Interactions between Isoniazid and α-Hydroxycarboxylic Acids †
Abstract
:1. Introduction
2. Materials and Methods
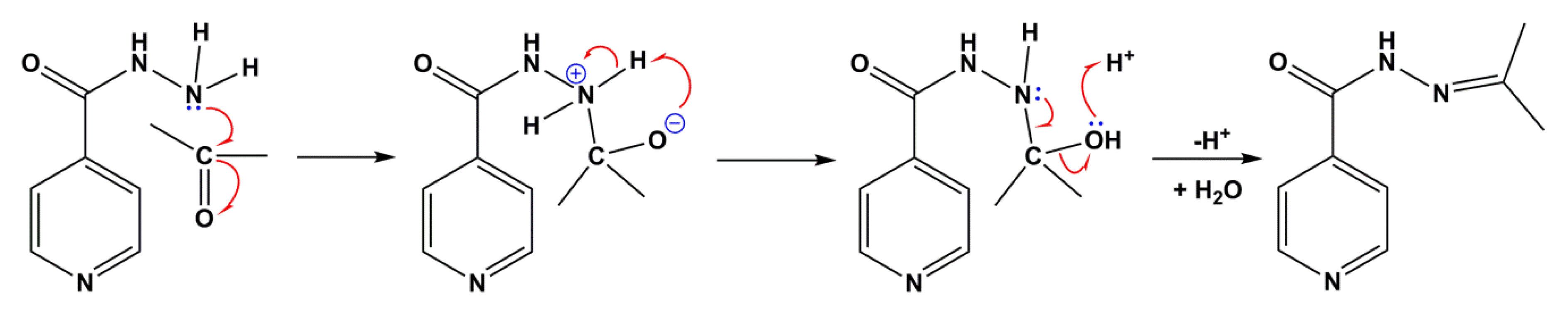
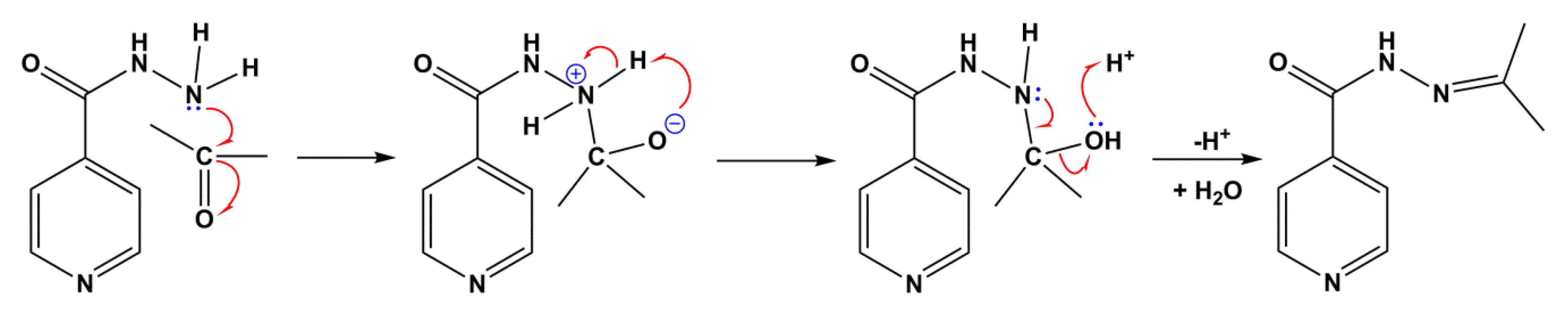
3. Results and Discussion
Structural Description and Supramolecular Analysis
Author Contributions
Funding
Institutional Review Board Statement
Informed Consent Statement
Data Availability Statement
Acknowledgments
Conflicts of Interest
References
- Du, M.; Zhang, Z.-H.; Wang, X.-G.; Wu, H.-F.; Wang, Q. Flexible Building Blocks of N,N′-Bis(picolinoyl)hydrazine for Hydrogen-Bonding Directed Cocrystallization: Structural Diversity, Concomitant Polymorphs, and Synthon Prediction. Cryst. Growth Des. 2006, 6, 1867–1875. [Google Scholar] [CrossRef]
- Wouters, J.; Quere, L. (Eds.) Pharmaceutical Salts and Co-Crystals; RSC Drug Discovery Series No. 16; RSC Publisher: Cambridge, UK, 2011. [Google Scholar]
- Diniz, R.; Souza, M.S.; Carvalho, P.S.; Da Silva, C.C.; D’Vries, R.F.; Ellena, J.A. Novel Isoniazid cocrystals with aromatic carboxylic acids: Crystal engineering, spectroscopy and thermochemical investigations. J. Mol. Struct. 2018, 1153, 58–68. [Google Scholar] [CrossRef]
- Iseman, M.D. Tuberculosis therapy: Past, present and future. Eur. Respir. J. 2002, 20, 87S–94S. [Google Scholar] [CrossRef] [PubMed]
- Hearn, M.J.; Cynamon, M.H.; Chen, M.F.; Coppins, R.; Davis, J.; Kang, H.J.-O.; Noble, A.; Tu-Sekine, B.; Terrot, M.S.; Trombino, D. Preparation and antitubercular activities in vitro and in vivo of novel Schiff bases of isoniazid. Eur. J. Med. Chem. 2009, 44, 4169–4178. [Google Scholar] [CrossRef] [PubMed]
- Lemmerer, A. Covalent assistance to supramolecular synthesis: Modifying the drug functionality of the antituberculosis API isoniazidin situ during co-crystallization with GRAS and API compounds. CrystEngComm 2012, 14, 2465–2478. [Google Scholar] [CrossRef]
- Sarcevica, I.; Orola, L.; Veidis, M.V.; Podjava, A.; Belyakov, S. Crystal and Molecular Structure and Stability of Isoniazid Cocrystals with Selected Carboxylic Acids. Cryst. Growth Des. 2013, 13, 1082–1090. [Google Scholar] [CrossRef]
- Aitipamula, S.; Wong, A.B.H.; Chow, P.S.; Tan, R.B. Novel solid forms of the anti-tuberculosis drug, Isoniazid: Ternary and polymorphic cocrystals. CrystEngComm 2013, 15, 5877. [Google Scholar] [CrossRef]
- Castiñeiras, A.; García-Santos, I.; Gonzalez-Perez, J.M.; Bauzá, A.; Zaręba, J.K.; Niclós-Gutiérrez, J.; Torres, R.; Vilchez, E.; Frontera, A. Multicomponent Supramolecular Assemblies of Melamine and α-Hydroxycarboxylic Acids: Understanding the Hydrogen Bonding Patterns and Their Physicochemical Consequences. Cryst. Growth Des. 2018, 18, 6786–6800. [Google Scholar] [CrossRef]
- Alvarez-Lorenzo, C.; Castiñeiras, A.; Frontera, A.; Garcia-Santos, I.; González-Pérez, J.M.; Niclos-Gutierrez, J.; Rodríguez-González, I.; Vílchez-Rodríguez, E.; Zaręba, J.K. Recurrent motifs in pharmaceutical cocrystals involving glycolic acid: X-ray characterization, Hirshfeld surface analysis and DFT calculations. CrystEngComm 2020, 22, 6674–6689. [Google Scholar] [CrossRef]
- Zhou, Z.-H.; Hou, S.-Y.; Cao, Z.-X.; Wan, H.-L.; Ng, S.-W. Syntheses, crystal structures and biological relevance of glicolato and S-lactato molybdates. J. Inorg. Biochem. 2004, 98, 1037–1044. [Google Scholar] [CrossRef] [PubMed]
- Tumanov, N.A.; Payen, R.; Springuel, G.; Norberg, B.; Robeyns, K.; Le Duff, C.S.; Wouters, J.; Leyssens, T. Cocrystallization out of the blue: Dl-mandelic acid/ethyl-dl-mandelate cocrystal. J. Mol. Struct. 2017, 1127, 397–402. [Google Scholar] [CrossRef]
- Brunner, H.; Maiterth, F.; Treittinger, B. Synthesis and antitumor activity of water-soluble 2-benzyl-1,2-diaminobutane-α-oxycarboxylatoplatinum(II) complexes. Inorganica Chim. Acta 1992, 198, 79–84. [Google Scholar] [CrossRef]
- Atta, N.F.; Galal, A.; Ahmed, R.A. Voltammetric Behavior and Determination of Isoniazid Using PEDOT Electrode in Presence of Surface Active Agents. Int. J. Electrochem. Sci. 2011, 6, 5097–5113. [Google Scholar]
- Banerjee, S.; Bhanja, S.K.; Chattopadhyay, P.K. Quantum chemical predictions of aqueous pKa values for OH groups of some a-hydroxycarboxylic acids based on ab initio and DFT calculations. Comput. Theor. Chem. 2018, 1125, 29–38. [Google Scholar] [CrossRef]
- Childs, S.L.; Stahly, A.G.P.; Park, A. The Salt−Cocrystal Continuum: The Influence of Crystal Structure on Ionization State. Mol. Pharm. 2007, 4, 323–338. [Google Scholar] [CrossRef] [PubMed]
- Cruz-Cabeza, A.J. Acid–base crystalline complexes and the pKa rule. CrystEngComm 2012, 14, 6362–6365. [Google Scholar] [CrossRef]
- Lemmerer, A.; Bernstein, J.; Kahlenberg, V. One-pot covalent and supramolecular synthesis of pharmaceutical co-crystals using the API isoniazid: A potential supramolecular reagent. CrystEngComm 2010, 12, 2856–2864. [Google Scholar] [CrossRef]
- Madeley, L.G.; Levendis, D.C.; Lemmerer, A. Covalent-assisted supramolecular synthesis: The effect of hydrogen bonding in cocrystals of 4-tert-butylbenzoic acid with isoniazid and its derivatized forms. Acta Crystallogr. Sect. C Struct. Chem. 2019, 75, 200–207. [Google Scholar] [CrossRef] [PubMed]





Publisher’s Note: MDPI stays neutral with regard to jurisdictional claims in published maps and institutional affiliations. |
© 2020 by the authors. Licensee MDPI, Basel, Switzerland. This article is an open access article distributed under the terms and conditions of the Creative Commons Attribution (CC BY) license (https://creativecommons.org/licenses/by/4.0/).
Share and Cite
Álvarez-Vidaurre, R.; Castiñeiras, A.; García-Santos, I.; Torres-Iglesias, R. Interactions between Isoniazid and α-Hydroxycarboxylic Acids. Chem. Proc. 2021, 3, 73. https://doi.org/10.3390/ecsoc-24-08355
Álvarez-Vidaurre R, Castiñeiras A, García-Santos I, Torres-Iglesias R. Interactions between Isoniazid and α-Hydroxycarboxylic Acids. Chemistry Proceedings. 2021; 3(1):73. https://doi.org/10.3390/ecsoc-24-08355
Chicago/Turabian StyleÁlvarez-Vidaurre, Raquel, Alfonso Castiñeiras, Isabel García-Santos, and Rocío Torres-Iglesias. 2021. "Interactions between Isoniazid and α-Hydroxycarboxylic Acids" Chemistry Proceedings 3, no. 1: 73. https://doi.org/10.3390/ecsoc-24-08355
APA StyleÁlvarez-Vidaurre, R., Castiñeiras, A., García-Santos, I., & Torres-Iglesias, R. (2021). Interactions between Isoniazid and α-Hydroxycarboxylic Acids. Chemistry Proceedings, 3(1), 73. https://doi.org/10.3390/ecsoc-24-08355

