Micromolar Levofloxacin Sensor by Incorporating Highly Crystalline Co3O4 into a Carbon Paste Electrode Structure
Abstract
1. Introduction
2. Materials and Methods
2.1. Reagents and Apparatus
2.2. Material Preparation
2.3. Electrode Preparation
3. Results
3.1. Morphology and Structure Characterization
3.2. Electrochemical Characterization of Materials
3.3. Detection of LEV
3.4. Optimization of pH of the Supporting Electrolyte
3.5. Electrochemical Behavior of LEV at Different Scan Rates over Co3O4/CPE Sensor
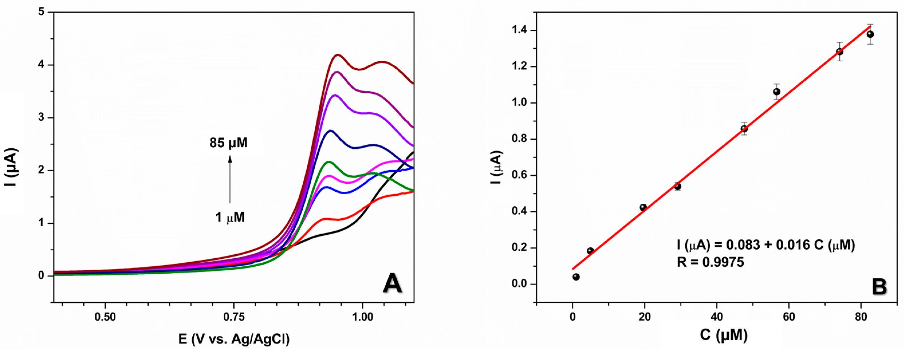
3.6. Quantification of LEV
3.7. Interference Measurement
3.8. Application of a Modified Electrode for the Determination of LEV
4. Discussion
5. Conclusions
Author Contributions
Funding
Institutional Review Board Statement
Informed Consent Statement
Data Availability Statement
Conflicts of Interest
References
- Rkik, M.; Brahim, M.B.; Samet, Y. Electrochemical determination of levofloxacin antibiotic in biological samples using boron-doped diamond electrode. J. Electroanal. Chem. 2017, 794, 175–181. [Google Scholar] [CrossRef]
- Siporin, C.; Heifetz, C.L.; Domagala, J.M. (Eds.) The New generation of quinolones. In Infectious Disease and Therapy; M. Dekker: New York, NY, USA, 1990; Volume 5. [Google Scholar]
- Wolfson, J.S.; Hooper, D.C. Fluoroquinolone antimicrobial agents. Clin. Microbiol. Rev. 1989, 2, 378–424. [Google Scholar] [CrossRef] [PubMed]
- Anderson, G.J. Quinolone Antimicrobial Agents, 3rd ed.; Emerg Infectious Diseases; CDC: Atlanta, GA, USA, 2004; Volume 10, p. 1177. [Google Scholar] [CrossRef]
- Tunitskaya, V.L.; Khomutov, A.R.; Kochetkov, S.N.; Kotovskaya, S.K.; Charushin, V.N. Inhibition of DNA gyrase by levofloxacin and related fluorine-containing heterocyclic compounds. Acta Nat. 2011, 3, 94–99. [Google Scholar] [CrossRef]
- Podder, V.; Sadiq, N.M. Levofloxacin. In StatPearls; StatPearls Publishing: Treasure Island, FL, USA, 2022. [Google Scholar]
- Ghanbari, M.H.; Khoshroo, A.; Sobati, H.; Ganjali, M.R.; Rahimi-Nasrabadi, M.; Ahmadi, F. An electrochemical sensor based on poly (l-Cysteine)@AuNPs @ reduced graphene oxide nanocomposite for determination of levofloxacin. Microchem. J. 2019, 147, 198–206. [Google Scholar] [CrossRef]
- Maleque, M.; Hasan, M.R.; Hossen, F.; Safi, S. Development and validation of a simple UV spectrophotometric method for the determination of levofloxacin both in bulk and marketed dosage formulations. J. Pharm. Anal. 2012, 2, 454–457. [Google Scholar] [CrossRef] [PubMed]
- Zhan, Y.; Zhang, Y.; Li, Q.; Du, X. Selective spectrophotometric determination of paracetamol with sodium nitroprusside in pharmaceutical and biological samples. J. Anal. Chem. 2011, 66, 215–220. [Google Scholar] [CrossRef]
- Szerkus, O.; Jacyna, J.; Wiczling, P.; Gibas, A.; Sieczkowski, M.; Siluk, D.; Matuszewski, M.; Kaliszan, R.; Markuszewski, M.J. Ultra-high performance liquid chromatographic determination of levofloxacin in human plasma and prostate tissue with use of experimental design optimization procedures. J. Chromatogr. B Analyt Technol. Biomed. Life Sci. 2016, 1029–1030, 48–59. [Google Scholar] [CrossRef]
- Attimarad, M. Simultaneous determination of paracetamol and lornoxicam by RP-HPLC in bulk and tablet formulation. Pharm. Methods 2011, 2, 61–66. [Google Scholar] [CrossRef] [PubMed]
- Shao, X.; Li, Y.; Liu, Y.; Song, Z. Rapid determination of levofloxacin in pharmaceuticals and biological fluids using a new chemiluminescence system. J. Anal. Chem. 2011, 66, 102–107. [Google Scholar] [CrossRef]
- Khoshsafar, H.; Bagheri, H.; Rezaei, M.; Shirzadmehr, A.; Hajian, A.; Sepehri, Z. Magnetic Carbon Paste Electrode Modified with a High Performance Composite Based on Molecularly Imprinted Carbon Nanotubes for Sensitive Determination of Levofloxacin. J. Electrochem. Soc. 2016, 163, B422–B427. [Google Scholar] [CrossRef]
- Mutić, T.; Ognjanović, M.; Kodranov, I.; Robić, M.; Savić, S.; Krehula, S. The influence of bismuth participation on the morphological and electrochemical characteristics of gallium oxide for the detection of adrenaline. Anal. Bioanal. Chem. 2023, 415, 4445–4458. [Google Scholar] [CrossRef] [PubMed]
- Özcan, A.; Hamid, F.; Özcan, A.A. Synthesizing of a nanocomposite based on the formation of silver nanoparticles on fumed silica to develop an electrochemical sensor for carbendazim detection. Talanta 2021, 222, 121591. [Google Scholar] [CrossRef] [PubMed]
- Özcan, A.; Ilkbaş, S. Preparation of poly(3,4-ethylenedioxythiophene) nanofibers modified pencil graphite electrode and investigation of over-oxidation conditions for the selective and sensitive determination of uric acid in body fluids. Anal. Chim. Acta 2015, 891, 312–320. [Google Scholar] [CrossRef]
- Özcan, A.; Ilkbaş, S. Poly(pyrrole-3-carboxylic acid)-modified pencil graphite electrode for the determination of serotonin in biological samples by adsorptive stripping voltammetry. Sens. Actuators B Chem. 2015, 215, 518–524. [Google Scholar] [CrossRef]
- Thangavelu, K.; Parameswari, K.; Kuppusamy, K.; Haldorai, Y. A simple and facile method to synthesize Co3O4 nanoparticles from metal benzoate dihydrazinate complex as a precursor. Mater. Lett. 2011, 65, 1482–1484. [Google Scholar] [CrossRef]
- Mariappan, K.; Alagarsamy, S.; Chen, S.-M.; Subramanian, S. Electrochemical Detection of Metronidazole by the Fabricated Composites of Orthorhombic Iron Tungsten Oxide Decorated with Carbon Nanofiber Composites Electrode. J. Electrochem. Soc. 2023, 170, 037514. [Google Scholar] [CrossRef]
- Apetrei, C.; Casilli, S.; De Luca, M.; Valli, L.; Jiang, J.; Rodríguez-Méndez, M.L.; De Saja, J.A. Spectroelectrochemical characterisation of Langmuir–Schaefer films of heteroleptic phthalocyanine complexes. Potential applications. Colloids Surf. A Physicochem. Eng. Asp. 2006, 284–285, 574–582. [Google Scholar] [CrossRef]
- Bhimaraya, K.; Manjunatha, J.G.; Moulya, K.P.; Tighezza, A.M.; Albaqami, M.D.; Sillanpää, M. Detection of Levofloxacin Using a Simple and Green Electrochemically Polymerized Glycine Layered Carbon Paste Electrode. Chemosensors 2023, 11, 191. [Google Scholar] [CrossRef]
- Lourenço, A.S.; Sanches, F.A.C.; Magalhães, R.R.; Costa, D.J.E.; Ribeiro, W.F.; Bichinho, K.M.; Salazar-Banda, G.R.; Araújo, M.C.U. Electrochemical oxidation and electroanalytical determination of xylitol at a boron-doped diamond electrode. Talanta 2014, 119, 509–516. [Google Scholar] [CrossRef] [PubMed]
- Mocak, J.; Bond, A.M.; Mitchell, S.; Scollary, G. A statistical overview of standard (IUPAC and ACS) and new procedures for determining the limits of detection and quantification: Application to voltammetric and stripping techniques (Technical Report). Pure Appl. Chem. 1997, 69, 297–328. [Google Scholar] [CrossRef]









| Added (µM) | Found (µM) | RSD (%) | Recovery (%) | |
|---|---|---|---|---|
| Real water sample | 13.56 | 13.93 | 4.2 | 103 |
| 21.67 | 20.45 | 3.2 | 94 | |
| 37.96 | 40.13 | 1.5 | 106 |
Disclaimer/Publisher’s Note: The statements, opinions and data contained in all publications are solely those of the individual author(s) and contributor(s) and not of MDPI and/or the editor(s). MDPI and/or the editor(s) disclaim responsibility for any injury to people or property resulting from any ideas, methods, instructions or products referred to in the content. |
© 2024 by the authors. Licensee MDPI, Basel, Switzerland. This article is an open access article distributed under the terms and conditions of the Creative Commons Attribution (CC BY) license (https://creativecommons.org/licenses/by/4.0/).
Share and Cite
Mutić, T.; Stanković, D.; Manojlović, D.; Petrić, D.; Pastor, F.; Avdin, V.V.; Ognjanović, M.; Stanković, V. Micromolar Levofloxacin Sensor by Incorporating Highly Crystalline Co3O4 into a Carbon Paste Electrode Structure. Electrochem 2024, 5, 45-56. https://doi.org/10.3390/electrochem5010003
Mutić T, Stanković D, Manojlović D, Petrić D, Pastor F, Avdin VV, Ognjanović M, Stanković V. Micromolar Levofloxacin Sensor by Incorporating Highly Crystalline Co3O4 into a Carbon Paste Electrode Structure. Electrochem. 2024; 5(1):45-56. https://doi.org/10.3390/electrochem5010003
Chicago/Turabian StyleMutić, Tijana, Dalibor Stanković, Dragan Manojlović, Djordje Petrić, Ferenc Pastor, Vyacheslav V. Avdin, Miloš Ognjanović, and Vesna Stanković. 2024. "Micromolar Levofloxacin Sensor by Incorporating Highly Crystalline Co3O4 into a Carbon Paste Electrode Structure" Electrochem 5, no. 1: 45-56. https://doi.org/10.3390/electrochem5010003
APA StyleMutić, T., Stanković, D., Manojlović, D., Petrić, D., Pastor, F., Avdin, V. V., Ognjanović, M., & Stanković, V. (2024). Micromolar Levofloxacin Sensor by Incorporating Highly Crystalline Co3O4 into a Carbon Paste Electrode Structure. Electrochem, 5(1), 45-56. https://doi.org/10.3390/electrochem5010003

