Simple Summary
Parental care in birds is a common area of interest for bird experts and behavior scientists. Raising chicks can take a lot of energy and may influence the health, survival and future breeding success of the parents. Typically, mates contribute similarly to the work of caring for their young. This study looks at the breeding behavior of a bearded vulture (Gypaetus barbatus) pair on the island of Crete (Greece), focusing on how the male and the female bird share parental care throughout the breeding season. The results show that both parents contributed similarly to caring for their young but with some differences. The male spent more time incubating the eggs and watching over the chick, while the female focused more on keeping the chick warm, feeding it, and maintaining the nest. Incubation and brooding tasks were steady throughout the day, while feeding happened more often during the early morning. As the breeding season went on, the parents’ behavior became more relaxed. On average, the birds switched roles in the nest about 2.3 times a day depending on the local environment and their need to find food.
Abstract
This study investigates the breeding behavior of the bearded vulture (Gypaetus barbatus) with regard to the role of the sexes in parental care and the stages of the breeding season. Fieldwork took place in western Crete, where one pair was monitored through an automated surveillance system during 2003–2005, recording 892 h of data. A continuous focal sampling method was pursued, marking the behavioral pattern of each parent bird in the nest. Our results show minimal sexual differences in parental investment, though variations were detected in the frequency and the time spent on certain breeding duties. The male was more often recorded attending the chick and incubated the clutch for longer bouts. Conversely, the female contributed more in brooding and feeding the young as well as in maintaining the nest in good condition. Incubation and brooding were consistent throughout the daytime, while feeding was more often recorded during early morning hours. All behavioral patterns relaxed as the breeding season progressed. Social interactions culminated during 5–7 weeks after egg hatching. The mean frequency of nest changeovers was 2.3 ± 1.49 per day or ca. every 3.7 h, varying through the breeding season, depicting the local environmental conditions and the time budget spent in foraging by the adult birds.
1. Introduction
In the life history of avian taxa, homeothermy, egg laying and the need for rapid growth of the offspring are regarded as crucial evolutionary drivers for their social structure and the establishment of reproductive units [1,2]. In addition, ecological factors, such as adverse weather conditions (e.g., temperature and precipitation), food availability and exposure to predation risks, can affect breeding behavior, e.g., nest attendance routines, egg-rolling rates and incubation shifts [3,4,5]. In addition, species-specific and individual traits (e.g., the stage of the reproductive cycle, clutch size, parents’ age and experience) may determine much of the process of parental care, as well as the mating system of birds, i.e., monogamy versus polygamy [6,7,8,9,10].
Birds exhibit a great diversity of mating and parental behavioral patterns, though social monogamy with bi-parental care is by far the most common breeding strategy (i.e., 91% of avian species; [2,11,12]). The importance of parental care for offspring survival is considered a key feature of the evolution of monogamy [9,10,13]. Furthermore, oviparity and endothermy, which demand intensive or even continuous care of the clutch and the brood, have promoted this mating system [14,15]. In this context, a strong pair bond and the involvement of both parents in the breeding duties are essential for attaining high reproductive success (i.e., the bi-parental care hypothesis; [13,16]). Nevertheless, there are avian species, such as birds of prey, which exhibit significant asymmetries in parental investment that have been related to dietary differences between the sexes as a consequence of their reversed size dimorphism [17,18,19,20]. As a norm, males do all the hunting and food provisioning to the nest, whereas females primarily incubate the eggs and brood the young [21,22]. Vultures are among the raptor species that provide bi-parental care to their offspring by incubation and foraging equally [18]. This pattern has been mainly attributed to their prolonged reproductive cycle, their scavenging way of life and the subtle differences between the size of the sexes [22].
The bearded vulture (Gypaetus barbatus) constitutes an interesting model species for studying bi-parental care in large raptors, although its nesting sites are difficult to monitor [23]. The species occupies mountainous areas of the western Palearctic and Afrotropical regions, feeding primarily on bones originating from the carcasses of medium-sized mammals [21,24]. At present, it is listed as “Near Threatened” in the European IUCN Red List [25], with an estimated population of 465 breeding pairs, of which ca. 290 are found in the Pyrenees and the Alps, where it was reintroduced in the 1980s [26,27,28]. The species breeds in nest cavities situated on large rocky outcrops or vertical cliffs [29,30], where clutches of two eggs are usually laid, although only the first-born chick ultimately survives [31].
The bearded vulture is a long-lived, monogamous and monomorphic species [21,29,32] and possesses life-history traits that are species-specific (e.g., osteophagy) and unique among eagles and vultures (e.g., territoriality, siblicide and scavenging) [21,24,33,34]. Moreover, the species’ breeding units deviate from monogamous pairs, forming polyandrous or polygynous trios [35,36,37]; thus, investigating its breeding behavior could assist us in understanding the relationship between mating mechanisms and patterns of parental care. Over the species’ entire distribution range, i.e., Eurasia and Africa, data on breeding behavior exist for both its subspecies, i.e., Gypaetus barbatus barbatus and Gypaetus barbatus meridionalis. More specifically, the division of parental tasks between the sexes has been studied in eight pairs in the Spanish Pyrenees [33], four pairs in the alpine range [23] and seven pairs in South Africa [38], where behavioral data were obtained by visual observations from vantage points.
In this study, we present data on the parental activities of one pair on the island of Crete that was closely monitored at the nest for two consecutive breeding seasons via a video surveillance system. The aims of the study were to (1) describe the species’ breeding activities during the different stages of the reproductive cycle after egg laying, (2) assess the contribution of each mate to the parental obligations, expecting minimum differences given the lack of sexual dimorphism and the feeding ecology of the species and (3) investigate any discrepancies in behavioral patterns compared to the existing ones from continental populations. In contrast to other regions, the species experiences unique demographic and ecological conditions on Crete. First, it has a low population density, meaning a reduced rate of intra-specific interactions (e.g., competition for food or nest sites or territorial intrusions by floaters). Second, it depends on food almost exclusively from nomadic herds breeding in their proximity in middle altitude areas in order to achieve optimal foraging [39,40]. Third, it occupies the southernmost and warmest zone of its European range, thus frequently facing extremely high temperatures during the chick-rearing and fledging periods (e.g., 30–38 °C). In the latter context, the present investigation did not intend to provide an exhaustive description of the species’ nesting behavior (see [33,38]) but to acquire quantitative data for comparison reasons and use them in future studies on the species’ response to environmental change [41]. Last but not least, this knowledge can aid attempts at captive breeding for reintroduction projects of the species in the country.
2. Materials and Methods
2.1. Study Site and Pair
The study was carried out between 2003 and 2005 (two breeding periods) in a bearded vulture territory in an area of western Crete that is covered by typical Mediterranean vegetation, i.e., low cushion-type shrubs (phrygana), and characterized by an arid climate, i.e., a dry season (<80 mm) lasting from April till October and a mean annual precipitation of ca. 250 mm. The average minimum temperature in January is 11.9 °C, while the average maximum temperature in July is 28.4 °C. The absolute high temperature recorded in the area during the study period was, on average, 29.4 °C (range = 15–40 °C). The pair’s nest is located at an altitude of 550 m a.s.l on the upper one-third of a 150 m high limestone cliff, facing southeast and receiving, on average, 7 h of sunlight per day. During the study years, the bearded vulture population on Crete numbered ca. 30 individuals, with only 4 breeding pairs [42]; thus, the particular pair represented 25% of the national population given the species’ extinction on the mainland since the early 1990s [42]. The reproductive cycle of the focal pair extended from early October to mid-November, with the laying of the clutch until late April and the fledging of the young in mid-May [40].
2.2. Data Collection and Analysis
The monitoring of the pair was pursued through a video surveillance system that was installed in its nest cavity. Overall, it included a camera, a solar panel for a power source, a transmitting antenna and a receiving antenna, a computer with a Video/Audio signal compression card and numerous hard discs for data storage. (For a meticulous description of the components, installation, operation and maintenance of the system, see [34]). The study period covered 657 days, namely, from egg laying and the onset of incubation till the fledging of the chick and for the following month as the young often visited the nest, still depending on its parents for food. In total, the nest was successfully monitored for 463 days, whereas the total number of full recording days (i.e., from 06:30 am to 17:30) was 138. The decreased number of full days of recording is due to technical errors and charging difficulties of the system (see [34]). Initially, we registered all behavioral patterns based on the existing literature, and after watching 892 h of video material, an ethogram of behaviors was created and stored in a database (Microsoft Access), where specific drop-down menus were designed to describe the various behavioral patterns in subcategories.
For observational purposes, a continuous focal sampling method was used following each parent at the nest. The gender of the mates was identified by observing their position during copulation and later on by plumage patterns, i.e., the pectoral band, which was darker and more noticeable in the female bird. We recorded the time of arrival and time of departure of the parent birds at the nest and registered (a) the type/category of behavior, (b) the date and time it occurred and (c) the sex of the adult individual involved. Overall, 21 behavioral categories were determined (Table 1). These were assigned into state (continuous) and event (dichotomous) activities, with the hourly rate of behavioral bouts (i.e., min/hour) and the frequency of occurrence (i.e., proportion of observations) being the salient features of their description [43].
Table 1.
Description of the main behavioral activities (ethogram) of a bearded vulture (Gypaetus barbatus) pair monitored by a video surveillance system in Crete during 2003–2005.
The stages of the breeding cycle examined were (1) incubation of the clutch (2–3/3–4 weeks) and (2) egg hatching and chick rearing. The latter stage was further separated into the post-hatching period when the chick was strictly dependent on its parents (7–8 weeks) and the pre-fledging period when the chick was left unattended at the nest (10–11 weeks). The pre-fledging period lasted until the chick fledged (in both breeding seasons). For the purpose of comparison between behavioral patterns within the day, the data were also divided into five datasets, each one addressing different parts of the daylight hours and sharing an equal video time duration (10,704 min): (a) early morning (06:30–09:30), (b) late morning (09:30–11:30), (c) midday (11:30–13:30), (d) early afternoon (13:30–15:30) and (e) late afternoon (15:30–17:30).
Data are reported as means (minutes/hour) ± standard deviation and percentages of frequency for state and event behavioral patterns, respectively. Some activities (i.e., incubation, brooding and feeding) were considered both state and event activities since the duration and frequency of occurrence were considered important for the purpose of the study. The sample unit was a “full pair-day”, namely, subsequent videos where the breeding pair was recorded continuously from dawn to dusk. Given the number of focal pairs, temporal autocorrelation was inevitable, so we focused our investigation on the distinctiveness of state and event activities across the different stages of the breeding season rather than among days or weeks after egg laying. Continuous data were checked for normality and homogeneity of variances using Shapiro–Wilk’s statistics and Levene’s test, respectively. In cases of violation of normality, non-parametric tests for paired data [44] were applied. We used the G-test of the goodness of fit, along with William’s correction factor, to compare the homogeneity of frequencies and contingency tables [45]. The interactive effect of sex and breeding stage on behavioral bouts was investigated by applying a generalized linear model with a log-link function and a gamma error distribution on the pooled data [46,47]. The bout duration of each behavioral activity was set as the response variable, while sex and breeding stage (both set as factors) were the explanatory ones. All statistical tests were performed at a 0.05 level of significance using the software package R 4.0.3 [48] and the libraries “stats”, “FSA”, “pgirmess” and “RVAideMemoire” [49,50,51].
3. Results
3.1. Subsection
3.1.1. Incubation and Brooding
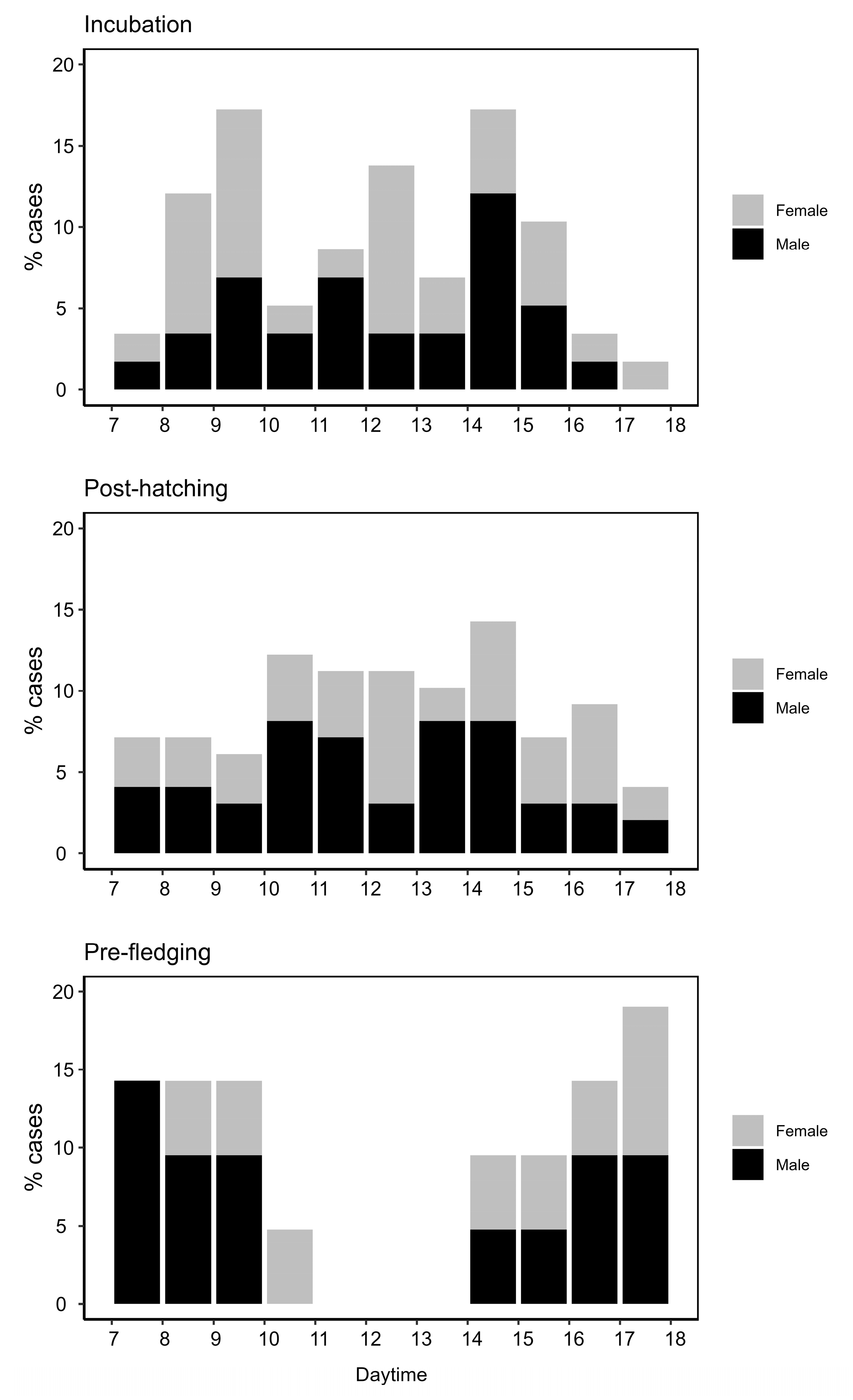
During incubation, the parent birds covered the clutch continuously, apart from short interruptions for inspecting and rolling the eggs. The latter activity was equally performed between the sexes, with an average frequency of 4 ± 3 times/day (i.e., male = 3.9 ± 2.5 vs. female = 4.1 ± 2.6, t-test, t = 0.25, and p = 0.80). The incubation task was consistent throughout the day (45.8 ± 10.7 min/h, Kruskal–Wallis test, H4 = 8.35, and p = 0.08) and equally shared between the mates (female 52.5% vs. male 47.5%, G-test, G = 2.9, and p = 0.85). Both birds participated in incubation during the daytime and night, though the daily rate of the male spending time on the eggs was slightly but significantly larger than that of the female for most of the day (50.2 ± 4.2 min/h vs. 42.8 ± 4.8 min/h, Scheirer–Ray–Hare test, H1,4 = 4.8, and p = 0.03) (Figure 1). After egg hatching, both parents remained together at the nest for longer periods than during incubation, with at least one parent guarding the hatchling. Most of the time, it was the female bird engaged in brooding, namely, covering and nibbling the nestling (63.8%, G-test, G = 74, and p < 0.001), and this pattern was most pronounced during the morning (73.1%, G-test, G = 91.8, and p < 0.0001) and midday hours (68.5%, G-test, G = 25, and p < 0.0001). However, the amount of time of brooding bouts did not differ among the sexes (male = 43.8 ± 6 min/h, female = 41.4 ± 5.9 min/h, Wilcox test, W = 100139, and p = 0.14) or between different parts of the day (42.2 ± 6 min/h, Kruskal–Wallis test, H4 = 1.87, and p = 0.75).
Figure 1.
Daily incubation pattern in relation to sex of a bearded vulture pair in Crete monitored during 2003–2005. (***: difference statistically highly significant; p < 0.001).
3.1.2. Nestling Feeding
Observations of food provisioning were equally recorded between mates, whereas feeding the chick was assigned to two behavioral types, i.e., food preparation and food delivery. Food items were elaborated by the parents more often during the post-hatching period (71.2%, G-test, G = 231, and p < 0.0001) and early morning hours (31.7%, G-test, G = 105, and p < 0.001) but primarily by the female bird (72.6%, G-test, G = 265, and p < 0.001). Likewise, the time spent in food preparation was significantly higher for the female (female = 5.10 ± 5.3 min/h vs. male = 3.26 ± 3 min/h, Wilcoxon test, W = 7418, and p = 0.003), and this was significantly so during the pre-fledging period (Wilcoxon test, W = 7365, and p = 0.007). No differences were detected in the time allocated to food preparation between the different phases of the day (Kruskal–Wallis, H4 = 3.36, and p = 0.5).
Feeding the chick was mostly recorded in the post-hatching period (79.1%, G-test, G = 187.5, and p < 0.0001) and took place predominantly during the early morning hours (30%, G-test, G = 33.3, and p < 0.001). Feeding the nestling was carried out mostly by the female bird (62.8%, G-test, G = 36.6, and p < 0.001), and this was confirmed by the glm model, where no interactive effect between sex and breeding stage was detected (i.e., the male coefficient estimate = −0.45, t = −4.37, and p < 0.001). Feeding bouts lasted, on average, longer during the post-hatching rather than the pre-fledging period (Wilcoxon test, W = 28,434, and p = 0.017) but were consistent between the sexes (5.64 min/h) and throughout the day (Kruskal–Wallis test and p > 0.05).
3.1.3. Chick Attendance
Overall, attendance was more frequently recorded during the pre-fledging period (63.6%, G-test, G = 74.9, and p < 0.001) and the late afternoon hours (27.2%, G-test, G = 34.9, and p < 0.001). In addition, the male bird was observed more often attending the chick (55.7%, G-test, G = 44.3, and p = 0.006), with this difference mostly detected during late morning (54%, G-test, G = 29.5, and p < 0.001). The time spent on this task was, on average, less during the pre-fledging compared to the post-hatching period (30 ± 7.5 vs. 35.6 ± 6.4 min/h, Wilcoxon test, W = 130,161, and p = 0.0015), and it was caused by an interactive effect between sex and breeding stage (i.e., male pre-fledging coefficient estimate = −0.23, t = −2.35, and p = 0.019).
3.1.4. Nest Maintenance and Surveillance
Nest maintenance was accomplished more often by the female bird (56.9%, G-test, G = 7.6, and p = 0.005) through the incubation (67.6%, G-test, G = 9.3, and p = 0.002) and post-hatching periods (83.6%, G-test, G = 6.7, and p = 0.009) and mostly during midday hours (65.8%, G-test, G = 8.7, and p = 0.0031). In contrast, the time allocated to nest maintenance during the different stages of the breeding period and the phases of the day was equal between the sexes (Kruskal–Wallis test and p > 0.05). Bringing nest material to the nest was mostly observed during the post-hatching stage (61.5%) and was largely performed by the female bird (76.9%). In terms of nest surveillance, the adult birds were involved in this activity more frequently during the post-hatching period (62.5%, G-test, G = 103, and p < 0.001) and midday hours (25.7%, G-test, G = 16.4, and p = 0.002). However, the male parent was recorded more often overlooking the nest during late morning (74%, G-test, G = 13.3, and p = 0.0002). The time spent surveying the nest was shorter during the incubation period (1.23 ± 0.48 min/h, Kruskal–Wallis test, H2 = 14.7, and p = 0.0006) compared to the chick-rearing period, but no significant intra-sexual differences or interactions were detected in relation to the various breeding stages or daytime periods. Actual defense of the nesting site took place on 17 occasions, where aggressive behavior against intruders to the nesting territory was recorded. The species involved were the golden eagle (Aquila chrysaetos) and the raven (Corvus corax). In one first case, an incubating bearded vulture left the nest and attacked a passing eagle, while, in the rest (n = 16), an adult bird harassed ravens flying close to the nest cavity or landing on its ledge. The vulture–raven interactions occurred almost exclusively in midday hours (13:00–14:00) during the post-hatching period (n = 14) and were all initiated by the female parent that was brooding the hatchling. On the contrary, the male bird chased away a raven only twice during the incubation and pre-fledging periods, respectively.
3.1.5. Changeovers
Overall, 177 changeovers were recorded, of which 58 (32.8%) occurred during the incubation stage (2.1 ± 0.98/day and range = 1–5), 98 (55.4%) during the post-hatching stage (2.7 ± 1.65/day and range = 1–7) and 21 (11.9%) during the pre-fledging stage (1.8 ± 1.76/day and range = 1–6). For the entire breeding period, the mean daily frequency was 2.3 ± 1.49 changeovers, with the parent birds being significantly more active during the post-hatching period (Kruskal–Wallis and post hoc multiple-comparison Dunn tests, H2 = 22.2, and p < 0.001). Given the last figure, nest relief took place approximately every 3.7 h (range = 1.3–6.4 h). On average, nest changeovers occurred at 12:22 pm, but their frequency was variable, showing a tri-modal pattern during the incubation period with peaks between 8:00 and 10:00 (29.3%), 12:00 and 13:00 (13.8%) and 14:00 and 16:00 (27.5%). Then, it leveled off during the port-hatching period, with changeovers spreading rather uniformly between 10:00 and 15:00 (59.2%), and then exhibited two major peaks during the pre-fledging period, namely, between 7:00 and 10:00 (42.9%) and 16:00 and 18:00 (33.3%) (Figure 2).
Figure 2.
Daily pattern of changeovers in relation to the breeding stage of a bearded vulture (Gypaetus barbatus) pair monitored by a video surveillance system in Crete during 2003–2005.
3.1.6. Social Interactions
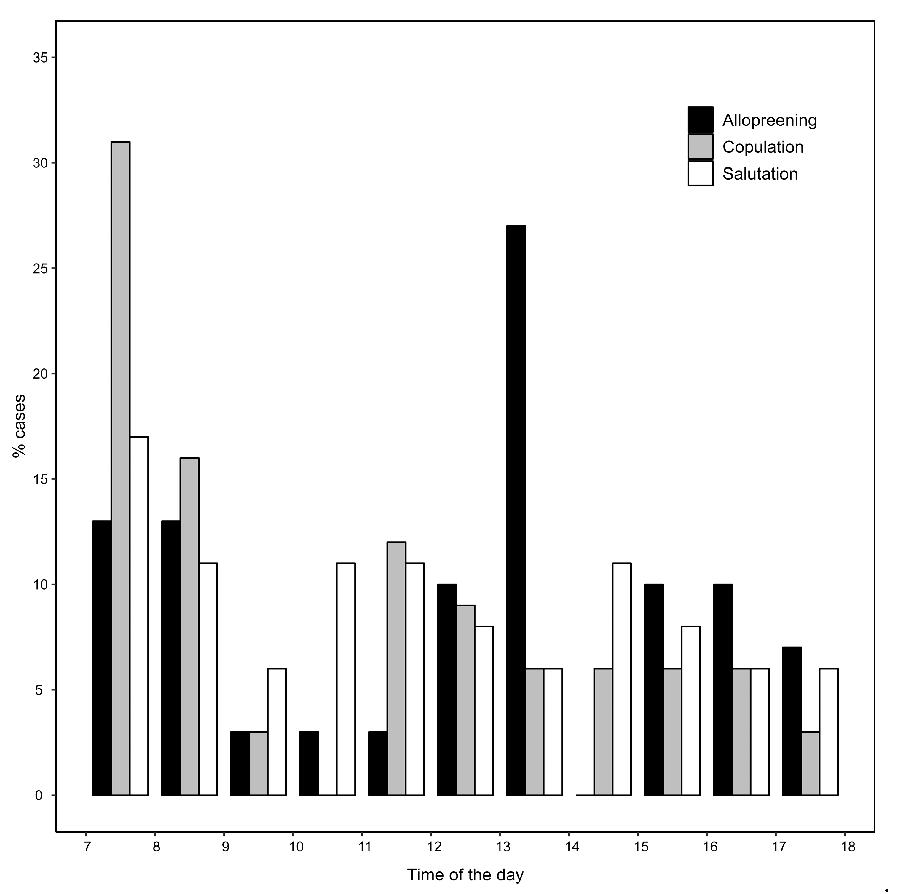
All types of social interaction were recorded significantly more often during the post-hatching period (78.6%) than the incubation and the pre-fledging periods (G-test, G = 15.7, p < 0.003, and d.f. = 4, as shown in Table 2). On the contrary, their frequency was consistent throughout the day, with no significant differences between the day phases (G-test and p = 0.42). Most observations of salutation (28%) and copulation (47%) were recorded during early morning between 7:00 and 9:00 am, while allopreening mostly occurred (37%) during midday, i.e., 12:00–14:00 (Figure 3).
Table 2.
Frequency of behavioral types of social interactions during the different stages of the breeding season of a bearded vulture (Gypaetus barbatus) pair monitored by a video surveillance system in Crete during 2003–2005.
Figure 3.
Daytime variation of social interactions of a bearded vulture (Gypaetus barbatus) pair monitored by a video surveillance system in Crete during 2003–2005.
4. Discussion
Bi-parental care is the norm among avian taxa [52], but raptors often adopt different parental roles, with the female playing a larger part in incubation, brooding and feeding the nestlings, while the male undertakes most of the hunting and food provisioning to the nest [18,21,53]. Currently, it is broadly accepted that parental sex-role asymmetry is diet-dependent and has evolved under selective pressure for optimal hunting success and storage of energy reserves, which accounts for their sexual size dimorphism [18,54]. Furthermore, it has been suggested that parental care might be better understood through prey handling as no sex role asymmetries and female-biased size dimorphism are recorded in species where offspring are fed by small prey, or food is regurgitated by the parents, such as vultures [55]. The present study, despite its small sample size, advocates that reduced size dimorphism and a scavenging way of life promote equal parental investment by the sexes [18,56,57]. Both sexes share nesting activities equally, though some discrepancies occur due to the small sample size or individual traits of the study pair. In any case, this study confirms and expands the findings of previous work on the same topic, supplementing our knowledge with respect to parental behavior and sex roles. Quantitative evidence shows that the bearded vulture can adjust locally to the prevailing environmental conditions by being “behaviorally positioned” between vultures (e.g., minimal sexual size dimorphism, equal parental investment and no sex diet differences) and eagles (e.g., female-biased brooding, feeding and attending the nestling, changeover rates and mate salutations) [20,58,59,60,61].
During incubation, both mates covered the clutch, with just a few breaks for rolling the eggs and changeovers, and then brooded the nestling for most of the post-hatching period (i.e., ca. 1.7 months). The continuous presence of at least one of the adults at the nest is imperative for warming the eggs and, later on, the hatchling, which is unable to thermoregulate but also for reducing the risk of predation and food kleptoparasitism [23,62,63]. During the post-hatching period, all behavioral types (i.e., feeding and attending the chick, nest surveillance and nest relief, and social interactions) were more frequent compared to pre-fledging. They all decreased at a steady daily rate as the breeding season progressed, and the parent birds were absent from the nest for long periods. This pattern seems common for all large raptors with a prolonged breeding cycle and substantial parental investment. The gradual reduction of the time spent by the adults at the nest has been attributed to their increased foraging effort in order to meet the energy requirements of a rapidly growing nestling. In addition, the latter is able to thermoregulate on its own and, in the meantime, manipulate and consume the food items fetched to the nest by its parents [18,23,33,60,64,65].
Concerning the sexes, equal frequencies of parental care activities were noted between the mates with regard to specific duties, such as incubating and rolling the eggs. On the contrary, the female bird was more often recorded brooding/defending and feeding the nestling and arranging nest materials, whereas the male was predominantly involved in chick and nest attendance. Likewise, parental effort, measured as the time invested in each task, is sex-specific, with the male performing slightly longer incubation bouts and the female surpassing its mate in brooding the chick and preparing the food. These findings advocate that parental care differs between the sexes according to the stage of the breeding season, which could be explained by local bioclimatic factors (i.e., temperature, photoperiod and food availability) or specific individual traits that are difficult to substantiate (i.e., age, breeding experience and foraging efficiency).
Bi-parental incubation could be explained by the species’ feeding ecology. Incubation is a costly duty and would not favor the contribution of only one partner in species that depend on unpredictable food sources, such as carrion [57,66,67]. In the present study, the mates shared incubation during the daylight hours and night-time, confirming the results of previous studies [33,68]. However, the male performed longer bouts in contrast to the Pyrenean or Alpine pairs, where incubation was equally shared or female-biased, respectively [23,33], though males were reported to increase their participation in the incubatory task as egg hatching approaches [69]. A plausible explanation for these discrepancies might be the mild winter of the study area (i.e., an average minimum temperature of 7–8 °C), confirming that incubation bouts are related to the size of the sexes and their differential tolerance to extreme climatic conditions [23]. In addition, the brooding and feeding patterns highlighted a sex-related division of roles, with the female being predominantly responsible for covering and feeding the hatchling, which is inconsistent with the results of similar studies [33]. Apart from food delivery bouts, which were similar between the sexes, the female contributed significantly more in food preparation during the pre-fledging stage and feeding the young throughout the chick-rearing period. The prevalence of female investment in chick rearing is supported by multiple theories [7,70,71], where parental investment is accompanied by various constraints that might negatively affect parent fitness either directly, e.g., mortality, or indirectly, e.g., reduced energy allocation to self-maintenance [72]. In any case, a “trade-off” between costs and benefits must occur in order to favor the evolution of this behavior [73,74]. In the present case, a convincing argument would be the larger size of female bearded vultures, which facilitates better protection of the hatchlings against low temperatures and predators [21,29]. In addition, female birds are heavier than males (i.e., 11.5%; [75]), which allows them to spend more time brooding and rearing chicks at the expense of foraging. It is worth noting that territorial females use larger core areas than territorial males [76], implying that females can compensate for their larger investment of staying at the nest using an improved ranging ability, most likely due to their higher wing loading.
The daily frequency of nest changeovers was consistent with those reported in other studies, i.e., 0.8–4 nest reliefs/day, suggesting that the species perform foraging sorties of 2.5–3.9 h [23,33,38]. However, taking into account that bearded vultures carry food to the nest in their talons or bills [69] and do not show distended crops after feeding [57], the aforementioned figures are just indicative. Several observations of changeovers were not accompanied by food provisioning, revealing that the species’ foraging and nest relief patterns do not coincide [38]. Nevertheless, nest changeovers are related to the frequency of successful foraging [18,77] and depict the local feeding opportunities varying in relation to the stage of the breeding season and the energy requirements of the nestlings [76,78,79]. Compared to other vulture species, the changeover rate and, therefore, the foraging trips of bearded vultures are considerably much shorter than those of species that carry food in the crop (i.e., 0–1/day; [29,56,80,81,82,83]), resembling those of eagles (i.e., ≥1/day; [58,80,84]). On the other hand, the daytime frequency of changeovers shows that their activity culminates around midday, which is rather typical for the species [23,33,85]. The daytime pattern, if examined in relation to the stage of the breeding season, shows the time budget available for food searching by each sex. Assuming that changeovers occurring early in the morning were before the day’s foraging, while those taking place late in the afternoon were after foraging, the pair performed two foraging sorties during the incubation stage lasting ca. 3 h each and one during the rest of the breeding season ranging between 5 and 6 h. Furthermore, it seems that during the incubation stage, the female bird forages throughout the morning and midday hours and the male partner later, while the opposite pattern is observed during the post-hatching stage. Nest reliefs during the pre-fledging stage, when the young remain unattended in the nest, should be regarded as nest visits by one of the parents rather than changeovers between them. In any case, the nest changeover pattern of the species mirrors its dependence on carrion originating from domestic animals, and its foraging activity demonstrates temporal and spatial fluctuations in relation to the seasonal movements of livestock. During the incubation stage, the species forages in the pastoral zones of the lowland and semi-mountainous areas near stockyards, while in the chick-rearing period, they progressively move further away to the summer pastures of mountainous regions [39,86].
Social interactions between the mates were almost exclusively detected during the post-hatching stage, which was rather expected since this is the only period when both partners stay together at the nest. During the incubation stage, very few copulations and no mutual preening were observed, apart from short bowings of the heads that were started by the incoming bird, which is rather typical for the species [38]. Taking into account that all the behavioral types took place outside the female’s fertile period, frequent copulations should serve for the maintenance and strengthening of the pair bond [18,87]. A territorial signaling function cannot be ruled out [88], although it seems most unlikely in an area with a very low density of floating conspecifics. Salutation and allopreening, on the other hand, are widely accepted to serve the reinforcement of the pair’s bond and the cooperation of the partners over the offspring’s care [89]. The post-hatching stage is the most crucial for the outcome of the breeding attempt since most failures occur during hatching and chick rearing when the chick is, on average, 4–5 weeks old [90]. In that case, the ability to provide efficient parental care demands a strong commitment to the breeding duties by both mates and good coordination between them that only a solid pair bond can guarantee [91].
Author Contributions
Conceptualization, A.P. and S.X.; methodology, A.P.; software and video analysis, A.P.; writing—original draft preparation, A.P. and S.X.; writing—review and editing, A.P. and S.X.; All authors have read and agreed to the published version of the manuscript.
Funding
This research was funded by the European Union (LIFE02NAT/GR/8492 conservation project), the University of Crete and the A.G. Leventis Foundation.
Institutional Review Board Statement
Not applicable.
Data Availability Statement
The data presented in this study are available on request from the corresponding author due to the NHMC-UoC policy concerning the museum’s internal rules for collections, samples and databanks.
Acknowledgments
We thank G. Andreou, C. Grivas and P. Georgiakakis for their assistance in the fieldwork and C. Christodoulou for technical advice.
Conflicts of Interest
The authors declare no conflicts of interest. The funders had no role in the design of the study; in the collection, analyses, or interpretation of data; in the writing of the manuscript; or in the decision to publish the results.
References
- Oring, L.W.; Lank, D.B. Sexual selection, arrival times, philopatry and site fidelity in the polyandrous spotted sandpiper. Behav. Ecol. Sociobiol. 1982, 10, 185–191. [Google Scholar] [CrossRef]
- Ligon, J.D. The Evolution of Avian Breeding Systems; Oxford University Press: Oxford, UK, 1999. [Google Scholar]
- Kovařík, P.; Pavel, V.; Chutný, B. Incubation behaviour of the Meadow Pipit (Anthus pratensis) in an alpine ecosystem of Central Europe. J. Ornithol. 2009, 150, 549–556. [Google Scholar] [CrossRef]
- Piersma, T.; Van Gils, J.A. The Flexible Phenotype: A Body-Centred Integration of Ecology, Physiology, and Behaviour; OUP: Oxford, UK, 2010. [Google Scholar]
- Zuberogoitia, I.; Martínez, J.E.; Larrea, M.; Zabala, J. Parental investment of male Peregrine Falcons during incubation: Influence of experience and weather. J. Ornithol. 2018, 159, 275–282. [Google Scholar] [CrossRef]
- Trivers, R.L. Parental investment and sexual selection. In Sexual Selection and the Descent of Man; Campbell, B., Ed.; Aldine: Chicago, IL, USA, 1972; pp. 136–179. [Google Scholar]
- Smith, J.M. Parental investment: A prospective analysis. Anim. Behav. 1977, 25, 1–9. [Google Scholar] [CrossRef]
- Bart, J.; Tornes, A. Importance of monogamous male birds in determining reproductive success: Evidence for house wrens and a review of male-removal studies. Behav. Ecol. Sociobiol. 1989, 24, 109–116. [Google Scholar] [CrossRef]
- Clutton-Brock, T.H. The Evolution of Parental Care; Princeton University Press: Princeton, NY, USA, 1991; Volume 368. [Google Scholar]
- Cockburn, A. Prevalence of different modes of parental care in birds. Proc. R. Soc. B Biol. Sci. 2005, 273, 1375–1383. [Google Scholar] [CrossRef]
- Lack, D. Bird migration and natural selection. Oikos 1968, 19, 1–9. [Google Scholar] [CrossRef]
- Black, J.M. Partnerships in Birds: The Study of Monogamy; Oxford University Press: Oxford, UK, 1996. [Google Scholar]
- Wittenberger, J.F.; Tilson, R.L. The evolution of monogamy: Hypotheses and evidence. Annu. Rev. Ecol. Syst. 1980, 11, 197–232. [Google Scholar] [CrossRef]
- Shuster, S.M. Sexual selection and mating systems. Proc. Natl. Acad. Sci. USA 2019, 106, 10009–10016. [Google Scholar] [CrossRef]
- Mock, D.W. Parental care in birds. Curr. Biol. 2022, 32, R1132–R1136. [Google Scholar] [CrossRef]
- Møller, A.P. Male parental care, female reproductive success, and extrapair paternity. Behav. Ecol. 2000, 11, 161–168. [Google Scholar] [CrossRef]
- Cade, T.J. Ecology of the Peregrine and Gyrfalcon Populations in Alaska; University of California Press: Berkeley, CA, USA, 1960. [Google Scholar]
- Newton, I. Population Ecology of Raptors; Poyser: Berkhamsted, UK, 1979. [Google Scholar]
- Mcdonald, P.; Olsen, P.; Cockburn, A. Selection on body size in a raptor with pronounced reversed sexual size dimorphism: Are bigger females better? Behav. Ecol. 2005, 16, 48–56. [Google Scholar] [CrossRef]
- Schoenjahn, J.; Pavey, C.R.L.; Walter, G.H. Why female birds of prey are larger than males. Biol. J. Linn. Soc. 2020, 129, 532–542. [Google Scholar] [CrossRef]
- Cramp, S.; Simmons, K.E.L. The Birds of the Western Palearctic; Oxford University Press: Oxford, UK, 1980. [Google Scholar]
- Eens, M.; Pinxten, R. Sex-role reversal in vertebrates: Behavioural and endocrinological accounts. Behav. Process. 2000, 51, 135–147. [Google Scholar] [CrossRef]
- Bassi, E.; Trotti, P.; Brambilla, M.; Diana, F.; Sartirana, F.; Galli, L.; Pedrotti, L. Parental investment in two large raptors breeding in a high prey density area. J. Ornithol. 2017, 158, 549–559. [Google Scholar] [CrossRef]
- Brown, C.J.; Plug, I. Food choice and diet of the Bearded Vulture Gypaetus barbatus in southern Africa. Afr. Zool. 1990, 25, 169–177. [Google Scholar]
- BirdLife International. Gypaetus barbatus. In The IUCN Red List of Threatened Species; BirdLife International: Cambridge, UK, 2021. [Google Scholar]
- Botha, J.A.; Rishworth, G.M.; Thiebault, A.; Green, D.B.; Pistorius, P.A. Sex-specific foraging over space and time in Cape gannets during chick rearing. Mar. Ecol. Prog. Ser. 2017, 579, 157–167. [Google Scholar] [CrossRef]
- Izquierdo, D. European Union Single Species Recovery Plan for the Western Palearctic Population of Bearded Vulture. Gypaetus barbatus barbatus; Zurich, Switzerland, 2017. [Google Scholar]
- Terraube, J.; Andevski, J.; Loercher, F.; Tavares, J. Population Estimates for the Five European Vulture Species Across the Mediterranean: 2022 Update; The Vulture Conservation Foundation, Koninklijke Burger’s Zoo: Arnhem, The Netherlands, 2022. [Google Scholar]
- Hiraldo, F.; Delibes, M.; Calderon, J. El Quebrantahuesos Gypaetus barbatus (L.); Ministerio de Agricultura: Madrid, Spain, 1979. [Google Scholar]
- Ferguson-Lees, J.; Christie, D.A. Raptors: Birds of Prey of the World; Houghton Mifflin Harcourtk: Boston, MA, USA, 2001. [Google Scholar]
- Barrau, C.; Clouet, M.; GOAR, J.L. Deux jeunes Gypaètes barbus Gypaetus barbatus meridionalis à l’envol dans une aire des monts du Balé (Ethiopie). Alauda 1977, 65, 199–201. [Google Scholar]
- Delibes, M.; Hiraldo, F.; Calderon, J. Age and geographic variation in the Bearded Vulture Gypaetus barbatus (Linnaeus, 1758). Bonn. Zool. Beitr 1984, 35, 71–90. [Google Scholar]
- Margalida, A.; Bertran, J. Breeding behaviour of the Bearded Vulture Gypaetus barbatus: Minimal sexual differences in parental activities. IBIS 2000, 142, 225–234. [Google Scholar] [CrossRef]
- Grivas, C.; Xirouchakis, S.M.; Christodoulou, C.; Carcamo-Aboitiz, B.; Georgiakakis, P.; Probonas, M. An audio–visual nest monitoring system for the study and manipulation of siblicide in bearded vultures Gypaetus barbatus on the island of Crete (Greece). J. Ethol. 2009, 27, 105–116. [Google Scholar] [CrossRef]
- Fasce, P.; Fasce, L.; Torre, J. Census and observations on the biology of the Bearded Vulture Gypaetus barbatus on the island of Corsica. Raptors Mod. World 1989, 335, 339. [Google Scholar]
- Bertran, J.; Margalida, A. Social organization of a trio of bearded vultures (Gypaetus barbatus): Sexual and parental roles. J. Raptor Res. 2002, 36, 66–70. [Google Scholar]
- Fasce, P.; Fasce, L. First polygynous trio of Bearded Vultures (Gypaetus barbatus). J. Raptor Res. 2012, 46, 216–219. [Google Scholar] [CrossRef]
- Brown, C.J. Breeding biology of the bearded vulture in southern Africa, Parts 1–111. Ostrich 1990, 61, 24–49. [Google Scholar] [CrossRef]
- Xirouchakis, S.; Nikolakakis, M. Conservation implications of the temporal and spatial distribution of bearded vulture Gypaetus barbatus in Crete. Bird Conserv. Int. 2002, 12, 269–280. [Google Scholar] [CrossRef]
- Xirouchakis, S.; Grivas, C.; Probonas, M.; Sakoulis, A.; Andreou, G. Evaluation of actions for the conservation of bearded vulture (Gypaetus barbatus) in Crete. In Conservation and Management of Bearded Vulture Populations. Ligue pour la Protection des Oiseaux, Tende; Sarrazin, F., Thiollay, J.M., Eds.; Greece, 2003; pp. 124–132. [Google Scholar]
- Kempenaers, B. Mating systems in birds. Curr. Biol. 2022, 32, R1115–R1121. [Google Scholar] [CrossRef]
- Xirouchakis, S.; Sakoulis, A.; Andreou, G. The decline of the Bearded Vulture Gypaetus barbatus in Greece. Ardeola 2001, 48, 183–190. [Google Scholar]
- Bateson, M.; Martin, P. Measuring Behaviour: An Introductory Guide, 4th ed.; Cambridge University Press: Cambridge, UK, 2021. [Google Scholar]
- Zar, J.H. Biostatistical Analysis, 5th ed.; Prentice Hall: Upper Saddle River, NJ, USA, 2009. [Google Scholar]
- Fowler, J.; Cohen, L.; Jarvis, P. Practical Statistics for Field Biology, 2nd ed.; Wiley: New York, NY, USA, 1998. [Google Scholar]
- Nelder, J.A.; Wedderburn, R.W. Generalized linear models. J. R. Stat. Soc. Ser. A Stat. Soc. 1972, 135, 370–384. [Google Scholar] [CrossRef]
- Dunn, P.; Smyth, G. Generalized Linear Models with Examples in R; Springer: New York, NY, USA, 2018; Volume 53, p. 16. [Google Scholar]
- R Core Team. R: A Language and Environment for Statistical Computing; R Foundation for Statistical Computing: Vienna, Austria, 2012. [Google Scholar]
- Giraudoux, P. pgirmess: Data Analysis in Ecology. R Package Version 1.3.8. 2009. Available online: https://cran.r-project.org/web/packages/pgirmess/index.html (accessed on 17 October 2024).
- Hervé, M. RVAideMemoire: Testing and Plotting Procedures for Biostatistics. R Package Version 0.9-73. 2020. Available online: https://cran.r-project.org/web/packages/RVAideMemoire/index.html (accessed on 17 October 2024).
- Derek, H.; Jason, C.; Wheeler, A.P.; Dinno, A. FSA: Simple Fisheries Stock Assessment Methods. R Package Version 0.9.5. 2023. Available online: https://cran.r-project.org/web/packages/FSA/index.html (accessed on 17 October 2024).
- Wesołowski, T. The origin of parental care in birds: A reassessment. Behav. Ecol. 2004, 15, 520–523. [Google Scholar] [CrossRef]
- Ketterson, E.D.; Nolan, V., Jr. Male parental behavior in birds. Annu. Rev. Ecol. Syst. 1994, 25, 601–628. [Google Scholar] [CrossRef]
- Mendelsohn, J.M. Sexual size dimorphism and roles in raptors-fat females, agile males. Durb. Mus. Novit. 1986, 13, 321–336. [Google Scholar]
- Sonerud, G.A.; Steen, R.; Løw, L.M.; Røed, L.T.; Skar, K.; Selås, V.; Slagsvold, T. Evolution of parental roles in raptors: Prey type determines role asymmetry in the Eurasian kestrel. Anim. Behav. 2014, 96, 31–38. [Google Scholar] [CrossRef]
- Donázar, J.A.; Hiraldo, F.; Bustamante, J. Factors influencing nest site selection, breeding density and breeding success in the bearded vulture (Gypaetus barbatus). J. Appl. Ecol. 1993, 30, 504–514. [Google Scholar] [CrossRef]
- Mundy, P.; Butchart, D.; Ledger, J.; Piper, S. The Vultures of Africa; Academic Press: London, UK, 1992. [Google Scholar]
- Watson, J. The Golden Eagle; Poyser: London, UK, 1997. [Google Scholar]
- Margalida, A.; García, D.; Cortés-Avizanda, A. Factors Influencing the Breeding Density of Bearded Vultures, Egyptian Vultures and Eurasian Griffon Vultures in Catalonia (NE Spain): Management Implications. Anim. Biodivers. Conserv. 2007, 30, 189–200. [Google Scholar] [CrossRef]
- Collopy, M.W. Parental care and feeding ecology of Golden Eagle nestlings. Auk 1984, 101, 753–760. [Google Scholar] [CrossRef]
- Debus, S.J.; Ley, A.J. Aspects of the Breeding Cycle of the Little Eagle ‘Hieraaetus morphnoides’. Aust. Field Ornithol. 2009, 26, 76–99. [Google Scholar]
- Bertran, J.; Margalida, A. Male-male mountings in polyandrous bearded vultures Gypaetus barbatus: An unusual behaviour in raptors. J. Avian Biol. 2003, 34, 334–338. [Google Scholar] [CrossRef]
- Deeming, D.C.; Reynolds, S.J. Nests, Eggs, and Incubation: New Ideas About Avian Reproduction; Oxford University Press: Oxford, UK, 2015. [Google Scholar]
- Komen, J. Energy requirements of nestling Cape Vultures. Condor 1991, 93, 153–158. [Google Scholar] [CrossRef]
- Ferrer, M. The Spanish Imperial Eagle; Lynx Edicions: Barcelona, Spain, 2001. [Google Scholar]
- Fernandez, J.A. Comportamiento del Buitre leonado (Gyps f. fulvus) en nido. Ardeola 1975, 22, 29–54. [Google Scholar]
- Margalida, A.; Bertrán, J. Dieta y selección de alimento de una pareja de Quebrantahuesos (Gypaetus barbatus) en los Pirineos durante la crianza. Ardeola 1997, 44, 191–197. [Google Scholar]
- Frey, H.; Knotzinger, O.; Llopis, A. The Breeding Network: An Analysis of the Period 1978 to 1995. In Bearded Vulture Annual Report 1995: 13–38; Foundation for the Conservation of the Bearded Vulture: Vienna, Austria, 1999. [Google Scholar]
- Margalida, A.; Bertran, J. Territorial defence and agonistic behaviour of breeding bearded vultures Gypaetus barbatus toward conspecifics and heterospecifics. Ethol. Ecol. Evol. 2005, 17, 51–63. [Google Scholar] [CrossRef]
- Parker, G.A. Sexual selection and sexual conflict. Sex. Sel. Reprod. Compet. Insects 1979, 123, 166. [Google Scholar]
- Møller, A.P.; Thornhill, R. Bilateral symmetry and sexual selection: A meta-analysis. Am. Nat. 1988, 151, 174–192. [Google Scholar] [CrossRef]
- Angelier, F.; Chastel, O. Stress, prolactin and parental investment in birds: A review. Gen. Comp. Endocrinol. 2009, 163, 142–148. [Google Scholar] [CrossRef]
- Wade, M.J. Sexual selection and variance in reproductive success. Am. Nat. 1979, 114, 742–747. [Google Scholar] [CrossRef]
- Yaniv-Feller, S.; Orchan, Y.; Bahat, O.; Motro, U. Male-biased investment during chick rearing in the Griffon Vulture Gyps fulvus. Bird Study 2018, 65, 270–273. [Google Scholar] [CrossRef]
- López-López, P.; Gil, J.A.; Alcántara, M. Morphometrics and sex determination in the endangered Bearded Vulture (Gypaetus barbatus). J. Raptor Res. 2011, 45, 361–366. [Google Scholar] [CrossRef]
- Margalida, A.; Pérez-García, J.M.; Afonso, I.; Moreno-Opo, R. Spatial and temporal movements in Pyrenean bearded vultures (Gypaetus barbatus): Integrating movement ecology into conservation practice. Sci. Rep. 2016, 6, 35746. [Google Scholar] [CrossRef]
- Houston, D.C. Breeding of the White-Backed and Rüppell’s griffon vultures, Gyps africanus and G. rueppellii. IBIS 1976, 118, 14–40. [Google Scholar] [CrossRef]
- Gavashelishvili, A.; McGrady, M.J. Radio-satelllite telemetry of a territorial bearded vulture Gypaetus barbatus in the Caucasus. Vulture News 2007, 56, 4–13. [Google Scholar]
- Subedi, T.R.; Pérez-García, J.M.; Sah, S.A.; Gurung, S.; Baral, H.S.; Poudyal, L.P.; Anadón, J.D. Spatial and temporal movement of the Bearded Vulture using GPS telemetry in the Himalayas of Nepal. IBIS 2020, 162, 563–571. [Google Scholar] [CrossRef]
- Cosgrove, P.; Kortland, K.; Shields, D.; Potter, R.; Murray, J.; Cosgrove, C. Response of incubating Golden and White-tailed Eagles to forest road traffic: Results of a pilot study. Scott. Birds 2017, 37, 14–25. [Google Scholar]
- Robertson, A. Copulations throughout breeding in a colonial Accipitrid vulture. Condor 1986, 88, 535–539. [Google Scholar] [CrossRef]
- Brown, J.S. Patch use as an indicator of habitat preference, predation risk, and competition. Behav. Ecol. Sociobiol. 1988, 22, 37–47. [Google Scholar] [CrossRef]
- Xirouchakis, S.M.; Mylonas, M. Breeding behaviour and parental care of the Griffon Vulture Gyps fulvus on the island of Crete (Greece). Ethol. Ecol. Evol 2007, 19, 1–26. [Google Scholar] [CrossRef]
- Martínez, J.E.; Zuberogoitia, I.; Escarabajal, J.M.; Cerezo, E.; Calvo, J.F.; Margalida, A. Breeding behaviour and time-activity budgets of Bonelli’s eagles Aquila fasciata: Marked sexual differences in parental activities. Bird Study 2020, 67, 35–44. [Google Scholar] [CrossRef]
- Arizaga, J.; Olano, M.; Vázquez, J.; Egunez, A.; Fernández, C.; Azkona, P. Home range and habitat use of a bearded vulture Gypaetus barbatus L., 1758 along the western border of its Pyrenean distribution area. Munibe Cienc. Nat. 2019, 67, 7–17. [Google Scholar] [CrossRef]
- Xirouchakis, S.M.; Mylonas, M. Griffon Vulture (Gyps fulvus) distribution and density in Crete. Isr. J. Ecol. Evol. 2004, 50, 341–354. [Google Scholar] [CrossRef]
- Møller, A.P.; Birkhead, T.R. A pairwise comparative method as illustrated by copulation frequency in birds. Am. Nat. 1992, 139, 644–656. [Google Scholar] [CrossRef]
- Negro, J.; Grande, J.M. Territorial signalling: A new hypothesis to explain frequent copulation in raptorial birds. Anim. Behav. 2001, 62, 803–809. [Google Scholar] [CrossRef]
- Mandal, F.B. Socio-biology and social behaviour. In Textbook of Animal Behaviour, 3rd ed.; PHI Learning Private Limited: Delhi, India, 2015; p. 209. [Google Scholar]
- Margalida, A.; Garcia, D.; Bertran, J.; Heredia, R. Breeding biology and success of the Bearded Vulture Gypaetus barbatus in the eastern Pyrenees. IBIS 2003, 145, 244–252. [Google Scholar] [CrossRef]
- Kenny, E.; Birkhead, T.R.; Green, J.P. Allopreening in birds is associated with parental cooperation over offspring care and stable pair bonds across years. Behav. Ecol. 2017, 28, 1142–1148. [Google Scholar] [CrossRef] [PubMed]
Disclaimer/Publisher’s Note: The statements, opinions and data contained in all publications are solely those of the individual author(s) and contributor(s) and not of MDPI and/or the editor(s). MDPI and/or the editor(s) disclaim responsibility for any injury to people or property resulting from any ideas, methods, instructions or products referred to in the content. |
© 2024 by the authors. Licensee MDPI, Basel, Switzerland. This article is an open access article distributed under the terms and conditions of the Creative Commons Attribution (CC BY) license (https://creativecommons.org/licenses/by/4.0/).


