Abstract
Cigarette butts are an increasing environmental burden worldwide, and the quantities discarded each year could continue to rise. The chemical composition of cigarette butts, which comprises about 4000 different toxic chemicals, as well as their persistence in the environment and their potential negative effects pose a major threat to the environment as they regularly enter aquatic habitats and endanger water supplies and aquatic species. One effective way to reduce pollution is to recycle cigarette butts. The aim of this study is to evaluate the possibility of using extracts from cigarette butts (filter extract and extract from tobacco residues) as corrosion inhibitors for the Cu10Ni alloy in a 3.5% NaCl solution with a pH of 8 at different temperatures (12 °C, 20 °C and 25 °C). The determination of the electrochemical parameters, i.e., the corrosion behavior of the Cu10Ni alloy in a 3.5% NaCl solution and pH of 8, with and without modification of the alloy surface by cigarette butt extracts was tested using electrochemical measurements (electrochemical impedance spectroscopy and linear and potentiodynamic polarization methods). The surface properties of the Cu10Ni alloy modified with cigarette butt extracts were evaluated by goniometry, SEM analysis and FTIR spectrophotometry. The modification of the surface of the Cu10Ni alloy with an extract of tobacco residue and a filter extract separated from cigarette butts, whose presence on the surface was confirmed by the surface analysis methods, increased the corrosion resistance of the alloy, indicating that these substances have an inhibitory effect. The better inhibition properties (at all temperatures: 12 °C, 20 °C and 25 °C) were exhibited by the filter extract, and the highest inhibition effect was exhibited by the filter extract at 12 °C.
1. Introduction
The usual term for the remains of a cigarette after consumption is cigarette butt. According to Poppendieck [1], a cigarette butt is defined as the cigarette that remains after smoking at the end of the smoldering phase, i.e., when the entire cigarette butt has reached the temperature of the environment in which it is located. A cigarette butt essentially consists of the following components: Filter, cork or “stub paper”, glue, cigarette paper and tobacco. Tobacco (Nicotiana tabacum L.) is one of the most widely cultivated plants on Earth. It is an important crop for trade, agriculture and society. Tobacco has been used for chewing, snuffing and smoking. The production of filter cigarettes began in the second half of the 20th century when scientists discovered the link between smoking and lung cancer. After the introduction of the filter, the nicotine content per cigarette smoked fell from 2.7 to 0.85 mg and the tar content from 38 to 12 mg [2].
It is estimated that there are around 1.3 billion smokers worldwide today, and the number of cigarettes consumed annually is around 5 trillion. This high consumption of cigarettes leads to the production of toxic waste, most of which ends up in nature (4.5 trillion cigarettes/year) [3,4,5]. A study by Moriwaki et al. found that discarded cigarette butts are a source of arsenic, nicotine, polycyclic aromatic hydrocarbons and heavy metals in the environment [6]. Two main environmental problems are caused by discarded cigarette butts: the pollution of plastics due to the composition of cigarette filters, and the high concentration of harmful chemicals released from the filters into the environment, where they come into direct contact with humans, animals and vegetation [7,8,9]. There is a large number of scientific papers describing solutions for recycling this type of waste [10,11,12,13], some of which have already been applied in practice, and one of these solutions is the use of cigarette butts as an anti-corrosion agent.
As early as the 1960s, several studies were carried out in which the corrosion-inhibiting effect of nicotinic acid and nicotine (from tobacco leaves) on metals was investigated with excellent results [14]. In their study, Vahidhabanau et al. [15] investigated the corrosion-inhibiting effect of cigarette butt extract on the corrosion of J55 steel pipes for oil wells in a 15% HCl solution at 30 °C and 105 °C and at a concentration of 6%. Cigarette butts collected at airports, bus stations and roads are considered to be very effective inhibitors at 30 °C. Lucatero et al. [16] investigated the inhibition of iron corrosion in an acidic medium (HCl) using cigarette butt extract as an inhibitor. The results of their study showed that the aqueous extract of cigarette butts collected from bus stops and roads inhibits the corrosion of iron in an acidic medium and behaves as a mixed inhibitor. Zhao et al. [17] used cigarette butts to inhibit the corrosion of N80 steel in hydrochloric acid at 90 °C. They showed that the aqueous extracts of cigarette butts act as mixed inhibitors (anodic/cathodic) and that the inhibitory effect is related to the concentration of the cigarette butt extract. Zhao et al. [14] also conducted a study in which they compared the inhibitory effect of aerobic and anaerobic aqueous cigarette butt extracts on the corrosion of N80 steel in hydrochloric acid at 90 °C. The measurements showed that the inhibition effect of the aerobic inhibitor was better than that of the anaerobic, as a larger number of compounds are present under aerobic conditions. In a study conducted by Agustina et al. [18] corrosion inhibition tests were performed on the ASTM A36 steel (low-carbon steel) used in the construction of an oil platform. Extracts of tobacco, tea and cigarette butts were used as inhibitors. The lowest corrosion rate was achieved with the cigarette butt extract. Singh et al. [19] conducted a study in which they investigated the ability of tobacco from discarded cigarettes (NDC) to reduce the corrosion of copper and zinc in artificial seawater. The highest inhibitory effect was obtained for the highest inhibitor concentration, which showed a mixed inhibitory effect with a predominantly cathodic shift.
The aim of this study was to prepare extracts from cigarette butts (filter extract and extract from tobacco residues) and to test the possibility of using the extracts as corrosion inhibitors for the Cu10Ni alloy. This study was carried out at three temperatures: 12, 20 and 25 °C. Electrochemical impedance spectroscopy and potentiodynamic methods were used to investigate the corrosion properties of the Cu10Ni alloy in a 3.5% NaCl solution at pH 8, both with and without surface modification by the extracts from cigarette butts. The surface properties of the Cu10Ni alloy modified with cigarette butt extracts were determined by FTIR analysis, high-resolution scanning electron microscopy (SEM) and contact angle measurement.
2. Materials and Methods
2.1. Electrochemical and Surface Characterization
The corrosion of a Cu10Ni alloy in a 3.5% NaCl solution was analyzed using electrochemical techniques including open circuit potential measurement, linear polarization, electrochemical impedance spectroscopy and the linear Tafel method to evaluate the inhibitory effect of extracts from tobacco residues and cigarette filters. The Cu-Ni alloy used, with a composition of 88.512% Cu, 9.882% Ni, 1.086% Fe, 0.412% Mn, 0.046% Pb, 0.038% Al and 0.024% other elements in trace amounts, was purchased commercially. Reagent grade chemicals and reagents were used for the experiments without additional purification. The apparatus for carrying out the electrochemical measurements consisted of a double-walled electrochemical cell connected to a thermostat, a potentiostat/galvanostat and a computer. Five repeated measurements were performed as a control. In addition to the working electrode (Cu10Ni), the electrochemical cell also contained a counter electrode (Pt) and a reference electrode (Ag/AgCl). The measurements were carried out at three temperatures: 12, 20 and 25 °C. The working electrode or tested material consisted of a cylindrical Cu10Ni alloy sample with a diameter of 1 cm, soldered to an insulated copper wire and embedded and insulated in inert polyacrylate with an exposed area of 0.785 cm2. Before each measurement, the working electrode was mechanically processed with sandpaper and Al2O3 powder of different grain sizes, then ultrasonically cleaned in ethanol, washed with distilled water and dried. The electrode prepared in this way stood and was stirred in the inhibitor solution (tobacco residue extract/filter extract) for one hour and was then laid out to dry. The electrochemical measurements were carried out in a 3.5% sodium chloride solution (NaCl), which corresponds to the average salinity of the world’s oceans. The pH value of the solution was 8, which was adjusted by adding 1 M NaOH solution to the prepared NaCl solution. After a one-hour immersion period, both EIS and potentiodynamic measurements (at 1 mV s−¹) were performed. As shown in Figures S1 and S2, the potential–time measurements confirmed that steady-state potential values were reached within this period. Electrochemical impedance measurements were carried out for both the unmodified electrode made of the Cu10Ni alloy and the electrode modified with cigarette butt extracts in a 3.5% NaCl solution at pH 8, covering a frequency range from 100 kHz to 30 mHz with an excitation signal of 5 mV at open circuit potential. The experiments were performed with a Solartron SI 1287 Electrochemical Interface and a Solartron SI 1255 Frequency Response Analyzer, both connected to a personal computer.
To identify the characteristic functional groups in the cigarette butt extracts and to investigate the binding of the inhibitor, the electrode surface was analyzed by FTIR analysis, SEM analysis and measurement of the contact angle. The IR spectra were recorded with a Perkin-Elmer spectrometer (Agilent Technologies, Headquarters, Santa Clara, CA, USA). The FTIR spectrograms of the samples (average of 4 scans) were recorded using the HATR (Horizontal Attenuated Total Reflectance) method in the wavenumber range of 4000–650 cm−1 with a spectral resolution of 4 cm−1. The SEM/EDS analysis was performed using a JEOL JSM-7610F Plus scanning electron microscope. The wetting properties of the unmodified and modified Cu10Ni alloy surfaces were determined by measuring the contact angles of test liquids of different polarities (Milli Q water, dimethylformamide and methylcyanide) at a dosing volume of 1.0 μL. Measurements were performed at 25.0 ± 0.5 °C under ambient atmospheric conditions using a Biolin Scientific contact angle system (OneAttension). The contact angle values given in the paper are the average of five measurements taken after 5 s of stabilization at different points on the substrate’s surface.
2.2. Production of Inhibitors
From butts collected in coffee shops in the area of the city of Split, the remains of the cigarette paper and the butt were separated; then, from the butts, the tobacco remains and the filters were separated. A total of 19 g of tobacco residues or filters was extracted in 380 mL of a 1:1 solution of water and ethanol at room temperature. The extraction lasted 7 days in a glass container sealed with paraffin tape. After seven days, the samples were filtered [15].
3. Results and Discussion
3.1. Electrochemical Impedance Spectroscopy
Figure 1 and Figure 2 show the electrochemical impedance spectra for the Cu10Ni alloy electrode with and without the addition of cigarette extracts, recorded at open circuit potential and in a wide frequency range (100 kHz–30 mHz) with an excitation signal amplitude of 5 mV. The spectra were recorded in a 3.5% NaCl solution at pH 8 and at different electrolyte temperatures. The results are presented in the form of Nyquist and Bode plots. The Bode plot for the unmodified electrode at 12 and 20 °C shows that there is only one time constant. Therefore, these results are fitted using a simple EEC (without the Warburg element). All other EIS results were evaluated with the equivalent circuit (EEC) shown in Figure 3. The phase-constant element (CPE1) in the equivalent circuit diagram is connected in parallel with the resistor (R1), which is in series with the phase-constant element (CPE2) and the resistor (R2) connected in parallel. CPE1 is attributed to the capacitance of the film and CPE2 to the double layer capacitance, while R1 represents the pore resistance and R2 the charge transfer resistance [20,21,22].
Figure 1.
Nyquist and Bode diagram of the impedance spectrum of an electrode made of a Cu10Ni alloy in a 3.5% NaCl solution at pH 8 and at various electrolyte temperatures at open circuit potential (Eocp)—unmodified electrode.
Figure 2.
Nyquist and Bode diagrams of the impedance spectra for electrodes made of a Cu10Ni alloy modified with tobacco residue extract (a) and with the filter extract (b) in a 3.5% NaCl solution at pH 8 and at various electrolyte temperatures at open circuit potential (Eocp).
Figure 3.
Representation of the equivalent electrical circuit used for EIS spectrum analysis.
Figure 1 and Figure 2 show that the corrosion resistance of the Cu10Ni alloy is higher at lower electrolyte temperatures. The diameter of the capacitive semicircle in the Nyquist diagram, which corresponds to the polarization resistance, increases when cigarette butt extract is applied to the electrode. The Cu10Ni electrode modified with filter extract has the highest corrosion resistance. In the Bode diagram, the maximum phase angle for the electrode modified with the tobacco residue extract is reached at 12 °C, while the maximum phase angle is reached at 20 °C in the case of the filter extract. This can be explained by the fact that a more compact and homogeneous film forms on the surface of the sample at these temperatures, which leads to better capacitive behavior [16,23,24].
From the data in Table 1, it can be seen that the polarization resistance values (Rp = R1 + R2) of the unmodified alloy decrease with increasing temperatures. The polarization resistance is highest for the electrode modified by the filter extract and is 37.1 kΩ cm2. The values of the constant phase element Q2, which are inversely proportional to the thickness of the protective film, increase with increasing temperatures for both the extract from tobacco residues and the filter extract [25,26]. These values are significantly higher for the tobacco residue extract. All this indicates a better stability of the electrode in the case of modification with the filter extract, which is also evidenced by the effectiveness, which is highest at 12 °C.
Table 1.
The values obtained by fitting for the elements of the electrical equivalent circuit diagram with the impedance spectra of the electrode made of a Cu10Ni alloy in 3.5% sodium chloride solution at pH 8 and at various electrolyte temperatures at open circuit potential (Eocp) unmodified and modified with the cigarette butt extracts.
3.2. The Tafel Extrapolation Method
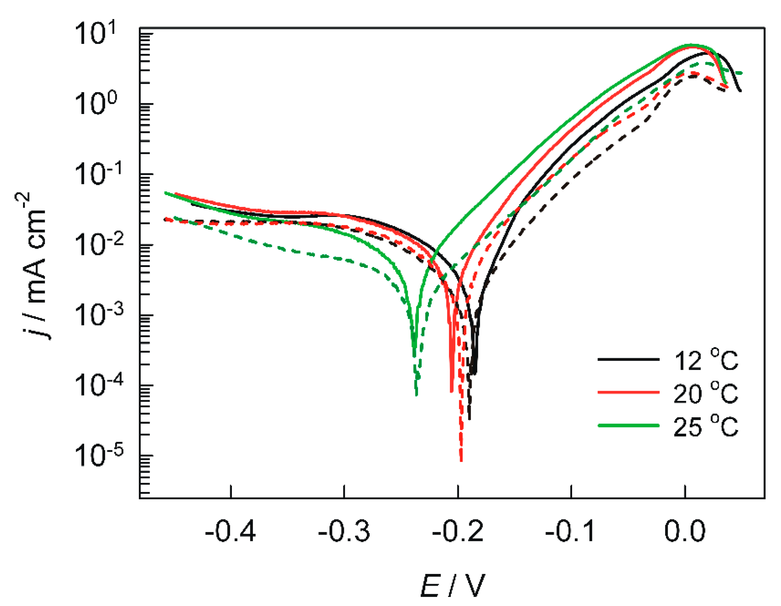
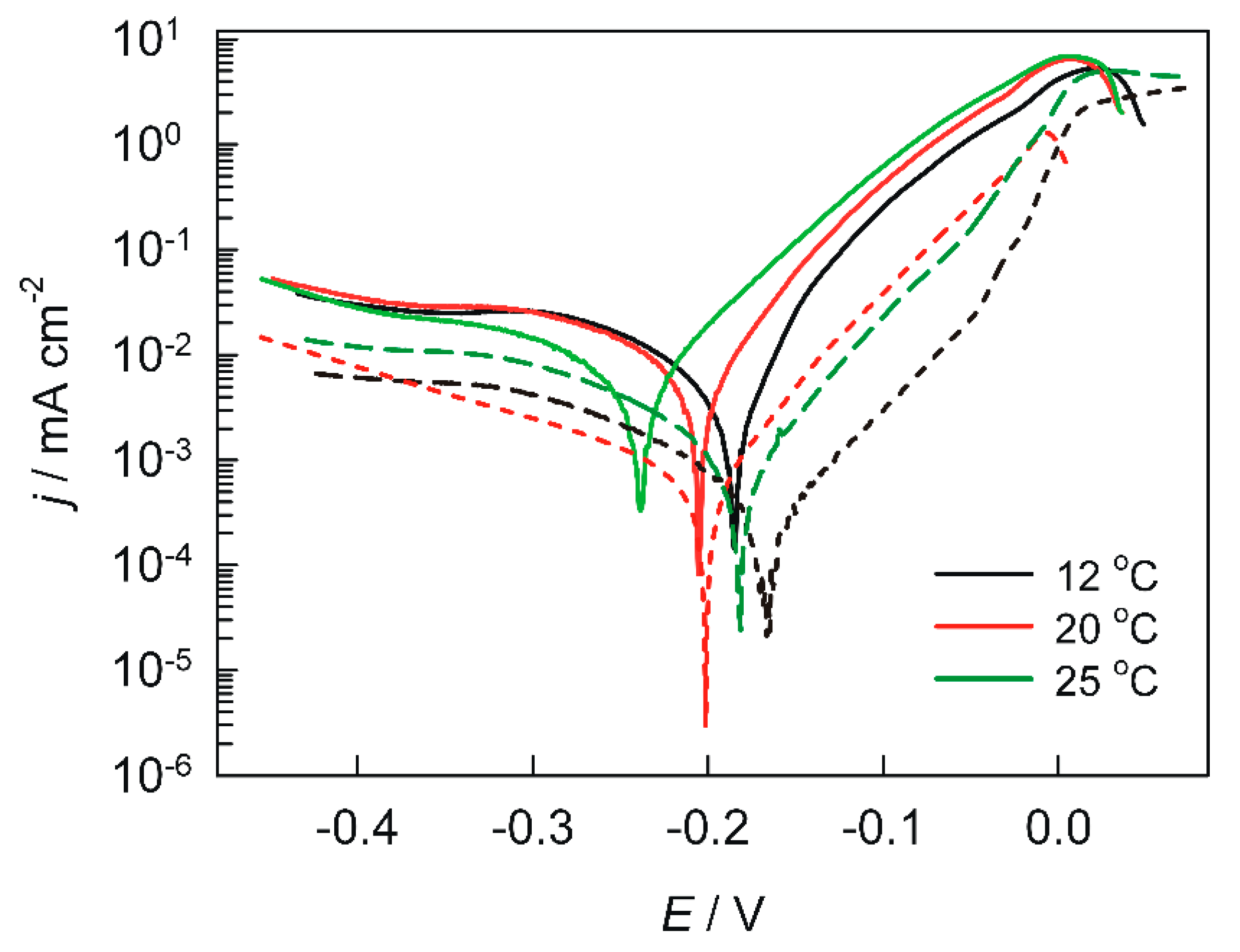
Figure 4 and Figure 5 show Tafel plots of the polarization curves of the Cu10Ni alloy electrode in a 3.5% NaCl solution (pH 8), with the results shown at various electrolyte temperatures (12 °C, 20 °C and 25 °C) both with and without the addition of extracts. The experiments were carried out over a wide potential range close to the open circuit potential with a scan rate of 1 mV s−1.
Figure 4.
Tafel plot of the polarization curves for electrodes made of a Cu10Ni alloy in a 3.5% sodium chloride solution at pH 8 and at various electrolyte temperatures, both unmodified (solid lines) and modified with tobacco residue extract (dashed lines).
Figure 5.
Tafel plot of the polarization curves for electrodes made of a Cu10Ni alloy in a 3.5% sodium chloride solution at pH 8 and at various electrolyte temperatures, both unmodified (solid lines) and modified with filter extract (dotted lines).
Figure 4 and Figure 5 show that the values of the anodic and cathodic corrosion current density for the Cu10Ni alloy electrode are reduced by modifying its surface, i.e., by adding both extracts, which leads to an increase in corrosion resistance. The most significant decrease in the anodic and cathodic corrosion currents is observed at an electrolyte temperature of 12°C and with the addition of filter extract.
The values of the corrosion parameters were determined using the Tafel extrapolation method (Table 2): corrosion current density (jcorr), corrosion potential (Ecorr) and slopes of the cathodic and anodic Tafel lines (bc and ba).
Table 2.
Values of the corrosion kinetic parameters determined by Tafel extrapolation for the electrode made of Cu10Ni alloys in a 3.5% sodium chloride solution, pH 8, at different electrolyte temperatures (12 °C, 20 °C and 25 °C), both unmodified and modified with the cigarette butt extracts.
The good corrosion resistance of this alloy is the result of the solid-phase separation reaction of the nickel ions, which reduces the cationic cavities normally present in an inner, thin, strongly adherent protective oxide layer of Cu2O on the surface of the Cu10Ni alloy [27]. This increasing current density with increasing potential is due to reactions on the metal surface that occur naturally in seawater and can be defined by the following equations [28,29,30]:
The effectiveness of the extracts used to modify the Cu10Ni alloy electrode was determined from the values of the corrosion current densities using Expression (5):
where jn is the value of the corrosion current density of the unmodified Cu10Ni alloy electrode and jp is the value of the corrosion current density of the modified Cu10Ni alloy electrode. Table 2 shows that the corrosion current decreases in the presence of both cigarette butt extract types, indicating their inhibitory effect [31]. The lowest value was obtained with the filter extract at 12 °C. It can also be observed that these measurements show the highest efficacy for the filter extract at 12 °C. At higher temperatures (20 °C and 25 °C), the efficacy decreases, but the values are still high (≥90%). For tobacco residue extract, the efficacy increases from lower to higher temperatures. The values are significantly lower compared to the filter extract, so that the highest efficiency of 68 is achieved at 25 °C.
ƞ (%)= (jn − jp)/jn,
3.3. Morphological Analysis of the Electrode Surface
3.3.1. FTIR Analysis
To determine the presence of cigarette butt extracts, an FTIR spectrum of the surface of the Cu10Ni alloy was recorded. A Cu10Ni alloy plate was immersed in cigarette butt extract for 1 h.
The results of analyzing the surface of the Cu10Ni alloy in the presence of cigarette butt extract inhibitors by FTIR spectroscopy are shown in Figure 6. Based on the available literature, the vibrational bands were compared and the functional groups were identified. FTIR analysis verified that both types of cigarette butt extracts were present on the surface of the Cu10Ni alloy. A stretching at 3788 cm−1 can be observed on the Cu10Ni alloy plate modified with residual tobacco extract, which can be attributed to the N–H bond stretching characteristic of amines. The peaks at 2924 and 2853 cm−1 belong to C–H vibrations. The value of 1741 cm−1 can be attributed to C=C bond stretching in the aromatic ring, while the value of 1617 cm−1 is due to C=N stretching in the aromatic ring. The range of 1200–1025 cm−1 indicates C–N bonds. In the Cu10Ni alloy plate to which the filter extract was applied, C–H bond stretching can be observed at wavenumbers of 2940 and 2879 cm−1. The very pronounced peak at 1749 cm−1 corresponds to the stretching of the C=O bond of the carbonyl group, which may be due to the presence of aldehydes, ketones, carboxylic acids, esters or amides. Since there is neither a characteristic –NH2 peak indicating the presence of amides nor a peak of the –OH group of carboxylic acids, the existence of these two compounds can be ruled out. Two signals very characteristic of aldehydes are also missing, occurring in the range 2700–2775 cm−1 and 2820–2900 cm−1, while the very pronounced peaks at 1223 and 1050 cm−1 are characteristic of the C–O stretching in esters [32,33,34]. The results of the FTIR analysis confirm that extracts of cigarette butts are adsorbed on the surface of the Cu10Ni alloy, as the peaks shown correspond to the functional groups of chemical compounds that are part of the chemical composition of the cigarette butt extract, as reported in the studies by Zhao et al. [13,17]. The inhibition of the active dissolution of the metal is due to the adsorption of the molecules of the cigarette butt extracts on the metal surface, which form a protective layer [35].
Figure 6.
FTIR spectrum of a Cu10Ni alloy plate (black), a Cu10Ni alloy plate modified with an extract of tobacco residue (blue) and a filter extract (red).
3.3.2. SEM/EDS Analysis
The surface of the Cu10Ni alloy plate to which both cigarette extracts were applied was analyzed by high-resolution scanning electron microscopy (SEM) with energy dispersive spectroscopy (EDS) (Figure 7 and Figure 8).
Figure 7.
SEM image at ×1800 magnification (1.0 kV LEI) of a Cu10Ni alloy plate coated with an extract of tobacco residue (a), mapping for oxygen (b), copper (c), carbon (d), nickel (e) and potassium (f), as well as corresponding element mapping image (g). EDS diagram for a Cu10Ni alloy plate coated with an extract of tobacco residue (h).

Figure 8.
SEM image (1 kV SEI) at × 550 (a) and (b) × 6000 magnification (0.5 keV SEI) of the surface of the Cu10Ni alloy plate to which the filter extract was applied, mapping for oxygen (c), carbon (d), copper (e), calcium (f) and aluminum (g), and elemental mapping the position of the 4th surface (h). EDS diagram for the Cu10Ni alloy plate to which the filter extract was applied (i).
The EDS analysis confirmed the better inhibitory properties of the filter extract, as the analysis of the Cu10Ni alloy plate to which the filter extract was applied showed a much lower mass fraction of copper (0.8%) than the mass fraction of copper on the surface of the Cu10Ni alloy to which the tobacco residue extract was applied (2.0%). Nickel was not detected at all on the surface of the Cu10Ni alloy protected by the filter extract using EDS analysis, while its mass fraction on the surface modified by the tobacco residue extract was 0.2%. The above differences in the mass fractions indicate a better coverage of the surface of the Cu10Ni alloy by the filter extract.
3.3.3. Contact Angle Measurements
The properties of the layers formed on the surface of the Cu10Ni alloy were determined by measuring the contact angle. The contact angles, θ, at the interfaces Cu10Ni alloy|liquid, Cu10Ni alloy|tobacco residue extract|liquid and Cu10Ni alloy|filter extract|liquid (liquid: water, DMF, MeCN) are given in Table 3. The surface free energies γ for the unmodified and modified Cu10Ni alloy samples were calculated based on the contact angle values using the Young–Laplace model [26,36,37]. The free energy values of the unmodified and modified Cu10Ni alloy surfaces are also listed in Table 3.
Table 3.
Measured contact angle values, surface free energy and their dispersive component values calculated with the Young–Laplace model for the surface of unmodified and modified Cu10Ni alloy samples.
The higher contact angle values recorded for water on the modified Cu10Ni alloy surface (compared to the unmodified surface) indicate the successful formation of a stable layer for both cigarette butt extracts on the Cu10Ni alloy surface (Table 3). The results obtained using the Young–Laplace model indicate a decrease in the surface free energy of the unmodified Cu10Ni alloy in the presence of a layer of cigarette butt extracts (Table 3) [38,39].
4. Conclusions
In this study, the corrosion of the Cu10Ni alloy in a 3.5% NaCl solution at pH 8 at different temperatures (12 °C, 20 °C and 25 °C) and the protective effect of extracts from cigarette butts (tobacco residues and filters) were investigated. The following conclusions were drawn on the basis of the measurements: Modifying the surface of the Cu10Ni alloy with extracts from cigarette butts increases the corrosion resistance of the alloy, suggesting that these substances have an inhibitory effect. Electrochemical measurements showed that the filter extract had a superior inhibitory effect at all temperatures tested, and the highest inhibition effect was exhibited by the filter extract at 12 °C. Surface characterization techniques, including FTIR, SEM and contact angle measurements, confirmed the adsorption of cigarette butt extracts on the alloy’s surface. Nicotine, an alkaloid found in cigarette tobacco, can serve as a potential corrosion inhibitor for copper as it is rich in N atoms and benzene rings and these structures facilitate metal–solution interactions through adsorption. The use of cigarette butts as corrosion inhibitors can simultaneously protect the environment and make waste recycling profitable.
Supplementary Materials
The following supporting information can be downloaded at https://www.mdpi.com/article/10.3390/electrochem5040038/s1. The supplementary information includes open circuit potential measurements. Figure S1: Dependence of the open circuit potential on time for an electrode made of a Cu10Ni alloy in a 3.5% sodium chloride solution at pH 8 and at various electrolyte temperatures—unmodified electrode; Figure S2: Dependence of the open circuit potential on time for an electrode made of a Cu10Ni alloy modified with tobacco residue extract in a 3.5% NaCl solution, pH 8, at different electrolyte temperatures (12 °C, 20 °C and 25 °C)—modified electrode.
Author Contributions
Conceptualization, V.Š. and I.Š.R.; methodology, V.Š. and I.Š.R.; software, V.Š., N.V. and I.Š.R.; validation, V.Š., N.V. and I.Š.R.; formal analysis, V.Š. and I.Š.R.; investigation, V.Š.; resources, V.Š. and N.V.; data curation, I.Š.R.; writing—original draft preparation, I.Š.R.; writing—review and editing, V.Š., N.V. and I.Š.R.; visualization, V.Š. and I.Š.R.; supervision, I.Š.R. All authors have read and agreed to the published version of the manuscript.
Funding
This research received no external funding.
Institutional Review Board Statement
Not applicable.
Informed Consent Statement
Not applicable.
Data Availability Statement
Data are contained within the article.
Conflicts of Interest
The authors declare no conflicts of interest.
References
- Poppendieck, D.; Khurshid, S.; Emmerich, S. Measuring Airborne Emissions from Cigarette Butts: Literature Review and Experimental Plan; Final Report to U.S. Food and Drug Administration under Interagency Agreement #244-15-9012; National Institute of Standards and technology US Department of commerce: Gaithersburg, MA, USA, 2016. [CrossRef]
- Kurmus, H.; Mohajerani, A. The toxicity and valorization options of cigarette butts. Waste Manag. 2020, 104, 104–118. [Google Scholar] [CrossRef] [PubMed]
- Micevska, T.; Warne, M.S.J.; Pablo, F.; Patra, R. Variation in, and causes of, toxicity of cigarette butts to a cladoceran and microtox. Arch. Environ. Contam. Toxicol. 2006, 50, 205–212. [Google Scholar] [CrossRef] [PubMed]
- Dobaradaran, S.; Schmidt, T.C.; Kaziur-Cegla, W.; Jochmann, M.A. BTEX compounds leachates from cigarette butts into water environment: A primary study. Environ. Pollut. 2021, 269, 116185. [Google Scholar] [CrossRef] [PubMed]
- Lima, C.F.; Amaral dos Santos Pinto, M.; Choueri, R.B.; Moreira, L.B.; Castro, Í.B. Occurrence, characterization, partition, and toxicity of cigarette butts in a highly urbanized coastal area. Waste Manag. 2021, 131, 10–19. [Google Scholar] [CrossRef]
- Moriwaki, H.; Kitajima, S.; Katahira, K. Waste on the roadside, ‘poi-sute’ waste: Its distribution and elution potential of pollutants into environment. Waste Manag. 2009, 29, 1192–1197. [Google Scholar] [CrossRef]
- Emmons, K.M.; Abrams, D.B.; Marshall, R.; Marcus, B.; Kane, H.M.; Novotny, T.E.; Etzel, R.A. An evaluation of the relationship between self-report and biochemical measures of environmental tobacco smoke exposure. Prev. Med. 1994, 23, 35–39. [Google Scholar] [CrossRef]
- Slaughter, E.; Gersberg, R.M.; Watanabe, K.; Rudolph, J.; Stransky, C.; Novotny, T.E. Toxicity of cigarette butts and their chemical components, to marine and freshwater fish. Tob. Control 2011, 20, 25–29. [Google Scholar] [CrossRef]
- Tobacco and Its Environmental Impact: An Overview; World Health Organization: Geneva, Switzerland, 2017; Available online: https://apps.who.int/iris/bitstream/handle/10665/255574/9789241512497-eng.pdf (accessed on 11 October 2024).
- Burich, B. Process and Method for Recycling Cigarette Butts. U.S. Patent 2009113789, 7 May 2009. [Google Scholar]
- Bandi, R.; Devulapalli, N.P.; Dadigala, R.; Gangapuram, B.R.; Guttena, V. Facile Conversion of Toxic Cigarette Butts to N,S-Codoped Carbon Dots and Their Application in Fluorescent Film, Security Ink, Bioimaging, Sensing and Logic Gate Operation. ACS Omega 2018, 3, 13454–13466. [Google Scholar] [CrossRef]
- Yousefi, M.; Kermani, M.; Farzadkia, M.; Godini, K.; Torkashvand, J. Challenges on the recycling of cigarette butts. Environ. Sci. Pollut. Res. 2021, 28, 30452–30458. [Google Scholar] [CrossRef]
- Zhao, J.; Zhang, N.; Qu, C.; Zhang, J.; Zhang, X. Comparison of the corrosion inhibitive effect of anaerobic and aerobic cigarette butts water extracts on N80 steel at 90 °C in hydrochloric acid solution. Ind. Eng. Chem. Res. 2010, 49, 12452–12460. [Google Scholar] [CrossRef]
- Conradi, M.; Sánchez-Moyano, J.E. Toward a sustainable circular economy for cigarette butts, the most common waste worldwide on the coast. Sci. Total Environ. 2022, 847, 157634. [Google Scholar] [CrossRef] [PubMed]
- Vahidhabanu, S.; Rameshbabu, B.; Babu, P.S.; Rahman, H.A. Study of cigarette butts extract as corrosive inhibiting agent in J55 steel material. Int. J. Res. Eng. Technol. 2014, 3, 444–452. Available online: https://citeseerx.ist.psu.edu/document?repid=rep1&type=pdf&doi=7f62891e05cdaf6018a3603d55dd387c4df23f92 (accessed on 16 October 2024).
- Lucatero, L.M.B.; Ortega, D.T.; Pandiyan, T.; Singh, N.; Singh, H.; Sarao, T.P.S. Corrosion inhibition studies of cigarette waste on the iron surface in acid medium: Electrochemical and surface morphology analysis. Anti-Corros. Methods Mater. 2016, 63, 245–255. [Google Scholar] [CrossRef]
- Zhao, J.; Zhang, N.; Qu, C.; Zhan, X.W.J.; Zhang, X. Cigarette butts and their application in corrosion inhibition for N80 steel at 90 C in a hydrochloric acid solution. Ind. Eng. Chem. Res. 2010, 49, 3986–3991. [Google Scholar] [CrossRef]
- Agustina, C.; Pratama, P.; Selviana, A.; Suntoyo; Junianto, S. Effect of Cigarette Butts Extraction on the Corrosion Rate of ASTM A36 for Jacket Platform. In Proceedings of the 7th International Seminar on Ocean and Coastal Engineering, Environmental and Natural Disaster Manage-ment—ISOCEEN; SciTePress–Science and Technology Publications: Setúbal, Portugal, 2019; pp. 225–230. [Google Scholar] [CrossRef]
- Singh, A.; Dayu, X.; Ituen, E.; Ansari, K.; Quraishi, M.A.; Kaya, S.; Lin, Y. Tobacco extracted from the discarded cigarettes as an inhibitor of copper and zinc corrosion in an ASTM standard D1141-98(2013) artificial seawater solution. J. Mater. Res. Technol. 2020, 9, 5161–5173. [Google Scholar] [CrossRef]
- Škugor Rončević, I.; Vladislavić, N.; Buzuk, M.; Buljac, M. Electrodeposition of hydroxyapatite coating on Mg alloy modified with organic acid self-assembled monolayers. J. Chem. Res. 2020, 44, 212–220. [Google Scholar] [CrossRef]
- Zhang, X.; Zheng, Y.; Wang, X.; Yan, Y.; Wu, W. Corrosion Inhibition of N80 Steel Using Novel Diquaternary Ammonium Salts in 15% Hydrochloric Acid. Ind. Eng. Chem. Res. 2014, 53, 14199–14207. [Google Scholar] [CrossRef]
- Amirudin, A.; Thieny, D. Application of electrochemical impedance spectroscopy to study the degradation of polymer-coated metals. Prog. Org. Coat. 1995, 26, 1–28. [Google Scholar] [CrossRef]
- Abd El-Rehim, S.S.; Khaled, K.F.; Abd El-Shafi, N.S. Electrochemical frequency modulation as a new technique for monitoring corrosion inhibition of iron in acid media by new thiourea derivative. Electrochim. Acta 2006, 51, 3269–3277. [Google Scholar] [CrossRef]
- Huang, X.; Kwok, C.T.; Niu, B.; Luo, J.; Zou, X.; Cao, Y.; Yi, J.; Pan, L.; Qiu, W.; Zhang, X. Anisotropic behavior of super duplex stainless steel fabricated by wire arc additive manufacturing. J. Mater. Res. Technol. 2023, 27, 1651–1664. [Google Scholar] [CrossRef]
- Li, X.H.; Deng, S.D.; Fu, H. Inhibition by Jasminum nudiflorum Lindl. Leaves extract of the corrosion of cold rolled steel in hydrochloric acid solution. J. Appl. Electrochem. 2010, 40, 1641–1649. [Google Scholar] [CrossRef]
- Lagrenee, M.; Mernari, B.; Bouanis, M.; Traisnel, M.; Bentiss, F. Study of the mechanism and inhibiting efficiency of 3,5-bis(4-methylthiophenyl)-4H-1,2,4-triazole on mild steel corrosion in acidic media. Corros. Sci. 2002, 44, 573–588. [Google Scholar] [CrossRef]
- Mathiyarasu, J.; Palaniswamy, N.; Muralidharan, V.S. Corrosion resistance of cupronickels-An overview. Corros. Rev. 2000, 18, 65–103. [Google Scholar] [CrossRef]
- Škugor Rončević, I.; Vladislavić, N.; Grubač, Z.; Brinić, S.; Buzuk, M. Znanstveno-istraživačka djelatnost Zavoda za opću i anorgansku kemiju u razdoblju 2010–2020. Kem. Ind. 2020, 69, 531–539. [Google Scholar] [CrossRef]
- Le Guyader, H.; Grolleau, A.; Lemieux, E.; Lucas, K.; Wolejsza, T. 70/30 Copper-Nickel Seawater Piping Systems-Use of Descaling Agents and Their Effects on Corrosion Properties, u D. Féron (ur.) Corrosion Behaviour and Protection of Copper and Aluminium Alloys in Seawater; Woodhead Publishing: Cambridge, UK, 2007; pp. 95–115. [Google Scholar] [CrossRef]
- Sun, B.; Ye, T.; Feng, Q.; Yao, J.; Wei, M. Accelerated degradation test and predictive failure analysis of B10 copper-nickel alloy under marine environmental conditions. Materials 2015, 8, 6029–6042. [Google Scholar] [CrossRef]
- Dariva, C.G.; Galio, A.F. Corrosion inhibitors–principles, mechanisms and applications. Dev. Corros. Prot. 2014, 16, 365–378. [Google Scholar] [CrossRef]
- Škugor Rončević, I.; Buzuk, M.; Buljac, M.; Vladislavić, N. The Preparation, Morphological Characterization and Possible Electroanalytical Application of a Hydroxyapatite-Modified Glassy Carbon Electrode. Crystals 2021, 11, 772. [Google Scholar] [CrossRef]
- Balić, T.; Paurević, M.; Počkaj, M.; Medvidović-Kosanović, M.; Goman, D.; Széchenyi, A.; Preisz, Z.; Kunsági-Máté, S. Influence of Aliphatic Chain Length on Structural, Thermal and Electrochemical Properties of n-alkylene Benzyl Alcohols: A Study of the Odd–Even Effect. Molecules 2022, 27, 3781. [Google Scholar] [CrossRef]
- Mbarek, W.B.; Daza, J.; Escoda, L.; Fiol, N.; Pineda, E.; Khitouni, M.; Suñol, J.-J. Removal of Reactive Black 5 Azo Dye from Aqueous Solutions by a Combination of Reduction and Natural Adsorbents Processes. Metals 2023, 13, 474. [Google Scholar] [CrossRef]
- Von Fraunhofer, J.A. Coatings Including Tobacco Products as Corrosion Inhibitors. U.S. Patent. 0295728, 11 December 2008. Available online: https://patentimages.storage.googleapis.com/93/0c/de/b6fed48ec8f5ab/WO2008151028A2.pdf (accessed on 16 October 2024).
- Gao, I.; McCarthy, T.J. Contact angle hysteresis explained. Langmuir 2006, 22, 6234–6237. [Google Scholar] [CrossRef] [PubMed]
- Feng, L.; Li, S.; Li, Y.; Li, H.; Zhang, L.; Zhai, J.; Song, Y.; Liu, B.; Jiang, L.; Zhu, D. Superhydrophobic surfaces: From natural to artificial. Adv. Mater. 2002, 14, 1857–1860. [Google Scholar] [CrossRef]
- Blossey, R. Self-cleaning surfaces—Virtual realities. Nat. Mater. 2003, 2, 301–306. [Google Scholar] [CrossRef] [PubMed]
- Van Oss, C.J. Interfacial Forces in Aqueous Media, 2nd ed.; CRC Press: Boca Raton, FL, USA, 2006. [Google Scholar] [CrossRef]
Disclaimer/Publisher’s Note: The statements, opinions and data contained in all publications are solely those of the individual author(s) and contributor(s) and not of MDPI and/or the editor(s). MDPI and/or the editor(s) disclaim responsibility for any injury to people or property resulting from any ideas, methods, instructions or products referred to in the content. |
© 2024 by the authors. Licensee MDPI, Basel, Switzerland. This article is an open access article distributed under the terms and conditions of the Creative Commons Attribution (CC BY) license (https://creativecommons.org/licenses/by/4.0/).








