Next Issue
Volume 6, March
Previous Issue
Volume 5, September
 
 

Textiles, Volume 5, Issue 4 (December 2025) – 32 articles

  • Issues are regarded as officially published after their release is announced to the table of contents alert mailing list.
  • You may sign up for e-mail alerts to receive table of contents of newly released issues.
  • PDF is the official format for papers published in both, html and pdf forms. To view the papers in pdf format, click on the "PDF Full-text" link, and use the free Adobe Reader to open them.
Order results
Result details
Select all
Export citation of selected articles as:
21 pages, 3790 KB  
Article
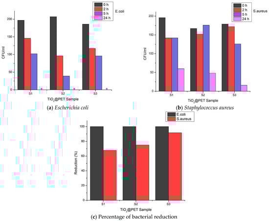
Surface Engineering of PET Fabrics with TiO2 Nanoparticles for Enhanced Antibacterial and Thermal Properties in Medical Textiles
by Muhammad Zaman Khan, Azam Ali, Hadi Taghavian, Jakub Wiener, Jiri Militky and Dana Křemenáková
Textiles 2025, 5(4), 71; https://doi.org/10.3390/textiles5040071 - 18 Dec 2025
Viewed by 437
Abstract
Medical textiles have gained significant attention for their ability to prevent the transmission of infectious diseases while ensuring the safety and comfort of healthcare professionals. This study focuses on modifying the surfaces of polyethylene terephthalate (PET) fabrics with titanium dioxide (TiO2) [...] Read more.
Medical textiles have gained significant attention for their ability to prevent the transmission of infectious diseases while ensuring the safety and comfort of healthcare professionals. This study focuses on modifying the surfaces of polyethylene terephthalate (PET) fabrics with titanium dioxide (TiO2) nanoparticles (NPs) to enhance their antibacterial properties, thermophysiological comfort, and thermal insulation. The effects of varying volumes of the tetraisopropyl orthotitanate precursor on the functional properties of the coated PET fabrics were systematically investigated. The surface morphology was characterized using scanning electron microscopy (SEM). At the same time, the elemental and chemical properties were analyzed through Energy-dispersive spectroscopy (EDS), Raman spectroscopy, and Fourier-transform infrared spectroscopy (FTIR). The TiO2 NPs-coated PET fabrics demonstrated exceptional antibacterial activity against Gram-negative and Gram-positive bacteria and significantly improved thermophysiological comfort. Specifically, thermal resistance increased with a higher density of TiO2 nanoparticles, leading to a decrease in thermal conductivity. Notably, only minimal reductions were observed in relative water vapor permeability (RWVP) and air permeability (AP), indicating that the fabric’s porosity was maintained. Furthermore, the presence of the TiO2 nanolayer on the PET fabric significantly enhanced its thermal stability, providing excellent thermal insulation properties. These findings underscore the potential of TiO2 NPs-coated PET fabrics as promising candidates for advanced medical textile applications, where a balance of protection, comfort, and thermal insulation is essential. Full article
Show Figures

Figure 1

19 pages, 3317 KB  
Article
Cementitious Composites Reinforced with Multidimensional Epoxy-Coated Sisal/PET Braided Textile
by Lais Kohan, Carlos Alexandre Fioroni, Adriano G. S. Azevedo, Ivis de Aguiar Souza, Tais O. G. Freitas, Daniel V. Oliveira, Julia Baruque-Ramos, Raul Fangueiro and Holmer Savastano Junior
Textiles 2025, 5(4), 70; https://doi.org/10.3390/textiles5040070 - 18 Dec 2025
Viewed by 446
Abstract
Textile-reinforced concrete (TRC) is an alternative class of mechanical reinforcement for cement composites. The biaxial braided reinforcement structure in composite materials with diverse cross-sectional shapes offers high adaptability, torsional stability, and resistance to damage. In general, 3D textile reinforcements improve the mechanical properties [...] Read more.
Textile-reinforced concrete (TRC) is an alternative class of mechanical reinforcement for cement composites. The biaxial braided reinforcement structure in composite materials with diverse cross-sectional shapes offers high adaptability, torsional stability, and resistance to damage. In general, 3D textile reinforcements improve the mechanical properties of composites compared to 2D reinforcements. This study aimed to verify reinforcement behavior by comparing multidimensional braided textiles, 2D (one- and two-layer) reinforcements, and 3D reinforcement in composite cementitious boards. Experimental tests were performed to evaluate the effect of textile structures on cementitious composites using four-point bending tests, porosity measurements, and crack patterns. All textiles showed sufficient space between yarns, allowing the matrix (a commercial formulation) to infiltrate and influence the composite mechanical properties. All composites presented ductility behavior. The two layers of 2D textile composites displayed thicker cracks, influenced by shear forces. Three-dimensional textiles exhibited superior values in four-point bending tests for modulus of rupture (7.4 ± 0.5 MPa) and specific energy (5.7 ± 0.3 kJ/m2). No delamination or debonding failure was observed in the boards after the bending tests. The 3D textile structure offers a larger contact area with the cementitious matrix and creates a continuous network, enabling more uniform force distribution in all directions. Full article
(This article belongs to the Special Issue Advances in Technical Textiles)
Show Figures

Figure 1

11 pages, 1275 KB  
Article
Evaluation of Resting-State Cooling Effectiveness in Wearable Body-Cooling Devices Using Thermophysiological and Psychological Responses
by Hiroki Maru, Takumi Yuasa and Hiroyuki Kanai
Textiles 2025, 5(4), 69; https://doi.org/10.3390/textiles5040069 - 17 Dec 2025
Viewed by 507
Abstract
Heat exposure in summer increases the risk of heat strain during work and rest, highlighting the need for effective cooling strategies. This study evaluated the cooling effectiveness of a fan-cooling jacket (FC) and a thermoelectric neck cooler (NC) under resting conditions in a [...] Read more.
Heat exposure in summer increases the risk of heat strain during work and rest, highlighting the need for effective cooling strategies. This study evaluated the cooling effectiveness of a fan-cooling jacket (FC) and a thermoelectric neck cooler (NC) under resting conditions in a hot and humid environment. Six healthy males completed three trials (no cooling, FC, and NC) in an environmental chamber (35 °C, 70% RH). Thermophysiological responses (mean skin temperature, armpit temperature, sweat volume) and psychological ratings (thermal comfort, wetness sensation) were simultaneously assessed. FC significantly reduced mean skin temperature, attenuated the rise in axillary temperature, and decreased sweat volume while also improving thermal comfort and wetness sensation. In contrast, NC provided only transient improvements in comfort and did not suppress the rise in axillary temperature; wetness sensation deteriorated over time, likely due to its localized and limited cooling area. These findings indicate that, under low-activity conditions, broad-area forced convection cooling is more effective for mitigating heat stress than localized neck cooling. The results highlight the practical utility of fan-cooling garments for rest periods and other low-intensity scenarios. Full article
(This article belongs to the Special Issue Advances in Smart Textiles)
Show Figures

Figure 1

22 pages, 4395 KB  
Article
Chitosan/Pectin Layer-by-Layer Coatings Enriched with Strawberry Pomace Extract: A Path to Obtaining Sustainable Bio-Colored Healthcare Cotton Fabric
by Aleksandra Ivanovska, Marija Ćorović, Jelena Lađarević, Katarina Dimić-Mišić and Igor Jordanov
Textiles 2025, 5(4), 68; https://doi.org/10.3390/textiles5040068 - 16 Dec 2025
Viewed by 447
Abstract
The purpose of this paper is to develop sustainable bio-colored healthcare cotton fabrics using chitosan/pectin layer-by-layer coatings enriched with strawberry pomace extract. Ultrasound-assisted extraction of bioactive compounds from strawberry pomace was optimized using a Box–Behnken experimental design to maximize the total polyphenol content [...] Read more.
The purpose of this paper is to develop sustainable bio-colored healthcare cotton fabrics using chitosan/pectin layer-by-layer coatings enriched with strawberry pomace extract. Ultrasound-assisted extraction of bioactive compounds from strawberry pomace was optimized using a Box–Behnken experimental design to maximize the total polyphenol content (29.6 mg GAE/g DW). HPLC analysis confirmed the presence and quantity of anthocyanins in the extract obtained under optimized conditions (time: 37 min, ethanol concentration: 48.4%, liquid-to-solid ratio: 40.4 mL/g). This extract was used to enrich chitosan/pectin coatings, and applied onto cotton fabric using a layer-by-layer technique. Among the fabrics with 0, 4, 8, and 12 bilayers of chitosan/pectin coating enriched with extract, the 12-bilayer coated fabric exhibited the best bioactivity: 98.4% antioxidant activity, outstanding antibacterial efficacy, and the highest release of extract over 24 h. The last two properties showed a strong linear correlation with the number of bilayers, adsorbed extract, and weight gain. In vitro cytotoxicity testing proved the non-cytotoxic nature of 12-bilayer fabric extract. Additionally, the performed 12-bilayer coating imparted a natural reddish-brown color, high color strength (K/S = 1.45), and excellent UV protection (UPF 79.4), offering a sustainable, multifunctional approach for obtaining bio-colored cotton fabrics suited for wound dressing and other healthcare applications. Full article
(This article belongs to the Special Issue Advances of Medical Textiles: 2nd Edition)
Show Figures

Figure 1

18 pages, 4275 KB  
Article
Full-Field In-Plane Tensile Characterization of Cotton Fabrics Using 2D Digital Image Correlation
by Nenad Mitrovic, Aleksandra Mitrovic, Mirjana Reljic and Svetlana Pelemis
Textiles 2025, 5(4), 67; https://doi.org/10.3390/textiles5040067 - 11 Dec 2025
Viewed by 437
Abstract
Textile materials are widely used in diverse applications, yet their anisotropic structure and large deformations present major challenges in mechanical characterization. Conventional uniaxial tensile tests can quantify bulk properties but offer limited insight into local strain distributions. In this work, it was shown [...] Read more.
Textile materials are widely used in diverse applications, yet their anisotropic structure and large deformations present major challenges in mechanical characterization. Conventional uniaxial tensile tests can quantify bulk properties but offer limited insight into local strain distributions. In this work, it was shown that a 2D Digital Image Correlation (DIC) technique captures full-field strain data in three types of woven cotton fabrics with distinct weave patterns and densities, each tested in warp and weft orientations. In controlled tensile experiments conducted per EN ISO 13934-1, DIC revealed that strain in the loading direction (EpsY) was highly orientation-dependent (p < 0.001), whereas strain perpendicular to loading (EpsX) was unaffected by orientation (p = 0.193). These findings contrast with traditional tensile data, which indicate significant orientation effects on maximum force and elongation (both p < 0.001). Compared to point-based techniques, 2D DIC provided richer information on anisotropic deformation, including the ability to detect local strain concentrations before failure. The strong interaction between fabric type and orientation indicates that each fabric exhibits distinct strain response when loaded along warp and weft directions, underscoring the importance of evaluating both orientations when designing or selecting textiles for multidirectional loading. By combining standard tensile testing with full-field optical strain measurements, a more comprehensive understanding of textile behavior emerges, enabling improved material selection, enhanced product performance, and broader applications in engineering and textile fields. Full article
Show Figures

Figure 1

17 pages, 2752 KB  
Article
Short-Time Transient Thermal Behaviour in Textile Fabrics—The Dual Phase Approach
by Gilbert De Mey, Izabela Ciesielska-Wróbel, Maria Strąkowska, Bogusław Więcek, Carla Hertleer and Lieva Van Langenhove
Textiles 2025, 5(4), 66; https://doi.org/10.3390/textiles5040066 - 8 Dec 2025
Viewed by 1010
Abstract
Short-time thermal exchange (0–20 s) between human skin and textile surfaces determines initial warm–cool sensations, which influences comfort perception. Classical Fourier models predicting a √t cannot fully describe this early transient phase, particularly for porous or heterogeneous materials such as fabrics. This study [...] Read more.
Short-time thermal exchange (0–20 s) between human skin and textile surfaces determines initial warm–cool sensations, which influences comfort perception. Classical Fourier models predicting a √t cannot fully describe this early transient phase, particularly for porous or heterogeneous materials such as fabrics. This study investigates the early and short-time temperature response of a fingertip to contact with eight woven and knitted fabrics of different compositions, densities, thermal resistances, and thicknesses, measured under controlled laboratory conditions using a fine-gauge thermocouple at the skin–fabric interface. Experimental temperature–time data, when converted to the Laplace domain, exhibited slopes corresponding to time-domain exponents of t, t¼, and occasionally t, all lower than the classical diffusion exponent of ½.The dual-phase lag (DPL) model was applied to interpret these deviations through two lag times—τq (heat flux) and τT (temperature gradient)—and their ratio Z = τT/τq, which controls the slope of the Laplace-domain response. DPL curves reproduced the observed exponents without additional empirical parameters. The results show that short-time heat transfer depends strongly on textile structure: higher thickness leads to slower transient responses (“warmer” feel), whereas denser fabrics promote faster equilibration (“cooler” feel). This dual-phase interpretation bridges physical heat transfer with tactile thermal perception, providing a predictive framework for the design of textiles with thermal properties. Full article
Show Figures

Figure 1

15 pages, 7917 KB  
Article
Preparation and Performance Study of Bacterial Nanocellulose Yarns
by Liangyu Zhang, Yuanyuan Zhang, Xiaoling Wang, Lisha Zheng, Huanjian Yu, Yuanming Zhang, Shaoyang Liu and Wei Jiang
Textiles 2025, 5(4), 65; https://doi.org/10.3390/textiles5040065 - 5 Dec 2025
Viewed by 394
Abstract
This study investigated the preparation of bacterial nanocellulose yarn, a high-strength and high-modulus cellulose-based textile material. Compared with the previously used wet spinning and electrospinning methods, the film-cutting, drawing and twisting treatment method in this paper retains the natural structure of BNC. This [...] Read more.
This study investigated the preparation of bacterial nanocellulose yarn, a high-strength and high-modulus cellulose-based textile material. Compared with the previously used wet spinning and electrospinning methods, the film-cutting, drawing and twisting treatment method in this paper retains the natural structure of BNC. This can greatly transfer the high performance of BNC nanofibers to BNC yarns, making the mechanical properties of the prepared yarn much higher than those of the BNC yarns prepared by the above two methods. It was produced through a film-cutting and twisting process utilizing bacterial nanocellulose as the primary component. The effects of drafting and twisting on the characteristics and properties of the yarn were systematically examined. Comparative analyses were conducted between the bacterial nanocellulose yarn and conventional cotton yarn of equivalent fineness and twist in terms of appearance, tensile properties, frictional behavior, and bending resistance. Optimal tensile mechanical properties of the bacterial nanocellulose yarn were achieved at 1% elongation and a twist number of 160 r/20 cm, resulting in a breaking strength of 751.56 MPa and an elongation at break of 11.56%, surpassing those of cotton yarn of similar specifications. The spinnability assessment revealed a smooth surface for the bacterial nanocellulose yarn, characterized by low friction coefficient, robust bending resistance with a bending modulus of 718.76 GPa. These findings offer valuable empirical data and theoretical insights to guide the subsequent textile processing and utilization of bacterial nanocellulose yarn. Full article
Show Figures

Figure 1

30 pages, 4118 KB  
Article
Productivity Improvement Model in the Garment Industry: Application of Standardized Work and Poka Yoke with Artificial Vision
by Miguel Ángel Vergara, Miguel Barbachán Villalobos, Percy Castro-Rangel, José C. Alvarez and Robert Lepore
Textiles 2025, 5(4), 64; https://doi.org/10.3390/textiles5040064 - 4 Dec 2025
Viewed by 1383
Abstract
Peru’s highly competitive garment sector, where microenterprises account for 88.4% of all enterprises, the main barrier to sustainability is low productivity, driven by high rework rates and operational errors. To address this problem, this research proposes an improvement model that combines Standardized Work [...] Read more.
Peru’s highly competitive garment sector, where microenterprises account for 88.4% of all enterprises, the main barrier to sustainability is low productivity, driven by high rework rates and operational errors. To address this problem, this research proposes an improvement model that combines Standardized Work to unify processes with a Poka Yoke technological solution using artificial vision for real-time defect prevention. This dual approach addresses the root causes of inefficiency, merging a core principle of Lean Manufacturing with an accessible Industry 4.0 tool designed for implementation in resource-constrained environments. The validation of the model demonstrated its remarkable effectiveness, achieving transformative results: the sewing rework rate was drastically reduced from 28.43% to 8.94%, the labeling rework rate were reduced from 18.02% to 3.88%, the production cycle time was optimized from 23.74 to 16.54 min per garment, with a 173.74% increase in productivity. These results not only confirm the validity of the model, but, due to its basis in universal principles and scalable technology, they also guarantee high applicability and replicability in other micro and small companies in the sector, offering a clear path towards a qualitative leap in productivity and competitiveness. Full article
Show Figures

Figure 1

24 pages, 10362 KB  
Article
Smartphone-Based Digital Image Processing for Fabric Drape Assessment
by Emilija Toshikj and Nina Mladenovikj
Textiles 2025, 5(4), 63; https://doi.org/10.3390/textiles5040063 - 4 Dec 2025
Viewed by 729
Abstract
Fabric drape characterization is vital for textile performance and aesthetics, but the conventional Cusick method is labor-intensive and incompatible with digital workflows. This study assesses a smartphone-enabled digital image processing (DIP) method for fabric drape coefficient (DC) measurement, providing an accessible, low-cost alternative [...] Read more.
Fabric drape characterization is vital for textile performance and aesthetics, but the conventional Cusick method is labor-intensive and incompatible with digital workflows. This study assesses a smartphone-enabled digital image processing (DIP) method for fabric drape coefficient (DC) measurement, providing an accessible, low-cost alternative to the Cusick method. Draped specimens of light, medium, and heavy fabrics were imaged at three diameters (24, 30, and 36 cm) using a smartphone positioned at three vertical distances (22, 32, and 42 cm). DCs were determined through pixel-based analysis in Adobe Photoshop®, ImageJ®, and MATLAB®. Statistical comparison against the Cusick method employed F-tests for variance, two-sample t-tests for mean differences, and skewness analysis. No statistically significant differences were found between smartphone DIP (with either the iPhone or Samsung device) and Cusick measurements (p > 0.05). Neither imaging height nor software platform significantly influenced outcomes, though a 22 cm height consistently provided the most stable conditions. ImageJ® was identified as an effective open-source option for reliable analysis. The findings establish a reliable, cost-effective, and portable method for drape evaluation, reducing technical and economic barriers while aligning with Industry 4.0 digitalization. This approach enables broader adoption of reliable textile characterization across research, industry, and domains. Full article
Show Figures

Graphical abstract

18 pages, 33110 KB  
Article
Effective Dye Removal from Post-Consumer Cotton Textiles and Its Influence on the Quality of the Textiles
by Emalika Ayomani Munasinghe Arachchilage, Georg Stegschuster, Mesut Cetin and Maike Rabe
Textiles 2025, 5(4), 62; https://doi.org/10.3390/textiles5040062 - 30 Nov 2025
Viewed by 657
Abstract
A major obstacle to textile recycling is the presence of dyes, which limits the reuse of fibers in high-value applications. Despite previous studies on, cotton decolorization, the systematic development of an optimal formulation that preserves fabric integrity remains lacking. This study addresses this [...] Read more.
A major obstacle to textile recycling is the presence of dyes, which limits the reuse of fibers in high-value applications. Despite previous studies on, cotton decolorization, the systematic development of an optimal formulation that preserves fabric integrity remains lacking. This study addresses this gap by investigating a decolorization method for mixed-dyed cotton textiles that enables successful redyeing while preserving fabric quality. Reactive and vat-dyed cotton fabrics were treated with sequential reductive and oxidative processes, in a full factorial design. The impact of input parameters on tensile strength was evaluated through statistical analysis using analysis of variance at a significance level of α = 0.05. The developed recipe was subsequently validated on post-consumer cotton textiles. Stripping efficiency was assessed using K/S values, and fabric quality was evaluated through tensile strength, pilling, and fuzzing appearance. Temperature showed the strongest influence on dye removal. Fabric strength was significantly affected by temperature and oxidizing agent, and by interactions of temperature with reducing agent and oxidation time. The optimized process achieved 98–99.5% color removal and retained 95% of the fabric’s tenacity. A stripping efficiency of >90% for post-consumer cotton validates the method’s applicability in real-world circular systems. Full article
Show Figures

Figure 1

13 pages, 1943 KB  
Article
Antimicrobial Textile Finishing Based on Silver Nanostructures
by José Ángel Juárez Torres, María Luisa Castellanos Cabrera, Dalia Molina Romero, Itzel Pamela Torres Avila, Oscar Goiz and Miriam Cruz-Leal
Textiles 2025, 5(4), 61; https://doi.org/10.3390/textiles5040061 - 29 Nov 2025
Cited by 3 | Viewed by 1302
Abstract
This study presents the development and application of a textile finishing treatment with antimicrobial properties based on silver nanostructures. The methodology involved the initial synthesis of silver-supported structures on aluminosilicates, which were subsequently applied to 100% raw cotton Jersey fabric through an impregnation [...] Read more.
This study presents the development and application of a textile finishing treatment with antimicrobial properties based on silver nanostructures. The methodology involved the initial synthesis of silver-supported structures on aluminosilicates, which were subsequently applied to 100% raw cotton Jersey fabric through an impregnation finishing process. The treated cotton samples were evaluated for antimicrobial activity using the Kirby-Bauer disk diffusion method. The tested bacterial strains included Gram-negative as Shigella sp., Pseudomonas sp. M13, Pseudomonas sp. M14, Pseudomonas putida KT2440, and Escherichia coli, as well as Gram-positive Staphylococcus aureus ATCC 29213 and Streptococcus agalactiae ATCC 12386 (American Type Culture Collection) all of which exhibited growth inhibition in the presence of the treated textile, demonstrating the effectiveness of the antimicrobial finish. Full article
Show Figures

Graphical abstract

14 pages, 3700 KB  
Article
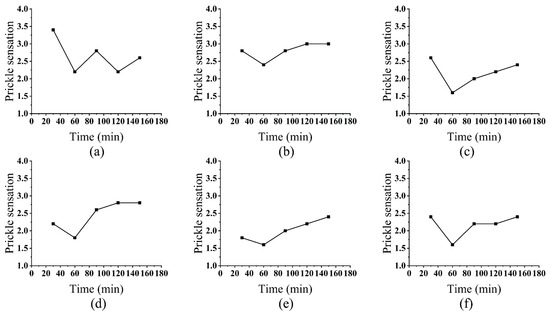
Synergistic Multi-Enzyme Modification of Ramie Fabric: Optimized Process for Alleviating Prickle Sensation and Enhancing Comfort
by Qi Yang, Xiang Zhou, Ling Deng, Xiangying Shen, Lifeng Cheng, Guoguo Xi, Chen Chen, Zhenghong Peng, Yuqin Hu, Si Tan and Shengwen Duan
Textiles 2025, 5(4), 60; https://doi.org/10.3390/textiles5040060 - 26 Nov 2025
Viewed by 329
Abstract
Ramie fabrics suffer from inherent prickle sensation due to rigid fiber morphology, limiting their applications. This study aims to alleviate this issue through an eco-friendly enzymatic modification. Six enzymes (cellulase, laccase, hemicellulase, xylanase, pectinase, alkaline protease) were used. Single-factor experiments optimized enzyme dosage, [...] Read more.
Ramie fabrics suffer from inherent prickle sensation due to rigid fiber morphology, limiting their applications. This study aims to alleviate this issue through an eco-friendly enzymatic modification. Six enzymes (cellulase, laccase, hemicellulase, xylanase, pectinase, alkaline protease) were used. Single-factor experiments optimized enzyme dosage, liquid-to-solid ratio, and treatment time; response surface methodology (RSM) further refined conditions, followed by compound enzyme treatments to explore synergies. Scanning electron microscopy (SEM) validated changes. Results showed the optimal multi-enzyme combination (2% hemicellulase, 3% cellulase, 3% laccase) reduced prickle sensation score by 43.8% (to 1.8 vs. 3.2 for untreated), with SEM confirming less surface fuzz and improved uniformity. This effective enzymatic strategy provides a green approach to enhance ramie fabric comfort, with practical implications for textile processing. Full article
Show Figures

Figure 1

17 pages, 1988 KB  
Article
From Comfort to Protection: Quantitative Comparison of Fit and Air Permeability in Textile Masks and Respirators
by Maria Ivanova and Radostina A. Angelova
Textiles 2025, 5(4), 59; https://doi.org/10.3390/textiles5040059 - 15 Nov 2025
Viewed by 756
Abstract
The present study examines the influence of material and structural parameters on the fit and air permeability of textile face masks, surgical masks, and certified respirators. Nine samples were tested using the AccuFIT 9000 for quantitative fit factor (FF) measurements and the FX-3340 [...] Read more.
The present study examines the influence of material and structural parameters on the fit and air permeability of textile face masks, surgical masks, and certified respirators. Nine samples were tested using the AccuFIT 9000 for quantitative fit factor (FF) measurements and the FX-3340 MinAir for air permeability in both airflow directions. Results show that increased thickness moderately improves FF, supporting better facial sealing. However, mass per unit area and bulk density show weak or no correlation with FF. Air permeability correlates weakly and negatively with FF, especially during exhalation, but remains essential for wearer comfort. Notably, some textile masks outperformed certified respirators in terms of fit, highlighting the importance of design, elasticity, and edge sealing. The findings suggest that effective mask performance depends on more than filtration materials or certification levels. A balanced design combining breathability, structural optimisation, and ergonomic fit is essential for both comfort and protection. These insights can guide the development of more effective reusable and disposable face coverings, particularly in aerosol-rich environments. Full article
(This article belongs to the Special Issue Advances of Medical Textiles: 2nd Edition)
Show Figures

Figure 1

35 pages, 13446 KB  
Article
Anisotropic X-Band Microwave Properties of Amine-Functionalized Carbon Fibers Derived from Polyacrylonitrile
by Liudmyla M. Grishchenko, Maksym A. Popov, Hryhorii L. Chumak, Vitaliy E. Diyuk, Viktoriia D. Malovychko, Igor P. Matushko, Volodymyr Yu. Malyshev, Ruslan T. Mariychuk, Olga Yu. Boldyrieva, Oleksandr V. Mischanchuk, Maksym O. Kremenskoy and Vladyslav V. Lisnyak
Textiles 2025, 5(4), 58; https://doi.org/10.3390/textiles5040058 - 14 Nov 2025
Viewed by 772
Abstract
Carbon fibers derived from carbonized and activated polyacrylonitrile (CFPAN) were sequentially brominated and subsequently functionalized with selected primary and secondary amines to engineer a directional electromagnetic (EM) response. Besides bromine incorporation, bromination introduced oxygen-containing surface groups (e.g., carboxyl, lactone), enabling nucleophilic substitution by [...] Read more.
Carbon fibers derived from carbonized and activated polyacrylonitrile (CFPAN) were sequentially brominated and subsequently functionalized with selected primary and secondary amines to engineer a directional electromagnetic (EM) response. Besides bromine incorporation, bromination introduced oxygen-containing surface groups (e.g., carboxyl, lactone), enabling nucleophilic substitution by amines. Surface characterization (SEM-EDS, FTIR ATR) confirmed successful amine grafting, while thermal analysis (TGA, TPD MS) revealed increased weight loss in the 150–450 °C range due to the decomposition of covalently bonded nitrogen- and oxygen-containing moieties, evidencing strong surface functionalization. Microwave characterization in the X-band (8.2–12.4 GHz) demonstrated that functionalization strongly influences the EM response of CFPAN fibers. The measured reflection coefficient varied from −1.0 to −2.5 dB for sulfonylethylenediamine (SuEn)-functionalized fibers and from −2.0 to −4.0 dB for ethylenediamine (En)-treated ones, depending on frequency and fiber orientation. The frequency-averaged absorption coefficient of pure CFPAN amounted to 32–41%, with absorption maxima and minima corresponding to orientations differing by 90°. SuEn modification decreased absorption to 21–35%, while En functionalization enhanced it to 32–51%. Pure CFPAN exhibited the lowest absorption anisotropy (factor 1.28), whereas piperazine- and En-modified samples showed the highest anisotropy (1.57 and 1.59, respectively). Across all compositions, the attenuation constant remained within 1.5–4.5 mm−1. The observed anisotropic behavior is governed primarily by orientation-dependent variations in characteristic impedance and, to a lesser extent, by anisotropic attenuation constants. Such tunable anisotropy is particularly advantageous for EM shielding textiles, where fiber alignment can be tailored to enhance interaction with polarized fields. Among the tested amines, En-functionalized CFPAN exhibited the highest nitrogen content (up to 10.1 at%) and the most significant enhancement in microwave absorption, positioning it as a promising candidate for advanced orientation-sensitive shielding applications. Full article
Show Figures

Figure 1

21 pages, 3521 KB  
Article
Valorisation of Recycled Cotton as Reinforcement in Recycled Polypropylene Composites
by Mariana Ichim, Emil Ioan Muresan, Gabriela Lisa, Florin Ciolacu and Adrian Cătălin Puițel
Textiles 2025, 5(4), 57; https://doi.org/10.3390/textiles5040057 - 11 Nov 2025
Viewed by 999
Abstract
The continuous rise in textile waste, driven by global population growth and the proliferation of fast fashion, has raised concerns about its efficient recycling and sustainable management. This study aims to assess the feasibility of recycling textile waste by incorporating recycled cotton fibres [...] Read more.
The continuous rise in textile waste, driven by global population growth and the proliferation of fast fashion, has raised concerns about its efficient recycling and sustainable management. This study aims to assess the feasibility of recycling textile waste by incorporating recycled cotton fibres as reinforcement in polypropylene-based composites. Specifically, it examines the mechanical, thermal, and chemical properties of composites composed of 50% recycled polypropylene and 50% reinforcing fibres (either virgin or recycled cotton), with and without the addition of 5% maleic anhydride-grafted polypropylene as a compatibilizer to enhance fibre-matrix adhesion. Although the use of recycled cotton as reinforcement reduced the mechanical properties of the composite material, the addition of 5% compatibilizer improved these properties to levels comparable to those of composite reinforced with virgin cotton. Full article
Show Figures

Figure 1

15 pages, 5245 KB  
Article
Development and Evaluation of Yarns Made from Mechanically Recycled Textiles
by Kendall Ludwig, Sophia Gupman, Michelle Yatvitskiy, Huantian Cao and Kelly Cobb
Textiles 2025, 5(4), 56; https://doi.org/10.3390/textiles5040056 - 11 Nov 2025
Cited by 1 | Viewed by 931
Abstract
Mechanical textile recycling presents a sustainable alternative to linear “take–make–waste” models in the fashion industry. This study intended to develop yarns using textile-to-fiber mechanically recycled fibers. ReSpool mechanically recycled wool, cotton, polyester, silk, and rayon fibers from pre-consumer and post-consumer textiles were acquired [...] Read more.
Mechanical textile recycling presents a sustainable alternative to linear “take–make–waste” models in the fashion industry. This study intended to develop yarns using textile-to-fiber mechanically recycled fibers. ReSpool mechanically recycled wool, cotton, polyester, silk, and rayon fibers from pre-consumer and post-consumer textiles were acquired and blended with new fibers at varying ratios (100% ReSpool fibers, 85% ReSpool fibers, and 65% ReSpool fibers) to make batts, which were spun into yarns. The yarns’ size (Tex), strength (breaking force and tenacity), elongation, and moisture regain were evaluated. ReSpool recycled fibers from both pre-consumer and post-consumer textiles can be used to produce yarns that have appropriate strength for weaving and knitting. It was possible to produce yarns from 100% ReSpool recycled wool, polyester, and silk fibers, but ReSpool recycled cotton and rayon fibers must be blended with new fibers to produce yarns. There was no significant difference among the percentage of ReSpool recycled polyester and cotton fibers in the yarns on the strength and elongation of the yarn. It is recommended to use the higher percentage of ReSpool recycled fibers in yarn development to maximize recycled material utilization. Full article
Show Figures

Figure 1

21 pages, 4800 KB  
Article
Research on the Construction of a Full-Color-Gamut Color Spinning Method and Neural Network Color Prediction System
by Wenshuo Zhu, Yuan Xue, Yourong Chen and Peng Cui
Textiles 2025, 5(4), 55; https://doi.org/10.3390/textiles5040055 - 10 Nov 2025
Viewed by 575
Abstract
This paper aims to develop a comprehensive technology for full-color-gamut spinning to enable the precise design and production of blended yarns. A grid-based color-mixing model with six regions is built as a cylindrical color model by mixing eight primary color fibers. Using a [...] Read more.
This paper aims to develop a comprehensive technology for full-color-gamut spinning to enable the precise design and production of blended yarns. A grid-based color-mixing model with six regions is built as a cylindrical color model by mixing eight primary color fibers. Using a three-element synergistic regulation mechanism comprising a numerically controlled rotor-spun system, a color-spinning method is created that integrates the full-color-gamut grid-based color-mixing model. Consequently, 273 blended yarn fabrics are produced. Leveraging the regional variations in blending primary color fibers, a neural network color-prediction system is designed. It is trained on reflectance and blending-ratio data from 255 samples and validated with 18 samples across different color-mixing regions. The results show a mean color difference prediction of 0.909 and an average blending ratio error of 1.76% for the 18 samples. This indicates that the color-prediction system can accurately predict the colors of blended yarns within the full-color-gamut range, providing theoretical support for yarn production. Full article
Show Figures

Figure 1

16 pages, 4877 KB  
Article
Mini-Jacquard Weft-Knit in Peruvian Pima Cotton as a Print-Free Alternative: CAD Simulation, Prototyping, and Fabric Pattern Characterization
by Praxedes Jeanpierre Merino-Ramirez and Rebeca Salvador-Reyes
Textiles 2025, 5(4), 54; https://doi.org/10.3390/textiles5040054 - 10 Nov 2025
Viewed by 948
Abstract
This study develops and validates a weft knitted Mini-Jacquard in Peruvian Pima cotton as a print-free coloration strategy by integrating CAD-based pattern simulation with prototype manufacturing. A three-color design (red, blue, white) was programmed on a flat knitting machine using a 10 × [...] Read more.
This study develops and validates a weft knitted Mini-Jacquard in Peruvian Pima cotton as a print-free coloration strategy by integrating CAD-based pattern simulation with prototype manufacturing. A three-color design (red, blue, white) was programmed on a flat knitting machine using a 10 × 14 rapport. Color-wise yarn consumption was computed directly from the digital pattern, and the physical sample was characterized through combustion testing and optical micrographs. The prototype exhibited a yarn count of ~20/1 Ne, S-twist (~11.18 TPI), and 100% cellulosic composition. The blue yarn showed the highest consumption (≈73.81%), followed by white (≈19.65%) and red (≈6.55%), consistent with the digital rapport’s color distribution. The CAD stage ensured pattern fidelity and supported raw-material planning; the knitted sample showed a soft hand, dimensional stability, and sharp motif definition upon visual assessment. A sustainability and comparative analysis with chemical printing was conducted, revealing that the Mini-Jacquard achieved the highest design accuracy and tactile comfort, outperforming screen printing and heat transfer in geometric fidelity, chromatic homogeneity, and texture. The Mini-Jacquard optimized operational times (320 min/m2) compared to transfer printing (332 min/m2) and screen printing (740 min/m2), reducing process stages and complexity. Although Jacquard production involves higher energy costs ($34.8) and material expenses ($11.6), it provides greater structural value and durability, positioning it for high-end applications. Moreover, the Mini-Jacquard could reduce water consumption by approximately 90% and thermal energy use by 70%, eliminating chemical residues and extending fabric lifespan, thus offering high sustainability and circular potential. A transparent scenario-based analysis indicates substantial reductions in water and thermal-energy use when omitting printing/fixation/washing stages, along with the elimination of printing-stage effluents. Overall, design-integrated coloration via Mini-Jacquard is technically feasible and potentially eco-efficient for Pima-cotton value chains, with applications in apparel, accessories, and functional textiles. Full article
Show Figures

Figure 1

24 pages, 1531 KB  
Review
Advancing Circular Economy Practices Using AI-Powered Colour Classification of Textile Fabrics: Overview and Roadmap
by Rocco Furferi
Textiles 2025, 5(4), 53; https://doi.org/10.3390/textiles5040053 - 3 Nov 2025
Viewed by 1275
Abstract
Classification is a crucial task for reintroducing end-of-life fabrics as raw materials in a circular process, thus reducing reliance on dyeing processes. In this context, this review explores the evolution of automated and semi-automated colour classification methods, emphasizing the transition from deterministic techniques [...] Read more.
Classification is a crucial task for reintroducing end-of-life fabrics as raw materials in a circular process, thus reducing reliance on dyeing processes. In this context, this review explores the evolution of automated and semi-automated colour classification methods, emphasizing the transition from deterministic techniques to advanced methods, with a focus on machine learning, deep learning, and particularly Convolutional Neural Networks (CNNs), and Recurrent Neural Networks (RNNs). These technologies show potential for improving accuracy and efficiency. The results highlight the need for enriched datasets, deeper AI integration into industrial processes, and alignment with circular economy objectives to enhance sustainability without compromising industrial performance. Tested against a case study, the different architectures confirmed the state-of-the-art statements demonstrating that they are effective in classification, with better performance reached by CNN-based methods, which outperforms other methods in most colour families, with an average accuracy of 86.1%, indicating its adaptability for this task. The adoption of the proposed AI-based colour-classification roadmap could be effective in reducing dyeing operations, lower costs, and improve sorting efficiency for textile SMEs. Full article
(This article belongs to the Collection Feature Reviews for Advanced Textiles)
Show Figures

Graphical abstract

11 pages, 8725 KB  
Article
Nano-Silica-Modified Hydrophobic PDMS Encapsulation on CNT Thermoelectric Fibers for Waterproof Thermoelectric Textiles
by Boxuan Zhang, Mingyuan Ma, Shengyu Wang, Hanyu Cai, Dawei Li and Peng Gu
Textiles 2025, 5(4), 52; https://doi.org/10.3390/textiles5040052 - 22 Oct 2025
Viewed by 673
Abstract
Flexible and wearable thermoelectric devices can convert body waste heat into electricity, showing a new direction to solve the long-lasting issue of energy supply on portable devices. However, thermoelectric fibers are prone to short circuits and failure due to sweat stains and washing [...] Read more.
Flexible and wearable thermoelectric devices can convert body waste heat into electricity, showing a new direction to solve the long-lasting issue of energy supply on portable devices. However, thermoelectric fibers are prone to short circuits and failure due to sweat stains and washing practices. Therefore, it is quite necessary to solve this problem to realize the practical thermoelectric device. PDMS, with its excellent insulation and flexibility, can effectively address short-circuit issues by encapsulating the surface of thermoelectric fibers. In this work, hydrophilic nano-silica (H-SiO2)-modified PDMS that insulates materials was prepared and coated on the surfaces of polyethyleneimine (PEI)- and hydrochloric acid (HCl)-treated dual-surface-modified thermoelectric fibers. The encapsulated fibers were then woven into spacer fabric to prepare thermoelectric textiles (TETs). After 50 water washing cycles, the fibers retained 97% of their conductivity, and the textiles continued to function normally underwater, indicating that the thermoelectric fibers are effectively protected under PDMS encapsulation. Full article
Show Figures

Figure 1

17 pages, 5211 KB  
Article
Luminescent Wearables for Low-Light Visibility of Children
by Daniela Sofronova and Radostina A. Angelova
Textiles 2025, 5(4), 51; https://doi.org/10.3390/textiles5040051 - 20 Oct 2025
Viewed by 924
Abstract
This study explores the development of luminescent wearables using machine embroidery with phosphorescent threads to enhance the visibility and safety of children in low-light environments, addressing the need for improved child protection in urban settings. Five embroidery designs incorporating sports, animal, celestial, and [...] Read more.
This study explores the development of luminescent wearables using machine embroidery with phosphorescent threads to enhance the visibility and safety of children in low-light environments, addressing the need for improved child protection in urban settings. Five embroidery designs incorporating sports, animal, celestial, and typographic motifs were created using Digitizer MBV 2.0 software and produced on a Janome MB4 embroidery machine with phosphorescent threads on black woven fabric for optimal contrast. The luminous performance was evaluated through photographic documentation and lux meter measurements in a controlled light-tight chamber, assessing light emission intensity and decay over time after UV activation. Results demonstrate that designs with higher stitch counts and densities exhibit stronger initial illuminance and longer persistence, with exponential decay curves highlighting rapid initial intensity loss. Variations in design size and stitch density showed linear correlations with illuminance. The study demonstrates the feasibility of luminescent embroidery as a scalable and child-friendly approach to enhancing low-light visibility and safety, combining functionality with aesthetic appeal. Full article
Show Figures

Figure 1

17 pages, 2052 KB  
Article
Cotton Knitwear as a Carrier of Specific Stains for Evaluation of Temperature-Specific Behavior of Detergents
by Vanja Šantak and Tanja Pušić
Textiles 2025, 5(4), 50; https://doi.org/10.3390/textiles5040050 - 15 Oct 2025
Viewed by 865
Abstract
Washing performance depends on the specific interactions between textiles, stains, detergents, mechanical action, temperature, and time. Its evaluation therefore requires a fundamental and practical understanding of the effects of the washing parameters, the type of soiling, and the tendency of the textiles to [...] Read more.
Washing performance depends on the specific interactions between textiles, stains, detergents, mechanical action, temperature, and time. Its evaluation therefore requires a fundamental and practical understanding of the effects of the washing parameters, the type of soiling, and the tendency of the textiles to stain. Due to the complexity of these interactions, the evaluation of stain removal requires specific types of textiles, stains, and detergents. In this study, the temperature-specific behavior of detergents was studied in the washing process of cotton knitwear with a blank spot and 15 stains of different origin and composition at 60 °C and 90 °C. Despite the labeled composition of detergents, the detergent ingredients, surfactants, and bleaching agents were analyzed by titration methods. The evaluation of the total washing performance (TWP) and specific washing performance (SWP) was carried out by measuring reflectance as a spectral parameter. A hierarchical cluster analysis was carried out to compare the specific effects of detergents at both temperatures. The analysis of the detergents revealed fluctuations in the content of the surfactants and bleach. Some detergents with a higher surfactant content (SAS) showed poorer performance in washing at 60 °C compared to detergents with a lower SAS content. The dendrogram showed subtle similarities and dissimilarities between the detergents, which contributed to clarification of the total wash performance at both temperatures. The results proved that the quantitative indicators of the proportions of certain ingredients in a detergent are not the only criteria for evaluating the quality of a particular detergent. All detergents investigated showed a temperature-specific behavior, which was reflected in an increased TWP at 90 °C, while some detergents selectively improved the SWP at 90 °C. Full article
Show Figures

Graphical abstract

20 pages, 972 KB  
Article
Digital Twins for a Sustainable Textile Industry: A Critical Analysis of Unexplored Applications and Future Directions
by Radostina A. Angelova
Textiles 2025, 5(4), 49; https://doi.org/10.3390/textiles5040049 - 14 Oct 2025
Cited by 1 | Viewed by 3325
Abstract
Digital Twin (DT) models are gaining attention as promising tools for improving efficiency, sustainability, and responsiveness in textile manufacturing. This paper provides a critical review of existing DT applications and outlines seven underexplored areas where such systems could offer tangible benefits. By linking [...] Read more.
Digital Twin (DT) models are gaining attention as promising tools for improving efficiency, sustainability, and responsiveness in textile manufacturing. This paper provides a critical review of existing DT applications and outlines seven underexplored areas where such systems could offer tangible benefits. By linking DT models with real-time data, textile producers can optimise energy usage, reduce production errors, enhance machine reliability, and accelerate decision-making processes. Moreover, DTs offer long-term opportunities for smarter waste management, personalised production with lower return rates, and better workforce training. The paper concludes with stakeholder-specific recommendations, such as integrating digital product passports for recyclability, and calls for a cross-disciplinary approach to digital transformation in the sector. These findings offer practitioners a roadmap for adopting DT technologies not only as monitoring tools but as strategic enablers for circularity, agility, and competitiveness. Full article
Show Figures

Figure 1

17 pages, 2767 KB  
Article
Fabric Utilization of Women’s Kameez Designs with Different Types of Sleeves in the Apparel Industry
by Tayyab Naveed, Asfandyar Khan, Muhammad Babar Ramzan, Rehana Ilyas, Arooj Shahid, Imran Ahmad Khan, Muhammad Awais and Kashif Javed
Textiles 2025, 5(4), 48; https://doi.org/10.3390/textiles5040048 - 13 Oct 2025
Viewed by 2027
Abstract
The apparel industry is changing dynamically and quickly to manufacturing sustainable fashion products and the development of sustainable design strategies that minimize material consumption at the source. This study addresses a critical research gap by quantitatively evaluating the impact of fusing traditional South [...] Read more.
The apparel industry is changing dynamically and quickly to manufacturing sustainable fashion products and the development of sustainable design strategies that minimize material consumption at the source. This study addresses a critical research gap by quantitatively evaluating the impact of fusing traditional South Asian garment construction (the kameez) with varied, Western-inspired sleeve geometries on key manufacturing metrics. Thirty-three distinct women’s garment styles, comprising three kameez types (simple, princess-cut, open-front) each paired with eleven different sleeve designs, were developed in the apparel industry to study the effect of fabric efficiency, wastage, and cost-effectiveness. The virtual patterns and markers were drafted and accomplished through Garment Gerber Technology (GGT) software to analyze fabric consumption, fabric efficiency, and cost-effectiveness. The results revealed that paneled kameez styles, such as the princess-cut and open-front, are significantly more material-efficient, achieving average fabric efficiencies of up to 83.95%, compared to the monolithic simple kameez, which averaged only 75.68%. Among sleeve types, multi-constructions like the slit sleeve and cuff sleeve proved most efficient (achieving up to 86.91% efficiency), while voluminous, single-piece designs like the umbrella sleeve consumed the most fabric and were the least efficient. Open-front kameez slit sleeves (OFSL3), simple kameez slit sleeves (SSL3), and princess-cut kameez slit sleeves (PCSL3), were better and more sustainable selections since they were most efficient in fabric efficiency (i.e., 86.91%, 86.17%, and 86.09%). Furthermore, the simple kameez style has the highest fabric wastage (above 22%), while the princess kameez style has the least (below 19%). The simple kameez slit sleeves design (SSL3) has the minimum wastage, while the simple kameez umbrella sleeves design (SSL4) has the maximum wastage. From a cost perspective, the open-front kameez slit sleeve (OFSL1) was identified as the most economical design, whereas the simple kameez with an umbrella sleeve (SSL4) was the most expensive. Statistical analysis confirmed that the differences between kameez styles were significant (p < 0.05). Thus, adoption of specific, sustainable, deliberate design choices and incorporating paneling into the garment body and utilizing multi-piece sleeve constructions offer a quantifiable and strategic approach for manufacturers to reduce material waste, optimize fabric utilization, and improve production cost-effectiveness. Full article
Show Figures

Figure 1

21 pages, 9819 KB  
Article
Development of Natural Rubber-Based Elasto Ball as an Alternative Material to Substitute Pumice in the Garment Washing Process
by Maya Komalasari, Onny Aulia Rachman, Husaini Ardy, Lia A. T. W. Asri and Yati Mardiyati
Textiles 2025, 5(4), 47; https://doi.org/10.3390/textiles5040047 - 13 Oct 2025
Cited by 1 | Viewed by 831
Abstract
Distressed fabric is a popular fashion trend that adds a distinct visual appeal to garments. Distressing involves acid washing with pumice stones containing potassium permanganate. This approach is inappropriate for knitted textiles, which can generate holes and reduce quality. This project seeks to [...] Read more.
Distressed fabric is a popular fashion trend that adds a distinct visual appeal to garments. Distressing involves acid washing with pumice stones containing potassium permanganate. This approach is inappropriate for knitted textiles, which can generate holes and reduce quality. This project seeks to create an Elasto Ball (EB) as an alternative to pumice stones in the acid-washing procedure of knitted materials. The Elasto Ball consists of natural rubber foam filled with silica and a silica–lignin hybrid derived from rice husks. The efficacy of the filler is enhanced during the manufacturing of Elasto Ball by employing the NXT silane coupling agent throughout the silanization process. The silanized elasto ball exhibits thermal stability up to 400 °C and a porosity of up to 5%. In garment washing assessments, the Elasto Ball can diminish the fabric’s color by 40–50% without causing damage. The findings of this study indicate that Elasto Ball can function as an efficient, eco-friendly substitute for washing balls in garment washing procedures. Full article
Show Figures

Figure 1

27 pages, 5211 KB  
Article
Innovative Wound Healing Utilizing Bioactive Fabrics Functionalized with Tormentillae rhizoma Extract: An In Vivo Study on Wistar Albino Rats
by Aleksandra Ivanovska, Jovana Bradić, Uroš Gašić, Filip Nikolić, Katarina Mihajlovski, Vladimir Jakovljević and Anica Petrović
Textiles 2025, 5(4), 46; https://doi.org/10.3390/textiles5040046 - 10 Oct 2025
Viewed by 1158
Abstract
This paper presents an innovative protocol for fabric functionalization using Tormentillae rhizoma extract, the chemical composition of which was proved via LC/MS analysis. The extract demonstrated antioxidant activity > 99%, and antibacterial efficacy against E. coli and S. aureus > 99%. Cotton, wool, [...] Read more.
This paper presents an innovative protocol for fabric functionalization using Tormentillae rhizoma extract, the chemical composition of which was proved via LC/MS analysis. The extract demonstrated antioxidant activity > 99%, and antibacterial efficacy against E. coli and S. aureus > 99%. Cotton, wool, polyamide, and cellulose acetate were functionalized with the prepared extract, all showing > 90% antioxidant activity. Functionalized cotton, wool, and polyamide exhibited > 99% antibacterial activity against both bacteria. Based on these findings and the fabrics’ ability to release bioactive compounds, functionalized cotton and polyamide fabrics having excellent bioactivity but a lower ability to release bioactive compounds can serve as protective fabrics for people with sensitive skin prone to wounds, and various products for hospitals. Functionalized wool was identified as the most suitable wound dressing for in vivo preclinical investigation on Wistar albino rats. The obtained results showcased a wound-healing rate of 95.54%, and hydroxyproline content of 8.08 µg/mg dry tissue for rats treated with functionalized wool. Compared to negative, positive, and a group of rats treated with non-functionalized wool, those treated with functionalized wool demonstrated elevated values of tissue redox state parameters, superoxide dismutase (SOD) and catalase (CAT), and a notable reduction in thiobarbituric acid reactive substances (TBARS) value. Analysis of the blood samples of rats treated with functionalized wool indicated increased levels of antioxidant defense system parameters (SOD and CAT) and decreased pro-oxidative markers superoxide (O2) and TBARS. Further clinical trials are needed to validate these findings. Full article
(This article belongs to the Special Issue Advances of Medical Textiles: 2nd Edition)
Show Figures

Figure 1

26 pages, 5918 KB  
Article
Autonomous Sewing Technology and System: A New Strategy by Integrating Soft Fingers and Machine Vision Technology
by Jinzhu Shen, Álvaro Ramírez-Gómez, Jianping Wang and Fan Zhang
Textiles 2025, 5(4), 45; https://doi.org/10.3390/textiles5040045 - 8 Oct 2025
Viewed by 1875
Abstract
The garment manufacturing industry, being labor-intensive, has long faced challenges in automating the sewing process due to the flexibility and deformability of fabrics. This study proposes a novel strategy for automated sewing by integrating soft fingers and machine vision technology. Firstly, leveraging the [...] Read more.
The garment manufacturing industry, being labor-intensive, has long faced challenges in automating the sewing process due to the flexibility and deformability of fabrics. This study proposes a novel strategy for automated sewing by integrating soft fingers and machine vision technology. Firstly, leveraging the flexibility and adjustability of soft fingers, combined with the motion characteristics of the sewing machine, a sewing model was established to achieve coordinated operation between the soft fingers and the sewing machine. Experimental results indicate that the fabric feeding speed and waiting time of the soft fingers are significantly correlated with the sewing speed and stitch density of the sewing machine, but not with the fabric properties. Secondly, machine vision technology was employed to inspect the quality of the sewn fabrics, achieving a classification accuracy of 97.84%. This study not only provides theoretical and technical support for the intelligent upgrading of the garment manufacturing industry but also lays the foundation for the automation of complex sewing processes such as quilting. Future research will further optimize the system’s performance and expand its applications in more complex sewing tasks. Full article
Show Figures

Figure 1

23 pages, 2047 KB  
Article
Experimental Analysis of Ultraviolet Radiation Transmission Behavior in Fiber-Reinforced Thermoset Composites During Photopolymerization
by Ludovico Biavati, Sylvester Vogl and Klaus Drechsler
Textiles 2025, 5(4), 44; https://doi.org/10.3390/textiles5040044 - 8 Oct 2025
Cited by 1 | Viewed by 788
Abstract
As the importance of sustainability and performance increases, new developments in the manufacturing of fiber-reinforced polymer composites (FRPC) are requested. Ultraviolet (UV) curing offers a faster, more economical, and eco-friendlier alternative to conventionally used thermal curing methods, e.g., autoclave curing, but according to [...] Read more.
As the importance of sustainability and performance increases, new developments in the manufacturing of fiber-reinforced polymer composites (FRPC) are requested. Ultraviolet (UV) curing offers a faster, more economical, and eco-friendlier alternative to conventionally used thermal curing methods, e.g., autoclave curing, but according to extant research, also presents some shortcomings, such as limitations to thin FRPCs and transparent glass fibers (GFs). This study analyses the UV light transmission in different thermoset FRPCs by irradiating various fiber samples on one side, while a sensor on the opposite side measures the transmitted irradiance. The materials investigated include unidirectional (UD) carbon fibers (CF), UD flax fibers (FF), and six GF fabrics with different ply structures. The fiber samples are tested in a dry, non-impregnated state and a resin-impregnated state using a UV-curable vinyl-ester-based resin. The results show that up to 16 plies of five GF fabrics are fully cured within the 20 s irradiation time and still exhibit a relatively high light transmission, revealing the potential of curing thick FRPCs with UV light. Furthermore, up to three plies of non-transparent FFs are cured, which is promising for the UV curing of natural fibers. Full article
Show Figures

Figure 1

32 pages, 3761 KB  
Review
Alternative and Sustainable Technologies for Freshwater Generation: From Fog Harvesting to Novel Membrane-Based Systems
by Musaddaq Azeem, Muhammad Tayyab Noman, Nesrine Amor and Michal Petru
Textiles 2025, 5(4), 43; https://doi.org/10.3390/textiles5040043 - 30 Sep 2025
Viewed by 2691
Abstract
Water scarcity is an escalating global challenge, driven by climate change and population growth. With only 2.5% of Earth’s freshwater readily accessible, there is an urgent need to explore sustainable alternatives. Textile-based fog collectors are advanced tools which have shown great potential and [...] Read more.
Water scarcity is an escalating global challenge, driven by climate change and population growth. With only 2.5% of Earth’s freshwater readily accessible, there is an urgent need to explore sustainable alternatives. Textile-based fog collectors are advanced tools which have shown great potential and have gained remarkable attention across the world. This review critically evaluates emerging technologies for freshwater generation, including desalination (thermal and reverse osmosis (RO)), fog and dew harvesting, atmospheric water extraction, greywater reuse, and solar desalination systems, e.g., WaterSeer and Desolenator. Key performance metrics, e.g., water yield, energy input, and water collection efficiency, are summarized. For instance, textile-based fog harvesting devices can yield up to 103 mL/min/m2, and modern desalination systems offer 40–60% water recovery. This work provides a comparative framework to guide future implementation of water-scarcity solutions, particularly in arid and semi-arid regions. Full article
Show Figures

Figure 1

16 pages, 4246 KB  
Article
Hyperspectral Imaging for Non-Destructive Detection of Chemical Residues on Textiles
by Lukas Kampik, Sophie Helen Gruber, Klemens Weisleitner, Gerald Bauer, Hannes Steiner, Leo Tous, Seraphin Hubert Unterberger and Johannes Dominikus Pallua
Textiles 2025, 5(4), 42; https://doi.org/10.3390/textiles5040042 - 28 Sep 2025
Viewed by 1528
Abstract
Detecting chemical residues on surfaces is critical in environmental monitoring, industrial hygiene, public health, and incident management after chemical releases. Compounds such as acrylonitrile (ACN) and tetraethylguanidine (TEG), widely used in chemical processes, can pose risks upon residual exposure. Hyperspectral imaging (HSI), a [...] Read more.
Detecting chemical residues on surfaces is critical in environmental monitoring, industrial hygiene, public health, and incident management after chemical releases. Compounds such as acrylonitrile (ACN) and tetraethylguanidine (TEG), widely used in chemical processes, can pose risks upon residual exposure. Hyperspectral imaging (HSI), a high-resolution, non-destructive method, offers a secure and effective solution to identify and spatially map chemical contaminants based on spectral signatures. In this study, we present an HSI-based framework to detect and differentiate ACN and TEG residues on textile surfaces. High-resolution spectral data were collected from three representative textiles using a hyperspectral camera operating in the short-wave infrared range. The spectral datasets were processed using standard normal variate transformation, Savitzky–Golay filtering, and principal component analysis to enhance contrast and identify material-specific features. The results demonstrate the effectiveness of this approach in resolving spectral differences corresponding to distinct chemical residues and concentrations but also provide a practical and scalable method for detecting chemical contaminants in consumer and industrial textile materials, supporting reliable residue assessment and holding promise for broader applications in safety-critical fields. Full article
Show Figures

Figure 1

Previous Issue
Next Issue
Back to TopTop