A Novel Heterocyclic Thiosemicarbazone: Synthesis, Characterization and Preliminary Sensing Studies for Ions †
Abstract
:1. Introduction
2. Methods and Materials
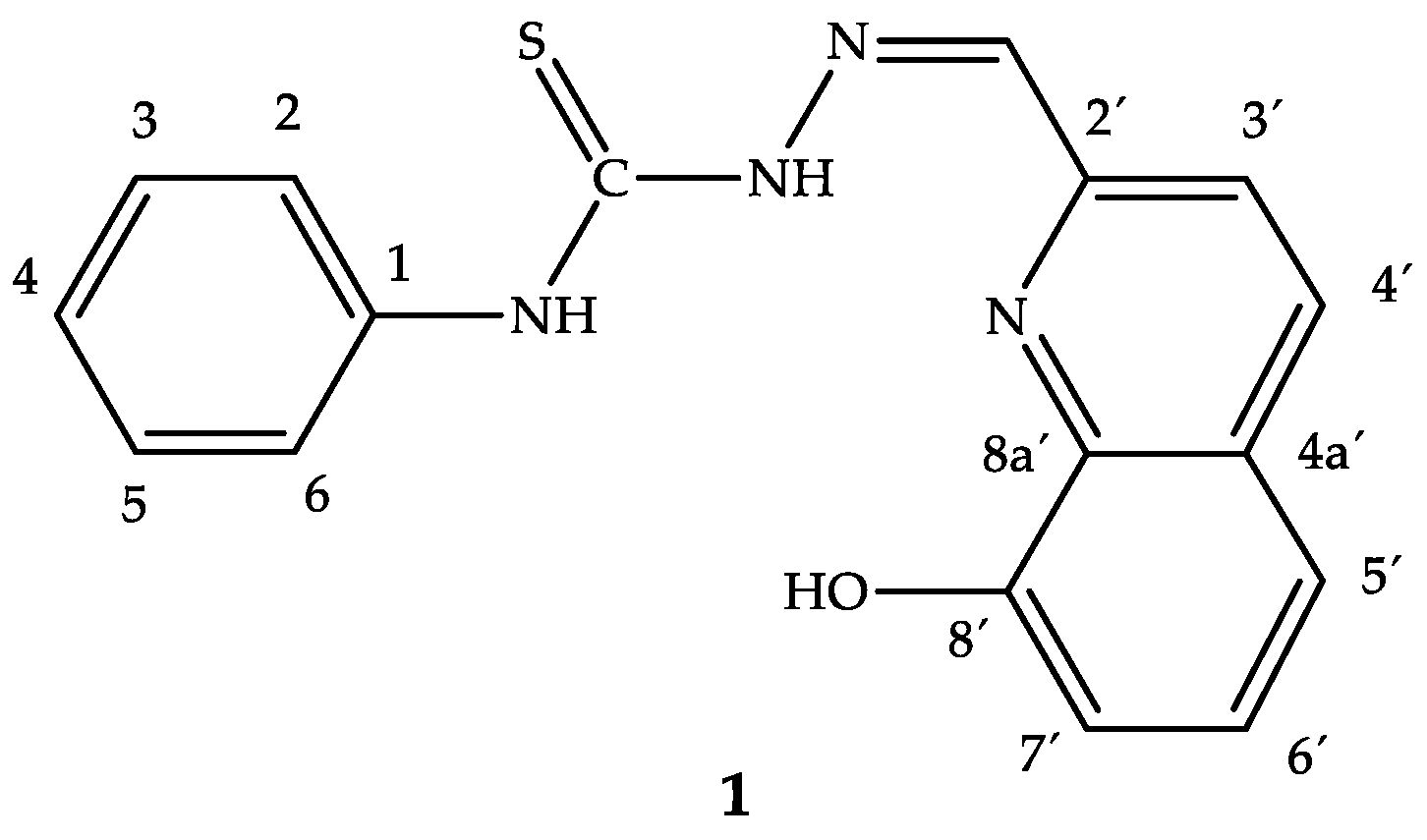
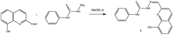
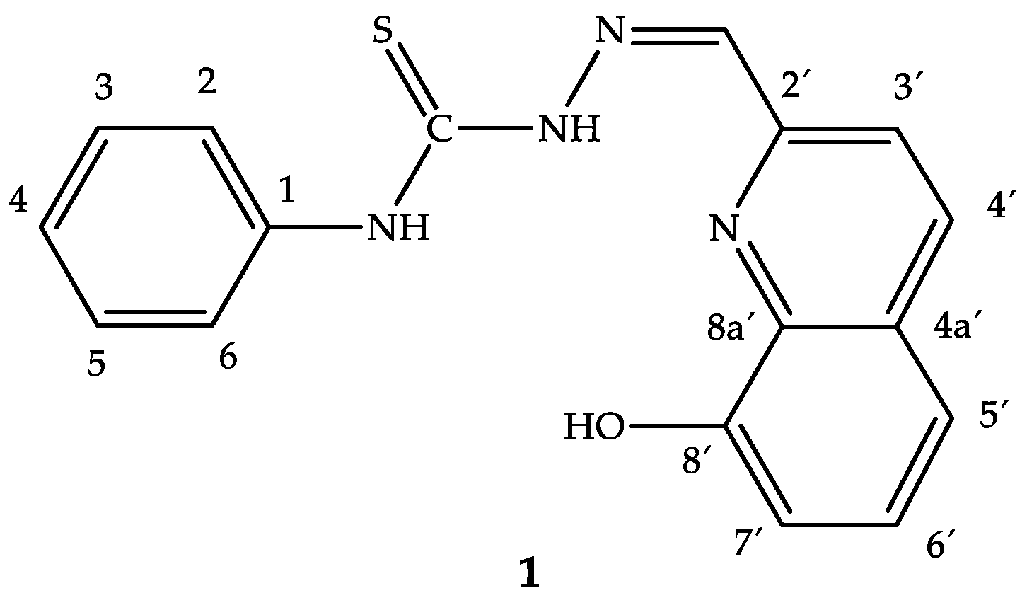
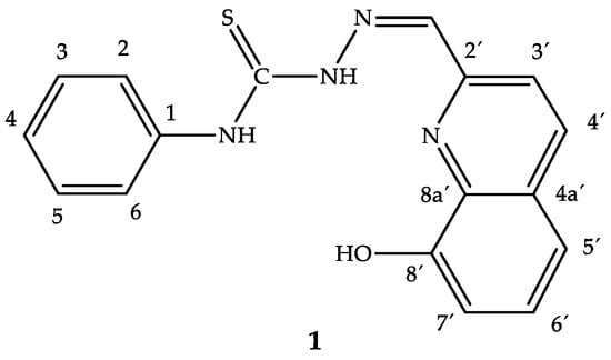
2.1. Synthesis and Spectroscopic Characterization of Thiosemicarbazone Derivative 1
2.2. Photophysical Characterization of Thiosemicarbazone 1
2.3. Preliminary Chemosensing Studies of Thiosemicarbazone 1 in ACN
3. Results and Discussion
3.1. Synthesis and Spectroscopic Characterization of Thiosemicarbazone Derivative 1
3.2. Photophysical Characterization of Thiosemicarbazone 1
3.3. Preliminary Studies of the Sensing Capacity of the Thiosemicarbazone Derivative 1
3.3.1. Chemosensing of Anions in ACN
3.3.2. Chemosensing of Cations in ACN
4. Conclusions
Author Contributions
Funding
Institutional Review Board Statement
Informed Consent Statement
Data Availability Statement
Conflicts of Interest
References
- Raposo, M.M.M.; García-Acosta, B.; Ábalos, T.; Calero, P.; Martínez-Máñez, R.; Ros-Lis, J.V.; Soto, J. Synthesis and study of the use of heterocyclic thiosemicarbazones as signaling scaffolding for the recognition of anions. J. Org. Chem. 2010, 75, 2922–2933. [Google Scholar] [CrossRef] [PubMed] [Green Version]
- Kumar, S.L.A.; Kumar, M.S.; Sreja, P.B.; Sreekanth, A. Novel heterocyclic thiosemicarbazones derivatives as colorimetric and “turn on” fluorescent sensors for fluoride anion sensing employing hydrogen bonding. Spectrochim. Acta Part A Mol. Biomol. Spectrosc. 2013, 113, 123–129. [Google Scholar] [CrossRef] [PubMed]
- Martínez-Máñez, R.; Sancenón, F. Fluorogenic and chromogenic chemosensors and reagents for anions. Chem. Rev. 2003, 103, 4419–4476. [Google Scholar] [CrossRef] [PubMed]
- Fabbrizzi, L.; Poggi, A. Sensors and switches from supramolecular chemistry. Chem. Soc. Rev. 1995, 24, 197–202. [Google Scholar] [CrossRef]
- Zimmermann-Dimer, L.M.; Machado, V.G. Quimiossensores cromogênicos e fluorogênicos para a detecção de analitos aniônicos. Quim. Nova 2008, 31, 2134–2146. [Google Scholar] [CrossRef]
- Evans, L.S.; Gale, P.A.; Light, M.E.; Quesada, R. Pyrrolylamidourea based anion receptors. New J. Chem. 2006, 30, 1019–1025. [Google Scholar] [CrossRef]
- Tenório, R.P.; Góes, A.J.S.; De Lima, J.G.; De Faria, A.R.; Alves, A.J.; De Aquino, T.M. Tiossemicarbazonas: Métodos de obtenção, aplicações sintéticas e importância biológica. Quim. Nova 2005, 28, 1030–1037. [Google Scholar] [CrossRef]
- Beraldo, H.; Gambino, D. The wide pharmacological versatility of semicarbazones, thiosemicarbazones and their metal complexes. Mini Rev. Med. Chem. 2004, 4, 31–39. [Google Scholar] [PubMed]
- Ferreira, R.C.M.; Costa, S.P.G.; Gonçalves, H.; Belsley, M.; Raposo, M.M.M. Fluorescent phenanthroimidazoles functionalized with heterocyclic spacers: Synthesis, optical chemosensory ability and Two-Photon Absorption (TPA) properties. New J. Chem. 2017, 41, 12866–12878. [Google Scholar] [CrossRef]





Publisher’s Note: MDPI stays neutral with regard to jurisdictional claims in published maps and institutional affiliations. |
© 2021 by the authors. Licensee MDPI, Basel, Switzerland. This article is an open access article distributed under the terms and conditions of the Creative Commons Attribution (CC BY) license (https://creativecommons.org/licenses/by/4.0/).
Share and Cite
Jardim, M.L.F.; Raposo, M.M.M.; Costa, S.P.G. A Novel Heterocyclic Thiosemicarbazone: Synthesis, Characterization and Preliminary Sensing Studies for Ions. Chem. Proc. 2022, 8, 53. https://doi.org/10.3390/ecsoc-25-11760
Jardim MLF, Raposo MMM, Costa SPG. A Novel Heterocyclic Thiosemicarbazone: Synthesis, Characterization and Preliminary Sensing Studies for Ions. Chemistry Proceedings. 2022; 8(1):53. https://doi.org/10.3390/ecsoc-25-11760
Chicago/Turabian StyleJardim, Maria Lene F., Maria Manuela M. Raposo, and Susana P. G. Costa. 2022. "A Novel Heterocyclic Thiosemicarbazone: Synthesis, Characterization and Preliminary Sensing Studies for Ions" Chemistry Proceedings 8, no. 1: 53. https://doi.org/10.3390/ecsoc-25-11760
APA StyleJardim, M. L. F., Raposo, M. M. M., & Costa, S. P. G. (2022). A Novel Heterocyclic Thiosemicarbazone: Synthesis, Characterization and Preliminary Sensing Studies for Ions. Chemistry Proceedings, 8(1), 53. https://doi.org/10.3390/ecsoc-25-11760

