Abstract
This paper presents an innovative protocol for fabric functionalization using Tormentillae rhizoma extract, the chemical composition of which was proved via LC/MS analysis. The extract demonstrated antioxidant activity > 99%, and antibacterial efficacy against E. coli and S. aureus > 99%. Cotton, wool, polyamide, and cellulose acetate were functionalized with the prepared extract, all showing > 90% antioxidant activity. Functionalized cotton, wool, and polyamide exhibited > 99% antibacterial activity against both bacteria. Based on these findings and the fabrics’ ability to release bioactive compounds, functionalized cotton and polyamide fabrics having excellent bioactivity but a lower ability to release bioactive compounds can serve as protective fabrics for people with sensitive skin prone to wounds, and various products for hospitals. Functionalized wool was identified as the most suitable wound dressing for in vivo preclinical investigation on Wistar albino rats. The obtained results showcased a wound-healing rate of 95.54%, and hydroxyproline content of 8.08 µg/mg dry tissue for rats treated with functionalized wool. Compared to negative, positive, and a group of rats treated with non-functionalized wool, those treated with functionalized wool demonstrated elevated values of tissue redox state parameters, superoxide dismutase (SOD) and catalase (CAT), and a notable reduction in thiobarbituric acid reactive substances (TBARS) value. Analysis of the blood samples of rats treated with functionalized wool indicated increased levels of antioxidant defense system parameters (SOD and CAT) and decreased pro-oxidative markers superoxide (O2−) and TBARS. Further clinical trials are needed to validate these findings.
1. Introduction
Chronic wounds, defined as wounds that do not heal within one month or exhibit less than a 50% reduction in size, represent a significant healthcare issue, affecting approximately 1.5–2.2% of the population per 1000 individuals [1]. Chronic wounds, including pressure injuries, diabetic foot ulcers, venous ulcers, and arterial ulcers, are often attributable to underlying health conditions and frequently require extensive medical care and resources for effective healing. These wounds not only cause considerable pain and discomfort to the affected individuals but also substantially impact their quality of life, and in severe cases, may even result in mortality. With the increase in life expectancy, the prevalence of chronic diseases and microbial resistance is expected to rise, consequently leading to an escalation in wounds related to these factors [2]. This anticipated increase will likely elevate the costs associated with wound treatment, significantly impacting the economic and financial burden on healthcare institutions.
Therefore, promoting fast wound healing to restore normal tissue structure and function has become a crucial area of interest in wound repair research [3]. Despite the widespread use of conventional wound dressings operating in a dry wound-healing environment, they have several limitations, including high cost and inherent drawbacks such as limited moisture control and oxygen permeability, as well as susceptibility to infection. While synthetic drugs, particularly antibiotics, are effective in accelerating the healing process, preventing infections, and reducing inflammation, their use can lead to the development of drug resistance [4]. The rising prevalence of antibiotic-resistant bacterial infections poses a growing threat to global health. If not diagnosed and managed promptly, such infections can lead to tissue damage [5]. Consequently, the use of antibiotics in wound therapy should be minimized, which aligns with the “Global Action Plan” (endorsed by the World Health Assembly) to tackle the growing problem of resistance to antibiotics and other antimicrobial medicines.
Recognizing the constraints of already established conventional therapeutic approaches, this study seeks to develop an innovative, integrated, and sustainable solution for chronic wound therapy. A key aspect of effective wound healing lies not only in selecting a potent source of bioactive compounds that will accelerate wound healing but also in choosing an appropriate delivery system that will ensure prolonged and controlled release of bioactive compounds during application. This solution relies on the utilization of plant-based extract for functionalizing fabrics of different chemical compositions and obtaining antimicrobial and antioxidant wound dressings that will allow the controlled release of bioactive compounds from the extract, enhancing hydrophilicity and promoting accelerated wound healing. In this study, Tormentillae rhizoma (synonyms: Potentilla and Cinquefoil) extract has been selected as the source of bioactive compounds due to the plant’s (Potentilla tormentilla) abundance of natural polyphenolic compounds, renowned for their antimicrobial, anti-inflammatory, and antioxidant properties [6], which offer a promising alternative to antibiotics in wound therapy. According to Hoffmann et al. [7], the therapeutic efficacy of Potentilla tormentilla is attributed to its rhizome, which is rich in active pharmacological compounds such as tannins and astringent polyphenols. While previous studies have highlighted the anti-inflammatory properties of Tormentillae rhizoma extract [6,8], there is no scientific data regarding the preclinical evaluation of fabrics functionalized with Tormentillae rhizoma extract as wound dressings.
This manuscript aimed to address the identified research gap by focusing on the sustainable functionalization of natural (wool and cotton) and synthetic (polyamide) fabrics, as well as cellulose acetate fabric, using a diluted ethanol extract of Tormentillae rhizoma. After an ultrasound-assisted extraction of bioactive compounds, the extract chemical analysis was performed using the UHPLC-Orbitrap MS technique, and its antioxidant and antibacterial activities were tested. Thereafter, the mentioned fabrics were functionalized with Tormentillae rhizoma extract and subjected to antioxidant and antibacterial tests. Their ability to release bioactive compounds was also evaluated to determine the fabrics’ potential use as wound dressings or other bioactive textiles for targeted applications. Upon confirming that, among all fabrics functionalized with Tormentillae rhizoma extract, functionalized wool fabric is the most suitable for wound dressings. In vivo studies were conducted on Wistar albino rats to gather real-time data on the relationship between wound healing, treatment type, and duration. Over a 14-day protocol, besides wound-healing rate, various biochemical analyses were performed on skin tissue samples (including hydroxyproline content and tissue redox status) as well as on blood samples (assessing systemic redox status).
The approach described for evaluating the suitability of fabrics functionalized with Tormentillae rhizoma extract for wound dressing applications is notably more complex and comprehensive than those reported in the recent literature. A thorough review of the available studies in this field reveals a substantial number of publications in which various plant extracts, such as aqueous extract of Cannabis sativa L., Teucrium montanum L., Geranium robertianum L., Alchemilla viridiflora Rothm., and Punica granatum L. [9], Honeysuckle extract [10], bitter apple fruit extract [11], and Ganoderma lucidum ethanol extract [12] have been employed for fabric functionalization. While these studies often claim the potential use of the functionalized fabrics in wound care, they generally lack essential evaluations, including controlled release of the incorporated bioactive compounds. Most importantly, none of these studies have conducted preclinical in vivo investigations, such as wound-healing studies using Wistar albino rats, which are critical for validating the biomedical applicability of the developed materials.
By addressing the current gap in the literature, this research underscores the potential of plant-based medical textiles in chronic wound management, offering a promising alternative to conventional treatments. Several novel aspects of this study highlight its unique contributions to the field of chronic wound therapy and the development of innovative, plant-based medical textiles, Figure 1.
Figure 1.
Paper novelty.
2. Materials and Methods
2.1. Tormentillae rhizoma Extract
2.1.1. Preparation of Tormentillae rhizoma Extract
The extraction of bioactive compounds from Tormentillae rhizoma was conducted using 70% ethanol at a liquid-to-solid ratio of 40 mL/g at 60 °C for 30 min utilizing an ultrasonic liquid processor. Thereafter, the prepared extract was centrifuged at 6000 rpm for 5 min and stored in a refrigerator at 4 °C until further analysis and experiments. The Tormentillae rhizoma extract was diluted twofold with distilled water prior to its characterization and application in fabric functionalization to fulfill both bioactivity retention and dye uptake.
2.1.2. LC/MS Analysis of Prepared Extract
The chemical analysis of Tormentillae rhizoma extract was conducted using LC/MS (Thermo Scientific™ Vanquish™ Core UHPLC system, Thermo Fisher Scientific, San Jose, CA, USA) coupled to the Orbitrap Exploris 120 mass spectrometer (Thermo Fisher Scientific, San Jose, CA, USA). Before LC/MS analysis, the prepared extract underwent solid-phase extraction (SPE) to remove excess sugars. The SPE cartridge (Strata C18–E; 500 mg/3 mL, Phenomenex, Torrance, CA, USA) was conditioned by washing with 5 mL of acidified (0.1% HCl) methanol (MeOH) and 5 mL of ultrapure water. Then, 2 mL of the Tormentillae rhizoma extract was passed through the cartridge, which was subsequently washed with 5 mL of ultrapure water to eliminate residual sugars and other polar constituents. The adsorbed compounds were eluted with 1 mL of acidified MeOH. The extracts were filtered through a 0.45 μm PTFE membrane filter and analyzed by LC/MS. All LC/MS parameters are detailed in Stojković et al. [13]. The obtained MS data were processed and analyzed using R Studio software (version 2023.09.1, build 494). Identification of bioactive compounds was conducted based on their chromatographic behavior and HRMS/MS2 data, with comparisons made to standard compounds, when available, and literature data for tentative identification. Data acquisition was carried out using the Xcalibur® data system (Thermo Finnigan, San Jose, CA, USA).
2.1.3. Determination of Extract Antioxidant Activity
Antioxidant activity (using the ABTS method) of the prepared extract was assessed spectrophotometrically following the method described by Pavun et al. [14]. The average of three measurements was taken into consideration.
2.1.4. Testing the Extract Antibacterial Activity
The extract’s antibacterial activity was evaluated against the Gram-negative bacterium E. coli ATCC 25922 and the Gram-positive bacterium S. aureus ATCC 25923 according to Ivanovska et al. [15]. The inoculum was prepared by culturing the bacteria in Tryptic Soy Broth (TSB) at 37 °C for 18 h. A 500 µL of extract was added to 1 mL of microbial inoculum (concentration of approximately 4 × 106 CFU/mL) and 9 mL of sterile physiological saline solution in a flask. The mixture was then incubated in a water bath at 37 °C for 24 h. After incubation, an aliquot from the flask was diluted with a sterile physiological solution and spread on tryptic soy agar plates. These plates were incubated at 37 °C for 24 h, after which viable cells were counted. The microbial reduction (R, %) was calculated using Equation (1):
where C0 and C (CFU/mL) represent the initial number of microbial colonies and the number of microbial colonies in the aqueous extract, respectively. The experiments were conducted in triplicate, with coefficients of variation below 1.1%.
2.2. Employing the Tormentillae rhizoma Extract for Fabric Functionalization
Tormentillae rhizoma extract, diluted two-fold with distilled water, was used for the functionalization of commercially produced cotton (CO), wool (WO), polyamide (PA), and cellulose acetate (CA) fabrics. One gram of each fabric was immersed in 25 mL of extract and constantly shaken in a water bath for 24 h at 40 °C. Combined stirring at elevated temperatures has been previously used for the functionalization of fabrics with natural extracts [16,17]. Functionalized fabrics underwent rinsing with distilled water and were air-dried at room temperature.
2.3. Fabric Characterization
2.3.1. Characterization of Studied Fabric the Aspect of Surface Morphology
Field Emission Scanning Electron Microscopy (FESEM, Tescan MIRA 3 XMU, Brno, Czech Republic) was used to evaluate changes on fabrics’ surfaces. Before the FESEM analysis, all samples were sputter-coated with a thin layer of gold.
2.3.2. Assessing the Fabric Surface Chemistry
The changes in the wool fabric surface chemistry upon functionalization with Tormentillae rhizoma extract were assessed using ATR-FTIR spectroscopy (Nicolet™ iS™ 10 FT-IR, Thermo Fisher 2 SCIENTIFIC, Waltham, MA, USA), while FTIR spectra were recorded in the range of 4000–400 cm−1 with 32 scans per spectrum.
2.3.3. Determination of Fabric Antioxidant Activity
Antioxidant activity (using the ABTS method) of the fabrics assessed spectrophotometrically following the method described by Pavun et al. [14]
2.3.4. Testing the Fabric Antibacterial Activity
The fabric antibacterial activity was evaluated against the Gram-negative bacterium E. coli ATCC 25922 and Gram-positive bacterium S. aureus ATCC 25923, following the principles of standardized test methods for antibacterial textiles (ASTM E2149-20 [18]; AATCC 100-2019 [19]). The bacterial inoculum was prepared by culturing the strains in tryptic soy broth (TSB) at 37 °C for 18 h. Samples of the textile materials (~0.2 g) were placed into 9 mL of sterile physiological saline solution and subsequently inoculated with bacterial suspensions to a final concentration of approximately 4 × 106 CFU/mL. The flasks were incubated in a shaking water bath at 37 °C for 24 h under dynamic contact conditions. After incubation, aliquots were serially diluted in sterile physiological saline and spread on tryptic soy agar (TSA) plates, in accordance with standard microbiological procedures for viable cell counts. Plates were incubated at 37 °C for 24 h, after which the number of surviving colonies was determined. The antibacterial reduction (R, %) was calculated using Equation (2):
where Ck represents the viable bacterial concentration in non-functionalized fabric and Ct (CFU/mL) is the viable bacterial concentration in corresponding functionalized fabric, respectively.
For conditions in which no colonies were observed on any replicate plates, antibacterial activity was reported as “>99.9% (no colonies detected)”, consistent with standard practice in antibacterial testing.
2.3.5. Color Coordinates of Functionalized Fabrics
Color coordinates (L, a*, b*) in the CIELab color space were determined using the Color i7 Benchtop Spectrophotometer (X-Rite, Grand Rapids, MI, USA) under illuminant D65 using the 10° standard observer.
2.3.6. Studying the Release of Bioactive Compounds from Functionalized Fabrics
To evaluate the release of bioactive compounds from functionalized fabrics, they were immersed in a physiological saline solution (9 g/L NaCl) and maintained at a temperature of 37 °C. The kinetics of bioactive compounds release were monitored at intervals of 1 h, 3 h, 6 h, and 24 h using UV-Vis spectroscopy.
2.3.7. Fabric Citotoxicity
The cytotoxicity of the WO + Extract fabric was evaluated using the MTT assay on cultured human keratinocyte cells (HaCaT cell line), following the protocol described in the literature [20]. All experiments were performed in triplicate.
The results reported for fabric antioxidant activity, antibacterial activity, color coordinates, release of bioactive compounds, and cell viability present the mean values derived from three measurements per sample, wherein coefficients of variation were below 2.8%.
2.4. In Vivo Study
This part of the research was conducted at the Center of Excellence for Redox Balance Research in Cardiovascular and Metabolic Disorders, Faculty of Medical Sciences, University of Kragujevac, Republic of Serbia. The experimental protocol received approval from the Ethics Committee for experimental animal well-being of the Faculty of Medical Sciences, University of Kragujevac (approval number: 01-12408). All experiments were performed in accordance with the EU Directive for Protection of Vertebrate Animals used for Experimental and other Scientific Purposes (86/609/EEC) and adhered to ethical principles.
2.4.1. Animals
Forty male Wistar albino rats (220 ± 30 g), obtained from the Military Medical Academy in Belgrade, Republic of Serbia, were used as an in vivo wound-healing animal model. The rats were housed in clean cages, maintained under an artificial 12/12 h light/dark cycle, at a controlled temperature of 22 ± 2 °C. All rats had ad libitum access to water and food.
2.4.2. Excision Wound Model
Before wound induction, animals were anesthetized with an intraperitoneal injection of a xylazine (10 mg/kg) and ketamine (5 mg/kg) mixture. The back of the animals was shaved and disinfected with 70% ethanol. A wound (1 cm × 1 cm) was then created by removing all cutaneous layers using a scalpel, reaching the depth of the dermis and hypodermis, as described by Gul Satar et al. [21]. After wound induction, the rats were housed in individual cages and divided into four groups: NC (negative control—the wound was left without intervention), PC (positive control—the wound was treated with 1% silver sulfadiazine), WO (the wound was treated with wool fabric), WO + Extract (the wound was treated with wool fabric functionalized with Tormentillae rhizoma extract). A 0.5 g dose of 1% silver sulfadiazine was applied once daily to the rats belonging to group PC during the 14-day protocol. WO and WO + Extract fabrics of appropriate dimensions (1 cm × 1 cm) were changed daily in the case of the corresponding groups, during the same period. Five animals from each group were sacrificed on the 7th and 14th day of the healing study. Under short-term ketamine/xylazine anesthesia, the animals were sacrificed by decapitation.
2.4.3. Estimation of Wound-Healing Rate
The wound area was monitored and photographed every two days from day 0 until the 14th day, using graph paper and Image J software v 1.54. For each animal, the rate of healing was calculated on the 7th and 14th day and expressed as a percentage of contraction/closure using Equation (3):
Wound-healing rate (%) = (Wound area on day 0 − Wound area on
particular day)/Wound area on day 0
particular day)/Wound area on day 0
2.4.4. Biochemical Analyses
Before euthanizing the animals, skin tissue samples and blood samples were collected on the 7th and 14th day.
Skin tissue samples were taken and analyzed to determine hydroxyproline content following the protocol established by Andjić et al. [22]. Additionally, tissue redox status, including pro-oxidative marker thiobarbituric acid-reactive substances (TBARS) and antioxidative defense parameters catalase (CAT), superoxide dismutase (SOD), and the level of reduced glutathione (GSH), were assessed in lysate samples, as previously described by Patro et al. [23].
Blood samples were collected from the jugular vein to determine systemic redox status according to the methods outlined by Andjić et al. [22]. The parameters of the antioxidative defense system, including CAT, SOD, and GSH, were assessed in lysate samples. Also, the concentrations of the following pro-oxidative markers were measured in plasma samples: superoxide anion radical (O2−), hydrogen peroxide (H2O2), nitrite ion (NO2−), and the index of lipid peroxidation (measured as TBARS).
2.4.5. Statistical Analysis
Statistical analyses were performed using the Statistical Package for Social Sciences v23.0 (SPSS; IBM Corp., Armonik, NY, USA). The Shapiro–Wilk test was used to evaluate the distribution of data. Depending on whether the data followed a normal distribution, parametric tests (one-way ANOVA and independent-samples t-test) or nonparametric tests (Kruskal–Wallis) were employed to identify differences between groups. Statistical significance was defined as a p-value of less than 0.05.
3. Results and Discussion
3.1. Characterization of the Tormentillae rhizoma Extract
Following the preparation of Tormentillae rhizoma extract, a thorough characterization was undertaken. This included an analysis of its chemical composition using the LC/MS technique, evaluation of its antioxidant activity through ABTS assay, and assessment of its antibacterial efficacy against two selected bacterial strains, E. coli and S. aureus.
Chemical analysis of Tormentillae rhizoma extract, conducted using the LC/MS technique, led to the identification of 63 bioactive compounds, i.e., secondary metabolites. Metabolite identification was achieved through the study of the exact mass of the compounds in a full-scan experiment, as well as MS2 fragmentation at high resolution. The structures of the compounds were proposed based on a comprehensive review of the literature on Potentilla metabolites, where available. Table 1 lists the identified compounds, divided into several groups according to their basic chemical structures: hydroxybenzoic acid derivatives (6 compounds), ellagic acid derivatives (15 compounds), flavan-3-ols and proanthocyanidins (11 compounds), flavonoid glycosides (5 compounds), flavonoid aglycones (4 compounds), lignans (3 compounds), triterpenoids (12 compounds), and other metabolites (7 compounds). A search of the SciFinder database (https://scifinder-n.cas.org/, accessed on 7 April 2025) revealed that 9 compounds identified in Tormentillae rhizoma extract (Table 1) have not been previously reported in any Potentilla species. Notably, the majority of detected metabolites belong to the groups of ellagic acid derivatives, proanthocyanidins, and triterpenoids.
It is noteworthy that the myriad of bioactive compounds present in Tormentillae rhizoma contribute to its remarkable antioxidant activity of 99.04 ± 0.01%. According to a comprehensive review by Bhuyan and Handique [24], the antioxidant activity of polyphenolic compounds can be attributed to three mechanistic pathways: ROS scavenging by hydrogen atom transfer (HAT), single electron transfer (SET), and metal chelation. In addition to its potent antioxidant activity, Tormentillae rhizoma extract demonstrated exceptional antibacterial activity, achieving 99.9 ± 0.1% efficacy against both tested bacteria, S. aureus and E. coli. As described by Lobiuc et al. [25], plant polyphenols exert antibacterial effects through various mechanisms, including interactions with proteins and bacterial cell walls, alteration of cytoplasmic functions and membrane permeability, inhibition of energy metabolism, and induction of DNA damage or inhibition of nucleic acid synthesis in bacterial cells.
Table 1.
LC/MS data for the metabolites identified in Tormentillae rhizoma extract.
Table 1.
LC/MS data for the metabolites identified in Tormentillae rhizoma extract.
| No | Compound Name | tR, min | Molecular Formula, [M–H]− | Calculated Mass, m/z | Exact Mass, m/z | Δ mDa | MS2 Fragments, (% Base Peak) | Previously Identified in Potentilla |
|---|---|---|---|---|---|---|---|---|
| Hydroxybenzoic acid derivatives | ||||||||
| 1 | Galloyl hexoside | 0.64 | C13H15O10− | 331.06707 | 331.06319 | 3.88 | 123.00812(9), 125.02257(12), 151.00226(29), 169.01253(100), 211.02216(56), 271.04288(64) | [26] |
| 2 | Dihydroxybenzoic acid | 1.01 | C7H5O4− | 153.01933 | 153.01746 | 1.87 | 109.02828(42), 123.04382(11), 153.01759(100) | [26] |
| 3 | Hydroxybenzoic acid | 1.95 | C7H5O3− | 137.02442 | 137.02291 | 1.51 | 93.03356(2), 137.02292(100) | [27] |
| 4 | Gallic acid | 2.91 | C7H5O5− | 169.01425 | 169.01175 | 2.49 | 125.02308(100), 169.01201(55) | [26] |
| 5 | Vanilloyl hexoside | 5.72 | C14H17O9− | 329.08781 | 329.08400 | 3.80 | 123.04362(5), 167.03302(100) | [28] |
| 6 | Vanillic acid | 5.92 | C8H7O4− | 167.03498 | 167.03299 | 1.99 | 108.02033(37), 152.00992(20), 167.03300(100) | [29] |
| Ellagic acid derivatives | ||||||||
| 7 | Galloyl-HHDP-hexose | 5.41 | C27H21O18− | 633.07336 | 633.06542 | 7.95 | 275.01575(7), 300.99533(100), 301.99789(8), 463.04483(15) | [30] |
| 8 | Ellagic acid galloyl-hexoside | 5.53 | C27H19O17− | 615.06280 | 615.05552 | 7.28 | 169.01228(11), 299.98767(13), 300.99530(100), 463.04620(19) | N/A |
| 9 | Ellagic acid galloyl-pentoside-hexoside | 5.55 | C39H23O16− | 747.10506 | 747.09690 | 8.16 | 169.01273(11), 299.98700(19), 300.99542(100), 433.03748(20), 463.04730(54), 615.05957(23) | N/A |
| 10 | Ellagic acid hexoside | 5.70 | C20H15O13− | 463.05181 | 463.04594 | 5.88 | 299.98755(86), 300.99527(100), 463.04608(29) | [31] |
| 11 | Ellagic acid O-pentoside-hexoside | 5.72 | C25H23O17− | 595.09410 | 595.08661 | 7.49 | 298.98083(17), 299.98828(64), 300.02390(12), 300.99493(52), 433.03528(35), 463.04620(100) | N/A |
| 12 | Ellagic acid hexuronide | 5.62 | C20H13O14− | 477.03108 | 477.02526 | 5.82 | 300.99536(100) | [31] |
| 13 | Ellagic acid pentoside | 6.00 | C19H13O12− | 433.04125 | 433.03560 | 5.65 | 299.98764(100), 300.99536(89), 433.03601(23) | [31] |
| 14 | Methylellagic acid hexuronide | 6.09 | C21H15O14− | 491.04673 | 491.04048 | 6.25 | 299.98767(36), 300.99506(4), 315.01099(100) | [31] |
| 15 | Methylellagic acid hexoside | 6.12 | C21H17O13− | 477.06746 | 477.06142 | 6.05 | 299.98776(18), 300.99579(5), 314.00336(20), 315.01108(100), 477.06030(10) | [31] |
| 16 | Ellagic acid | 6.17 | C14H5O8− | 300.99899 | 300.99539 | 3.60 | 300.99536(100), 301.99908(2) | [6] |
| 17 | Methylellagic acid pentoside | 6.44 | C20H15O12− | 447.05690 | 447.05130 | 5.60 | 299.98755(21), 314.00314(16), 315.01093(100), 447.05167(6) | [31] |
| 18 | Methylellagic acid methyl-hexuronide | 6.59 | C22H17O14− | 505.06238 | 505.05598 | 6.40 | 125.02198(3), 299.98776(24), 314.00250(16), 315.01117(100) | N/A |
| 19 | Methylellagic acid | 6.65 | C15H7O8− | 315.01464 | 315.01114 | 3.50 | 299.98761(100), 300.99118(3), 315.01108(32) | [31] |
| 20 | Dimethylellagic acid methyl-hexuronide | 7.29 | C23H21O14− | 521.09368 | 521.08778 | 5.90 | 312.99570(13), 328.01874(100), 343.04178(60) | N/A |
| 21 | Trimethylellagic acid | 7.98 | C17H11O8− | 343.04594 | 343.04116 | 4.78 | 297.97253(4), 312.99554(95), 328.01883(100) | [32] |
| Flavan-3-ol monomers, proanthocyanidins, and derivatives | ||||||||
| 22 | Catechin | 2.58 | C15H13O6− | 289.07176 | 289.06830 | 3.46 | 125.02298(64), 151.03839(36), 179.03288(33), 203.06906(67), 205.04828(54), 245.07912(100) | [32] |
| 23 | Epicatechin | 4.78 | C15H13O6− | 289.07176 | 289.06835 | 3.41 | 125.02305(64), 151.03844(36), 179.03287(34), 203.06903(74), 205.04823(48), 245.07910(100) | [33] |
| 24 | B-type proanthocyanidin trimer isomer 1 | 5.20 | C45H37O18− | 865.19856 | 865.18899 | 9.57 | 125.02308(100), 161.02263(28), 243.02736(31), 287.05273(19), 289.06848(50), 407.07166(48) | [34] |
| 25 | (Epi)afzelechin-(epi)catechin dimer isomer 1 | 5.41 | C30H25O11− | 561.14026 | 561.13376 | 6.50 | 125.02296(60), 205.04771(12), 245.07893(37), 273.07440(24), 289.06839(100), 407.07126(27) | [35] |
| 26 | A-type proanthocyanidin dimer | 5.34 | C30H23O12− | 575.11950 | 575.11292 | 6.58 | 125.02303(100), 243.02762(34), 287.05292(37), 307.05801(31), 309.03674(38), 407.07257(40) | N/A |
| 27 | B-type proanthocyanidin dimer | 5.69 | C30H25O12− | 577.13518 | 577.12758 | 7.60 | 125.02299(100), 161.02246(23), 245.07916(22), 273.03769(6), 289.06839(70), 407.07184(54) | [34] |
| 28 | (Epi)catechin vanillate | 5.72 | C23H19O9− | 439.10346 | 439.09776 | 5.70 | 125.02316(19), 149.02272(20), 167.03304(34), 205.04834(10), 245.07855(35), 289.06830(100) | N/A |
| 29 | B-type proanthocyanidin trimer isomer 2 | 5.81 | C45H37O18− | 865.19856 | 865.18895 | 9.61 | 125.02298(100), 161.02254(30), 243.02711(32), 287.05249(18), 289.06839(38), 407.07162(47) | [34] |
| 30 | (Epi)afzelechin-(epi)catechin dimer isomer 2 | 5.98 | C30H25O11− | 561.14024 | 561.13407 | 6.17 | 125.02304(63), 203.06976(20), 245.07814(42), 273.07507(15), 289.06818(100), 407.07208(29) | [35] |
| 31 | (Epi)catechin gallate | 6.41 | C22H17O10− | 441.08272 | 441.07726 | 5.46 | 125.02316(22), 169.01233(100), 245.07835(15), 289.06854(39) | [36] |
| 32 | (Epi)afzelechin-(epi)catechin dimethyl-gallate | 6.61 | C39H33O15− | 741.18251 | 741.17498 | 7.53 | 125.02348(38), 161.02313(38), 179.03326(45), 245.07938(33), 257.04230(19), 289.06891(100) | N/A |
| Flavonoid glycosides | ||||||||
| 33 | Kaempferol 3-O-pentoside | 5.44 | C20H17O10− | 417.08272 | 417.07734 | 5.38 | 284.02921(100), 285.03711(35) | [37] |
| 34 | Eriodictyol 7-O-hexoside | 5.70 | C21H21O11− | 449.10894 | 449.10337 | 5.57 | 178.99724(19), 259.05829(100), 269.04239(77), 287.05289(39) | [26] |
| 35 | Quercetin 3-O-hexoside | 6.25 | C21H19O12− | 463.08820 | 463.08188 | 6.32 | 151.00209(6), 300.02432(100), 301.03287(48) | [28] |
| 36 | Apigenin 7-O-hexuronide | 6.64 | C21H17O11− | 445.07764 | 445.07220 | 5.43 | 113.02303(16), 269.04230(100) | [28] |
| 37 | Naringenin 7-O-hexoside | 6.64 | C21H21O10− | 433.11402 | 433.10858 | 5.44 | 151.00197(14), 271.05801(100) | [33] |
| Flavonoid aglycones | ||||||||
| 38 | Eriodictyol | 7.15 | C15H11O6− | 287.05611 | 287.05283 | 3.28 | 125.02319(4), 135.04367(75), 151.00195(100) | [38] |
| 39 | Kaempferol | 7.21 | C15H9O6− | 285.04046 | 285.03722 | 3.24 | 151.00171(2), 285.03732(100) | [6] |
| 40 | Quercetin | 7.21 | C15H9O7− | 301.03538 | 301.03183 | 3.54 | 151.00201(8), 178.99640(5), 301.03174(100) | [26] |
| 41 | Naringenin | 7.57 | C15H11O5− | 271.06120 | 271.05802 | 3.18 | 107.01285(13), 119.04899(42), 151.00195(100), 177.01779(12), 271.05826(60) | [26] |
| Lignans | ||||||||
| 42 | Akequintoside A | 5.92 | C25H31O11− | 507.18719 | 507.18089 | 6.30 | 125.02307(20), 161.04350(24), 312.09692(21), 327.12024(100), 357.12720(22), 375.13983(18) | [39] |
| 43 | Hydroxypinoresinol hexoside | 6.09 | C26H31O12− | 535.18210 | 535.17537 | 6.73 | 151.03851(23), 163.03841(16), 179.07057(20), 181.04869(100), 313.10394(20), 343.11493(80) | [40] |
| 44 | Isolariciresinol pentoside (Schizandriside) | 6.41 | C25H31O10− | 491.19227 | 491.18619 | 6.08 | 179.06958(10), 326.11465(11), 341.13544(18), 344.12167(36), 359.14572(100), 476.16541(11) | N/A |
| Triterpenoids | ||||||||
| 45 | Rosamultin + HCOOH | 7.63 | C37H59O12− | 695.40124 | 695.39264 | 8.60 | 469.32675(9), 487.33685(100) | [41] |
| 46 | Fulgic acid A | 7.70 | C30H47O5− | 487.34290 | 487.33609 | 6.81 | 443.34750(3), 467.31134(5), 469.32645(30), 487.33652(100) | [35] |
| 47 | Potentillanoside E | 7.94 | C37H57O12− | 693.38555 | 693.37751 | 8.04 | 441.33197(36), 442.33533(100), 443.34079(2) | [41] |
| 48 | Potentillanoside A | 8.20 | C36H55O10− | 647.38007 | 647.37288 | 7.19 | 467.31131(11), 485.32126(100) | [41] |
| 49 | Dihydroxyolean-12-en-28-oic acid hexoside | 8.52 | C36H57O9− | 633.40081 | 633.39202 | 8.79 | 453.33130(7), 471.34201(100), 472.34573(5) | [41] |
| 50 | Rubuside A | 8.54 | C36H55O9− | 631.38516 | 631.37694 | 8.22 | 469.32651(100), 470.33093(4), | [41] |
| 51 | Ursolic acid deriv. hexoside | 8.70 | C37H59O11− | 679.40629 | 679.39877 | 7.52 | 471.34213(100) | [41] |
| 52 | Fulgic acid B | 9.09 | C30H47O5− | 487.34290 | 487.33689 | 6.01 | 425.33777(4), 469.32666(26), 487.33728(100) | [35] |
| 53 | Rosamultic acid | 9.63 | C30H45O5− | 485.32720 | 485.32104 | 6.16 | 423.32120(7), 441.33212(4), 467.31094(39), 485.32104(100) | [41] |
| 54 | Coumaroyl-tormentic acid | 10.03 | C39H53O7− | 633.37970 | 633.37238 | 7.32 | 119.04929(4), 145.02785(19), 163.03804(8), 589.38367(10), 615.36243(9), 633.37238(100) | [42] |
| 55 | Hyptadienic acid | 10.11 | C30H45O4− | 469.33233 | 469.32676 | 5.58 | 377.31641(4), 407.32709(7), 425.33566(3), 451.31641(33), 469.32684(100) | [43] |
| 56 | Ursolic acid | 11.24 | C30H47O3− | 455.35307 | 455.34764 | 5.43 | 279.22928(2), 397.22131(3), 455.34799(100) | [35] |
| Other metabolites | ||||||||
| 57 | Citric acid | 0.64 | C6H7O7− | 191.01970 | 191.01864 | 1.06 | 111.00748(100), 129.01793(9), 191.01868(9) | [43] |
| 58 | Brevifolincarboxylic acid | 5.28 | C13H7O8− | 291.01464 | 291.01134 | 3.30 | 175.03841(2), 203.03430(2), 247.02203(100) | [26] |
| 59 | Methyl brevifolincarboxylate | 5.98 | C14H9O8− | 305.03029 | 305.02661 | 3.68 | 217.01242(6), 245.0074(13), 273.00095(100) | [26] |
| 60 | Trihydroxystilbene hexoside | 6.21 | C20H21O8− | 389.12419 | 389.11885 | 5.34 | 227.06868(100) | [44] |
| 61 | Ethyl brevifolincarboxylate | 6.39 | C15H11O8− | 319.04594 | 319.04226 | 3.68 | 217.01175(4), 229.01215(3), 245.00627(14), 273.00085(100), 319.04208(10) | [43] |
| 62 | Phloridzin | 6.76 | C21H23O10− | 435.12967 | 435.12466 | 5.01 | 167.03310(92), 273.07364(100) | [33] |
| 63 | Phloretin | 7.60 | C15H13O5− | 273.07685 | 273.07352 | 3.32 | 123.04387(20), 125.02297(11), 167.03314(100), 273.07407(29) | [45] |
N/A—not available.
3.2. Efficacy of Tormentillae rhizoma Extract for Imparting Bioactive Properties and Coloration to Fabrics
The previously discussed findings on the excellent antioxidant and antibacterial activities of Tormentillae rhizoma extract, along with the established positive correlation between them and the anti-inflammatory activity of different bioactive compounds [46,47] suggest the potential application of the extract in the treatment of skin disorders. Therefore, the primary objective of this study is to develop bioactive fabrics functionalized with Tormentillae rhizoma extract that can be utilized in medical applications, especially as wound dressings. The efficacy of the extract for functionalizing, i.e., imparting bioactive properties to two natural fabrics (cotton—CO and wool—WO), one synthetic fabric (polyamide—PA), and cellulose acetate—CA fabric was evaluated through the determination of the fabrics’ antioxidant and antibacterial activities. Before discussing the fabric bioactivity, it is important to highlight that changes in the fabrics’ surface morphology and chemistry were evaluated upon the functionalization with Tormentillae rhizoma extract, using FE-SEM and ATR-FTIR analyses, respectively (Supplementary Material).
Fabric antioxidant activity plays a crucial role in wound care since the wound dressings frequently come into contact with body fluids and tissues, where oxidative stress caused by excessive ROS can impede the healing process [48]. Figure 2 compares the antioxidant activity of the studied fabrics before and after functionalization. The results elucidate that untreated natural fabrics, CO and WO, exhibited moderate antioxidant activity of 69.64% and 66.43%, respectively, while synthetic fabric, PA, demonstrated the lowest ABTS radical scavenging ability, accounting for 13.46%. The in vitro antioxidant assay results showed that, after functionalization with Tormentillae rhizoma extract, all fabrics possessed an excellent ability to trap free oxygen radicals, resulting in the inhibition of almost all ABTS radicals present in testing solutions. Specifically, CO + Extract, WO + Extract, PA + Extract, and CA + Extract demonstrated antioxidant activities of 99.40%, 99.55%, 95.78%, and 90.12% (Figure 2), respectively. According to Comino-Sanz et al. [49] and So et al. [50], extract compounds like phenols and flavonoids, which are also found in Tormentillae rhizoma extract (Table 1), are responsible for the remarkably high efficacy in scavenging free radicals. Yan et al. [51] proposed a mechanism underlying the antioxidant activity of tea polyphenols once they enter the animal body, which includes several processes: the increase in activity of antioxidant enzymes, the inhibition of lipid peroxidation, the scavenging of free radicals in synergy with other nutrients, and the reduction of oxidation via chelation of metal ions.
Figure 2.
Antioxidant activity of the studied fabrics before and after the functionalization with Tormentillae rhizoma extract.
Despite the availability of a diverse range of commercial wound dressings, many conventional options (like medical products made of gauze and cotton) exhibit significant limitations, such as a high susceptibility to infection. Wound infection is the most common and dangerous complication, disrupting and prolonging the healing process and potentially leading to sepsis or, ultimately, the amputation of affected body parts [52]. It is well known that various factors contribute to wound infection, with bacterial microorganisms being the most prevalent [53]. Therefore, to fulfill the requirements of advanced wound dressings, in addition to previously confirmed excellent antioxidant activity (Figure 2), functionalized fabrics should also demonstrate outstanding antibacterial activity.
The antibacterial activity of all examined fabrics was assessed against both a Gram-negative bacterium, E. coli, and a Gram-positive bacterium, S. aureus. The in vitro results, presented in Table 2, indicate that before functionalization with Tormentillae rhizoma extract, the CO, WO, PA, and CA fabrics did not demonstrate antibacterial activity against the tested bacteria. Conversely, their functionalized counterparts, Co + Extract, WO + Extract, and PA + Extract are characterized by excellent antibacterial efficacy (>99%) against E. coli and S. aureus. CA + Extract exhibited limited antibacterial activity, showing only 34.70% efficacy against S. aureus and no observable activity against E. coli. The findings of this section are of exceptional importance, as the superior antibacterial activity of Co + Extract, WO + Extract, and PA + Extract is essential for preventing infections, potentially reducing the need for antibiotics in wound therapy, promoting faster healing, and reducing healthcare costs.
Table 2.
Antibacterial activity of fabrics before and after functionalization with Tormentillae rhizoma extract.
It is common knowledge that wound dressings may possess intrinsic wound-healing properties and/or serve as support for the release of bioactive compounds [54]. This study specifically focused on investigating the ability of Co + Extract, Wo + Extract, PA + Extract, and CA + Extract to release bioactive compounds, which is a vital feature that complements their excellent antioxidant and/or antibacterial activities. Precisely, the release of antioxidant compounds can neutralize free radicals, thereby reducing oxidative stress and promoting a healthier wound environment. On the other hand, the release of antibacterial compounds is essential for preventing and managing infections, thus creating an optimal environment for tissue repair.
In light of the preceding discussion, the time-dependent release of bioactive compounds from functionalized fabrics in physiological saline solution (simulating body fluids) is depicted in Figure 3. Over 24 h, the release of bioactive compounds followed this order: CA + Extract < PA + Extract < CO + Extract < WO + Extract. It seems this is the right place to mention that exactly the lowest ability of CA + Extract to release bioactive compounds in saline solution contributed to its low antibacterial activity against S. aureus and no bacterial activity against E. coli (Figure 3d and Table 2). On the other hand, WO + Extract exhibits a superior ability to release the bioactive compounds within a short timeframe, which is an important requirement for effective wound dressings [55]. Considering the results for fabric antioxidant and antibacterial activities (Figure 2 and Table 2, respectively) as well as the release of bioactive compounds (Figure 3), WO + Extract fabric was identified as the most suitable wound dressing for preclinical investigation on Wistar albino rats. However, it is important to note that the other two fabrics, CO + Extract and PA + Extract, can serve as protective fabrics for people with sensitive skin prone to wounds, face masks, and a variety of healthcare and hygiene products for hospital use [56].

Figure 3.
Time-dependent release of bioactive compounds from: CO + Extratct, WO + Extract, PA + Extract, and CA + Extract.
Based on the aforementioned findings, particularly the superior capability of the WO + Extract fabric to release bioactive compounds, this material was identified as the most suitable candidate for preclinical evaluation in a wound-healing model using Wistar albino rats. To evaluate the non-cytotoxic nature of the WO + Extract fabric, a cytotoxicity test was conducted using human keratinocytes (HaCaT), the predominant cell type in the epidermis. Fabric extracts were prepared by immersing the fabric (10 mg/mL) in RPMI medium at 37 °C for 72 h under dynamic conditions. Cell viability following exposure to extracts of various concentrations was assessed using the standard MTT assay. The results presented in Figure 4 indicate that cell viability exceeded 80% across all concentrations tested (100%, 50%, 25%, and 12.5%) of WO + Extract fabric extract, with no significant reduction in viability observed. These findings suggest the non-cytotoxic nature of the WO + Extract fabric, as cell viability consistently surpassed the 80% threshold required for non-cytotoxicity, as per ISO 10993-5:2009 standard [57]. Therefore, the WO + Extract fabric holds promise for safe application in various fields, including potential use as a wound dressing material.
Figure 4.
Cytotoxicity effect of fabric’s WO + Extract extract on a HaCaT cell line, and survival rate compared to the control (untreated cells) that was arbitrarily set to 100%.
When examining the appearance of fabrics functionalized with Tormentillae rhizoma extract (Figure 5), it is clear that the extract imparts beige to light brown shades, which vary depending on the fabric type (i.e., the presence of functional groups capable of interacting with the extract’s compounds through different mechanisms) [58]. The extract coloration originates primarily from the presence of flavonoids (like yellow-colored quercetin and kaempferol) and tannins (including proanthocyanidins, with colors ranging from deep rose-red to light red [59], and ellagitannins (Table 1), which can also contribute to yellow to brown hues). The coloration properties of functionalized fabrics were assessed by measuring the CIELab color coordinates (L*, a*, and b*). The results presented in Figure 5 and Table 3 revealed that WO + Extract displays the darkest, reddest, and yellowest appearance (indicated by the lowest L* and the highest a* and b* values) compared to the other functionalized fabrics. In contrast, fabric CA + Extract exhibits the lightest and greenest tonality (signified by the highest L* value and the lowest a* value).
Figure 5.
Appearance of fabrics functionalized with Tormentillae rhizoma extract.
Table 3.
Color coordinates (L*, a*, and b*) of functionalized fabrics.
3.3. In Vivo Evaluation of WO and WO + Extract as Wound Dressings
In the current paper, in vivo studies were performed on Wistar albino rats to provide real-time information on the dependence of wound healing on treatment type and duration. To visualize the wound-healing process, the wounds’ photographs at 0, 7th, and 14th day of the various treatments are shown in Figure 6. The untreated wound and a wound treated daily with 1% silver sulfadiazine served as negative control (NC) and positive control (PC), respectively. Additionally, during the 14-day protocol, wool fabric (WO) and wool fabric functionalized with Tormentillae rhizoma extract (WO + Extract, characterized by the excellent antioxidant and antibacterial activities as well as the highest release of bioactive compounds, Figure 2 and Figure 3, Table 2) were changed daily. Photographs of skin wound areas indicated that wound contraction increased over time across all four groups of rats, which aligns with the percentage of wound-healing rates determined on the 7th and 14th day, Figure 6.
Figure 6.
Impact of NC, PC, WO, and WO + Extract on wound repair in the excision wound model.
Considering wound contraction among different experimental groups of rats, it is obvious that, compared to the wounds in the NC and WO groups, the topical administration of WO + Extract led to a remarkable reduction in wound area by the 7th day, Figure 6. Quantitative analysis revealed that on the 7th day, the wounds in the PC group of rats exhibited almost similar healing rates to those in the WO + Extract group, 84.22% vs. 87.22%, Figure 7. A similar trend was observed at the end of the experimental protocol, with wound-healing rates of 64.20%, 94.44%, 67.80%, and 95.54% for the NC, PC, WO, and WO + Extract groups of rats, respectively. Statistical analysis pointed out that irrespective of the observation day, the percentages of wound healing in the PC and WO + Extract groups were significantly higher than in the NC and WO groups. It should be stressed that wound contraction achieved after 14 days of treatment with WO + Extract represents an essential indicator of an adequate epithelialization process and reflects optimal regeneration of disrupted skin integrity [60]. This outcome is expected and is attributed to the WO + Extract fabric’s ability to controllably release a significant number of bioactive compounds from the extract, Figure 3b. The strong antioxidant and antibacterial potential of bioactive compounds present in Tormentillae rhizoma extract (Table 1) contributes to the reduction of oxidative stress in wounds, promoting their repair, thus making this extract a promising alternative to commercial antibiotics (like silver sulfadiazine) used in wound care protocols [61].
Figure 7.
Wound-healing rate among different experimental groups. a—statistical significance relative to the NC group, c—statistical significance relative to the WO group.
It is well established that the wound-healing rate is closely related to collagen formation, a key protein in connective tissue that serves multiple functions during the wound-healing process, particularly during inflammation and re-epithelialization [62]. Therefore, we decided to determine the hydroxyproline content (Figure 8a) in the granulation tissue of rats, as this biochemical parameter is an indicator of the rate of collagen synthesis [63]. Among all examined groups of rats, the hydroxyproline content in the granulation tissue of rats treated with WO + Extract fabric was the highest, amounting to 7.66 and 8.08 µg/mg dry tissue on the 7th and 14th day, respectively, Figure 8a. These values are significantly higher compared to those found in the NC (2.02 and 2.14 µg/mg dry tissue) and WO (3.35 and 3.66 µg/mg dry tissue) groups of rats, and somewhat higher than those in the PC (6.77 and 7.11 µg/mg dry tissue) group of rats. The elevated hydroxyproline content in tissues of rats belonging to the PC and WO + Extract groups is statistically significant compared to both the NC and WO groups. According to Karas et al. [64], higher hydroxyproline content implies a faster wound-healing rate, while insufficient hydroxyproline can lead to delays in wound closure and compromised tissue repair. This relationship is also evident in the current study, where positive linear correlations of 0.969 and 0.985 were found between the wound-healing rate and hydroxyproline content determined on the 7th and 14th day of investigation, respectively, Figure 8b. In the absence of appropriate data regarding the effect of wound dressings functionalized with Tormentillae rhizoma extract on wound healing, we compare our results with the most analogous findings available in the literature. Namely, Kaltalioglu et al. [6] studied the wound-healing effect of Potentilla erecta L. root methanol extract per se in an animal model and confirmed its effectiveness in the proliferation phase.
Figure 8.
(a) Hydroxyproline content among experimental groups. a—statistical significance relative to the NC group, c—statistical significance relative to the WO group, (b) correlation between wound-healing rate and hydroxyproline content.
In further investigation, tissue redox state parameters such as superoxide dismutase (SOD), catalase (CAT), glutathione (GSH), and thiobarbituric acid reactive substances (TBARS) are considered important indicators of oxidative stress and antioxidant defense mechanisms underlying wound-healing capacity of applied treatments. The antioxidant enzyme SOD catalyzes the dismutation of superoxide radicals, generating hydrogen peroxide and oxygen [65], while CAT further breaks down hydrogen peroxide into water and oxygen [66]. GSH protects cells against oxidative stress by playing an antioxidant role [67]. The last studied tissue redox state parameter, TBARS, indicates lipid peroxidation and is used to assess the level of oxidative damage in tissues; high levels of TBARS suggest increased oxidative stress, which can impair wound healing by damaging cell membranes and other structures.
The tissue redox state parameters presented in Figure 9a,b revealed that the values of SOD and CAT were about 2.0–3.2 times higher both on the 7th and 14th day of the wound treatment with 1% silver sulfadiazine (PC group of rats) and WO + Extract fabric compared to those found in the tissues of NC and WO group of rats. This observation was further confirmed by statistical analysis, which showed the statistically significant highest differences of 3.1 and 3.2 times in the SOD and CAT parameters (measured on the 14th day) between the NC and WO + Extract groups of rats. In contrast, no differences were observed in GSH levels between tissues of different groups of rats; moreover, they remained almost unchanged during the treatment period, Figure 9c. The histogram shown in Figure 9d indicates a significant drop in TBARS in tissues after 14 days of application of WO + Extract compared to non-wounded tissues (NC group of rats) and tissues treated with 1% silver sulfadiazine (PC group of rats) or WO. Precisely, TBARS levels of NC, PC, WO, and WO + Extract groups of rats accounted for 3.28, 2.04, 3.12, and 1.11 µmol/g tissue, respectively.
Figure 9.
Effects of applied NC, PC, WO, and WO + Extract on the tissue redox state parameters: (a) SOD, (b) CAT, (c) GSH, and (d) TBARS. a—statistical significance relative to the NC group, c—statistical significance relative to the WO group.
The discussed levels of tissue redox parameters of wounds treated with WO + Extract fabric appear logical since Tormentillae rhizoma extract contains phenolic compounds, which can decrease oxidative stress by ROS formation and lipid peroxidation [68]. The alleviation of lipid peroxidation (expressed as TBARS) at the wound site directly benefits wound repair [69] by affecting granulation tissue formation, collagen metabolism, angiogenesis, as well as epithelialization [70]. It should be noted that the non-wounded tissues of rats (NC), characterized by the lowest levels of SOD and CAT and the highest level of TBARS compared to the other three studied groups, indicate that the wounds of rats in NC have a lower antioxidant status and increased oxidative damage, which slows healing [71]. This part of the study confirmed that the application of WO + Extract, which exerts valuable antioxidant activity, contributes to rapid wound closure and represents a valuable approach in the management of non-healing wounds [6].
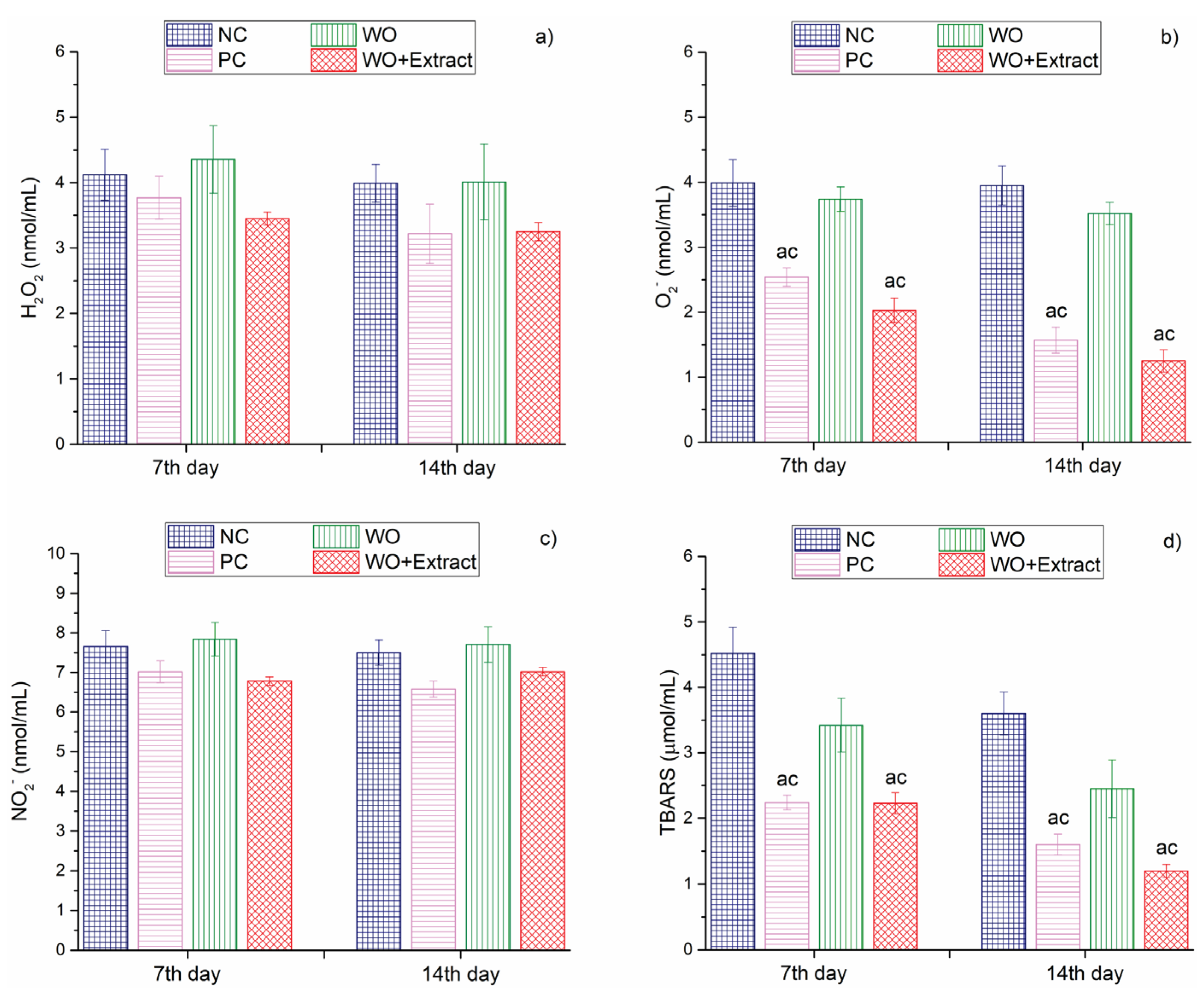
In parallel with the determination of tissue redox state parameters, blood samples were collected to determine the systemic redox status encompassing parameters of the antioxidative defense system and pro-oxidative markers. The parameters of the antioxidative defense system, including SOD, CAT, and GSH, were assessed in lysate samples. Also, the concentrations of the following pro-oxidative markers were measured in plasma samples: superoxide anion radical (O2−), hydrogen peroxide (H2O2), nitrite ion (NO2−), and the index of lipid peroxidation (measured as thiobarbituric acid-reactive substances, TBARS).
Among the three parameters of the antioxidative defense system (SOD, CAT, and GSH), on 7th day, only SOD activity was significantly elevated in rats subjected to the treatment with 1% silver sulfadiazine (36.56 U/gHb × 103) and WO + Extract (38.44 U/gHb × 103), Figure 10a. The other two parameters, CAT and GSH, determined in the blood samples of rats belonging to the mentioned groups showed only slight increases, Figure 10b,c. However, the situation was somewhat different at the end of the protocol; besides the values of SOD, the values of CAT were significantly elevated in the rats belonging to the PC and WO + Extract groups, which led to the protection of cells in the wound area from oxidative damage, thus reducing the time for wound healing [72]. Precisely, on the 14th day, SOD measured in the blood of rats from NC, PC, WO, and WO + Extract groups accounted for 13.22, 38.22, 17.25, and 40.58 U/gHb × 103, respectively. Similarly, CAT activities of 1.62, 5.22, 2.56, and 5.05 U/gHb × 103 were measured in the NC, PC, WO, and WO + Extract groups of rats at the end of the protocol. It can be stated that the aforementioned positive results of the WO + Extract group of rats were expected, having in mind the already confirmed antioxidant activity of the employed WO + Extract fabric and its good ability to release bioactive compounds, Figure 2 and Figure 3. As anticipated, the results of this section are in line with those presented in Figure 9. High positive correlations of 0.973 and 0.961 were found between SOD measured in the tissue and blood samples on the 7th and 14th day of the treatment, respectively, Figure 10d. These correlation coefficients are lower in the case of CAT, accounting for 0.799 and 0.887, respectively, Figure 10e. The GSH levels in the blood samples, as in tissue samples, are almost the same at the midpoint of the protocol as at the end of it, and do not depend on the wound treatment, Figure 9c and Figure 10c.
Figure 10.
Impact of applied NC, PC, WO, and WO + Extract on the parameters of antioxidative defense system: (a) SOD, (b) CAT, and (c) GSH, (d) correlation between SOD in tissue and blood, and (e) correlation between CAT in tissue and blood. a—statistical significance relative to the NC group, c—statistical significance relative to the WO group.
Considering that oxidative stress occurs when the body generates more pro-oxidants (reactive oxygen and nitrogen species) than antioxidants and that regulation of oxidative stress is crucial in the wound-healing process [72], the last part of the in vivo experiments focuses on evaluating the levels of pro-oxidative markers in the plasma samples. Figure 11 illustrates the effect of the applied treatment and duration on the pro-oxidative markers hydrogen peroxide (H2O2), superoxide anion radical (O2−), nitrite ion (NO2−), and the index of lipid peroxidation (measured as TBARS). Based on the statistical analysis, it can be concluded that the differences in the production of H2O2 and NO2− are minor and statistically insignificant between the different groups of rats; therefore, they were not further discussed. In contrast, a statistically significant reduction in the production of O2− and TBARS on the 7th and 14th day was observed in the plasma samples belonging to PC and WO + Extract groups compared to the NC and WO groups, Figure 11b,d. The lowest values of O2− (2.03 and 1.25 nm/mL on the 7th and 14th day, respectively) and TBARS (2.23 and 1.20 µmol/mL on the 7th and 14th day, respectively) were registered for the WO + Extract group of rats. This indicates that the cutaneous administration of WO + Extract stimulates effective and shorter wound healing by the production of cell-surviving signaling [73]. On the other hand, excessive production of the mentioned pro-oxidative markers observed in the NC and WO groups of rats is typically associated with hindering the healing process by triggering oxidative stress, leading to cell damage and a pro-inflammatory status [74].
Figure 11.
Effect of applied NC, PC, WO, and WO + Extract on the pro-oxidative markers: (a) H2O2, (b) O2−, (c) NO2−, and (d) TBARS. a—statistical significance relative to the NC group; c—statistical significance relative to the WO group.
Previous research findings [48,75] highlight that a moderate level of ROS in the wound-healing process acts protectively by preventing infections and stimulating the growth of blood vessels. Importantly, modulation of redox homeostasis by natural antioxidants can alleviate damage and accelerate wound regeneration, particularly in chronic wounds [76]. The findings of our research indicate that WO + Extract might modulate the pathological role of pro-oxidants, thereby stimulating wound healing and improving clinical outcomes.
The presented in vivo results are compelling evidence for the efficacy of WO + Extract in promoting wound healing. This is demonstrated by accelerated wound closure, enhanced collagen formation, elevated values of tissue redox state parameters like SOD and CAT, as well as a notable reduction in TBARS values, increased values of the parameters of the antioxidant defense system (SOD and CAT), and decreased pro-oxidative markers, including superoxide (O2−) and TBARS. The developed WO + Extract fabric holds substantial promise for patients suffering from chronic wounds. They will experience improvements in their quality of life through the development of more effective treatment modalities that will accelerate the wound-healing process and reduce the risk of infection. Furthermore, this innovation is anticipated to yield substantial reductions in both direct and indirect treatment costs and curtail the frequency of hospital admissions, thereby fostering enhanced healthcare outcomes. Future research should focus on conducting clinical trials to validate WO + Extract efficacy and safety in clinical settings.
4. Conclusions
We successfully developed a unique antioxidant and antibacterial wool fabric with a controlled release of bioactive compounds from Tormentillae rhizoma extract. This innovative functionalized wool fabric has shown remarkable potential in advanced wound management, as evidenced by in vivo experiments conducted on Wistar albino rats. Functionalized wool fabric effectively addresses key challenges in wound care by accelerated wound closure, enhanced collagen formation, elevated values of tissue redox state parameters such as SOD and CAT, along with a significant reduction in TBARS values, increased values of the parameters of the antioxidant defense system (SOD and CAT), and decreased pro-oxidative markers, including superoxide (O2−) and TBARS. Future studies should focus on broad clinical trials to validate the efficacy of wool fabric functionalized with Tormentillae rhizoma extract and integrate it into modern medical protocols.
In addition, when functionalized under the same conditions, cotton and polyamide fabrics exhibited excellent antioxidant (>95%) and antibacterial (>99% against S. aureus and E. coli) activities. Such properties make them highly suitable for protective materials, especially for individuals with sensitive skin prone to wounds. They also hold great promise as face masks and various healthcare and hygiene products for hospital use.
Supplementary Materials
The following supporting information can be downloaded at: https://www.mdpi.com/article/10.3390/textiles5040046/s1, Figure S1: Microphotographs of examined fabrics; Figure S2: ATR-FTIR spectra of the studied fabrics.
Author Contributions
A.I.: Conceptualization, Methodology, Formal analysis, Investigation, Visualization, Writing—original draft preparation. J.B.: Methodology, Formal analysis, Investigation, Writing—original draft preparation. U.G.: Methodology, Formal analysis, Investigation, Writing—original draft preparation, F.N.: Formal analysis, Investigation, K.M.: Formal analysis, Investigation. V.J.: Review and editing. A.P.: Methodology, Formal analysis, Investigation, Writing—original draft preparation, Supervision. All authors have read and agreed to the published version of the manuscript.
Funding
This work was supported by the Ministry of Science, Technological Development and Innovation of the Republic of Serbia (Grant numbers: 451-03-136/2025-03/200287, 451-03-136/2025-03/200111, 451-03-136/2025-03/200007, 451-03-136/2025-03/200135, and 451-03-137/2025-03/200111) and Junior Project of the Faculty of Medical Sciences, University of Kragujevac, Serbia (Grant number number 14/22).
Institutional Review Board Statement
The animal study protocol was approved by the Ethics Committee of the Faculty of Medical Sciences, University of Kragujevac (approval number: 01-12408; approval date: 22 November 2022) for studies involving animals.
Informed Consent Statement
Not applicable.
Data Availability Statement
Data will be made available on request.
Acknowledgments
The authors thank Jelena Lađarević (University of Belgrade, Faculty of Technology and Metallurgy) for the determination of extract and fabric antioxidant activity, Mirjana Reljić (CIS Institut) for measuring the color coordinates of functionalized fabrics, Vukašin Ugrinović and Luka Matović (Innovation Center of the Faculty of Technology and Metallurgy) for recording SEM microphotographs and FTIR spectra of the fabrics, respectively, and Danijel Milinčić (University of Belgrade, Faculty of Agriculture) for help with the extract preparation for LC/MS analysis.
Conflicts of Interest
The authors declare no conflicts of interest.
References
- Panwar, V.; Mondal, B.; Sharma, A.; Murugesan, P.; Arora, M.; Saini, D.; Mandal, D.; Ghosh, D. A self-powered, anti-bacterial, moist-wound dressing made with electroactive free-flowing hydrogel particles, encourage faster wound closure. Chem. Eng. J. 2024, 494, 153063. [Google Scholar] [CrossRef]
- Ruiz, P.B.O.; Lima, A.F.C. Average direct costs of outpatient, hospital, and home care provided to patients with chronic wounds. Rev. Esc. Enferm. USP 2022, 56, e20220295. [Google Scholar] [CrossRef]
- Ma, L.; Zhu, Y.; Wang, L.; Yang, Z.; Li, X.; Chen, M.; Yuan, M.; Li, W.; Ma, X.; Xiong, H.; et al. Multi-form antibacterial dressings based on a deep eutectic supramolecular polymer promote healing of burn wounds through a weakly acidic microenvironment. Chem. Eng. J. 2024, 494, 153153. [Google Scholar] [CrossRef]
- Xu, D.; Feng, Y.; Song, M.; Zhong, X.; Li, J.; Zhu, Z.; Wang, J. Smart and bioactive electrospun dressing for accelerating wound healing. Chem. Eng. J. 2024, 496, 153748. [Google Scholar] [CrossRef]
- Li, W.Z.; Wang, X.Q.; Liu, L.R.; Xiao, J.; Wang, X.Q.; Ye, Y.Y.; Wang, Z.X.; Zhu, M.Y.; Sun, Y.; Stang, P.J.; et al. Supramolecular coordination platinum metallacycle-based multilevel wound dressing for bacteria sensing and wound healing. Proc. Natl. Acad. Sci. USA 2024, 121, e2318391121. [Google Scholar] [CrossRef] [PubMed]
- Kaltalioglu, K.; Balabanli, B.; Coskun-Cevher, S. Phenolic, antioxidant, antimicrobial, and in-vivo wound healing properties of Potentilla erecta L. root extract in diabetic rats. Iran J. Pharm. Res. 2020, 19, 264–274. [Google Scholar] [CrossRef] [PubMed]
- Hoffmann, J.; Casetti, F.; Bullerkotte, U.; Haarhaus, B.; Vagedes, J.; Schempp, C.; Wölfle, U. Antiınflammatory effects of agrimoniin-enriched fractions of Potentilla erecta. Molecules 2016, 21, 792. [Google Scholar] [CrossRef]
- Melzig, M.F.; Böttger, S. Tormentillae rhizoma—Review for an underestimated European herbal drug. Planta Med. 2020, 86, 1050–1057. [Google Scholar] [CrossRef]
- Ivanovic, V.; Surucic, R.; Smitran, A.; Lazic, B.; Janjic, S.; Kostic, M. Eco-friendly functionalization of viscose with bioactive plant extracts. J. Eng. Fiber. Fabr. 2025, 20, 1–14. [Google Scholar] [CrossRef]
- Peng, Y.; Fang, Z.; Pan, S.; Lu, Z.; Ludo, S. In situ synthesis of cuprous oxide with Honeysuckle extract for developing durable antimicrobial cotton fabric. Fibers. Polym. 2025, 26, 2879–2890. [Google Scholar] [CrossRef]
- Alali, I.; Abdelaziz, M.A.; Almarri, A.H.; Eledum, H.; Mohamed, E.I.; Omer, N.; Jame, R.; Alalawy, A.I.; Althaqafy, A.D.; Khalil, S.A. Multifunctional cotton wound dressings enhanced with bitter apple fruit extract-loaded solid lipid nanoparticles for antimicrobial, antioxidant, and anticancer activities. Int. J. Biol. Macromol. 2025, 319, 145529. [Google Scholar] [CrossRef]
- Ivanovska, A.; Savić, I.; Vunduk, J.; Lađarević, J.; Reljić, M.; Savić Gajić, I. Evaluation of the potential of Ganoderma lucidum extract for dyeing and imparting protective properties to fabrics of various chemical compositions. Color. Technol. 2025, in press. [CrossRef]
- Stojković, D.; Gašić, U.; Uba, A.I.; Zengin, G.; Rajaković, M.; Stevanović, M.; Drakulić, D. Chemical profiling of Anthriscus cerefolium (L.) Hoffm. biological potential of the herbal extract, molecular modeling and KEGG pathway analysis. Fitoterapia 2024, 177, 106115. [Google Scholar] [CrossRef] [PubMed]
- Pavun, L.; Spasojević, D.; Ivanovska, A.; Lađarević, J.; Milenković, M.; Uskoković-Marković, S. Characterization of tea water extracts and their utilization for dyeing and functionalization of fabrics of different chemical compositions. Maced. J. Chem. Chem. Eng. 2024, 42, 263–273. [Google Scholar] [CrossRef]
- Ivanovska, A.; Milenković, J.; Lađarević, J.; Mihajlovski, K.; Dojčinović, B.; Ugrinović, V.; Škaro Bogojević, S.; Kostić, M. Harnessing the power of green and rooibos tea aqueous extracts for obtaining colored bioactive cotton and cotton/flax fabrics intended for disposable and reusable medical textiles. Cellulose 2024, 31, 9523–9542. [Google Scholar] [CrossRef]
- Ivanovska, A.; Gajić, I.S.; Lađarević, J.; Milošević, M.; Savić, I.; Mihajlovski, K.; Kostić, M. Sustainable Dyeing and Functionalization of Different Fibers Using Orange Peel Extract’s Antioxidants. Antioxidants 2022, 11, 2059. [Google Scholar] [CrossRef]
- Ivanovska, A.; Veljović, S.; Reljić, M.; Lađarević, J.; Pavun, L.; Kostić, M. Closing the loop: Dyeing and adsorption potential of mulberry wood waste. J. Nat. Fibers 2022, 19, 11050–11063. [Google Scholar] [CrossRef]
- ASTM E2149-20; Standard Test Method for Determining the Antimicrobial Activity of Antimicrobial Agents Under Dynamic Contact Conditions. ASTM International: West Conshohocken, PA, USA, 2020.
- AATCC 100-2019; Antibacterial Finishes on Textile Materials. AATCC: Research Triangle Park, NC, USA, 2019.
- Ivanovska, A.; Petrović, A.; Lazarević-Pašti, T.; Ilic-Tomic, T.; Dimić-Mišić, K.; Lađarević, J.; Bradić, J. Development of bioactive cotton, wool, and silk fabrics functionalized with Origanum vulgare L. for healthcare and medical applications: An in vivo study. Pharmaceutics 2025, 17, 856. [Google Scholar] [CrossRef]
- Gul Satar, N.Y.; Cangul, I.T.; Topal, A.; Kurt, H.; Ipek, V.; Onel, G.I. The effects of Tarantula cubensis venom on open wound healing in rats. J. Wound Care 2017, 26, 66–71. [Google Scholar] [CrossRef]
- Andjić, M.; Draginić, N.; Kočović, A.; Jeremić, J.; Vučićević, K.; Jeremić, N.; Krstonošić, V.; Božin, B.; Kladar, N.; Čapo, I.; et al. Immortelle essential oil-based ointment improves wound healing in a diabetic rat model. Biomed. Pharmacother. 2022, 150, 112941. [Google Scholar] [CrossRef]
- Patro, G.; Bhattamisra, S.K.; Mohanty, B.K.; Sahoo, H.B. In vitro and in vivo antioxidant evaluation and estimation of total phenolic, flavonoidal content of Mimosa pudica L. Pharmacogn. Res. 2016, 8, 22–28. [Google Scholar] [CrossRef] [PubMed]
- Bhuyan, U.; Handique, J.G. Chapter 6—Plant polyphenols as potent antioxidants: Highlighting the mechanism of antioxidant activity and synthesis/development of some polyphenol conjugates. In Studies in Natural Products Chemistry; Atta-ur-Rahman, F.R.S., Ed.; Elsevier: Amsterdam, The Netherlands, 2022; pp. 243–266. [Google Scholar]
- Lobiuc, A.; Pavăl, N.-E.; Mangalagiu, I.I.; Gheorghiță, R.; Teliban, G.-C.; Amăriucăi-Mantu, D.; Stoleru, V. Future antimicrobials: Natural and functionalized phenolics. Molecules 2023, 28, 1114. [Google Scholar] [CrossRef] [PubMed]
- Zhang, Y.; Li, J.; Wang, Z.; Wu, J.; Zuo, W.; Liu, L.; Zeng, Y. Extraction of polyphenols from Potentilla fruticosa L. as α-glucosidase inhibitors. CyTA-J. Food. 2023, 21, 514–521. [Google Scholar] [CrossRef]
- Dróżdż, P.; Sentkowska, A.; Pyrzynska, K. Potentilla erecta (L.) rhizomes as a source of phenolic acids. Nat. Prod. Res. 2019, 33, 2128–2131. [Google Scholar] [CrossRef]
- Song, C.; Huang, L.; Rong, L.; Zhou, Z.; Peng, X.; Yu, S.; Fang, N. Anti-hyperglycemic effect of Potentilla discolor decoction on obese-diabetic (Ob-db) mice and its chemical composition. Fitoterapia 2012, 83, 1474–1483. [Google Scholar] [CrossRef]
- Radojević, I.D.; Branković, S.R.; Vasić, S.M.; Ćirić, A.R.; Topuzović, M.D.; Čomić, L.R. Phytochemical profiles, antioxidant and antimicrobial with antibiofilm activities of wild growing Potentilla visianii extracts. Nat. Prod. Commun. 2018, 13, 851–854. [Google Scholar] [CrossRef]
- Augustynowicz, D.; Lemieszek, M.K.; Strawa, J.W.; Wiater, A.; Tomczyk, M. Phytochemical profiling of extracts from rare Potentilla species and evaluation of their anticancer potential. Int. J. Mol. Sci. 2023, 24, 4836. [Google Scholar] [CrossRef]
- Fecka, I.; Kucharska, A.Z.; Kowalczyk, A. Quantification of tannins and related polyphenols in commercial products of tormentil (Potentilla tormentilla). Phytochem. Anal. 2015, 26, 353–366. [Google Scholar] [CrossRef]
- Zhang, B.; He, Z.-L.; Jiang, L.; Kuang, W.-M.; Liu, J.; Sun, X.; Li, Y.-J.; Li, Y. Chemical constituents from Potentilla kleiniana and their chemotaxonomic significance. Biochem. Syst. Ecol. 2023, 111, 104740. [Google Scholar] [CrossRef]
- Yang, D.; Wang, L.; Zhai, J.; Han, N.; Liu, Z.; Li, S.; Yin, J. Characterization of antioxidant, α-glucosidase and tyrosinase inhibitors from the rhizomes of Potentilla anserina L. and their structure-activity relationship. Food Chem. 2021, 336, 127714. [Google Scholar] [CrossRef]
- Mirzaei, H.; Jekő, J.; Cziáky, Z.; Jahanshahi, M.; Zengin, G.; Enayati, A. LC–MS/MS phytochemical profiling, antioxidant activity, and enzyme inhibitory of Potentilla reptans L. root: Computational studies and experimental validation. Process Biochem. 2024, 137, 30–40. [Google Scholar] [CrossRef]
- Choudhary, A.; Radhika, M.; Chatterjee, A.; Banerjee, U.C.; Singh, I.P. Qualitative and quantitative analysis of Potentilla fulgens roots by NMR, matrix-assisted laser desorption/ionisation with time-of-flight MS, electrospray ionisation MS/MS and HPLC/UV. Phytochem. Anal. 2015, 26, 161–170. [Google Scholar] [CrossRef] [PubMed]
- Cheng, D.; Wang, P.; Huang, J.; Yang, B.; Ma, M.; Yu, P.; Zeng, Z.; Gong, D.; Deng, S. Antioxidant, antidiabetic and identification of phenolic constituents from Potentilla discolor Bge. Eur. Food. Res. Technol. 2020, 246, 2007–2016. [Google Scholar] [CrossRef]
- Du, M.; Sun, Z.; Xie, M.; Gu, S.; Chena, Y.; Wang, Q. A new method for rapid identification of traditional Chinese medicine based on a new silver sol: Using the SERS spectrum for quality control of flavonoids and flavonoid glycosides in Potentilla discolor Bge. J. Mater. Chem. C 2023, 11, 15138–15148. [Google Scholar] [CrossRef]
- Wollenweber, E.; Dörr, M. Flavonoid aglycones from the lipophilic exudates of some species of Rosaceae. Biochem. Syst. Ecol. 2008, 36, 481–483. [Google Scholar] [CrossRef]
- Wang, W.; Ma, X.-J.; Su, Y.-F.; Gao, Z.-J.; Qin, T.; Gao, B.; Guo, D.-A. Two new neolignans and one new benzyl benzoate glycoside from Potentilla discolor. Phytochem. Lett. 2020, 39, 25–29. [Google Scholar] [CrossRef]
- Jia, L.; Wang, J.; Lv, C.; Xu, T.; He, L.; Dong, Y.; Lu, J. Two new compounds from Potentilla multicaulis Bunge. Nat. Prod. Res. 2013, 27, 1361–1365. [Google Scholar] [CrossRef]
- Wu, J.; Zhang, Z.-Q.; Zhou, X.-D.; Yao, Q.-Y.; Chen, Z.-L.; Chu, L.-L.; Yu, H.-H.; Yang, Y.-P.; Li, B.; Wang, W. New terpenoids from Potentilla freyniana Bornm. and their cytotoxic activities. Molecules 2022, 27, 3665. [Google Scholar] [CrossRef]
- Han, J.S.; Kim, J.G.; Phuong, T.; Le, L.; Cho, Y.B.; Lee, M.K.; Hwang, B.Y. Pentacyclic triterpenes with nitric oxide inhibitory activity from Potentilla chinensis. Bioorg. Chem. 2021, 108, 104659. [Google Scholar] [CrossRef]
- Wu, X.-H.; Ruan, J.-L.; Cai, Y.-L. Triterpenes from the rhizomes of Potentilla freyniana. Biochem. Syst. Ecol. 2009, 37, 509–511. [Google Scholar] [CrossRef]
- Li, R.; Zhou, Y.; Yang, L.; Jiang, Z. Determination of flavonoids from Potentilla freyninan by HPLC-MS/MS. Food. Sci. 2013, 14, 263–266. [Google Scholar] [CrossRef]
- Hoffmann, T.; Friedlhuber, R.; Steinhauser, C.; Tittel, I.; Skowranek, K.; Schwab, W.; Fischer, T.C. Histochemical screening, metabolite profiling and expression analysis reveal Rosaceae roots as the site of flavan-3-ol biosynthesis. Plant Biol. 2021, 14, 33–40. [Google Scholar] [CrossRef] [PubMed]
- Maksimovic, S.; Stankovic, M.; Roganovic, S.; Nesic, I.; Zvezdanovic, J.; Tadic, V.; Zizovic, I. Towards a modern approach to traditional use of Helichrysum italicum in dermatological conditions: In vivo testing supercritical extract on artificially irritated skin. J. Ethnopharmacol. 2023, 301, 115779. [Google Scholar] [CrossRef] [PubMed]
- El-Sherbeni, S.A.; Negm, W.A. The wound healing effect of botanicals and pure natural substances used in in vivo models. Inflammopharmacology 2023, 31, 755–772. [Google Scholar] [CrossRef]
- Wang, G.; Yang, F.; Zhou, W.; Xiao, N.; Luo, M.; Tang, Z. The initiation of oxidative stress and therapeutic strategies in wound healing. Biomed. Pharmacother. 2023, 157, 114004. [Google Scholar] [CrossRef]
- Comino-Sanz, I.M.; López-Franco, M.D.; Castro, B.; Pancorbo-Hidalgo, P.L. The role of antioxidants on wound healing: A Review of the current evidence. J. Clin. Med. 2021, 13, 3558. [Google Scholar] [CrossRef]
- So, V.; Poul, P.; Oeung, S.; Srey, P.; Mao, K.; Ung, H.; Eng, P.; Heim, M.; Srun, M.; Chheng, C.; et al. Bioactive compounds, antioxidant activities, and HPLC analysis of nine edible sprouts in Cambodia. Molecules 2023, 28, 2874. [Google Scholar] [CrossRef]
- Yan, Z.; Zhong, Y.; Duan, Y.; Chen, Q.; Li, F. Antioxidant mechanism of tea polyphenols and its impact on health benefits. Anim. Nutr. 2020, 6, 115–123. [Google Scholar] [CrossRef]
- Pang, Q.; Yang, F.; Jiang, Z.; Wu, K.; Hou, R.; Zhu, Y. Smart wound dressing for advanced wound management: Real-time monitoring and on-demand treatment. Mater. Des. 2023, 229, 111917. [Google Scholar] [CrossRef]
- Petkovska, J.; Geskovski, N.; Marković, D.; Dimova, V.; Mirakovski, D.; Radetić, M.; Jordanov, I. Chitosan-pectin multilayer coating with anthocyanin grape dye as pH indicating wound dressing: Synthesis and characterization. Carbohyd. Polym. Tech. 2024, 7, 100438. [Google Scholar] [CrossRef]
- Georgescu, M.; Chifiriuc, M.C.; Marutescu, L.; Gheorghe, I.; Lazar, V.; Bolocan, A.; Bertesteanu, S. Bioactive wound dressings for the management of chronic wounds. Curr. Org. Chem. 2017, 21, 53–63. [Google Scholar] [CrossRef]
- Marković, D.; Ašanin, J.; Nunney, T.; Radovanović, Ž.; Radoičić, M.; Mitrić, M.; Mišić, D.; Radetić, M. Broad spectrum of antimicrobial activity of cotton fabric modified with oxalic acid and CuO/Cu2O nanoparticles. Fibers Polym. 2019, 20, 2317–2325. [Google Scholar] [CrossRef]
- Korica, M.; Peršin, Z.; Fras Zemljič, L.; Mihajlovski, K.; Dojčinović, B.; Trifunović, S.; Vesel, A.; Nikolić, T.; Kostić, M.M. Chitosan nanoparticles functionalized viscose fabrics as potentially durable antibacterial medical textiles. Materials 2021, 14, 3762. [Google Scholar] [CrossRef] [PubMed]
- ISO 10993-5:2009; Biological Evaluation of Medical Devices—Part 5: Tests for In Vitro Cytotoxicity. International Organization for Standardization (ISO): Geneva, Switzerland, 2009.
- Ivanovska, A.; Savić Gajić, I.; Mravik, Ž.; Reljić, M.; Ilić-Tomić, T.; Savić, I.; Luxbacher, T.; Lađarević, J. Transforming discarded walnut green husk into a resource of valuable compounds for colored bioactive textiles with a focus on circular economy concept. Dyes Pigment. 2024, 231, 112406. [Google Scholar] [CrossRef]
- Qi, Q.; Chu, M.; Yu, X.; Xie, Y.; Li, Y.; Du, Y.; Liu, X.; Zhang, Z.; Shi, J.; Yan, N. Anthocyanins and proanthocyanidins: Chemical structures, food sources, bioactivities, and product development. Food Rev. Int. 2022, 39, 4581–4609. [Google Scholar] [CrossRef]
- Levinson, H. A paradigm of fibroblast activation and dermal wound contraction to guide the development of therapies for chronic wounds and pathologic scars. Adv. Wound. Care 2013, 2, 149–159. [Google Scholar] [CrossRef]
- Fitzpatrick, P.F. Structural insights into the regulation of aromatic amino acid hydroxylation. Curr. Opin. Struct. Biol. 2015, 35, 1–6. [Google Scholar] [CrossRef]
- Guimarães, I.; Baptista-Silva, S.; Pintado, M.L.; Oliveira, A. Polyphenols: A promising avenue in therapeutic solutions for wound care. Appl. Sci. 2021, 11, 1230. [Google Scholar] [CrossRef]
- Mathew-Steiner, S.S.; Roy, S.; Sen, C.K. Collagen in wound Healing. Bioengineering 2021, 8, 63. [Google Scholar] [CrossRef]
- Karas, R.A.; Alexeree, S.; Elsayed, H.; Attia, Y.A. Assessment of wound healing activity in diabetic mice treated with a novel therapeutic combination of selenium nanoparticles and platelets rich plasma. Sci. Rep. 2024, 14, 5346. [Google Scholar] [CrossRef]
- Younus, H. Therapeutic potentials of superoxide dismutase. Int. J. Health Sci. 2018, 12, 88–93. [Google Scholar]
- Wang, Y.; Branicky, R.; Noë, A.; Hekimi, S. Superoxide dismutases: Dual roles in controlling ROS damage and regulating ROS signaling. J. Cell Biol. 2018, 217, 1915–1928. [Google Scholar] [CrossRef]
- Song, J.; Kang, S.M.; Lee, W.T.; Park, K.A.; Lee, K.M.; Lee, J.E. Glutathione protects brain endothelial cells from hydrogen peroxide-induced oxidative stress by increasing nrf2 expression. Exp. Neurobiol. 2014, 23, 93–103. [Google Scholar] [CrossRef] [PubMed]
- Kim, T.; Song, B.; Cho, K.S.; Lee, I.S. Therapeutic potential of volatile terpenes and terpenoids from forests for inflammatory diseases. Int. J. Mol. Sci. 2020, 21, 2187. [Google Scholar] [CrossRef] [PubMed]
- Feng, J.; Wang, J.; Wang, Y.; Huang, X.; Shao, T.; Deng, X.; Cao, Y.; Zhou, M.; Zhao, C. Oxidative stress and lipid peroxidation: Prospective associations between ferroptosis and delayed wound healing in diabetic ulcers. Front. Cell Dev. Biol. 2022, 10, 898657. [Google Scholar] [CrossRef] [PubMed]
- Ahmad, S.U.; Binti Aladdin, N.A.; Jamal, J.A.; Shuid, A.N.; Mohamed, I.N. Evaluation of wound-healing and antioxidant effects of Marantodes pumilum (Blume) Kuntze in an excision wound model. Molecules 2021, 26, 228. [Google Scholar] [CrossRef]
- Rasik, A.M.; Shukla, A. Antioxidant status in delayed healing type of wounds. Int. J. Exp. Pathol. 2000, 81, 257–263. [Google Scholar] [CrossRef]
- Nikolic, M.; Andjic, M.; Bradic, J.; Kocovic, A.; Tomovic, M.; Samanovic, A.M.; Jakovljevic, V.; Veselinovic, M.; Capo, I.; Krstonosic, V.; et al. Topical application of siberian pine essential oil formulations enhance diabetic wound healing. Pharmaceutics 2023, 15, 2437. [Google Scholar] [CrossRef]
- Cano, S.M.; Lancel, S.; Boulanger, E.; Neviere, R. Targeting oxidative stress and mitochondrial dysfunction in the treatment of impaired wound healing: A systematic review. Antioxidants 2018, 7, 98. [Google Scholar] [CrossRef]
- Ponugoti, B.; Xu, F.; Zhang, C.; Tian, C.; Pacios, S.; Graves, D.T. FOXO1 promotes wound healing through the up-regulation of TGF-beta1 and prevention of oxidative stress. J. Cell Biol. 2013, 203, 327–343. [Google Scholar] [CrossRef]
- Dunnill, C.; Patton, T.; Brennan, J.; Barrett, J.; Dryden, M.; Cooke, J.; Leaper, D. Reactive oxygen species (ROS) and wound healing: The functional role of ROS and emerging ROS-modulating technologies for augmentation of the healing process. Int. Wound J. 2017, 14, 89–96. [Google Scholar] [CrossRef]
- Qiu, X.; Wu, Y.; Zhang, D.; Zhang, H.; Yu, A.; Li, Z. Roles of oxidative stress and raftlin in wound healing under negative-pressure wound therapy. Clin. Cosmet. Investig. Dermatol. 2021, 14, 1745–1753. [Google Scholar] [CrossRef]
Disclaimer/Publisher’s Note: The statements, opinions and data contained in all publications are solely those of the individual author(s) and contributor(s) and not of MDPI and/or the editor(s). MDPI and/or the editor(s) disclaim responsibility for any injury to people or property resulting from any ideas, methods, instructions or products referred to in the content. |
© 2025 by the authors. Licensee MDPI, Basel, Switzerland. This article is an open access article distributed under the terms and conditions of the Creative Commons Attribution (CC BY) license (https://creativecommons.org/licenses/by/4.0/).











