Abstract
The present research work shows that secondary aluminium alloys, properly sorted and prepared for the casting process, can provide almost 100% of the input for the casting process of 6xxx alloys billets. The 6063 and 6082 alloys were prepared in three variants of chemical composition. Liquid metal analysis showed low levels of impurities in most of the alloys studied. In the hot-top cast billets, differences were observed in the phase fraction and average grain size between the edge and centre of the billet, which was related to a slight increase in the content of elements such as Fe and Mn.
1. Introduction
Rising prices of natural resources, increasing demand, decreasing deposit resources and environmental protection make the recycling of aluminium and its alloys a very important topic nowadays [1,2,3,4,5]. Reprocessing of waste and scrap is technologically possible and profitable. The estimated value of energy consumption needed to process aluminium and its alloys in the recycling process oscillates at around 5% of the energy needed to produce primary aluminium [1,2]. Important features of aluminium and its alloys that adversely affect the process of its production and processing are their high chemical affinity for oxygen and other gases, their high ability to absorb gaseous pollutants, in particular hydrogen, and their high ability to dissolve other metals. Owing to the high affinity for oxygen, the basic, solid impurities in the liquid metal are oxides, mainly Al2O3, and oxides of other metals included in the alloy [3]. Their removal is difficult due to their significant dispersion and the small difference in density in relation to the density of the liquid metal. Harmful hydrogen can be absorbed from the atmosphere and from moist present in the melted scrap. Its content is also dependent on temperature and alloying elements [2,3]. Refining treatments, with various gases or salts, and metal filtration treatments allow the removal of the above solid and gaseous inclusions to a significant measurable extent. The conducted research and world literature show that the most challenging problems in the production of secondary aluminium alloys are low metal yield caused by oxidation processes and obtaining the right chemical composition with the smallest possible share of primary aluminium and alloying elements, which is due to the lack of a comprehensive technology for the reduction of undesirable “critical” elements, i.e., Si, Cu, Mg, Ni, Zn, Mn, Pb, Cr, Fe and V, in the production of the alloy using various types of scrap [2,3,4]. Despite this, there are industrial solutions that allow the elimination of selected undesirable elements from the metal bath. Metal remelting is a metallurgical process and is therefore governed by the laws of thermodynamics as summarised in the diagram by Ellingham [3]. The removal of unwanted elements from the metal bath is dictated by the appropriate final chemical composition, as well as energy considerations and the final price of the process. An important technological element is the composition of the charge for melting with identical technological capabilities along with an individual approach to a given assortment of scrap and alloy. All recycling operations require the use of established technologies throughout the production process [3,4,5].
The aim of the research was to produce high quality aluminium alloy billets with 100% scrap content for laboratory extrusion processing. The castings were characterised in terms of metal purity using the PREFIL® instrument and prepared for the next stages of production. The influence of some elements on the quality and parameters of the ingots in three variants of chemical composition, which could be reduced by using 100% scrap, was studied.
2. Materials and Methods
Research has been carried out to optimise the process of alloy preparation and casting of high-quality billets with a diameter that allows them to be used as feed for the extrusion process on a laboratory scale (billet diameter 4”). The research was carried out on two traditional alloys from the 6xxx series, i.e., 6063 and 6082 alloys. The alloy billets were produced in three variants using a very significant amount of scrap and micro-additives. Only the first variant of the two alloys tested was within the scope of EN 573-3:2019, the subsequent variants (2 and 3) are minor modifications of these alloys. The modifications made were related to the use of 100% scrap and the reduction of the negative effects of the growth of impurities and Fe in the alloys. The analysed variants of alloys with different chemical compositions are presented in Table 1.
Table 1.
Targeted variants of chemical compositions of 6xxx series alloys.
The process of preparing selected alloys was monitored to ensure high-quality molten metal and hence cast billets. The preparation process of the tested alloys, i.e., melting, alloying and refining, was optimised. Scraps supplied by Comet Traitements were used for the preparation of 6063 and 6082 alloys. They consisted of selected, shredded fractions of different types of aluminium alloy, such as 6063 (profiles) 710 kg, 6082 (profiles) 480 kg, 5xxx (5054.5005 pieces of sheet) 85 kg, 6061 (electric scooter frames—scooters) 45 kg, 5005 (photovoltaic panel structural parts—PVP) 155 kg, AlSi10 (car wheels—RIM) 25 kg. Some of these scraps were post-production wastes, such as profiles 6063, 6082 and pieces of sheet 5xxx, while others were end-of-life product waste, including PVP, RIM and scooters.
The charge of approximately 240 kg was melted in a resistance crucible furnace. After melting and reaching a temperature of 740–750 °C, 1 kg of cover refining salt was used to clean the metal bath. After removing the dross, the chemical composition was adjusted to the assumed requirements and samples were taken to determine the hydrogen content. Bubble refining was then carried out using the UR0 200 apparatus. The refining time was 10 min and the argon flow rate was 10 L/min. Prior to casting, a grain refiner in the form of AlTi5B1 rods was added to the bath and a sample was taken to determine the chemical composition. After refining, the hydrogen content was determined again.
Casting was carried out on the foundry stand using two hot-top crystallisers with continuous lubrication and a diameter of 101 mm—(4”). During casting the metal was filtered through a 30 ppi ceramic filter.
Billets of the 6063 and 6082 alloys tested were produced in three heats. Approximately 200 kg of molten metal from each variant was cast in two stages—two billets, each approximately 2 m long. The content of hydrogen dissolved in liquid aluminium alloys was determined using the ALSCAN™. After selecting and optimising the technological parameters, the test billets were cast with the parameters shown in Table 2.
Table 2.
Parameters for casting 4” billets from 6063 and 6082 alloys.
The alloys tested prior to the 4” billet-casting process were characterised for chemical composition and hydrogen content. In addition, 6063 and 6082 alloys were tested with the Prefil Footprinter® before and after refining. The cast billets were then characterised for macrostructure and defects in the form of cracks or porosity. The chemical composition of the material was determined by optical spectrometry using an ARL4460 Optical Emission Spectrometer. LECO apparatus was used to test hydrogen levels in cast billets to compare results with the ALSCAN™ instrument. The tests were carried out on the metal before and after the refining treatment. A PREFIL® instrument was used to test impurities and filters before and after refining. During these tests, the system continuously weighs the metal in the balance and displays a curve of accumulated weight versus time. The cleaner the metal samples, the faster the curve rises. The metal residue above the filter was prepared for metallographic analysis. The content of inclusions concentrated on the surface of the test filter is then quantified using image analysis software. The quantitative analysis of the inclusions was carried out on LM (Ziess Axio Observer) images with a total area of 0.6 mm2 for each sample. This is then normalised by both the nominal chord length and the mass of filtered metal to give the familiar units of mm2/kg. Inclusions are arbitrarily classified by class and content (in mm2/kg) (Table 3) [6].
Table 3.
Inclusion classifications [6].
Sample fragments for testing were taken from the middle of the length of the cast billets. The macrostructure was revealed in Tucker’s reagent. The samples from the cross section (edge and centre) of the billets were observed on LM.
3. Results and Discussion
By optimising the process of preparing the tested alloys with different concentrations of selected alloying elements and by developing the casting parameters, it was possible to produce high-quality billets with a diameter of 101 mm intended for the process of homogenisation and extrusion on a laboratory scale. Billets cast from the three variants of the 6063 and 6082 alloys tested were free from defects in the form of cracks and had a smooth outer surface (Figure 1).
Figure 1.
The cast billets together with an exemplary outer surface of tree-tested variants of alloys (a) 6063 and (b) 6082.
The prepared alloys had the assumed chemical compositions (Table 1) which were taken during the preparation of alloys and on cast billets. Table 4 and Table 5 show the chemical compositions obtained after the casting process for 6063 and 6082 alloys in three variants with modifications.
Table 4.
Results of the chemical composition of cast billets of 6063 alloy with modifications [wt.%]. Modifications to the 6063 alloy are shown in bold.
Table 5.
Results of the chemical composition of cast billets of 6082 alloy with modifications [wt.%]. Modifications to the 6082 alloy are shown in bold.
From the analysis of the obtained results of the content of individual alloying elements in the alloys produced, it can be concluded that they fall within the targeted range of the main alloying elements, i.e., Si, Mg, Cu, Mn, Zn, Fe and Ti. The differences in the alloys are intended to simulate the differences due to the addition of scrap, and the additions such as Cu, Zn, Mg or Ti were introduced to reduce the effects of the increased content of impurities and Fe.
Table 6 shows the average hydrogen content in mL/100 g and ppm tested during casting and in the steady state by sampling before and after refining. Reducing the hydrogen content reduces the risk associated with the occurrence of gaseous defects [3]. Efforts are therefore made to keep this level as low as possible. Based on measurements of the hydrogen content in the tested alloys after the refining treatment, the hydrogen content was found to be half the value before the refining process. After the refining process, a level of 0.2 mL/100 g or 0.18 ppm indicates the absence of gas porosity in casting alloys.
Table 6.
Hydrogen content results for the tested alloys.
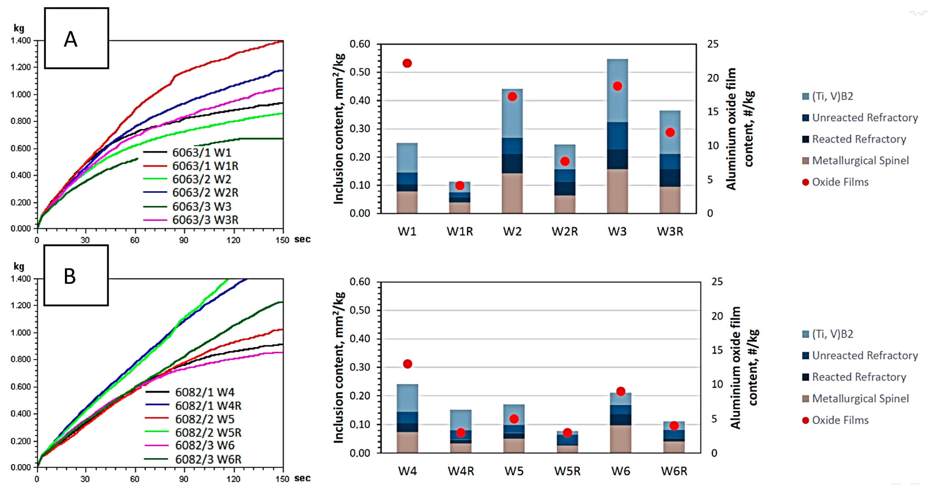
During the casting process, a contamination test was carried out using the PREFIL® apparatus for 6063 and 6082 alloys cast from scrap. Samples were tested before and after the refining process from three variants for each alloy. Filtration rate curves were determined and a filter for metallurgical research was collected after solidification of the liquid metal. The collected samples were observed on LM. The percentage of impurities in the tested alloys was then measured using image analysis. The results of the tests are shown in Figure 2.
Figure 2.
Prefil® analysis results for alloys (A) 6063 and (B) 6082.
The following common inclusion types were identified: metallurgical spinels, refractory particles (reacted and unreacted) and boron treatment additions (Ti,V)B2, in addition to Al oxide films. A decrease in the total inclusion content (TIC) was observed in the 6063 alloy samples after refinement compared to the samples before refinement (initial). The lowest TIC value, 0.113 mm2/kg, was found for sample W1R, which corresponds to Class 3. The results of the metallographic analysis of the inclusions above the filter in the samples of 6063 alloy tested with the Prefil apparatus show that the largest part of the fraction was (Ti,V)B2. In the samples of 6082 alloy after refining, a decrease in TIC was found compared to the samples before refining (initial). A twofold decrease was found in the case of the Metallurgical Spinel fraction and almost a threefold decrease in the case of Refractory Reacted, while Refractory Unreacted remained at a constant level of 0.03 ÷ 0.04 mm2/kg. The lowest TIC value, which was 0.078 mm2/kg, was found for sample W5R, corresponding to Class 2. The remaining samples were classified as Class 3. Impurities in 6063 and 6082 alloys were not only related to the scrap content. Small changes in chemical composition also had a significant effect on impurity levels. In the case of alloy 6063, an increased amount of impurities was observed with a slightly increased Mn content in each successive variant at a relatively low Si content. The 6082 alloy contains a higher Si content (about 0.9 wt. %) and the Mn content was kept at the same level for all the alloy variants. No increase in impurities was observed in this alloy. On the other hand, the alloys after the refining (degassing) process showed a much lower level of impurities (Case 3).
The level of impurities measured in ingots after refining will not have a significant impact on the quality of extruded profiles at a later production stage.
Macrostructure studies were carried out on cross sections. Examples of macrostructures for variant 1 of alloys 6063 and 6082 are shown in Figure 3. The quality control tests carried out did not reveal any defects in the cast billets. The macrostructure observations show that all alloys were cast correctly and had a homogeneously fine grain structure. No impurities, cracks, pores or oxide films were found.
Figure 3.
Macrostructure of billets from 1 variant of (a) 6063 and (b) 6082 series alloys.
Samples were prepared from cut slices of the billet for observation on an LM. Samples were taken from the edge and centre of the billets. Two main types of metallurgical phase were observed in the structure of the alloys studied, an ellipsoidal phase visible in black on the LM, which in the case of the 6xxx series alloys is known [7] as Mg2Si, and an elongated α-AlFeMnSi phase at the grain boundary visible in grey. Figure 4 shows examples of microstructures for the third variant of modified 6063 and 6082 alloys taken at the edge and centre of the ingot. A slightly higher proportion of phases was found at the edge of the ingots than in the centre. A difference in the distribution of phases in the ingot was observed in the third variant of the modified 6063 alloy and in all variants of the 6082 alloy. Differences were also observed in the grain size revealed by the Barker method. In the same alloy variants as the differences in phase distribution, a finer grain was found at the edge of the billets (Figure 5a,c) and a slightly larger grain in the central part of the billets (Figure 5b,d). The grain in all alloys tested was characterised by a quasi-dendritic structure.
Figure 4.
Exemplary metallurgical structure observed with the LM on samples taken from the billets for 3 variants; (a) edge part of modified 6063 alloy, (b) central part of modified 6063 alloy, (c) edge part of modified 6082 alloy and (d) central part of modified 6082 alloy. The phases are indicated by arrows.

Figure 5.
Exemplary grain structure observed with the LM on samples taken from the billets for 3 variants; (a) edge part of modified 6063 alloy, (b) central part of modified 6063 alloy, (c) edge part of modified 6082 alloy and (d) central part of modified 6063 alloy.
The average grain size (Table 7, Figure 6) was measured using the secant method by making about 50 measurements. Average grain size in 6063 alloys was between 100 and 150 μm. The largest differences between the edge and the centre of the billet were observed in third variant, where Fe contamination was higher; the difference was about 30 μm. The lowest average grain diameter was found in first variant (100 μm). The 6082 alloys were distinguished by the largest fluctuations of the average grain size between the edge and the centre of the billets and the mean was about 105 µm at the edge, and in the range from 125 to 183 µm at the centre. Average grain size was the lowest for second variant and the highest for third variant. The resulting differences in grain size between the edge and the centre are related to the low segregation of the α-AlFeMnSi phases and thus a different rate of crystallization in the billets. The heat dissipation was slower at the centre of the crystalliser in the case of alloy 6082, which resulted in grain growth. This segregation is also observed in die-casting foundries where scrap consumption is reduced due to unfavourable Fe growth [8]. The formation of beta phases in the alloys is balanced by the addition of Mn. During the casting process, Mn migrates to Fe and Si to form a phase that solidifies slightly later than aluminium and precipitates towards the periphery of the ingot. This results in an unbalanced chemical composition across the cross section of the billets and hence an uneven grain size distribution.
Table 7.
Average grain size [μm].
Figure 6.
Grain size distributions (1, 2, 3 = variant No., e = edge, c = centre) for tested (a) 6063 and (b) 6082 alloys.
4. Conclusions
The present work was focused on analysing the preparation process of billets for extrusion from 100% scrap. The amount of material in relation to the content of elements for each alloy variant was properly estimated to obtain the overall chemical composition. Particular attention was paid to the purification process, i.e., refining, dross removal and filter casting. The Prefil® apparatus and metallographic analysis were used to determine the level of impurities in the alloy before and after refining. Differences were found between the 6063 and 6082 alloys. The 6063 alloys in variants 2 and 3 contained a greater proportion of metallurgical spinels, refractory particles (reacted and unreacted) and boron treatment additions (Ti,V)B2 than the 6082 series alloys in variants 2 and 3. The differences in impurity levels could be caused by slight changes in chemical composition, e.g., changes in Mn, Fe, Ti and Zn contents, which may affect the castability of the alloy. Hydrogen content macro- and microstructural examinations showed no defects in the billets. No porosity, inclusions, cracks or local grain growth were observed. The only effect of the increased Fe content (third variant 6063) or the total Fe and Mn to Si ratio (all variants in 6082) may be related to the slight segregation of the α-AlFeSi phases towards the edges and hence the appearance of grain size differences between the edge and the centre of the billet.
Author Contributions
Conceptualization, S.B., B.A., G.L., P.-F.B., S.S., M.d.S. and T.Ö.; methodology, S.B. and B.A.; software, validation, formal analysis, investigation, S.B., B.A., J.H.-W. and D.K.; resources, S.B. and B.A. data curation, writing—original draft preparation, S.B., B.A., S.S., M.d.S. and T.Ö.; writing—review and editing, S.B., M.d.S., S.S. and T.Ö.; visualization, S.B.; supervision, G.L., P.-F.B., S.S., M.d.S. and T.Ö.; project administration, M.d.S.; funding acquisition, M.d.S. All authors have read and agreed to the published version of the manuscript.
Funding
This research was funded by European Union’s Horizon 2020 research and innovation programme grant number [N°101003785].
Institutional Review Board Statement
Not applicable.
Informed Consent Statement
Not applicable.
Data Availability Statement
No new data were created or analyzed in this study. Data sharing is not applicable to this article.
Acknowledgments
Not applicable.
Conflicts of Interest
The authors declare no conflict of interest.
References
- Das, S.K. Designing Aluminum Alloys for a Recycle-Friendly World. Light Met. AGE 2006, 64, 4. [Google Scholar]
- Kevorkijan, V. Advanced Recycling of Wrought Aluminium Alloys Metall. Metall 2010, 64, 414–418. [Google Scholar]
- Schlesinger, M.E. Aluminium Recycling; Taylor & Francis Group: Boca Raton, FL, USA; London, UK; New York, NY, USA, 2014. [Google Scholar]
- Jirang, C.; Roven, H.J. Recycling of automotive aluminium. Trans. Nonferrous Met. Soc. China 2010, 20, 2057–2063. [Google Scholar]
- Tenorio, J.A.S.; Espinosa, D.C. Encyclopedia of Aluminum and Its Alloys. In Recycling of Aluminium; Taylor & Francis Group: Boca Raton, FL, USA; London, UK; New York, NY, USA, 2019; Volume 2, pp. 2341–2360. [Google Scholar]
- Stanica, C.; Moldovan, P. Aluminium melt cleanliness performance evaluation using PoDFA (Porous Disk Filtration Apparatus) technology. UPB Sci. Bull. Ser. B 2009, 71, 107–114. [Google Scholar]
- Lech-Grega, M.; Boczkal, S. Iron Phases in Model Al-Mg-Si-Cu Alloys. Mater. Sci. Forum. 2011, 674, 135–140. [Google Scholar] [CrossRef]
- Bolibruchová, D.; Podprocká, R.; Pastirčák, R.; Major-Gabryś, K. The role of mn in aluminium alloys with a higher iron content. Arch. Metall. Mater. 2018, 63, 1883–1888. [Google Scholar] [CrossRef]
Disclaimer/Publisher’s Note: The statements, opinions and data contained in all publications are solely those of the individual author(s) and contributor(s) and not of MDPI and/or the editor(s). MDPI and/or the editor(s) disclaim responsibility for any injury to people or property resulting from any ideas, methods, instructions or products referred to in the content. |
© 2023 by the authors. Licensee MDPI, Basel, Switzerland. This article is an open access article distributed under the terms and conditions of the Creative Commons Attribution (CC BY) license (https://creativecommons.org/licenses/by/4.0/).






