Design and Scale-Up of Zero-Gap AEM Water Electrolysers for Hydrogen Production
Abstract
1. Introduction
- Selection of appropriate materials for cell components (e.g., corrosion resistant, low-cost, good mechanical and chemical stability, selectivity etc.).
- Secure seals to avoid electrolyte leakages, which has an impact on device lifetime.
- The distribution of current and potential, as well as mass transport of reactants and products, which influence the cell performance as current density is proportional to the rate of reaction.
- Modularity of the design which facilitates scale-up.
2. Experimental
2.1. Catalyst Preparation
2.2. 10 cm2 and 100 cm2 AEM Cell Design
2.3. Electrochemical Measurements
3. Results and Discussion
3.1. Flow Channel Designs
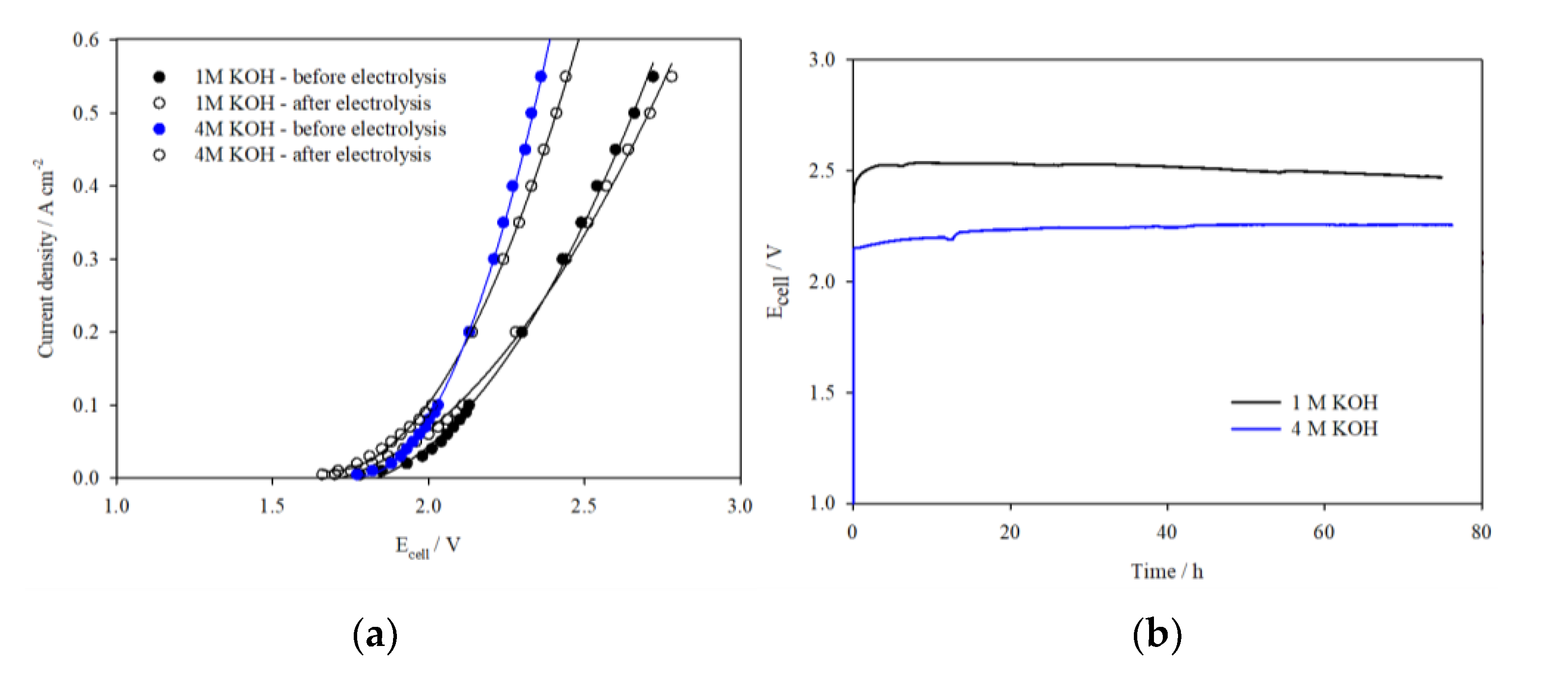
3.2. Electrolyte Concentration
3.3. Catalyst-Coated Electrodes
3.4. Load Cycling
4. Conclusions
Supplementary Materials
Author Contributions
Funding
Data Availability Statement
Conflicts of Interest
References
- Hanley, E.S.; Deane, J.; Gallachóir, B.Ó. The role of hydrogen in low carbon energy futures–A review of existing perspectives. Renew. Sus. Energy Rev. 2018, 82, 3027–3045. [Google Scholar] [CrossRef]
- Russell, J.H.; Chludzinski, P.J.; Gupta, D.K.; Smarz, G.A.; Sedlak, J.M. Solid Polymer Electrolyte Water Electrolysis Technology Development for Large-Scale Hydrogen Production (Design Phase); General Electric Co., Direct Energy Conversion Programs: Wilmington, MA, USA, 1981. [Google Scholar]
- Rasten, E.; Hagen, G.; Tunold, R. Electrocatalysis in water electrolysis with solid polymer electrolyte. Electrochim. Acta 2003, 48, 3945–3952. [Google Scholar] [CrossRef]
- Taleb, A.; Kjeang, E.; Maine, E. Cost Analysis for Durable Proton Exchange Membrane in PEM Fuel Cells in PICMET ‘12: Technology Management for Emerging Technologies 2012; IEEE: Vancouver, BC, Canada, 2012. [Google Scholar]
- Du, N.; Roy, C.; Peach, R.; Turnbull, M.; Thiele, S.; Bock, C. Anion-Exchange Membrane Water Electrolyzers. Chem. Rev. 2022, 122, 11830–11895. [Google Scholar] [CrossRef] [PubMed]
- Hagesteijn, K.F.L.; Jiang, S.; Ladewig, B.P. A review of the synthesis and characterization of anion exchange membranes. J. Mater. Sci. 2018, 53, 11131–11150. [Google Scholar] [CrossRef]
- Shirvanian, P.; Loh, A.; Sluijter, S.; Li, X. Novel components in anion exchange membrane water electrolyzers (AEMWE’s): Status, challenges and future needs. A mini review. Electrochem. Commun. 2021, 132, 107140. [Google Scholar] [CrossRef]
- IEA. International Energy Agency (IEA): Energy Technology Policy Division, Energy Technology Perspectives; IEA: Paris, France, 2020. [Google Scholar]
- Pletcher, D.; Li, X. Prospects for alkaline zero gap water electrolysers for hydrogen production. Int. J. Hydrogen Energy 2011, 36, 15089–15104. [Google Scholar] [CrossRef]
- Khan, M.A.; Zhao, H.; Zou, W.; Chen, Z.; Cao, W.; Fang, J.; Xu, J.; Zhang, L.; Zhang, J. Recent Progresses in Electrocatalysts for Water Electrolysis. Electrochem. Energy Rev. 2018, 1, 483–530. [Google Scholar] [CrossRef]
- Phillips, R.; Dunnill, C.W. Zero gap alkaline electrolysis cell design for renewable energy storage as hydrogen gas. RSC Adv. 2016, 6, 100643–100651. [Google Scholar] [CrossRef]
- Li, X.; Walsh, F.C.; Pletcher, D. Nickel based electrocatalysts for oxygen evolution in high current density, alkaline water electrolysers. Phys. Chem. Chem. Phys. 2011, 13, 1162–1167. [Google Scholar] [CrossRef]
- McCrory, C.C.L.; Jung, S.; Peters, J.C.; Jaramillo, T.F. Benchmarking Heterogeneous Electrocatalysts for the Oxygen Evolution Reaction. J. Am. Chem. Soc. 2013, 135, 16977–16987. [Google Scholar] [CrossRef]
- Fabbri, E.; Habereder, A.; Waltar, K.; Kötz, R.; Schmidt, T.J. Developments and perspectives of oxide-based catalysts for the oxygen evolution reaction. Catal. Sci. Technol. 2014, 4, 3800–3821. [Google Scholar] [CrossRef]
- Grimaud, A.; May, K.J.; Carlton, C.E.; Lee, Y.-L.; Risch, M.; Hong, W.T.; Zhou, J.; Shao-Horn, Y. Double perovskites as a family of highly active catalysts for oxygen evolution in alkaline solution. Nat. Commun. 2013, 4, 2439. [Google Scholar] [CrossRef] [PubMed]
- Varcoe, J.R.; Atanassov, P.; Dekel, D.R.; Herring, A.M.; Hickner, M.A.; Kohl, P.A.; Kucernak, A.R.; Mustain, W.E.; Nijmeijer, K.; Scott, K.; et al. Anion-exchange membranes in electrochemical energy systems. Energy Environ. Sci. 2014, 7, 3135–3191. [Google Scholar] [CrossRef]
- Wang, J. Theory and practice of flow field designs for fuel cell scaling-up: A critical review. Appl. Energy 2015, 157, 640–663. [Google Scholar] [CrossRef]
- Wang, J.; Wang, H. Discrete approach for flow field designs of parallel channel configurations in fuel cells. Int. J. Hydrogen Energy 2012, 37, 10881–10897. [Google Scholar] [CrossRef]
- Walsh, F.C.; Pletcher, C. Electrochemical Engineering and Cell Design. In Developments in Electrochemistry: Science Inspired by Martin Fleischmann; Pletcher, D., Tian, Z., Williams, D.E., Eds.; John Wiley & Sons, Ltd.: Hoboken, NJ, USA, 2014. [Google Scholar]
- Ju, W.; Heinz, M.; Pusterla, L.; Hofer, M.; Fumey, B.; Castiglioni, R.; Pagani, M.; Battaglia, C.; Vogt, U.F. Lab-Scale Alkaline Water Electrolyzer for Bridging Material Fundamentals with Realistic Operation. ACS Sustain. Chem. Eng. 2018, 6, 4829–4837. [Google Scholar] [CrossRef]
- Hnát, J.; Kodým, R.; Denk, K.; Paidar, M.; Žitka, J.; Bouzek, K. Design of a Zero-Gap Laboratory-Scale Polymer Electrolyte Membrane Alkaline Water Electrolysis Stack. Chem. Ing. Tech. 2019, 91, 821–832. [Google Scholar] [CrossRef]
- Rearden, A.; Mandale, S.; Glover, K.; Phillips, R.; Dunnill, C.W. Optimizing the design of an alkaline water splitting device test cell for renewable energy storage as hydrogen. Arch. Chem. and Chem. Eng. 2020, 2, 1–9. [Google Scholar]
- Faqeeh, A.H.; Symes, M.D. A standard electrolyzer test cell design for evaluating catalysts and cell components for anion exchange membrane water electrolysis. Electrochim. Acta 2023, 444, 142030. [Google Scholar] [CrossRef]
- Sulaymon, A.H.; Abbar, A.H. Scale-Up of Electrochemical Reactors. Electrolysis. In Electrolysis; Linkov, V., Kleperis, J., Eds.; InTechOpen: London, UK, 2012. [Google Scholar]
- Loh, A.; Li, X.; Taiwo, O.O.; Tariq, F.; Brandon, N.P.; Wang, P.; Xu, K.; Wang, B. Development of Ni–Fe based ternary metal hydroxides as highly efficient oxygen evolution catalysts in AEM water electrolysis for hydrogen production. Int. J. Hydrogen Energy 2020, 45, 24232–24247. [Google Scholar] [CrossRef]
- Wang, J.; Wang, H. Flow-Field Designs of Bipolar Plates in PEM Fuel Cells: Theory and Applications. Fuel Cells 2012, 12, 989–1003. [Google Scholar] [CrossRef]
- Toghyani, S.; Afshari, E.; Baniasadi, E.; Atyabi, S. Thermal and electrochemical analysis of different flow field patterns in a PEM electrolyzer. Electrochim. Acta 2018, 267, 234–245. [Google Scholar] [CrossRef]
- Gilliam, R.J.; Graydon, J.W.; Kirk, D.W.; Thorpe, S.J. A review of specific conductivities of potassium hydroxide solutions for various concentrations and temperatures. Int. J. Hydrogen Energy 2007, 32, 359–364. [Google Scholar] [CrossRef]
- Sipos, P.M.; Hefter, G.; May, P.M. Viscosities and densities of highly concentrated aqueous MOH solutions (M+ ) Na+, K+, Li+, Cs+, (CH3)4N+) at 25.0 °C. J. Chem. Eng. Data 2000, 45, 613–617. [Google Scholar] [CrossRef]
- Tham, M.J.; Walker, R.D.; Gubbins, K.E. Diffusion of oxygen and hydrogen in aqueous potassium hydroxide solutions. J. Phys. Chem. 1970, 74, 1747–1751. [Google Scholar] [CrossRef]
- Zhang, Q.; Chen, W.; Chen, G.; Huang, J.; Song, C.; Chu, S.; Zhang, R.; Wang, G.; Li, C.; Ostrikov, K.K. Bi-metallic nitroxide nanodot-decorated tri-metallic sulphide nanosheets by on-electrode plas-ma-hydrothermal sprouting for overall water splitting. Appl. Catal. B Environ. 2020, 261, 118254. [Google Scholar] [CrossRef]
- Arges, C.G.; Ramani, V.K.; Pintauro, P.N. The Chalkboard: Anion Exchange Membrane Fuel Cells. Electrochem. Soc. Interface 2010, 19, 31–35. [Google Scholar] [CrossRef]
- Varcoe, J.R.; Slade, R.C.T. Prospects for Alkaline Anion-Exchange Membranes in Low Temperature Fuel Cells. Fuel Cells 2004, 5, 187–200. [Google Scholar] [CrossRef]
- Harrison, K.W.; Remick, R.; Hoskin, A.; Martin, G.D. Hydrogen Production: Fundamentals and Case Study Summaries. In Proceedings of the 18th World Hydrogen Energy Conference, Essen, Germany, 16–20 May 2010. [Google Scholar]
- Wu, X.; Scott, K. A Li-doped Co3O4 oxygen evolution catalyst for non-precious metal alkaline anion exchange membrane water electrolysers. Int. J. Hydrogen Energy 2013, 38, 3123–3129. [Google Scholar] [CrossRef]
- Rakousky, C.; Keeley, G.P.; Wippermann, K.; Carmo, M.; Stolten, D. The stability challenge on the pathway to high-current-density polymer electrolyte membrane water electrolyzers. Electrochim. Acta 2018, 278, 324–331. [Google Scholar] [CrossRef]
- Occidental Chemical Corporation. Caustic Potash Handbook; Occidental Chemical Corporation: Dallas, TX, USA, 2018. [Google Scholar]











Disclaimer/Publisher’s Note: The statements, opinions and data contained in all publications are solely those of the individual author(s) and contributor(s) and not of MDPI and/or the editor(s). MDPI and/or the editor(s) disclaim responsibility for any injury to people or property resulting from any ideas, methods, instructions or products referred to in the content. |
© 2023 by the authors. Licensee MDPI, Basel, Switzerland. This article is an open access article distributed under the terms and conditions of the Creative Commons Attribution (CC BY) license (https://creativecommons.org/licenses/by/4.0/).
Share and Cite
Loh, A.; Li, X.; Sluijter, S.; Shirvanian, P.; Lai, Q.; Liang, Y. Design and Scale-Up of Zero-Gap AEM Water Electrolysers for Hydrogen Production. Hydrogen 2023, 4, 257-271. https://doi.org/10.3390/hydrogen4020018
Loh A, Li X, Sluijter S, Shirvanian P, Lai Q, Liang Y. Design and Scale-Up of Zero-Gap AEM Water Electrolysers for Hydrogen Production. Hydrogen. 2023; 4(2):257-271. https://doi.org/10.3390/hydrogen4020018
Chicago/Turabian StyleLoh, Adeline, Xiaohong Li, Soraya Sluijter, Paige Shirvanian, Qingxue Lai, and Yanyu Liang. 2023. "Design and Scale-Up of Zero-Gap AEM Water Electrolysers for Hydrogen Production" Hydrogen 4, no. 2: 257-271. https://doi.org/10.3390/hydrogen4020018
APA StyleLoh, A., Li, X., Sluijter, S., Shirvanian, P., Lai, Q., & Liang, Y. (2023). Design and Scale-Up of Zero-Gap AEM Water Electrolysers for Hydrogen Production. Hydrogen, 4(2), 257-271. https://doi.org/10.3390/hydrogen4020018

