Abstract
Various organic compounds susceptible to anodic polymerization were selected to study the effects of two solvents: acetic acid and ethyl acetate. Phenol and most of its derivatives, as well as resorcinol and 3,5-dihydroxybenzoic acid, exhibited typical electrode deactivation similar to other solvents; however, a continuous decrease in peak currents was not observed for 4-tert-butylphenols or salicylic aldehyde. Similar behavior was noted for monomers unrelated to phenols. In general, peaks were observed only for certain compounds and not in the initial voltammogram. Significant differences between the two solvents were observed in the subsequent voltammetric curves for some monomers. Microelectrode studies using 4-methoxyphenol as a model compound revealed notable differences between acetic acid and ethyl acetate in terms of curve shapes and the onset potentials of the plateaus. Plateau currents were used to estimate the solvent composition, demonstrating relatively high sensitivity to the acetic acid content.
1. Introduction
In practice, the electropolymerization of organic monomers offers various opportunities for applications in both conducting and insulating polymers. The latter can block electrodes, but such deposits also have valuable uses. For example, in the corrosion protection of metals and alloys, they present promising options if they exhibit high adherence, hydrophobicity, and low porosity, as demonstrated for the copper with deposits of isopropylmethylphenols [1]. The permselectivity of different organic layers can vary widely, providing numerous opportunities for the development of selective analytical methods. For instance, in the analysis of L-cysteine, larger interfering compounds like glutathione and DL-homocysteine are unable to penetrate a polyeugenol film, allowing L-cysteine to reach the template electrode, where it undergoes electro-oxidation [2]. Similarly, hydrogen peroxide can be quantified in the presence of ascorbic acid using a polyeugenol-modified layer owing to size effects and the electrostatic repulsion of ascorbate ions [3].
The structure of monomers (e.g., the nature and number of functional groups as well as their position within the aromatic ring) introduces binding sites into the polymeric film, potentially enhancing selectivity and sensitivity. Neurotransmitters, an important group of biomaterials, have been extensively studied, which have been used to develop numerous analytical methods due to their high redox activity. A polyvanillin-modified carbon paste electrode enabled the simultaneous determination of neurotransmitters and ascorbic acid [4]. The same task was also accomplished using the aforementioned polyeugenol-based sensor [5]. Other significant molecules found in biological fluids present interference challenges; for example, uric acid can be simultaneously determined with epinephrine using a polyvanillin deposit [6]. The substantial differences in oxidation potentials can be advantageous, as demonstrated with a polyrutin-modified electrode, which facilitated the detection of epinephrine, serotonin, and ascorbic acid coexisting in a sample [7]. Truly selective layers, such as molecularly imprinted polymers, can be electrochemically deposited in the presence of a target analyte, forming specific recognition sites that greatly exclude interfering species. This approach has been successfully utilized in polymer imprinting [8].
Many insulating polymers exhibit excellent electrocatalytic effects when used as modifying layers on electrode surfaces. These polymers act as immobilized redox mediators through strong adsorption to the electrode, enabling analytes to be oxidized or reduced with significantly reduced overvoltage, thus allowing for selective determinations. For example, the anodic polymerization of catechol derivatives has led to the creation of powerful detectors for hydrazines [9,10]. The redox mediator properties of such deposits have also opened up other applications, such as bioanodes in glucose fuel cells [11].
Ethyl acetate and acetic acid are low-permittivity solvents, necessitating the use of microelectrodes in electrochemical experiments to reduce the ohmic potential drop. Their favorable solvation properties have led to their common employment in electroanalytical procedures. For example, ethyl acetate has been used in the extraction and determination of vanillin [12] and thiram [13].
While studies exist on the use of these solvents in electropolymerization reactions, most studies have focused on acetic acid, often as one component of a solvent mixture. For instance, a smooth layer of poly(benzotriazole) was formed from an ionic liquid containing acetic acid [14]. Acetic acid can have a doping effect on conducting polymers like polyaniline and has been added to water–methanol mixtures [15]. The oxidative polymerization of 2-methyl-1-naphthylamine from an aqueous solution containing acetic acid produced an adherent product with nitrogen-linked units [16]. Boron trifluoride diethyl etherate, when mixed with acetic acid, acts as a dopant and enhances many electrodeposition processes, as demonstrated with indoles [17], fluorine [18], and carbazole [19]. Poly(vinyl acetate) was electrochemically polymerized as an anticorrosive layer from a water–ethanol–acetic acid mixed solvent [20]. Poly(para-phenylene) formed during the anodic oxidation of benzene in concentrated sulfuric acid–glacial acetic acid mixtures containing less than 40% acetic acid [21]. Soluble polyaniline can also be synthesized in acetic acid, which facilitates its dissolution in other solvents [22].
This work focused on feasibility studies of glacial acetic acid and ethyl acetate as solvents for a variety of monomers that can form insulating polymers, most of which have been used in numerous studies. The two solvents were compared, with particular attention to ethyl acetate, as the literature is very limited on its use in such reactions in pure form, rather than in mixtures.
2. Materials and Methods
The solvents, glacial acetic acid and ethyl acetate, were of HPLC grade, and the purity of the monomers used was at least 99%. Tetrabutylammonium perchlorate (TBAP) was employed as the supporting electrolyte for the voltammetric experiments. The three-electrode cell used in the investigations consisted of a platinum-iridium rod counter electrode, a silver reference electrode, and either a platinum disc working electrode with a 1 mm diameter or a platinum microdisc electrode with a 25 µm diameter. The working electrode discs were sealed in polyetheretherketone or glass and polished using a polishing cloth with an aqueous suspension of alumina powder (average particle diameter of 1 µm).
After polishing, the electrodes were thoroughly washed with tap water followed by distilled water. The microelectrode, due to its small size, was ultrasonicated to remove solid particles originating from the polishing process. The cell was connected to a Dropsens potentiostat (Oviedo, Spain) for the electrochemical measurements.
To visualize some of the deposited organic layers, a Jeol JSM-IT500HR scanning electron microscope (SEM) (Jeol, Tokyo, Japan) was utilized, operating at an acceleration voltage of 5 kV. The layers were thoroughly washed with the same solvent used during electrodeposition to ensure the complete removal of the supporting electrolyte and monomer residues.
3. Results and Discussion
3.1. Assessment of the Blocking Effect of Polymers Deposited from Acetic Acid and Ethyl Acetate
To investigate the effects of the two low-permittivity solvents, various organic monomers were selected, and voltammograms were recorded between 0 and 2.5 V at a scan rate of 0.1 V/s. Between scans, movement was introduced to restore the concentration profile at the electrode surface, ensuring that only the effects of the growing polymer coating were observed. The choice of the 2.5 V switching potential was justified by the significant ohmic potential drop, primarily due to the low solution conductivity. In contrast, for higher-permittivity organic solvents, the oxidation potentials of monomers are generally below 2 V.
Tetrabutylammonium perchlorate (TBAP) was chosen as the supporting electrolyte due to its chemical inertness in electrochemical reactions. Although tetrabutylammonium tetrafluoroborate (TBATFB) is commonly used in similar studies, its application has notable drawbacks. For example, Koch et al. demonstrated that organic compounds can be transformed into fluorinated products in the presence of TBATFB [23]. Additionally, boron’s affinity for forming coordinated bonds allows it to interact with nonbonding electron pairs. In acetonitrile, CH3CNBF3 complexes were detected, formed by the release of a fluoride ion from the BF4– ion, as shown using spectroscopic methods integrated with electrochemical techniques [24]. Given that most solvents used in electrochemical studies contain atoms with nonbonding electron pairs, the formation of similar complexes could be reasonably anticipated.
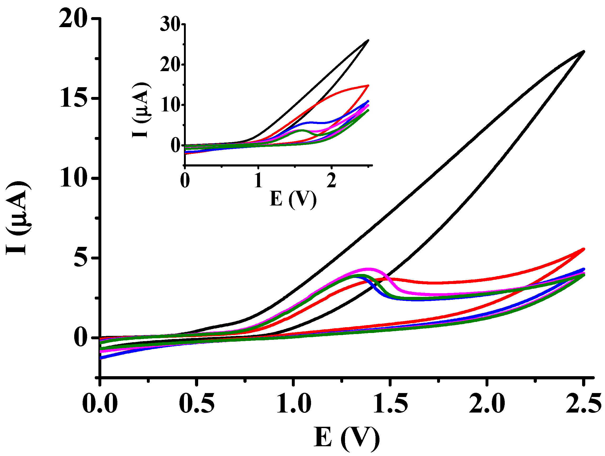
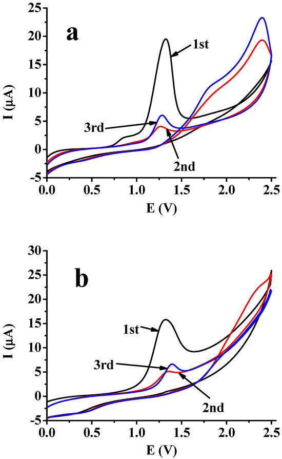
To illustrate the effects of acetic acid and ethyl acetate, Figure 1 shows the general characteristics of electropolymerization reactions using 2′,6′-dihydroxyacetophenone as the monomer at a concentration of 20 mM. In the first voltammogram, the forward scan displays only a rising current, primarily due to the high contribution of the background current. To confirm that this was not caused by resistance effects—where the current would increase monotonically with potential—peaks were observed around 1.3 V, indicating the formation of a deposit. The appearance of these peaks signifies the growth of a polymer layer, which also inhibits the reaction of solvent molecules. Based on these observations, maximum currents were recorded in the subsequent experiments at potentials where peaks were not present.
Figure 1.
Subsequent voltammetric curves for 2′,6′-dihydroxyacetophenone in acetic acid (main graph) and ethyl acetate (inset graph) (scan rate 0.1 V/s, supporting electrolyte 50 mM TBAP, black curve: 1st, red curve: 2nd, blue curve: 3rd, green curve: 4th, magenta curve: 5th voltammogram).
Scanning electron micrographs of electropolymerized 2′,6′-dihydroxyacetophenone, shown in Figure 2, were obtained after five successive cyclic voltammograms conducted between 0 and 2.5 V under the same conditions as described in Figure 1. In both solvents, small islands formed alongside some coating layers.
Figure 2.
Scanning electron micrographs of electropolymerized 2′,6′-dihydroxyacetophenone in acetic acid (AcOH) and ethyl acetate (EtOAc).
Figure 3 shows the changes in maximum or peak currents during repeated scans. As expected, declines in the currents were observed for all monomers in acetic acid, except for 4-tert-butylphenol, where currents remained highly reproducible. Typically, the electro-oxidation of phenols—among the most extensively studied monomers—produces polymeric products that tend to foul the electrode in aqueous environments. However, fewer phenol derivatives block electrodes in organic solvents, particularly para-substituted phenols [25]. The blue horizontal line in Figure 3 confirms this for 4-tert-butylphenol, with nearly uniform currents of approximately 22.5 µA. These findings suggest that tert-butyl groups significantly enhance the solvation properties of growing oligomers.
Figure 3.
Dependence of the peak currents on the cycle number for various selected monomers in acetic acid (a) and in ethyl acetate (b) (
: 3,5-dihydroxybenzoic acid;
: 3-hydroxybenzaldehyde;
: 4-tertbutylphenol;
: 2-hydroxybenzaldehyde;
: resorcinol;
: phenol;
: 1-naphthol;
: 2-naphthol;
: 4-hydroxybenzaldehyde;
: p-aminobenzoic acid;
: salicylic acid;
: 2-phenylphenol;
: 2′,6′-dihydroxyacetophenone;
: N,N′-diphenylguanidine;
: 1,4-dimethoxybenzene;
: 2,2′-dihydroxy-4,4′-dimethoxybenzophenone).
: 3,5-dihydroxybenzoic acid;
: 3-hydroxybenzaldehyde;
: 4-tertbutylphenol;
: 2-hydroxybenzaldehyde;
: resorcinol;
: phenol;
: 1-naphthol;
: 2-naphthol;
: 4-hydroxybenzaldehyde;
: p-aminobenzoic acid;
: salicylic acid;
: 2-phenylphenol;
: 2′,6′-dihydroxyacetophenone;
: N,N′-diphenylguanidine;
: 1,4-dimethoxybenzene;
: 2,2′-dihydroxy-4,4′-dimethoxybenzophenone).
The results for the other phenols highlight the substituent and position effects. For example, 3-hydroxybenzaldehyde and 4-hydroxybenzaldehyde produced some polymeric products, while 2-hydroxybenzaldehyde exhibited highly reproducible currents. In the case of salicylic acid, a slight deactivation was observed, attributed to its carboxyl groups. This contrasts with 2-hydroxybenzaldehyde, whose behavior was markedly different. For 2-phenylphenol, electrode blocking occurred due to the high density of aromatic groups, where multiple π–π interactions hindered polymer dissolution. This resulted in the peak currents decreasing from approximately 27 µA to 11 µA.
Bare phenol showed no surprising behavior, displaying the usual decline with some nonmonotonic features. Similarly, 2,2′-dihydroxy-4,4′-dimethoxybenzophenone exhibited minor changes in currents. Although this compound contains two monohydroxy groups with free para positions capable of coupling with other radicals, the results suggest a lower density of aromatic rings compared to poly(phenylene oxide), the electropolymer of phenol. Additionally, the presence of methoxy groups aids in dissolving the developed macromolecules, as later observed with 4-methoxyphenol.
Among the aromatic dihydroxy compounds, resorcinol and its derivatives—such as 3,5-dihydroxybenzoic acid and 2′,6′-dihydroxyacetophenone—consistently deactivated the electrode, as expected. This group, characterized by hydroxyl groups in the 1,3 positions, is particularly prone to fouling. Resorcinol exhibited rapid electrode deactivation, with the peak height of the first scan being significantly lower than that of the other monomers, suggesting fast film coverage upon monomer oxidation. The maximum peak current for 3,5-dihydroxybenzoic acid (~22 µA) was notably higher, highlighting the role of its carboxyl group in enhancing product solubility. Similarly, the acetophenone derivative demonstrated the presence of a coating, with peak currents visibly declining from approximately 18 µA to 3 µA, indicating significant diffusion hindrance for unreacted monomer molecules.
Monomers with amino groups in the aromatic ring, such as N,N′-diphenylguanidine and p-aminobenzoic acid, are also capable of forming electropolymers, often with improved electrical conductivity, as is well established for polyanilines. The polymer of N,N′-diphenylguanidine did not exhibit any unexpected properties, as it demonstrated a blocking nature in organic solvents, consistent with earlier findings [26]. The slight deactivation observed for p-aminobenzoic acid can be attributed to the carboxyl group in the para position, which hinders the propagation of the quinoidal structure along the polymer backbone. Additionally, the guanidine groups in N,N′-diphenylguanidine isolate the aromatic rings, further influencing the polymer’s behavior.
Naphthols represent another group of electropolymerizable compounds whose units, like those of phenols, are linked through ether bonds and aromatic rings [27]. These compounds have gained significant popularity in this field. While naphthols are typically precursors to insulating polymers, the condensed aromatic structures can also lead to polymers with good electrical conductivity under specific conditions [28]. In this study, these condensed aromatics showed the expected behaviors; however, the current signals for 2-naphthol exhibited a steeper decline. This steeper decrease suggests that the polymer formed by 2-naphthol has poorer electrical conductivity compared to that produced by 1-naphthol.
One of the dimethoxybenzene isomers, with substituents in the 1,4 positions, was also included in this study. The horizontal purple line, located near the line for 4-tert-butylphenol, indicates minimal deactivation, as evidenced by the excellent reproducibility of maximum currents. These currents increased steadily with potential scanning. In acetic acid, a protic solvent, polymerization is quenched due to nucleophilic attacks by solvent molecules.
When comparing the results in ethyl acetate with those in acetic acid, most monomers exhibited similar polymerization behavior. Notable differences included a steeper current decline for 2′,6′-dihydroxyacetophenone and signs of deactivation for 1,4-dimethoxybenzene. Since ethyl acetate is an aprotic solvent and lacks nucleophilic groups, any deposit formation could be attributed to nucleophilic contaminants present in the solvent. While these contaminants enable some polymer formation, the resulting polymers generally have poor electronic conductivity. In acetic acid, the growth of higher-molecular-weight oligomers was often halted by the formation of radical cations, resulting in a soluble product. This phenomenon explains the uniformity of the currents in acetic acid.
At first glance, Figure 1 might appear contradictory regarding 2′,6′-dihydroxyacetophenone. While the differences between the first and second curves and between the third and second curves seem larger in ethyl acetate than in acetic acid, the maximum current in ethyl acetate is significantly higher. This leads to the observation that the decrease is steeper in ethyl acetate.
3.2. Complementary Studies with Resorcinol
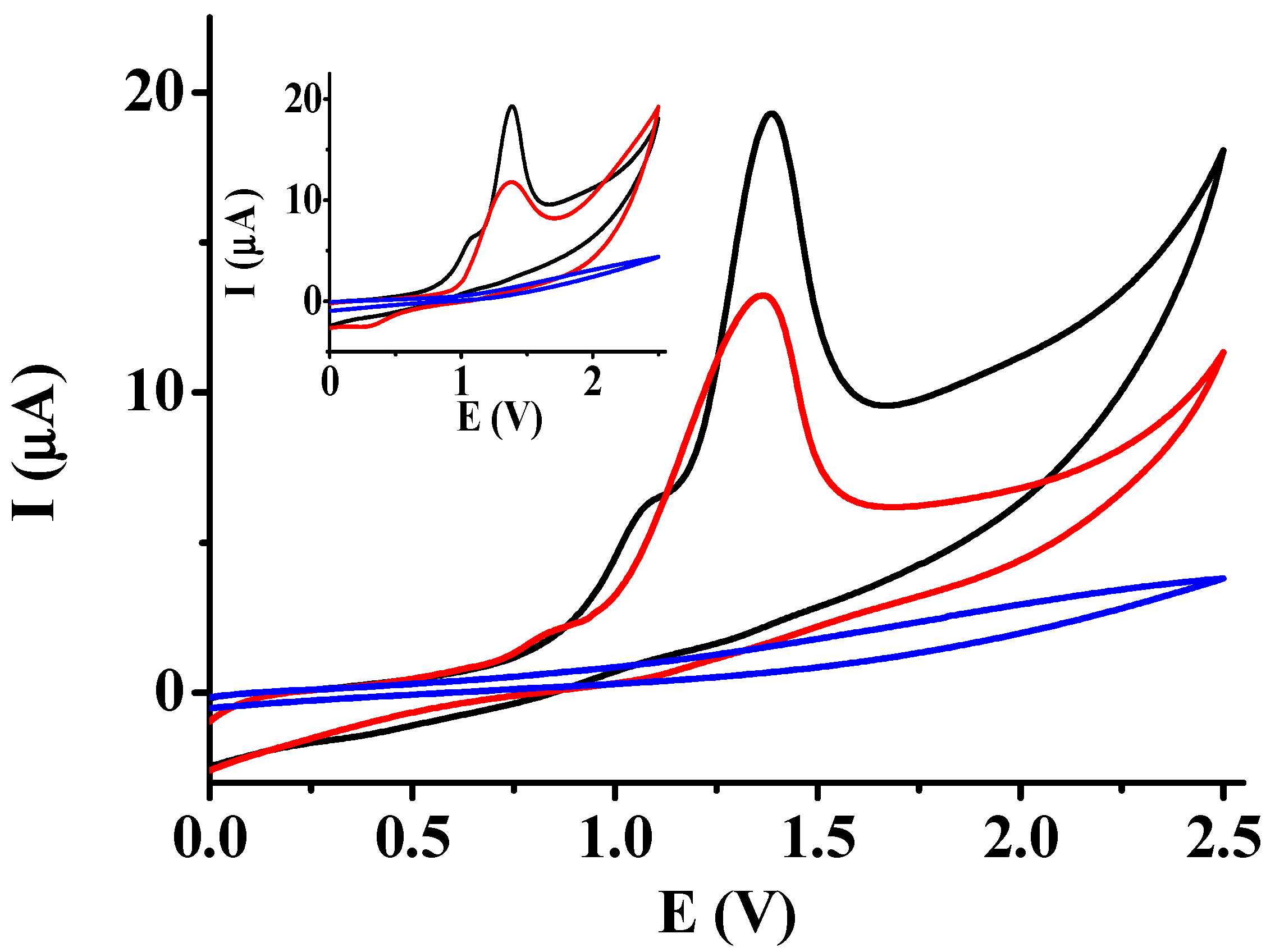
Resorcinol, being one of the most susceptible monomers to electro-oxidation and capable of forming an adherent layer, was selected for further experiments to gain deeper insights into the effects of acetic acid and ethyl acetate. Mixtures with acetonitrile as a co-solvent were prepared, maintaining a uniform resorcinol concentration of 5 mM in each solution. Figure 4 presents three cyclic voltammetric curves recorded in pure acetonitrile, its mixtures with acetic acid or ethyl acetate at 80 v/v%, and pure acetic acid or ethyl acetate. The effects of the solvents are displayed separately.
Figure 4.
Cyclic voltammograms of 5 mM resorcinol taken in acetonitrile (black curve), in its mixtures with the corresponding 80 v/v% low-permittivity solvent (red curve) and in the pure low-permittivity solvent (blue curve) (the inset graph is related to ethyl acetate, v = 0.1 V/s, supporting electrolyte: 20 mM TBAP).
Comparing the areas of the voltammetric peaks reveals significant differences. In the solvent mixture with acetonitrile, the smaller peak with a lower area is reasonable, considering that the viscosity of glacial acetic acid is much higher than that of acetonitrile. The amount of polymer formed in the studied low-permittivity solvents is drastically reduced, as previously discussed regarding the monomers’ behavior. This explains why, in most cases, no peaks appeared in the first voltammogram.
In pure solvents, the contributions of the solvents dominated the currents. The background current of the solvent increased continuously with the potential, generally in a linear manner. However, if an electroactive material was dissolved, the currents exhibited nonlinear changes.
The related scanning electron micrographs, shown in Figure 5, depict the deposits formed from resorcinol. In high-permittivity acetonitrile, a coherent coating developed, providing valuable insights into the effects of the two investigated solvents. When acetonitrile was mixed with the solvents, thinner films were produced, and the polymeric products predominantly aggregated into particles. The size and quantity of these particles were greater in the pure low-permittivity solvents, as fewer products were formed, preventing the development of a thick coating. Additionally, the enhanced rupture of the polymer from the platinum surface facilitated stronger binding between polymer segments.

Figure 5.
Scanning electron micrographs of electropolymerized resorcinol from acetonitrile (ACN), acetic acid (AcOH), ethyl acetate (EtOAc), 80 v/v% AcOH + 20 v/v% can, as well as 80 v/v% EtOAc + 20 v/v% ACN solvent mixtures.
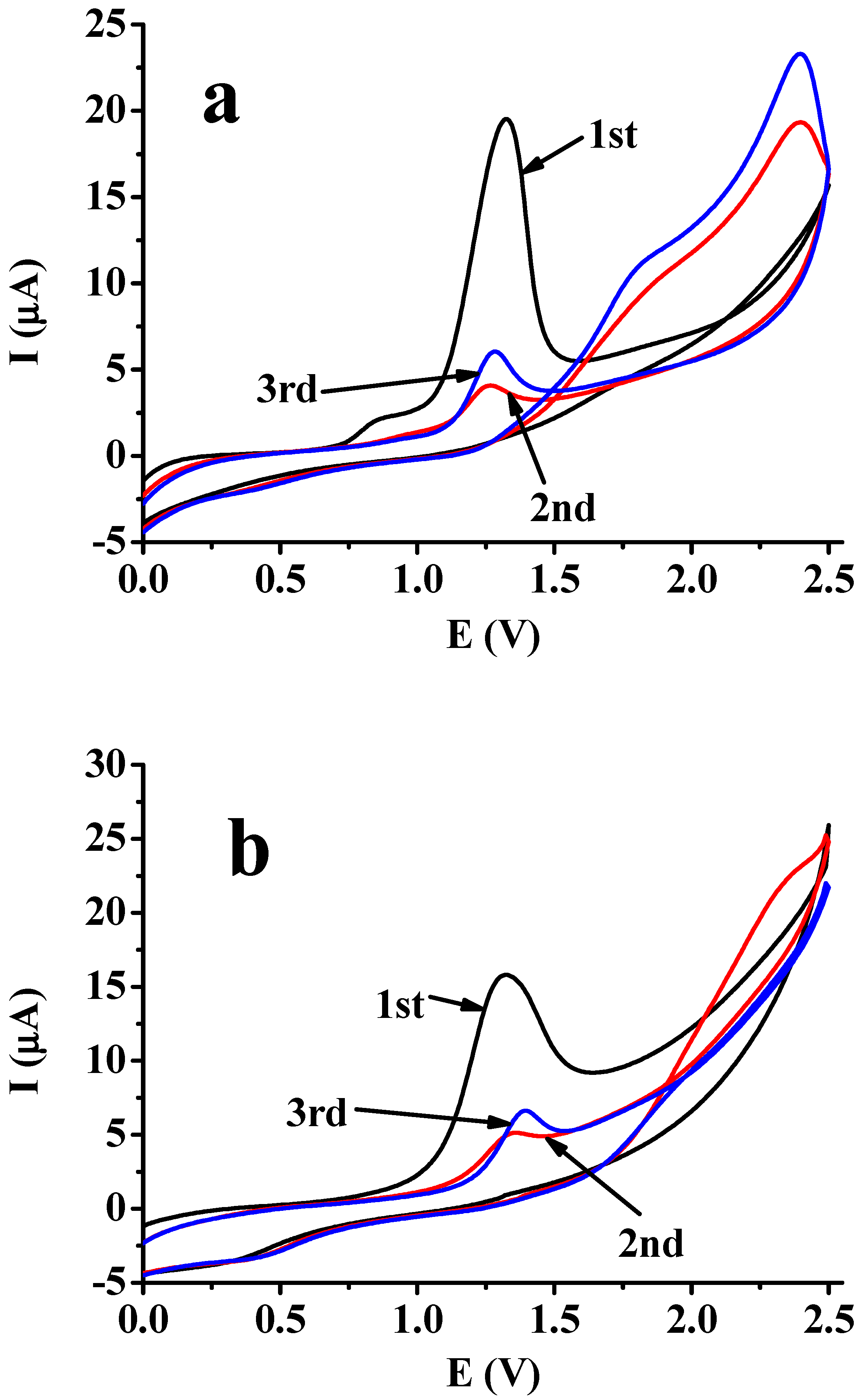
A notable difference was observed during the deposition studies between acetic acid and ethyl acetate when mixed with acetonitrile at 40 v/v%, as shown in Figure 6. After the oxidation peak of resorcinol appeared around 1.3 V, additional peaks were observed at higher potentials during the backward scan, indicating a significant rupture of the polymer layer. This behavior was not observed in the same v/v% mixture of ethyl acetate and acetonitrile, suggesting that the phenomenon is specific to acetic acid.
Figure 6.
Three subsequent cyclic voltammograms for 5 mM resorcinol in acetic acid–acetonitrile (a) and ethyl acetate–acetonitrile (b) mixtures where the low-permittivity solvents were present in 40 v/v% (scan rate 0.1 V/s, supporting electrolyte: 20 mM TBAP).
This significant difference implies an exchange between the deposited layer and acetic acid molecules. While the solvent transports monomers to the electrode, the monomers react within the potential region of approximately 2–2.5 V, where the secondary peaks appeared. During the backward scan, the ruptured deposit is renewed, as evidenced by the considerable drop in the peak heights of subsequent curves. These observations align with previous findings for various monomers in ethyl acetate.
Under the same conditions, ten voltammograms were performed in both solvents, using a solution of 5 mM butylhydroxytoluene in acetonitrile to monitor changes in layer permeability over time. Peak current readings were taken every two minutes from the start of the immersion of the blocking layer into the measurement solution, as shown in Figure 7. The horizontal magenta line represents the peak current measured with a bare electrode in the butylhydroxytoluene solution.
Figure 7.
Dependence of peak currents of 5 mM butylhydroxytoluene in acetonitrile on time with platinum electrode coated with polyresorcinol with ten voltammograms from acetic acid and ethyl acetate (scan rate 0.1 V/s, supporting electrolyte 20 mM TBAP, pink line indicates the current measured with bare electrode).
The current values confirm the presence of a deposit on the platinum electrode formed from both solvents, alongside the visibly present particles. As a verification, the initial current values were low but increased significantly over time, eventually approaching the value recorded with the bare electrode.
3.3. Studies of 4-Methoxyphenol with Microelectrode
Regarding film formation, 4-methoxyphenol is typically classified as a nonblocking compound, as it does not usually exhibit signs of electrode deactivation under most conditions. However, at high concentrations, this phenol derivative can foul the electrode, for instance, in acetonitrile at concentrations exceeding 20 mM when using microelectrodes [25]. To investigate the behavior of this compound, microelectrode voltammetric studies were performed in acetic acid and ethyl acetate at concentrations of 5, 10, 15, 20, and 25 mM, with a uniform TBAP concentration of 50 mM (Figure 8).
Figure 8.
Steady-state voltammetric curves taken with 25 mm platinum microdisc electrode in acetic acid (a) and ethyl acetate (b) (4-methoxyphenol concentrations: 5 mM (black), 10 mM (red), 15 mM (blue), 20 mM (pink), 25 mM (green); scan rate 0.1 V/s, supporting electrolyte 50 mM TBAP).
Notably, the behavior differed between the two solvents. In ethyl acetate, the expected sigmoidal curves were observed, while in acetic acid, peaks were superimposed on the sigmoidal curve. This suggests a temporal change in the diffusion characteristics of the solution near the electrode caused by the formation of polymers. This hypothesis is supported by the reproducibility of the curves. When the concentration of 4-methoxyphenol was increased to 50 and 100 mM, the curve shapes remained consistent, as shown in Figure 8, with similarly good reproducibility.
Another significant difference between the two solvents was the oxidation potential, clearly visible at the onset of the plateaus. At the highest concentration of 25 mM, the oxidation potential in acetic acid was around 1.3 V, whereas in ethyl acetate, it was approximately 2.5 V in the three-electrode cell. This reflects substantial differences in solution conductivity. The rising portions of the curves began at nearly the same value (~1 V). The absence of oxidation peaks in ethyl acetate may be attributed to the extended time available for the development of stationary diffusion conditions, as well as the superior solvation properties of the solvent.
Comparison with previous studies in other organic solvents reveals that the outlined solvents—acetic acid and ethyl acetate—exhibit excellent solvation properties for the oligomers formed during the electro-oxidation of 4-methoxyphenol across a wide concentration range. This is attributed to the apolar nature of both the solute and the solvents. This characteristic significantly influenced the results, which were primarily governed by mass-transport-limited processes. Furthermore, the magnitudes of the observed currents were consistent with the viscosities of the solvents.
In the preceding paragraphs, the differences in the voltammograms of 4-methoxyphenol electro-oxidation were highlighted. To further explore these observations, the effect of solvent composition on the voltammograms was investigated. Using a uniform 4-methoxyphenol concentration of 25 mM and a supporting electrolyte concentration of 50 mM, the volume ratios of the two low-permittivity solvents (acetic acid and ethyl acetate) were varied.
The key variables considered included the onset potential of the plateaus and the plateau currents. However, during the measurements, these values exhibited monotonic changes only at low acetic acid contents. Consequently, the plateau currents were selected as the calibration parameter. These values, plotted in Figure 9, show that the plateau currents changed approximately linearly with the viscosity of the solvent mixture.
Figure 9.
Plot of beginning of plateaus versus solvent composition of acetic acid–ethyl acetate binary solvent mixtures (scan rate 0.1 V/s, 4-methoxyphenol concentration 25 mM with 50 mM TBAP).
4. Conclusions
The studies revealed notable differences in the electropolymerization reactions occurring in acetic acid and ethyl acetate. While ethyl acetate had been minimally explored in previous research, this work thoroughly tested its utility. Dependences on solvent composition were also observed, but the key finding was acetic acid’s significantly higher propensity to initiate the rupture of deposits. This characteristic can be leveraged in electrochemical polymer synthesis reactions.
Author Contributions
Conceptualization, L.K.; methodology, L.K.; investigation, L.K. and P.S.; resources, L.K.; visualization, P.S.; data curation, L.K.; writing—original draft preparation, L.K.; writing—review and editing, L.K.; supervision, L.K. All authors have read and agreed to the published version of the manuscript.
Funding
This research was funded by the Hungarian National Research Development and Innovation Of-fice (NKFI), grant number NKFI-137793, Chinese-Hungarian Intergovernmental S&T Cooperation Programme (Project no.: CH-10-6/2024 and 2024-1.2.5-TÉT-2024-00006), and by the New National Excellence Program of the Ministry for In-novation and Technology Project no. TKP2021-EGA-17. The financial support of the Uni Pécs under the project 015_2024_PTE_RK/31 is highly appreciated.
Data Availability Statement
The data presented in this study are available on request from the corresponding author.
Conflicts of Interest
The authors declare no conflicts of interest.
References
- Bertuola, M.; Pissinisa, D.E.; Ruberta, A.A.; Prietoa, E.D.; de Mele, M.A.F.L. Impact of molecular structure of two natural phenolic isomers on the protective characteristics of electropolymerized nanolayers formed on copper. Electrochim. Acta 2016, 215, 289–297. [Google Scholar] [CrossRef]
- Okumura, L.L.; Stradiotto, N.R.; Rees, N.V.; Compton, R.G. Modifying glassy carbon (GC) electrodes to confer selectivity for the voltammetric detection of L-cysteine in the presence of DL-homocysteine and glutathione. Electroanalysis 2008, 20, 916–918. [Google Scholar] [CrossRef]
- Toniolo, R.; Dossi, N.; Pizzariello, A.; Susmel, S.; Bontempelli, G. Simultaneous detection of ascorbic acid and hydrogen peroxide by flow-injection analysis with a thin layer dual-electrode detector. Electroanalysis 2011, 23, 628–636. [Google Scholar] [CrossRef]
- Madhuri, C.; Reddy, Y.V.M.; Saritha, D.; Venu, M.; Kiranmai, S.; Rao, V.P.; Madhavi, G. Electrochemical behavior of poly(rutin) modified carbon paste electrode for the determination of uric acid in the presence of ascorbic acid and dopamine. Chem. Sci. Rev. Lett. 2016, 5, 136–143. [Google Scholar]
- Ciszewski, A.; Milczarek, G. Polyeugenol-modified platinum electrode for selective detection of dopamine in the presence of ascorbic acid. Anal. Chem. 1999, 71, 1055–1061. [Google Scholar] [CrossRef]
- Madhuchandra, H.D.; Swamy, B.E.K. Poly(vanillin) modified carbon paste electrode for the determination of adrenaline: A voltammetric study. Mater. Sci. Energy Technol. 2019, 2, 697–702. [Google Scholar] [CrossRef]
- Jin, G.P.; Chen, Q.Z.; Ding, Y.F.; He, J.B. Electrochemistry behavior of adrenalin, serotonin, and ascorbic acid at novel poly rutin modified paraffin-impregrated graphite electrode. Electrochim. Acta 2007, 52, 2535–2541. [Google Scholar] [CrossRef]
- Rebelo, T.S.C.R.; Pereira, C.M.; Sales, M.G.F.; Noronha, J.P.; Silva, F. Protein imprinted material electrochemical sensor for determination of Annexin A3 in biological samples. Electrochim. Acta 2016, 190, 887–893. [Google Scholar] [CrossRef]
- Wang, J.; Chen, Q.; Cepria, G. Electrocatalytic modified electrode for remote monitoring of hydrazines. Talanta 1996, 43, 1387–1389. [Google Scholar] [CrossRef] [PubMed]
- Pamidi, P.V.A.; Wang, J. Electrocatalysis and measurements of hydrazine compounds at glassy carbon electrodes coated with electropolymerized 3,4-dihydroxybenzaldehyde films. Electroanalysis 1996, 8, 244–247. [Google Scholar] [CrossRef]
- Yu, C.; Yen, M.; Chen, L. A bioanode based on MWCNT/protein-assisted co-immobilization of glucose oxidase and 2,5-dihydroxybenzaldehyde for glucose fuel cells. Biosens. Bioelectron. 2010, 25, 2515–2521. [Google Scholar] [CrossRef] [PubMed]
- Agűi, L.; López-Guzmán, J.E.; González-Cortés, A.; Yánez-Sedeno, P.; Pingarrón, J.M. Analytical performance of cylindrical carbon fiber microelectrodes in low-permittivity organic solvents: Determination of vanillin in ethyl acetate. Anal. Chim. Acta 1999, 385, 241–248. [Google Scholar] [CrossRef]
- Hernández-Olmos, M.A.; Agűí, L.; Yánez-Sedeno, P.; Pingarrón, J.M. Analytical voltammetry in low-permittivity organic solvents using disk and cylindrical microelectrodes. Determination of thiram in ethyl acetate. Electrochim. Acta 2000, 46, 289–296. [Google Scholar] [CrossRef]
- Zhou, Z.; He, D.L.; Yang, R.H.; Guo, Y.N.; Zhong, J.F.; Li, G.X. Electropolymerization of benzotriazole in room temperature ionic liquid [bmim]PF6. J. Appl. Electrochem. 2008, 38, 1757–1761. [Google Scholar] [CrossRef]
- Deng, H.; van Berkel, G.J. Electrochemical polymerization of aniline investigated using on-line electrochemistry/electrospray mass spectrometry. Anal. Chem. 1999, 71, 4284–4293. [Google Scholar] [CrossRef]
- Ciric-Marjanovic, G.; Cvjeticanin, N.; Mentus, S. Electrochemical synthesis and structure of poly(2-methyl-1-naphthylamine) films. Spectrosc. Lett. 2003, 36, 151–165. [Google Scholar] [CrossRef]
- Liu, C.C.; Liu, P.; Ding, W.; Zhu, S.; Li, X.; Xu, J. Electropolymerization of indole and its 5-position-substituted derivatives in the mixed electrolytes of acetic acid and boron trifluoride diethyl etherate. Int. J. Electrochem. Sci. 2019, 14, 5132–5142. [Google Scholar] [CrossRef]
- Wang, J.O.; Miao, H.M.; Lu, B.Y.; Xu, J.K.; Li, Y.Z.; Zhang, H.L. Electrochemical polymerization of fluorene in mixed proton electrolyte of acetic acid containing boron trifluoride diethyl etherate. Acta Polym. Sin. 2011, 3, 327–334. [Google Scholar] [CrossRef]
- Miao, H.M.; Zhang, H.L.; Xu, J.K.; Fan, C.L.; Dong, B.; Zeng, L.Q.; Zhao, F. Electrochemical polymerization of carbazole in acetic acid containing boron trifluoride diethyl etherate. Chin. J. Chem. 2008, 26, 1922–1928. [Google Scholar] [CrossRef]
- Samide, A.; Bratulescu, G.; Merisanu, C.; Cioatera, N. Anticorrosive coating based on poly(vinyl acetate) formed by electropolymerization on the copper surface. J. Appl. Polym. Sci. 2019, 136, 47320. [Google Scholar] [CrossRef]
- Kowalski, J.; Ploszynska, J.; Sobkowiak, A. Electrochemical synthesis of poly(para-phenylene) on platinum electrode in glacial acetic acid-sulfuric acid solvent. Synth. Met. 2002, 130, 149–153. [Google Scholar] [CrossRef]
- Guo, L.; Shi, G.Q.; Liang, Y.Q. Electrosynthesis of soluble polyaniline in acetic acid. Polym. Bull. 1998, 41, 681–686. [Google Scholar] [CrossRef]
- Koch, V.; Miller, L.; Clark, D.B.; Fleischmann, M.; Joslin, T.; Pletcher, D. Anodic fluorination from fluoroborate electrolytes. Electroanal. Chem. Inter. Electrochem. 1973, 43, 318–320. [Google Scholar] [CrossRef]
- Martínez, Y.; Hernández, R.; Kalaji, M.; Márquez, O.P.; Márquez, J. SNIFTIRS studies of the electrochemical oxidation of 1,3-dimethoxybenzene on platinum in acetonitrile/tetrabutylammonium electrolytes. J. Electroanal. Chem. 2004, 563, 145–152. [Google Scholar] [CrossRef]
- Kiss, L.; Kunsági-Máté, S. Scan rate and concentration dependence of the voltammograms of substituted phenols on electrodes with different size, diffusion coefficients of phenols in different solvents. Can. J. Chem. 2023, 101, 297–305. [Google Scholar] [CrossRef]
- Kiss, L.; Kovács, F.; Kunsági-Máté, S. Electropolymerization of N,N′-diphenylguanidine in non-aqueous aprotic solvents and alcohols. Period. Polytech. Chem. Eng. 2021, 65, 139–147. [Google Scholar] [CrossRef]
- Abdelaal, M.Y. Electrochemical polymerization of naphthols in aqueous medium. Int. J. Polym. Mater. 2005, 54, 151–159. [Google Scholar] [CrossRef]
- Abd El-Rahman, H.A. Stability and behavior of poly-1-naphthol films towards charge transfer reactions. Thin Solid Films 1997, 310, 208–216. [Google Scholar] [CrossRef]
Disclaimer/Publisher’s Note: The statements, opinions and data contained in all publications are solely those of the individual author(s) and contributor(s) and not of MDPI and/or the editor(s). MDPI and/or the editor(s) disclaim responsibility for any injury to people or property resulting from any ideas, methods, instructions or products referred to in the content. |
© 2024 by the authors. Licensee MDPI, Basel, Switzerland. This article is an open access article distributed under the terms and conditions of the Creative Commons Attribution (CC BY) license (https://creativecommons.org/licenses/by/4.0/).









