Abstract
The present study pays attention to biogas dry reforming for the purpose of producing H2. It is known that biogas contains approximately 40 vol% CO2, causing a decrease in the efficiency of power generation due to its lower heating value compared to natural gas, i.e., CH4. We suggest a hybrid system composed of a biogas dry reforming membrane reactor and a high-temperature fuel cell, i.e., a solid oxide fuel cell (SOFC). Since biogas dry reforming is an endothermic reaction, we adopt a membrane reactor, controlled by providing a non-equilibrium state via H2 separation from the reaction site. The purpose of the present study is to understand the effect of the thickness of the Pd/Cu membrane on the performance of the biogas dry reforming membrane reactor with a Pd/Cu membrane as well as a Ni/Cr catalyst. The impact of the reaction temperature, the molar ratio of CH4:CO2 and the differential pressure between the reaction chamber and the sweep chamber on the performance of the biogas dry reforming membrane reactor with the Pd/Cu membrane as well as the Ni/Cr catalyst was investigated by changing the thickness of the Pd/Cu membrane. It was revealed that we can obtain the highest concentration of H2, of 122,711 ppmV, for CH4:CO2 = 1:1 at a reaction temperature of 600 °C and a differential pressure of 0 MPa and using a Pd/Cu membrane with a thickness of 40 μm. Under these conditions, it can be concluded that the differential pressure of 0 MPa provides benefits for practical applications, especially since no power for H2 separation is necessary. Therefore, the thermal efficiency is improved, and additional equipment, e.g., a pump, is not necessary for practical applications.
1. Introduction
H2 is thought to be a promising fuel for addressing the global warming issue. Several countries, including Japan, are developing technologies not only to produce H2 but also to create systems using H2 as a fuel. The present study focuses on biogas dry reforming to produce H2. Biogas consists of CH4 (55–75 vol%) and CO2 (25–45 vol%) [1]. It is mainly produced via fermentation by means of the action of anaerobic microorganisms on raw materials such as garbage, livestock excretion and sewage sludge. In 2020, 1.46 EJ of biogas was produced in the world, indicated as about five times greater than the amount produced in 2000 [2]. Therefore, we believe that biogas can be expected to be an attractive source material for producing H2.
Biogas is known to generally be used as fuel for gas engines, as well as microgas turbines [3]. Biogas includes about 40 vol% CO2, meaning that the efficiency of power generation decreases due to its lower heating value compared to that of natural gas, i.e., CH4. We have suggested a hybrid system composed of a biogas dry reforming membrane reactor and a high-temperature fuel cell, i.e., a solid oxide fuel cell (SOFC) [4,5,6]. SOFCs can utilize not only H2 but also CO, which is a by-product, as fuel via biogas dry reforming. Consequently, this system can be used in a wider operation area.
Biogas dry reforming has been investigated by several researchers [7,8,9,10,11,12]. The catalyst used for biogas dry reforming is important. Ni-based catalyst types are known as the most well-known catalyst types used for biogas dry reforming. A Ni/Ru bimetallic catalyst developed by Miao et al. [7] achieved 100% conversion of CO4 and CH2 over 750 °C and a H2/CO ratio of 1.0 within a temperature from 773 K to 800 °C. Ni/Mg-Al2O3, which was produced by Shaffner et al. [8], demonstrated 80% conversion of CO4 and CH2 at 500 °C and a H2/CO ratio of approximately 1.0 within a temperature from 350 °C to 800 °C. The Ni-SiO2@SiO2 core–shell produced by Kaviani et al. [9] showed an increase in CO4 and CH2 conversions from 20% to 70% and 30% to 90%, respectively, as the temperature increased from 500 °C to 700 °C. The H2/CO ratio increased from 0.6 to 0.8 as the temperature increased from 450 °C to 700 °C. Ni/MgO/Al2O3 with a modifier (Gd, Sc, La), which was produced by Ha et al. [10], realized CH4 conversion of 50% and CO2 conversion of 95%. In addition, the H2/CO ratio exhibited a range of 0.8 to 1.0. Ni/Co/Al2O3 produced by Hajizadeh et al. [11] demonstrated an increase in CH4 conversion from 5% to 100% as the temperature rose from 400 °C to 550 °C. If the pressure is higher, the rising rate of CH4 conversion increases with the reaction temperature. The Ni/Mg/La/Al catalyst, which was developed by Calgaro et al. [12], achieved CH4 and CO2 conversions of 70% and 80%, respectively, at 750 °C. In addition, the H2/CO ratio was 0.85 at 750 °C.
According to previous studies [7,8,9,10,11,12], Ni-based catalysts have been well investigated for biogas dry reforming. In addition, they have reported that some Ni alloy catalysts are promising because they prevent carbon deposition, which decreases the performance of pure Ni catalysts. Though many types of Ni alloy catalysts have been developed and tested, Ni/Cr catalysts have not been examined well, except for in our previous study [5]. Though Cr is one metal which is used in other reaction processes, there are few studies on biogas dry reforming with Cr as a catalyst, making the use of Ni/Cr as a catalyst for biogas dry reforming an innovative aspect. Consequently, we adopt a Ni/Cr catalyst for biogas dry reforming in order to understand the characteristics of Ni/Cr catalysts.
Additionally, biogas dry reforming is an endothermic reaction, making it a meaningful issue to conduct the process at lower temperatures in order to improve the thermal energy efficiency of the biogas dry reforming process. For this purpose, using a membrane reactor is one promising approach because H2 production is enhanced due to the non-equilibrium state provided by H2 separation from the reaction site [5]. Our previous study [5] reported the experimental investigation of a biogas dry reforming membrane reactor using a Pd/Cu membrane as well as a Ni/Cr catalyst. Compared to a pure Ni catalyst, the concentration of H2 produced using the Ni/Cr catalyst was higher. Though the effects of the reaction temperature, the molar ratio of CH4:CO2 and the differential pressure between the reaction chamber and the sweep chamber on the performance of the biogas dry reforming membrane reactor with a Pd/Cu membrane as well as a Ni/Cr catalyst were investigated [5], the effect of the thickness of the Pd/Cu membrane has not been examined yet. In the previous study [5], the thickness of the Pd/Cu membrane was 20 μm. A thinner H2 separation membrane can be expected to offer a stronger H2 separation performance due to its lower H2 permeation resistance. However, we have to consider the strength of the H2 separation membrane under larger differential pressures between the reaction chamber and the sweep chamber, as well as during high-temperature operation.
Therefore, the purpose of this study is to understand the impact of the thickness of the Pd/Cu membrane on the performance of the biogas dry reforming membrane reactor with a Pd/Cu membrane as well as a Ni/Cr catalyst. The impact of the reaction temperature, the molar ratio of CH4:CO2 and the differential pressure between the reaction chamber and the sweep chamber on the performance of the biogas dry reforming membrane reactor with a Pd/Cu membrane as well as a Ni/Cr catalyst is investigated when changing the thickness of the Pd/Cu membrane. In this study, a molar ratio of CH4:CO2 = 1.5:1 simulates the composition of biogas.
The reaction scheme for CH4 dry reforming (DR) is described as follows:
CH4 + CO2 ↔ 2CO + 2H2 + 247 kJ/mol
Furthermore, the following reactions are considered the phenomena that play out in this study:
where Equation (2) indicates a reverse water–gas shift reaction (RWGS), Equation (3) indicates a methanation reaction and Equation (4) indicates steam reforming of CH4. As to carbon deposition, the following reactions are considered:
CO2 + H2 ↔ CO + H2O + 41 kJ/mol
CO2 + 4H2 ↔ CH4 + 2H2O − 164kJ/mol
CH4 + H2O ↔ CO + 3H2 − 41 kJ/mol
CH4 ↔ C + 2H2 + 75 kJ/mol
2CO ↔ C + CO2 − 173 kJ/mol
CO2 + 2H2 ↔ C + 2H2O − 90 kJ/mol
CO + H2 ↔ C + H2O − 131 kJ/mol
2. Experiment
2.1. Experimental Apparatus and Procedure
Figure 1 shows a schematic drawing of the experimental apparatus used in the present study. The experimental set-up is composed of a gas cylinder, mass flow controllers (S48-32; manufactured by HORIBA METRON Inc. Beijing, China), pressure sensors (KM31), valves, a vacuum pump, a reactor consisting of a reaction chamber and a sweep chamber and gas sampling taps. This study installs the reactor in a furnace. This study controls the temperature in the furnace using far-infrared heaters (MCHNNS1; manufactured by MISUMI, Schaumburg, IL, USA). This study controls CH4 gas (purity over 99.4 vol%) and CO2 gas (purity over 99.9 vol%) using mass flow controllers and mixes them before introducing them into the reaction chamber. This study measures the pressure of the mixed gas at the inlet of the reaction chamber by means of pressure sensors. This study controls Ar gas (purity over 99.99 vol%) by means of a mass flow controller and measures the pressure of the Ar gas by means of a pressure sensor. This study provides Ar as the sweep gas. This study suctions the exhausted gas at the outlet of the reaction chamber and the sweep chamber by means of a gas syringe through the gas sampling tap. This study measures the concentration of sampled gas by means of a TCD gas chromatograph (manufactured by GL Science, Tokyo, Japan). The TCD gas chromatograph and the methanizer’s minimum resolution is 1 ppmV. This study measures the gas pressure at the outlet of the reactor by means of a pressure sensor. The gas concentration and pressure at the outlet of reaction chamber and sweep chamber are measured, respectively.
Figure 1.
Schematic drawing of experimental apparatus [5].
Figure 2 shows the details of the reactor, which consists of a reaction chamber, a sweep chamber, and a H2 separation membrane. The reaction chamber and the sweep chamber are made of stainless steel with a scale of 40 mm × 100 mm × 40 mm. The space of reaction in the reaction chamber is 16 × 10−5 m3. A porous Ni/Cr (Cr: 35 wt%) catalyst is added into the reaction chamber. The average hole diameter of the Ni/Cr catalyst is 0.8 mm. We know from the procedure brochure that the porosity of the Ni/Cr catalyst is 0.93. The mass of the filled Ni/Cr catalyst is 74.6 g. According to the manufacturer’s brochure for the Ni/Cr catalyst (Sumitomo Electric Toyama Co., Ltd., Imizu, Japan), the Ni/Cr catalyst is produced by the following processes: (i) foam resin, (ii) conductive treatment, (iii) electrodeposition, (iv) heat disposal and (v) alloying treatment. This study has adopted a commercial catalyst due to its high versatility and easy installment within industry. The selected commercial catalyst is produced considering its strength and cost, with the result that there is no selection without 35 wt% of Cr.
Figure 2.
A schematic drawing of the details of the reactor used in this study.
Figure 3 shows a photo of the Ni/Cr catalyst added into the reactor used in the present study. Figure 4 shows a photo of the details of the Ni/Cr catalyst. A Pd/Cu membrane (Cu: 40 wt%; manufactured by Tanaka Kikinzoku, Tokyo, Japan) is chosen as a H2 separation membrane. From the manufacturer’s brochure for the Pd/Cu membrane (manufactured by Tanaka Kikinzoku, Tokyo, Japan), the Pd/Cu membrane is produced by the following processes: (i) dissolving of the alloy metals of Pd/Cu and (ii) flatting and thinning of the alloy metal film. We change the thickness of the Pd/Cu membrane by 20 μm, 40 μm and 60 μm. This study hypothesizes that the characteristics of the membrane reactor depend on the balance between the reaction performance of the catalyst and the separation performance of the H2 separation membrane. Therefore, the present study investigates the impact of the thickness of the Pd/Cu membrane on the performance of the membrane reactor, changing the initial reaction temperature, the molar ratio of CH4:CO2 and the differential pressure between the reaction chamber and the sweep chamber. Figure 5 shows a photo of the Pd/Cu membrane with a thickness of 60 μm. This study measures the temperatures at the inlet, the middle and the outlet of the reaction and the sweep chamber by means of K-type thermocouples. This study controls the initial reaction temperature and sets using a far-infrared heater, confirmed by means of the thermocouples. This study collects the measured temperature and pressures by means of a data logger (GL240; manufactured by Graphic Corporation, Orland Park, IL, USA).
Figure 3.
A photo of the Ni/Cr catalyst added into the reaction chamber.
Figure 4.
Photo of details of Ni/Cr catalyst.
Figure 5.
A photo of the Pd/Cu membrane with a thickness of 60 μm.
Table 1 lists the experimental parameters applied in the present study. This study changes the molar ratio of CH4:CO2 provided to 1.5:1, 1.1 and 1:1.5. The molar ratio of CH4:CO2 simulates biogas in the present study. According to our previous study [13], the feed ratio of sweep gas to supply gas, defined as the flow rate of sweep gas divided by the flow rate of supply gas composed of CH4 and CO2, has been set at 1.0, indicating the optimum feed ratio of sweep gas to supply gas [13]. The differential pressure between the reaction chamber and the sweep chamber is varied between 0 MPa, 0.010 MPa and 0.020 MPa. This study measures and confirms this differential pressure using pressure sensors installed at the outlet of the reaction chamber and the outlet of the sweep chamber. The initial reaction temperature, e.g., the initial temperature of the reactor, is changed to 400 °C, 500 °C and 600 °C. We measure the initial reaction temperature by means of thermocouples before supplying not only the mixed gas of CH4 and CO2 but also the sweep gas into the reactor. This study detects the gas concentrations at the outlet of the reaction chamber and the sweep chamber by means of an FID gas chromatograph (GC3220; manufactured by GL Science) and a methanizer (MT221; manufactured by GL Science, Tokyo, Japan). We show the mean data among five trials for each experimental condition in the next figures. The distribution of each gas concentration ranges under 10%.
Table 1.
Each parameter under the experimental conditions set in this study.
2.2. Assessment Procedure for the Performance of the Reactor
We evaluate the reaction and separation performances of the proposed membrane reactor using the gas concentration at the outlet of the reaction chamber and the sweep chamber. According to these data, the CH4 conversion (XCH4), CO2 conversion (XCO2), H2 yield (YH2), H2 selectivity (SH2) and CO selectivity (SCO) are calculated. These assessment factors can be defined as follows:
where CCH4, in indicates the concentration of CH4 at the inlet of the reaction chamber [ppmV], CCH4, out indicates the concentration of CH4 at the outlet of the reaction chamber [ppmV], CCO2, in indicates the concentration of CO2 at the inlet of the reaction chamber [ppmV], CCO2, out indicates the concentration of CO2 at the outlet of the reaction chamber [ppmV], CH2, out indicates the concentration of H2 at the outlet of the reaction chamber and the sweep chamber [ppmV], and CCO, out indicates the concentration of CO at the outlet of the reaction chamber [ppmV].
XCH4 = (CCH4, in − CCH4, out)/(CCH4, in) × 100
XCO2 = (CCO2, in − CCO2, out)/(CCO2, in) × 100
YH2 = (1/2)(CH2, out)/(CCH4, in) × 100
SH2 = (CH2, out)/(CH2, out + CCO, out) × 100
SCO = (CCO, out)/(CH2, out + CCO, out) × 100
Furthermore, H2 permeability (H) and permeation flux (F) can be calculated as follows:
where CH2, out, sweep indicates the concentration of H2 at the outlet of the sweep chamber [ppmV], CH2, out, react indicates the concentration of H2 at the outlet of the reaction chamber [ppmV], P indicates the permeation factor [mol/(m·s·Pa0.5)], Preact, ave indicates the average pressure of the reaction chamber [MPa], Psweep, ave indicates the average pressure of the sweep chamber [MPa] and δ indicates the thickness of the Pd/Cu alloy membrane [m].
H = (CH2, out, sweep)/(CH2, out, sweep + CH2, out, react) × 100
Moreover, the thermal efficiency of the membrane reactor (η) is calculated, which is defined as follows:
where QH2 indicates the heating value of H2 produced, which is based on the lower heating value [W], WR.C. indicates the amount of pre-heat of the supply gas provided into the reaction chamber [W], WS.C. indicates the amount of pre-heat of the sweep gas provided into the sweep chamber [W] and Wp indicates the pump power to provide the differential pressure between the reaction chamber and the sweep chamber [W].
3. Results and Discussion
3.1. Impact of the Initial Reaction Temperaature and the Molar Ratio of CH4:CO2
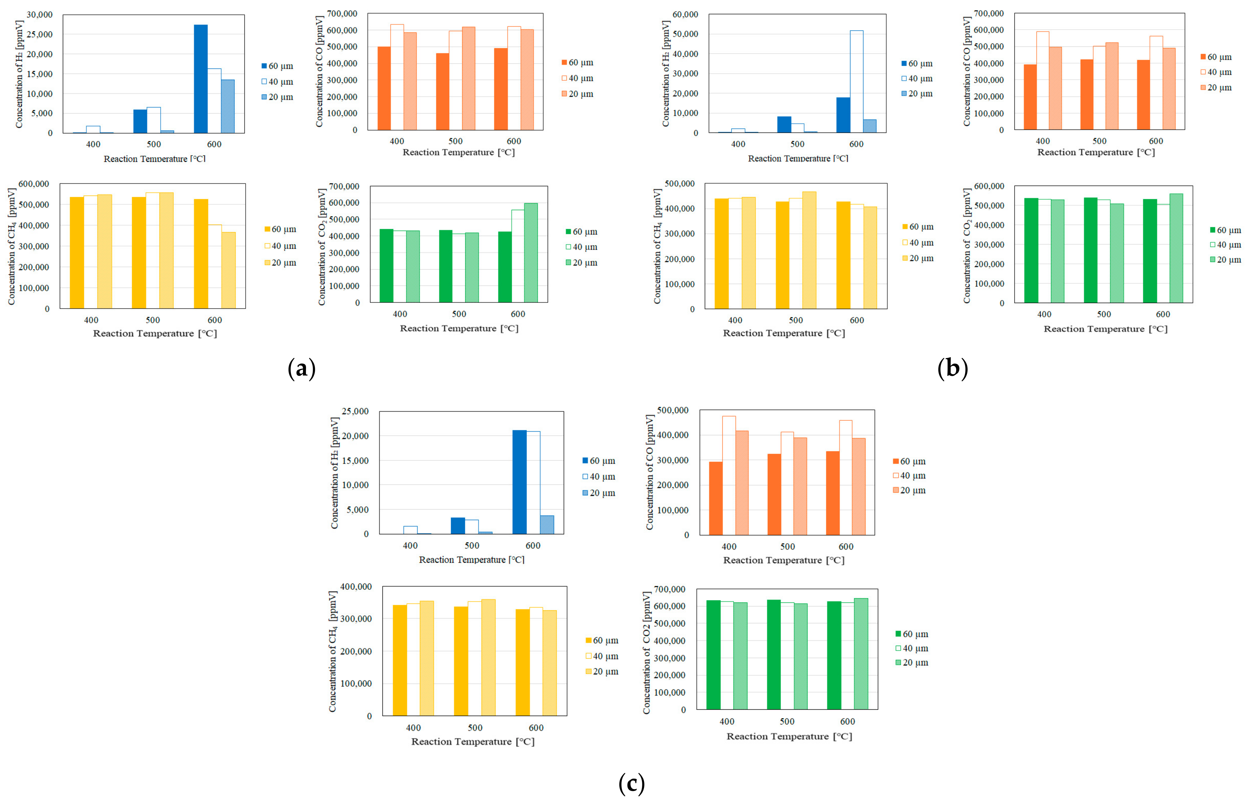
To investigate the impact of the thickness of the Pd/Cu membrane on the reaction characteristics as well as the H2 separation performance, Figure 6, Figure 7, Figure 8, Figure 9, Figure 10 and Figure 11 show the concentration of H2, CO, CH4 and CO2 at the outlet of reaction chamber and the sweep chamber at differential pressures of 0 MPa, 0.010 MPa and 0.020 MPa, respectively. The initial reaction temperature (reaction temperature) is varied between 400 °C, 500 °C and 600 °C in Figure 6, Figure 8 and Figure 10. In addition, the molar ratio of CH4:CO2 is changed to 1.5:1, 1:1 and 1:1.5. Since we have focused on the phenomena of the transportation of H2 from the reaction chamber to the seep chamber in the present paper, Figure 7, Figure 9 and Figure 11 show the concentration of H2 in the seep chamber. The initial reaction temperature (reaction temperature) is changed to 400 °C, 500 °C and 600 °C in these figures. In addition, the molar ratio of CH4:CO2 is changed to 1.5:1, 1:1 and 1:1.5.
Figure 6.
The effect of the thickness of the Pd/Cu membrane on the reaction performance in the reaction chamber changing the initial reaction temperature and the molar ratio of CH4:CO2 (differential pressure between the reaction chamber and the sweep chamber: 0 MPa; (a): CH4:CO2 = 1.5:1; (b): CH4:CO2 = 1:1; (c): CH4:CO2 = 1:1.5).
Figure 7.
The effect of the thickness of the Pd/Cu membrane on the H2 separation performance in the sweep chamber changing the initial reaction temperature and the molar ratio of CH4:CO2 (differential pressure between the reaction chamber and the sweep chamber: 0 MPa; (a): CH4:CO2 = 1.5:1; (b): CH4:CO2 = 1:1; (c): CH4:CO2 = 1:1.5).
Figure 8.
The effect of the thickness of the Pd/Cu membrane on the reaction performance in the reaction chamber changing the initial reaction temperature and the molar ratio of CH4:CO2 (differential pressure between the reaction chamber and the sweep chamber: 0.010 MPa; (a): CH4:CO2 = 1.5:1; (b): CH4:CO2 = 1:1; (c): CH4:CO2 = 1:1.5).
Figure 9.
The effect of the Pd/Cu membrane on the H2 separation performance in the sweep chamber changing the initial reaction temperature and the molar ratio of CH4:CO2 (differential pressure between the reaction chamber and the sweep chamber: 0.010 MPa; (a): CH4:CO2 = 1.5:1; (b): CH4:CO2 = 1:1; (c): CH4:CO2 = 1:1.5).
Figure 10.
The effect of the thickness of the Pd/Cu membrane on the reaction performance in the reaction chamber changing the initial reaction temperature and the molar ratio of CH4:CO2 (differential pressure between the reaction chamber and the sweep chamber: 0.020 MPa; (a): CH4:CO2 = 1.5:1; (b): CH4:CO2 = 1:1; (c): CH4:CO2 = 1:1.5).
Figure 11.
The effect of the thickness of the Pd/Cu membrane on the H2 separation performance in the sweep chamber changing the initial reaction temperature and the molar ratio of CH4:CO2 (differential pressure between the reaction chamber and the sweep chamber: 0.020 MPa; (a): CH4:CO2 = 1.5:1; (b): CH4:CO2 = 1:1; (c): CH4:CO2 = 1:1.5).
According to Figure 6, Figure 8 and Figure 10, we can observe the concentration of H2 at the outlet of the reaction chamber rises with a rise in the reaction temperature. Since DR is an endothermic reaction, as explained by Equation (1), the reaction progresses with the rise in the reaction temperature well. The H2 production rate within DR increases with the rise in the reaction temperature according to theoretical kinetic research [14]. This observed tendency is obtained regardless of the other parameters, i.e., the molar ratio of CH4:CO2, the thickness of the Pd/Cu membrane and the differential pressure between the reaction chamber and the sweep chamber. Additionally, we would like to substantiate the effect of the thickness of the Pd/Cu membrane on the characteristics of the membrane reactor in the following section.
We can observe from Figure 7, Figure 9 and Figure 11 that the concentration of H2 at the outlet of the sweep chamber rises with the rise in the reaction temperature. The concentration of H2 at the outlet of the reaction chamber is higher at a higher reaction temperature, resulting in the driving force to permeate the Pd/Cu membrane being stronger due to the large H2 partial pressure difference between the reaction chamber and the sweep chamber, indicating the big difference in the concentration of H2 between the reaction chamber and the sweep chamber. As a result, the concentration of H2 at the outlet of the sweep chamber becomes higher.
As seen from Figure 6, Figure 8 and Figure 10 and Figure 7, Figure 9 and Figure 11, the thickness of the Pd/Cu membrane which exhibits the highest concentration of H2 at the outlet of the reaction chamber and the sweep chamber depends on the differential pressure between the reaction chamber and the sweep chamber. Generally speaking, the penetration resistance of H2 is lower when the thickness of the Pd/Cu membrane is thinner, resulting in H2 being separated well. The highest concentration of H2 not only in the reaction chamber but also in the sweep chamber is obtained for the thickness of 40 μm regardless of the molar ratio of CH4:CO2 at a differential pressure of 0 MPa. The differential pressure of 0 MPa results in a permeation flux of 0 mol/(m2·s), meaning that the driving force for H2 separation is mainly the difference in the concentration of H2 between the reaction chamber and the sweep chamber. The concentration of H2 in the sweep chamber for the thickness of 20 μm is the highest among the investigated thicknesses at the differential pressure of 0.020 MPa, while the concentration of H2 at the outlet of the reaction chamber for the thickness of 20 μm is the lowest among the investigated thicknesses regardless of the molar ratio of CH4:CO2, as exhibited in Figure 10. The permeation flux at the differential pressure of 0.020 MPa is 7.07 × 10−4 mol/(m2·s), indicating the largest value among the investigated differential pressures. As a result, the impact of pressure on the H2 separation performance is the greatest. In addition, since the thickness of 20 μm is the thinnest among the investigated thicknesses, the penetration resistance of H2 for the Pd/Cu membrane is the lowest. As a result, it can be claimed that the H2 produced in the reaction chamber penetrates via the Pd/Cu membrane well under the combination of conditions of a differential pressure of 0.020 MPa and a thickness of 20 μm. Regarding the differential pressure of 0.010 MPa, the optimum thickness of the Pd/Cu membrane which obtains the highest concentration of H2 in the reaction chamber, as well as that in the sweep chamber, is not clear. It is also influenced by the molar ratio of CH4:CO2. An impact of the H2 separation performance on the reaction mechanism, including DR, as well as the other reactions, as shown in Equations (2) and (3), is thought to exist. A kinetic study considering the gas separation is future work for our study.
Comparing the molar ratio of CH4:CO2, the concentration of H2 for a molar ratio of CH4:CO2 = 1:1 is the highest among the conditions investigated in this study. The molar ratio of CH4:CO2 = 1:1 means the stoichiometric ratio for FR is fulfilled, as shown in Equation (1), resulting in H2 presumably being produced easily. The kinetic pressure in the cases of CH4:CO2 = 1.5:1 and 1:1.5 is 3.18 × 10−4 Pa, while that in the case of CH4:CO2 = 1:1 is 2.03 × 10−4 Pa. The differential pressure between the reaction chamber and the sweep chamber is much bigger than the kinetic pressure, so it is believed that the effect of an increase in static pressure and a decrease in kinetic pressure on the H2 separation performance is low.
It can be seen from Figure 7, Figure 9 and Figure 11 that the concentration of H2 at the outlet of the sweep chamber in the case of the molar ratio of CH4:CO2 = 1:1 is higher compared to the other molar ratios, except for at a differential pressure of 0.020 MPa. The concentration of H2 in the reaction chamber is higher at a higher reaction temperature, causing the driving force needed to permeate the Pd/Cu membrane to be stronger, resulting in a higher concentration of H2 in the sweep chamber. As for the differential pressure of 0.020 MPa, since the differential pressure is too large, the separation rate of H2 might be higher than the rate of production of H2 by the Ni/Cr catalyst. Therefore, it is believed that an effective non-equilibrium state cannot be obtained. According to Figure 6, Figure 8 and Figure 10, the concentration of H2 at the differential pressure of 0.020 MPa is relatively lower than that at the other differential pressures. We also understand the lower production performance of H2 at the differential pressure of 0.020 MPa due to this tendency.
3.2. Effect of Differential Pressure between the Reaction Chamber and the Sweep Chamber
To investigate the effect of the thickness of the Pd/Cu membrane on the reaction characteristics in the reaction chamber, Figure 12 exhibits the concentration of H2, CO, CH4 and CO2 for the differential molar ratios of CH4:CO2. In Figure 12, the reaction temperature is 600 °C. Additionally, the differential pressure between the reaction chamber and the sweep chamber is changed to 0 MPa, 0.010 MPa and 0.020 MPa. Moreover, Figure 13 shows the concentration of H2 in the sweep chamber to examine the effect of the thickness of the Pd/Cu membrane on the H2 separation performance for the different molar ratios of CH4:CO2. In Figure 12, the reaction temperature is 600 °C. Additionally, the differential pressure between the reaction chamber and the sweep chamber is changed to 0 MPa, 0.010 MPa and 0.020 MPa.
Figure 12.
The effect of the thickness of the Pd/Cu membrane on the reaction performance in the reaction chamber changing the differential pressure between the reaction chamber and the sweep chamber (reaction temperature: 600 °C; (a): CH4:CO2 = 1.5:1; (b): CH4:CO2 = 1:1; (c): CH4:CO2 = 1:1.5).
Figure 13.
The effect of the thickness of the Pd/Cu membrane on the H2 separation performance in the sweep chamber changing the differential pressure between the reaction chamber and the sweep chamber (reaction temperature: 600 °C; (a): CH4:CO2 = 1.5:1; (b): CH4:CO2 = 1:1; (c): CH4:CO2 = 1:1.5).
According to Figure 12, we can see that the concentration of H2 at the outlet of the reaction chamber relatively increases with the decrease in the differential pressure between the reaction chamber and the sweep chamber irrespective of the molar ratio of CH4:CO2. Moreover, we can observe from Figure 13 that the concentration of H2 at the outlet of the sweep chamber rises with a decrease in the differential pressure between the reaction chamber and the sweep chamber regardless of the molar ratio of CH4:CO2, which follows the tendency observed in Figure 12. Moreover, the highest concentration of H2 at a differential pressure of 0 MPa is obtained for a thickness of the Pd/Cu membrane of 40 μm for the reaction chamber as well as the sweep chamber. The kinetic pressure in the cases of CH4:CO2 = 1.5:1 and 1:1.5 is 3.18 × 10−4 Pa, while that in the case of CH4:CO2 = 1:1 is 2.03 × 10−4 Pa. The differential pressure between the reaction chamber and the sweep chamber is much higher than the kinetic pressure, so it is believed that the effect of the increase in static pressure with the decrease in kinetic pressure on the H2 separation performance is low. Since the differential pressure of 0 MPa means the permeation flux is 0 mol/(m2·s), the driving force of H2 separation is mainly the difference in the concentration of H2 between the reaction chamber and the sweep chamber. The concentration of H2 at the outlet of the reaction chamber for a thickness of 40 μm is the highest among the investigated thicknesses shown in Figure 12, so it is thought that the concentration of H2 at the outlet of the sweep chamber is the highest for a thickness of 40 μm, as displayed in Figure 13, after the penetration of H2 through the Pd/Cu membrane.
3.3. Comparison of the Assessment Factors Investigated in This Study
To examine the reaction and separation performances of the proposed membrane reactor with a Ni/Cr catalyst as well as a Pd/Cu membrane, Table 2 shows a comparison of the CH4 conversion, CO2 conversion, H2 yield, H2 selectivity, CO selectivity, H2 permeability, permeation flux and thermal efficiency for the different reaction temperatures, molar ratios of CH4:CO2 and differential pressures between the reaction chamber and the sweep chamber.
Table 2.
Comparison of CH4 conversion, CO2 conversion, H2 yield, H2 selectivity, CO selectivity, H2 permeability, permeation flux and thermal efficiency (a): CH4:CO2 = 1.5:1; (b): CH4:CO2 = 1:1; (c): CH4:CO2 = 1:1.5).
According to Table 2, we can see that CH4 and CO2 conversion exhibits a positive value and a negative value, respectively. From this result, it can be claimed that reactions consuming CH4 and producing CO2 occur. Additionally, it can be seen from Table 2 that the CO selectivity is larger than 90%, indicating that CO is produced more compared to H2. These phenomena can be explained as follows:
- (i)
- H2 is produced as explained by Equation (1) or Equation (5).
- (ii)
- CO is produced after H2 is consumed via Equation (2).
- (iii)
- Carbon and CO2 are produced after some of the CO is consumed via Equation (6).
Since Equation (6), shown in (iii), is an exothermal reaction, CO can be produced easily. After the experiments in this study, carbon was observed, which can be explained as shown in Figure 14. The mass of the Ni/Cr catalyst utilized in the present study was increased by 9.1 g after the experiments, compared to its initial weight of 74.6 g. This is due to the carbon deposition shown in Equation (6). According to a survey of the literature by us, many previous studies have conducted XPS analyses on the catalyst, e.g., Ni/Al and so on [15,16,17,18,19,20], not the deposited carbon. There are few studies investigating XPS analyses of the deposited carbon. Therefore, we think a lot of the research within this research field potentially does not place emphasis on XPS analyses to identify the nature of carbon deposition. We would like to put aside carbon deposition itself for the purpose of explaining the reaction mechanism in this paper. We think clarification of the nature of carbon deposition in a study belongs to another research field. In the near future, we would like to investigate and discuss the nature of carbon deposition in a new paper. As for the H2O formation shown in Equation (2), this study has confirmed this phenomenon through observation by means of the gas bag illustrated in Figure 15. The colored part, which is different from the other area in the red circle illustrated in Figure 15, indicates H2O formation. In addition, the numerical simulation results enabled by the commercial software COMSOL Multiphysics Ver. 6.2, which includes the simulation codes from Equations (1)–(4) alongside a 3D model, indicate H2O formation. For example, the concentration of H2O at the outlet of the reactor for a molar ratio of CH4:CO2 = 1.5:1 at 400 °C, 500 °C and 600 °C is 6228 ppmV, 28,946 ppmV and 33,614 ppmV, respectively. We would like to report the details of the numerical simulation in the near future.
Figure 14.
Photo of Ni/Cr catalyst before and after experiments (left photo: before experiment; right photo: after experiment).
Figure 15.
Photo of H2O produced, which is observed using a gas bag (H2O is trapped in the red circle).
According to the results and the discussion in this study, we can obtain the highest concentration of H2 of 122,711 ppmV with CH4:CO2 = 1:1, at a reaction temperature of 600 °C and a differential pressure of 0 MPa and using a Pd/Cu membrane with a thickness of 40 μm. Under these conditions, the kinetic rate is 0.86 mol/(m3·s), and the permeation flux is 0 mol/(m2·s). Since the penetration resistance of H2 is thought to be lower when the thickness of the Pd/Cu membrane is thinner, H2 is separated well. However, the performance of the Ni/Cr catalyst is not high in the present study, resulting in the H2 separation rate being too high at a thickness of 20 μm to reach the non-equilibrium state for dry reforming. In other words, it is necessary to match the H2 separation rate of the Pd/Cu membrane and the H2 production rate of the Ni/Cr catalyst for a high H2 yield. Therefore, a thickness of 40 μm is the best thickness in this study since the H2 separation rate of 40 μm matches the H2 production rate of the Ni/Cr catalyst under the conditions investigated in this study. In addition, the CH4 conversion, CO2 conversion, H2 yield, H2 selectivity, CO selectivity, H2 permeability and thermal efficiency are 13.7%, −5.73%, 1.51%, 2.84%, 97.2%, 1.06 × 10−1% and 11.0%, respectively. We have reviewed previous studies and summarized the reports as well as this study in Table 3.
Table 3.
Comparison of the performance of the membrane reactors reported in previous studies and that of this study.
The CH4 conversion in this study, shown in this table, follows the optimum experimental conditions, providing the highest concentration of H2. According to the comparison of the CH4 conversion, we cannot claim that a thinner membrane provides greater CH4 conversion. It might be thought that the type of combination of the H2 separation membrane and the catalyst decides the optimum thickness of the H2 separation membrane, which is the same as in this study. In addition, the performance of the Ni/Cr catalyst utilized in the present study is not high compared to that in previous studies. To enhance the performance of H2 production, thermal efficiency and CH4 conversion in the proposed membrane reactor, the present study proposes using other types of catalysts. This study examined a Ni/Cr alloy catalyst. Though Ni is a popular catalyst for DR, Ru is also used for DR [26,27,28]. There are no reports on Ni/Ru/Cr alloy catalysts being used for DR nor membrane reactors. We would like to study using Ni/Ru/Cr catalysts to enhance the performance of DR in the near future.
4. Conclusions
We have investigated, for further understanding, the effect of the thickness of the Pd/Cu membrane on the performance of a biogas dry reforming membrane reactor with a Pd/Cu membrane as well as a Ni/Cr catalyst. The impact of the reaction temperature, the molar ratio of CH4:CO2 and the differential pressure between the reaction chamber and the sweep chamber on the performance of the biogas dry reforming membrane reactor with a Pd/Cu membrane as well as a Ni/Cr catalyst has been investigated, varying the thickness of the Pd/Cu membrane. Consequently, the following conclusions were obtained:
- (1)
- The concentration of H2 at the outlet of the reaction chamber increases with an increase in the reaction temperature irrespective of the molar ratio of CH4:CO2, the thickness of the Pd/Cu membrane or the differential pressure between the reaction chamber and the sweep chamber. Additionally, the concentration of H2 at the outlet of the sweep chamber also rises with a rise in the reaction temperature.
- (2)
- The highest concentration of H2 in the reaction chamber as well as the sweep chamber is obtained for a thickness of 40 μm regardless of the molar ratio of CH4:CO2 at a differential pressure of 0 MPa. The concentration of H2 in the sweep chamber for a thickness of 20 μm is the highest among the investigated thicknesses at a differential pressure of 0.020 MPa. But the concentration of H2 at the outlet of the reaction chamber for a thickness of 20 μm is the lowest among the thicknesses investigated regardless of the molar ratio of CH4:CO2. On the other hand, the optimum thickness of the Pd/Cu membrane to obtain the highest concentration of H2 in the reaction chamber and in the sweep chamber at a differential pressure of 0.010 MPa is not clear. The optimum thickness is varied with a change in the molar ratio of CH4:CO2 at a differential pressure of 0.010 MPa. The reaction mechanism might be complex at a differential pressure of 0.010 MPa. We think the solution for deciding the optimum Pd/Cu membrane thickness at a differential pressure of 0.010 MPa is to adopt a catalyst which has higher performance compared to the Ni/Cr catalyst used in the present study. We have the idea of adopting a Ni/Cr/Ru catalyst instead of a Ni/Cr catalyst.
- (3)
- The concentration of H2 at the outlet of the reaction chamber and the sweep chamber relatively increases with a decrease in the differential pressure between the reaction chamber and the sweep chamber regardless of the molar ratio of CH4:CO2, respectively.
- (4)
- The reaction occurring in the present study is proposed as follows: (i) H2 is produced via the reaction shown in Equation (1) or Equation (5). (ii) CO is produced after H2 is consumed via Equation (2). (iii) Carbon and CO2 are produced after some of the CO is consumed via Equation (6).
- (5)
- We can obtain the highest concentration of H2 of 122,711 ppmV in the case of CH4:CO2 = 1:1, a reaction temperature of 600 °C, a differential pressure of 0 MPa and using a Pd/Cu membrane with a thickness of 40 μm. Under these conditions, the kinetic rate is 0.86 mol/(m3·s), and the permeation flux is 0 mol/(m2·s). In addition, the CH4 conversion, CO2 conversion, H2 yield, H2 selectivity, CO selectivity, H2 permeability and thermal efficiency are 13.7%, −5.73%, 1.51%, 2.84%, 97.2%, 1.06 × 10−1% and 11.0%, respectively.
Author Contributions
Conceptualization and writing—original draft preparation, A.N.; methodology and data curation, S.I. and M.I.; writing—review and editing, M.L.K. All authors have read and agreed to the published version of the manuscript.
Funding
This research was funded by the Iwatani Naoji Foundation, No. 42.
Data Availability Statement
The authors agree to share the data from the article published in this journal.
Acknowledgments
The authors acknowledge financial support from the Iwatani Naoji Foundation.
Conflicts of Interest
The authors declare no conflicts of interest.
References
- Kalai, D.Y.; Stangeland, K.; Jin, Y.; Tucho, W.M.; Yu, Z. Biogas dry reforming for syngas production on La promoted hydrotalcite-derived Ni catalyst. Int. J. Hydrogen Energy 2018, 43, 19438–19450. [Google Scholar] [CrossRef]
- World Bioenergy Association. Global Bioenergy Statistics. Available online: https://worldbioenergy.org./global-bioenergy-statistics (accessed on 2 June 2024).
- The Japan Gas Association. Available online: https://www.gas.or.jp/gas-life/biogas/ (accessed on 2 June 2024).
- Nishimura, A.; Takada, T.; Ohata, S.; Kolhe, M.L. Biogas dry reforming for hydrogen through membrane reactor utilizing negative pressure. Fuels 2021, 2, 194–209. [Google Scholar] [CrossRef]
- Nishimura, A.; Hayashi, Y.; Ito, S.; Kolhe, M.L. Performance analysis of hydrogen production for a solid oxide fuel cell system using a biogas dry reforming membrane reactor with Ni and Ni/Cr catalysts. Fuels 2023, 4, 295–313. [Google Scholar] [CrossRef]
- Nishimura, A.; Sato, R.; Hu, E. An energy production system powered by solar heat with biogas dry reforming reactor and solid oxide fuel cell. Smart Grid Renew. Energy 2023, 14, 85–106. [Google Scholar] [CrossRef]
- Miao, C.; Chen, S.; Shang, K.; Liang, L.; Ouyang, J. Highly active Ni-Ru bimetallic catalyst integrated with MFI zeolite loaded cerium zirconium oxide for dry reforming of methane. ACS Appl. Mater. Interfaces 2022, 14, 47616–47632. [Google Scholar] [CrossRef]
- Schaffner, R.A.; Schwengber, C.A.; Kowalski, R.L.; Assis, N.S.G.; Domingues, R.C.P.R.; Yamamoto, C.I.; Alves, H.J. Dry reforming of methane: Effect of different calcination temperatures of Al2O3 and Mg-Al2O3 supports on Ni catalysts. Can. J. Chem. Eng. 2021, 100, 3345–3356. [Google Scholar] [CrossRef]
- Kaviani, M.; Rezaei, M.; Alavi, S.M.; Akbari, E. High coke resistance Ni-SiO2@SiO2 core-shell catalyst for biogas dry reforming: Effects of Ni loading and calcination temperature. Fuel 2022, 330, 125609. [Google Scholar] [CrossRef]
- Ha, Q.L.M.; Atia, H.; Kreyenschulte, C.; Lund, H.; Bartling, S.; Lisak, G.; Wohlrab, S.; Armbruster, U. Effects of modifier (Gd, Sc, La) addition on the stability of low Ni content catalyst for dry reforming of model biogas. Fuel 2022, 312, 122823. [Google Scholar] [CrossRef]
- Hajizadeh, A.; Mohamadi-Baghmolaei, M.; Saady, N.M.C.; Zendehboudi, S. Hydrogen production from biomass through integration of anaerobic digestion and biogas dry reforming. Appl. Energy 2022, 309, 118442. [Google Scholar] [CrossRef]
- Calgaro, C.O.; Lima, D.S.; Tonetto, R.; Perez-Lopez, O.W. Biogas dry reforming over Ni-Mg-La-Al catalysts: Influence of La/Mg ratio. Catal. Lett. 2021, 151, 267–280. [Google Scholar] [CrossRef]
- Nishimura, A.; Ohata, S.; Okukura, K.; Hu, E. The impact of operating conditions on the performance of a CH4 dry reforming membrane reactor for H2 production. J. Energy Power Technol. 2020, 2. [Google Scholar] [CrossRef]
- Cherbanski, R.; Kotkowski, T.; Molga, E. Thermogravimetric analysis of coking during dry reforming of methane. Int. J. Hydrog. Energy 2023, 48, 7346–7360. [Google Scholar] [CrossRef]
- Sumrunronnasak, S.; Tantayanon, S.; Kiatagamolchai, S.; Sukonket, T. Improved hydrogen production from dry reforming reaction using a catalytic packed-bed membrane reactor with Ni-based catalyst and dense PdAgCu alloy membrane. Int. J. Hydrog. Energy 2016, 41, 2621–2630. [Google Scholar] [CrossRef]
- Garcia-Garcia, F.R.; Mateos-Pedrero, C.; Guerreto-Ruiz, A.; Rodriguez-Ramos, I.; Li, K. Dry reforming of methane using Pd-based membrane reactors fabricated from different substrates. J. Membr. Sci. 2013, 435, 218–225. [Google Scholar] [CrossRef]
- Munera, J.; Faroldi, B.; Fruits, E.; Lombardo, E.; Cornaglia, L.; Carrazan, S.G. Supported Rh nanoparticles on CaO-SiO2 binary systems for the reforming of membrane by carbon dioxide in membrane reactors. Appl. Catal. A Gen. 2014, 474, 114–124. [Google Scholar] [CrossRef]
- Kumar, S.; Kumar, B.; Kumar, S.; Jilani, S. Comparative modeling study of catalytic membrane reactor configurations for syngas production by CO2 reforming of methane. J. CO2 Util. 2017, 20, 336–346. [Google Scholar] [CrossRef]
- Pati, S.; Das, S.; Dewangan, N.; Jangam, A.; Kawi, S. Facile integration of core-shell catalyst and Pd-Ag membrane for hydrogen production from low-temperature dry reforming of methane. Fuel 2023, 333, 126433. [Google Scholar] [CrossRef]
- Dogan, M.Y.; Arbag, H.; Tasdemir, H.M.; Yasyerli, N.; Yasyerli, S. Effect of ceria content in NI-Ce-Al catalyst on catalytic performance and carbon/coke formation in dry reforming of CH4. Int. J. Hydrog. Energy 2023, 48, 23013–23030. [Google Scholar] [CrossRef]
- Ponugoti, P.V.; Pathmanathan, P.; Rapolu, J.; Gomathi, A.; Janardhanan, V.M. On the stability of Ni/γ-Al2O3 catalyst and the effect of H2O and O2 during biogas reforming. Appl. Catal. A Gen. 2023, 651, 119033. [Google Scholar] [CrossRef]
- Georgiadis, A.G.; Siakavelas, G.I.; Tsiotsias, A.I.; Charisiou, N.D.; Ehrhardt, B.; Wang, W.; Sebastian, V.; Hinder, S.J.; Baker, M.A.; Mascotto, S.; et al. Biogas dry reforming over Ni/LnOx-type catalysts (Ln = La, Ce, Sm or Pr). Int. J. Hydrog. Energy 2023, 48, 19953–19971. [Google Scholar] [CrossRef]
- Cao, A.N.; Nguyen, H.H.; Pham, T.P.T.; Pham, L.K.H.; Phuong, D.H.L.; Nguyen, N.A.; Vo, D.V.N.; Pham, P.T.H. Insight into the role of material basicity in the coke formation and performance of Ni/Al2O3 catalyst for the simulated-biogas dry reforming. J. Energy Inst. 2023, 108, 101252. [Google Scholar] [CrossRef]
- Al-Swai, B.M.; Osman, N.; Apnarabiji, M.S.; Adesina, A.A.; Abdullah, B. Syngas production via methane dry reforming over ceria-magnesia mixed oxide-supported nickel catalysts. Indian Eng. Chem. Res. 2019, 58, 539–552. [Google Scholar] [CrossRef]
- Zhang, M.; Zhang, J.; Wu, Y.; Pan, J.; Zhang, Q.; Tan, Y.; Tan, Y. Insight into the effects of the oxygen species over Ni/ZrO2 catalyst surface on methane reforming with carbon dioxide. Appl. Catal. B Environ. 2019, 244, 427–437. [Google Scholar] [CrossRef]
- Pakhare, D.; Spivey, J. A review of dry (CO2) reforming of methane over noble metal catalyst. R. Soc. Chem. 2014, 43, 7813–7837. [Google Scholar] [CrossRef]
- Fontana, A.D.; Faroldi, B.; Cornaglia, L.M.; Tarditi, A.M. Development of catalytic membranes over PdAu selective films for hydrogen production through the dry reforming of methane. Mol. Catal. 2020, 481, 100643. [Google Scholar] [CrossRef]
- Brunetti, A.; Fontananova, E. CO2 conversion by methane reactors. J. Nanosci. Nanotechnol. 2019, 19, 3124–3134. [Google Scholar] [CrossRef]
Disclaimer/Publisher’s Note: The statements, opinions and data contained in all publications are solely those of the individual author(s) and contributor(s) and not of MDPI and/or the editor(s). MDPI and/or the editor(s) disclaim responsibility for any injury to people or property resulting from any ideas, methods, instructions or products referred to in the content. |
© 2024 by the authors. Licensee MDPI, Basel, Switzerland. This article is an open access article distributed under the terms and conditions of the Creative Commons Attribution (CC BY) license (https://creativecommons.org/licenses/by/4.0/).














