The Behavioral Pattern of the Nesting Bearded Vulture (Gypaetus barbatus) on the Island of Crete
Simple Summary
Abstract
1. Introduction
2. Materials and Methods
2.1. Study Site and Pair
2.2. Data Collection and Analysis
3. Results
3.1. Subsection
3.1.1. Incubation and Brooding
3.1.2. Nestling Feeding
3.1.3. Chick Attendance
3.1.4. Nest Maintenance and Surveillance
3.1.5. Changeovers
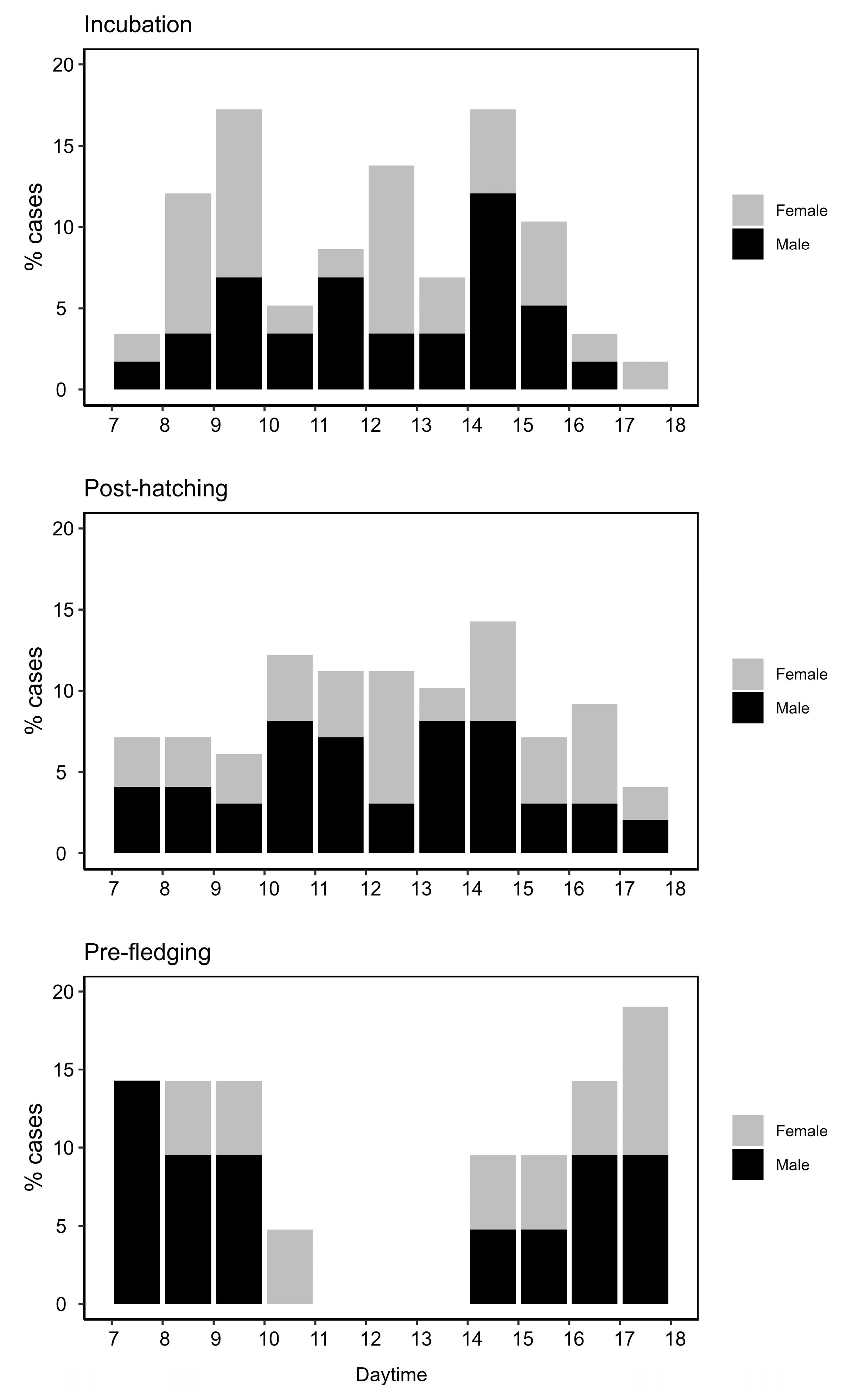
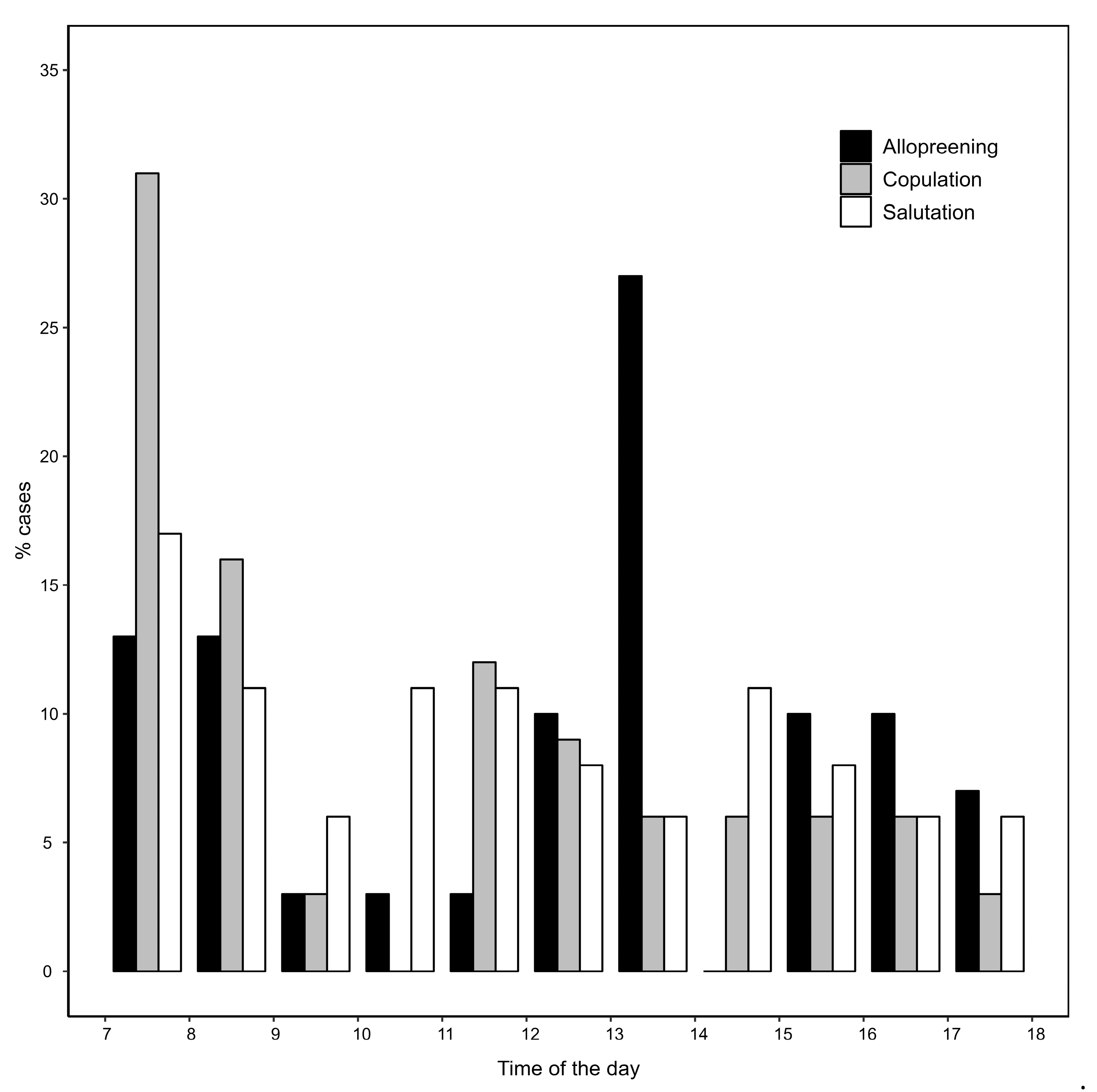
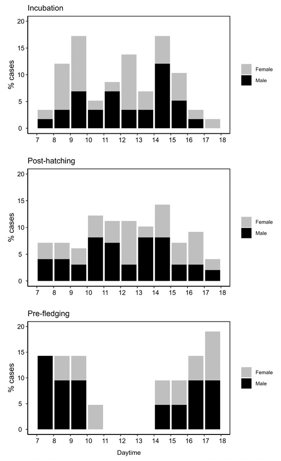
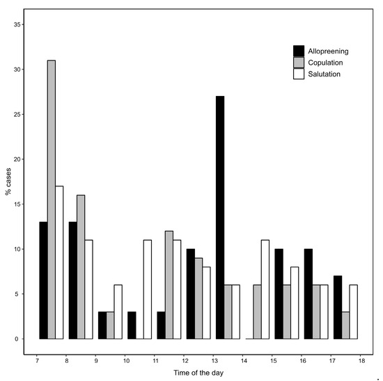
3.1.6. Social Interactions
4. Discussion
Author Contributions
Funding
Institutional Review Board Statement
Data Availability Statement
Acknowledgments
Conflicts of Interest
References
- Oring, L.W.; Lank, D.B. Sexual selection, arrival times, philopatry and site fidelity in the polyandrous spotted sandpiper. Behav. Ecol. Sociobiol. 1982, 10, 185–191. [Google Scholar] [CrossRef]
- Ligon, J.D. The Evolution of Avian Breeding Systems; Oxford University Press: Oxford, UK, 1999. [Google Scholar]
- Kovařík, P.; Pavel, V.; Chutný, B. Incubation behaviour of the Meadow Pipit (Anthus pratensis) in an alpine ecosystem of Central Europe. J. Ornithol. 2009, 150, 549–556. [Google Scholar] [CrossRef]
- Piersma, T.; Van Gils, J.A. The Flexible Phenotype: A Body-Centred Integration of Ecology, Physiology, and Behaviour; OUP: Oxford, UK, 2010. [Google Scholar]
- Zuberogoitia, I.; Martínez, J.E.; Larrea, M.; Zabala, J. Parental investment of male Peregrine Falcons during incubation: Influence of experience and weather. J. Ornithol. 2018, 159, 275–282. [Google Scholar] [CrossRef]
- Trivers, R.L. Parental investment and sexual selection. In Sexual Selection and the Descent of Man; Campbell, B., Ed.; Aldine: Chicago, IL, USA, 1972; pp. 136–179. [Google Scholar]
- Smith, J.M. Parental investment: A prospective analysis. Anim. Behav. 1977, 25, 1–9. [Google Scholar] [CrossRef]
- Bart, J.; Tornes, A. Importance of monogamous male birds in determining reproductive success: Evidence for house wrens and a review of male-removal studies. Behav. Ecol. Sociobiol. 1989, 24, 109–116. [Google Scholar] [CrossRef]
- Clutton-Brock, T.H. The Evolution of Parental Care; Princeton University Press: Princeton, NY, USA, 1991; Volume 368. [Google Scholar]
- Cockburn, A. Prevalence of different modes of parental care in birds. Proc. R. Soc. B Biol. Sci. 2005, 273, 1375–1383. [Google Scholar] [CrossRef]
- Lack, D. Bird migration and natural selection. Oikos 1968, 19, 1–9. [Google Scholar] [CrossRef]
- Black, J.M. Partnerships in Birds: The Study of Monogamy; Oxford University Press: Oxford, UK, 1996. [Google Scholar]
- Wittenberger, J.F.; Tilson, R.L. The evolution of monogamy: Hypotheses and evidence. Annu. Rev. Ecol. Syst. 1980, 11, 197–232. [Google Scholar] [CrossRef]
- Shuster, S.M. Sexual selection and mating systems. Proc. Natl. Acad. Sci. USA 2019, 106, 10009–10016. [Google Scholar] [CrossRef]
- Mock, D.W. Parental care in birds. Curr. Biol. 2022, 32, R1132–R1136. [Google Scholar] [CrossRef]
- Møller, A.P. Male parental care, female reproductive success, and extrapair paternity. Behav. Ecol. 2000, 11, 161–168. [Google Scholar] [CrossRef]
- Cade, T.J. Ecology of the Peregrine and Gyrfalcon Populations in Alaska; University of California Press: Berkeley, CA, USA, 1960. [Google Scholar]
- Newton, I. Population Ecology of Raptors; Poyser: Berkhamsted, UK, 1979. [Google Scholar]
- Mcdonald, P.; Olsen, P.; Cockburn, A. Selection on body size in a raptor with pronounced reversed sexual size dimorphism: Are bigger females better? Behav. Ecol. 2005, 16, 48–56. [Google Scholar] [CrossRef]
- Schoenjahn, J.; Pavey, C.R.L.; Walter, G.H. Why female birds of prey are larger than males. Biol. J. Linn. Soc. 2020, 129, 532–542. [Google Scholar] [CrossRef]
- Cramp, S.; Simmons, K.E.L. The Birds of the Western Palearctic; Oxford University Press: Oxford, UK, 1980. [Google Scholar]
- Eens, M.; Pinxten, R. Sex-role reversal in vertebrates: Behavioural and endocrinological accounts. Behav. Process. 2000, 51, 135–147. [Google Scholar] [CrossRef]
- Bassi, E.; Trotti, P.; Brambilla, M.; Diana, F.; Sartirana, F.; Galli, L.; Pedrotti, L. Parental investment in two large raptors breeding in a high prey density area. J. Ornithol. 2017, 158, 549–559. [Google Scholar] [CrossRef]
- Brown, C.J.; Plug, I. Food choice and diet of the Bearded Vulture Gypaetus barbatus in southern Africa. Afr. Zool. 1990, 25, 169–177. [Google Scholar]
- BirdLife International. Gypaetus barbatus. In The IUCN Red List of Threatened Species; BirdLife International: Cambridge, UK, 2021. [Google Scholar]
- Botha, J.A.; Rishworth, G.M.; Thiebault, A.; Green, D.B.; Pistorius, P.A. Sex-specific foraging over space and time in Cape gannets during chick rearing. Mar. Ecol. Prog. Ser. 2017, 579, 157–167. [Google Scholar] [CrossRef]
- Izquierdo, D. European Union Single Species Recovery Plan for the Western Palearctic Population of Bearded Vulture. Gypaetus barbatus barbatus; Zurich, Switzerland, 2017. [Google Scholar]
- Terraube, J.; Andevski, J.; Loercher, F.; Tavares, J. Population Estimates for the Five European Vulture Species Across the Mediterranean: 2022 Update; The Vulture Conservation Foundation, Koninklijke Burger’s Zoo: Arnhem, The Netherlands, 2022. [Google Scholar]
- Hiraldo, F.; Delibes, M.; Calderon, J. El Quebrantahuesos Gypaetus barbatus (L.); Ministerio de Agricultura: Madrid, Spain, 1979. [Google Scholar]
- Ferguson-Lees, J.; Christie, D.A. Raptors: Birds of Prey of the World; Houghton Mifflin Harcourtk: Boston, MA, USA, 2001. [Google Scholar]
- Barrau, C.; Clouet, M.; GOAR, J.L. Deux jeunes Gypaètes barbus Gypaetus barbatus meridionalis à l’envol dans une aire des monts du Balé (Ethiopie). Alauda 1977, 65, 199–201. [Google Scholar]
- Delibes, M.; Hiraldo, F.; Calderon, J. Age and geographic variation in the Bearded Vulture Gypaetus barbatus (Linnaeus, 1758). Bonn. Zool. Beitr 1984, 35, 71–90. [Google Scholar]
- Margalida, A.; Bertran, J. Breeding behaviour of the Bearded Vulture Gypaetus barbatus: Minimal sexual differences in parental activities. IBIS 2000, 142, 225–234. [Google Scholar] [CrossRef]
- Grivas, C.; Xirouchakis, S.M.; Christodoulou, C.; Carcamo-Aboitiz, B.; Georgiakakis, P.; Probonas, M. An audio–visual nest monitoring system for the study and manipulation of siblicide in bearded vultures Gypaetus barbatus on the island of Crete (Greece). J. Ethol. 2009, 27, 105–116. [Google Scholar] [CrossRef]
- Fasce, P.; Fasce, L.; Torre, J. Census and observations on the biology of the Bearded Vulture Gypaetus barbatus on the island of Corsica. Raptors Mod. World 1989, 335, 339. [Google Scholar]
- Bertran, J.; Margalida, A. Social organization of a trio of bearded vultures (Gypaetus barbatus): Sexual and parental roles. J. Raptor Res. 2002, 36, 66–70. [Google Scholar]
- Fasce, P.; Fasce, L. First polygynous trio of Bearded Vultures (Gypaetus barbatus). J. Raptor Res. 2012, 46, 216–219. [Google Scholar] [CrossRef]
- Brown, C.J. Breeding biology of the bearded vulture in southern Africa, Parts 1–111. Ostrich 1990, 61, 24–49. [Google Scholar] [CrossRef]
- Xirouchakis, S.; Nikolakakis, M. Conservation implications of the temporal and spatial distribution of bearded vulture Gypaetus barbatus in Crete. Bird Conserv. Int. 2002, 12, 269–280. [Google Scholar] [CrossRef]
- Xirouchakis, S.; Grivas, C.; Probonas, M.; Sakoulis, A.; Andreou, G. Evaluation of actions for the conservation of bearded vulture (Gypaetus barbatus) in Crete. In Conservation and Management of Bearded Vulture Populations. Ligue pour la Protection des Oiseaux, Tende; Sarrazin, F., Thiollay, J.M., Eds.; Greece, 2003; pp. 124–132. [Google Scholar]
- Kempenaers, B. Mating systems in birds. Curr. Biol. 2022, 32, R1115–R1121. [Google Scholar] [CrossRef]
- Xirouchakis, S.; Sakoulis, A.; Andreou, G. The decline of the Bearded Vulture Gypaetus barbatus in Greece. Ardeola 2001, 48, 183–190. [Google Scholar]
- Bateson, M.; Martin, P. Measuring Behaviour: An Introductory Guide, 4th ed.; Cambridge University Press: Cambridge, UK, 2021. [Google Scholar]
- Zar, J.H. Biostatistical Analysis, 5th ed.; Prentice Hall: Upper Saddle River, NJ, USA, 2009. [Google Scholar]
- Fowler, J.; Cohen, L.; Jarvis, P. Practical Statistics for Field Biology, 2nd ed.; Wiley: New York, NY, USA, 1998. [Google Scholar]
- Nelder, J.A.; Wedderburn, R.W. Generalized linear models. J. R. Stat. Soc. Ser. A Stat. Soc. 1972, 135, 370–384. [Google Scholar] [CrossRef]
- Dunn, P.; Smyth, G. Generalized Linear Models with Examples in R; Springer: New York, NY, USA, 2018; Volume 53, p. 16. [Google Scholar]
- R Core Team. R: A Language and Environment for Statistical Computing; R Foundation for Statistical Computing: Vienna, Austria, 2012. [Google Scholar]
- Giraudoux, P. pgirmess: Data Analysis in Ecology. R Package Version 1.3.8. 2009. Available online: https://cran.r-project.org/web/packages/pgirmess/index.html (accessed on 17 October 2024).
- Hervé, M. RVAideMemoire: Testing and Plotting Procedures for Biostatistics. R Package Version 0.9-73. 2020. Available online: https://cran.r-project.org/web/packages/RVAideMemoire/index.html (accessed on 17 October 2024).
- Derek, H.; Jason, C.; Wheeler, A.P.; Dinno, A. FSA: Simple Fisheries Stock Assessment Methods. R Package Version 0.9.5. 2023. Available online: https://cran.r-project.org/web/packages/FSA/index.html (accessed on 17 October 2024).
- Wesołowski, T. The origin of parental care in birds: A reassessment. Behav. Ecol. 2004, 15, 520–523. [Google Scholar] [CrossRef]
- Ketterson, E.D.; Nolan, V., Jr. Male parental behavior in birds. Annu. Rev. Ecol. Syst. 1994, 25, 601–628. [Google Scholar] [CrossRef]
- Mendelsohn, J.M. Sexual size dimorphism and roles in raptors-fat females, agile males. Durb. Mus. Novit. 1986, 13, 321–336. [Google Scholar]
- Sonerud, G.A.; Steen, R.; Løw, L.M.; Røed, L.T.; Skar, K.; Selås, V.; Slagsvold, T. Evolution of parental roles in raptors: Prey type determines role asymmetry in the Eurasian kestrel. Anim. Behav. 2014, 96, 31–38. [Google Scholar] [CrossRef]
- Donázar, J.A.; Hiraldo, F.; Bustamante, J. Factors influencing nest site selection, breeding density and breeding success in the bearded vulture (Gypaetus barbatus). J. Appl. Ecol. 1993, 30, 504–514. [Google Scholar] [CrossRef]
- Mundy, P.; Butchart, D.; Ledger, J.; Piper, S. The Vultures of Africa; Academic Press: London, UK, 1992. [Google Scholar]
- Watson, J. The Golden Eagle; Poyser: London, UK, 1997. [Google Scholar]
- Margalida, A.; García, D.; Cortés-Avizanda, A. Factors Influencing the Breeding Density of Bearded Vultures, Egyptian Vultures and Eurasian Griffon Vultures in Catalonia (NE Spain): Management Implications. Anim. Biodivers. Conserv. 2007, 30, 189–200. [Google Scholar] [CrossRef]
- Collopy, M.W. Parental care and feeding ecology of Golden Eagle nestlings. Auk 1984, 101, 753–760. [Google Scholar] [CrossRef]
- Debus, S.J.; Ley, A.J. Aspects of the Breeding Cycle of the Little Eagle ‘Hieraaetus morphnoides’. Aust. Field Ornithol. 2009, 26, 76–99. [Google Scholar]
- Bertran, J.; Margalida, A. Male-male mountings in polyandrous bearded vultures Gypaetus barbatus: An unusual behaviour in raptors. J. Avian Biol. 2003, 34, 334–338. [Google Scholar] [CrossRef]
- Deeming, D.C.; Reynolds, S.J. Nests, Eggs, and Incubation: New Ideas About Avian Reproduction; Oxford University Press: Oxford, UK, 2015. [Google Scholar]
- Komen, J. Energy requirements of nestling Cape Vultures. Condor 1991, 93, 153–158. [Google Scholar] [CrossRef]
- Ferrer, M. The Spanish Imperial Eagle; Lynx Edicions: Barcelona, Spain, 2001. [Google Scholar]
- Fernandez, J.A. Comportamiento del Buitre leonado (Gyps f. fulvus) en nido. Ardeola 1975, 22, 29–54. [Google Scholar]
- Margalida, A.; Bertrán, J. Dieta y selección de alimento de una pareja de Quebrantahuesos (Gypaetus barbatus) en los Pirineos durante la crianza. Ardeola 1997, 44, 191–197. [Google Scholar]
- Frey, H.; Knotzinger, O.; Llopis, A. The Breeding Network: An Analysis of the Period 1978 to 1995. In Bearded Vulture Annual Report 1995: 13–38; Foundation for the Conservation of the Bearded Vulture: Vienna, Austria, 1999. [Google Scholar]
- Margalida, A.; Bertran, J. Territorial defence and agonistic behaviour of breeding bearded vultures Gypaetus barbatus toward conspecifics and heterospecifics. Ethol. Ecol. Evol. 2005, 17, 51–63. [Google Scholar] [CrossRef]
- Parker, G.A. Sexual selection and sexual conflict. Sex. Sel. Reprod. Compet. Insects 1979, 123, 166. [Google Scholar]
- Møller, A.P.; Thornhill, R. Bilateral symmetry and sexual selection: A meta-analysis. Am. Nat. 1988, 151, 174–192. [Google Scholar] [CrossRef]
- Angelier, F.; Chastel, O. Stress, prolactin and parental investment in birds: A review. Gen. Comp. Endocrinol. 2009, 163, 142–148. [Google Scholar] [CrossRef]
- Wade, M.J. Sexual selection and variance in reproductive success. Am. Nat. 1979, 114, 742–747. [Google Scholar] [CrossRef]
- Yaniv-Feller, S.; Orchan, Y.; Bahat, O.; Motro, U. Male-biased investment during chick rearing in the Griffon Vulture Gyps fulvus. Bird Study 2018, 65, 270–273. [Google Scholar] [CrossRef]
- López-López, P.; Gil, J.A.; Alcántara, M. Morphometrics and sex determination in the endangered Bearded Vulture (Gypaetus barbatus). J. Raptor Res. 2011, 45, 361–366. [Google Scholar] [CrossRef]
- Margalida, A.; Pérez-García, J.M.; Afonso, I.; Moreno-Opo, R. Spatial and temporal movements in Pyrenean bearded vultures (Gypaetus barbatus): Integrating movement ecology into conservation practice. Sci. Rep. 2016, 6, 35746. [Google Scholar] [CrossRef]
- Houston, D.C. Breeding of the White-Backed and Rüppell’s griffon vultures, Gyps africanus and G. rueppellii. IBIS 1976, 118, 14–40. [Google Scholar] [CrossRef]
- Gavashelishvili, A.; McGrady, M.J. Radio-satelllite telemetry of a territorial bearded vulture Gypaetus barbatus in the Caucasus. Vulture News 2007, 56, 4–13. [Google Scholar]
- Subedi, T.R.; Pérez-García, J.M.; Sah, S.A.; Gurung, S.; Baral, H.S.; Poudyal, L.P.; Anadón, J.D. Spatial and temporal movement of the Bearded Vulture using GPS telemetry in the Himalayas of Nepal. IBIS 2020, 162, 563–571. [Google Scholar] [CrossRef]
- Cosgrove, P.; Kortland, K.; Shields, D.; Potter, R.; Murray, J.; Cosgrove, C. Response of incubating Golden and White-tailed Eagles to forest road traffic: Results of a pilot study. Scott. Birds 2017, 37, 14–25. [Google Scholar]
- Robertson, A. Copulations throughout breeding in a colonial Accipitrid vulture. Condor 1986, 88, 535–539. [Google Scholar] [CrossRef]
- Brown, J.S. Patch use as an indicator of habitat preference, predation risk, and competition. Behav. Ecol. Sociobiol. 1988, 22, 37–47. [Google Scholar] [CrossRef]
- Xirouchakis, S.M.; Mylonas, M. Breeding behaviour and parental care of the Griffon Vulture Gyps fulvus on the island of Crete (Greece). Ethol. Ecol. Evol 2007, 19, 1–26. [Google Scholar] [CrossRef]
- Martínez, J.E.; Zuberogoitia, I.; Escarabajal, J.M.; Cerezo, E.; Calvo, J.F.; Margalida, A. Breeding behaviour and time-activity budgets of Bonelli’s eagles Aquila fasciata: Marked sexual differences in parental activities. Bird Study 2020, 67, 35–44. [Google Scholar] [CrossRef]
- Arizaga, J.; Olano, M.; Vázquez, J.; Egunez, A.; Fernández, C.; Azkona, P. Home range and habitat use of a bearded vulture Gypaetus barbatus L., 1758 along the western border of its Pyrenean distribution area. Munibe Cienc. Nat. 2019, 67, 7–17. [Google Scholar] [CrossRef]
- Xirouchakis, S.M.; Mylonas, M. Griffon Vulture (Gyps fulvus) distribution and density in Crete. Isr. J. Ecol. Evol. 2004, 50, 341–354. [Google Scholar] [CrossRef]
- Møller, A.P.; Birkhead, T.R. A pairwise comparative method as illustrated by copulation frequency in birds. Am. Nat. 1992, 139, 644–656. [Google Scholar] [CrossRef]
- Negro, J.; Grande, J.M. Territorial signalling: A new hypothesis to explain frequent copulation in raptorial birds. Anim. Behav. 2001, 62, 803–809. [Google Scholar] [CrossRef]
- Mandal, F.B. Socio-biology and social behaviour. In Textbook of Animal Behaviour, 3rd ed.; PHI Learning Private Limited: Delhi, India, 2015; p. 209. [Google Scholar]
- Margalida, A.; Garcia, D.; Bertran, J.; Heredia, R. Breeding biology and success of the Bearded Vulture Gypaetus barbatus in the eastern Pyrenees. IBIS 2003, 145, 244–252. [Google Scholar] [CrossRef]
- Kenny, E.; Birkhead, T.R.; Green, J.P. Allopreening in birds is associated with parental cooperation over offspring care and stable pair bonds across years. Behav. Ecol. 2017, 28, 1142–1148. [Google Scholar] [CrossRef] [PubMed]



| Behavioral Activity | Description |
|---|---|
| Events | |
| Changeover | A parent bird is replaced by its mate |
| Social interactions | Allopreening, salutation (head movements up and down) and copulation |
| Nest material delivery | An adult carries nest material (in its talons or beak) to the nest |
| Food provisioning | An adult brings food to the nest (in its talons or beak) |
| Clutch inspection | An incubating adult stands up and looks at the eggs |
| Egg rolling | Eggs are turned by the incubating bird |
| Nest defense | An adult (with open wings) harasses an intruder (i.e., Corvus corax) |
| State | |
| Nest maintenance | An adult is arranging nest material (newly added or existing) |
| Nest surveillance | A perching adult is looking out of the nest |
| Incubation | An adult is sitting on the eggs |
| Brooding | An adult is covering (and nibbling) the nestling |
| Chick attendance | An adult is sitting close to the nestling |
| Nestling feeding | An adult prepares and delivers food to the nestling |
| Type/Period | Incubation | Post-Hatching | Pre-Fledging |
|---|---|---|---|
| Allopreening | 0 (0%) | 29 (96.7%) | 1 (3.3%) |
| Copulation | 5 (15.6%) | 25 (78.1%) | 2 (6.2%) |
| Salutation | 12 (33.3%) | 23 (63.9%) | 1 (2.8%) |
| Total | 17 (17.3%) | 77 (78.6%) | 4 (4.1%) |
Disclaimer/Publisher’s Note: The statements, opinions and data contained in all publications are solely those of the individual author(s) and contributor(s) and not of MDPI and/or the editor(s). MDPI and/or the editor(s) disclaim responsibility for any injury to people or property resulting from any ideas, methods, instructions or products referred to in the content. |
© 2024 by the authors. Licensee MDPI, Basel, Switzerland. This article is an open access article distributed under the terms and conditions of the Creative Commons Attribution (CC BY) license (https://creativecommons.org/licenses/by/4.0/).
Share and Cite
Perodaskalaki, A.; Xirouchakis, S. The Behavioral Pattern of the Nesting Bearded Vulture (Gypaetus barbatus) on the Island of Crete. Birds 2024, 5, 845-857. https://doi.org/10.3390/birds5040056
Perodaskalaki A, Xirouchakis S. The Behavioral Pattern of the Nesting Bearded Vulture (Gypaetus barbatus) on the Island of Crete. Birds. 2024; 5(4):845-857. https://doi.org/10.3390/birds5040056
Chicago/Turabian StylePerodaskalaki, Anastasia, and Stavros Xirouchakis. 2024. "The Behavioral Pattern of the Nesting Bearded Vulture (Gypaetus barbatus) on the Island of Crete" Birds 5, no. 4: 845-857. https://doi.org/10.3390/birds5040056
APA StylePerodaskalaki, A., & Xirouchakis, S. (2024). The Behavioral Pattern of the Nesting Bearded Vulture (Gypaetus barbatus) on the Island of Crete. Birds, 5(4), 845-857. https://doi.org/10.3390/birds5040056

