Abstract
The development of NVH (Noise, Vibration, and Harshness) characteristics in vehicles is facing new challenges with the widespread utilization of electric drivetrains. This shift introduces new requirements in several areas, such as reduced noise and vibration levels, the need for advanced nonlinear characterization methods, and tuning/masking the typically more prominent tonal noise components. More accurate simulation and measurement techniques are essential to meet these demands. This study focuses on the experimental frequency response function (FRF) testing of electric drivetrain components, specifically on potential phase errors caused by inappropriate measurement settings. The influencing parameters and their quantitative effects are analyzed theoretically and demonstrated using real measurement data. A novel numerical approach, termed Maximum Phase Error Analysis (MPEA), is introduced to systematically quantify the largest potential phase errors due to arbitrary alignment between resonance frequencies and discrete spectral lines. MPEA enhances the robustness of phase accuracy assessment, especially critical for lightly damped systems and closely spaced resonance peaks. Based on the findings, optimal testing parameters are proposed to ensure phase errors remain within a predefined limit. The results can be applied in various dynamic testing scenarios, including durability testing and rattling analysis.
1. Introduction
Electric drivetrains in automotive engineering have fundamentally changed the field of Noise, Vibration, and Harshness (NVH). Unlike conventional internal combustion engines—generating noise that is often less prominent and low-frequency and can be effectively managed by engine and muffler acoustics—electric motors often produce a tonal whining sound at discrete harmonics of their rotational speed, as well as high-frequency vibration from inverter switching and gearbox interactions [1]. Consequently, NVH engineers face new challenges: not only must overall vibration and noise levels be reduced [2], but the characterization and mitigation of narrow-band tonal components become critical for passenger comfort and perceived quality [3]. At the core of many NVH analyses lies the Frequency Response Function (FRF), which describes how a structure or component responds in amplitude and phase across a range of harmonic excitation frequencies. Accurate FRF measurement is essential for modal parameter identification, component tuning, and subsequent numerical model updating. However, the accuracy of the measured FRF—particularly its phase content—depends sensitively on experimental settings such as sampling frequency, record length, windowing, and spectral averaging. A well-known source of error in FRF measurement is inadequate frequency resolution of the discrete Fourier transform (DFT). When the frequency grid is too coarse relative to the bandwidth of resonance peaks, both amplitude and phase estimates at or near resonance can become distorted [4]. Amplitude errors manifest as under- or overestimation of the peak magnitude, leading to biased estimates of modal damping and modal mass. These phenomena have been discussed in our earlier works [5,6]. The present work focuses on phase response artifacts, which arise from “bin-centering” errors, where the true resonant frequency—or any other frequency of interest—lies between discrete spectral lines, causing a calculated phase that deviates from the ideal.
Even though vibration amplitude is generally considered the main reason for NVH issues, phase relations play a significant role in numerous phenomena, e.g., in rattling or fatigue loading. Consequently, accurate phase information is inevitable for reliable predictions in these fields [7,8].
2. Theoretical Background
In Chapter A5.1 of [9], Lalanne discusses the errors introduced during the digitization of transfer functions, specifically emphasizing measurements near resonance frequencies. Lalanne shows that precise frequency resolution (∆ω) near resonance is crucial to accurately determine the resonance parameters. Insufficient sampling density near resonance peaks (illustrated in Figure 1) will result in substantial errors in determined frequency and damping values.
Figure 1.
Amplitude response around resonance with fine (a) and coarse frequency resolution (b). Change in apparent peak frequency and bandwidth is demonstrated.
Studying a 2-DOF (degree of freedom) system allows one to demonstrate digitalization inaccuracies in the determination of resonance parameters: fn = ωn/2π natural frequency and Q = 1/2ξ quality factor, ξ being the damping ratio. Such low-DOF analytical models help reveal the error mechanisms and identify the role of dynamic parameters in them, whereas numerical methods (e.g., the MPEA presented in Maximum Phase Error Analysis (MPEA) Section) are effective tools for quantifying the errors in real, multi-DOF systems.
Inadequate frequency resolution affects both amplitude and phase estimations, as shown in Figure 2. When inserting the determined, inaccurate damping value into simulations as an empirical system parameter, erroneous amplitude and phase prediction will be the consequence—see Figure 3.
Figure 2.
Effect of frequency resolution on the amplitude and phase accuracy of Frequency Response Functions (FRFs) of a 2-DOF system: (a) amplitude comparison; (b) amplitude error relative to the finest resolution; (c) phase comparison; (d) phase error relative to the finest resolution.

Figure 3.
Effect of damping ratio (ξ) on the amplitude and phase of Frequency Response Functions (FRFs) of a 2-DOF system: (a) amplitude comparison; (b) amplitude deviation relative to ξ = 0.005; (c) phase comparison; (d) phase deviation relative to ξ = 0.005.
The present work collects and evaluates multiple methods to handle and limit phase errors. An analysis of potential amplitude errors has already been conducted in our previous works [5,6].
2.1. Calculation of Phase Error at Resonance Frequency
In the following, the theoretical derivation of phase error due to inappropriate frequency sampling will be presented. The results are then applied and evaluated on real measurement data. Based on the findings, a method is proposed for determining frequency resolution to keep phase error below a limit value.
Let us focus first on a 1-DOF system’s phase response near resonance (shown graphically in Figure 4):
where ξ is the damping ratio, ω is the actual (angular) frequency, and ωn is the natural (angular) frequency. Note: numerically, this function gives values between −π/2 … +π/2. To obtain the real, physical phase values, in case of frequencies above resonance, the result should be shifted by π [10]. Furthermore, the negative sign depends on the interpretation of phase response (as a “phase delay”, it should be positive), and on which physical value we consider (displacement, velocity, acceleration, etc.).
Figure 4.
(a) Phase response of a 1-DOF system as a function of frequency ratio for different damping values [11]; (b) the visualization of phase error due to discrete frequency resolution.
Considering the resonance case:
Mathematically, Equation (2) is true when we approximate resonance from above, i.e., ω > ωn. Approximation from below results in ϕ(ω = ωn) = −π/2.
For small deviations, let ω = ωn + εω, the last term being the frequency error (or deviation) coming from the difference between the discretized and real resonance frequency (see Figure 4). In that case, the phase response is as follows:
Equation (3) precisely describes the phase of a single-degree-of-freedom (1-DOF) system when the excitation frequency is slightly offset from the natural frequency. It accounts for both the damping ratio ξ and the frequency deviation εω.
Finally, the (discrete) phase error (εϕ,d)—meaning the deviation between the phase value at natural frequency (ω = ωn) and the phase value at the next discrete frequency value (upper neighbor: ω = ωn + εω—see Figure 4)—can be expressed as follows:
Inserting Equations (2) and (3) into (4), the following can be obtained:
Using a dimensionless parameter named specific frequency error of r = εω/ωn, one can obtain the relative phase error near resonance based on (5) as follows:
Equation (6) gives the phase result if the actual frequency is slightly above the natural frequency. The derivation can be executed analogously for frequencies below the natural frequency, i.e., ω = ωn − εω. Without giving the details, the phase error for that case will be as follows:
Absolute values of Equations (6) and (7) are plotted in Figure 5. One can conclude that—due to the asymmetrical characteristic of phase response (see Figure 4)—the phase error will be slightly different for frequencies above and below the natural frequency, even with the same frequency error (εω). Phase error is more sensitive to negative frequency error; however, this difference is considerable only with high damping and large frequency error.
Figure 5.
Phase error of a 1-DOF system as a function of normalized frequency error for different damping values—considering discrete frequency lines.
Using Figure 5, one can define the limiting frequency resolution so as to keep the discrete phase error below a pre-defined threshold value for a single resonance peak with given damping.
2.2. Phase Error via Interpolation
The above derivation results in the phase error between the theoretical natural frequency and the nearest frequency line of the discrete frequency sampling. There are, however, two reasons for further analysis:
- On the one hand, most evaluation software is capable of calculating interpolated results between two neighboring frequency samples—to get a more accurate phase response even at the exact resonance frequency or at any other frequency.
- On the other hand, we can assume that phase error will not reach its maximum at resonance, but slightly away from it—considering the curvature characteristics in Figure 4 (i.e., at resonance, the inflexion point will result in a smaller chord distance than at highly curved regions below and above). This assumption will be proven in this chapter.
Based on these considerations, the estimation of the interpolated phase error (εϕ,int—see Figure 4) of a 1-DOF system will be given in the following, using the phase values available at the two nearest frequ––ency bins, ω1 and ω2 (ω1 ≤ ω < ω2, ω2 − ω1 = Δω, the latter being the frequency resolution). This value can be calculated not only at the natural frequency, but at any other frequency—as it is shown later.
The exact phase response at ω frequency (ϕ(ω)) can be calculated by Equation (1). The linearly interpolated phase value at ω frequency—calculated from ϕ1 = ϕ(ω1) and ϕ2 = ϕ(ω2) discrete phase responses—can be given as follows:
Finally, the interpolated phase error is given as the difference in the exact and the interpolated phase responses:
Aiming for higher accuracy, from this point on, the given/calculated phase error always refers to the interpolated value, and not the discrete one (unless otherwise stated).
To be able to give an insight into the characteristics of the interpolated phase error around a resonance, a simplification is applied in the following: we assume that the phase error reaches its maximum at exactly the middle point of two neighboring frequency bins, that is, when ω = ω1 + Δω/2 = ω2 − Δω/2. Furthermore, the frequency ratio R = ω/ωn and specific frequency resolution ΔR = Δω/2ωn are introduced. Using these conventions, Equation (1) can be reformulated as follows:
while ϕ1 = ϕ(ω − Δω/2) and ϕ2 = ϕ(ω + Δω/2) can be expressed as follows:
and the interpolated phase response (Equation (8)) simplifies to the following:
Lastly, the interpolated phase error as a function of R is calculated from Equations (10) and (13) as follows:
This phase error can be visualized as a function of R, for different damping ratio (ξ) and specific resolution (ΔR) values—see Figure 6.
Figure 6.
Interpolated phase error as a function of frequency ratio (R = ω/ωn) for different damping ratios. (a) Medium frequency resolution; (b) coarse frequency resolution.
Figure 6 demonstrates well the character of phase error: if damping is small (ξ = 0.001), a rather large phase error (up to 55.7°) might be obtained even with moderate frequency resolution (ΔR = 0.004 equals, e.g., Δω = 2 Hz @ ωn = 250 Hz). With a coarser resolution (ΔR = 0.016, e.g., Δω = 8 Hz @ ωn = 250 Hz), phase error exceeds 80° with ξ = 0.001. On the other hand, increasing the damping ratio significantly decreases the phase error: for ξ < 0.05, the phase error is below 5° for the examined cases.
One should note that the phase error at ω = ωn is close to, but not exactly 0—due to the slightly asymmetric characteristic of phase response curves. For the same reason, the amplitude of the left-hand side peak is marginally larger than that of the right-hand side one.
From an engineering perspective, the phase error near resonance is of primary interest, as this region is critical for accurate modal parameter identification and is most susceptible to practical misinterpretation. As the vibration amplitude of a damped system reaches its maximum slightly below ωn—where the phase error is marginally larger too, compared to the peak value above ωn—the most significant phase error issues are expected somewhat below the natural frequency.
3. Measurement Evaluation Method
Now, let us put the findings into practice. First, let us consider the discrete phase error: Assuming a coarse frequency resolution, the peak amplitude will be identified above or below the exact peak frequency (see Figure 1). Depending on the coincidence of frequency lines and the natural frequency, the frequency error is . In the worst case, the peak frequency lies exactly between two frequency lines, meaning that the frequency error is half of the frequency resolution (). The resulting phase error can be calculated according to Equation (6) or (7)—or can be determined from Figure 5.
As discussed above, the discrete frequency error (calculated at resonance) is not always the best indicator of potential phase error issues. Interpolated frequency error not only gives a better approximation at resonance but can be calculated in a wider range around the resonance frequency. The given method for this calculation works well if there are well-separated resonance peaks, but for FRFs with multiple interfering peaks, the applicability of the theory-based methods is strongly limited. For such cases, another solution is more practical: One can measure the system with a very fine frequency resolution (considered as giving back the accurate phase response) and compare it to a coarse one (resulting in some phase response error). The difference in these two functions will give back the actual phase error as a function of frequency:
This is a simple, generally applicable method; however, it needs more and longer measurement runs and will not yield the theoretically maximum phase error, just the one resulting from the actual coincidence of frequency lines and the resonance frequencies. (That is: if a frequency line hits exactly the frequency of interest, even if a very coarse frequency resolution was used, the phase error will be zero at that point. Furthermore, a significantly finer frequency resolution may result in higher error, if it does not hit the frequency exactly.) Consequently, the results of this method can be used only for the given system with the exact resonances. If there is any slight change in the FRF, the phase error value is not valid anymore.
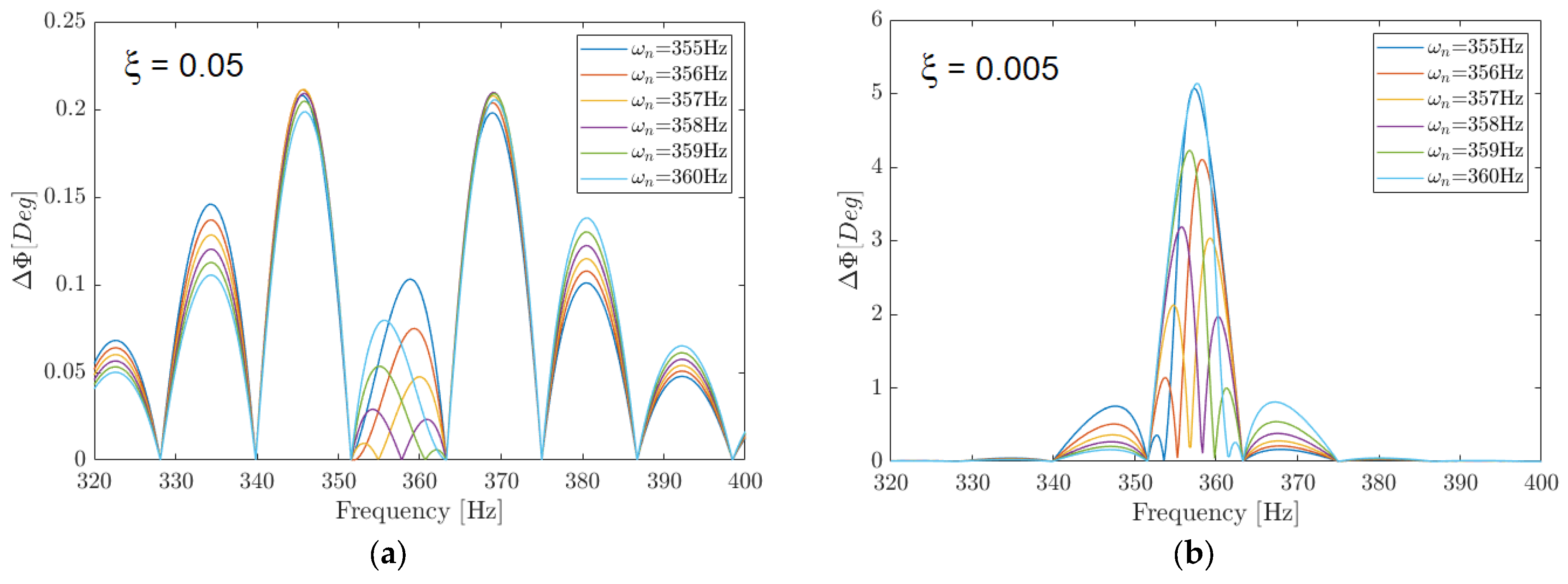
The manifestation of this limitation is demonstrated in Figure 7, where the (interpolated) phase error is given for ∆ω = 11.7 Hz frequency resolution (with fixed frequency lines) for a damped, 1-DOF system with slightly shifted resonance frequencies. It is now obvious that the phase error is dependent on the coincidence of the natural frequency and the frequency lines of the used, discrete resolution. Moreover, the maximum phase error value is near the natural frequency only if the damping is low. An increased damping—e.g., 5% in the presented case—will result in phase error maxima further away from ωn. This finding is in accordance with the interpretation of Figure 6: the greater the damping, the further the phase error maximum is from the resonance frequency. The difference between Figure 6 and Figure 7 is that the former evaluates a continuous frequency scale (like a sliding window), while the latter calculates the error from the measured, discrete frequency lines (and linear interpolation between them).
Figure 7.
Phase error with the same frequency resolution (Δω = 11.7 Hz) but slightly shifted resonance frequency: (a) medium damping; (b) small damping.
Turning it into practice: Measuring a new component of the same type, the resonance frequency can easily be shifted by 1–2 Hz due to slight material, manufacturing, and assembly differences. Consequently, the measured phase error might alter from component to component—according to the results in Figure 7.
Now it is clear that the phase error is highly sensitive to the changes in resonance frequencies, and to keep the phase error below a threshold value, surely, a more detailed analysis should be executed, which is described in the following. In contrast to the previous analytical considerations, which focused on the vicinity of individual resonance peaks, the subsequently proposed method is a post-processing framework for real measured data that can be applied to any FRF (sweep or impulse response) of a complex multi-DOF system.
Maximum Phase Error Analysis (MPEA)
The idea of the method is to consider all possible relative positions of the discretized frequency values (lines) and the resonance frequencies—as demonstrated in Figure 8. It is similar to what was discussed for interpolated phase error calculation based on theoretical considerations, with two major differences: Firstly, the following numerical method works with measured data, and thus can be applied to any FRF, not just to 1-DOF systems. Secondly, the numerical calculation capabilities make it possible to consider the phase error at not just the middle point of the “chord” (i.e., the linearly interpolated phase response), but to calculate the error at all points and take the biggest error.
Figure 8.
Demonstration of multiple frequency-shifted coarse sampling from a fine spectral signal.
For this goal, we should have an FRF of the examined system (amplitude and phase response, the latter being in our interest now) with a very fine frequency resolution (). The coarser frequency resolution data () are generated by skipping some of the frequency lines—e.g., keeping just the 1st, 11th, 21st … frequency lines will result in a ten times coarser resolution. This rough resolution is then shifted in small steps () by starting with not the 1st, but the 2nd, 3rd … frequency line, and keeping the same resolution (every 10th line is kept in this example). The last starting frequency should be the 10th one, before we reach the same case as the very first one. In this way, all possible relative positions of the coarse frequency lines and the FRF peaks are generated—numerically, 10 cases in our example.
The next step is to determine the maximum phase error, i.e., calculating the phase differences between the fine resolution FRF and the 1st, 2nd … 10th rough resolution case at the examined fi frequency (εϕ1, εϕ2, … εϕ10)—as illustrated in Figure 8—and take the maximum of the phase error values.
By scanning the whole frequency range with fi and calculating the phase error maxima, one can obtain the maximum possible phase error for the whole frequency range with the given, rough resolution—independently of the exact positions of the resonance peaks.
The numerical implementation of this method is explained in detail in Appendix A; here, only a condensed explanation is provided as follows. Assuming the original, finely sampled frequency domain signal exists between ωmin and ωmax with the number of frequency lines N, the frequency resolution of this fine dataset is equal to
Coarse datasets are generated with a frequency resolution of Δωc = M · Δωf using the following indexing method:
where ick denotes the indices of the kth coarse dataset (referring to the values of the original fine dataset, ick ϵ [1, 2, … N]), k = 1, 2, … M and j runs from 0 to . In such a way, M pieces of coarse datasets are generated from the values of the original fine dataset, each one shifted by Δωf compared to the previous one.
The next step is to calculate the phase deviations (εϕk,i) between the original and the kth coarse datasets for all k = 1 … M coarse datasets, for all fi (i = 1 … N) frequency values (f1 being ωmin and fN being ωmax).
Finally, the maximum phase error can be calculated as a function of frequency (εϕmax(f)), i.e., considering all coarse datasets for all fi (i = 1 … N) frequency values.
This method can be executed for any M ϵ [2, 3, 4 …] value (any multiplication of the original, fine resolution), making it possible to generate the phase error function for a high variety of coarse resolutions and find the optimal one.
4. Experimental Test
A measurement campaign was conducted to validate the theory and methods introduced in the previous chapters. The tested system was an electric powertrain unit (e-Axle), as illustrated in Figure 9. The objective of this measurement was to assess the dynamic characteristics of the powertrain and to establish a correlation between the theoretical/model predictions and the empirical data regarding phase error.
Figure 9.
Impact hammer excitation and acceleration response measurement on an e-Axle.
For the measurement, a PCB 086C03 impact hammer (PCB Piezotronics, Inc., Depew, NY, USA) was used with a white plastic tip—this setup proved reliable even at higher frequencies up to 450 Hz. The system’s response was captured using a PCB HTJ356B01/NC triaxial accelerometer (PCB Piezotronics, Inc.), positioned close to the driving point to ensure we capture the local response to the Dirac-type impact. The accelerometer was fixed using a dedicated superglue (Loctite 454, Henkel, Düsseldorf, Germany). Data was sampled at 3000 Hz, which ensured appropriate temporal resolution for our purposes. Throughout the tests, the FFT window size was varied to directly study how frequency resolution influences the clarity of modal peaks and phase response. Table 1 summarizes the FFT settings and resulting frequency resolutions applied during the evaluation.
Table 1.
Parameters of the measurement.
To minimize random errors and to check repeatability, each measurement was repeated three times. This allowed us to estimate the maximum coherence more reliably—a key step for validating modal results in practice.
In the results section, the processed measurement data of this system are presented and evaluated using the methods introduced above.
5. Results and Discussion
In Figure 10, the system’s amplitude and phase response are presented around a dominant resonance, with different frequency resolutions. Amplitude response demonstrates clearly the distortion of the resonance peak in the case of inadequate resolution—resulting in a shifted peak value and frequency, and altered (apparent) damping. In case of phase response, however, the largest deviations between the fine and coarse resolution data arise not at the resonance frequency (ca. 358 Hz), but before and after it—in accordance with the findings described before and illustrated in Figure 6 and Figure 7.
Figure 10.
(a) Amplitude response functions and (b) phase response functions processed with different frequency resolutions.
It has to be mentioned that in the case of real, multi-DOF systems, the resonances are characterized by sudden phase changes: the phase may increase or decrease as well, and the change is generally less than 180°—in contrast to an ideal 1DOF system, as shown in Figure 4.
According to the evaluation of the amplitude data, the properties of the resonance shown in Figure 10 are the following: ωmax = 358.1 Hz, ξ = 0.032, from which the natural frequency can be calculated as .
Considering the frequency error εω = Δω/2, the resulting discrete phase error values according to Equations (6) and (7) are collected in Table 2. Please note that with the defined εω value, the specific frequency error (r) equals the specific frequency resolution (ΔR).
Table 2.
Discrete phase error values for the measured system.
Results show that considering the nearest discrete frequency instead of the accurate resonance frequency may result in a phase error up to 27.25° using a Δω = 11.7 Hz resolution. To keep the discrete phase error below 5°, less than 2 Hz resolution should be used.
The interpolated phase error was calculated too around resonance with Equation (14), and the resulting curves are shown in Figure 11 for the medium (Δω = 2.9 Hz) and coarse (Δω = 11.7 Hz) resolutions. The former results in maximum εϕ,int = 0.3° at R = 0.981 (ω = 351.7 Hz), while the coarse resolution gives εϕ,int = 4.5° at R = 0.979 (ω = 351.0 Hz).
Figure 11.
Interpolated phase error for medium (Δω = 2.9 Hz → ΔR = 0.004) and coarse (Δω = 11.7 Hz → ΔR = 0.016) frequency resolutions.
One can conclude that using interpolation for phase calculation decreases the potential phase error significantly: εϕ,int < 5° limit can be kept even with Δω = 11.7 Hz.
The above-discussed methods are based on the characteristics of a 1-DOF system. In the examined test case, even if a rather clear resonance is evaluated, the transfer functions are influenced by many other resonances and dynamic phenomena—this can be seen clearly in the amplitude and phase response functions (Figure 10). To handle this, the empirical/numerical methods for phase error analysis (introduced above) are executed and evaluated, too: the determination of phase error based on the difference in fine and coarse resolution data (Equation (15)), and the MPEA method.
The deviation of the coarse resolution phase response values from the finest one (Δω = 0.05 Hz) is shown in Figure 12 with solid lines. The lower phase error in the narrow vicinity of the resonance frequency (358 Hz) is clearly visible—in accordance with Figure 6 and Figure 7. The maximum actual phase error for Δω = 11.7 Hz resolution is around 5.45° at 368.3 Hz. This value is somewhat larger than the error estimation from the interpolated error analysis, which is due to the deviation of the real system from a pure 1-DOF response (it can be seen evidently from the amplitude response in Figure 10 at around 370 Hz).
Figure 12.
Phase error of coarse resolution measurements—the actual, measured phase error (solid lines) and the calculated maximum values (dashed lines).
Maximum Phase Error Analysis (MPEA)—described in Maximum Phase Error Analysis (MPEA) Section—is applied to the measured data, using the finest resolution measurement as a basis. Coarse resolution response curves are generated—in accordance with the real measurements—by taking every 4th (M = 4, Δωc = 0.18 Hz), 32nd (M = 32, Δωc = 1.4 Hz), 64th (M = 64, Δωc = 2.9 Hz), 128th (M = 128, Δωc = 5.8 Hz), and 256th (M = 256, Δωc = 11.7 Hz) frequency sample. The starting frequency is then increased step-by-step until it reaches the 2nd sample of the coarse resolution. The resulting phase error values are determined for each frequency, for each step (bin), for the selected resolutions—as shown in Figure 13. Finally, the maximum error value is calculated for each frequency line (of the fine resolution input data)—i.e., along the “Bin” axis. This result is plotted in Figure 12 with dashed lines, meaning the theoretical maximum of phase error. As expected, the real phase error is always below the theoretical maximum value. An exception may occur due to measurement inaccuracies only, as the “theoretical maximum” is calculated based on the finest resolution measurement, while the “actual phase error” data came from different measurements with coarser frequency resolutions.
Figure 13.
Phase error waterfall plot based on multiple frequency-shifted coarse sampling referenced to fine spectral measurement data. The maximum phase error for 0.18 Hz frequency resolution is negligible: for 1.4 Hz, it is only a few tenths of a degree, and for 2.9 Hz, it is around 1°. For 5.8 Hz resolution, the maximum phase error is around 4°, while for 11.7 Hz resolution, it is more than 8°.
The results of MPEA show that with 11.7 Hz frequency resolution, the phase error may reach 8.25° at 330.5 Hz—more than 50% higher than the actually determined maximum phase error (5.45° at 368.3 Hz).
As a final conclusion, based on the MPEA results, we can state that using 11.7 Hz frequency resolution for this type of e-Axle is enough to limit the phase error at 8.25°. If this is too much, the phase error limit can be reduced to 3.8° by using 5.8 Hz frequency resolution, or even kept below 1.15°, for which 2.9 Hz resolution must be used. The actually measured phase error is generally somewhat smaller than these maximum values, while the 1DOF approximation results in even smaller errors—especially for fine resolution cases. A detailed list of results is shown in Table 3.
Table 3.
Maximum phase error for the measured e-drive.
6. Conclusions
The introduced Maximum Phase Error Analysis (MPEA) method offers a robust numerical approach to quantify the highest possible phase error arising from the arbitrary alignment of discrete frequency lines with resonance peaks. This technique is particularly beneficial for multi-DOF systems with small damping (ξ < 0.05), where slight deviations in resonance frequencies can significantly influence phase accuracy. MPEA thus provides a practical guideline to determine the frequency resolution required for reliably minimizing phase response errors in dynamic NVH testing scenarios.
The executed analyses and their most important findings can be summarized as follows:
- Phase error is analyzed theoretically around resonance for 1DOF systems. Both the error at the nearest frequency line and the error in the case of phase interpolation were determined. The proposed method can be used to maximize the phase error around a dominant, single resonance peak. However, this theoretical approach was proven to be inaccurate in real, multi-DOF cases, especially for high-frequency resolutions.
- For a more complex, real, multi-DOF system, the phase error should be determined more accurately by comparing the coarse resolution data with an extremely fine one. In the case of the tested system (an electric drive assembly—e-Axle), this phase error was around 5.45°—slightly higher than the value obtained for the interpolated phase error analysis of the corresponding 1-DOF system (4.5°).
- The detailed analysis confirmed the hypothesis that—in contrast with the amplitude error—the largest phase error does not occur at the resonance frequency, but somewhat below and above. It was proven analytically for 1-DOF systems, and empirically on the measured e-Axle too.
- Finally, a numerical method (Maximum Phase Error Analysis—MPEA) was proposed and demonstrated to determine the theoretically maximum phase error—considering any possible coincidence of the coarse frequency lines and the resonance frequency. It is especially important when the damping is small (ξ < 0.05) and slight changes in resonance frequency may occur. In such cases, setting the frequency resolution limit based on one measured piece is not appropriate; a significantly higher phase error may occur due to a small shift in resonance frequencies (more than 50% higher in our case).
The presented results show that frequency resolution is a key factor in the vibration analysis of electric drivetrains. Both the calculations and the measurements make it clear: if the frequency step is too large, important details—especially sharp phase changes near resonance—might be missed or distorted. This leads to less reliable identification of the system’s dynamic properties. For accurate NVH work, it is not enough to just “collect data”—the settings of the FFT, especially the frequency resolution, must match the targeted amplitude and phase error limit. The novelty of the present study lies in providing a concrete workflow to limit phase error, and its application to a real, complex system (an e-drive assembly) is demonstrated. As electric vehicles become more common, getting these details right will be even more important for engineering work to solve NVH issues.
Outlook—Future Work
The proposed methodology was successfully applied to an electric drive. However, to demonstrate the general applicability of the presented solution, repeatability and comparative tests—including assemblies with different damping characteristics and assembly tolerances, as well as further statistical analyses—should be conducted next. Another step could involve the use of simulation results for a detailed sensitivity and robustness analysis of the proposed method.
From a broader perspective, the application of the MPEA method to a wider range of NVH testing scenarios should be pursued (e.g., speed order tracking analysis). Investigating the feasibility of integrating the method into commercial testing software—for instance, by exploring adaptive frequency resolution testing strategies based on MPEA results—could represent a promising practical direction.
Author Contributions
Conceptualization, Z.G.G.; background theory, Z.G.G. and B.V.; methodology, Z.G.G. and B.V.; validation measurements, Z.G.G.; data curation, Z.G.G.; data processing and simulation, B.V. and Z.G.G.; writing—original draft preparation, Z.G.G.; writing—review and editing, B.V.; visualization, B.V. All authors have read and agreed to the published version of the manuscript.
Funding
This research was funded by the Ministry of Culture and Innovation of Hungary from the National Research, Development and Innovation Fund (financed under KDP-2023 funding scheme), grant number KDP-2023-C2254459.
Institutional Review Board Statement
Not applicable.
Informed Consent Statement
Not applicable.
Data Availability Statement
The data presented in this study are available on request from the corresponding author due to the IP restrictions of the industrial partner of the research.
Conflicts of Interest
The authors declare no conflicts of interest. The funders had no role in the design of the study; in the collection, analyses, or interpretation of data; in the writing of the manuscript; or in the decision to publish the results.
Abbreviations
The following abbreviations are used in this manuscript:
| DFT | Discrete Fourier transform |
| DOF | Degree(s) of freedom |
| FFT | Fast Fourier transform |
| FRF | Frequency response function |
| MPEA | Maximum phase error analysis (method introduced by the authors) |
| NVH | Noise, vibration, and harshness (synonym for engineering acoustics) |
Appendix A
The step-by-step description of the MPEA method (Maximum Phase Error Analysis)
Step 1: Define the fine-resolution reference
Input: The original, finely sampled spectrum (phase response) , measured between and , having N frequency lines.
Process: Define the discrete frequency points , , such that and . The fine frequency resolution is .
Output: The set of finely spaced frequency values, the fine resolution phase response vector , and .
Step 2: Construct coarse (reduced resolution) datasets with all possible offsets
Input: , , and a chosen decimation factor M.
Process: The coarse frequency resolution is defined as , where M is a whole number, M > 1.
Instead of generating only one coarse dataset, M different coarse datasets are generated to cover all possible alignments between the coarse frequency grid and the actual frequency of interest. For the kth coarse dataset , we keep every Mth frequency line of the fine dataset, starting at index k—i.e., the frequency lines from with the following indices are selected: , where j = 0, 1, 2, … until . So:
This yields M coarse phase responses: , each with the same coarse spacing , but each shifted by one fine step relative to the prior one.
Output: The set of coarse phase vectors , for all .
Step 3: Interpolate each coarse dataset back onto the fine frequency grid
Input: Set of coarse resolution phase responses: Fine-resolution phase response:
Process: For the coarse datasets, interpolate phase value for every fine-grid frequency . This gives a reconstructed, finely spaced phase response vector based on the kth coarse response: for . This interpolated fine-resolution phase response should be calculated for all coarse phase responses.
Output: The set of reconstructed, finely spaced phase responses for all coarse datasets.
Step 4: Compute the phase error for each offset
Input: The original fine-resolution phase response and a set of reconstructed, finely spaced phase responses .
Process: For each coarse dataset k () and each frequency (), compute the phase deviation: . This represents the phase error one can obtain at if you had measured only with the coarse resolution and with offset k.
Output: The set of phase errors for all coarse datasets and all fine resolution frequency lines.
Step 5: Take the worst-case error envelope
Input: The set of phase errors for for all frequencies.
Process: For each frequency, determine the maximum absolute phase deviation considering all coarse resolution cases: .
This is the maximum possible phase error at for the given coarse resolution , regardless of where the resonance peak sits relative to the coarse sampling lines. The absolute maximum phase error can be determined, too: .
Output: Maximum phase error as a function of frequency.
Step 6: Use the method to select an acceptable resolution
Input: Fine resolution phase response , allowed phase error limit as a constant value () or as a function of frequency (), and initial decimation factor .
Process: Execute Steps 2–5 for .
- (A)
- If allowed phase error is smaller than the maximum phase error ), then decrease M and repeat steps 2…5 until . The last value will define the optimal coarse resolution ().
- (B)
- If allowed phase error is larger than the maximum phase error ), increase M and repeat steps 2…5 until . The value before the last () will define the optimal coarse resolution ().
Note: The comparison of allowed and maximum phase error can be done as a function of frequency, if needed: —the optimal resolution should be defined in a way that this condition of fulfilled for all frequency lines.
Output: The maximum acceptable coarse frequency spacing such that is not larger than the specified tolerance () in the frequency range of interest.
References
- Michon, M.; Holehouse, R.; Shahaj, A.; Jafarali, H.; Janakiraman, V. System Interactions Affecting NVH Performance of an Electric Vehicle Drivetrain; SAE Technical Papers; SAE: Warrendale, PA, USA, 2019. [Google Scholar]
- Masri, J.; Amer, M.; Salman, S.; Ismail, M.; Elsisi, M. A survey of modern vehicle noise, vibration, and harshness: A state-of-the-art. Ain Shams Eng. J. 2024, 15, 102957. [Google Scholar] [CrossRef]
- Bendat, J.S.; Piersol, A.G. Engineering Applications of Correlation and Spectral Analysis, 3rd ed.; Wiley: New York, NY, USA, 2009. [Google Scholar]
- Ewins, D.J. Modal Testing: Theory, Practice and Application, 2nd ed.; Research Studies Press Ltd.: Hertfordshire, UK, 2009. [Google Scholar]
- Gazdagh, Z.; Vehovszky, B. Influence of frequency resolution in case of frequency response function measurement in structural dynamics. Acta Tech. Jaurinensis 2021, 14, 508–520. [Google Scholar] [CrossRef]
- Gazdagh, Z.G.; Acs, D.; Vehovszky, B.; Fukker, B. Control of transfer function distortion during RPM-sweep testing of e-drive systems. In Proceedings of the ISMA 2025, Leuven, Belgium, 9–11 September 2024. [Google Scholar]
- Liu, C.; Lai, S.-K.; Ni, Y.-Q.; Chen, L. Dynamic modelling and analysis of a physics-driven strategy for vibration control of railway vehicles. Veh. Syst. Dyn. 2024, 63, 1080–1110. [Google Scholar] [CrossRef]
- Yang, Y.; Liu, C.; Chen, L.; Zhang, X. Phase deviation of semi-active suspension control and its compensation with inertial suspension. Acta Mech. Sin. 2024, 40, 523367. [Google Scholar] [CrossRef]
- Lalanne, C. Random Vibration: Mechanical Vibration and Shock Analysis, 1st ed.; Wiley: New York, NY, USA, 2009; Volume 3. [Google Scholar]
- Haber, H.E. The Argument of a Complex Number. Lecture Material. Santa Cruz Institute for Particle Physics, Physics 116A. 2019. Available online: https://scipp.ucsc.edu/~haber/ph116A/arg_19.pdf (accessed on 2 July 2025).
- Meirovitch, L. Fundamentals of Vibrations, 1st ed.; McGraw-Hill: New York, NY, USA, 2001. [Google Scholar]
Disclaimer/Publisher’s Note: The statements, opinions and data contained in all publications are solely those of the individual author(s) and contributor(s) and not of MDPI and/or the editor(s). MDPI and/or the editor(s) disclaim responsibility for any injury to people or property resulting from any ideas, methods, instructions or products referred to in the content. |
© 2025 by the authors. Licensee MDPI, Basel, Switzerland. This article is an open access article distributed under the terms and conditions of the Creative Commons Attribution (CC BY) license (https://creativecommons.org/licenses/by/4.0/).













