Physicochemical Properties of Temperature-/pH-Sensitive Hydrogel Materials †
Abstract
:1. Introduction
2. Materials and Methods
2.1. Materials
2.2. Synthesis of Hydrogel Materials
2.3. FT-IR Infrared Spectroscopy Analysis
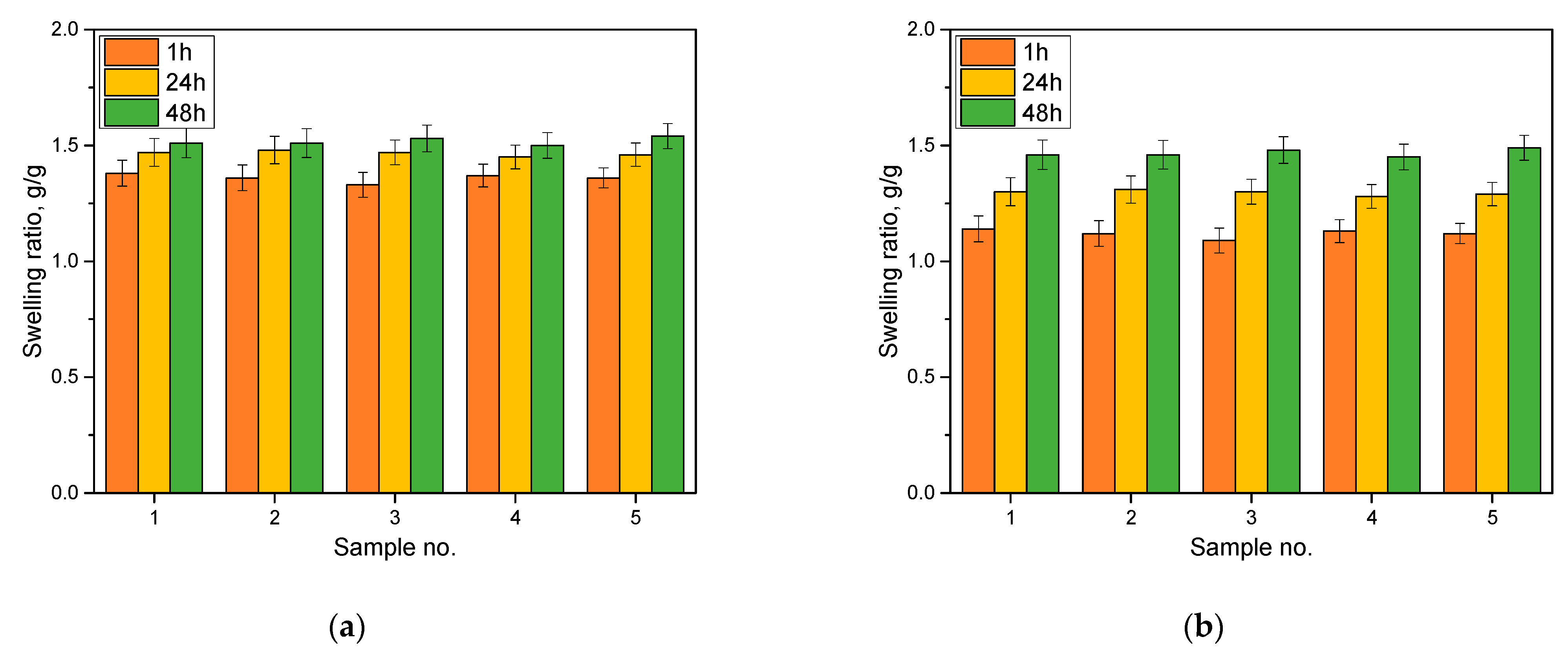
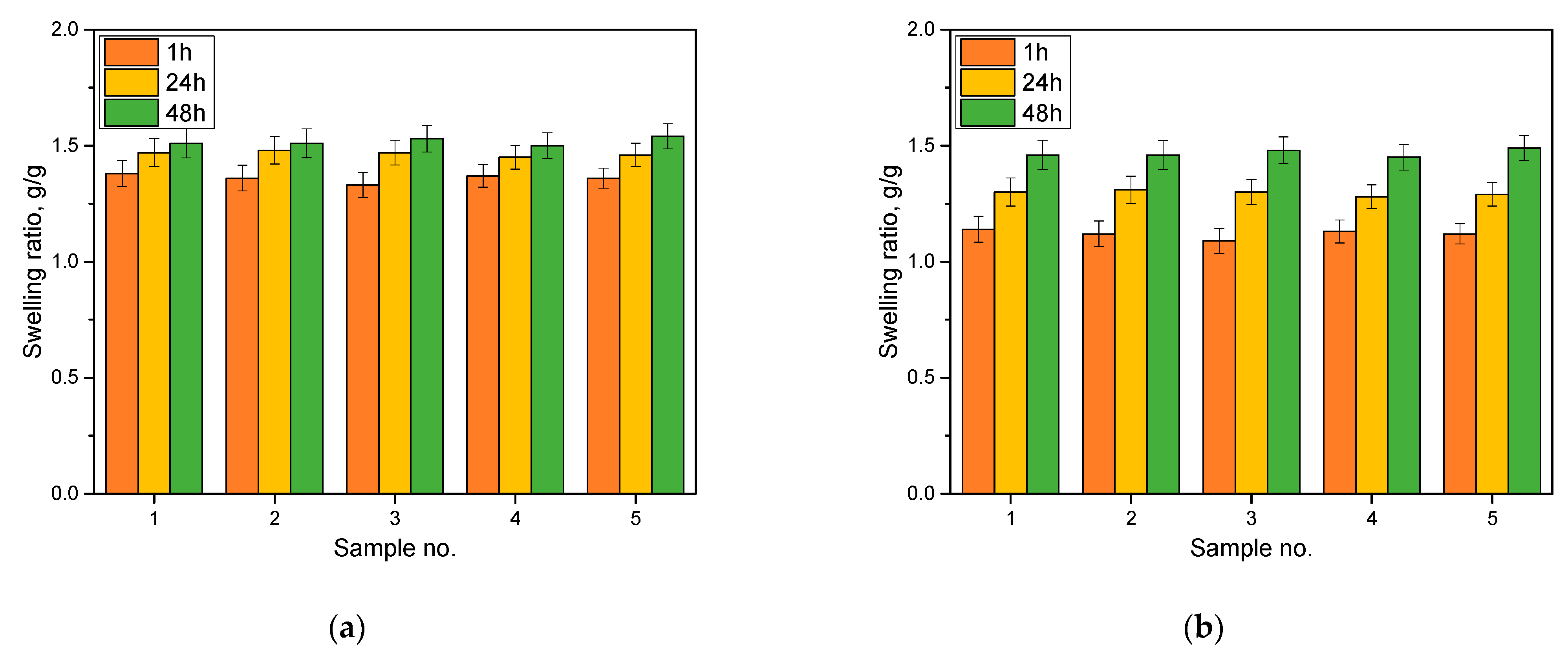
2.4. Analysis of Sorption Capacity
- α—swelling ratio, in g/g;
- mt—mass of swollen sample after time “t”, in g;
- m0—mass of dry sample (before the study), in g.
2.5. Microscopic Observations and Roughness Profile
3. Results and Discussion
3.1. FT-IR Infrared Spectroscopy Analysis
3.2. Analysis of Sorption Capacity
3.3. Microscopic Observations
4. Summary
- The selected photopolymerization technique enabled the production of hydrogel materials that were modified with a fluorescent dye.
- The obtained hydrogels were characterized according to their sorption capacities.
- The spectroscopic characterization showed no significant deviations between the materials studied.
- All the materials were characterized by a continuous, homogeneous polymerization surface structure, with an average degree of roughness.
Author Contributions
Funding
Institutional Review Board Statement
Informed Consent Statement
Data Availability Statement
Conflicts of Interest
References
- Zhou, H.; Zhu, H.; Yang, X.; Zhang, Y.; Zhang, X.; Cui, K.; Shao, L.; Yao, J. Temperature/PH Sensitive Cellulose-Based Hydrogel: Synthesis, Characterization, Loading, and Release of Model Drugs for Potential Oral Drug Delivery. BioResources 2014, 10, 760–771. [Google Scholar] [CrossRef]
- Coșman, B.-P.; Bucătariu, S.-M.; Constantin, M.; Fundueanu, G. Temperature/PH-Sensitive Double Cross-Linked Hydrogels as Platform for Controlled Delivery of Metoclopramide. Gels 2022, 8, 824. [Google Scholar] [CrossRef] [PubMed]
- Rizwan, M.; Yahya, R.; Hassan, A.; Yar, M.; Azzahari, A.D.; Selvanathan, V.; Sonsudin, F.; Abouloula, C.N. PH Sensitive Hydrogels in Drug Delivery: Brief History, Properties, Swelling, and Release Mechanism, Material Selection and Applications. Polymers 2017, 9, 137. [Google Scholar] [CrossRef] [PubMed]
- Zhang, W.; Mu, X.; Xu, Y.; Li, S.; Liu, X.; Lei, Z. Popcorn-Based Dual-Monomer Copolymerized Temperature/PH-Sensitive Core-Shell Hydrogels. J. Environ. Chem. Eng. 2023, 11, 109510. [Google Scholar] [CrossRef]
- Gao, C.; Ren, J.; Zhao, C.; Kong, W.; Dai, Q.; Chen, Q.; Liu, C.; Sun, R. Xylan-Based Temperature/PH Sensitive Hydrogels for Drug Controlled Release. Carbohydr. Polym. 2016, 151, 189–197. [Google Scholar] [CrossRef] [PubMed]
- Markovic, M.D.; Panic, V.V.; Savic, S.I.; Ugrinovic, V.D.; Pjanovic, R.V.; Spasojevic, M.M.; Spasojevic, P.M. Biobased Thermo/PH Sensitive Poly(N-Isopropylacrylamide-Co-Crotonic Acid) Hydrogels for Targeted Drug Delivery. Microporous Mesoporous Mater. 2022, 335, 111817. [Google Scholar] [CrossRef]
- Kwon, S.S.; Kong, B.J.; Park, S.N. Physicochemical Properties of PH-Sensitive Hydrogels Based on Hydroxyethyl Cellulose–Hyaluronic Acid and for Applications as Transdermal Delivery Systems for Skin Lesions. Eur. J. Pharm. Biopharm. 2015, 92, 146–154. [Google Scholar] [CrossRef] [PubMed]
- Xu, X.; Sun, J.; Bing, L.; Cui, X.; Jia, B.; Bai, S. Fractal Features of Dual Temperature/PH-Sensitive Poly(N-Isopropylacrylamide-Co-Acrylic Acid) Hydrogels and Resultant Effects on the Controlled Drug Delivery Performances. Eur. Polym. J. 2022, 171, 111203. [Google Scholar] [CrossRef]
- Bustamante-Torres, M.; Romero-Fierro, D.; Arcentales-Vera, B.; Palomino, K.; Magaña, H.; Bucio, E. Hydrogels Classification According to the Physical or Chemical Interactions and as Stimuli-Sensitive Materials. Gels 2021, 7, 182. [Google Scholar] [CrossRef] [PubMed]
- Geyik, G.; Işıklan, N. Synthesis, Characterization and Swelling Performance of a Temperature/PH-Sensitive κ-Carrageenan Graft Copolymer. Int. J. Biol. Macromol. 2020, 152, 359–370. [Google Scholar] [CrossRef] [PubMed]
- Tomczyk, A.; Sokołowska, Z.; Boguta, P. Biochar Physicochemical Properties: Pyrolysis Temperature and Feedstock Kind Effects. Rev. Environ. Sci. Bio/Technol. 2020, 19, 191–215. [Google Scholar] [CrossRef]
- Johnson, B.D.; Beebe, D.J.; Crone, W.C. Effects of Swelling on the Mechanical Properties of a PH-Sensitive Hydrogel for Use in Microfluidic Devices. Mater. Sci. Eng. C 2004, 24, 575–581. [Google Scholar] [CrossRef]





| 10% PEG, mL | 10% PVA, mL | Photoinitiator, mL | Fluorescein, mL | PEGDA, mL | Sample No. |
|---|---|---|---|---|---|
| 1.0 | 9.0 | 0.05 | 1 | 1 | |
| 3.0 | 7.0 | 2 | |||
| 5.0 | 5.0 | 3 | 3 | ||
| 7.0 | 3.0 | 4 | |||
| 9.0 | 1.0 | 5 |
Disclaimer/Publisher’s Note: The statements, opinions and data contained in all publications are solely those of the individual author(s) and contributor(s) and not of MDPI and/or the editor(s). MDPI and/or the editor(s) disclaim responsibility for any injury to people or property resulting from any ideas, methods, instructions or products referred to in the content. |
© 2023 by the authors. Licensee MDPI, Basel, Switzerland. This article is an open access article distributed under the terms and conditions of the Creative Commons Attribution (CC BY) license (https://creativecommons.org/licenses/by/4.0/).
Share and Cite
Bańkosz, M.; Sala, K.; Grzela, K.; Wanat, D.; Rzepka, K.; Iglar, M.; Piątkowski, J.; Woźniak, A.; Kędzierska, M.; Tyliszczak, B. Physicochemical Properties of Temperature-/pH-Sensitive Hydrogel Materials. Eng. Proc. 2023, 48, 58. https://doi.org/10.3390/CSAC2023-15166
Bańkosz M, Sala K, Grzela K, Wanat D, Rzepka K, Iglar M, Piątkowski J, Woźniak A, Kędzierska M, Tyliszczak B. Physicochemical Properties of Temperature-/pH-Sensitive Hydrogel Materials. Engineering Proceedings. 2023; 48(1):58. https://doi.org/10.3390/CSAC2023-15166
Chicago/Turabian StyleBańkosz, Magdalena, Katarzyna Sala, Klaudyna Grzela, Dominika Wanat, Korneliusz Rzepka, Monika Iglar, Jakub Piątkowski, Aniela Woźniak, Magdalena Kędzierska, and Bożena Tyliszczak. 2023. "Physicochemical Properties of Temperature-/pH-Sensitive Hydrogel Materials" Engineering Proceedings 48, no. 1: 58. https://doi.org/10.3390/CSAC2023-15166
APA StyleBańkosz, M., Sala, K., Grzela, K., Wanat, D., Rzepka, K., Iglar, M., Piątkowski, J., Woźniak, A., Kędzierska, M., & Tyliszczak, B. (2023). Physicochemical Properties of Temperature-/pH-Sensitive Hydrogel Materials. Engineering Proceedings, 48(1), 58. https://doi.org/10.3390/CSAC2023-15166

