Next Issue
Volume 6, March
Previous Issue
Volume 5, September
 
 

Stresses, Volume 5, Issue 4 (December 2025) – 10 articles

  • Issues are regarded as officially published after their release is announced to the table of contents alert mailing list.
  • You may sign up for e-mail alerts to receive table of contents of newly released issues.
  • PDF is the official format for papers published in both, html and pdf forms. To view the papers in pdf format, click on the "PDF Full-text" link, and use the free Adobe Reader to open them.
Order results
Result details
Section
Select all
Export citation of selected articles as:
19 pages, 3275 KB  
Article
Dose-Dependent Effect of Foliar ZnO Nanoparticles on the Physiology, Mineral Nutrition, and Redox Status of Coffea arabica Seedlings Under Soil Acidity
by Amilcar Valle-Lopez, Jegnes Benjamín Meléndez-Mori, Eyner Huaman and Manuel Oliva-Cruz
Stresses 2025, 5(4), 70; https://doi.org/10.3390/stresses5040070 - 10 Dec 2025
Cited by 1 | Viewed by 978
Abstract
Soil acidity severely constrains coffee production by reducing nutrient availability and promoting aluminum toxicity and oxidative stress. Foliar zinc oxide nanoparticles (ZnO NPs) have been proposed as redox modulators that can improve nutrient homeostasis under abiotic stress. However, the safe and effective range [...] Read more.
Soil acidity severely constrains coffee production by reducing nutrient availability and promoting aluminum toxicity and oxidative stress. Foliar zinc oxide nanoparticles (ZnO NPs) have been proposed as redox modulators that can improve nutrient homeostasis under abiotic stress. However, the safe and effective range of Coffea arabica L. remains unclear. In this study, seedlings were grown in acidic soil and sprayed twice with ZnO NPs at 10, 25, 50, and 100 mg L−1. Morphophysiological, biochemical, and ionomic parameters were evaluated fifty days after treatment. Moderate ZnO NPs doses led to intermediate stomatal conductance values, whereas net photosynthesis showed intermediate but non-significant responses only at 10–25 mg L−1, with higher doses (50–100 mg L−1) causing a marked decline. These doses did not significantly modify hydrogen peroxide (H2O2) or malondialdehyde (MDA) levels in leaves or roots. In contrast, the highest dose (100 mg L−1) induced a marked increase in H2O2 without affecting MDA, indicating a partial oxidative response rather than clear lipid peroxidation. Foliar analysis showed that 50 mg L−1 ZnO NPs significantly increased P compared with the optimal soil, while Ca and K remained statistically similar across treatments. Na in the optimal soil was comparable to the 10–25 mg L−1 ZnO NPs treatments, whereas Na at 50–100 mg L−1 ZnO NPs was significantly reduced and foliar Zn increased markedly with increasing nanoparticle dose. Proline accumulation reflected a dose-dependent osmotic adjustment, and chlorophyll ratios indicated adaptive photoprotection. Overall, foliar ZnO NPs mitigated acidity-induced stress through physiological and ionomic adjustment, with 10–25 mg L−1 identified as the physiologically safe range for C. arabica seedlings grown under acidic conditions. Full article
(This article belongs to the Section Plant and Photoautotrophic Stresses)
Show Figures

Graphical abstract

31 pages, 1557 KB  
Review
Exploring How Reactive Oxygen Species Contribute to Cancer via Oxidative Stress
by Alireza Tavakolpournegari, Seyedeh Safoora Moosavi, Arash Matinahmadi, Zoofa Zayani and Seyed Hesamoddin Bidooki
Stresses 2025, 5(4), 69; https://doi.org/10.3390/stresses5040069 - 8 Dec 2025
Cited by 1 | Viewed by 1411
Abstract
Cancer remains a major global health burden driven by genetic, metabolic, and microenvironmental alterations. Although reactive oxygen species (ROS) and oxidative stress have long been implicated in cancer biology, current understanding remains fragmented and, in several areas, conceptually disputed considering how ROS and [...] Read more.
Cancer remains a major global health burden driven by genetic, metabolic, and microenvironmental alterations. Although reactive oxygen species (ROS) and oxidative stress have long been implicated in cancer biology, current understanding remains fragmented and, in several areas, conceptually disputed considering how ROS and oxidative stress thresholds determine the switch between tumor-promoting signaling and cytotoxic outcomes, and whether redox-based therapies can be safely and selectively applied across different cancer types. Moreover, existing studies often examine isolated pathways or single ROS, leaving unanswered the question of how spatial and temporal ROS dynamics and oxidative stress responses shape carcinogenesis, metastasis, and therapeutic resistance. This review moves beyond descriptive summarization by critically examining unresolved mechanistic gaps, including (i) how ROS and oxidative stress interact with epigenetic and metabolic reprogramming, (ii) the context-dependent role of ROS-driven oxidative stress within the tumor microenvironment and immune evasion, and (iii) why ROS-targeting and oxidative stress-modulating therapies have shown inconsistent clinical translation despite promising preclinical data. We highlight areas of consensus as well as conflicting evidence, synthesizing recent advances across multiple cancer types to clarify where ROS and oxidative stress function as drivers, modulators, or vulnerabilities. Finally, we outline emerging research priorities, such as real-time redox profiling, subtype-specific targeting strategies, and combination approaches, to guide the development of more precise and effective ROS- and oxidative-stress-based interventions. Full article
(This article belongs to the Collection Feature Papers in Human and Animal Stresses)
Show Figures

Figure 1

18 pages, 4519 KB  
Article
Effect of Silicon Formulation on Protecting and Boosting Faba Bean Growth Under Herbicide Damage
by Olga Ushakova, Nadezhda Golubkina, Vladimir Ushakov, Mikhail Fedotov, Andrey Alpatov, Dmitry Kravchenko, Ksenia Datsyuk, Marina Antoshkina, Anna Sindireva, Otilia Cristina Murariu and Gianluca Caruso
Stresses 2025, 5(4), 68; https://doi.org/10.3390/stresses5040068 - 30 Nov 2025
Viewed by 561
Abstract
Herbicide treatment for agricultural crops may cause dramatic damage to production amount and quality. The aim of the present investigation was to compare different silicon formulations to assess their efficiency in maintaining faba bean plant growth with the herbicide spray Dicameron. Soil pollution [...] Read more.
Herbicide treatment for agricultural crops may cause dramatic damage to production amount and quality. The aim of the present investigation was to compare different silicon formulations to assess their efficiency in maintaining faba bean plant growth with the herbicide spray Dicameron. Soil pollution due to Dicameron caused an intensive oxidant stress, decreasing bean pods, seed number and weight, antioxidant activity (AOA) and polyphenol content (TP), leaf chlorophyll, and carotene, sharply increasing proline level, and creating pod and leaf anomalies. All the Si formulations, i.e., ionic Si forms in the presence of microelements (Siliplant) or terpenes (BioSi), Si nanoparticles, and organic silicon adjuvant siloxane polyalkylene oxide (Atomic), significantly restored bean antioxidant status and leaf photosynthetic pigment accumulation, enhancing plant defense, as indicated by the proline level decrease. Only the ionic form of Si in the Siliplant formulation, containing essential microelements, facilitated the recovery of pod form and seed weight, while nano-Si was the most effective treatment for bean AOA restoration, and Atomic was the best in rebalancing chlorophyll and the worst in decreasing proline content. A strong beneficial effect of ionic Si in the presence of terpenes (BioSi) was recorded only on the yield of the control plants which did not undergo herbicide spraying. The results indicate a moderate beneficial effect of siloxane adjuvant on plant performance and antioxidant defense level and the highest positive impact on broad bean protection in response to the ionic Si (Siliplant formulation) supply also containing Cu, Zn, Mo, Mn, Fe, and B. Full article
(This article belongs to the Section Plant and Photoautotrophic Stresses)
Show Figures

Graphical abstract

13 pages, 688 KB  
Article
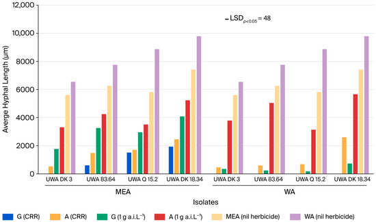
Herbicides Constrain Hyphal Growth, Conidial Germination, and Morphological Transformation in a Dimorphic Fungal Pathogen
by Yan Ai, Ming Pei You, Guijun Yan and Martin J. Barbetti
Stresses 2025, 5(4), 67; https://doi.org/10.3390/stresses5040067 - 26 Nov 2025
Viewed by 422
Abstract
White leaf spot disease [Neopseudocercosporella capsellae (Ellis & Everhart) S.I.R.Videira & P.W.Crous] poses a significant threat to rapeseed production globally. The herbicides atrazine and glyphosate are widely applied to herbicide-tolerant major crops, including rapeseed. Herbicides can affect disease levels directly and indirectly [...] Read more.
White leaf spot disease [Neopseudocercosporella capsellae (Ellis & Everhart) S.I.R.Videira & P.W.Crous] poses a significant threat to rapeseed production globally. The herbicides atrazine and glyphosate are widely applied to herbicide-tolerant major crops, including rapeseed. Herbicides can affect disease levels directly and indirectly by stressing host plants, influencing pathogens, and altering abiotic and biotic stress levels in the environment. The specific effects of herbicides on the dimorphic pathogen N. capsellae regarding hyphal growth, conidial germination rate, and the morphological transformation from multi-celled hyphae or conidia into numerous single-celled blastospores remain unknown. Hence, studies were performed on two agar media [malt extract agar (MEA) and water agar (WA)] to determine how atrazine and glyphosate, each applied at 1 g a.i. L−1 or the commercial recommended concentrations of 10 and 7.8 g a.i. L−1, respectively, affect these characteristics in four highly pathogenic isolates of N. capsellae. Across a 32-day assessment period, the hyphal growth of all four isolates subcultured individually on MEA or WA was significantly restricted by both concentrations of atrazine and glyphosate. For both atrazine and glyphosate, restriction of hyphal growth was much greater at the higher commercial recommended concentration. Glyphosate restricted hyphal growth more than atrazine for each comparative concentration. Using a mixture of all four isolates, a similar trend of suppression by atrazine or glyphosate occurred in relation to conidial germination and the morphological transformation from multi-celled hyphae or conidia into numerous single-celled blastospores. These new insights into how herbicides constrain hyphal growth, conidial germination, and morphological transformation suggest their potential as a control measure in herbicide-tolerant crops to limit the epidemic spread and development of not only N. capsellae in rapeseed but other dimorphic fungal pathogens as well. Full article
(This article belongs to the Section Plant and Photoautotrophic Stresses)
Show Figures

Figure 1

19 pages, 1316 KB  
Review
Under Pressure: Environmental Stressors in Urban Ecosystems and Their Ecological and Social Consequences on Biodiversity and Human Well-Being
by Emiliano Mori, Tiziana Di Lorenzo, Andrea Viviano, Tamara Jakovljević, Elena Marra, Barbara Baesso Moura, Cesare Garosi, Jacopo Manzini, Leonardo Ancillotto, Yasutomo Hoshika and Elena Paoletti
Stresses 2025, 5(4), 66; https://doi.org/10.3390/stresses5040066 - 19 Nov 2025
Cited by 4 | Viewed by 2403
Abstract
Urban ecosystems are increasingly shaped by multiple environmental stressors, which may threaten both biodiversity and human well-being. We summarised the current knowledge on the ecological and social consequences of seven major urban pressures: air pollution, freshwater degradation, biological invasions, noise pollution, habitat fragmentation, [...] Read more.
Urban ecosystems are increasingly shaped by multiple environmental stressors, which may threaten both biodiversity and human well-being. We summarised the current knowledge on the ecological and social consequences of seven major urban pressures: air pollution, freshwater degradation, biological invasions, noise pollution, habitat fragmentation, soil pollution and climate crisis. Air and soil pollution, largely driven by traffic and industrial activities, compromises vegetation functions, reduces ecosystem services, and affects human health. Urban freshwater systems face contamination from stormwater runoff, wastewater, and microplastics, leading to biodiversity loss, altered ecosystem processes, and reduced water availability. Biological invasions, facilitated by human activities and habitat disturbances, reshape ecological communities, outcompete native species, and impose socio-economic costs, while management requires integrated monitoring and citizen engagement. Noise pollution disrupts animal communication, alters species distributions, and poses significant risks to human physical and mental health. Simultaneously, habitat fragmentation and loss reduce ecological connectivity, impair pollination and dispersal processes, and heighten extinction risks for both plants and animals. Collectively, these stressors interact synergistically, amplifying ecological degradation and exacerbating health and social inequalities in urban populations. The cumulative impacts highlight the need for systemic and adaptive approaches to urban planning that integrate biodiversity conservation, public health, and social equity. Nature-based solutions, ecological restoration, technological innovation, and participatory governance emerge as promising strategies to enhance urban resilience. Furthermore, fostering citizen science initiatives can strengthen monitoring capacity and create community ownership of sustainable urban environments. Addressing the combined pressures of urban environmental stressors is thus pivotal for building cities that are ecologically robust, socially inclusive, and capable of coping with the challenges of the climate crisis and global urbanization. Full article
Show Figures

Figure 1

12 pages, 451 KB  
Review
Ozone Pollution and Urban Greening
by Elena Paoletti, Pierre Sicard, Alessandra De Marco, Barbara Baesso Moura and Jacopo Manzini
Stresses 2025, 5(4), 65; https://doi.org/10.3390/stresses5040065 - 14 Nov 2025
Cited by 3 | Viewed by 1270
Abstract
Tropospheric ozone (O3) pollution is a major concern in urban environments because of its toxicity for both people and vegetation. This paper review provides an overview of atmospheric mechanisms, as well as the potential and best management practices of urban greening [...] Read more.
Tropospheric ozone (O3) pollution is a major concern in urban environments because of its toxicity for both people and vegetation. This paper review provides an overview of atmospheric mechanisms, as well as the potential and best management practices of urban greening for reducing O3 pollution in cities. Urban greening has often been proposed as a cost-effective solution to reduce O3 pollution, but its effectiveness depends on careful species selection and integration with broader air quality management strategies. Ozone is a secondary pollutant and the volatile organic compounds emitted by vegetation (BVOCs) can play a prominent role in O3 formation. A list of recommended and to-avoid species is given here to drive future planting at city scale. Planting low BVOC-emitting species and combining greening with reductions in anthropogenic emissions are key to maximizing benefits and minimizing unintended increases in O3. Public and non-public institutions should carefully select plant species in consultation with expert scientists from the early stages, e.g., by considering local conditions and pollutant dynamics to design effective greening interventions. Collaborative planning among urban ecologists, atmospheric scientists, and municipalities is thus crucial to ensure that greening interventions contribute to overall air quality improvements rather than inadvertently enhancing O3 formation. Such improvements will also translate into plant protection from O3 stress. Therefore, future directions of research and policy integration to achieve healthier, O3-resilient urban ecosystems are also provided. Full article
Show Figures

Figure 1

29 pages, 2280 KB  
Review
Arctic Plants Under Environmental Stress: A Review
by Natalia Vladimirovna Vasilevskaya
Stresses 2025, 5(4), 64; https://doi.org/10.3390/stresses5040064 - 28 Oct 2025
Viewed by 2328
Abstract
Arctic plants inhabit extremely cold environments and are exposed to a range of abiotic stress factors. Arctic species exhibit remarkable adaptability to multiple environmental challenges, including a short growing season, low summer temperatures, continuous 24-h daylight during the polar day, limited nitrogen availability [...] Read more.
Arctic plants inhabit extremely cold environments and are exposed to a range of abiotic stress factors. Arctic species exhibit remarkable adaptability to multiple environmental challenges, including a short growing season, low summer temperatures, continuous 24-h daylight during the polar day, limited nitrogen availability in soils, water scarcity, and strong winds. This review examines the key features of growth, development, and reproduction in Arctic plants, as well as their physiological and genomic adaptations to extreme climatic conditions. While Arctic plants show remarkable physiological tolerance, community-level resistance varies regionally and remains an open question. Full article
(This article belongs to the Collection Feature Papers in Plant and Photoautotrophic Stresses)
Show Figures

Figure 1

22 pages, 6951 KB  
Article
Vigour Index on Time Basis Calculation on Agastache mexicana Subsp. mexicana Throughout Induced Hydric Stress: SiO2 and Artificial Shade Application Effects
by Blas Cruz-Lagunas, Edgar Jesús Delgado-Núñez, Juan Reséndiz-Muñoz, Flaviano Godínez-Jaimes, Romeo Urbieta-Parrazales, María Teresa Zagaceta-Álvarez, Yeimi Yuleni Pureco-Leyva, José Luis Fernández-Muñoz and Miguel Angel Gruintal-Santos
Stresses 2025, 5(4), 63; https://doi.org/10.3390/stresses5040063 - 23 Oct 2025
Viewed by 810
Abstract
Understanding the impact of hydric stress on medicinal plants in the context of climate change is becoming increasingly important. This study aimed to assess the quality of a seed lot of Agastache mexicana subsp. mexicana (Amm) through a novel calculation of [...] Read more.
Understanding the impact of hydric stress on medicinal plants in the context of climate change is becoming increasingly important. This study aimed to assess the quality of a seed lot of Agastache mexicana subsp. mexicana (Amm) through a novel calculation of the Vigour Index on time basis (VIT). The evaluation was based on relationships among plant height, leaf number, survival time, and plant density across six irrigation regimes, referred to as stages, which differed in the timing and quantity of water, designed to impose water stress from seedling emergence until plant death. To maximise growth and survival time, we utilised two input factors: Artificial Shade Levels (ASLs) of 38%, 87%, and 94%, as well as Silicon Dioxide Levels (SDLs) of 0.0%, 0.2%, 0.4%, and 0.8%. The effects of these treatments were measured using the Survival Index (SI) and the VIT. The plants achieved their highest SI and VIT values influenced by minimum mortality and maximum height and leaf number in stage three. This behaviour aligned with the field capacity of the substrate, supporting the evaluation of stages one and two as waterlogging stress, while the remaining stages were classified as drought stress. The VIT results showed statistically significant effects from ASL, particularly at 94%. However, the VIT in relation to SDL was not statistically significant. The VIT measurements were visualised using spline interpolation, a method that provides an effective approach to quantify adverse conditions affecting Amm’s development and that it can support to identify the hydric stresses type. Full article
(This article belongs to the Collection Feature Papers in Plant and Photoautotrophic Stresses)
Show Figures

Figure 1

23 pages, 5196 KB  
Article
Identifying Winter Light Stress in Conifers Using Proximal Hyperspectral Imaging and Machine Learning
by Pavel A. Dmitriev, Boris L. Kozlovsky, Anastasiya A. Dmitrieva, Mikhail M. Sereda, Tatyana V. Varduni and Vladimir S. Lysenko
Stresses 2025, 5(4), 62; https://doi.org/10.3390/stresses5040062 - 21 Oct 2025
Viewed by 1948
Abstract
The development of remote methods for identifying plant light stress (LS) is an urgent task in agriculture and forestry. Evergreen conifers, which experience winter light stress (WLS) annually, are ideal subjects for studying the mechanisms of light stress and developing identification methods. Proximal [...] Read more.
The development of remote methods for identifying plant light stress (LS) is an urgent task in agriculture and forestry. Evergreen conifers, which experience winter light stress (WLS) annually, are ideal subjects for studying the mechanisms of light stress and developing identification methods. Proximal hyperspectral imaging (HSI) was used to identify WLS in Platycladus orientalis. Using the random forest (RF), the spectral characteristics of P. orientalis shoots were analysed and the conditions ‘Winter Light Stress’ and ‘Optimal Condition’ were classified with high accuracy. The out-of-bag (OOB) estimate of the error rate was only 0.35%. Classification of the conditions ‘Cold Stress’ and ‘Optimal Condition’—with an OOB estimate of error rate of 3.19%—can also be considered successful. The conditions ‘Winter Light Stress’ and ‘Cold Stress’ were more poorly separated (OOB error rate 15.94%). Verifying the RF classification model for the three states ‘Optimal condition’, ‘Cold stress’ and ‘Winter Light Stress’ simultaneously using data from the crown field survey showed that the ‘Winter Light Stress’ state was well identified. In this case, ‘Optimal condition’ was mistakenly defined as ‘Cold stress’. The following vegetation indices were significant for identifying WLS: CARI, CCI, CCRI, CRI550, CTRI, LSI, PRI, PRIm1, modPRI and TVI. Therefore, spectral phenotyping using HSI is a promising method for identifying WLS in conifers. Full article
(This article belongs to the Section Plant and Photoautotrophic Stresses)
Show Figures

Graphical abstract

19 pages, 2322 KB  
Article
Dose-Dependent Effects of Boron on Photosynthetic and Oxidative Processes in Young Sugar Beet (Beta vulgaris L.) Plants
by Ferenc Csima, Richárd Hoffmann, Gabriella Kazinczi and Ildikó Jócsák
Stresses 2025, 5(4), 61; https://doi.org/10.3390/stresses5040061 - 16 Oct 2025
Cited by 1 | Viewed by 836
Abstract
Sugar beet (Beta vulgaris L.) is very sensitive to fluctuations in micronutrient availability, and either an excess or a shortage of boron (B) may reduce the plant’s development and its ability to withstand stress. B is essential for photosynthesis and cell wall [...] Read more.
Sugar beet (Beta vulgaris L.) is very sensitive to fluctuations in micronutrient availability, and either an excess or a shortage of boron (B) may reduce the plant’s development and its ability to withstand stress. B is essential for photosynthesis and cell wall integrity, but the physiological requirements for an optimal supply during early development remain unclear. The photosynthetic efficiency and oxidative stress reactions of sugar beet seedlings were tested under five different B concentrations: 0, 50, 500, 1000, and 2000 µM H3BO3. Integrating non-invasive methods like SPAD, delayed fluorescence (DF), and maximum quantum efficiency of PSII (Fv/Fm) with red–green–blue (RGB) imaging enabled the detailed processing of both the initial and decay phases of DF. According to the results, SPAD and Fv/Fm were not sensitive indicators of early B stress; however, DF decay slopes and red–green–blue pixel distribution distinguished between optimum (500 µM), inadequate (0 µM), and hazardous (2000 µM) treatments. Moreover, lipid oxidation-related biochemical analyses were used to evaluate the ferric reducing antioxidant capacity (FRAP) and malondialdehyde (MDA) concentration. At the extremes of insufficiency and toxicity, MDA levels demonstrated enhanced lipid peroxidation, while FRAP increased with B concentration. The outcome of the research revealed optimum (500 µM) and toxicity-inducing (2000 µM) concentrations at early stages of sugar beet development. The study highlights that the combined use of DF kinetics and RGB analysis provides valuable, non-invasive markers for the early identification of B-stress, which is also confirmed by biochemical indicators, thereby promoting more efficient micronutrient management in sugar beet cultivation. Full article
(This article belongs to the Collection Feature Papers in Plant and Photoautotrophic Stresses)
Show Figures

Figure 1

Previous Issue
Next Issue
Back to TopTop