Alkynyl N-BODIPYs as Reactive Intermediates for the Development of Dyes for Biophotonics †
Abstract
:1. Introduction
2. Results and Discussion
2.1. Design and Synthesis
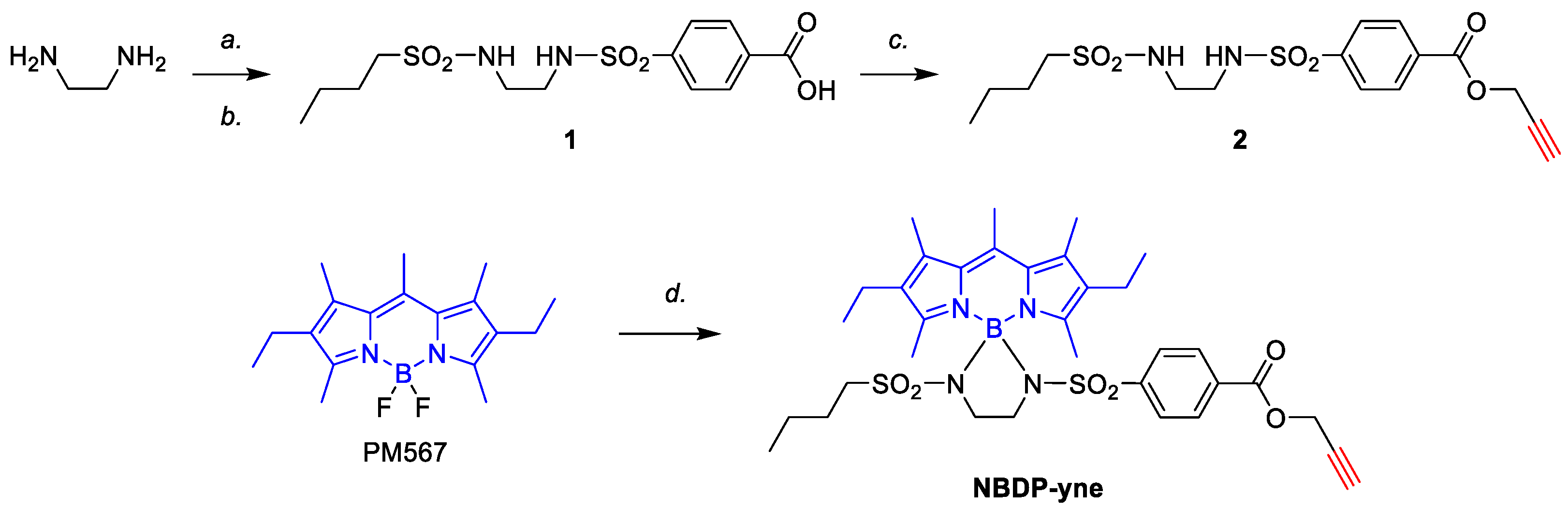
2.1.1. Synthesis of the Alkyne-Based Key Intermediate
2.1.2. Derivatization of Key Intermediate NBDP-yne Towards Bio-Recognition
2.2. Spectroscopic Signatures in Solution
2.3. Biological Assessment in Established Pancreatic Adenocarcinoma Cells
2.3.1. Photodynamic Therapy Protocols
2.3.2. N-BODIPYs Internalization in PANC-1 Cells
2.3.3. Subcellular Localization
3. Materials and Methods
3.1. Synthetic Procedures
3.2. Photophysical Properties
3.3. Biological Assessment
3.3.1. Cell Culture
3.3.2. Photodynamic Therapy Treatments
3.3.3. Cell Viability Studies
3.3.4. N-BODIPY Cellular Uptake by Flow Cytometry
3.3.5. Subcellular Localization and Accumulation by Fluorescence Microscopy
4. Conclusions
Author Contributions
Funding
Conflicts of Interest
References
- Prasad, P.N. Introduction to Biophotonics; Wiley-Interscience: New York, NY, USA, 2003. [Google Scholar]
- Lovell, J.F.; Liu, T.W.B.; Chen, J.; Zheng, G. Activatable photosensitizers for imaging and therapy. Chem. Rev. 2010, 110, 2839–2857. [Google Scholar] [CrossRef] [PubMed]
- van Straten, D.; Mashayekhi, V.; de Bruijn, H.S.; Oliveira, S.; Robinson, D.J. Oncologic Photodynamic Therapy: Basic Principles, Current Clinical Status and Future Directions. Cancers 2017, 9, 19. [Google Scholar] [CrossRef] [PubMed]
- Hambling, M.R.; Huang, Y. Imaging in Photodynamic Therapy (Series in Cellular and Clinical Imaging); CRC Press: Boca Raton, FL, USA, 2017. [Google Scholar]
- Ferreira dos Santos, A.; Quieroz de Almeida, D.R.; Ferreira Terra, L.; Baptista, M.S.; Labriola, L. Photodynamic therapy in cancer treatment—An update review. J. Cancer Metastasis Treat 2019, 5, 25. [Google Scholar] [CrossRef]
- Acedo, P.; Stockert, J.C.; Cañete, M.; Villanueva, A. Two combined photosensitizers: A goal for more effective photodynamic therapy of cancer. Cell Death Dis. 2014, 5, e1122. [Google Scholar] [CrossRef]
- Xiaoyuan, C.; Stephen, W. Cancer Theranostics; Elsevier: Amsterdam, The Netherlands, 2014. [Google Scholar]
- Li, B.; Zhao, M.; Zhang, F. Rational Design of Near-Infrared-II Organic Molecular Dyes for Bioimaging and Biosensing. ACS Mater. Lett. 2020, 2, 905–917. [Google Scholar] [CrossRef]
- Kowada, T.; Maeda, H.; Kikuchi, K. BODIPY-based probes for the fluorescence imaging of biomolecules in living cells. Chem. Soc. Rev. 2015, 44, 4953–4972. [Google Scholar] [CrossRef] [PubMed]
- Kamkaew, A.; Lim, S.H.; Lee, H.B.; Kiew, L.V.; Chung, L.Y.; Burgess, K. BODIPY dyes in photodynamic therapy. Chem. Soc. Rev. 2013, 42, 77–88. [Google Scholar] [CrossRef]
- Prieto-Montero, R.; Prieto-Castañeda, A.; Sola-Llano, R.; Agarrabeitia, A.R.; García-Fresnadillo, D.; López-Arbeloa, I.; Villanueva, A.; Ortiz, M.J.; de la Moya, S.; Martínez-Martínez, V. Exploring BODIPY Derivatives as Singlet Oxygen Photosensitizers for PDT. Photochem. Photobiol. 2020, 96, 458–477. [Google Scholar] [CrossRef]
- Bañuelos, J. BODIPY Dye, the Most Versatile Fluorophore Ever? Chem. Rec. 2016, 16, 335–348. [Google Scholar] [CrossRef]
- Loudet, A.; Burgess, K. BODIPY Dyes and Their Derivatives: Syntheses and Spectroscopic Properties. Chem. Rev. 2007, 107, 4891–4932. [Google Scholar] [CrossRef]
- Clarke, R.G.; Hall, M.J. Chapter Three—Recent developments in the synthesis of the BODIPY dyes. In Advances in Heterocyclic Chemistry; Hall, M.J., Ed.; Academic Press: Cambridge, MA, USA, 2019; Volume 128, pp. 181–261. [Google Scholar]
- Zhao, J.; Xu, K.; Yang, W.; Wang, Z.; Zhong, F. The triplet excited state of Bodipy: Formation, modulation and application. Chem. Soc. Rev. 2015, 44, 8904–8939. [Google Scholar] [CrossRef] [PubMed]
- Alamudi, S.H.; Satapathy, R.; Kim, J.; Su, D.; Ren, H.; Das, R.; Hu, L.; Alvarado-Martínez, E.; Lee, J.Y.; Hoppmann, C.; et al. Development of background-free tame fluorescent probes for intracellular live cell imaging. Nat. Commun. 2016, 7, 11964. [Google Scholar] [CrossRef] [PubMed]
- Fan, G.; Yang, L.; Chen, Z. Water-soluble BODIPY and aza-BODIPY dyes: Synthetic progress and applications. Front. Chem. Sci. Eng. 2014, 8, 405–417. [Google Scholar] [CrossRef]
- Bodio, E.; Goze, C. Investigation of B-F substitution on BODIPY and aza-BODIPY dyes: Development of B-O and B-C BODIPYs. Dyes Pigments 2019, 160, 700–710. [Google Scholar] [CrossRef]
- Ray, C.; Díaz-Casado, L.; Avellanal-Zaballa, E.; Bañuelos, J.; Cerdán, L.; García-Moreno, I.; Moreno, F.; Maroto, B.L.; López-Arbeloa, Í.; de la Moya, S. N-BODIPYs Come into Play: Smart Dyes for Photonic Materials. Chem. Eur. J. 2017, 23, 9383–9390. [Google Scholar] [CrossRef]
- Kim, E.; Koo, H. Biomedical applications of copper-free click chemistry: In vitro, in vivo, and ex vivo. Chem. Sci. 2019, 10, 7835–7851. [Google Scholar] [CrossRef]
- Gao, T.; He, H.; Huang, R.; Zheng, M.; Wang, F.-F.; Hu, Y.-J.; Jiang, F.-L.; Liu, Y. BODIPY-based fluorescent probes for mitochondria-targeted cell imaging with superior brightness, low cytotoxicity and high photostability. Dyes Pigments 2017, 141, 530–535. [Google Scholar] [CrossRef]
- Alamudi, S.H.; Chang, Y.-T. Advances in the design of cell-permeable fluorescent probes for applications in live cell imaging. Chem. Commun. 2018, 54, 13641–13653. [Google Scholar] [CrossRef]
- Lee, M.H.; Han, J.H.; Lee, J.-H.; Choi, H.G.; Kang, C.; Kim, J.S. Mitochondrial Thioredoxin-Responding Off-On Fluorescent Probe. J. Am. Chem. Soc. 2012, 134, 17314–17319. [Google Scholar] [CrossRef]
- Robinson, K.M.; Janes, M.S.; Pehar, M.; Monette, J.S.; Ross, M.F.; Hagen, T.M.; Murphy, M.P.; Beckman, J.S. Selective fluorescent imaging of superoxide in vivo using ethidium-based probes. Proc. Natl. Acad. Sci. USA 2006, 103, 15038–15043. [Google Scholar] [CrossRef]
- St John-Campbell, S.; White, A.J.P.; Bull, J.A. Single Operation Palladium Catalysed C(sp3)-H Functionalisation of Tertiary Aldehydes: Investigations into Transient Imine Directing Groups. Chem. Sci. 2017, 8, 4840–4847. [Google Scholar] [CrossRef] [PubMed]
- Dash, J.; Waller, Z.A.E.; Pantoş, G.D.; Balasubramanian, S. Synthesis and Binding Studies of Novel Diethynyl-Pyridine Amides with Genomic Promoter DNA G-Quadruplexes. Chem. Eur. J. 2011, 17, 4571–4581. [Google Scholar] [CrossRef] [PubMed]
- Knight, J.D.; Sauer, S.J.; Coltart, D.M. Asymmetric Total Synthesis of the Antimalarial Drug (+)-Mefloquine Hydrochloride via Chiral N-Amino Cyclic Carbamate Hydrazones. Org. Lett. 2011, 13, 3118–3121. [Google Scholar] [CrossRef] [PubMed]







Publisher’s Note: MDPI stays neutral with regard to jurisdictional claims in published maps and institutional affiliations. |
© 2020 by the authors. Licensee MDPI, Basel, Switzerland. This article is an open access article distributed under the terms and conditions of the Creative Commons Attribution (CC BY) license (https://creativecommons.org/licenses/by/4.0/).
Share and Cite
Ray, C.; García-Sampedro, A.; Schad, C.; Avellanal-Zaballa, E.; Moreno, F.; Ortiz, M.J.; Bañuelos, J.; Villanueva, A.; Acedo, P.; Maroto, B.L.; et al. Alkynyl N-BODIPYs as Reactive Intermediates for the Development of Dyes for Biophotonics. Chem. Proc. 2021, 3, 15. https://doi.org/10.3390/ecsoc-24-08374
Ray C, García-Sampedro A, Schad C, Avellanal-Zaballa E, Moreno F, Ortiz MJ, Bañuelos J, Villanueva A, Acedo P, Maroto BL, et al. Alkynyl N-BODIPYs as Reactive Intermediates for the Development of Dyes for Biophotonics. Chemistry Proceedings. 2021; 3(1):15. https://doi.org/10.3390/ecsoc-24-08374
Chicago/Turabian StyleRay, César, Andrés García-Sampedro, Christopher Schad, Edurne Avellanal-Zaballa, Florencio Moreno, María J. Ortiz, Jorge Bañuelos, Angeles Villanueva, Pilar Acedo, Beatriz L. Maroto, and et al. 2021. "Alkynyl N-BODIPYs as Reactive Intermediates for the Development of Dyes for Biophotonics" Chemistry Proceedings 3, no. 1: 15. https://doi.org/10.3390/ecsoc-24-08374
APA StyleRay, C., García-Sampedro, A., Schad, C., Avellanal-Zaballa, E., Moreno, F., Ortiz, M. J., Bañuelos, J., Villanueva, A., Acedo, P., Maroto, B. L., & Moya, S. d. l. (2021). Alkynyl N-BODIPYs as Reactive Intermediates for the Development of Dyes for Biophotonics. Chemistry Proceedings, 3(1), 15. https://doi.org/10.3390/ecsoc-24-08374

