New Quinoxaline-1,4-Dioxides Derived from Beirut Reaction of Benzofuroxane with Active Methylene Nitriles †
Abstract
:1. Introduction
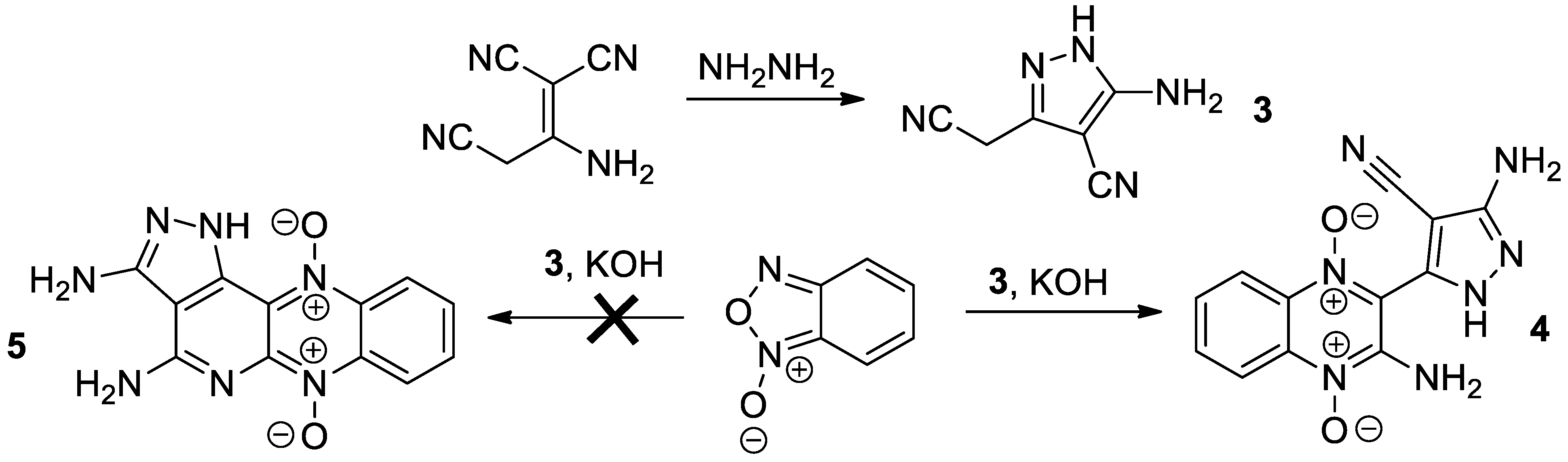
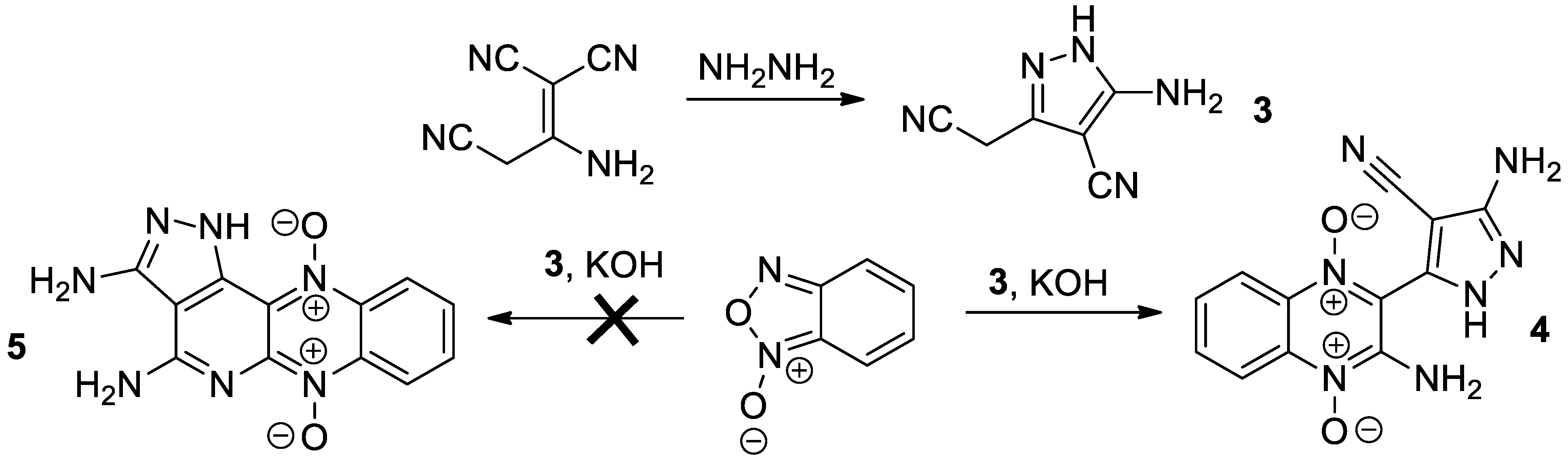
2. Results and Discussion
3. Experimental
3.1. Preparation of Compound 2: General Procedure
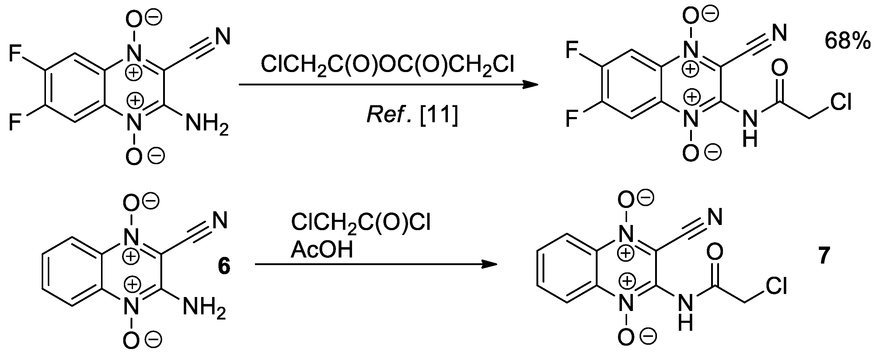
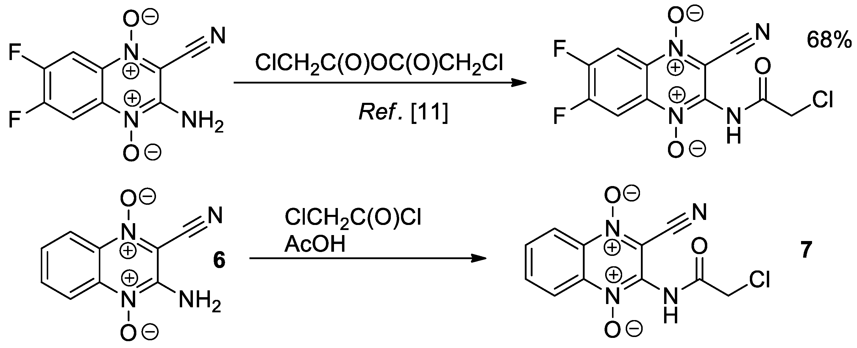
Chloroacetylation of Compound 6
Author Contributions
Funding
Conflicts of Interest
References
- Lima, L.M.; do Amaral, D.N. Beirut Reaction and its Application in the Synthesis of Quinoxaline-N, N′-Dioxides Bioactive Compounds. Rev. Virtual Quim. 2013, 5, 1075–1100. [Google Scholar] [CrossRef]
- Haddadin, M.J.; Issidorides, C.H. Application of benzofurazan oxide to the synthesis of heteroaromatic N-oxides. Heterocycles 1976, 4, 767–816. [Google Scholar]
- Hamama, W.S.; Waly, S.M.; Said, S.B.; Zoorob, H.H. Highlights on the chemistry of 2-amino-3-cyano-quinoxaline 1,4-dioxides and their derivatives. Synth. Commun. 2020, 50, 1737–1757. [Google Scholar] [CrossRef]
- Mamedov, V.A.; Zhukova, N.A. Progress in quinoxaline synthesis (Part 2). In Progress in Heterocyclic Chemistry; Elsevier: Amsterdam, The Netherlands, 2013; Volume 25, pp. 1–45. [Google Scholar]
- Mamedov, V.A. Synthesis of Quinoxalines. In Quinoxalines; Springer: Cham, Switzerland, 2016; pp. 5–133. [Google Scholar]
- González, M.; Cerecetto, H.; Monge, A. Quinoxaline 1,4-dioxide and phenazine 5,10-dioxide. In Bioactive Heterocycles V; Chemistry and Biology; Springer: Berlin/Heidelberg, Germany, 2007; pp. 179–211. [Google Scholar]
- Barea, C.; Pabón, A.; Pérez-Silanes, S.; Galiano, S.; Gonzalez, G.; Monge, A.; Deharo, E.; Aldana, I. New amide derivatives of quinoxaline 1,4-di-N-oxide with leishmanicidal and antiplasmodial activities. Molecules 2013, 18, 4718–4727. [Google Scholar] [CrossRef]
- Barea, C.; Pabón, A.; Castillo, D.; Zimic, M.; Quiliano, M.; Galiano, S.; Pérez-Silanes, S.; Monge, A.; Deharo, E.; Aldana, I. New salicylamide and sulfonamide derivatives of quinoxaline 1,4-di-N-oxide with antileishmanial and antimalarial activities. Bioorg. Med. Chem. Lett. 2011, 21, 4498–4502. [Google Scholar] [CrossRef]
- Monge, A.; Martinez-Crespo, F.J.; Lopez de Cerain, A.; Palop, J.A.; Narro, S.; Senador, V.; Marin, A.; Sainz, Y.; Gonzalez, M. Hypoxia-selective agents derived from 2-quinoxalinecarbonitrile 1,4-di-N-oxides. 2. J. Med. Chem. 1995, 38, 4488–4494. [Google Scholar] [CrossRef] [PubMed]
- Ancizu, S.; Moreno, E.; Torres, E.; Burguete, A.; Pérez-Silanes, S.; Benítez, D.; Villar, R.; Solano, B.; Marín, A.; Aldana, I.; et al. Heterocyclic-2-carboxylic acid (3-cyano-1,4-di-N-oxidequinoxalin-2-yl)amide derivatives as hits for the development of neglected disease drugs. Molecules 2009, 14, 2256–2272. [Google Scholar] [CrossRef] [PubMed]
- Sainz, Y.; Montoya, M.E.; Martínez-Crespo, F.J.; Ortega, M.A.; de Cerain, A.L.; Monge, A. New quinoxaline 1,4-di-N-oxides for treatment of tuberculosis. Arzneimittelforschung 1999, 49, 55–59. [Google Scholar] [CrossRef] [PubMed]
- Schäfer, H.; Gewald, K. Zur Chemie des 4-Phenyl-thiazoly-(2)-acetonitrils. J. Prakt. Chem. 1974, 316, 684–692. [Google Scholar] [CrossRef]
- Dyachenko, V.D.; Dyachenko, I.V.; Nenajdenko, V.G. Cyanothioacetamide: A polyfunctional reagent with broad synthetic utility. Russ. Chem. Rev. 2018, 87, 1. [Google Scholar] [CrossRef]
- Litvinov, V.P. Cyanoacetamides and their thio-and selenocarbonyl analogues as promising reagents for fine organic synthesis. Russ. Chem. Rev. 1999, 68, 737–763. [Google Scholar] [CrossRef]
- Taylor, E.C.; Hartke, K.S. The Reaction of Malononitrile with Hydrazine. J. Am. Chem. Soc. 1959, 81, 2452–2455. [Google Scholar] [CrossRef]
- Dotsenko, V.V.; Krivokolysko, S.G.; Semenova, A.M. Heterocyclization reactions using malononitrile dimer (2-aminopropene-1,1,3-tricarbonitrile). Chem. Heterocycl. Compd. 2018, 54, 989–1019. [Google Scholar] [CrossRef]
- Barea, C.; Pabón, A.; Galiano, S.; Pérez-Silanes, S.; Gonzalez, G.; Deyssard, C.; Monge, A.; Deharo, E.; Aldana, I. Antiplasmodial and leishmanicidal activities of 2-cyano-3-(4-phenylpiperazine-1-carboxamido) quinoxaline 1,4-dioxide derivatives. Molecules 2012, 17, 9451–9461. [Google Scholar] [CrossRef] [PubMed]









Publisher’s Note: MDPI stays neutral with regard to jurisdictional claims in published maps and institutional affiliations. |
© 2020 by the authors. Licensee MDPI, Basel, Switzerland. This article is an open access article distributed under the terms and conditions of the Creative Commons Attribution (CC BY) license (https://creativecommons.org/licenses/by/4.0/).
Share and Cite
Dotsenko, V.V.; Khalatyan, K.V.; Russkih, A.A.; Semenova, A.M. New Quinoxaline-1,4-Dioxides Derived from Beirut Reaction of Benzofuroxane with Active Methylene Nitriles. Chem. Proc. 2021, 3, 14. https://doi.org/10.3390/ecsoc-24-08391
Dotsenko VV, Khalatyan KV, Russkih AA, Semenova AM. New Quinoxaline-1,4-Dioxides Derived from Beirut Reaction of Benzofuroxane with Active Methylene Nitriles. Chemistry Proceedings. 2021; 3(1):14. https://doi.org/10.3390/ecsoc-24-08391
Chicago/Turabian StyleDotsenko, Victor V., Karina V. Khalatyan, Alena A. Russkih, and Aminat M. Semenova. 2021. "New Quinoxaline-1,4-Dioxides Derived from Beirut Reaction of Benzofuroxane with Active Methylene Nitriles" Chemistry Proceedings 3, no. 1: 14. https://doi.org/10.3390/ecsoc-24-08391
APA StyleDotsenko, V. V., Khalatyan, K. V., Russkih, A. A., & Semenova, A. M. (2021). New Quinoxaline-1,4-Dioxides Derived from Beirut Reaction of Benzofuroxane with Active Methylene Nitriles. Chemistry Proceedings, 3(1), 14. https://doi.org/10.3390/ecsoc-24-08391

