Abstract
Flexible–tactile sensors are predicted to soon be extensively used in wearable devices. Various materials in flexible-sensor fabrication offer sensing properties with multiple capabilities. There is a crucial research opportunity in the field of flexible–tactile sensors for these materials, including nanocomposites. While the nanocomposites’ electrical properties mainly depend on nanofillers, the mechanical properties are determined by their polymer components. Carbon nanotubes (CNTs) are one of the most promising materials among nanofillers due to their high electrical conductivity, thermal stability, and durability. However, CNTs should be processed to increase the binding capacity of the polymer structure. In this study, the nanocomposite used for sensor manufacturing consisted of acid-functionalized CNTs and sodium alginate as the nanofiller and the polymer material, respectively. The sensor material was cross-linked using calcium chloride and glycerin was involved in the sensor fabrication to test its effect on sensing and flexibility. It is critical to note that sodium alginate and glycerin are biocompatible and biodegradable substances. In the scope of this study, the impedance changes of the fabricated tactile sensors were examined in the 100 Hz–10 MHz frequency range and equivalent circuits of the sensors were created. Additionally, impedance changes were obtained when alternating forces were applied to the sensors. The results showed that the frequency responses of the sensors differed from each other in different frequency ranges. In addition, each sensor had different sensing mechanisms in specific frequency ranges and the sensor made with glycerin had higher flexibility but less sensitivity.
1. Introduction
Composite materials are gaining attention in flexible–tactile sensor fabrication. They generally consist of a non-conductive polymer matrix and conductive filler element. The aim is to assemble the mechanical properties of the polymer and the electrical features of the nanofiller component. In this way, the composites are expected to have superior characteristics compared to traditional sensor materials. It is possible to have functional sensors using the composites [1]. While polymers cover elastomers and hydrogels [2,3], conductive fillers include carbon-based nanoparticles and metallic nanoparticles [1,4]. Among the carbon-based nanoparticles, CNTs have been studied and examined broadly due to their mechanical, thermal, and electrical properties [1,5,6]. However, adding even a small amount of CNTs to the polymer may cause a more rigid structure [1,6]. Therefore, to obtain a more flexible structure for a flexible sensor, some plasticizers can be included in the composite fabrication. Glycerol decreases the interactions between neighboring gel chains and acts as a plasticizer, contributing to the elasticity and mechanical properties of hydrogels [7,8]. It is also a biocompatible component. Therefore, glycerol is incorporated into sensor fabrication. In this study, two different sensors were fabricated using a nanocomposite. The nanocomposite consisted of an acid-functionalized CNT and sodium alginate. To test its effect on flexibility, glycerin was contained in one of the sensors. As this can also affect the sensitivity, the sensitivities of the sensors were compared as well. For this purpose, alternating forces were applied to the sensors and their impedances were measured. Additionally, the AC behaviors of the sensors were examined through equivalent circuits. They were interpreted in the range of 100 Hz and 10 MHz. The results showed that the frequency response of the sensors differed from each other and that they had different equivalent circuits.
2. Materials and Sensor Fabrication
The sensors were fabricated using CNTs (MWCNT, 10–20 nm, Nanografi), sodium alginate (Alfasol), and glycerin (Dermolife, medical grade). CNTs were functionalized using nitric acid and sulfuric acid according to the method proposed in [9]. To begin, 2 gr of sodium alginate was dissolved in 150 mL of deionized water. The solution was prepared at 80 °C and stirred at 600 rpm for 3 h to obtain a homogenous solution. Following this, 40 mL of sodium alginate (SA) solution was taken to two separate vessels and an amount of approximately 4% fCNT was gradually added to both. One of the prepared solutions was cross-linked using calcium chloride. Glycerin was added to the other solution and then cross-linked in the same way. The hardened structures were kept for 24 h at room temperature before measurements were taken.
3. Results
3.1. Pressure Responses of the Sensors
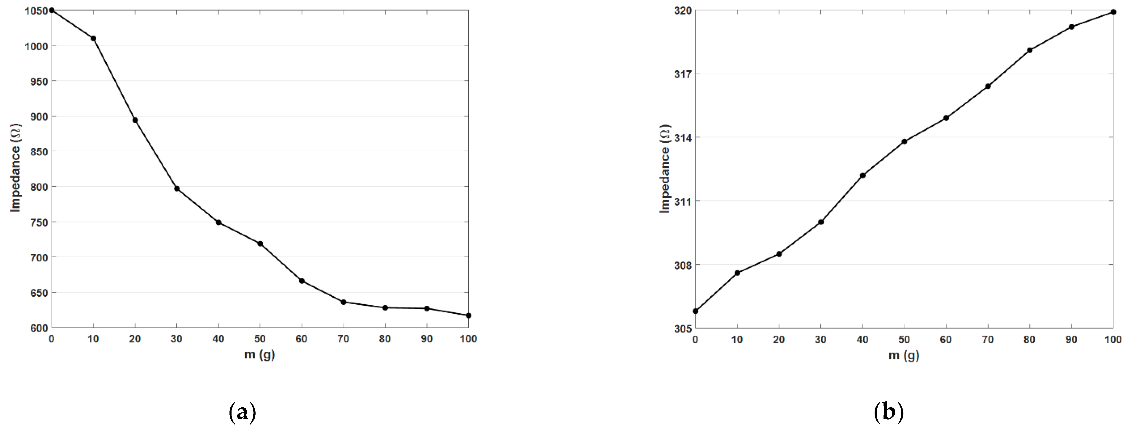
The sensors were tested using an automated force stage and the impedances were recorded using an LCR meter (Keithley U1733C). Figure 1a shows the pressure response to applied forces of the sensor without glycerin. The impedance of the sensor decreased with the increasing force magnitudes. When the pressure was applied, CNT particles grew closer and more conductive paths were formed [10,11]. This resulted in a decrease in the impedance. Figure 1b shows the impedance change with pressure applied to the glycerin-containing sensor. It can be observed that as the force arises the impedance ascends as well. This phenomenon originates from raised of the disconnection and microcracks between CNTs [10]. The sensitivity of a pressure sensor can be calculated using Equation (1), where Z and F represent the impedance and the force, respectively.
Figure 1.
The force–impedance relation for the sensor consisting of fCNT and SA composite (a) not including glycerin and (b) including glycerin.
According to Equation (1), while the sensitivity of the sensor in Figure 1a was 0.421/N the sensitivity of the sensor in Figure 1b was 0.045/N. The sensitivity values show that the sensor lacking glycerin was more sensitive. This may have been caused by the glycerin leading to the partial agglomeration of CNTs. Although the glycerin sensor was less sensitive, it was more flexible than the other sensor. This is due to the fact that glycerin acts as a plasticizer and affects the mechanical structure and elasticity of the sensor.
3.2. AC Behaviors of the Sensors
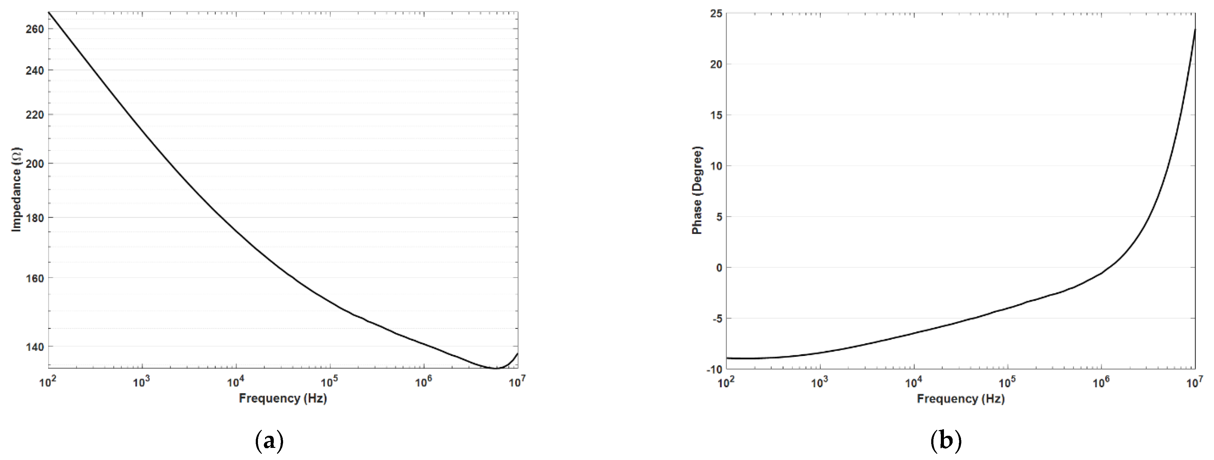
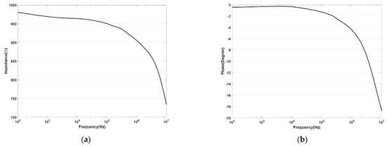
The impedance measurements of fabricated sensors were taken to evaluate their resistive and capacitive effects together. Given that impedance is closely related to frequency, the impedance response was investigated within a certain frequency range. The AC behaviors of the sensors were examined using an impedance analyzer (Analog Discovery, Digilent Inc.®, Pullman, Washington, DC, USA) in the range of 100 Hz and 10 MHz. Figure 2 and Figure 3 show the impedance amplitudes and phase angles of the sensors in the determined frequency range. The data in Figure 2 belong to the sensor without glycerin and the data in Figure 3 belong to the sensor including glycerin. Figure 2a shows the impedance magnitude versus frequency. As the frequency increased, the impedance decreased and, after almost 10 kHz, the phase angle decreased as well. It can be said that the working mechanism of the sensor is resistive until nearly 10 kHz. After a frequency of 10 kHz, the sensor approached a capacitive sensing mechanism as the CNTs in the composite were capable of producing a great number of micro capacitors [5].
Figure 2.
For the sensor not including glycerin: (a) Impedance amplitude versus frequency relation and (b) Phase angle versus frequency relation.
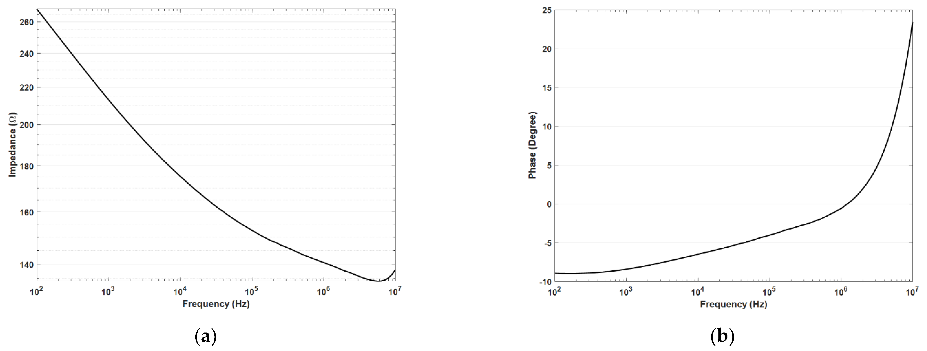
Figure 3.
For the sensor including glycerin: (a) Impedance amplitude versus frequency relation and (b) Phase angle versus frequency relation.
Figure 3a shows that the impedance declined as the frequency increased. The decrease was sharper than in Figure 2a. Figure 3b also shows the phase change with the frequency. The phase was negative until 1 MHz, after which it turned positive. The working mechanism of the sensor was resistive until 1 MHz, and the inductive effect appeared after that point. The inductive effect may be sourced from the curling of the CNTs in the composite [12].
Impedance and phase information were used to constitute the equivalent circuits. The proposed circuits for the sensors are given in Figure 4.
Figure 4.
Equivalent circuit of the sensor (a) not including glycerin and (b) including glycerin.
Figure 4a shows the equivalent circuit of the first sensor that did not include glycerin and Figure 4b shows the equivalent circuit of the second sensor that included glycerin. The first sensor can be modeled with an RC parallel circuit and the magnitude of its impedance is given in Equation (2). This equation states that the equivalent impedance consists of a resistor in series with a parallel-connected resistor and capacitor. The equivalent circuit of the second sensor included an inductor with parallel RC components. Its impedance magnitude can be found in Equation (3). Equation (3) expresses that the equivalent impedance consists of an inductor in series with parallel-connected resistors and capacitors. Though some inductive effects may be incorporated in the first sensor’s circuit, they may be neglected due to being very small and have almost no effect on the frequency spectra. However, the magnitude of the inductance in the second sensor’s circuit cannot be neglected because its effect on the frequency response is obvious.
4. Conclusions
This study focuses on the sensitivity and frequency behavior of two different sensors. The difference between the fabricated sensors stems from the inclusion of glycerin. Glycerin is a plasticizer and it directly affects the structure to which it is added. In addition to affecting the mechanical structure it also changes the sensitivity of the sensor. The measurement results show that the sensor including glycerin is more flexible but less sensitive. While the sensitivity of the sensor including glycerin is 0.045/N, the sensor not including glycerin is 0.421/N. Additionally, the frequency spectra of the sensors were examined in the range of 100 Hz–10 MHz and the equivalent circuits were constructed. While the equivalent circuit of the sensor without glycerin consists of parallel RC components, the equivalent circuit of the sensor with glycerin has an inductor element. The studies from the literature propose that the CNTs’ agglomeration leads to such an inductive effect [12].
Author Contributions
The experiments were conducted by Y.S. and data was processed by Y.S. The research was supervised by D.G. All authors have read and agreed to the published version of the manuscript.
Funding
This research received no external funding.
Institutional Review Board Statement
Not applicable.
Informed Consent Statement
Not applicable.
Data Availability Statement
The data used to support the findings of this study are available from the corresponding author upon request.
Conflicts of Interest
The authors declare no conflict of interest.
References
- Alizadeh Sahraei, A.; Ayati, M.; Baniassadi, M.; Rodrigue, D.; Baghani, M.; Abdi, Y. AC and DC electrical behavior of MWCNT/epoxy nanocomposite near percolation threshold: Equivalent circuits and percolation limits. J. Appl. Phys. 2018, 123, 105109. [Google Scholar] [CrossRef]
- Singh, K.; Sharma, S.; Shriwastava, S.; Singla, P.; Gupta, M.; Tripathi, C.C. Significance of nano-materials, designs consideration and fabrication techniques on performances of strain sensors—A review. Mater. Sci. Semicond. Process. 2021, 123, 105581. [Google Scholar] [CrossRef]
- Yee, M.J.; Mubarak, N.M.; Abdullah, E.C.; Khalid, M.; Walvekar, R.; Karri, R.R.; Nizamuddin, S.; Numan, A. Carbon nanomaterials based films for strain sensing application—A review. Nano-Struct. Nano-Objects 2019, 18, 100312. [Google Scholar] [CrossRef]
- Khalid MA, U.; Chang, S.H. Flexible strain sensors for wearable applications fabricated using novel functional nanocomposites: A review. Compos. Struct. 2022, 284, 115214. [Google Scholar] [CrossRef]
- Tong, S.; Yuan, W.; Liu, H.; Hu, N.; Zhao, C.; Zhao, Y. Linear strain sensor made of multi-walled carbon nanotube/epoxy composite. Mater. Res. Express 2017, 4, 115008. [Google Scholar] [CrossRef]
- Park, S.; Vosguerichian, M.; Bao, Z. A review of fabrication and applications of carbon nanotube film-based flexible electronics. Nanoscale 2013, 5, 1727–1752. [Google Scholar] [CrossRef] [PubMed]
- Li, X.; Cao, L.; Chen, L.P. Multifunctional ionic conductive hydrogels based on gelatin and 2-acrylamido-2-methylpropane sulfonic acid as strain sensors. Biochem. Eng. J. 2022, 187, 108606. [Google Scholar] [CrossRef]
- Yang, J.; Sun, X.; Kang, Q.; Zhu, L.; Qin, G.; Chen, Q. Freezing-tolerant and robust gelatin-based supramolecular conductive hydrogels with double-network structure for wearable sensors. Polym. Test. 2021, 93, 106879. [Google Scholar] [CrossRef]
- Menna, E.; Della Negra, F.; Dalla Fontana, M.; Meneghetti, M. Selectivity of chemical oxidation attack of single-wall carbon nanotubes in solution. Phys. Rev. B 2003, 68, 193412. [Google Scholar] [CrossRef]
- Cai, Y.; Shen, J.; Ge, G.; Zhang, Y.; Jin, W.; Huang, W.; Dong, X. Stretchable Ti3C2Tx MXene/Carbon Nanotube Composite Based Strain Sensor with Ultrahigh Sensitivity and Tunable Sensing Range. ACS Nano 2018, 12, 56–62. [Google Scholar] [CrossRef] [PubMed]
- Mohiuddin, M.; Van Hoa, S. Electrical resistance of CNT-PEEK composites under compression at different temperatures. Nanoscale Res. Lett. 2011, 6, 419. [Google Scholar] [CrossRef] [PubMed]
- Chang, J.; Liang, G.; Gu, A.; Cai, S.; Yuan, L. The production of carbon nanotube/epoxy composites with a very high dielectric constant and low dielectric loss by microwave curing. Carbon 2012, 50, 689–698. [Google Scholar] [CrossRef]
Publisher’s Note: MDPI stays neutral with regard to jurisdictional claims in published maps and institutional affiliations. |
© 2022 by the authors. Licensee MDPI, Basel, Switzerland. This article is an open access article distributed under the terms and conditions of the Creative Commons Attribution (CC BY) license (https://creativecommons.org/licenses/by/4.0/).



