Submersible Compensator of Reactive Power
Abstract
1. Introduction
- 40–60% in the centrifugal pump [5];
- 10–15% in the submersible electric motor (SEM);
- up to 15% in the cable;
- up to 12% in the transformer and control station (CS);
- up to 10% in the pump-compressor tubing and wellhead equipment.
2. Object and Methods
- The parameters of the components within the ESP installation electrical system are considered linear, with no hysteresis or magnetic saturation effects;
- The electrical circuits in the three-phase system components of the ESP installation are assumed to be symmetrical;
- The system is powered by a balanced set of sinusoidal voltages;
- The cable is assumed to be uniform along its entire length, with no discontinuities or transitions between sections;
- The air gap in the stator bore is uniform, the stator and rotor surfaces in the air gap region are smooth (i.e., without teeth or slots), and there are no eccentricities between the stator and rotor;
- The actual distributed windings of the motor are replaced by equivalent concentrated windings;
- The magnetomotive forces and magnetic field are assumed to be sinusoidally distributed along the circumference of the air gap;
- Higher-order spatial harmonics of the magnetic field are neglected;
- The number of turns in the stator and rotor windings is assumed to be equal.
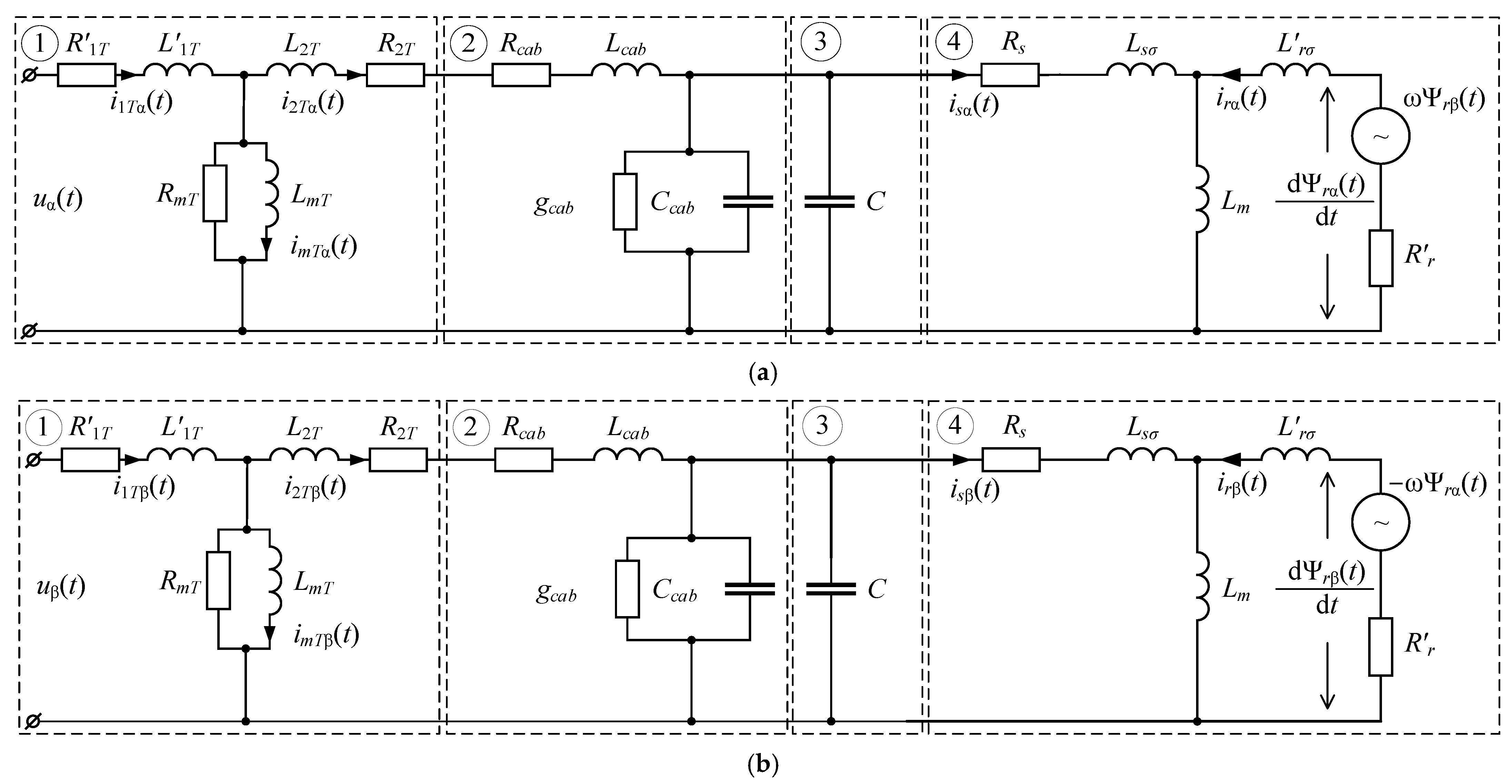
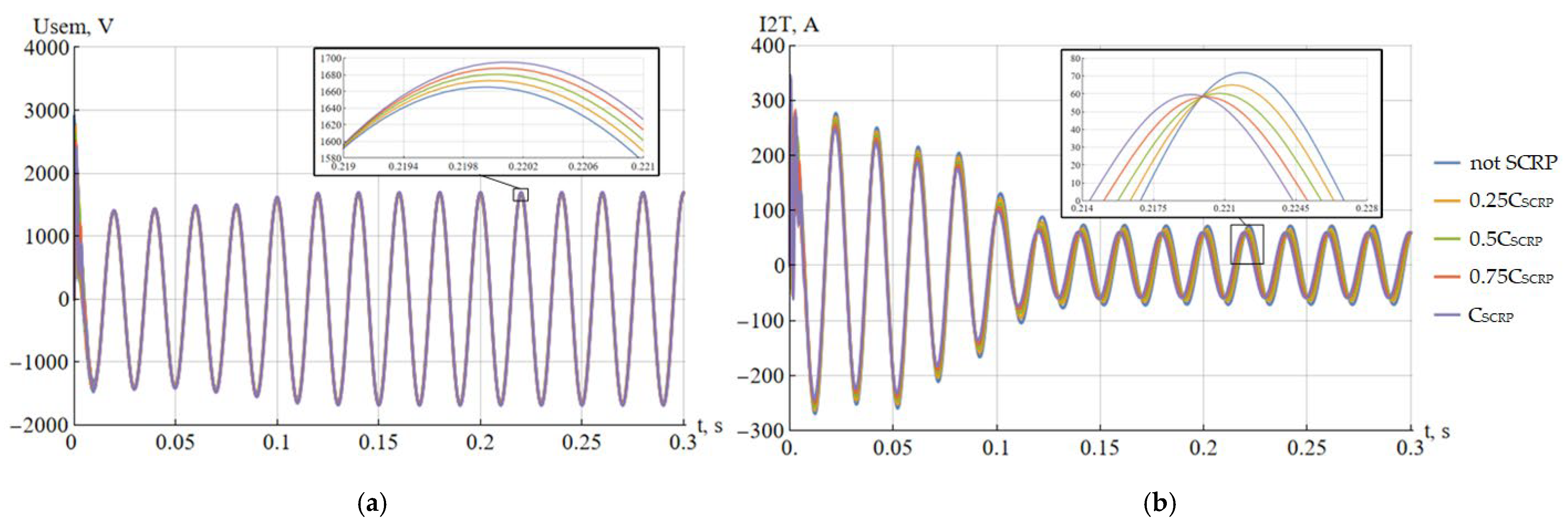
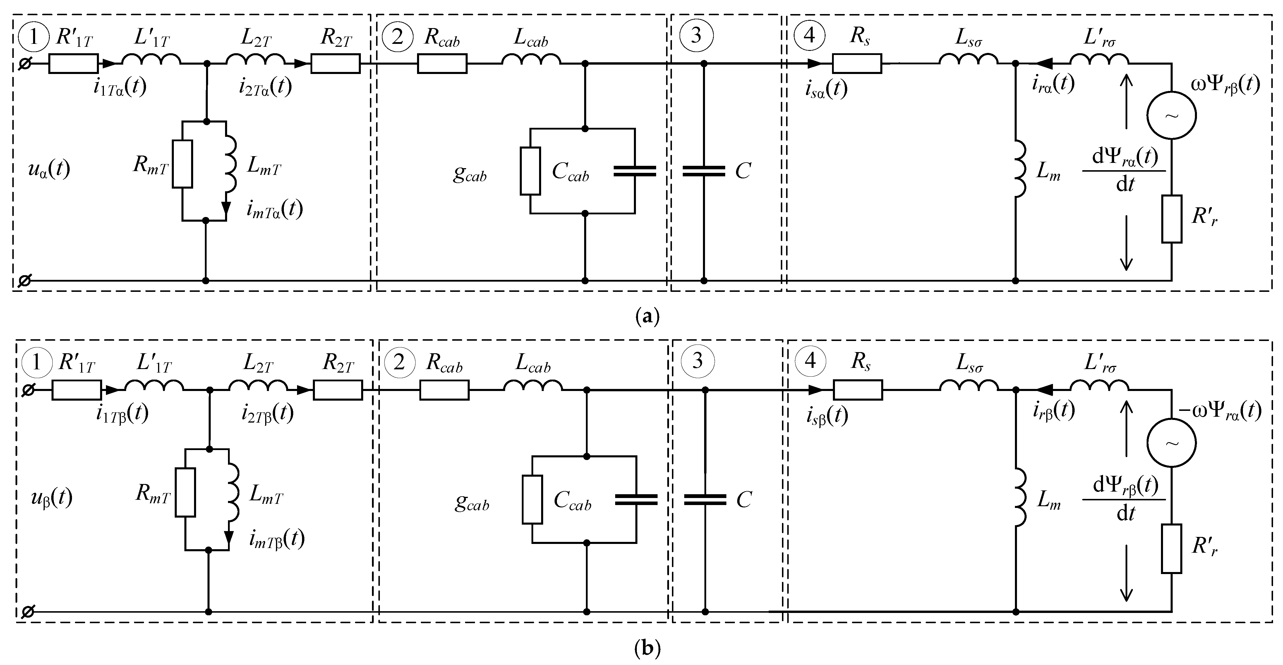
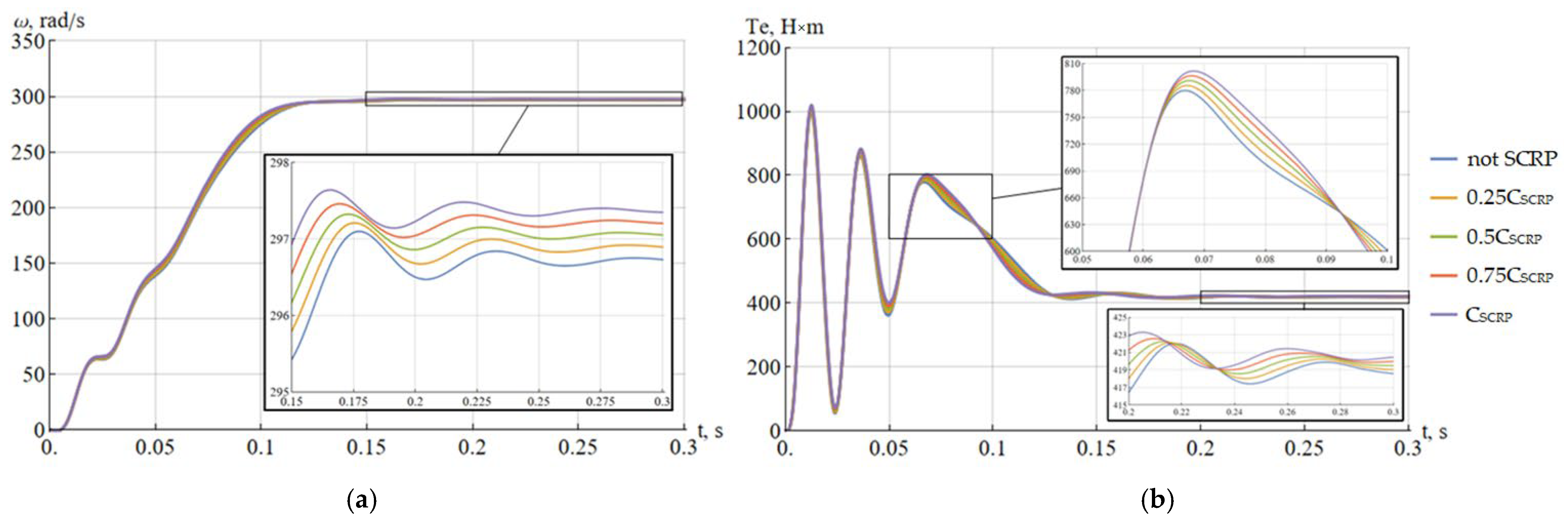
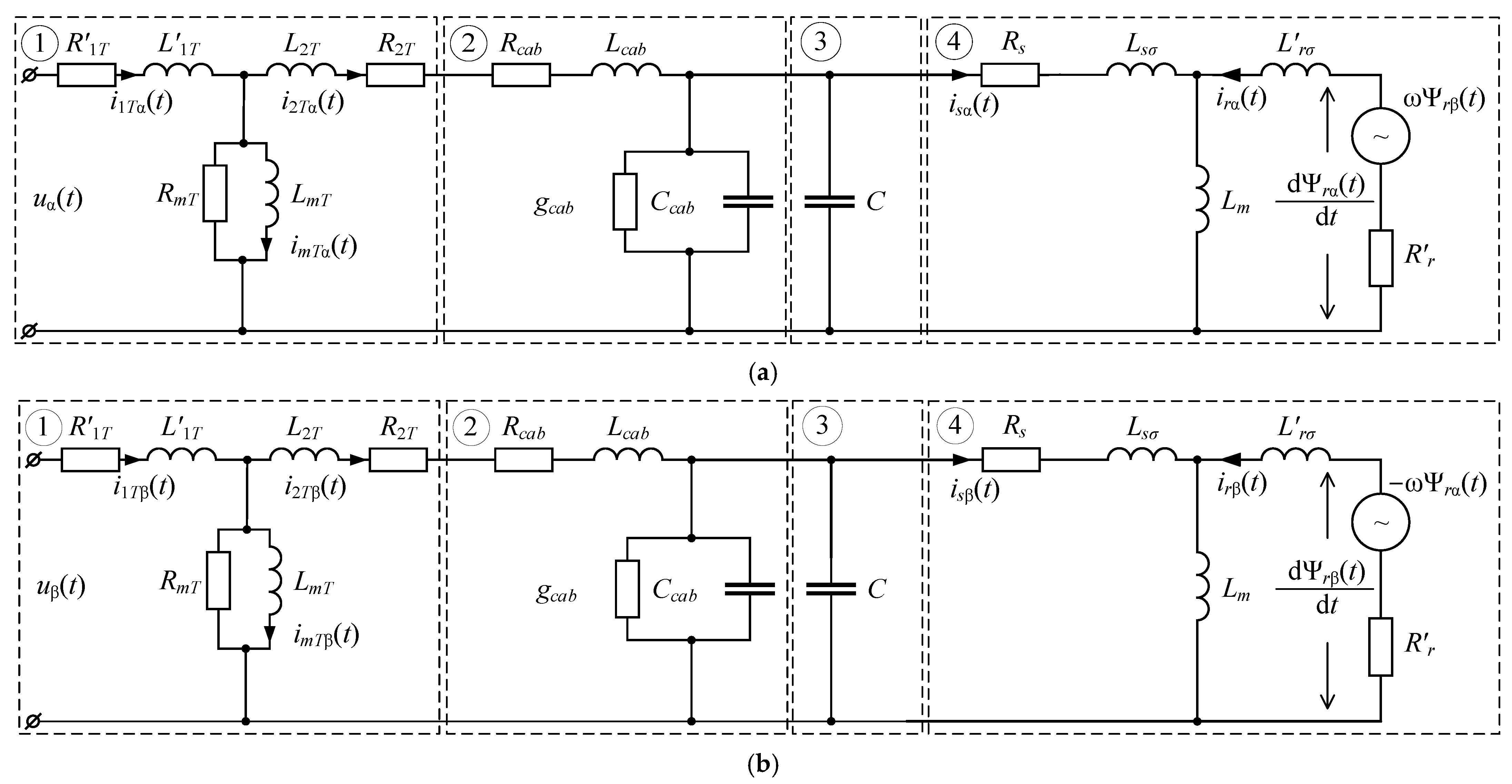
3. Mathematical Modeling
- A submersible induction motor, model ED-125-117 (Russia);
- A submersible compensator of reactive power, model VKRM-125-117 (Russia);
- A 2000 m long cable, model KPBK-90 3 × 16 (Russia) [17];
- A transformer, model TMPN-400/3 (Russia).
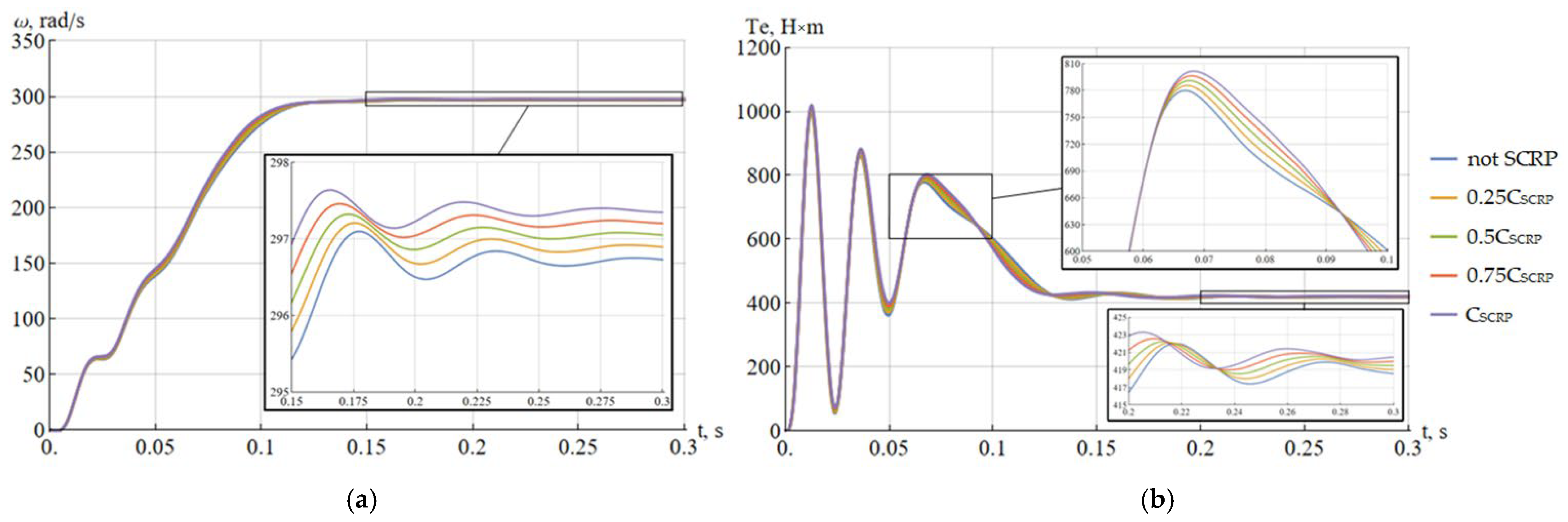
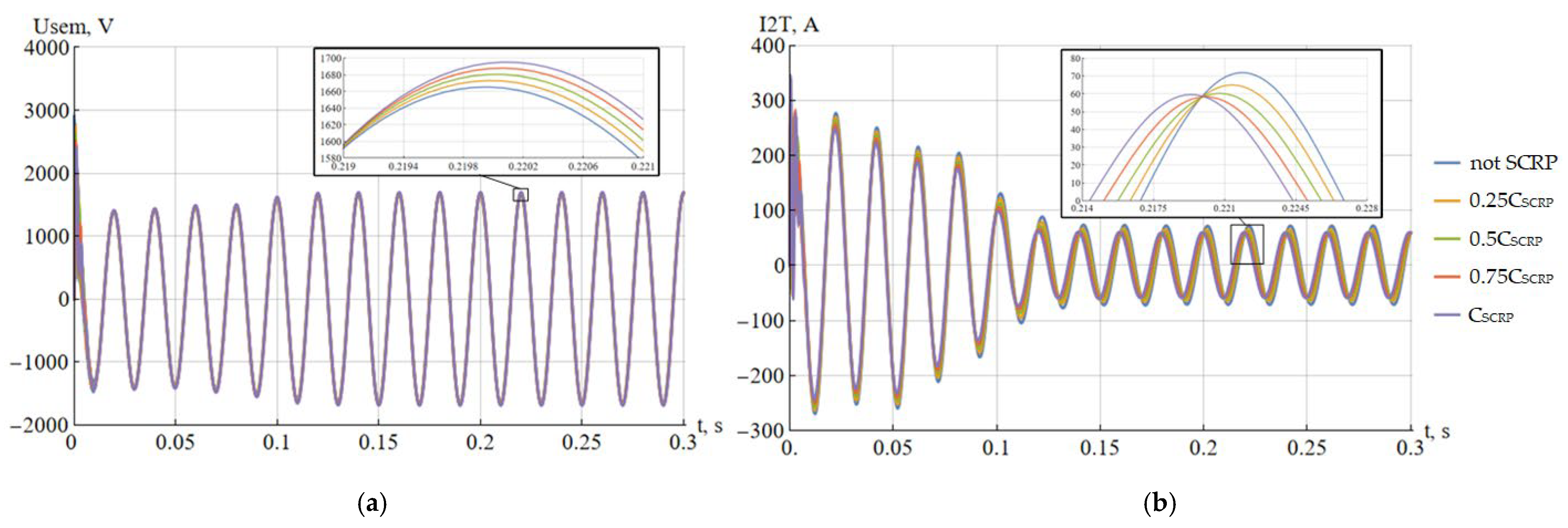
4. Industrial Testing
- The device length does not exceed 4 m, as the submersible compensator is installed below the operational components of the ESP unit and the oil-bearing formation;
- Capability to operate under actual downhole conditions: temperatures up to 140 °C and pressures up to 40 MPa, or in accordance with the requirements of the oil-producing enterprise;
- The devices can be implemented in any standard size (form factor) of submersible equipment;
- Universality; the ability of the developed devices to operate with electric motors from various manufacturers of submersible equipment (subject to appropriate motor retrofitting/modernization).
- Setting of required compensation currents for submersible electric motors with a rated power of at least 16 kW;
- Operation with submersible electric motors under variable frequency control in the range of 35 Hz to 70 Hz;
- Operation in parallel with the grid, with voltage harmonic content (3rd, 5th, 7th, etc.) up to 14%;
- Rated voltage up to 3000 V;
- Ability to ensure a power factor at the point of common coupling of not less than 0.95.
5. Discussion
6. Conclusions
7. Patents
Author Contributions
Funding
Data Availability Statement
Conflicts of Interest
References
- Petrochenkov, A.; Lyakhomskii, A.; Romodin, A.; Perfil’eva, E.; Mishurinskikh, S.; Zuev, S.; Butorin, I.; Kolesnikov, N.; Lelekov, A.; Shabunin, A. Improving the Energy Efficiency of an Electric Submersible Pump Installation Using an Integrated Logistics Support Approach. Sustainability 2023, 15, 11845. [Google Scholar] [CrossRef]
- Liang, X.; Xing, Z.; Yue, Z.; Ma, H.; Shu, J.; Han, G. Optimization of Energy Consumption in Oil Fields Using Data Analysis. Processes 2024, 12, 1090. [Google Scholar] [CrossRef]
- Petrochenkov, A.; Ilyushin, P.; Mishurinskikh, S.; Kozlov, A. Development of a Method for Improving the Energy Efficiency of Oil Production with an Electrical Submersible Pump. Inventions 2023, 8, 29. [Google Scholar] [CrossRef]
- Ramzey, H.; Badawy, M.; Elhosseini, M.; Elbaset, A.A. I2OT-EC: A Framework for Smart Real-Time Monitoring and Controlling Crude Oil Production Exploiting IIOT and Edge Computing. Energies 2023, 16, 2023. [Google Scholar] [CrossRef]
- Grassian, D.; Olsen, D. Detailed Energy Accounting of Electrical Submersible Pumping Systems. Energies 2020, 13, 302. [Google Scholar] [CrossRef]
- Çunkaş, M. Design Optimization of Electric Motors by Multiobjective Fuzzy Genetic Algorithms. Math. Comput. Appl. 2008, 13, 153–163. [Google Scholar] [CrossRef]
- Beck, M.; Sperlich, A.; Blank, R.; Meyer, E.; Binz, R.; Ernst, M. Increasing Energy Efficiency in Water Collection Systems by Submersible PMSM Well Pumps. Water 2018, 10, 1310. [Google Scholar] [CrossRef]
- Zou, Y.; Zhou, D.; Ma, X.; Jie, Y.; Wang, X.; Liu, H. Optimization of Mathematical Function-Shaped Fracture Distribution Patterns for Multi-Stage Fractured Horizontal Wells. Energies 2023, 16, 4987. [Google Scholar] [CrossRef]
- Alemi, M.; Jalalifar, H.; Kamali, G.R.; Kalbasi, M. A mathematical estimation for artificial lift systems selection based on ELECTRE model. J. Pet. Sci. Eng. 2011, 78, 193–200. [Google Scholar] [CrossRef]
- Xu, J.; Li, J.; Chen, J.; Han, M.; Han, X.; Li, J. Research on Power Saving Positive Torque and Constant Power Pumping Unit and Tracking Technique System. Procedia Eng. 2012, 29, 1034–1041. [Google Scholar] [CrossRef]
- Luk, P. Design Challenge of High-Speed High-Power Density Motor for Advanced Electrical Submersible Pump. In Proceedings of the 2023 IEEE International Electrical Machines & Drives Conference (IEMDC), Dallas, TX, USA, 15–18 May 2023; pp. 1–6. [Google Scholar]
- Kosobudzki, G.; Dusza, D.; Ciurys, M.P.; Leicht, A. Reactive Power Compensation for Single-Phase AC Motors Using Integral Power Theory. Energies 2025, 18, 2641. [Google Scholar] [CrossRef]
- Sui, X.; Han, G.; Lu, X.; Xing, Z.; Liang, X. Energy Consumption Prediction and Optimization of the Electrical Submersible Pump Well System Based on the DA-RNN Algorithm. Processes 2025, 13, 128. [Google Scholar] [CrossRef]
- Malyar, A.; Cieslik, S. Calculation of Processes in the Electric Drive of the Sucker-Rod Pumping Unit with Reactive Power Compensation. Energies 2023, 16, 7782. [Google Scholar] [CrossRef]
- Yidi, S.A.G.; Santos, V.S.; Sarmiento, K.B.; Candelo-Becerra, J.E.; de la Cruz, J. Comparison of Reactive Power Compensation Methods in an Industrial Electrical System with Power Quality Problems. Electricity 2024, 5, 642–661. [Google Scholar] [CrossRef]
- Sobhy, M.A.; Hegazy, G.M.; El-Banbi, A.H. Dual-Level Electric Submersible Pump (ESP) Failure Classification: A Novel Comprehensive Classification Bridging Failure Modes and Root Cause Analysis. Energies 2025, 18, 3943. [Google Scholar] [CrossRef]
- Kopyrin, V.A.; Deneko, M.V.; Markova, A.A.; Pashina, A.V.; Khamitov, R.N. Determination of the Economic Efficiency from the Downhole Compensators’ Introduction, under the Average Elaboration to Failures. In Proceedings of the 2021 Dynamics of Systems, Mechanisms and Machines (Dynamics), Omsk, Russian, 23–25 November 2021; pp. 1–4. [Google Scholar] [CrossRef]
- Glazyrin, A.S.; Isaev, Y.N.; Kopyrin, V.A.; Timoshkin, V.V.; Kladiev, S.N.; Khamitov, R.N.; Kovalev, V.Z.; Losev, F.A.; Leonov, A.P.; Popov, E.I. Transient Processes in electrical Complex of a Production Well with a Downhole Reactive Power Compensator. Bull. Tomsk. Polytech. Univ. Geo Resour. Eng. 2023, 334, 168–180. [Google Scholar] [CrossRef]
- von Jouanne, A.; Agamloh, E.; Yokochi, A. A Review of Matrix Converters in Motor Drive Applications. Energies 2025, 18, 164. [Google Scholar] [CrossRef]
- Mossad, M.I.; Azab, M.; Abu-Siada, A. Transformer Parameters Estimation from Nameplate Data Using Evolutionary Programming Techniques. IEEE Trans. Power Deliv. 2014, 29, 2118–2123. [Google Scholar] [CrossRef]
- Ćalasan, M.; Mujičić, D.; Rubežić, V.; Radulović, M. Estimation of Equivalent Circuit Parameters of Single-Phase Transformer by Using Chaotic Optimization Approach. Energies 2019, 12, 1697. [Google Scholar] [CrossRef]
- Glazyrin, A.S.; Isaev, Y.N.; Kladiev, S.N.; Leonov, A.; Rakov, I.; Kolesnikov, S.; Langraph, S.V.; Filipas, A.; Kopyrin, V.; Khamitov, R.N.; et al. Determination of Linear Electrical Parameters of an Oil-Submersible Cable. Bull. Tomsk. Polytech. Univ. Geo Resour. Eng. 2021, 332, 186–197. [Google Scholar] [CrossRef]






| Elements | Energy Losses (%) | Measures | Disadvantages |
|---|---|---|---|
| Centrifugal pump | 40 to 60 | Application of ESPs with increased efficiency | Efficiency has not shown any growth dynamics in recent years |
| Submersible electric motor | 10 to 15 | Application of modern submersible permanent magnet synchronous motors | High cost compared to induction and high-voltage SEM |
| Cable | up to 15 | Increasing the cross-section of the supply cable, using a material with lower resistance, and using SEM with increased voltage | Limitations on diameter and curvature, high cost of materials and equipment, and limitation on SEM power |
| Transformer | up to 5 | Application of energy-efficient transformers | Savings from reducing short-circuit and no-load losses are insignificant |
| Control station | up to 7 | Application of components with maximum efficiency | A slight reduction in losses leads to a significant increase in cost |
| Pump-compressor tubing and wellhead equipment | up to 10 | Increasing the diameter of pipes | High risk of damage to the cable |
| Parameter | Value | |
|---|---|---|
| LV Winding | HV Winding | |
| Rated voltage (V) | 405 | 2173 |
| Rated apparent power (kVA) | 400 | |
| Short circuit losses (kW) | 5.8 | |
| No-load losses (kW) | 0.9 | |
| Short circuit voltage (%) | 7.0 | |
| No-load current (%) | 1.0 | |
| Active resistance of the winding (Ohm) | 0.009 | 0.257 |
| Inductance of the winding (H) | 3.579 × 10−5 | 1.030 × 10−3 |
| Active resistance of the magnetizing circuit (Ohm) | 796.83 | |
| Inductance of the magnetization circuit (H) | 2.772 | |
| Linear Capacity, C0 (F/km) | Linear Inductance, L0 (H/km) | Linear Conductivity, g0 (Ω–1/km) | Linear Resistance, r0 (Ω/km) |
|---|---|---|---|
| 2.125 × 10−7 | 300.676 × 10−6 | 10−6 | 1.204 |
| Parameter | Value |
|---|---|
| Rated voltage (V) | 2080 |
| Rated apparent power (VA) | 177,514 |
| Active resistance of the stator winding (Ohm) | 2.0 |
| Inductance of the stator winding (H) | 6.34 × 10−3 |
| Reduced active resistance of the rotor winding (Ohm) | 1.352 |
| Reduced inductance of the rotor winding (H) | 6.34 × 10−3 |
| Inductance of the magnetization circuit (H) | 134.0 × 10−3 |
| Moment of rotor’s inertia (kg·m2) | 0.22 |
| Friction coefficient (N·m·s) | 0.044 |
| Well No | Nominal Power SEM (kW) | Transformer Voltage (V) | Nominal Power SCRP (kVAr) | Frequency (Hz) | Load Factor (%) | Cable Cross-Section (mm2) | Length of the Cable (m) | Well Temperature (°C) |
|---|---|---|---|---|---|---|---|---|
| 1 | 125 | 2173 | 54.5 | 50 | 96.9 | 16 | 2518 | 92 |
| 2 | 125 | 2165 | 50.0 | 50 | 71.0 | 16 | 2456 | 89 |
| 3 | 125 | 2322 | 50.0 | 50 | 62.5 | 16 | 2801 | 85 |
| 4 | 110 | 1833 | 50.0 | 50 | 66.0 | 16 | 1700 | 75 |
| 5 | 125 | 2162 | 54.5 | 45 | 68.0 | 25 | 1530 | 71 |
| Well No | Active Power (kW) | Current (A) | Power Factor (cos φ) | Energy Efficiency with SCRP | ||||
|---|---|---|---|---|---|---|---|---|
| Without SCRP | with SCRP | Without SCRP | with SCRP | Without SCRP | with SCRP | E (MW×Year) | η (%) | |
| 1 | 155.5 * | 145.3 * | 49.6 * | 42.5 * | 0.85 * | 0.95 * | 61.27 | 6.58 |
| 2 | 113.1 * | 115.0 * | 40.7 * | 31.5 * | 0.79 * | 0.98 * | 78.07 | 5.66 |
| 3 | 102.5 * | 90.0 * | 38.1 * | 23.9 * | 0.74 * | 0.98 * | 118.38 | 11.78 |
| 4 | 90.7 * | 85.7 * | 40.4 * | 32.7 * | 0.82 * | 0.96 * | 48.79 | 5.21 |
| 5 | 98.4 * | 91.7 * | 37.9 * | 21.9 * | 0.62 * | 0.96 * | 72.85 | 9.44 |
| Well No | Active Power Losses in Cable Pcab (kW) | Active Power Losses in the Transformer Ptransformer (kW) | Active Power Losses in Control Stations ΔPCS (kW) | |||
|---|---|---|---|---|---|---|
| Without SCRP | with SCRP | Without SCRP | with SCRP | Without SCRP | with SCRP | |
| 1 | 21.48 | 16.43 | 3.55 | 3.22 | 12.80 | 11.20 |
| 2 | 14.77 | 8.80 | 3.12 | 2.61 | 10.71 | 8.27 |
| 3 | 15.00 | 6.17 | 3.15 | 2.34 | 10.84 | 6.95 |
| 4 | 10.27 | 6.77 | 2.78 | 2.43 | 9.09 | 7.38 |
| 5 | 5.11 | 1.76 | 2.96 | 2.11 | 9.96 | 5.85 |
Disclaimer/Publisher’s Note: The statements, opinions and data contained in all publications are solely those of the individual author(s) and contributor(s) and not of MDPI and/or the editor(s). MDPI and/or the editor(s) disclaim responsibility for any injury to people or property resulting from any ideas, methods, instructions or products referred to in the content. |
© 2025 by the authors. Licensee MDPI, Basel, Switzerland. This article is an open access article distributed under the terms and conditions of the Creative Commons Attribution (CC BY) license (https://creativecommons.org/licenses/by/4.0/).
Share and Cite
Kopyrin, V.; Popov, E.; Glazyrin, A.; Isaev, Y.; Khamitov, R.; Deneko, M.; Kochetygov, M. Submersible Compensator of Reactive Power. Electricity 2025, 6, 74. https://doi.org/10.3390/electricity6040074
Kopyrin V, Popov E, Glazyrin A, Isaev Y, Khamitov R, Deneko M, Kochetygov M. Submersible Compensator of Reactive Power. Electricity. 2025; 6(4):74. https://doi.org/10.3390/electricity6040074
Chicago/Turabian StyleKopyrin, Vladimir, Evgeniy Popov, Alexander Glazyrin, Yusup Isaev, Rustam Khamitov, Marina Deneko, and Maxim Kochetygov. 2025. "Submersible Compensator of Reactive Power" Electricity 6, no. 4: 74. https://doi.org/10.3390/electricity6040074
APA StyleKopyrin, V., Popov, E., Glazyrin, A., Isaev, Y., Khamitov, R., Deneko, M., & Kochetygov, M. (2025). Submersible Compensator of Reactive Power. Electricity, 6(4), 74. https://doi.org/10.3390/electricity6040074

