Steam Reforming of Tar Impurities from Biomass Gasification with Ni-Co/Mg(Al)O Catalysts—Operating Parameter Effects
Abstract
1. Introduction
2. Materials and Methods
2.1. Catalyst System
2.2. Thermodynamic Simulations
2.3. Steam Reforming Experiments
2.4. Coke Characterization
3. Results and Discussion
3.1. Preliminary Considerations
3.2. Activity and Deactivation
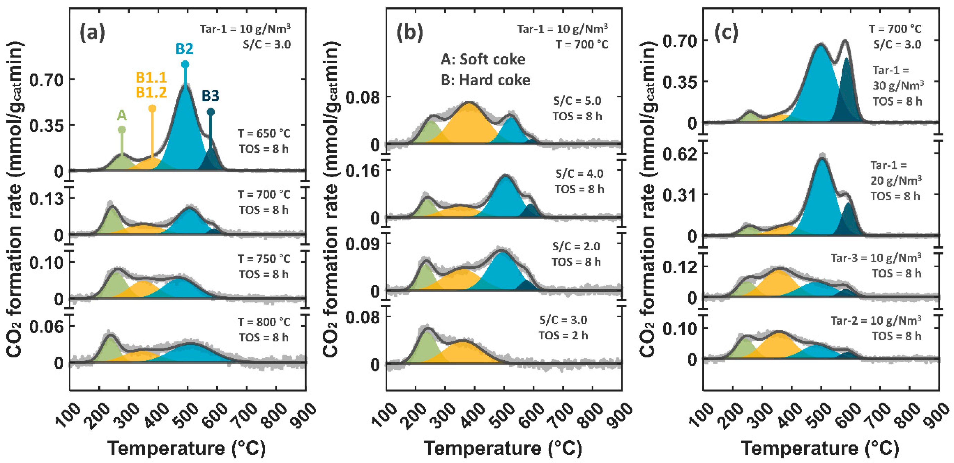
3.3. Coke Characterization
3.4. Coke Formation Scheme
3.5. H2/CO/CO2 Selectivity
4. Conclusions
Supplementary Materials
Author Contributions
Funding
Data Availability Statement
Conflicts of Interest
References
- Davis, S.J.; Lewis, N.S.; Shaner, M.; Aggarwal, S.; Arent, D.; Azevedo, I.L.; Benson, S.M.; Bradley, T.; Brouwer, J.; Chiang, Y.-M.; et al. Net-zero emissions energy systems. Science 2018, 360, 1419. [Google Scholar] [CrossRef] [PubMed]
- Huber, G.W.; Iborra, S.; Corma, A. Synthesis of Transportation Fuels from Biomass: Chemistry, Catalysts, and Engineering. Chem. Rev. 2006, 106, 4044–4098. [Google Scholar] [CrossRef] [PubMed]
- Shen, Y.; Yoshikawa, K. Recent progresses in catalytic tar elimination during biomass gasification or pyrolysis—A review. Renew. Sustain. Energy Rev. 2013, 21, 371–392. [Google Scholar] [CrossRef]
- Rauch, R.; Kiennemann, A.; Sauciuc, A. Fischer-Tropsch Synthesis to Biofuels (BtL Process). In The Role of Catalysis for the Sustainable Production of Bio-Fuels and Bio-Chemicals; Triantafyllidis, K.S., Lappas, A.A., Stöcker, M., Eds.; Elsevier B.V.: Oxford, UK, 2013; pp. 397–443. [Google Scholar]
- Li, C.; Suzuki, K. Tar property, analysis, reforming mechanism and model for biomass gasification—An overview. Renew. Sustain. Energy Rev. 2009, 13, 594–604. [Google Scholar] [CrossRef]
- Coll, R.; Salvadó, J.; Farriol, X.; Montané, D. Steam reforming model compounds of biomass gasification tars: Conversion at different operating conditions and tendency towards coke formation. Fuel Process. Technol. 2001, 74, 19–31. [Google Scholar] [CrossRef]
- Ashok, J.; Dewangan, N.; Das, S.; Hongmanorom, P.; Wai, M.H.; Tomishige, K.; Kawi, S. Recent progress in the development of catalysts for steam reforming of biomass tar model reaction. Fuel Process. Technol. 2020, 199, 106252. [Google Scholar] [CrossRef]
- Guan, G.; Kaewpanha, M.; Hao, X.; Abudula, A. Catalytic steam reforming of biomass tar: Prospects and challenges. Renew. Sustain. Energy Rev. 2016, 58, 450–461. [Google Scholar] [CrossRef]
- Li, D.; Tamura, M.; Nakagawa, Y.; Tomishige, K. Metal catalysts for steam reforming of tar derived from the gasification of lignocellulosic biomass. Bioresour. Technol. 2015, 178, 53–64. [Google Scholar] [CrossRef]
- Zhang, Z.; Liu, L.; Shen, B.; Wu, C. Preparation, modification and development of Ni-based catalysts for catalytic reforming of tar produced from biomass gasification. Renew. Sustain. Energy Rev. 2018, 94, 1086–1109. [Google Scholar] [CrossRef]
- Yung, M.M.; Jablonski, W.S.; Magrini-Bair, K.A. Review of Catalytic Conditioning of Biomass-Derived Syngas. Energy Fuels 2009, 23, 1874–1887. [Google Scholar] [CrossRef]
- He, L.; Berntsen, H.; Ochoa-Fernández, E.; Walmsley, J.C.; Blekkan, E.A.; Chen, D. Co-Ni Catalysts Derived from Hydrotalcite-like Materials for Hydrogen Production by Ethanol Steam Reforming. Top. Catal. 2009, 52, 206–217. [Google Scholar] [CrossRef]
- He, L.; Berntsen, H.; Chen, D. Approaching Sustainable H2 Production: Sorption Enhanced Steam Reforming of Ethanol. J. Phys. Chem. A 2010, 114, 3834–3844. [Google Scholar] [CrossRef] [PubMed]
- Muñoz, M.; Moreno, S.; Molina, R. Synthesis of Ce and Pr-promoted Ni and Co catalysts from hydrotalcite type precursors by reconstruction method. Int. J. Hydrogen Energy 2012, 37, 18827–18842. [Google Scholar] [CrossRef]
- Muñoz, M.; Moreno, S.; Molina, R. The effect of the absence of Ni, Co and Ni-Co catalyst pretreatment on catalytic activity for hydrogen production via oxidative steam reforming of ethanol. Int. J. Hydrogen Energy 2014, 39, 10074–10089. [Google Scholar] [CrossRef]
- de Souza, G.; Ávila, V.C.; Marcílio, N.R.; Perez-Lopes, O.W. Synthesis gas production by steam reforming of ethanol over M-Ni-Al hydrotalcite-type catalysts; M = Mg, Zn, Mo, Co. Procedia Eng. 2012, 42, 1805–1815. [Google Scholar] [CrossRef]
- Shejale, A.D.; Yadav, G.D. Cu promoted Ni-Co/hydrotalcite catalyst for improved hydrogen production in comparison with several modified Ni-based catalysts via steam reforming of ethanol. Int. J. Hydrogen Energy 2017, 42, 11321–11332. [Google Scholar] [CrossRef]
- Ghungrud, S.A.; Dewoolkar, K.D.; Vaidya, P.D. Cerium-promoted bi-functional hybrid materials made of Ni, Co and hydrotalcite for sorption-enhanced steam methane reforming (SESMR). Int. J. Hydrogen Energy 2019, 44, 694–706. [Google Scholar] [CrossRef]
- Gil, M.V.; Rout, K.R.; Chen, D. Production of high pressure pure H2 by pressure swing sorption enhanced steam reforming (PS-SESR) of byproducts in biorefinery. Appl. Energy 2018, 222, 595–607. [Google Scholar] [CrossRef]
- He, L.; Parra, J.M.S.; Blekkan, E.A.; Chen, D. Towards efficient hydrogen production from glycerol by sorption enhanced steam reforming. Energy Environ. Sci. 2010, 3, 1046–1056. [Google Scholar] [CrossRef]
- Noor, T.; Gil, M.V.; Chen, D. Production of fuel-cell grade hydrogen by sorption enhanced water gas shift reaction using Pd/Ni-Co catalysts. Appl. Catal. B Environ. 2014, 150–151, 585–595. [Google Scholar] [CrossRef]
- Fermoso, J.; Rudiera, F.; Chen, D. Sorption enhanced catalytic steam gasification process: A direct route from lignocellulosic biomass to high purity hydrogen. Energy Environ. Sci. 2012, 5, 6358–6367. [Google Scholar] [CrossRef]
- Lysne, A.; Madsen, K.A.; Antony, J.; Rout, K.R.; Blekkan, E.A. Effects of Ni-Co Ratio on Deactivation and Coke Formation in Steam Reforming of Hydrocarbon Impurities from Biomass Gasification with Ni-Co/Mg(Al)O Catalysts. Chem. Eng. Trans. 2022, 92, 37–42. [Google Scholar] [CrossRef]
- Lysne, A.; Saxrud, I.; Snidaro, R.L.G.; Blekkan, E.A. Noble metal (Pt, Pd and Rh) promoted Ni-Co/Mg(Al)O catalysts for steam reforming of tar impurities from biomass gasification. J. Catal. 2024, 436, 115567. [Google Scholar] [CrossRef]
- Wei, J.; Iglesia, E. Isotopic and kinetic assessment of the mechanism of reactions of CH4 with CO2 or H2O to form synthesis gas and carbon on nickel catalysts. J. Catal. 2004, 224, 370–383. [Google Scholar] [CrossRef]
- Sehested, J. Four challenges for nickel steam-reforming catalysts. Catal. Today 2006, 111, 103–110. [Google Scholar] [CrossRef]
- Chen, D.; Christensen, K.O.; Ochoa-Fernández, E.; Yu, Z.; Tøtdal, B.; Latorre, N.; Monzón, A.; Holmen, A. Synthesis of carbon nanofibers: Effects of Ni crystal size during methane decomposition. J. Catal. 2005, 229, 82–96. [Google Scholar] [CrossRef]
- Montero, C.; Ochoa, A.; Castaño, P.; Bilbao, J.; Gayubo, A.G. Monitoring Ni0 and coke evolution during the deactivation of a Ni/La2O3-αAl2O3 catalyst in ethanol steam reforming in a fluidized bed. J. Catal. 2015, 331, 181–192. [Google Scholar] [CrossRef]
- Ruelas-Leyva, J.P.; Maldonado-Garcia, L.F.; Talavera-Lopez, A.; Santos-López, I.A.; Picos-Corrales, L.A.; Santolalla-Vargas, C.E.; Gómez Torres, S.A.; Fuentes, G.A. A Comprehensive Study of Coke Deposits on a Pt-Sn/SBA-16 Catalyst during the Dehydrogenation of Propane. Catalysts 2021, 11, 128. [Google Scholar] [CrossRef]
- Liao, X.; Gerdts, R.; Parker, S.F.; Chi, L.; Zhao, Y.; Hill, M.; Guo, J.; Jones, M.O.; Jiang, Z. An in-depth understanding of the bimetallic effects and coked carbon species on an active bimetallic Ni(Co)/Al2O3 dry reforming catalyst. Phys. Chem. Chem. Phys. 2016, 18, 17311–17319. [Google Scholar] [CrossRef]
- Ochoa, A.; Bilbao, J.; Gayubo, A.G.; Castaño, P. Coke formation and deactivation during catalytic reforming of biomass and waste pyrolysis products: A review. Renew. Sustain. Energy Rev. 2020, 119, 109600. [Google Scholar] [CrossRef]
- García-Gómez, N.; Valecillos, J.; Remiro, A.; Valle, B.; Bilbao, J.; Gayubo, A.G. Effect of reaction conditions on the deactivation by coke of a NiAl2O4 spinel derived catalyst in the steam reforming of bio-oil. Appl. Catal. B Environ. 2021, 297, 120445. [Google Scholar] [CrossRef]
- Josuinkas, F.M.; Quitete, C.P.B.; Ribeiro, N.F.P.; Souza, M.M.V.M. Steam reforming of model gasification tar compounds over nickel catalysts prepared from hydrotalcite precursors. Fuel Process. Technol. 2014, 121, 76–82. [Google Scholar] [CrossRef]
- Lysne, A.; Blekkan, E.A. Continuous coke management with Ni and Ni-Co catalysts for bio-syngas tar steam reforming—The Switch-SRCG unit. Appl. Catal. O Open. 2024, 190, 206943. [Google Scholar] [CrossRef]
- Ashok, J.; Wai, M.H.; Kawi, S. Nickel-based Catalysts for High-temperature Water Gas Shift Reaction—Methane Suppression. ChemCatChem 2018, 10, 3927–3942. [Google Scholar] [CrossRef]
- Haryanto, A.; Fernando, S.; Adhikari, S. Ultrahigh temperature water gas shift catalysts to increase hydrogen yield from biomass gasification. Catal. Today 2007, 129, 269–274. [Google Scholar] [CrossRef]
- Chein, R.-Y.; Fang, C.-M.; Chyou, Y.-P.; Chang, S.-H. Effect of Catalyst Support on Water-Gas Shift Reaction at Ultrahigh Temperatures Using Syngas. Chem. Eng. Technol. 2017, 41, 1390–1397. [Google Scholar] [CrossRef]







| Tar-Free Environment | Tar Model Environment | |||||
|---|---|---|---|---|---|---|
| T (°C) | S/C (-) 1 | Tar Model 2 | XCH4,0 (%) 3 | XCH4,eq (%) 4 | XCH4,0 (%) 3 | XCH4,eq (%) 4 |
| 700 | 2.0 | 10.0 g/Nm3 Tar-1 | 37.4 | 93.2 | 38.2 | 92.5 |
| 700 | 3.0 | 10.0 g/Nm3 Tar-1 | 39.4 | 94.5 | 39.3 | 94.1 |
| 700 | 4.0 | 10.0 g/Nm3 Tar-1 | 40.7 | 95.5 | 47.3 | 95.2 |
| 700 | 5.0 | 10.0 g/Nm3 Tar-1 | 40.6 | 96.2 | 46.6 | 96.0 |
| 650 | 3.0 | 10.0 g/Nm3 Tar-1 | 25.7 | 78.9 | 26.8 | 77.3 |
| 750 | 3.0 | 10.0 g/Nm3 Tar-1 | 55.6 | 98.6 | 61.1 | 98.5 |
| 800 | 3.0 | 10.0 g/Nm3 Tar-1 | 67.2 | 99.6 | 66.7 | 99.6 |
| 700 | 3.0 | 20.0 g/Nm3 Tar-1 | - | - | 41.8 | 93.6 |
| 700 | 3.0 | 30.0 g/Nm3 Tar-1 | - | - | 42.7 | 93.1 |
| 700 | 3.0 | 10.0 g/Nm3 Tar-2 | - | - | 42.0 | 94.1 |
| 700 | 3.0 | 10.0 g/Nm3 Tar-3 | - | - | 39.2 | 94.1 |
| Coke Carbon Distribution (wt%) 5,6 | |||||||||
|---|---|---|---|---|---|---|---|---|---|
| T (°C) | S/C (-) 1 | Tar Model 2 | TOS (h) 3 | ID/IG (-) 4 | Ctot | CA | CB1 | CB2 | CB3 |
| 700 | 3.0 | 10.0 g/Nm3 Tar-1 | 2 | 1.34 | 2.7 | 1.1 | 1.6 | 0 | 0 |
| 700 | 2.0 | 10.0 g/Nm3 Tar-1 | 8 | 2.05 | 4.9 | 0.8 | 1.6 | 2.2 | 0.3 |
| 700 | 3.0 | 10.0 g/Nm3 Tar-1 | 8 | 1.99 | 5.2 | 1.4 | 1.3 | 2.3 | 0.2 |
| 700 | 4.0 | 10.0 g/Nm3 Tar-1 | 8 | 2.00 | 6.5 | 0.9 | 1.5 | 3.6 | 0.5 |
| 700 | 5.0 | 10.0 g/Nm3 Tar-1 | 8 | 2.02 | 4.5 | 0.8 | 2.7 | 0.9 | 0.1 |
| 650 | 3.0 | 10.0 g/Nm3 Tar-1 | 8 | 1.80 | 22.5 | 2.2 | 2.6 | 15.5 | 2.2 |
| 750 | 3.0 | 10.0 g/Nm3 Tar-1 | 8 | 1.99 | 4.6 | 1.4 | 1.4 | 1.8 | 0 |
| 800 | 3.0 | 10.0 g/Nm3 Tar-1 | 8 | 1.27 | 2.4 | 0.6 | 0.6 | 1.2 | 0 |
| 700 | 3.0 | 20.0 g/Nm3 Tar-1 | 8 | 1.85 | 20.8 | 1.2 | 2.3 | 14.0 | 3.3 |
| 700 | 3.0 | 30.0 g/Nm3 Tar-1 | 8 | 1.78 | 29.7 | 1.2 | 2.0 | 19.4 | 7.1 |
| 700 | 3.0 | 10.0 g/Nm3 Tar-2 | 8 | 2.23 | 6.0 | 1.3 | 2.9 | 1.5 | 0.3 |
| 700 | 3.0 | 10.0 g/Nm3 Tar-3 | 8 | 2.20 | 7.2 | 1.2 | 3.4 | 2.1 | 0.5 |
| Tar-Free Environment | Tar Model Environment | |||||
|---|---|---|---|---|---|---|
| T (°C) | S/C (-) 1 | Tar Model 2 | H2/CO (-) 3,4 | CO/CO2 (-) 4,5 | H2/CO (-) 3,4 | CO/CO2 (-) 4,5 |
| 700 | 2.0 | 10.0 g/Nm3 Tar-1 | 1.55 (1.38) | 1.11 (1.36) | 1.61 (1.43) | 1.07 (1.33) |
| 700 | 3.0 | 10.0 g/Nm3 Tar-1 | 1.90 (1.65) | 0.94 (1.12) | 1.78 (1.75) | 0.95 (1.02) |
| 700 | 4.0 | 10.0 g/Nm3 Tar-1 | 2.09 (1.93) | 0.74 (0.91) | 1.98 (2.06) | 0.87 (0.86) |
| 700 | 5.0 | 10.0 g/Nm3 Tar-1 | 2.18 (2.21) | 0.75 (0.76) | 2.36 (2.38) | 0.66 (0.72) |
| 650 | 3.0 | 10.0 g/Nm3 Tar-1 | 1.95 (1.84) | 0.77 (0.88) | 1.71 (1.96) | 0.84 (0.79) |
| 750 | 3.0 | 10.0 g/Nm3 Tar-1 | 1.79 (1.52) | 1.05 (1.37) | 1.75 (1.60) | 1.12 (1.29) |
| 800 | 3.0 | 10.0 g/Nm3 Tar-1 | 1.66 (1.42) | 1.22 (1.61) | 1.69 (1.49) | 1.14 (1.52) |
| 700 | 3.0 | 20.0 g/Nm3 Tar-1 | - | - | 1.65 (1.84) | 0.89 (0.95) |
| 700 | 3.0 | 30.0 g/Nm3 Tar-1 | - | - | 1.62 (1.92) | 0.96 (0.92) |
| 700 | 3.0 | 10.0 g/Nm3 Tar-2 | - | - | 1.73 (1.75) | 0.90 (0.98) |
| 700 | 3.0 | 10.0 g/Nm3 Tar-3 | - | - | 1.70 (1.75) | 0.97 (0.97) |
Disclaimer/Publisher’s Note: The statements, opinions and data contained in all publications are solely those of the individual author(s) and contributor(s) and not of MDPI and/or the editor(s). MDPI and/or the editor(s) disclaim responsibility for any injury to people or property resulting from any ideas, methods, instructions or products referred to in the content. |
© 2024 by the authors. Licensee MDPI, Basel, Switzerland. This article is an open access article distributed under the terms and conditions of the Creative Commons Attribution (CC BY) license (https://creativecommons.org/licenses/by/4.0/).
Share and Cite
Lysne, A.; Saxrud, I.; Madsen, K.Ø.; Blekkan, E.A. Steam Reforming of Tar Impurities from Biomass Gasification with Ni-Co/Mg(Al)O Catalysts—Operating Parameter Effects. Fuels 2024, 5, 458-475. https://doi.org/10.3390/fuels5030025
Lysne A, Saxrud I, Madsen KØ, Blekkan EA. Steam Reforming of Tar Impurities from Biomass Gasification with Ni-Co/Mg(Al)O Catalysts—Operating Parameter Effects. Fuels. 2024; 5(3):458-475. https://doi.org/10.3390/fuels5030025
Chicago/Turabian StyleLysne, Ask, Ida Saxrud, Kristin Ø. Madsen, and Edd A. Blekkan. 2024. "Steam Reforming of Tar Impurities from Biomass Gasification with Ni-Co/Mg(Al)O Catalysts—Operating Parameter Effects" Fuels 5, no. 3: 458-475. https://doi.org/10.3390/fuels5030025
APA StyleLysne, A., Saxrud, I., Madsen, K. Ø., & Blekkan, E. A. (2024). Steam Reforming of Tar Impurities from Biomass Gasification with Ni-Co/Mg(Al)O Catalysts—Operating Parameter Effects. Fuels, 5(3), 458-475. https://doi.org/10.3390/fuels5030025

