Study of Structural Damage of Leaves over the Infrared Narrow Bands †
Abstract
:1. Introduction
2. Materials and Methods
Experiment
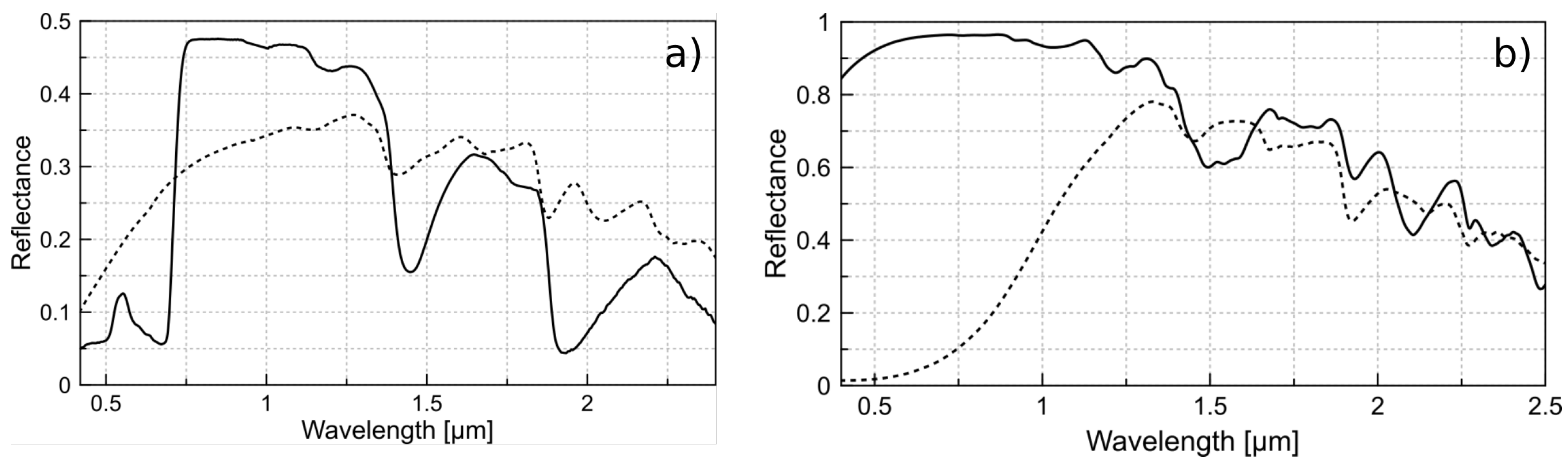
3. Results
4. Conclusions
Author Contributions
Funding
Institutional Review Board Statement
Informed Consent Statement
Data Availability Statement
Acknowledgments
Conflicts of Interest
Abbreviations
| CMOS | Complementary Metal Oxide Semiconductor |
| NIR | Near-Infrared |
| IR | Infrared |
| CW | Central Wavelength |
| SNR | Signal-to-Noise Ratio |
References
- Im, J.; Jensen, J.R. Hyperspectral Remote Sensing of Vegetation. Geogr. Compass 2008, 2, 1943–1961. [Google Scholar] [CrossRef]
- Steven, M.D.; Malthus, T.J.; Baret, F.; Xu, H.; Chopping, M.J. Intercalibration of vegetation indices from different sensor systems. Remote. Sens. Environ. 2003, 88, 412–422. [Google Scholar]
- Barragán, R.C.; Castrellon-Uribe, J.; Garcia-Torales, G.; Rodríguez-Rivas, A. IR characterization of plant leaves, endemic to semi-tropical regions, in two senescent states. Appl. Opt. 2020, 59, E126–E133. [Google Scholar]





| Sample | Physical Characteristics | Intensity 766 nm | Intensity 830 nm | Intensity 1064 nm | |||
|---|---|---|---|---|---|---|---|
| Mode | Max. | Mode | Max. | Mode | Max. | ||
| S1 | Brown, completely dry, rigid. | 148 | 178 | 178 | 207 | 141 | 160 |
| S2 | Green, dry, brown spots, semi-rigid. | 123 | 162 | 128 | 185 | 123 | 136 |
| S3 | Yellow, slightly green, semi-dry, flexible. | 107 | 147 | 109 | 151 | 104 | 114 |
| S4 | Green, fresh, highly flexible. | 128 | 146 | 98 | 162 | 101 | 115 |
Disclaimer/Publisher’s Note: The statements, opinions and data contained in all publications are solely those of the individual author(s) and contributor(s) and not of MDPI and/or the editor(s). MDPI and/or the editor(s) disclaim responsibility for any injury to people or property resulting from any ideas, methods, instructions or products referred to in the content. |
© 2023 by the authors. Licensee MDPI, Basel, Switzerland. This article is an open access article distributed under the terms and conditions of the Creative Commons Attribution (CC BY) license (https://creativecommons.org/licenses/by/4.0/).
Share and Cite
Barragán, R.C.; Strojnik, M.; Gonzalez-Romero, R. Study of Structural Damage of Leaves over the Infrared Narrow Bands. Eng. Proc. 2023, 51, 25. https://doi.org/10.3390/engproc2023051025
Barragán RC, Strojnik M, Gonzalez-Romero R. Study of Structural Damage of Leaves over the Infrared Narrow Bands. Engineering Proceedings. 2023; 51(1):25. https://doi.org/10.3390/engproc2023051025
Chicago/Turabian StyleBarragán, Roberto C., Marija Strojnik, and Ricardo Gonzalez-Romero. 2023. "Study of Structural Damage of Leaves over the Infrared Narrow Bands" Engineering Proceedings 51, no. 1: 25. https://doi.org/10.3390/engproc2023051025
APA StyleBarragán, R. C., Strojnik, M., & Gonzalez-Romero, R. (2023). Study of Structural Damage of Leaves over the Infrared Narrow Bands. Engineering Proceedings, 51(1), 25. https://doi.org/10.3390/engproc2023051025

