Abstract
Selected results of investigations focused on the changes to some mechanical properties of palladium and several palladium-based alloys caused by exposure to hydrogen have been collected and presented. The findings indicate that the mechanical properties of pure palladium are highly susceptible to alteration upon exposure to hydrogen. In the cases of alloying palladium with silver and copper, the alloys, as compared to palladium, appear to resist changes to mechanical properties. In the case of alloying palladium with manganese, the interesting order–disorder phenomenon plays an important role on the effects of hydrogen exposure on their mechanical properties.
1. Introduction
The interaction of hydrogen with transition metals has been a vibrant field of research for quite a few decades. The basic mode of this interaction is straightforward. Step one involves the dissociative adsorption of molecular hydrogen onto the surface of the transition metal (H2(g) → 2 H(adsorbed)). Step two involves the absorption of the surface atomic hydrogen into the bulk of the metal (H(adsorbed) → H(absorbed)). Once absorbed, the hydrogen occupies the interstitial sites within the metallic lattice resulting in an interstitial solid solution of hydrogen in the transition metal. The study of these transition metal–hydrogen systems has been the very definition of interdisciplinary. They have been studied by chemists, physicists, surface scientists, metallurgists, materials scientists, and engineers. Investigations have focused on the characterization of the system’s thermodynamic properties, electrical properties, optical properties, bulk and surface structural properties, phase stability properties, and mechanical properties. In addition to fundamental studies on these fascinating materials, investigations of a more applied nature have occurred. Transition metal–hydrogen systems have shown promise as potential hydrogen storage media, non-mechanical refrigeration/heat pump systems, and as hydrogen purification membranes. Of all the transition metals that absorb hydrogen, perhaps none has been studied more than palladium.
The ability of palladium to absorb significant amounts of hydrogen was recognized well over a century ago [1]. Owing to its ability to absorb significant amounts of hydrogen under nonextreme conditions of temperature and hydrogen pressure, and to do so with rather fast hydrogen absorption and desorption kinetics, palladium has been the focus of varied studies for quite some time. The impact of absorbed hydrogen on the electrical and optical properties of palladium is critical to the burgeoning field of switchable mirror technology [2,3]. The presence of superconductivity in the palladium–hydrogen system under non-extreme conditions of hydrogen pressure make palladium–hydride an excellent model system for the study of hydrogen’s effect on superconductivity in similar metal–hydrogen systems [4]. The influence of hydrogen on the surface structure of palladium has been critical to the effective use of palladium as a catalyst in many areas of chemistry [5].
As attractive as palladium is with regard to its absorbing ability for hydrogen, it does have some significant impediments, beyond its sky-high cost, to its wide-scale use in many hydrogen-focused areas of science and technology. Because of this, many studies have been undertaken to investigate the impact that alloying various metals with palladium has on the hydrogen-absorbing ability of the alloy and on the various properties of the metal matrix that are altered by the absorption of hydrogen. Similar studies to those undertaken with pure palladium have been undertaken with many palladium-based alloy systems, including those found in this manuscript. Whether it be investigations into electrical and optical properties [6,7,8,9], magnetic properties [10,11,12], or surface characteristics [13,14], the interaction of hydrogen with palladium-based alloys has been and will continue to be a vibrant field of investigation.
When it comes to the effects of hydrogen absorption/desorption on the mechanical properties (strength, hardness, and ductility) of transition metal–hydrogen systems, vigilance toward the threat of hydrogen embrittlement must be displayed. In the case of palladium, studies have made it clear that hydrogen embrittlement is a very real worry under most hydrogen exposure conditions [15]. Because of the significant hydrogen embrittlement suffered by pure palladium, one feature that alloying palladium with other metals strives to achieve is some degree of reduction in the extent of hydrogen embrittlement. The author has been involved in a series of investigations into the effects of hydrogen exposure on the mechanical properties of palladium and several palladium-based alloys. This paper collects and provides an overview summary of the findings of those studies into the extent to which hydrogen exposure impacts the mechanical properties of palladium–manganese, palladium–silver, and palladium–copper alloys, and how these alloys compare to pure palladium.
2. Materials and Methods
Palladium (99.9% total purity, Alfa-Aesar, Ward Hill, MA, USA), palladium–silver (99.9% pure metal basis, ACI Alloys, San Jose, CA, USA), palladium–copper (99.9% pure metal basis, ACI Alloys, San Jose, CA, USA), and palladium–manganese (99.9% pure metal basis, ACI Alloys, San Jose, CA, USA) foils of 0.25 mm thickness were used in the studies reported. These foils were unidirectionally cut into 38.1-millimeter-long by 6.4-millimeter-wide specimens. A reduced section of 3.2 mm width was machined into each specimen to facilitate a break in the middle during tensile testing. Specimens were lightly abraded with fine emery paper and then chemically polished in a 2:2:1 volume mixture of H2SO4:HNO3:H2O, followed by liberal rinsing in an ultrasonic cleaner, with deionized water and then acetone. Unless noted elsewhere, specimens were then stress-relieved in vacuo at 723 K for 48 h, followed by a 24 h annealing in vacuo at 823 K. These annealing temperatures were high enough to allow the recovery of each specimen to a nearly defect-free state. Some of the vacuum-annealed specimens were retained for strength or hardness testing to establish baseline values against which hydrogen-treated specimens would be compared.
Hydrogen absorption/desorption by the vacuum-annealed specimens was carried out in an all-stainless-steel system of calibrated volumes connected to a commercial tank of ultrapure hydrogen. The temperature of the specimen chamber of the system was maintained by a regulated water bath for temperatures below 373 K and by a computer-controlled furnace for temperatures at and above 373 K. Hydrogen gas pressures were measured with MKS diaphragm gauges, and the hydrogen content of the specimens was determined by means of the ideal gas law from changes in the hydrogen gas pressure. The hydrogen content was calculated and reported as the hydrogen-to-metal (H/metal) atom ratio. Upon reaching saturation or a desired H/metal ratio, specimens were evacuated for 24 h at the absorption temperature to remove all absorbed hydrogen. The hydrogen desorption was carried out via a vacuum system composed of a HyVac two-stage pump (HyVac Products, Pottstown, PA, USA).
Tensile tests were carried out on both vacuum-annealed and hydrogen-cycled specimens using an Instron Series IX Automated Materials Testing System (Instron Corporation, Norwood, MA, USA) using a gauge length of 19 mm and a constant elongation rate of 1.27 mm/min. Three specimens corresponding to each respective treatment (vacuum-annealed and hydrogen-cycled) underwent tensile testing. Specimens used for microhardness testing were subjected to a series of polishings culminating in a 0.05 micron alumina polishing. Vickers microhardness tests were performed on a LECO Microhardness Tester (LECO Corporation, St. Joseph, MI, USA) using a load of 200 g.
3. Results
Figure 1 shows representative engineering stress–strain curves for several specimens that were part of the materials investigated. The important properties determined via such stress–strain curves are the yield strength, ultimate strength, and total elongation. The yield strength is the stress at which the material begins to experience significant plastic (i.e., permanent nonelastic) deformation. The ultimate strength is the maximum stress that the material can withstand prior to failure. Total elongation refers to the elongation at the point of failure.
Figure 1.
Representative stress–strain curves: (―) vacuum-ordered Pd3Mn;.(− ∙ −) disordered Pd3Mn; (---) hydrogen-ordered Pd3Mn.
3.1. Mechanical Properties of Vacuum-Annealed Materials
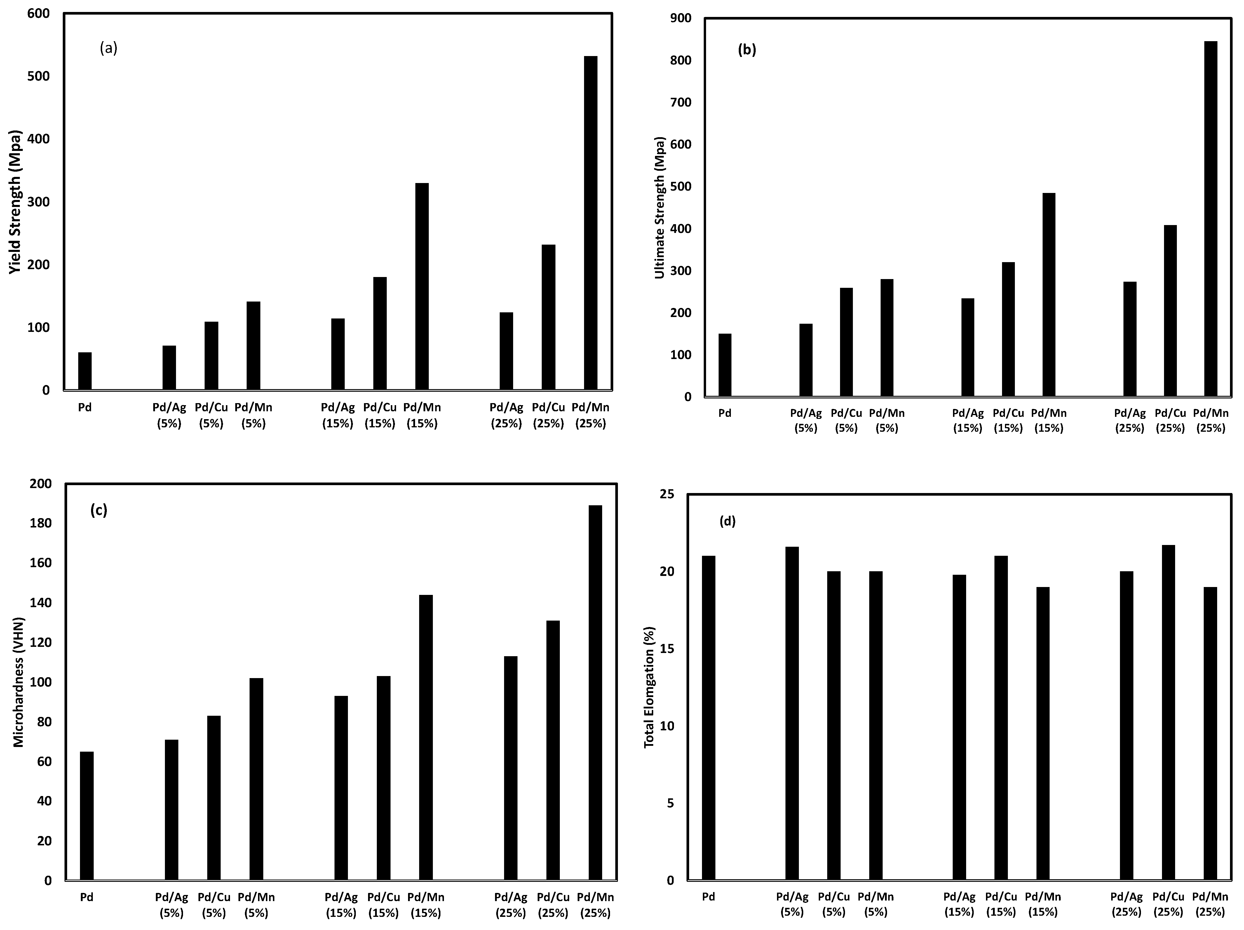
In order to assess any effects that exposure to hydrogen may have on the mechanical properties of a material, baseline values must be obtained. For the materials involved in the present report, the vacuum-annealed specimens provide such baseline values, as they represent a nearly defect-free crystalline environment. The results for the yield strength, ultimate strength, microhardness, and total elongation for the vacuum-annealed materials studied are shown in Figure 2a–d, respectively.
Figure 2.
Tensile properties for vacuum-annealed alloys. (a) Yield strength; (b) Ultimate strength; (c) Vickers microhardness; (d) Total elongation.
As is evident from these plots, the alloying of palladium with silver, copper, and manganese results in significant solid solution strengthening over the entire composition range investigated, with the characteristic strengthening of the alloys increasing as the solute metal content increases. The results show that the alloying of palladium with manganese results in the most prominent occurrence of solid solution strengthening, alloying with copper results in less prominent solid solution strengthening than that observed with manganese, and alloying with silver results in the least prominent occurrence of solid solution strengthening. This ranking, in terms of solute metal, of the magnitude of the observed solid solution strengthening can be appreciated in terms of the differences in the lattice constants of palladium and those of the alloying element and the stress fields that result from the misfit of the unit cell dimensions. Palladium has a lattice constant of 389.07 pm, while those of silver, copper, and alpha-manganese are 408.53, 361.49, and 891.25 pm, respectively [16]. Using these values, it can be seen that the relative degree of solid solution strengthening observed, as differentiated by the alloying element, is directly proportional to the lattice constant difference between palladium and the respective alloying element. It is interesting to note that although strength and microhardness are impacted by the alloying of palladium with silver, copper, and manganese, total elongation is relatively unaffected by the alloying.
3.2. Case 1: Pure Palladium
With all the attractive properties that palladium possesses with regard to hydrogen absorption/desorption and hydrogen permeation/diffusion, a major drawback is its proneness to hydrogen embrittlement. Changes to the strength, hardness, and ductility characteristics of palladium upon exposure to hydrogen have been studied based upon a variety of hydrogen-exposure factors.
3.2.1. Amount of Hydrogen Absorbed
In this study, respective specimens of vacuum-annealed palladium absorbed varying amounts of hydrogen (expressed as the H/Pd atom ratio). The specific H/Pd ratios obtained were 0.02, 0.20, 0.35, 0.49, 0.66, and 0.72. Upon reaching the specific hydrogen content, specimens underwent hydrogen desorption for 24 h. All hydrogen absorption/desorption cycling occurred at 323 K. The specimens subjected to hydrogen absorption/desorption cycling then underwent stress–strain and microhardness testing. The results of the testing are shown in Figure 3a–c. In these figures, the values for vacuum-annealed palladium are included as the values for which the H/Pd ratio equals zero.
Figure 3.
Tensile properties of palladium as a function of hydrogen content achieved during hydrogen absorption/desorption at 323 K. (a) Yield (●) and ultimate strength (■); (b) Vickers microhardness; (c) Total elongation.
As can be seen in Figure 3a–c, the mechanical properties of the majority of specimens were significantly altered from those of the vacuum-annealed palladium. Except for the specimens dosed to a H/Pd = 0.02, there is a progressive increase in strength and hardness, along with a steady decrease in elongation, as the final H/Pd reached during hydrogen absorption increases.
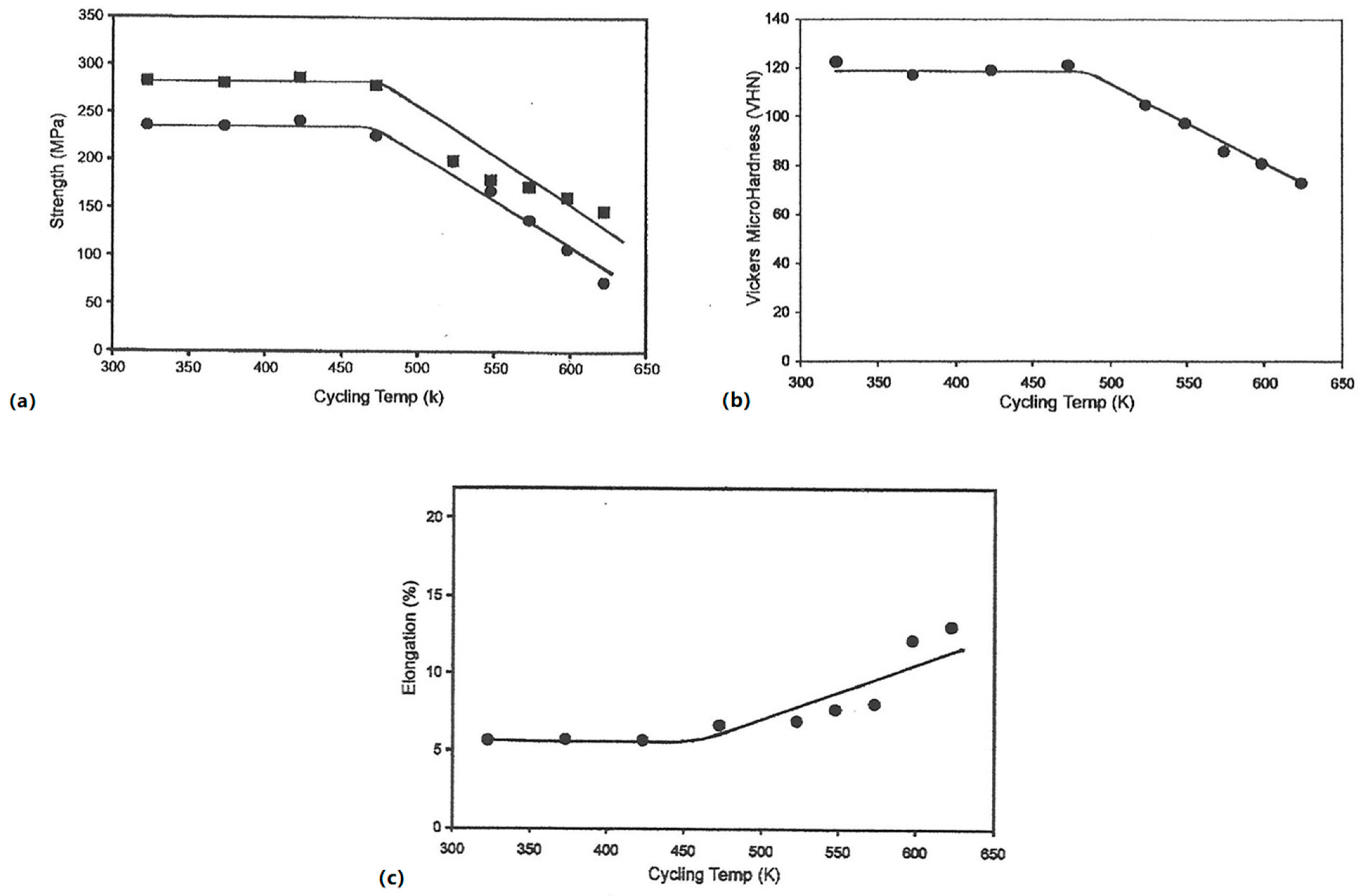
3.2.2. Hydrogen Exposure Temperature
In this study, specimens of vacuum-annealed palladium were dosed with hydrogen to saturation, followed by complete desorption of hydrogen. This single hydrogen absorption/desorption cycle was carried out on respective samples at 50 K increments from 323 to 523 K, and 25 K increments from 523 K to 623 K. Upon completion of the hydrogen absorption/desorption cycle, specimens were cooled to room temperature, and stress–strain and microhardness testing were carried out. The results of the testing are shown in Figure 4a–c.
Figure 4.
Tensile properties of palladium as a function of hydrogen absorption/desorption temperature. (a) Yield (●) and ultimate strength (■); (b) Vickers microhardness; (c) Total elongation.
The results indicate several important features. Over the entire temperature range studied, hydrogen cycling increased the strength and hardness and decreased elongation, relative to vacuum-annealed palladium. Additionally, the results show that the effects on palladium’s mechanical properties are relatively temperature-independent up to a cycling temperature of approximately 473 K. At cycling temperatures above ~473 K, the strengthening and loss of ductility are dependent on the hydrogen cycling temperature. As the cycling temperature increases, the degree of strengthening and loss of ductility decreases.
3.2.3. Number of Hydrogen Absorption/Desorption Cycles
In this study, specimens of vacuum-annealed palladium were dosed with hydrogen to saturation, followed by complete desorption of hydrogen at 323 K for 1, 2, 3, 4, 5, and 10 cycles. Following each respective cycling treatment, respective specimens underwent stress–strain and microhardness testing. The strength, hardness and elongation results are shown in Figure 5a–c.
Figure 5.
Tensile properties of palladium as a function of number of hydrogen absorption/desorption cycles. (a) Yield (●) and ultimate strength (■); (b) Vickers microhardness; (c) Total elongation.
The results clearly show that the overwhelming majority of changes in the mechanical properties of palladium, compared to those of vacuum-annealed palladium, occur during the first hydrogen absorption/desorption cycle. A modest enhancement of the effect is found for the second absorption/desorption cycle, but beyond that, additional hydrogen absorption/desorption cycling has little additional effect on the observed increase in strength and hardness or the decrease in elongation.
Analysis of Results:
The hydrogen absorbing characteristics of palladium have been thoroughly studied and the temperature–composition phase diagram for the palladium–hydrogen system is well established. The temperature–composition phase diagram is shown in Figure 6 [17]. A plausible explanation for the results presented here can be made with reference to the palladium–hydrogen phase diagram. In the palladium–hydrogen system, the α phase is a dilute solution of hydrogen in palladium, while the β phase is a much denser solution of hydrogen in palladium, often referred to as a hydride phase. As can be seen in the phase diagram, below a critical temperature of ~570 K, there is a two-phase coexistence region, known as a miscibility gap. Within the miscibility gap, the α and β phases coexist. Upon hydrogen absorption and desorption at temperatures below the critical temperature of the miscibility gap, the palladium matrix undergoes a discontinuous phase change: α → β upon hydrogen absorption and β → α upon hydrogen desorption.
Figure 6.
Temperature–composition phase diagram of the palladium–hydrogen system [17].
Owing to the much greater hydrogen content of the β phase, it possesses a greater volume than the α phase. For example, at 323 K, the volume of the β hydride phase is ~11% greater than that of the dilute α solid solution. Thus, when the system traverses the miscibility gap upon hydrogen absorption/desorption, there will be an abrupt volume change within the metal matrix. This abrupt discontinuous phase change will be accompanied by the creation of dislocations in the metal matrix [18]. It is well established that dislocations will result in the strengthening and loss of ductility in most metallic systems [19]. The reported results for palladium are consistent, with a prominent role being played by the α → β and β → α phase changes and the concomitant generation of dislocations.
The progressive increase in strength and hardness, along with the steady decrease in ductility, that is found as the hydrogen content reached during the absorption portion of a hydrogen absorption/desorption cycle at 323 K (Figure 3a–c) is consistent with the generation of dislocations due to traversal of the Pd-H miscibility gap. In accord with the lever rule, as the overall amount of hydrogen absorbed by palladium increases, the fraction of the palladium matrix that experiences the discontinuous α → β and β → α phase changes will also increase. The greater the fraction of the palladium matrix that experiences the abrupt volume change, the greater the amount of dislocations generated within the palladium matrix, and the more prominent will the accompanying increases in strength and hardness and decreases in elongation (i.e., ductility) be. Lending further support to this interpretation is the fact that the specimens of palladium that had an H/Pd content of 0.02 during hydrogen absorption showed no alteration of their mechanical properties, compared to those of vacuum-annealed palladium. A H/Pd of 0.02 corresponds to a hydrogen content that does not reside within the miscibility gap at 323 K. Thus, those specimens did not experience any abrupt volume change that would lead to the generation of dislocations. Similarly it can be seen in Figure 3a–c that the mechanical properties of the specimens that achieved a H/Pd content of 0.72 are very similar to those of the specimens that were dosed to a H/Pd of 0.66. The terminal composition of the miscibility gap at 323 K is ~0.65 (H/Pd). Thus, any additional absorption of hydrogen at 323 K beyond H/Pd = 0.65 does not facilitate additional conversion between the α and β phases but it simply changes the hydrogen content of the β phase in a continuous manner. Given this fact, the dislocation densities of the H/Pd = 0.66 and H/Pd = 0.72 specimens are likely to be quite similar, and the mechanical properties are expected to be quite similar, as was found.
The results found for the studies that varied the hydrogen exposure temperature (Figure 4a–c) are also consistent with the proposed importance of the miscibility gap in the Pd-H system. As can be seen in the Pd-H phase diagram, the width of the miscibility gap varies only slightly with increasing temperature up to ~430–450 K. As the temperature increases further, the width of the miscibility gap decreases more rapidly until coalescing into the critical point at ~570 K. As the width of the miscibility gap shrinks, the volume difference between the dilute α phase and that of the β hydride phase decreases. As the volume difference between the two phases decreases, the amount of dislocations generated within the palladium matrix will decrease and the strengthening and loss of ductility will diminish. The results are remarkably consistent with the varying width characteristics of the Pd-H phase diagram. One thing to note is that at absorption/desorption temperatures above the critical temperature, the α → β and β → α phase changes no longer occur in a discontinuous fashion with an abrupt volume change. Instead, the phase changes occur in a continuous homogeneous manner. This would imply that minimal dislocations should be generated in the palladium matrix due to hydrogen absorption/desorption. Yet, Figure 3a–c shows that the strength, hardness, and elongation properties of palladium are altered, relative to vacuum-annealed palladium, by hydrogen cycling at these temperatures, though not nearly as pronounced as the changes that occur with cycling below the critical temperature. These results point to the likelihood that other factors contribute to the observed changes in the mechanical properties of palladium. One factor that may contribute is the creation of point defects in the palladium matrix due to hydrogen absorption/desorption. It has been found that significant creation of vacancies can occur in palladium during hydrogen absorption [20]. The creation of vacancies within the metal matrix would likely impact the mechanical characteristics of palladium and this possibility certainly warrants rigorous investigation.
The results regarding palladium subjected to multiple isothermal hydrogen absorption/desorption cycles (Figure 5a–c) are quite interesting. As clearly shown, the overwhelming majority of strengthening and loss of ductility occurs as a result of the first absorption/desorption cycle, with a modest enhancement of these effects by the second absorption/desorption cycle. After the second cycle, additional absorption/desorption cycles have virtually no effect on the strength, hardness, or ductility of the cycled palladium. Naively, one would anticipate a cumulative build-up of dislocations with every absorption/desorption cycles undertaken, and that this would lead to a steady increase in the magnitude of the changes in strength, hardness, and ductility. Why is that not the case?
There is compelling evidence that the dislocation density generated via passing through the miscibility gap of the Pd-H system reaches a steady state after the second cycle of hydrogen absorption/desorption [18]. This steady state dislocation density is achieved through the offsetting of new dislocations created during an absorption/desorption cycle by dislocation annihilation within the metal matrix. The equilibrium achieved between the creation of new dislocation and the annihilation of existing dislocations in the cycled palladium matrix would explain the observed results.
3.3. Case 2: Palladium–Silver
Though not as thoroughly studied as pure palladium, palladium–silver alloys have been the focus of many rigorous investigations into their interaction with hydrogen. It has been found that palladium–silver alloys possess superior properties to pure palladium in the context of functioning as effective hydrogen purification membranes. Anecdotal evidence has indicated that palladium–silver alloys are significantly less susceptible to hydrogen embrittlement than pure palladium [21,22].
When similar investigations to those carried out on pure palladium are carried out on palladium silver alloys, the results can be markedly different. Palladium–silver alloys of 5, 15, and 25 weight percent silver were studied.
3.3.1. Hydrogen Exposure Temperature
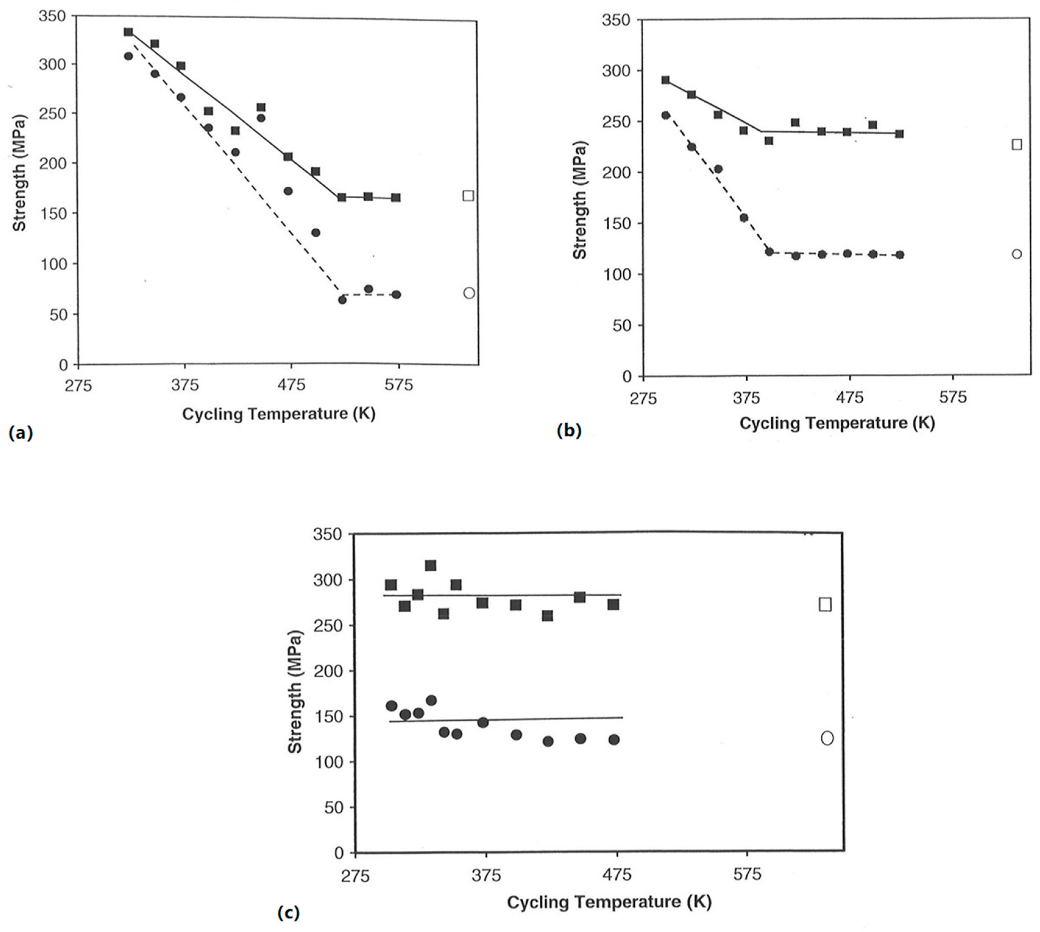
Palladium–silver alloys were isothermally dosed with hydrogen to saturation followed by complete desorption of hydrogen over a temperature range of 298–573 K, except for the 25 weight % silver alloy that underwent hydrogen cycling over the temperature range 303 K–473 K.
Figure 7a–c, Figure 8a–c, and Figure 9a–c show the strength, hardness, and elongation results as a function of the hydrogen cycling temperature for Pd0.95Ag0.05, Pd0.85Ag0.15, and Pd0.75Ag0.25, respectively. The results show that as the silver content increases, the palladium–silver alloy exhibits an increasing range of temperature where the mechanical properties are unchanging and similar in value to the vacuum-annealed alloy. The extreme of this is seen with the Pd0.75Ag0.25 alloy, where the mechanical properties are virtually identical to those of the vacuum-annealed alloy, and are unaffected by hydrogen exposure over the entire temperature range studied.
Figure 7.
Yield Strength (●) and ultimate strength (■) as a function of hydrogen absorption/desorption cycling temperature: (a) Palladium–silver (5 wt.% Ag); (b) Palladium–silver (15 wt.% Ag); (c) Palladium–silver (25 wt.% Ag). For comparison, yield strength (○) and ultimate strength (□) of vacuum-annealed specimens are included and positioned at an arbitrary temperature.
Figure 8.
Microhardness as a function of hydrogen absorption/desorption cycling temperature: (a) Palladium–silver (5 wt.% Ag); (b) Palladium–silver (15 wt.% Ag); (c) Palladium–silver (25 wt.% Ag). For comparison, microhardness (○) of vacuum-annealed specimens are included) and positioned at an arbitrary temperature.
Figure 9.
Elongation as a function of hydrogen absorption/desorption cycling temperature: (a) Palladium–silver (5 wt.% Ag); (b) Palladium–silver (15 wt.% Ag); (c) Palladium–silver (25 wt.% Ag). For comparison, elongation (○) of vacuum-annealed specimens are included and positioned at an arbitrary temperature.
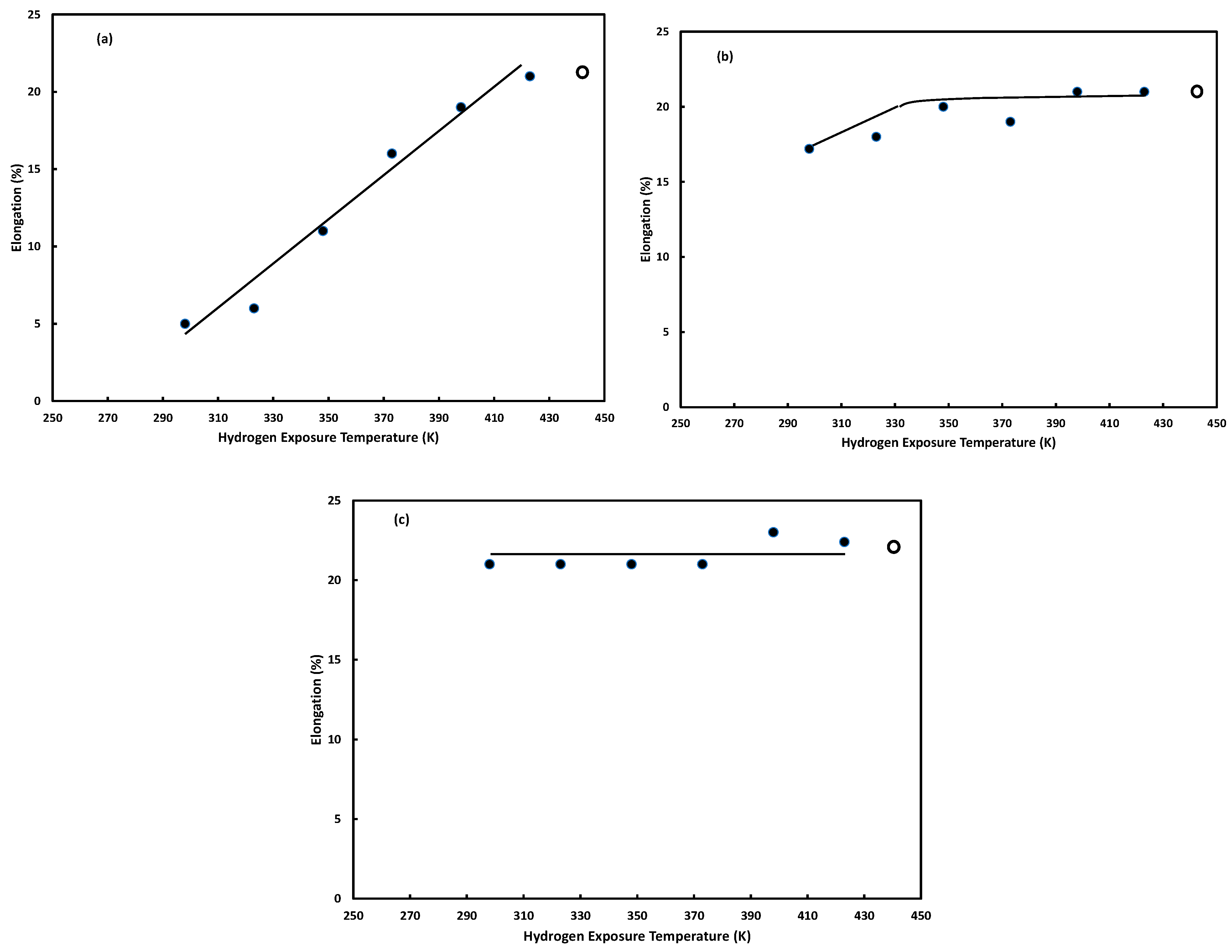
3.3.2. Amount of Hydrogen Absorbed
Respective specimens of vacuum-annealed Pd0.75Ag0.25 absorbed varying amounts of hydrogen (expressed as the H/alloy atom ratio). Figure 10a–c shows the strength, hardness, and ductility results. As can be seen, in all instances, the mechanical properties of the alloy are unchanging, with changes in the amount of absorbed hydrogen, with the values virtually identical to those of the vacuum-annealed Pd0.75Ag0.25 alloy.
Figure 10.
Tensile properties of Pd0.75Ag0.25 as a function of hydrogen content achieved during hydrogen absorption/desorption at 323 K. (a) Yield (●) and ultimate strength (■); (b) Vickers microhardness; (c) Total elongation.
3.3.3. Number of Hydrogen Absorption/Desorption Cycles
Specimens of vacuum-annealed Pd0.75Ag0.25 were dosed with hydrogen to saturation followed by complete desorption of hydrogen at 323 K for 1, 2, 3, 4, 5, and 10 cycles. Following each respective cycling treatment, respective specimens underwent stress–strain and microhardness testing. The strength, hardness, and elongation results are shown in Figure 11a–c. Once again, the results show that the mechanical properties of the alloy retain the values of the vacuum-annealed alloy and are unaffected by the parameter being varied (number of complete hydrogen absorption/desorption cycles).
Figure 11.
Tensile properties of Pd0.75Ag0.25 as a function of number of hydrogen absorption/desorption cycles. (a) Yield (●) and ultimate strength (■); (b) Vickers microhardness; (c) Total elongation.
Analysis of Results:
The results for palladium–silver clearly indicate that this alloy system is significantly more resistant to the effects of hydrogen exposure on mechanical properties than pure palladium. The results show equally clearly that the degree of resistance to changes in mechanical properties due to hydrogen exposure is dependent on the silver content of the particular Pd/Ag alloy, with the alloy of 25 weight percent silver showing virtually no change in mechanical properties due to hydrogen exposure, as compared to the vacuum-annealed alloy. This resistance to changes in mechanical properties upon exposure to hydrogen is one of the major reasons that make palladium–silver alloys so attractive as hydrogen purification membranes.
In line with the role of the miscibility gap in the palladium–hydrogen system being of prime importance with the results found for pure palladium, the miscibility gap for the palladium/silver–hydrogen system may play a prominent role in understanding the results for the Pd/Ag alloys. This discussion will be deferred until after the results for palladium–copper alloys are presented, since a similar rationale may explain the results for the palladium–copper system.
3.4. Case 3: Palladium–Copper
There is accumulating evidence that palladium–copper alloys may enjoy superior performance as hydrogen purification membranes than do palladium–silver alloys [23,24]. One of the potential reasons for this superior performance is anecdotal evidence that Pd-Cu alloys may enjoy better resistance to changes in mechanical properties, and thus, have superior resistance to the damaging effects of hydrogen embrittlement. For this reason and others, palladium–copper alloys have enjoyed significant attention from researchers in the field of metal–hydrogen systems.
To a more limited extent, the influence of hydrogen absorption/desorption on the mechanical properties has been investigated, with additional studies currently under way to more fully and rigorously characterize the mechanical properties of palladium–copper alloys and the impact, if any, that hydrogen exposure has on these properties.
Hydrogen Exposure Temperature
Palladium–copper alloys were isothermally dosed with hydrogen to saturation, followed by complete desorption of hydrogen over a temperature range of 298–423 K. Figure 12a–c and Figure 13a–c show the strength and elongation results as functions of the hydrogen cycling temperature for Pd0.95Cu0.05, Pd0.85Cu0.15, and Pd0.75Cu0.25. Quite similar to the Pd-Ag system, the results show that as the copper content increases, the palladium–copper alloy exhibits an increasing range of temperature, where the mechanical properties are unchanging and similar in value to the vacuum-annealed alloy. A comparison of the Pd-Cu results to those for Pd-Ag do indicate that the palladium–copper system does have superior resistance to changes in mechanical properties due to hydrogen exposure. For example, if one compares the hydrogen exposure temperature results for Pd0.85Ag0.15 and Pd0.85Cu0.15, one finds that the palladium–copper alloy’s mechanical properties come into alignment with those of the vacuum-annealed alloy at a lower temperature than do the palladium–silver alloy’s properties.
Figure 12.
Yield Strength (●) and ultimate strength (■) as a function of hydrogen absorption/desorption cycling temperature: (a) Palladium–copper (5 wt.% Cu); (b) Palladium–copper (15 wt.% Cu); (c) Palladium–copper (25 wt.% Cu). For comparison, yield strength (○) and ultimate strength (□) of vacuum-annealed specimens are included and positioned at an arbitrary temperature.
Figure 13.
Total elongation as a function of hydrogen absorption/desorption cycling temperature: (a) Palladium–copper (5 wt.% Cu); (b) Palladium–copper (15 wt.% Cu); (c) Palladium–copper (25 wt.% Cu). For comparison, yield strength (○) and ultimate strength (□) of vacuum-annealed specimens are included and positioned at an arbitrary temperature.
Analysis of Results:
The presence of the miscibility gap in the palladium–hydrogen system looms large over the palladium–silver–hydrogen and palladium–copper–hydrogen systems. Evidence utilizing various investigative methods has found that the alloying of palladium with either silver or copper impacts the miscibility gap of the Pd-H system [25,26]. In particular, it has been found that the alloying of palladium with silver or copper depresses the critical point of the miscibility gap in the alloy–hydrogen phase diagram, and shrinks the width of the miscibility gap. This is illustrated schematically in Figure 14. The decreasing of the width of the miscibility gap and depression of its critical temperature increase as the amount of silver or copper increases in the alloy.
Figure 14.
Schematic temperature–composition phase diagram for the palladium–hydrogen system (solid line) and palladium-based alloy–hydrogen systems (dashed lines).
The results are consistent with a diminution in the role of the miscibility gap during hydrogen absorption/desorption by the palladium–silver and palladium–copper alloys. At a given temperature, as the width of the miscibility gap decreases in an alloy compared to pure palladium, the volume difference between the α dilute solution of hydrogen in the metal matrix and the β hydride phase will also decrease. A decrease in the volume difference between the α and β phases will be accompanied by a decrease in the number of dislocations generated upon traversing the miscibility gap. With fewer dislocations generated in the metal matrix, the mechanical properties of the material will be less impacted. So, pure palladium, with its prominent miscibility gap, will be more significantly impacted by hydrogen absorption/desorption than will the alloy systems under identical conditions. In those cases where the mechanical properties of the alloy have been unaffected by hydrogen absorption/desorption and retain values quite similar to those of the vacuum-annealed materials (e.g., Pd0.75Ag0.25 and Pd0.75Cu0.25), the critical point has been depressed to a temperature below the lowest temperature studied, and the α → β and β → α phase changes occur continuously, rather than discontinuously, without the generation of a significant number of dislocations.
3.5. Case 4: Palladium–Manganese
The palladium–manganese system introduces a very interesting feature not found in the palladium–silver or palladium–copper alloys studied. Over the entire alloy composition ranges studied, both the palladium–silver and palladium–copper systems form simple substitutional solid solutions. However, the palladium–manganese alloy system exhibits a quite interesting order–disorder phenomenon over the alloy composition range studied [27]. This order–disorder phenomenon is most pronounced in the Pd0.75Mn0.25 alloy, but is still found as the manganese content decreases to 5 weight percent.
The Pd0.75Mn0.25 (referred to from this point on as Pd3Mn) manifests three face-centered cubic (FCC) lattices, two of which are shown in Figure 15. In vacuo, Pd3Mn possesses an order–disorder critical temperature of 803 K [27]. Above the critical temperature, the alloy exists as a disordered FCC matrix, with each lattice position having a 75% probability of being occupied by a palladium atom and a 25% probability of being occupied by a manganese atom. Slow cooling in vacuo from above 803 K will result in an ordered superstructure with the unit cell shown in Figure 15a, where the palladium atoms preferentially occupy the face-centered positions of the unit cell, while the manganese atoms occupy the corner positions. As can be seen in Figure 15a, the vacuum-ordered structure of Pd3Mn possesses one-dimensional anti-phase boundaries arranged with a domain size of 2. Interestingly, if the slow cooling takes place under a hydrogen pressure greater than 50 atm (5.066 × 106 Pa), a different ordered structure results [28]. The unit cell of that structure is shown in Figure 15b. This hydrogen-induced ordered structure is similar to the vacuum-ordered structure except that the antiphase boundary is absent. Though the vacuum-ordered structure is thermodynamically stable at low temperatures in the absence of hydrogen, the disordered and hydrogen-induced ordered structures can be realized at low temperatures as meta-stable structures. The disordered structure can be generated by rapid cooling (e.g., quenching) in vacuo from temperatures greater than 803 K. The hydrogen-induced structure can be retained by simply desorbing, at low temperatures, the hydrogen that was present during the slow cooling from above 803 K. Thus, it is possible to study the room temperature mechanical properties of all three structures of Pd3Mn (and other palladium–manganese alloys).
Figure 15.
Unit cells for Pd3Mn. (a) Vacuum-ordered; (b) Hydrogen-induced ordered.
Specimens of Pd0.95Mn0.05, Pd0.85Mn0.15, and Pd3Mn were disordered by heating in vacuo in silica tubes to 883 K and held at this temperature for 1 h. They were then quenched into ice-water while simultaneously breaking the silica container. The vacuum-ordered specimens of the alloys were prepared heating in vacuo to 823 K, holding at this temperature for 1 h and then slowly cooling to room temperature at a rate of 2 K per hour. The hydrogen-induced ordered specimens were prepared by heating to 723 K under 7.0 MPa of hydrogen gas and annealing under these conditions for 24 h, after which they were slowly cooled under hydrogen to 398 K at a rate of 5 K per hour. Upon reaching 398 K, the specimens were evacuated for 48 h to remove all absorbed hydrogen. The type of order (or disorder) resulting from each heat treatment was confirmed via hydrogen solubility measurements, which were previously correlated with each state of order and disorder via electron diffraction.
3.5.1. Stress–Strain Characteristics
Figure 1 at the beginning of the results section shows the engineering stress–strain curves for the three forms of Pd3Mn. As can be seen in these figures, the tensile characteristics of the disordered and vacuum-annealed ordered alloys are very similar to one another. However, the hydrogen-induced ordered alloy differs significantly from the other two, with enhanced strength (stress) and decreased elongation (strain at break).
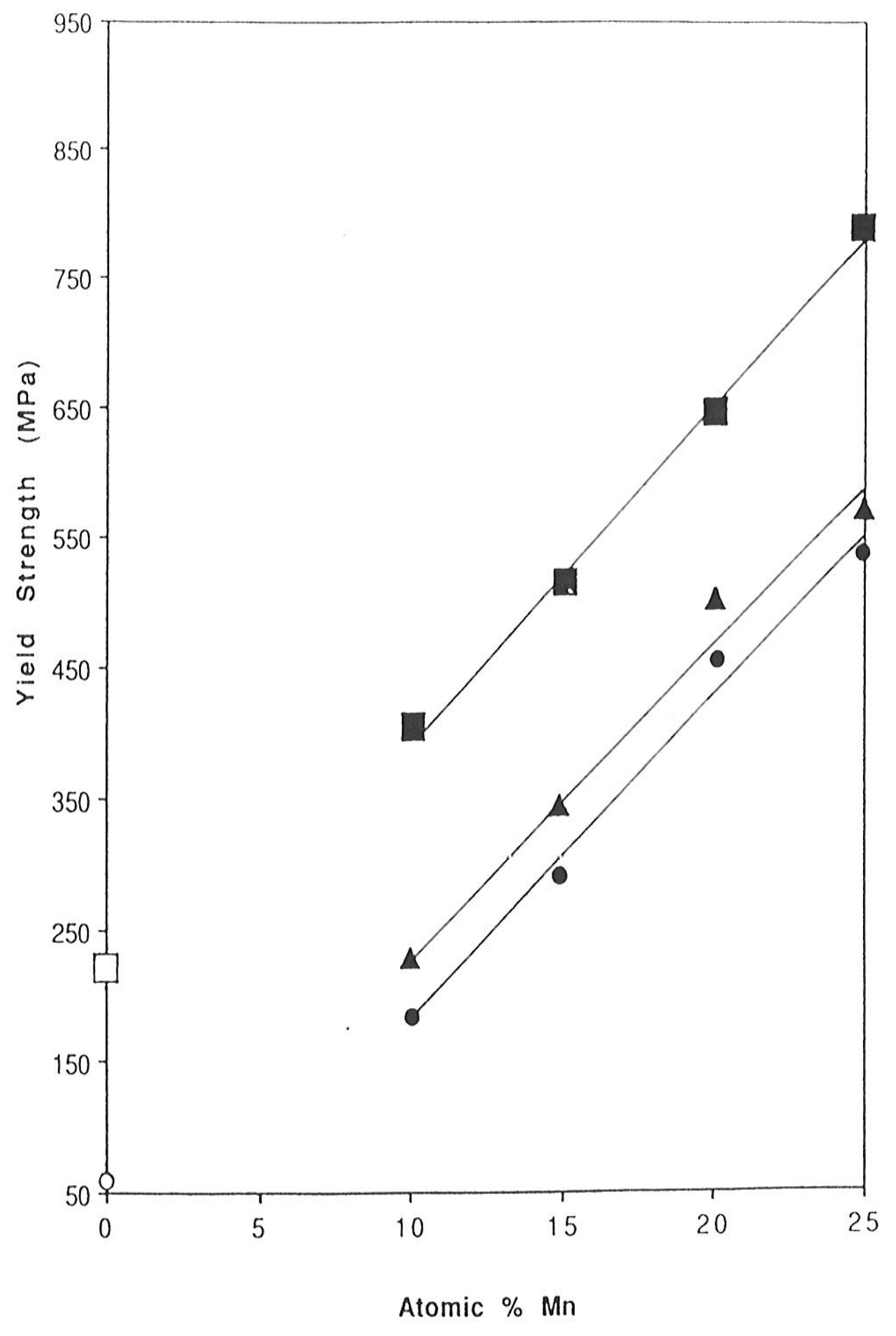
Figure 16 shows the yield strength for the three forms of palladium–manganese alloys as a function of manganese content. The results show that solid-solution strengthening occurs in all three crystallographic forms of the palladium–manganese system. The results also show that the disordered and vacuum-ordered forms of each alloy have similar yield strength and that the hydrogen-induced ordered form of each is significantly stronger than the disordered or vacuum-ordered.
Figure 16.
Yield strength as a function of manganese content for disordered alloys (●); vacuum-annealed ordered alloys (▲); hydrogen-induced ordered alloys (■) for the palladium–manganese system.
3.5.2. Effect of Hydrogen Evacuation Temperature
Figure 17 shows the yield strength of the hydrogen-induced ordered form of Pd3Mn as a function of the temperature at which the hydrogen, present during slow cooling from 723 K, was evacuated. The figure shows that the evacuation temperature has a significant impact on yield strength up to a temperature of ~473 K, with a decrease in yield strength as the evacuation temperature increases. Above an evacuation temperature of 473, there is a much more muted decrease in yield strength with increasing temperature.
Figure 17.
Yield strength as a function of hydrogen desorption temperature of the hydrogen-induced ordered form of Pd3Mn.
Analysis of Results:
The fact that the disordered and vacuum-ordered forms of each alloy have similar tensile properties indicates that neither the cooling rate nor the positional arrangement of palladium and manganese in the crystal lattice have much effect on those properties. That would seem to imply that any cooling rate difference or positional arrangement difference that distinguishes the hydrogen-induced ordered form probably has minimal effect on tensile properties. So what is then that leads to the strengthening and loss of ductility experienced by the hydrogen-induced ordered form in the palladium–manganese alloy system? The answer once again may lie in the presence of a miscibility gap in the Pd-Mn system.
Hydrogen solubility studies indicate that the hydrogen-induced ordered forms of Pd0.95Mn0.05, Pd0.85Mn0.15, and Pd3Mn exhibit the α + β miscibility gap, similar to those found in pure palladium and the other palladium-based alloy systems reported in this overview [29]. The effect of manganese on the miscibility gap of palladium is not as thoroughly understood as is the case for silver or copper. However, the hydrogen solubility studies indicate that at the temperature at which hydrogen was evacuated from the alloys (398 K) during the hydrogen-induced ordering process, all the palladium–manganese alloys do traverse the miscibility gap during hydrogen absorption and desorption. Thus, each hydrogen-induced alloy did experience the discontinuous β → α phase change during the evacuation of the absorbed hydrogen at 398 K. Additionally, with that discontinuous phase change comes an abrupt volume change, and with that abrupt volume change comes the generation of dislocations in the alloy matrix. With the buildup of dislocations comes the strengthening and loss of ductility seen in the results for the palladium–manganese alloys.
As a side note, though no investigations were carried out to see if hydrogen exposure alters the mechanical properties of the disordered or vacuum-ordered forms of the palladium–manganese alloys studied, hydrogen solubility studies indicate that neither of those forms of the alloys exhibit a miscibility gap. So the expectations will be that hydrogen exposure will have a minimal impact on the mechanical properties of either the disordered forms or vacuum-ordered forms of the palladium–manganese alloys considered in this overview.
4. Conclusions
The ability of hydrogen to alter the properties of metals and alloys has led some to suggest that hydrogen can be used as a controlled parameter during fabrication and refinement to achieve materials with desired properties that are not as efficiently achievable through other fabrication methods. Whether this comes to fruition is yet to be seen. However, the results presented in this overview clearly show that hydrogen exposure can have a significant impact, for better or worse, on the mechanical properties of the systems investigated. The results also show that by controlling such factors as temperature, the magnitude of the changes to the mechanical properties can be manipulated in a controlled fashion.
Funding
This research received no external funding.
Data Availability Statement
Requests for data should be addressed to the author.
Conflicts of Interest
The author declares no conflict of interest.
References
- Mond, L.; Ramsay, W.; Shields, J. On the occlusion of hydrogen and oxygen by palladium. Philos. Trans. R. Soc. Lond. Ser. A 1898, 191, 105–126. [Google Scholar]
- Vargas, W.; Rojas, I.; Azofeifa, D.; Clark, N. Optical and electrical properties of hydrided palladium thin films studied by an inversion approach from transmittance measurements. Thin Solid Film 2006, 496, 189–196. [Google Scholar] [CrossRef]
- Clark, N.; Vargas, W.; Azofeifa, D. Dielectric function of Pd hydride thin films in terms of hydrogen concentration and film’s thickness: A parametric formulation. J. Alloys Compd. 2015, 645, S320–S324. [Google Scholar] [CrossRef]
- Kawae, T.; Inagaki, Y.; Wen, S.; Hirota, S.; Itou, D.; Kimura, T. Superconductivity in palladium hydride systems. J. Phys. Soc. Jpn. 2020, 89, 051004. [Google Scholar] [CrossRef]
- Cattania, M.; Penka, V.; Behm, R.; Christmann, K.; Ertl, G. Interaction of hydrogen with a palladium (110) surface. Surf. Sci. 1983, 126, 382–391. [Google Scholar] [CrossRef]
- Burch, R.; Buss, R.G. Absorption of hydrogen by palladium–copper alloys. Part 1.—Experimental measurements. J. Chem. Soc. Faraday Trans. 1 Phys. Chem. Condens. Phases 1975, 71, 913–921. [Google Scholar] [CrossRef]
- Baba, K.; Sakamoto, Y.; Flanagan, T.; Kuji, T.; Craft, A. Electrical resistance anomalies and hydrogen solubilities in the disorder-order system Pd3Mn. Scr. Metall. 1987, 21, 299–303. [Google Scholar] [CrossRef]
- Richardson, T.; Slack, J.; Farangis, B.; Rubin, M. Mixed metal films with switchable optical properties. App. Phys. Lett. 2002, 80, 1349–1351. [Google Scholar] [CrossRef]
- Wang, M.; Feng, Y. Palladium–silver thin film for hydrogen sensing. Sens. Actuators B Chem. 2007, 123, 101–106. [Google Scholar] [CrossRef]
- Hara, M.; Sakurai, J.; Akamaru, S.; Hashizume, K.; Nishimura, K.; Mori, K.; Okabe, T.; Watanabe, K.; Matsuyama, M. Thermodynamic and magnetic properties of Pd0.93Mn0.07 hydride. Mater. Trans. 2007, 48, 3154–3159. [Google Scholar] [CrossRef]
- Vocaturo, R.; Tresca, C.; Ghiringhelli, G.; Profeta, G. Prediction of ambient-pressure superconductivity in ternary hydride PdCuH x. J. Appl. Phys. 2022, 131, 033903. [Google Scholar] [CrossRef]
- Sivasamy, R.; Venugopal, P.; Kumar, K.V.; Espinoza-González, R. Synthesis and characterizations of Pd/Mn (Mn1.36Pd0.64)O4 nanocomposite: An experimental and theoretical approach. Vacuum 2020, 182, 109683. [Google Scholar] [CrossRef]
- Gryaznov, V.; Serebryannikova, O.; Serov, Y.; Ermilova, M.; Karavanov, A.; Mischenko, A.; Orekhova, N. Preparation and catalysis over palladium composite membranes. Appl. Catal. A Gen. 1993, 96, 15–23. [Google Scholar] [CrossRef]
- Padama, A.; Kasai, H.; Budhi, Y. Hydrogen absorption and hydrogen-induced reverse segregation in palladium–silver surface. Int. J. Hydrogen Energy 2013, 38, 4715–14724. [Google Scholar] [CrossRef]
- Dillon, E.; Jimenez, G.; Davie, A.; Bulak, J.; Nesbit, S.; Craft, A. Factors influencing the tensile strength, hardness and ductility of hydrogen-cycled palladium. Mater. Sci. Eng. A 2009, 524, 89–97. [Google Scholar] [CrossRef]
- Manganese: Crystal Structures. Available online: https://www.webelements.com/manganese/crystal_structure.html (accessed on 22 March 2023).
- Manchester, F.; San-Martin, A.; Pitre, J. The H-Pd (Hydrogen-Palladium) System. J. Phase Equilibria 1994, 15, 62–83. [Google Scholar] [CrossRef]
- Flanagan, T.; Park, C. Hydrogen Storage Materials: Materials Science Forum; Barnes, R., Ed.; Trans Tech Publications: Aedermannsdorf, Switzerland, 1988; pp. 297–305. [Google Scholar]
- Wang, D.; Flanagan, T.; Balasubramaniam, R. Hydrogen solubility as a probe for dislocation formation, rearrangement, and annihilation Pd and Pd/Al2O3 composites. Scr. Mater. 1999, 41, 517–521. [Google Scholar] [CrossRef]
- Polfus, J.; Peters, T.; Bredesen, R.; Lovvik, O. Vacancy diffusion in palladium hydrides. Phys. Chem. Chem. Phys. 2021, 23, 13680–13686. [Google Scholar] [CrossRef] [PubMed]
- Millet, P.; Ngameni, R.; Decaux, C.; Grigoriev, S. Hydrogen sorption by Pd77Ag23 metallic membranes. Role of hydrogen content, temperature and sample microstructure. Int. J. Hydrogen Energy 2011, 36, 4262–4269. [Google Scholar] [CrossRef]
- Okazaki, J.; Tanaka, D.; Tanco, M.; Wakui, Y.; Mizukami, F.; Suzuki, T. Hydrogen permeability study on the thin film Pd-Ag alloy membranes in the temperature range across the α → β transition. J. Membr. Sci. 2006, 282, 370–374. [Google Scholar] [CrossRef]
- Conde, J.; Marono, M.; Sanchez-Hervas, J. Pd-based membranes for hydrogen separation. Review of alloying elements and their influence on membrane properties. Sep. Purif. Rev. 2017, 46, 152–177. [Google Scholar] [CrossRef]
- Zhang, K.; Way, J. Palladium-copper membranes for hydrogen separation. Sep. Purif. Technol. 2017, 186, 39–44. [Google Scholar] [CrossRef]
- Flanagan, T.; Chisdes, D. Solution of Hydrogen in Palladium/Copper Alloys. J. Solid State Chem. 1977, 20, 147–158. [Google Scholar]
- Wang, D.; Flanagan, T.; Shanahan, K. Diffusion of H through Pd-Ag alloys (423–523 K). J. Phys. Chem. B 2008, 112, 1135–1148. [Google Scholar] [CrossRef]
- Ahlzen, P.; Andersson, R.; Tellgren, R.; Rodic, R.; Flanagan, T.; Sakamoto, Y. A neutron powder diffraction study of Pd3MnHx. Z. Phys. Chem. N.F. 1989, 163, 213–218. [Google Scholar] [CrossRef]
- Flanagan, T.; Craft, A.; Kuji, T.; Baba, K.; Sakamoto, Y. Hydrogen induced order-disorder transition in Pd3Mn. Scr. Metall. 1986, 20, 1745–1750. [Google Scholar] [CrossRef]
- Jonsen, D.; Moss, A.; Shenk, J.; Rebeiz, K.; Nesbit, S.; Foley, R.; Craft, A. Influence of hydrogen-induced ordering on the tensile and fatigue characteristics of the alloy system Pd1−xMnx (x = 0.1–0.25). Mater. Sci. Eng. A 1995, 199, 131–138. [Google Scholar] [CrossRef]
Disclaimer/Publisher’s Note: The statements, opinions and data contained in all publications are solely those of the individual author(s) and contributor(s) and not of MDPI and/or the editor(s). MDPI and/or the editor(s) disclaim responsibility for any injury to people or property resulting from any ideas, methods, instructions or products referred to in the content. |
© 2023 by the author. Licensee MDPI, Basel, Switzerland. This article is an open access article distributed under the terms and conditions of the Creative Commons Attribution (CC BY) license (https://creativecommons.org/licenses/by/4.0/).
















