). At the production site, the cheese whey underwent protein removal and concentration via ultrafiltration, resulting in the formation of a concentrated permeate. All trials, including the initial assessment of permeate described in our earlier work [20], were performed with the same batch of permeate, which was stored frozen in aliquots at −20 °C. The approximate composition of concentrated cheese whey permeate and the analytical methods employed are presented in Table 1.
Table 1. Concentrated cheese whey permeate composition.
Based on the previous research, the 20% permeate medium was prepared by adding deionized water (v/v) to the permeate [20]. Subsequently, it was sterilized in an autoclave for 15 min at pH 7.0 ± 0.1 (regulated with 1 M NaOH) to prevent undesired media changes. A minor decrease in the pH to approximately 6.7 ± 0.3 was detected in the permeate after the sterilization procedure.
For the respective permeate groups, the following trace elements were added: 2.15 µM iron (Fe), 1.24 µM manganese (Mn), 0.05 µM cobalt (Co), 0.22 µM zinc (Zn), 0.10 µM molybdenum (Mo). Concentrations of trace elements added to the permeate corresponded to the trace element concentrations of 3N-BBM+V [23]. The supplementation can potentially provide essential trace elements for G. emersonii growth and have a modulatory effect on biomass synthesis and composition, as was demonstrated for another G. emersonii NC-M1 strain [24].

2.3. Experimental Design

The inoculum was prepared under photoautotrophic growth conditions for 7 days at 22 °C under 12:12 illumination cycle maintained with LED lamps (cold white, 50 ± 1 μmol photons/(m2·s)). The inoculum was prepared identically for all trials to ensure approximately 5 × 105 cells/mL after inoculation (day 0).
The trials were conducted in 100 mL Erlenmeyer flasks with 50 mL of medium and 5% inoculum under agitated conditions at 120 rpm in an I26 Refrigerated Incubator Shaker (New Brunswick Scientific Co., Inc., Edison, NJ, USA), 25 °C, 12:12 illumination cycle for mixotrophic and photoautotrophic growth (cold white LED lamps; 59 ± 2 μmol photons/(m2·s) [20]. For the heterotrophic cultivation, the respective flasks were cultivated in the same incubator but covered with aluminum foil to completely block the light. Initially, the experiments were performed over a 10-day cultivation period based on the assessment of G. emersonii growth in 3N-BBM+V model media [19]. Subsequently, the assessment of growth dynamics in the optimized medium was performed over a 16-day period under mixotrophic growth conditions.
The pH in 3N-BBM+V groups was maintained at approximately 7.1 ± 0.2 with the addition of 0.1 M HCl every 3 days under sterile conditions, to prevent the growth inhibition by high pH [19]. In contrast, the permeate media did not require pH adjustments throughout the cultivation due to pH stability at around 6.7–7.2 as described in our earlier study [20].
After each experiment, all groups were inspected for contamination under the light microscope at ×1000 magnification, and a sample was placed on a Petri dish with 3N-BBM+V agar medium with 5 g/L D-glucose to observe the formation of colonies of any contaminants and repeatedly inspected under the microscope. The data summarized in the results section were obtained using axenic G. emersonii culture.

2.4. Biomass Productivity

The analysis of dry weight (DW) in the 3N-BBM+V was performed following the methodology described by Kolesovs et al. [19]. Briefly, the culture volume was adjusted for evaporation using deionized water, after which a 20 mL sample of G. emersonii culture was centrifuged at 5000 rpm for 2 min, and the supernatant was discarded. The pellet was then rinsed with deionized water to remove residual medium components. The centrifugation and rinsing steps were repeated twice, with the final rinse performed using deionized water. The concentrated samples were then transferred to pre-weighed weighing bottles, dried at 105 °C for 24 h, and used for gravimetric determination of DW using an analytical balance.
The additional step for removal of excess proteins from permeate group samples for more precise DW measurements is described in detail in our preliminary evaluation of G. emersonii growth in permeate medium [20]. This step was based on the coagulation of residual proteins at pH 4 and the subsequent filtration of microalgal biomass, with most proteins retained in the cotton filter. Briefly, the sample pH was adjusted to approximately 4.0 using 1 M HCl and incubated in a 36 °C water bath for 20 min. Subsequently, the sample was filtered through a cotton filter and rinsed with deionized water, allowing the passage of microalgal cells while retaining the coagulated protein. The biomass was then centrifuged and rinsed twice, transferred into pre-weighed weighing bottles, dried (105 °C for 24 h), and subjected to gravimetric evaluation.
After weighing the biomass DW was calculated as g/L, while average biomass productivity during the experiment expressed as g/(L·d) by dividing the total DW by cultivation time. Additionally, assessment of cell count was conducted using a haemocytometer for additional control of G. emersonii growth.

2.5. β-Galactosidase Activity

The enzyme activity evaluation was performed in accordance with the methodology described by Bentahar and Deschênes [22] and Bentahar et al. [25] and based on the ortho-nitrophenyl-β-galactoside (ONPG) hydrolysis by β-galactosidase. An additional 0.5 mL supernatant sample was taken after the initial centrifugation of the culture sample for extracellular enzyme activity measurements. Afterwards, the biomass sample was rinsed with deionized water to remove the remaining media for the intracellular enzyme activity assessment. The reaction mixture was prepared by adding 0.5 mL of Z-buffer (0.06 M Na2HPO4, 0.04 M NaH2PO4·H2O, 0.01 M KCl, 0.001 M MgSO4·7H2O, and 0.05 M β-mercaptoethanol, pH = 7.0), 100 µL chloroform, 50 µL 0.1% sodium dodecyl sulfate, and 200 µL ONPG solution (4 mg/mL) to 0.5 mL of the respective samples. The reaction was carried out in the dark at 28 °C for 15 h under agitation at 140 rpm. Samples were centrifuged, and the reaction products in the supernatant were quantified at 420 nm using a Biochrom Libra S22 UV/Vis spectrophotometer (Biochrom Ltd., Cambridge, United Kingdom) [25].
The intracellular enzymatic activity was expressed as normalized enzyme activity (NEA) per gram of microalgal biomass (U/g). The total enzyme accumulation in the supernatant, i.e., extracellular enzymatic activity, was expressed as volumetric enzyme activity (VEA) per liter of medium (U/L) [22].

2.6. Organic C Uptake

The samples for organic C analyses were obtained in full accordance with the methodology described in our previous study [19]. Briefly, a 1 mL sample was taken on day 0 as well as the final day of cultivation after adjusting the medium volume for evaporation with deionized water. All samples were stored frozen at −20 °C until further analysis. The subsequent analytical procedures were carried out with commercially available kits, i.e., K-LACGAR for lactose and galactose, as well as K-GLUC for glucose measurements (Megazyme Ltd., Bray, Ireland).

2.7. Total Lipid Content

The total lipid content of G. emersonii biomass was determined using the lipid extraction method described by Folch et al. [26]. After the 16-day cultivation, the samples were purified in accordance with the standard methodology and then dried at 42 °C. Subsequently, lipids were extracted from the samples using a 2:1 chloroform-methanol (v/v) solution. The procedure is considered suitable for the extraction of lipids from microalgal biomass [27].

2.8. Fatty Acid Content Analysis with GAS Chromatography—Mass Spectrometry (GC-MS)

2.8.1. Sample Extraction from Biomass

G. emersonii biomass samples were centrifuged, and the pellets were frozen at −80 °C for 24 h. Then the samples were freeze-dried using SP Scientific BenchTopPro lyophilizer (SP Scientific, Warminster, PA, USA) for 48 h at condenser temperature −60 °C. Subsequently, samples were then stored at −20 °C until extraction. Extraction was performed using 300–500 mg freeze-dried microalgal biomass, in accordance with the following procedure. Samples were weighed in an extraction vessel and 50 mL dichloromethane was added. The samples were then placed in an ultrasonic bath (PerkinElmer Inc., Waltham, MA, USA) for a total of 30 min, consisting of three 10 min cycles with water exchanged in the bath between each cycle. Subsequently, the ultrasonicated samples were filtered, and the filtrates were collected, while the residual biomass was extracted once more as described above to ensure maximum extraction efficiency. Gathered sample filtrates were then evaporated to dryness using a rotary evaporator (Heidolph Instruments GmbH & Co. KG, Schwabach, Germany). Finally, evaporated samples were gathered using 5 mL dichloromethane and dried under a stream of N2 to determine extraction yields. All sample extracts were stored at −20 °C until further analysis.

2.8.2. Microalgal Extract Analysis Using GC-MS

G. emersonii extract sample fatty acid contents were analyzed using GC-MS. 5 mg of the prepared extract was weighed and dissolved in hexane. 3 mL BF3 was added to the dissolved sample and placed into an incubator set at 60 °C for 24 h. The transesterified sample was then washed 4 times with hexane to remove all non-polar substances, including fatty acid methyl esters. The resulting sample was dried under a stream of N2 and dissolved in 1.00 mL pyridine. Prepared samples were then analyzed using GC-MS. GC-MS analyses were conducted using a Shimadzu GC 2010 Plus instrument (Shimadzu Corp., Kyoto, Japan) equipped with a GCMSQP2010 mass-selective detector. Separations were performed with an Elite-5MS column (30 m × 0.25 mm, 0.25 µm; PerkinElmer Inc., Waltham, MA, USA). The GC oven program initiated at 75 °C with a 2 min hold, followed by an increase from 75 °C to 130 °C at 20 °C/min, held for 10 min, the temperature was further raised from 130 °C to 310 °C at a rate of 4 °C/min. The final isothermal hold was maintained for 10 min at 310 °C. The total analysis time was 69.75 min. The injection volume was 1.0 µL, with injector and interface temperatures maintained at 290 °C. Helium (AGA SIA, Riga, Latvia)) was employed as the carrier gas at a flow rate of 1.0 mL/min and a split flow of 10.0 mL/min. Electron impact ionization was set at 70 eV with a scan range of 42–750 m/z.
Compound identification was performed using the NIST MS 2.2 spectral library (Gaithersburg, MD, USA) and authentic standards. All analyses were conducted in triplicate. Quantification was carried out using calibration curves prepared from standard solutions of methyl heptadecanoate (≥99.0%), oleic acid methyl ester (≥99.0%), all obtained from Sigma-Aldrich Corp. (St. Louis, MO, USA), within the concentration range of 1.5–500 µg/mL.

2.9. Data Statistical Analysis

IBM SPSS Statistics for Windows Version 29.0.2.0 (IBM Corp., Armonk, NY, USA) was used for statistical data analysis and figure creation. Normality and homoscedasticity were verified using Shapiro–Wilk and Levene’s tests prior to the analysis of variance (ANOVA). The α = 0.05 significance level was used for the analysis. Subsequently, one- or two-way ANOVA was performed based on the data type, followed by Bonferroni or Games-Howell post hoc tests, depending on the assumptions met, to assess differences in biomass DW, β-galactosidase activity, C uptake, cell count, and lipid content among the experimental groups. Furthermore, to assess the relationship between biomass synthesis and β-galactosidase activity, a Pearson correlation analysis was performed with Pearson’s correlation coefficient (r) calculated to evaluate the strength and direction of the relationship between the two variables. All biomass synthesis trials were performed with at least four (n ≥ 4) biological replicates, while analytical procedures were performed with at least three biological replicates (n ≥ 3). Data expressed as means with standard deviations; in figures, the error bars represent the 95% confidence intervals.

3. Results

3.1. Optimization of G. emersonii Cultivation Conditions

After 10 days of cultivation, axenic G. emersonii exhibited significantly higher biomass accumulation under mixotrophic conditions compared with heterotrophic growth in both permeate medium and lactose-supplemented 3N-BBM+V (Figure 1). Furthermore, heterotrophic permeate group also demonstrated considerable biomass productivity of 0.12 ± 0.01 g/(L·d), significantly surpassing the biomass synthesis in 3N-BBM+V control groups. Based on the biomass productivity in the mixotrophic permeate group (0.19 ± 0.01 g/(L·d)), subsequent trials were performed under mixotrophic conditions.
Figure 1. G. emersonii biomass DW after 10 days of agitated mixotrophic or heterotrophic cultivation in 3N-BBM+V media (negative control—without organic C supplementation; positive control with 30 g/L lactose) and 20% cheese whey permeate medium (n = 5).
For the next trial, the 20% permeate medium was supplemented with various trace elements to evaluate the changes in biomass synthesis (Figure 2a). Among the tested trace elements, supplementation with Mo, Fe, Zn, and Co resulted in a statistically significant increase in biomass productivity (28.9%, 12.8%, 12.9%, and 9.3%, respectively; p < 0.05) compared to the permeate control group without trace element addition. Furthermore, the supplementation of Mo resulted in the highest increase in biomass productivity, reaching 0.26 ± 0.01 g/(L·d) (p < 0.001). However, supplementation with Mn significantly slowed biomass synthesis, likely also affecting biomass productivity in the group supplemented with all five elements.
Figure 2. (a) Effect of trace element supplementation (control without trace elements, all trace elements, Fe, Mn, Zn, Co, or Mo) of 20% permeate medium on G. emersonii biomass synthesis (DW) after 10 days of agitated mixotrophic cultivation (n ≥ 4); (b) Effect of trace element supplementation (control without trace elements, Mo, or mixture of Fe + Zn + Co + Mo) of 20% permeate medium on G. emersonii biomass synthesis (DW) after 10 days of agitated mixotrophic cultivation (n = 4). Letters indicate statistically significant differences among groups at α = 0.05.
An additional trial was conducted with permeate medium supplemented with all trace elements excluding Mn, resulting in 0.23 ± 0.01 g/(L·d) (Figure 2b). In this trial, no statistically significant difference was observed between the Mo-supplemented group and the trace element mixture group (p = 0.06); however, within the context of this study, supplementation with Mo alone may be considered a more practical strategy for promoting G. emersonii growth on permeate.

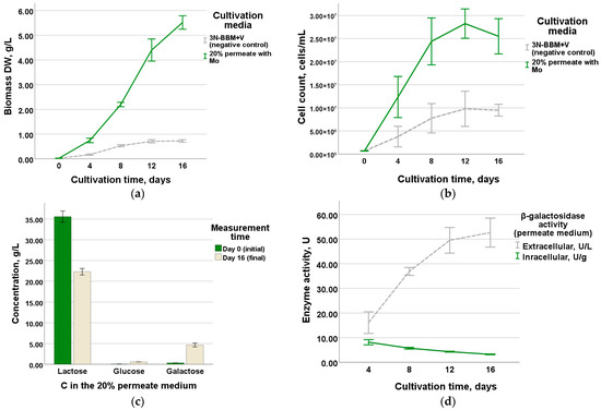
3.2. Evaluation of G. emersonii Growth in Optimized Medium

The growth dynamics of G. emersonii were monitored over a 16-day period in the optimized Mo-supplemented 20% cheese whey permeate medium under mixotrophic conditions and in photoautotrophic culture using 3N-BBM+V. The assessment included biomass synthesis, changes in cell count, β-galactosidase activity, sugar concentrations, and lipid synthesis (Figure 3). The rapid increase in biomass synthesis from 0.75 ± 0.06 to 4.40 ± 0.28 g/L in the permeate medium was observed between days 4 and 12, with the beginning of the early stationary growth phase after day 12 (Figure 3a). Overall, biomass productivity reached 0.34 ± 0.02 g/(L·d), with the total biomass DW reaching 5.51 ± 0.17 g/L over the 16-day cultivation period. However, the cell count of the permeate group stopped increasing after the 8th day, reaching approximately 2.5 to 2.8 × 107 cells/mL (day 8 to 12) with minimal, although statistically insignificant, decrease observed between day 12 and 16 (Figure 2b). It can be assumed that the increase in biomass DW after day 8 was mainly associated with the accumulation of intracellular reserves, as no cell division was observed. In contrast, a pronounced stationary phase for the photoautotrophic group began after the 8th day (Figure 3a), similar to that observed in a previous study [19], and overall demonstrated low biomass productivity, reaching 0.06 ± 0.01 g/(L·d).
Figure 3. (a) Biomass synthesis dynamics (DW) of G. emersonii over a 16-day period under agitated mixotrophic growth conditions in 20% permeate medium supplemented with Mo and 3N-BBM+V without organic C (negative control, photoautotrophic growth) (n ≥ 4); (b) Changes in cell count of G. emersonii over a 16-day period under agitated mixotrophic growth conditions in 20% permeate medium supplemented with Mo and 3N-BBM+V without C supplementation (negative control, photoautotrophic growth) (n ≥ 4); (c) Lactose, glucose, and galactose concentrations in 20% permeate medium supplemented with Mo on days 0 (initial) and 16 (final) (n = 4); (d) Changes in intracellular (NEA, U/g) and extracellular (VEA, U/L) β-galactosidase activity of the G. emersonii culture over a 16-day period in 20% permeate medium supplemented with Mo (n = 4).
In the optimized permeate medium the lactose hydrolysis was considerable (13.28 ± 0.52 g; Figure 3c), which can be attributed to the extracellular β-galactosidase activity detected in the permeate medium (Figure 3d). Additionally, the extracellular enzyme activity showed a significant positive correlation with biomass synthesis (r = 0.94, p = 0.01) during the trial, reaching total VEA of 52.65 ± 3.70 U/L on the 16th day. Considering that the hydrolysis of 13.2 g of lactose generated glucose and galactose at equimolar concentrations, G. emersonii consumed both monosaccharides, with glucose being the preferred C source (Figure 3c). It should be noted that the intracellular β-galactosidase activity, expressed as NEA (U/g), showed a statistically significant decrease and negative correlation with overall biomass synthesis (r = −0.97, p < 0.001) throughout the cultivation (Figure 3d). It should be noted that a minimal intracellular β-galactosidase enzyme activity was also detected in the photoautotrophic group (1.13 ± 0.27 U/g on the 8th day; not detected in the supernatant), highlighting that G. emersonii maintains a minimal enzyme activity even when cultivated in the absence of lactose in the medium.
Furthermore, the results demonstrated that, on the 16th day of cultivation, lipid accumulation in the permeate medium group reached 30.21 ± 1.29%, which is significantly higher than in the photoautotrophic group (16.40 ± 0.81%).

3.3. Changes in Fatty Acid Compostion

To evaluate how mixotrophic cultivation in an optimized permeate medium affects the fatty acid composition compared to photoautotrophic cultivation in 3N-MMB+V, GC-MS analysis was performed. Based on the performance of G. emersonii in the previous trial, a 14-day cultivation period was selected. As indicated in Table 2, palmitic, α-linolenic, linoleic, and oleic acids were found in the highest concentrations among the fatty acids in the photoautotrophic group. However, significant changes in fatty acid content were observed in the permeate groups, resulting in a significant increase in SFA from 35% in photoautotrophic group to 61–62%, and a significant reduction in PUFA and monounsaturated fatty acid (MUFA) content (Table 2). For instance, the proportions of α-linolenic and linoleic acids (PUFA, Omega-3 and Omega-6, respectively) were significantly reduced in the permeate groups, while stearic and cerotic acids (SFA) accumulated at higher rates. Furthermore, there were generally no significant differences in fatty acid composition between the Mo-supplemented and non-supplemented permeate groups, indicating a minimal modulatory effect of this trace element on the G. emersonii fatty acid profile under the evaluated conditions.
Table 2. Changes in fatty acid composition of G. emersonii cultivated for 14 days under mixotrophic growth conditions in 20% permeate medium with or without Mo supplementation and photoautotrophic negative control group in 3N-BBM+V.

4. Discussion

This study provided a detailed assessment of G. emersonii growth in concentrated cheese whey permeate (Figure 3). The dry biomass yield in the modified 20% cheese whey permeate medium with Mo under mixotrophic cultivation conditions reached 5.51 ± 0.17 g/L (0.34 ± 0.02 g/(L·d)) after 16 days, with the signs of early stationary phase after the 12th day. It can be assumed that the onset of the stationary phase was likely associated with the depletion of certain essential nutrients (not evaluated in this study), rather than organic C, which remained in the medium (Figure 3c).
By comparing the biomass productivity with the literature, P. kessleri UTEX 3225 showed equivalent biomass productivity of approximately 0.33 g/(L·d) under mixotrophic growth conditions in a 30% skimmed buttermilk wastewater medium [13]. In another study, mixotrophic cultivation of Galdieria sulphuraria ACUF 064 reached approximately 0.6 g/(L·d) in a combined buttermilk and defined Allen’s medium, outperforming G. emersonii growth [28]. On the other hand, many microalgal strains, cultivated under axenic conditions in various types of lactose-containing media, i.e., Tetradesmus obliquus CPCC 5 [24], Dunaliella tertiolecta 117, Chlorella minutissima 26a, Nannochloropsis oculata 131 [21], and Chromochloris zofingiensis ATCC 30412 [17] demonstrate biomass productivity below <0.2 g/(L·d). However, it should be noted that, to date, no standardized methodology exists for evaluating microalgal growth in dairy by-products, and no uniform strategy for media preparation has been established, which complicates the comparison of strain performance [7].
In various studies, the dairy by-product medium is often combined with the defined synthetic or semi-synthetic medium at a certain ratio, serving as an organic C source. For example, supplementation of f/2 medium with 20% cheese whey (v/v) resulted in approximately 0.25 g/(L·d) biomass productivity of mixotrophically cultivated Dunaliella tertiolecta, strain unspecified [29]. This approach offers valuable insight into the ability of microalgae to grow on lactose-containing substrates and presents a low-cost organic C alternative that could help reduce overall medium costs. However, the large-scale application of these strategies still requires substantial amounts of synthetic nutrients, limiting the cost-reduction potential. Therefore, prioritizing strains such as G. emersonii, capable of growing in minimally supplemented or unmodified media, is essential for the development of economically viable and scalable cultivation systems.
It was demonstrated that permeate medium supplementation with Fe, Zn, Co, and Mo resulted in the improvement of biomass productivity (Figure 2a). However, the supplementation of Mo can be considered a more feasible approach if compared with a mixture of the four previously mentioned elements (Figure 2b), since the supplementation of solely Mo would require less resource input. Mo is vital for nitrate assimilation and nitrogen metabolism in microalgae, and its deficiency can severely impair biomass production [30]. In a study by Mandal et al. [24], the supplementation of Fe, Zn, and Mo was used to evaluate the changes in biomass and lipid productivity of G. emersonii NC-M1 strain. In contrast to our findings, the supplementation of Mo at 0.01–0.09 µM concentrations did not significantly affect the biomass productivity and lipid yield of G. emersonii NC-M1. However, a pronounced improvement of biomass synthesis was observed with the addition of 45.2 µM Fe, as well as the increase in lipid content achieved with Fe and Zn supplementation at higher concentrations, probably due to the induction of oxidative stress in G. emersonii NC-M1 [24]. The differences observed likely reflect the use of two distinct strains (isolates from Latvia and India) and cultivation in substantially different media, i.e., defined BG11 for G. emersonii NC-M1 and complex permeate medium for G. emersonii MSCL 1718; therefore, the variability of the results is to be expected.
In our previous work, the β-galactosidase enzyme activity of G. emersonii in the supernatant of lactose-supplemented 3N-BBM+V was minimal, which led us to the conclusion that it is more likely to be associated with the cell disruption during cultivation and subsequent centrifugation rather than with the actual extracellular enzyme transport [19]. In this study, with the complex composition of permeate medium serving as a more suitable medium compared to the defined 3N-BBM+V and a better pH stability, a significant extracellular β-galactosidase activity was detected (Figure 3d). Although the possibility of extracellular enzyme activity resulting from cell disruption cannot be excluded, we assume that the observed increase in activity is more likely due to active extracellular transport of the enzyme, since the cell disruption rate under favorable growth conditions is expected to be low, and intracellular enzyme activity was minimal. This highlights the fact that the selection of an appropriate medium can significantly affect β-galactosidase activity in microalgae. This also might explain why the pH maintenance at neutral ranges played a key role in achieving significantly higher biomass productivity in lactose-supplemented 3N-BBM+V compared to photoautotrophic growth [19]. Furthermore, a recently published study demonstrated that another G. emersonii strain, GEGS21 (isolated in South Korea), was able to grow in lactose-supplemented medium during an assessment of various organic C sources for heterotrophic cultivation. However, the strain exhibited low biomass productivity [18], similar to the heterotrophic growth observed for G. emersonii MSCL 1718 in lactose-supplemented 3N-BBM+V (Figure 1).
In a recent study by Hidasi et al. [13], it was highlighted that lactose is rarely present in the environment of microalgae. Therefore, the possible explanation of the extracellular β-galactosidase activity can hypothetically be that, similarly to the filamentous fungi, the enzyme might be used for the hydrolysis of galactose residues from various polysaccharides found in the environment. This could also be a hypothetical explanation for the extracellular enzyme activity of G. emersonii detected in this study using the ONPG reaction (Figure 3d). Additionally, it can also serve as a potential explanation for why minimal enzyme activity was also detected under photoautotrophic growth conditions in the biomass. Similarly, the axenic Tetradesmus obliquus CPCC 5 assessed in a study by Bentahar et al. [25] has also demonstrated β-galactosidase activity when cultivated under photoautotrophic conditions. However, to address fundamental questions regarding lactose hydrolysis and enzyme localization, a comprehensive analysis of the G. emersonii genome and transcriptome is required to identify the precise metabolic pathways and transporters involved in lactose metabolism and β-galactosidase activity.
The ability of G. emersonii to produce β-galactosidase enzyme resulted in the hydrolysis of approximately 37% of the lactose present in the medium after 16 days of cultivation (Figure 3c). Additionally, some amounts of monosaccharides that were formed after lactose hydrolysis accumulated in the medium. This highlights one of the main problems of using lactose-rich substrates for microalgae growth, which is the inability to fully utilize all the organic C present in the medium, thus not fully solving the problems associated with the proper treatment of dairy industry side-streams. As was speculated previously, 20% permeate concentration is necessary to provide sufficient nutrients for rapid biomass synthesis, while higher substrate dilutions significantly decrease G. emersonii biomass productivity [20]. A possible solution is to select a more suitable type of dairy industry by-product that provides the essential macro- and micronutrients while maintaining lactose levels at approximately 10 g/L, thus hypothetically resulting in the complete removal of the organic C by the end of cultivation.
Mixotrophic cultivation in permeate medium resulted in a significant increase in lipid content at the early stationary phase compared with photoautotrophic cultivation in 3N-BBM+V. This is consistent with our previous research on G. emersonii cultivation in lactose-supplemented 3N-BBM+V, where an increase in lipid accumulation was observed after 10 days compared with photoautotrophic conditions [19]. Furthermore, the fatty acid composition of G. emersonii was evaluated for the first time under mixotrophic growth in permeate medium, revealing significant changes compared with photoautotrophic cultivation in the defined medium (Table 2). Mixotrophic cultivation in permeate medium significantly increased the production of SFA, with the highest accumulation detected for palmitic acid (~24% of total detected fatty acids in both permeate groups), while the unsaturated fatty acid content was significantly reduced. It must be noted that fatty acid accumulation and the response to changes in cultivation medium composition are strain-specific. For example, as previously mentioned, C. zofingiensis, in contrast to G. emersonii, exhibited increased PUFA accumulation when cultivated in lactose-containing medium compared with media supplemented with other organic C sources [17].
In a study by Ki et al. [18], heterotrophic cultivation of G. emersonii GEGS21 resulted in a fatty acid profile similar to that of G. emersonii MSCL 1718, with palmitic, oleic, linoleic, and α-linolenic acids detected at the highest concentrations. Beyond potential applications in human nutrition, cosmetics, and pharmaceuticals, the fatty acids obtained in that study demonstrated potential for biodiesel production, meeting ASTM D6751 and EN14214 biodiesel standards [18]. Overall, the use of dairy side-streams to produce biofuels or other value-added products from G. emersonii biomass offers a sustainable approach to valorize dairy by-products within a circular economy framework, although further detailed evaluation is required to assess its feasibility [7,11].
It must be noted that, although G. emersonii demonstrated considerable biomass synthesis in laboratory-scale experiments, no larger-scale trials were conducted. Pilot-scale validation of the proposed approach is required for an in-depth assessment of biomass productivity, contamination control, and appropriate media preparation strategies. This underscores the need for comprehensive techno-economic and life-cycle assessments before drawing any conclusions regarding the feasibility of implementing this approach at an industrial scale.

5. Conclusions

G. emersonii MSCL 1718 demonstrated significantly higher biomass productivity in concentrated cheese whey permeate medium under mixotrophic growth conditions compared with heterotrophic cultivation, reaching 0.19 ± 0.01 and 0.12 ± 0.01 g/(L·d), respectively. Supplementation of concentrated cheese whey permeate medium with trace elements (Fe, Zn, Co, and Mo) further enhanced biomass productivity, with the Mo-supplemented group showing the highest increase in biomass productivity, reaching 0.34 ± 0.02 g/(L·d). Moreover, mixotrophic cultivation in permeate medium significantly altered the fatty acid profile compared to the photoautotrophic control cultivated in 3N-BBM+V, resulting in a significant increase in SFA up to 62.16% compared with 35.14% in the photoautotrophic control group. Although lactose hydrolysis from the permeate was only partial (13.2 g, ~37%), this approach demonstrated substantial potential for achieving high G. emersonii biomass productivity. Further studies are required to evaluate nutrient removal efficiency from the permeate medium and to assess biomass production at the pilot scale.

Author Contributions

Conceptualization, A.V. and S.K.; methodology, S.K. and L.K.; software, S.K. and L.K.; validation, S.K., L.K. and A.V.; formal analysis, S.K.; investigation, S.K., L.K. and I.S.; resources, A.V.; data curation, A.V. and S.K.; writing—original draft preparation, S.K.; writing—review and editing, A.V.; visualization, S.K.; supervision, A.V.; project administration, A.V.; funding acquisition, A.V. All authors have read and agreed to the published version of the manuscript.

Funding

The research was supported by base funding of the University of Latvia, Faculty of Medicine and Life Sciences [Y9-B281-ZF-N-095].

Data Availability Statement

Data is contained within the article.

Conflicts of Interest

The authors declare no conflicts of interest.

Abbreviations

The following abbreviations are used in this manuscript:
3N-BBM+VBold’s basal medium with triple nitrogen and vitamins
ANOVAAnalysis of variance
DWDry weight, g/L
GC-MSGas chromatography—mass spectrometry
MUFAMonosaturated fatty acids
NEANormalized enzyme activity, U/g
ONPGOrtho-nitrophenyl-β-galactoside
PUFAPolyunsaturated fatty acids
SFASaturated fatty acids
VEAVolumetric enzyme activity, U/L

References

  1. Khan, M.I.; Shin, J.H.; Kim, J.D. The promising future of microalgae: Current status, challenges, and optimization of a sustainable and renewable industry for biofuels, feed, and other products. Microb. Cell Fact. 2018, 17, 36. [Google Scholar] [CrossRef]
  2. Ronga, D.; Biazzi, E.; Parati, K.; Carminati, D.; Carminati, E.; Tava, A. Microalgal biostimulants and biofertilisers in crop productions. Agronomy 2019, 9, 192. [Google Scholar] [CrossRef]
  3. Barsanti, L.; Gualtieri, P. Is exploitation of microalgae economically and energetically sustainable? Algal Res. 2018, 31, 107–115. [Google Scholar] [CrossRef]
  4. Rizwan, M.; Mujtaba, G.; Memon, S.A.; Lee, K.; Rashid, N. Exploring the potential of microalgae for new bio technology applications and beyond: A review. Renew. Sustain. Energy Rev. 2018, 92, 394–404. [Google Scholar] [CrossRef]
  5. Novoveská, L.; Nielsen, S.L.; Eroldoğan, O.T.; Haznedaroglu, B.Z.; Rinkevich, B.; Fazi, S.; Robbens, J.; Vasquez, M.; Einarsson, H. Overview and challenges of large-scale cultivation of photosynthetic microalgae and cyanobacteria. Mar. Drugs 2023, 21, 445. [Google Scholar] [CrossRef] [PubMed]
  6. Alavianghavanini, A.; Shayesteh, H.; Bahri, P.A.; Vadiveloo, A.; Moheimani, N.R. Microalgae cultivation for treating agricultural effluent and producing value-added products. Sci. Total Environ. 2024, 912, 169369. [Google Scholar] [CrossRef]
  7. Ozcelik, D.; Suwal, S.; Ray, C.; Tiwari, B.K.; Jensen, P.E.; Poojary, M.M. Valorization of dairy side-streams for the cultivation of microalgae for value added food products. Trends Food Sci. Technol. 2024, 106, 104386. [Google Scholar] [CrossRef]
  8. Britz, J.T.; van Schalwyk, C.; Hung, Y.T. Treatment of dairy processing wastewaters. In Waste Treatment in the Food Processing Industry; Wang, L.K., Hung, Y.T., Lo, H.H., Yapijakis, C., Eds.; CRC Press: Boca Raton, FL, USA, 2006; pp. 1–25. [Google Scholar]
  9. Udourioh, G.A.; Solomon, M.M.; Okolie, J.A. A review of the valorization of dairy industry wastes through thermochemical, biological, and integrated processes for value-added products. Food Sci. Anim. Resour. 2025, 45, 375–408. [Google Scholar] [CrossRef]
  10. OECD-FAO agricultural Outlook 2022–2031. In World-Wide Electronic Publication; OECD Publishing: Paris, France, 2022; Available online: https://www.oecd.org/en/publications/2022/06/oecd-fao-agricultural-outlook-2022-2031_e00c413c.html (accessed on 6 June 2024).
  11. Mehner, E.; Fantin, V.; Pizzichini, D.; Vaccari, M. Decentralised by-product valorisation in the dairy value chain: An opportunity for sustainable intensification. J. Clean. Prod. 2024, 478, 143958. [Google Scholar] [CrossRef]
  12. Kolesovs, S.; Semjonovs, P. Microalgal conversion of whey and lactose containing substrates: Current state and challenges. Biodegradation 2023, 34, 405–416. [Google Scholar] [CrossRef] [PubMed]
  13. Hidasi, N.; Badary, A.; Jenkins, H.D.; Fields, F.J.; Mayfield, S.P.; Ferrari, S. Selection and characterization of a Parachlorella kessleri microalgal strain able to assimilate lactose, and grow on dairy waste. Biomass Bioenergy 2024, 188, 107344. [Google Scholar] [CrossRef]
  14. Morales, M.; Aflalo, C.; Bernard, O. Microalgal lipids: A review of lipids potential and quantification for 95 phytoplankton species. Biomass Bioenergy 2021, 150, 106108. [Google Scholar] [CrossRef]
  15. Remize, M.; Brunel, Y.; Silva, J.L.; Berthon, J.Y.; Filaire, E. Microalgae n-3 PUFAs production and use in food and feed industries. Mar. Drugs 2021, 19, 113. [Google Scholar] [CrossRef]
  16. Abreu, A.P.; Fernandes, B.; Vicente, A.A.; Teixeira, J.; Dragone, G. Mixotrophic cultivation of Chlorella vulgaris using industrial dairy waste as organic carbon source. Bioresour. Technol. 2012, 18, 61–66. [Google Scholar] [CrossRef]
  17. Liu, J.; Huang, J.; Fan, K.W.; Jiang, Y.; Zhong, Y.; Sun, Z.; Chen, F. Production potential of Chlorella zofingiensis as a feedstock for biodiesel. Bioresour. Technol. 2010, 101, 8658–8663. [Google Scholar] [CrossRef] [PubMed]
  18. Ki, H.; Kim, E.S.; An, S.M.; Kang, N.S.; Bae, S.S.; Choi, G.; Pan, C.H.; Kim, K.Y.; Patil, J.G.; Cho, K. Enhanced carotenoid production, biodiesel quality, and harvesting efficiency in microalga Graesiella emersonii via heterotrophic cultivation strategy. Algal Res. 2024, 78, 103437. [Google Scholar] [CrossRef]
  19. Kolesovs, S.; Shvirksts, K.; Grube, M.; Vigants, A. Studies on lactose utilization by the microalga Graesiella emersonii in the 3N-BBM-V model medium. Eur. J. Phycol. 2025, 60, 175–184. [Google Scholar] [CrossRef]
  20. Kolesovs, S.; Strazdina, I.; Vigants, A. Mixotrophic cultivation of green microalga Graesiella emersonii on cheese whey permeate. Rural Sustain. Res. 2025, 53, 1–7. [Google Scholar] [CrossRef]
  21. Zanette, C.M.; Mariano, A.B.; Yukawa, Y.S.; Mendes, I.; Spier, M.R. Microalgae mixotrophic cultivation for β-galactosidase production. J. Appl. Phycol. 2019, 31, 1597–1606. [Google Scholar] [CrossRef]
  22. Bentahar, J.; Deschênes, J.S. Influence of sweet whey permeate utilization on Tetradesmus obliquus growth and β-galactosidase production. Can. J. Chem. Eng. 2021, 100, 1479–1488. [Google Scholar] [CrossRef]
  23. Penloglou, G.; Pavlou, A.; Kiparissides, C. Screening microalgae for producing biofuel precursors from industrial off-gases. Sustainability 2025, 17, 2964. [Google Scholar] [CrossRef]
  24. Mandal, M.K.; Saikia, P.; Chanu, N.; Chaurasia, N. Modulation of lipid content and lipid profile by supplementation of iron, zinc, and molybdenum in indigenous microalgae. Environ. Sci. Pollut. Res. 2019, 26, 20815–20828. [Google Scholar] [CrossRef] [PubMed]
  25. Bentahar, J.; Doyen, A.; Beaulieu, L.; Deschênes, J.S. Investigation of β-galactosidase production by microalga Tetradesmus obliquus in determined growth conditions. J. Appl. Phycol. 2019, 31, 301–308. [Google Scholar] [CrossRef]
  26. Folch, J.; Lees, M.; Sloane Stanley, G.H. A simple method for the isolation and purification of total lipides from animal tissues. J. Biol. Chem. 1957, 226, 497–509. [Google Scholar] [CrossRef]
  27. Zhou, J.; Wang, M.; Saraiva, J.A.; Martins, A.P.; Pinto, C.A.; Prieto, M.A.; Simal-Gandara, J.; Cao, H.; Xiao, J.; Barba, F.J. Extraction of lipids from microalgae using classical and innovative approaches. Food Chem. 2022, 384, 132236. [Google Scholar] [CrossRef] [PubMed]
  28. Occhipinti, P.S.; Del Signore, F.; Canziani, S.; Caggia, C.; Mezzanotte, V.; Ferrer-Ledo, N. Mixotrophic and heterotrophic growth of Galdieria sulphuraria using buttermilk as a carbon source. J. Appl. Phycol. 2023, 35, 2631–2643. [Google Scholar] [CrossRef]
  29. Tsotsouli, K.; Didos, S.; Koukaras, K.; Argiriou, A. Mixotrophic cultivation of Dunaliella tertiolecta in cheese whey effluents to enhance biomass and exopolysaccharides (EPS) production: Biochemical and functional insights. Mar. Drugs 2025, 23, 120. [Google Scholar] [CrossRef]
  30. Sanz-Luque, E.; Chamizo-Ampudia, A.; Llamas, A.; Galvan, A.; Fernandez, E. Understanding nitrate assimilation and its regulation in microalgae. Front. Plant Sci. 2015, 6, 899. [Google Scholar] [CrossRef]
Disclaimer/Publisher’s Note: The statements, opinions and data contained in all publications are solely those of the individual author(s) and contributor(s) and not of MDPI and/or the editor(s). MDPI and/or the editor(s) disclaim responsibility for any injury to people or property resulting from any ideas, methods, instructions or products referred to in the content.

Article Metrics

Citations

Article Access Statistics

Multiple requests from the same IP address are counted as one view.