Comparison of Different Electrochemical Methodologies for Electrode Reactions: A Case Study of Paracetamol
Abstract
1. Introduction
2. Materials and Methods
3. Results
3.1. Cyclic Voltammetry of Paracetamol
3.1.1. Transfer Coefficient
3.1.2. Diffusion Coefficient
3.1.3. Heterogeneous Electron Transfer Rate Constant
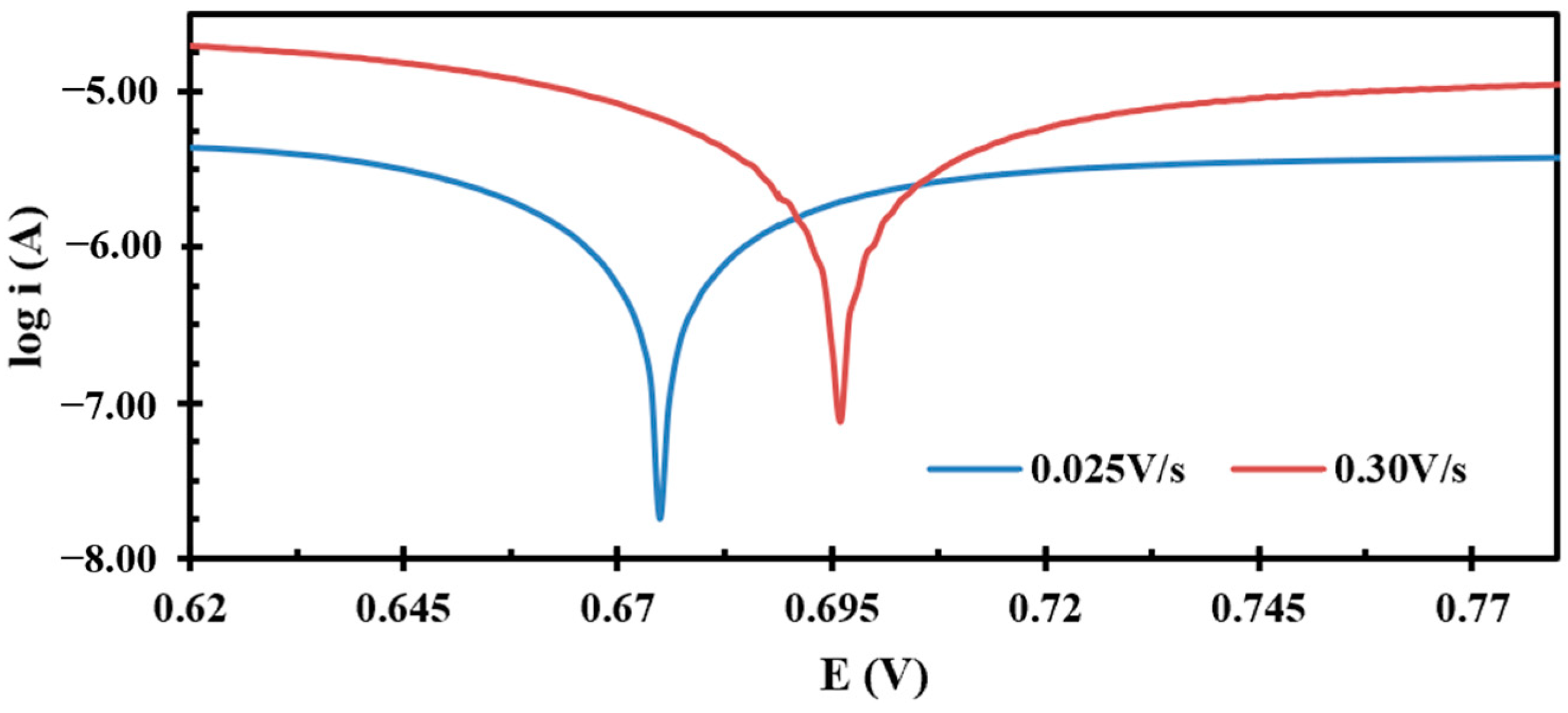
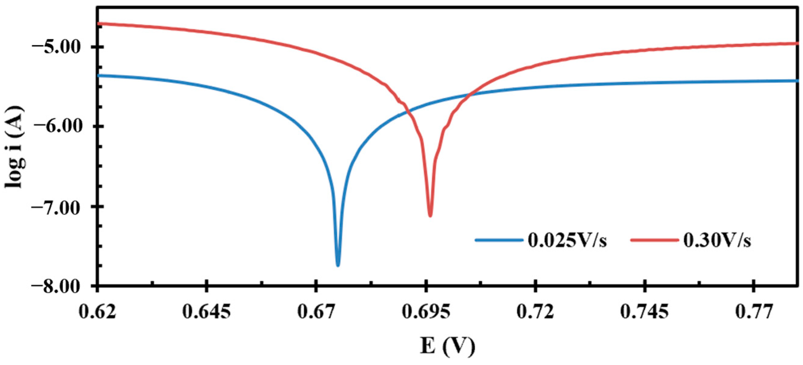
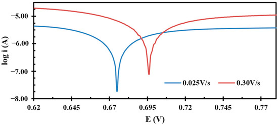
Nicholson and Shain Method
Kochi Method
Gileadi Method
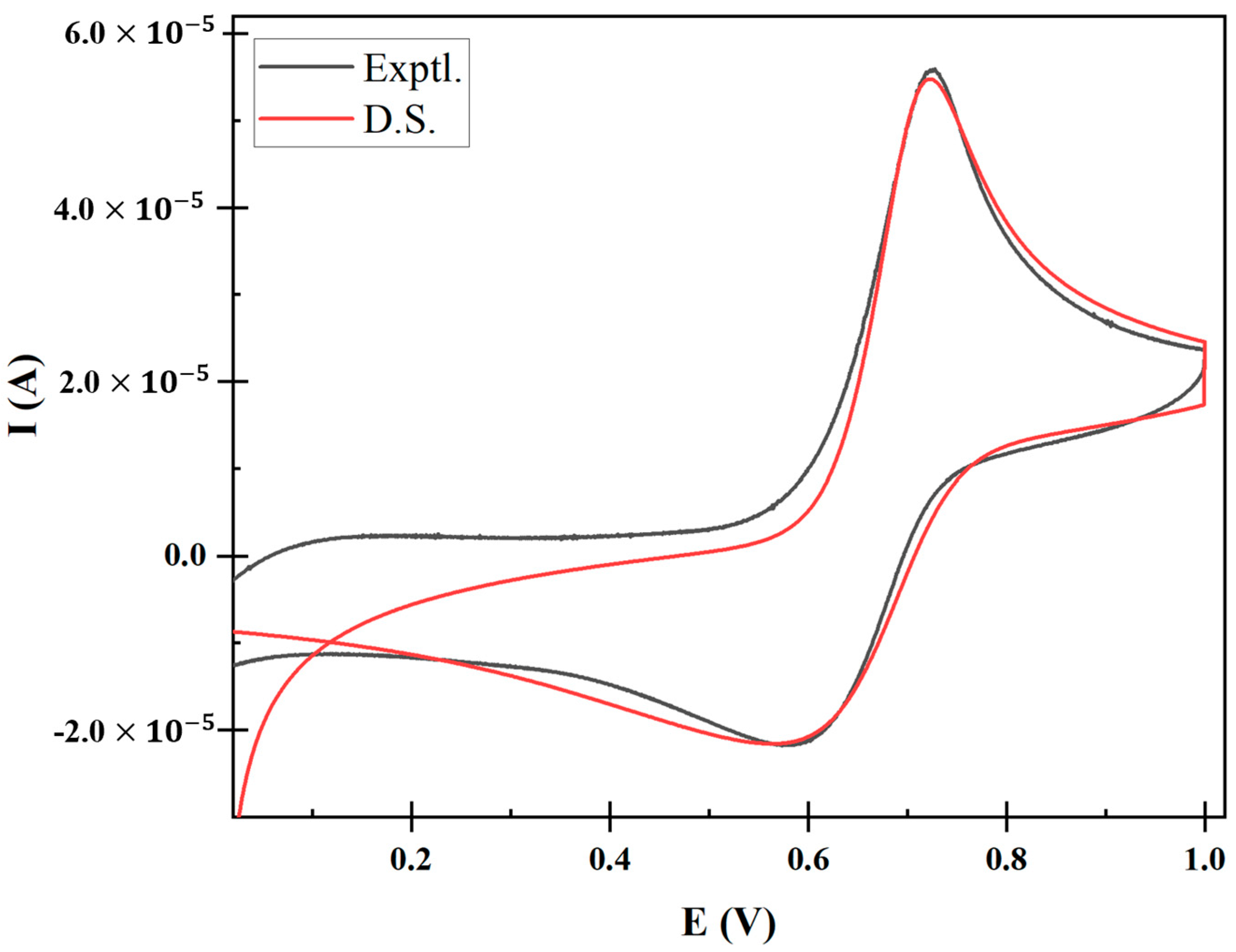
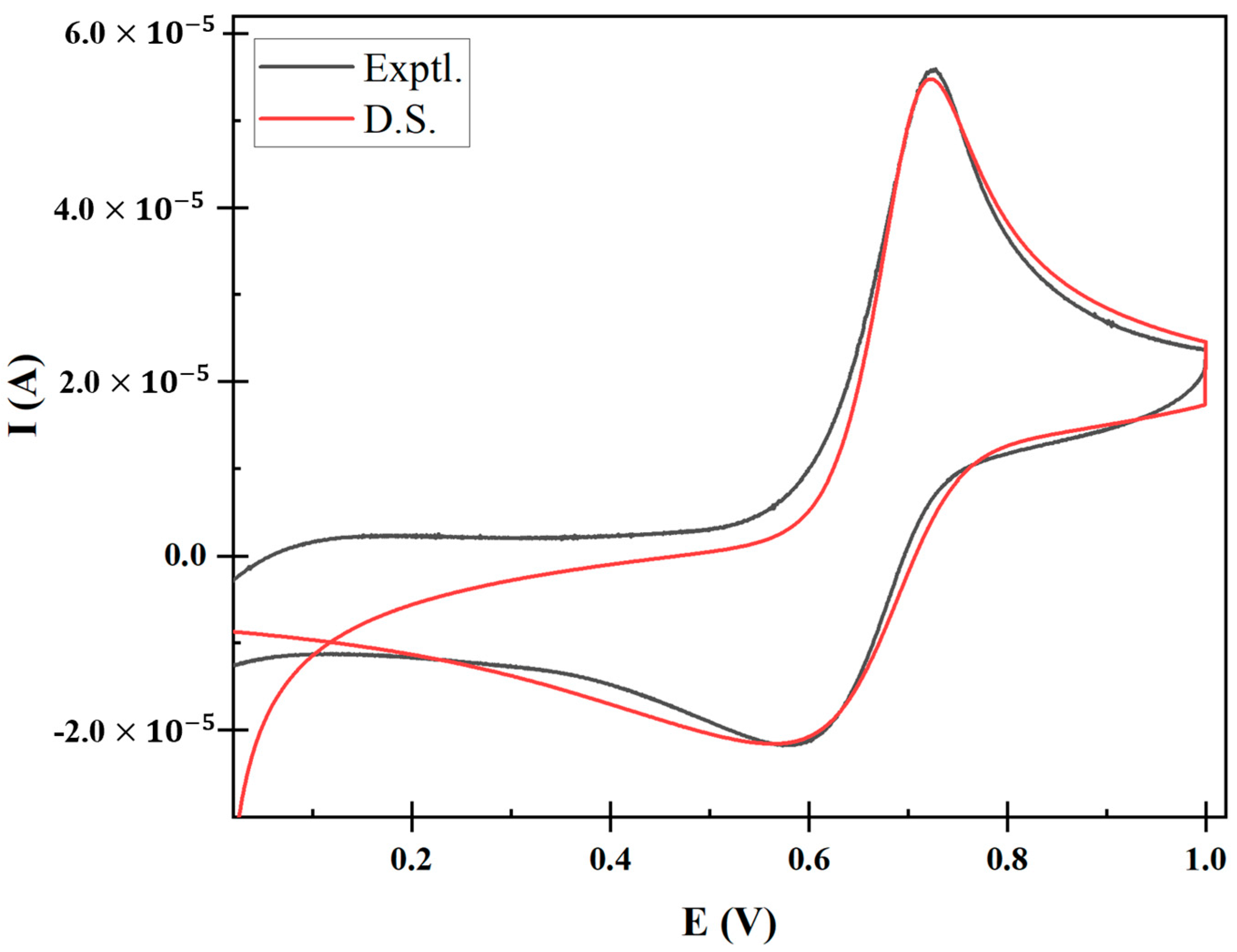
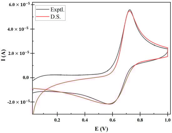
3.2. Digital Simulation
4. Discussion
5. Conclusions
Supplementary Materials
Author Contributions
Funding
Institutional Review Board Statement
Informed Consent Statement
Data Availability Statement
Conflicts of Interest
References
- Chahma, M.H. Doped Polythiophene Chiral Electrodes as Electrochemical Biosensors. Electrochem 2021, 2, 677–688. [Google Scholar] [CrossRef]
- Miao, J. Review on Electrode Degradation at Fast Charging of Li-Ion and Li Metal Batteries from a Kinetic Perspective. Electrochem 2023, 4, 156–180. [Google Scholar] [CrossRef]
- Macchi, S.; Denmark, I.; Le, T.; Forson, M.; Bashiru, M.; Jalihal, A.; Siraj, N. Recent Advancements in the Synthesis and Application of Carbon-Based Catalysts in the ORR. Electrochem 2022, 3, 1–27. [Google Scholar] [CrossRef]
- Tomas, M.; Gholami, F.; Gholami, Z.; Sedlacek, J. Catalysts for Oxygen Reduction Reaction in the Polymer Electrolyte Membrane Fuel Cells: A Brief Review. Electrochem 2021, 2, 590–603. [Google Scholar] [CrossRef]
- Zhou, C.; Tao, L.; Yang, F.; Wang, B.; Wan, X.; Jin, Y.; Yu, H.; Yang, Y. Application of electrochemical methods in heterogeneous catalysis. Curr. Opin. Chem. Eng. 2019, 26, 88–95. [Google Scholar] [CrossRef]
- Santos, E.; Schmickler, W. Catalysis in Electrochemistry: From Fundamental Aspects to Strategies for Fuel Cell Development; John Wiley & Sons: Hoboken, NJ, USA, 2011; Volume 3. [Google Scholar]
- Tyszczuk-Rotko, K.; Kozak, J.; Czech, B. Screen-Printed Voltammetric Sensors—Tools for Environmental Water Monitoring of Painkillers. Sensors 2022, 22, 2437. [Google Scholar] [PubMed]
- Zhang, S.; Xue, S.; Wang, Y.; Zhang, G.; Arif, N.; Li, P.; Zeng, Y.-J. Three-Dimensional Printing, an Emerging Advanced Technique in Electrochemical Energy Storage and Conversion. Batteries 2023, 9, 546. [Google Scholar] [CrossRef]
- Masood, Z.; Ge, Q. Electrochemical reduction of CO2 at the earth-abundant transition metal-oxides/copper interfaces. Catal. Today 2023, 409, 53–62. [Google Scholar] [CrossRef]
- Masood, Z.; Ge, Q. Comparative Study of Computational Hydrogen Electrodes and Constant Electrode Potential Models Applied to Electrochemical Reduction of CO2 and Oxygen Evolution Reaction on Metal Oxides/Copper Catalysts. J. Phys. Chem. C 2023, 127, 23170–23179. [Google Scholar] [CrossRef]
- Lu, B.; Liu, Q.; Wang, C.; Masood, Z.; Morris, D.J.; Nichols, F.; Mercado, R.; Zhang, P.; Ge, Q.; Xin, H.L.; et al. Ultrafast Preparation of Nonequilibrium FeNi Spinels by Magnetic Induction Heating for Unprecedented Oxygen Evolution Electrocatalysis. Research 2022, 2022, 9756983. [Google Scholar] [CrossRef]
- Yang, Y.; Hao, J.; Xue, J.; Liu, S.; Chi, C.; Zhao, J.; Xu, Y.; Li, Y. Morphology regulation of Ga particles from ionic liquids and their lithium storage properties. New J. Chem. 2021, 45, 4408–4413. [Google Scholar] [CrossRef]
- Adil, O.; Shamsi, M.H. Electrochemical Impedance Immunoassay for ALS-Associated Neurofilament Protein: Matrix Effect on the Immunoplatform. Biosensors 2023, 13, 247. [Google Scholar] [CrossRef] [PubMed]
- Weinberg, D.R.; Gagliardi, C.J.; Hull, J.F.; Murphy, C.F.; Kent, C.A.; Westlake, B.C.; Paul, A.; Ess, D.H.; McCafferty, D.G.; Meyer, T.J. Proton-Coupled Electron Transfer. Chem. Rev. 2012, 112, 4016–4093. [Google Scholar] [CrossRef] [PubMed]
- Asefifeyzabadi, N.; Holland, T.E.; Sivakumar, P.; Talapatra, S.; Senanayake, I.M.; Goodson, B.M.; Shamsi, M.H. Sequence-Independent DNA Adsorption on Few-Layered Oxygen-Functionalized Graphene Electrodes: An Electrochemical Study for Biosensing Application. Biosensors 2021, 11, 273. [Google Scholar] [CrossRef] [PubMed]
- Elgrishi, N.; Rountree, K.J.; McCarthy, B.D.; Rountree, E.S.; Eisenhart, T.T.; Dempsey, J.L. A Practical Beginner’s Guide to Cyclic Voltammetry. J. Chem. Educ. 2018, 95, 197–206. [Google Scholar] [CrossRef]
- Naróg, D.; Sobkowiak, A. Electrochemistry of Flavonoids. Molecules 2023, 28, 7618. [Google Scholar] [CrossRef] [PubMed]
- Rajendrachari, S.; Basavegowda, N.; Adimule, V.M.; Avar, B.; Somu, P.; RM, S.K.; Baek, K.H. Assessing the Food Quality Using Carbon Nanomaterial Based Electrodes by Voltammetric Techniques. Biosensors 2022, 12, 1173. [Google Scholar] [CrossRef] [PubMed]
- Grinevich, V.P.; Zakirov, A.N.; Berseneva, U.V.; Gerasimova, E.V.; Gainetdinov, R.R.; Budygin, E.A. Applying a Fast-Scan Cyclic Voltammetry to Explore Dopamine Dynamics in Animal Models of Neuropsychiatric Disorders. Cells 2022, 11, 1533. [Google Scholar] [CrossRef]
- Aristov, N.; Habekost, A. Cyclic voltammetry-A versatile electrochemical method investigating electron transfer processes. World J. Chem. Educ. 2015, 3, 115–119. [Google Scholar]
- Tonle, I.; Ngameni, E. Voltammetric analysis of pesticides. In Pesticides in the Modern World-Trends in Pesticides Analysis; InTech: Rijeka, Croatia, 2011; pp. 465–488. [Google Scholar]
- Andrieux, C.P.; Blocman, C.; Dumas-Bouchiat, J.M.; Saveant, J.M. Heterogeneous and homogeneous electron transfers to aromatic halides. An electrochemical redox catalysis study in the halobenzene and halopyridine series. J. Am. Chem. Soc. 1979, 101, 3431–3441. [Google Scholar] [CrossRef]
- Ahmed, S.; Khan, A.Y. Mechanistic study of quinone-polyalcohol interaction through cyclic voltammetry. Russ. J. Electrochem. 2013, 49, 336–343. [Google Scholar] [CrossRef]
- Bard, A.J.; Faulkner, L.R.; Leddy, J.; Zoski, C.G. Electrochemical Methods: Fundamentals and Applications; Wiley New York: New York, NY, USA, 1980; Volume 2. [Google Scholar]
- Bard, A.J.; Faulkner, L.R. Fundamentals and applications. Electrochem. Methods 2001, 2, 580–632. [Google Scholar]
- Cassidy, J.F.; de Carvalho, R.C.; Betts, A.J. Use of Inner/Outer Sphere Terminology in Electrochemistry—A Hexacyanoferrate II/III Case Study. Electrochem 2023, 4, 313–349. [Google Scholar] [CrossRef]
- Bhatti, N.K.; Subhani, M.S.; Khan, A.Y.; Qureshi, R.; Rahman, A. Heterogeneous electron transfer rate constants of viologen at a platinum disk electrode. Turk. J. Chem. 2005, 29, 659–668. [Google Scholar]
- Bhatti, N.K.; Subhani, M.S.; Khan, A.Y.; Qureshi, R.; Rahman, A. Heterogeneous electron transfer rate constants of viologen monocations at a platinum disk electrode. Turk. J. Chem. 2006, 30, 165–180. [Google Scholar]
- Zoski, C.G. Handbook of Electrochemistry; Elsevier: Amsterdam, The Netherlands, 2006. [Google Scholar]
- Nicholson, R.S. Theory and application of cyclic voltammetry for measurement of electrode reaction kinetics. Anal. Chem. 1965, 37, 1351–1355. [Google Scholar] [CrossRef]
- ShangGuan, X.; Zhang, H.; Zheng, J. Electrochemical behavior and differential pulse voltammetric determination of paracetamol at a carbon ionic liquid electrode. Anal. Bioanal. Chem. 2008, 391, 1049–1055. [Google Scholar] [CrossRef]
- Muhammad, H.; Tahiri, I.A.; Muhammad, M.; Masood, Z.; Versiani, M.A.; Khaliq, O.; Latif, M.; Hanif, M. A comprehensive heterogeneous electron transfer rate constant evaluation of dissolved oxygen in DMSO at glassy carbon electrode measured by different electrochemical methods. J. Electroanal. Chem. 2016, 775, 157–162. [Google Scholar] [CrossRef]
- Nematollahi, D.; Shayani-Jam, H.; Alimoradi, M.; Niroomand, S. Electrochemical oxidation of acetaminophen in aqueous solutions: Kinetic evaluation of hydrolysis, hydroxylation and dimerization processes. Electrochim. Acta 2009, 54, 7407–7415. [Google Scholar] [CrossRef]
- Laviron, E.; Roullier, L.; Degrand, C. A multilayer model for the study of space distributed redox modified electrodes: Part II. Theory and application of linear potential sweep voltammetry for a simple reaction. J. Electroanal. Chem. Interf. Electrochem. 1980, 112, 11–23. [Google Scholar] [CrossRef]
- Bard, A.J.; Faulkner, L.R.; White, H.S. Electrochemical Methods: Fundamentals and Applications; John Wiley & Sons: Hoboken, NJ, USA, 2022. [Google Scholar]
- Savéant, J.-M.; Tessier, D. Variation of the electrochemical transfer coefficient with potential. Faraday Discuss. Chem. Soc. 1982, 74, 57–72. [Google Scholar] [CrossRef]
- Wang, J.; Schultze, J. Analytical electrochemistry. Angew. Chem.-Engl. Ed. 1996, 35, 1998. [Google Scholar]
- Eisner, U.; Gileadi, E. Anodic oxidation of hydrazine and its derivatives: Part I. The oxidation of hydrazine on gold electrodes in acid solutions. J. Electroanal. Chem. Interf. Electrochem. 1970, 28, 81–92. [Google Scholar] [CrossRef]
- Lavagnini, I.; Antiochia, R.; Magno, F. An extended method for the practical evaluation of the standard rate constant from cyclic voltammetric data. Electroanal. Int. J. Devoted Fundam. Pract. Asp. Electroanal. 2004, 16, 505–506. [Google Scholar] [CrossRef]
- Klingler, R.; Kochi, J. Electron-transfer kinetics from cyclic voltammetry. Quantitative description of electrochemical reversibility. J. Phys. Chem. 1981, 85, 1731–1741. [Google Scholar] [CrossRef]
- Klingler, R.; Kochi, J. Heterogeneous rates of electron transfer. Application of cyclic voltammetric techniques to irreversible electrochemical processes. J. Am. Chem. Soc. 1980, 102, 4790–4798. [Google Scholar] [CrossRef]







| Scan Rate (V/s) | α |
|---|---|
| 0.025 | 0.62 |
| 0.050 | 0.55 |
| 0.075 | 0.48 |
| 0.100 | 0.46 |
| 0.125 | 0.44 |
| 0.150 | 0.41 |
| 0.175 | 0.39 |
| 0.200 | 0.38 |
| 0.225 | 0.37 |
| 0.250 | 0.35 |
| 0.275 | 0.36 |
| 0.300 | 0.31 |
| Scan Rate (V/s) | D0 (×10−5 cm2/s) |
|---|---|
| 0.025 | 1.25 |
| 0.050 | 1.51 |
| 0.075 | 1.95 |
| 0.100 | 1.86 |
| 0.125 | 1.83 |
| 0.150 | 2.12 |
| 0.175 | 2.31 |
| 0.200 | 2.42 |
| 0.225 | 2.56 |
| 0.250 | 2.67 |
| 0.275 | 2.67 |
| 0.300 | 3.01 |
| Scan Rate (V/s) | ΔEp (mV) | Ψ | k0 (cm/s) |
|---|---|---|---|
| 0.025 | 74 | 1.83 | 0.022 |
| 0.050 | 84 | 1.06 | 0.018 |
| 0.075 | 84 | 1.06 | 0.022 |
| 0.100 | 88 | 0.89 | 0.022 |
| 0.125 | 88 | 0.89 | 0.024 |
| 0.150 | 91 | 0.80 | 0.024 |
| 0.175 | 94 | 0.72 | 0.023 |
| 0.200 | 97 | 0.65 | 0.023 |
| 0.225 | 96 | 0.68 | 0.025 |
| 0.250 | 101 | 0.58 | 0.022 |
| 0.275 | 102 | 0.56 | 0.023 |
| 0.300 | 109 | 0.47 | 0.020 |
| Scan Rate (V/s) | k0 (cm/s) |
|---|---|
| 0.025 | 0.001 |
| 0.050 | 0.002 |
| 0.075 | 0.004 |
| 0.100 | 0.005 |
| 0.125 | 0.006 |
| 0.150 | 0.007 |
| 0.175 | 0.008 |
| 0.200 | 0.009 |
| 0.225 | 0.010 |
| 0.250 | 0.010 |
| 0.275 | 0.011 |
| 0.300 | 0.013 |
Disclaimer/Publisher’s Note: The statements, opinions and data contained in all publications are solely those of the individual author(s) and contributor(s) and not of MDPI and/or the editor(s). MDPI and/or the editor(s) disclaim responsibility for any injury to people or property resulting from any ideas, methods, instructions or products referred to in the content. |
© 2024 by the authors. Licensee MDPI, Basel, Switzerland. This article is an open access article distributed under the terms and conditions of the Creative Commons Attribution (CC BY) license (https://creativecommons.org/licenses/by/4.0/).
Share and Cite
Masood, Z.; Muhammad, H.; Tahiri, I.A. Comparison of Different Electrochemical Methodologies for Electrode Reactions: A Case Study of Paracetamol. Electrochem 2024, 5, 57-69. https://doi.org/10.3390/electrochem5010004
Masood Z, Muhammad H, Tahiri IA. Comparison of Different Electrochemical Methodologies for Electrode Reactions: A Case Study of Paracetamol. Electrochem. 2024; 5(1):57-69. https://doi.org/10.3390/electrochem5010004
Chicago/Turabian StyleMasood, Zaheer, Haji Muhammad, and Iftikhar Ahmed Tahiri. 2024. "Comparison of Different Electrochemical Methodologies for Electrode Reactions: A Case Study of Paracetamol" Electrochem 5, no. 1: 57-69. https://doi.org/10.3390/electrochem5010004
APA StyleMasood, Z., Muhammad, H., & Tahiri, I. A. (2024). Comparison of Different Electrochemical Methodologies for Electrode Reactions: A Case Study of Paracetamol. Electrochem, 5(1), 57-69. https://doi.org/10.3390/electrochem5010004

