Abstract
The study is dedicated to elaborating and analyzing a technique for autonomous vehicle (AV) motion planning based on sequential trajectory and kinematics optimization. The proposed approach combines the finite element method (FEM) basics and nonlinear optimization with nonlinear constraints. There were five main innovative aspects introduced in the study. First, a 7-degree polynomial was used to improve the continuity of piecewise functions representing the motion curves, providing 4 degrees of freedom (DOF) in a node. This approach allows using the irregular grid for roadway segments, increasing spans where the curvature changes slightly, and reducing steps in the vicinity of the significant inflections of motion boundaries. Therefore, the segment length depends on such factors as static and moving obstacles, average road section curvature, camera sight distance, and road conditions (adhesion). Second, since the method implies splitting the optimization stages, a strategy for bypassing the moving obstacles out of direct time dependency was developed. Thus, the permissible area for maneuvering was determined using criteria of safety distance between vehicles and physical limitation of tire–road adhesion. Third, the nodal inequality constraints were replaced by the nonlinear integral equality constraints. In contrast to the generally distributed approach of restricting the planning parameters in nodes, the technique of integral equality constraints ensures the disposition of motion parameters’ curves strictly within the preset boundaries, which is especially important for quite long segments. In this way, the reliability and stability of predicted parameters are improved. Fourth, the seamless continuity of both the sought parameters and their derivatives is ensured in transitional nodes between the planning phases and adjacent global coordinate systems. Finally, the problem of optimization rapidity to match real-time operation requirements was addressed. For this, the quadrature integration approach was implemented to represent and keep all the parameters in numerical form. The study considered cost functions, limitations stipulated by the vehicle kinematics and dynamics, as well as initial and transient conditions between the planning stages. Simulation examples of the predicted trajectories and curves of kinematic parameters are demonstrated. The advantages and limitations of the proposed approach are highlighted.
1. Introduction
The intensive research and developments in the field of AVs have provided a variety of methods and approaches to motion planning. Although the generalized techniques and their main ideas are sufficiently well represented in the literature, many details regarding improving the forecast rapidity and reliability as well as questions of the modeling quality remain open. The characteristics of selected studies on planning AV motion are presented in Table 1. The table shows that existing methods have several issues related to the following: (1) strictly satisfying the boundary conditions, (2) irregularity of trajectory segments, (3) ensuring the continuity of all parameters, (4) bypassing moving obstacles, and (5) focusing on fast numerical simulation. These issues are addressed in this study to strengthen prediction stability and will be discussed in more detail next.
Table 1.
Characteristics of selected studies on planning AV motion.
The analysis of approaches to AV motion modeling is summarized in Table 1. The main aspects are focused on trajectory modeling, speed mode, the use of optimization methods, and imposed restrictions.
Conventionally, the work can be divided into using model predictive control (MPC) and state-space models [1], polynomial representation of trajectories [3,4,5,8,12], and methods using graph techniques to find the best trajectory [15,22]. To a lesser extent, attention is paid to restrictions, especially geometric ones in relation to the possible motion zone. Thus, Table 1 reflects the full range of approaches used today in the problems of autonomous vehicles.
The following important aspects need to be addressed and can be considered innovative.
Strictly Satisfying Boundary Conditions. When using a piecewise polynomial [17,19,25] representation of functions describing the planned geometric, kinematic, and dynamic AV characteristics, the function behavior within a roadway segment depends on the parameters specified at the nodal points. Different methods [2,11], including optimization, can determine these parameters. At the same time, the restrictions imposed on the nodal DOF ensure the permissible values of the functions at the nodes themselves but do not guarantee the stable behavior of the functions strictly within the desirable limits along a road section. This point is especially critical for the vehicle trajectory geometry, which means non-violation of the allowable external motion boundaries by a vehicle’s safety contour. Note that the positions of control points determining the safety contour are influenced not only by the position of the vehicle’s mass center but also by the yaw angle (angular displacement). Thus, the guarantee of non-violating the boundaries by the control points within a road section interval also contributes to ensuring the stability of predicting the vehicle admissible motion and the strict unambiguity of the steering control impact. Regarding the kinematic and dynamic parameters of the AV movement, the compliance of equality and inequality constraints in nodes is replaced by the conditions of integral equality constraints along the motion path. Thus, the boundary functions of sought parameters within segments can be represented as piecewise constant/linear or decomposed by the same FE-basis as the optimized parameters.
Irregularity of Trajectory Segments. When an AV is camera guided, the roadway curvature defines the natural limit of visibility/perceptivity of the three-dimensional space through the perspective projection. Typically, this is conditioned by a significant curvature change at the end of the sight distance. Additionally, the road section curvature does not remain constant within the visible distance. In connection with the above, the splitting of linear segments of the vehicle displacement should include the grid concentration in areas requiring an accurate description as well as in sites where static obstacles are located. In addition, the last segment must be allocated to compensate for the time needed to process the next forecast.
Ensuring the Continuity of all Parameters. With the piecewise polynomial representation, all the motion planning parameters are presented by the same basis of shape functions. This contributes to considering the continuity of higher derivatives of the motion parameters’ functions simultaneously with inflicting the integral restrictions. The basis functions derived based on a 7-degree Lagrange polynomial are used in this study framework. Such a solution ensures the continuity up to the third derivative at nodes and helps mitigate the discontinuity of parameters requiring higher than third derivatives (jerk, angular acceleration). This also makes it possible to coordinate the nature of the vehicle’s acceleration change with the specific properties of the propulsion system response.
Bypassing Moving Obstacles. A complete solution to avoiding moving obstacles [9,24] is possible only with the simultaneous optimization of AV motion in space and time, that is, when the trajectory and speed are distributed in parallel. However, it is evident that with such an approach, the number of nodal unknowns is doubled, leading to increasing variations and search time. Furthermore, when sequentially searching for the trajectory and speed to bypass a moving obstacle, complications arise related to splitting the maneuver into parts, allocating boundaries for them according to certain algorithms, and coordinating spatial constraints with the vehicle speed properties. This primarily occurs because the camera visibility zone limits the guaranteed maneuver.
Focusing on Fast Numerical Simulation. Since the study emphasizes the integral approach in representing constraints to improve the optimization quality, this may decrease the computational rapidity. However, the higher complexity of the nonlinear restrictions should not affect the optimization performance. In this regard, numerical methods are used to replace symbolic integration with a discrete summation. At the same time, a scheme of the numeric integration [3,11] must ensure the calculation accuracy and the smoothness of output functions.
This study’s purpose consists of developing a mathematical basis for representing nonlinear constraints in the form of integral equalities and a numerical integration technique for accelerating the optimization procedure and implementing the interpolation polynomials to ensure the smoothness of all optimized parameters.
2. Basics of Mathematical Tools
2.1. Representing Planning Parameters by Basis-Functions
Let us generalize the technique for obtaining the form functions based on Lagrange polynomials. Suppose a polynomial of extent p represents a function y(x). Then, it can be reflected in the matrix form
where cj = polynomial coefficient, j [0, p].
Considering one FE of the length L, a function y(x) may be expressed by sets of shape functions and DOF values. Then
where fj = shape functions and qj = weight coefficient or degree of freedom (DOF), j [1, p + 1].
Let us define k = (p + 1)/2 − 1 first derivatives of the vector X provided that p is odd. Substituting the coordinates of the initial (0) and final (L) nodes, the matrix B is formed as
As a result, using Equations (1)–(3), expressions are linked in the form
If we assume x = ξL, where parameter ξ [0, 1], then after substituting it into B and excluding the length elements as multipliers, the shape functions take the form of basis functions for an element of unit length [28]. These functions for FE with four DOFs in a node (it is assumed that p = 7 and k = 3 in Equation (3)) corresponding to the derivative order and DOF are shown in Figure 1. As seen, the superposition of these functions can provide high accuracy of forecasts and boundary models.
Figure 1.
Basis functions of an FE with 4 DOF in a node: (a) offset, (b) rotation, (c) rotational rate, (d) intensity of rotational rate.
Thus, the objective is to obtain the basis functions Fξ of the argument ξ [0, 1] that are universal for a variable length L of roadway segments. In this regard, the main integration can be reduced to the range [0, 1] of a function y(ξ). Denoting by the low index for i-th FE, let us define the vector li and matrix Li
where k = (p + 1)/2 − 1.
Thus, for i-th FE, functions F of Equation (2) can be rewritten with basis functions of the parameter ξ
Additionally, for k-th derivative,
Thus, the integral of an arbitrary function zi(x) comprising yi(x) or its derivatives within the interval [xi−1, xi], considering Equation (6), can be calculated as
2.2. One-Dimensional Quadrature Integral
Since the basis functions are built into the integration procedures, and the extent of derived interpolating polynomials is quite high, the problem of the computational speed of the iterative optimization scheme occurs. To solve it, numerical integration based on Gaussian schemes is used in this approach. Thus, the integral of Equation (8) for a function zi(ξ) can be evaluated as
where wk = integration weight in the k-th point; λk—points in the master-element coordinate system; J = Jacobian, k [1, N]; N = number of integration points.
Since for each FE the reduced length is the same and equals to 1, the Jacobian matrix for transiting to the master element and its determinant yield
The master element is defined on the segment [−1, 1], and the transition is conducted according to the rule
Let us represent the sets of integration points, weight coefficients, and function values as column vectors of length N
Then, the integral of Equation (9) for i-th FE can be calculated as the scalar product of vectors
Since, in the study, both the functional and constraints are to be integral over all n segments, their general scheme, owing to Equations (6) and (13), takes the vector-matrix form
where Ls = vector of segment lengths; z = matrix of integrands with n × N size; and
In this study, we use N = [3, …, 8] point schemes for comparing the quality and performance.
2.3. SQP Nonlinear Optimization
The sequential quadratic programming (SQP) optimization [3,5,7,11] algorithm is based on a quadratic approximation of the Lagrangian function. Its most valuable properties include the strict feasibility of founds, fast linear algebra routines, and good convergence.
Since any cost function S can be represented in the form of Equation (14) through a set q of nodal parameters, the generalized approach is written as
where q = vector of nodal parameters to be optimized; Ceq(q) = vector function of nonlinear equality constraints; Aeq, beq = matrix and vector of equality linear constraints, respectively; qL, qU = lower and upper limits; i [1, n] = segment number; d = (p + 1)/2 = DOF in a node.
Thus, the nonlinear inequality constraints are omitted since the main task is to replace them with integral functions and include them in the nonlinear equality constraints.
2.4. Integral Representation of Constraints
As noted in Section 1, most of the constraints are represented linearly and concern only nodal values of parameters. When a roadway section is divided into a pretty large number of segments with relatively small lengths, the high solution quality is ensured. However, by reducing the number of segments and increasing their lengths, which is especially important for roads with small curvature, the behavior of the sought functions within the intervals depends only on the constraints of the nodal parameters and the optimization function. Thus, increasing the guarantees on restricting the desirable solutions can be achieved by replacing the linear nodal constraints with nonlinear integral ones.
Consider the idea in more detail based on the example of ensuring the trace y(x) of the AV mass center within the upper yU and yL lower boundaries. As seen in Figure 2a, the nodes and the local extremum are located inside the bounds. The area enclosed between the functions of the upper and lower boundaries is precisely equal to the sum of the areas above (yellow) and below (blue) the function y(x). It is evident that if an FE grid step is proportional to the overall length of a single vehicle, the probability of violating the boundaries by a local extremum is relatively small, which makes it sufficient sometimes for using the linear inequality constraints. However, suppose an FE is much longer. In that case, a situation depicted in Figure 2b may occur when the nodal values formally satisfy the boundary conditions, and the local extremum surpasses the limits (red zone). In this case, the area between boundaries is less than the sum of integrals taken for modules of differences above and below the function y(x). This point can be used for enhancing the optimization.
Figure 2.
Integral approach to boundary conditions: (a)—requirement is satisfied, (b)—requirement is violated.
Thus, the cumulative boundary condition on the section x [0, D] divided into n finite elements can be written as
Now, let us track the formation of conditions for equality constraints from the point of view of the optimization procedure. Consider the problem statement for an arbitrary criterion h along the trajectory s bounded by the functions hmin and hmax in the same basis functions of Equation (6). If a function h is strictly within the limits of the functions hmin and hmax, then
The integral of Equation (18) can be split into sections. Then, for i-th FE, considering ds = dx
Passing to the variable ξ, let us express the integrands in terms of certain functions zi(ξ) of an optimized parameter, which in the general case depends on both the trajectory’s Qyi and speed’s Qvi DOF vectors of each i-th segment. Integral between upper and lower bounds:
Integral between upper bound and criterion function:
Integral between the criterion function and lower bound:
Thus, the requirement of nonlinear equality constraints along all the segments, according to Equation (16) is expressed as follows
Consequently, by combining (mainly summing) values of nonlinear equality constraints for a set of criteria, it is possible to form conditions for improving the optimization quality.
3. Technique of Planning Boundaries and Avoiding Obstacles
General Moments. Figure 3a shows a generalized motion planning scheme in conditions of external boundaries and moving obstacles. Let us assume that the AV is equipped with radar systems for scanning space and determining the speeds of moving objects and distances to them. Suppose also that the AV is guided by a computer vision technology allowing the recognition of road marking lines and identification of moving objects in online mode. However, the camera vision is limited by the road section’s distance and curvature. In the perception of an oncoming roadway through the perspective view, there is a moment when the road marking lines practically merge, and the accuracy of determining a destination point is abruptly reduced. In this regard, let us consider phased planning. Thus, in Figure 3a, the AV’s trajectories (red) are independently planned for phases between positions ①–② and ②–③. Let us also outline such an important aspect as the time needed for processing the visual camera information and for computing optimizations. Therefore, the forecast should last within a motion segment. Given this, the trajectories of the planned parts for subsequent phases must be seamlessly joined to ensure the smoothness between preceding and following forecasts. That is, the prediction must be built inside the points 0 and 1 (or what is the same—between points n and n + 1). Thus, if the motion tracking stage continues up to (and including) the last point (n + 1), a new prediction is based on the data set obtained in the previous position (n).
Figure 3.
Forming the admissible motion boundaries combined with avoiding obstacles: (a) two stages of bypassing obstacles and (b) determining the safe zone for an impeding vehicle.
Number of Segments. As noted, by using basis functions composed of the 7-degree polynomial, there is an option for making an irregular FE mesh with relatively large segments in areas with relatively small curvature. However, some segments are mandatory to form the motion zone’s boundaries. Thus, segment 0–1 (L0) corresponds to a forecast computation delay for the next road section; segment 1–2 (L1) is usually associated with forming internal boundaries in the initial position 1; subsequent segments may also be assigned to include internal constraints; segment (Lb) is responsible for a sufficient space required to bypass obstacles with a minimum change in steered wheels’ angles; segment n provides a transition stage and serves to compensate the time spent for the next prediction procedure. Thus, the number of segments within one roadway section mainly depends on the obstacles.
External and Internal Boundaries. Road markings delineate the outer boundaries of space available for organizing the AV motion. Since the camera fixes these boundaries at the forecast beginning moment, they can be considered static. In particular, this method describes the boundaries by the basis functions through the nodal parameters. This is convenient because if the nodal parameters of the roadway’s upper and lower boundaries are calculated, it is easy to obtain the lane’s boundary marking lines (even if they are absent) using an arithmetic proportion and a road width. Note that some obstacles may cause a blind spot for identifying outer boundaries. Then, they can be virtually completed based on the available information about the visible parts and their analysis. Internal boundaries exclude the road space parts forbidden for motion, such as zone A in Figure 3a.
On the other hand, a part of space should be allocated for moving obstacles in such a way as to make the least influence on both their motion mode and safety. These zones (B and C) should be tied to the motion speeds relative to the bypassing AV, to road conditions (adhesion), and cannot be defined unambiguously, i.e., are dynamic.
Stages of Forming Obstacle Avoidance Boundaries. Ideally, the problem of avoiding obstacles is solved by simultaneously optimizing the trajectory and speed [26]. However, this significantly increases the number of nodal parameters’ combinations and the computation time, respectively. In this regard, with sequential optimization at the trajectory search step, it is impossible to explicitly include time to determine the boundaries of areas B and C. Therefore, it is necessary to proceed from some heuristic approaches considering the dynamic nature of safety zones for moving objects and allowing to avoid the explicit time factor. The restriction of zone B in the first planning section, when the distance d between the AV and the impeding (blue) vehicles in position ① is set, can be carried out by estimating the critical gap between the vehicles during emergency braking. At the same time, it is evident that the space reduction between the vehicles comes faster than during the AV acceleration. Suppose such a gap is accepted as a criterion depending on the difference of the vehicles’ initial speeds and tire adhesion value. In that case, it is possible to determine when zone B must be closed. Thus, in the first stage, the movement D under the angle ϕ to the AV longitudinal axis ζ is planned. By evaluating the segment’s length Lb, a decision concerning the safeness of performing the speed maneuver can be made. Suppose the boundaries critically constrain a passage within Lb. In that case, it is necessary to cancel the maneuver planning and wait for a convenient situation, continuing to move along the lane with reduced speed.
Initially, it is difficult to predict the vehicles’ mutual position in the position ② since the time costs can only be calculated after redistributing the AV speed. If the current section’s curvature changes slightly, then a forecast estimation of the impeding vehicle position may be built as well. Additionally, at point n, the position and speed of the impeding (blue) vehicle can be measured by using the AV sensory system. At this stage, it is necessary to determine a corridor for the possible lane change in the presence of two moving obstacles (blue and green vehicles). In the case of the green vehicle, the space restriction technique is equivalent to the blue vehicle restriction in the first phase ①–②. The issue of closing zone B for the blue vehicle is much more complicated. Since time is not explicitly present in trajectory planning, let us use the partially heuristic approach shown in Figure 3b. Suppose that when the vehicle is located at point n, the distance to the impeding (blue) vehicle is Δd (can be positive or negative). If we assume that the AV keeps its initial speed Va, then for a specific time period t it will cover the distance Pa = Va·t. During the same time, the blue vehicle, presumably also maintaining the speed Vi, will pass the distance Pi = Vi·t. At the same time, a certain distance Δs will be set between the vehicles, at which it is safe to start changing the lane. That is, neglecting the curvature in the area of the maneuver beginning can be written
where la = length of AV safe contour.
Substituting for Pi, then
It follows from Equation (25) that if Δd < 0 and |Δd| = Δs + la, Pa = 0 and the lane change may be started. Note that if Va = Vi, then Pa = ∞, meaning outrunning is impossible. Further, the distance Pa is also deviated by a certain angle relative to the x-axis; the larger the angle, the greater the curvature in this area. However, this angle is slightly less than ϕ. If we introduce the coefficient kϕ (≈0.8), then the point xf can be estimated as
where = angle between the new x-axis and ζ-axis in the point 0 of the second phase.
Then, the point xb, considering that li is the length of the impeding vehicle save contour, can be approximately estimated as
The maneuver can be considered as possible if such a corridor Lb (Figure 3a) between the constrained areas B and C is provided, ensuring its high-speed passage without a significant impact of the AV steering system. The critical length of such a corridor is commensurate with several lengths of the AV itself. If such a corridor does not correspond to critical capabilities, the maneuver should be postponed, or another option accepted.
The next important issue concerns the transition between the stages’ coordinate systems at the points n → 0 and n + 1 → 1. Thus, the first phase trajectory on segment Ln should ideally coincide with the second phase trajectory on segment L0. Obviously, the first phase parameters at nodes n, n + 1 will differ from the second phase’s parameters in the corresponding nodes 0, 1. Particular attention should be given to the first phase’s node n + 1, in which the continuity of the curvature and its derivatives must be ensured for a seamless transition to the new coordinate system of node 1. This issue will be considered in detail in the paragraph on forming initial conditions.
4. Modeling the AV Motion
Figure 4 shows the scheme of the vehicle kinematic model [10,13,23] for generating a trajectory of the mass center C. Three coordinate systems are placed at this point. First, the motion trajectory is considered relative to the absolute coordinate system xy. Longitudinal Vζ and lateral Vμ velocities are considered in the local moving coordinate system ζμ turned on the angle ϕ relative to the absolute one. The tangential aτ and normal an accelerations are decomposed in the natural coordinate system located at the angle β to the local or at the angle α to the global coordinate systems. The natural coordinate system rotates with an angular velocity Ω relative to the instantaneous center O with a radius R. Let us assume that the traction forces are realized by all the wheels.
Figure 4.
Scheme of forming the mass center’s trajectory, based on the ideal vehicle kinematics model.
Let us consider the primary theoretical basis that allows establishing strict mathematical relations between the geometric, kinematic, and dynamic parameters for AV motion planning. All the formulas are represented in the final view, omitting the deriving stages.
4.1. Basic Parameters of Trajectory Planning
If a trajectory function y(x) is explicitly determined by a set of nodal parameters qy, it and its k-th derivative are evaluated according to Equations (6) and (7).
The elementary arc length gives
Considering as a variable, its first derivative concerning the coordinate x is
Second derivative of concerning x
For the tangent angle, the trajectory derivative defines the tangent of the slope angle
Consequently, the slope angle is
Let us consider the derivative of concerning the arc s
The first derivative by x
The second derivative by x, expressing K to be the curvature
The curvature is the rate change in the arc angle along the arc itself, i.e.,
In turn, the curvature changes along the coordinate x
Second derivative concerning x
The instantaneous radius is derived as the curvature’s inverse. Its sign, consequently, shows the rotational direction around the instant center O (Figure 4).
The central slip angle β shows the relation between the longitudinal and lateral components of the mass center velocity and can be estimated based on the ideal turn geometry
The derivative of angle β concerning x, introducing the coefficient kβ
The derivative of kβ relative to x is given by
The second derivative of β concerning x, using Equations (42) and (43)
The yaw angle φ, in contrast to the vehicle models with elastic tires, can be expressed purely geometrically as the difference between the angles of tangent slope and central slip (Figure 4)
Thus, the first and second trajectory’s derivatives affect the yaw angle ϕ.
4.2. Basic Parameters of Kinematics Planning
The longitudinal speed Vζ according to Equations (6) and (7) includes the nodal parameters qv inherited by the Vζ derivatives for using in accelerations and jerks. Deriving the first and second derivatives concerning time t, obtain
where dkVζ/dxk is defined by Equation (7), Vx = projection of absolute speed V on the global x-axis.
If the function Vζ(x) is explicitly determined by a set of nodal parameters qv, it and its k-th derivative are evaluated according to Equations (6) and (7).
The mass-center velocity can be represented through decompositions in the natural, local and global, coordinate systems (Figure 4).
where , = basis vectors of the natural coordinate system; , = unit vectors of the vehicle local coordinate system; , = unit vectors of the fixed (global) coordinate system xy.
If M is the matrix of plane rotation, the transitions between the coordinate systems can be expressed as follows
Correspondingly, for velocities
The absolute speed is determined as the relation of elementary arc length to elementary time increment
where Vx = projection of absolute speed on the x-axis.
The projection of absolute speed unavoidably occurs in all kinematic parameters to replace the x-coordinate derivative concerning time t. The longitudinal velocity Vζ in the local coordinates and the projection Vx are tied by the dependency
The first derivative concerning the coordinate x is
The lateral speed, considering the ideal turn of the vehicle kinematic model (Figure 4), is expressed by the longitudinal component Vζ
The derivative concerning time gives
where
The yaw rate can be evaluated as the derivation of yaw angle φ, Equation (45), in the current global coordinates. Thus,
Since the global coordinate systems differ only by a constant angle of mutual disposition, this does not affect the yaw rate value ω (Figure 4).
The derivative component with respect to the coordinate x is
The angular acceleration ε is the derivative of the yaw rate ω concerning time
The longitudinal and lateral accelerations in the local vehicle coordinate system ζμ can be derived from Equation (48) via decomposition components
The longitudinal jerk [14,25] characterizes the acceleration change, impacting the dynamics transient. This parameter comprises all other kinematic criteria and can be used for insuring the smoothness of non-stationary motion. Differentiating Equation (60) and taking the longitudinal component, obtain
4.3. Optimization Criteria
Let us consider the formation of objective functions that provide the search for the best approximations of the desirable trajectory (steering control) and velocity distribution functions.
4.3.1. Trajectory Cost Function
This stage aims to determine the vector of nodal parameters qy corresponding to Equation (28). Since the nodes of internal FEs are adjacent, the values in them are the same. This leads to the need to form a complete set of DOFs for each i-th FE in which the vehicle motion section consists. Then
Path Length. This characterizes the travelling distance that influences the total energy consumption. It can be calculated as the integral of elementary arcs.
According to the scheme of Equation (8), the integral is transformed to the view of Equations (14) and (15), where the function zsi() and the final form of the integral are expressed as
In practical calculations, it is better to use a specific parameter that reflects the deviation of the trajectory length from the section one, then
Slip Angle Deviation. The angle β is associated with the mass center’s lateral velocity component as well as with the current curvature and, consequently, the position of vehicle’s steered wheels. Minimizing this angle in the quadratic sense along the section D provides the least activation of the steering control, which positively affects the motion stability and the possibility of increasing the course speed. Then,
Expressing the integrand zβi() according to the scheme Equations (14)–(16), get
Curvature Rate. This reflects the intensity of changing the curvature component and also affects the yaw speed and other kinematic parameters (acceleration, jerk) containing it. Thus, the maximum smoothness of the trajectory nature should be ensured. Then,
Using the integrand zdKi() according to the scheme Equations (14)–(16), obtain
Deviation of Curvature’s Second Order Derivative. This reflects the intensity of curvature rate that affect the vehicle dynamics. From this point of view, the DOFs to be optimized are selected in such a way as to reduce the transient processes when controlling the AV, which also simplifies the task of complex control. Then
Denoting the integrand zd2Ki() and following the scheme of Equations (14)–(16), get
Deviation of Fourth Order Derivative. This derivative is an element of the second curvature derivative, however, in Equation (3) it is not included in the nodal parameter. As a result, this leads to discontinuity of this parameter at the bounds of adjacent FEs. To mitigate this deficiency as much as possible, it is necessary to add this parameter in the objective function. Then
Denoting the integrand zd4yi() and following the scheme of Equations (14)–(16), obtain
Minimization. The cost function Sy can be represented as a sum of criteria weighed by proportional coefficients Wy and written in the matrix form.
where qy = vector of variable nodal parameters corresponding to Equation (16); Iy = vector of criteria integrals; Wy = vector of weighting coefficients.
where WD, Wβ, WdK, Wd2K, Wd4y = weighting factors of the path, slip angle, curvature first and second derivatives, and fourth order y derivative, respectively.
4.3.2. Kinematics Cost Function
Considering that the vector of nodal parameters qy is already found, the next step implies determining the vector qv. By analogy with Equation (62)
Travel time is needed to form the discrete time series for motion tracking task. In lesser degree this criterion is suitable for optimization since it does not correspond to the quadratic form of the objective function and asymptotically decreases to ts with increasing speed.
Let us use the integrand zti() according to the scheme Equations (14)–(16), then
Longitudinal speed can be redistributed relative to a preset level Vζmax to provide the minimum deflection in the quadratic sense. Then
Denoting the integrand zvi() and following the scheme of Equations (14)–(16), obtain
The longitudinal acceleration criterion helps to even its deflection and decrease power consumption during changing AV speed. Thus,
Determine the integrand zaζi(), then, according to the scheme of Equations (14)–(16), obtain
The lateral acceleration criterion is responsible for motion stability and safety. It characterizes the lateral tire reactions. Thus,
Using the integrand zaμi(), and expressions of Equations (14)–(16), obtain
The longitudinal jerk [9] criterion provides a smooth acceleration during transient dynamics, ensuring the propulsion system’s stable and predictable operation. Then,
Determine the integrand zjζi(), then, according to the scheme of Equations (14)–(16), obtain
Minimization. The function Sv to be optimized is represented as a linear combination in the matrix form
where qv = vector of unknown node parameters, Equation (60), Iv = vector of integrals, Wv = vector of weighting coefficients.
where Wv, Waζ, Waμ, Wjζ = weighting factors for the speed, longitudinal and lateral accelerations, and longitudinal jerk, respectively.
4.4. Integral Equality Constraints
Using the technique of Equations (17)–(22), let us note the parameters for which it is expedient to introduce integral restrictions. All separately generated vectors of equality constraints will be represented by a single vector to match the shape in Equation (16).
4.4.1. Trajectory Restrictions
Curvature. The trajectory curvature should not exceed the limits Kmax and Kmin conditioned by the maximum turn angles of the steered wheels. That is, for i-th FE
Considering Kmax to be a constant and Kmin = −Kmax, according to Equations (17)–(22)
Other Options. According to a similar scheme, the parameters defined for trajectory optimization may also be used (curvature’s higher derivatives). However, the number of restrictions, in this case, may become redundant in relation to the quality of optimization. Some of these parameters are better to be considered in the kinematic constraints by adjusting the smoothness of the speed change.
4.4.2. Physical Restrictions
First of all, despite using the vehicle kinematic model, the speed plan should be linked to the possibilities of realizing the tire–road adhesion. Thus, if the lateral adhesion coefficient ϕζ is already set by the traction mode, the maximum lateral forces are limited by the potential ϕμ [29].
where ϕmax = maximum adhesion value.
Thus, even with minimum traction use, the curvature and motion speed must be such that ϕμ < ϕmax. Since the maximum vehicle traction is realized on the wheels and associated with the acceleration nature, the ϕζ will be limited simultaneously by the adhesion limit and the powertrain system potential.
The equation of longitudinal dynamics in dimensionless form, where ϕζ reflects the degree of using the traction potential on the wheels necessary to ensure aζ, can be written as
where fr = coefficient of total rolling resistance; fd = specific drag force; g = gravitational acceleration constant.
where Fd = drag force; m = vehicle gross mass; ρa = air density under the normal conditions; Cx = aerodynamic drag coefficient, and Af = frontal (projective) vehicle square.
Assuming that the curvature for high-speed motion is relatively small and the steered wheels’ turn angles differ little from β, the longitudinal component fr of rolling resistance in the vehicle’s local coordinates can be estimated as follows
where Fr1, Fr2, Fr3, Fr4 = forces of rolling resistance on wheels.
For each wheel, considering their local coordinates, the rolling resistance is proportional to the vertical reaction, then
where Rzk = vertical wheel load (may be accepted as mg/4 for simplicity); frk = k-th wheel rolling resistance coefficient.
Each wheel moves with its speed (Figure 4), then
Vζk = longitudinal speed in k-th wheel coordinate system, Vm = speed at which the empirical measurements were made; qsy1, qsy3, qsy4 = coefficients [30].
Consider the component of the centrifugal force acting in the vehicle transverse plane and balanced by the sum of the tires’ side reactions
Then, the critical value of the mass center absolute velocity, according to the road adhesion condition, gives
Since the longitudinal speed is related to the absolute one by expression Equation (51), the critical value Vζs by the sliding condition yields
4.4.3. Kinematic Restrictions
Speed. The predicted speed can be determined within certain limits [12], which in the general case can also be functions of nodal parameters. However, within the nearest prediction horizon, the easiest way is to set the upper Vζmax and lower Vζmin limits to constant values. Here, for brevity, we write only the main line, followed by applying the scheme of Equations (17)–(22). For i-th FE
However, with a substantially curvilinear motion, it may turn out that Vζs < Vζmax. Therefore, one more condition is necessary to ensure the requirement Vζ < Vζs. Obviously, for zero curvature, Vζs from Equation (51) becomes infinite, and it’s impossible to use it directly in integral equalities. In this regard, let us use a function ψ(ν) = arctan(ν) that rapidly saturates with increasing speed. Thus
According to Equations (17)–(22)
Yaw Rate. As known, the vehicle is equipped with a gyroscope for estimating the yaw rate [12], and therefore, it should also be restricted when planning. This is due to the provision of directional stability of the vehicle. Thus, with symmetrical limits ωmin = −ωmax obtain
Angular Acceleration. This characterizes the ratio of the yaw rate intensity and the rotational velocity of the steered wheels. Similar to ω, for ε the integral criterion has a view
Longitudinal Jerk. This may be restricted to mitigate and provide the reliable transients of powertrain modes. Supposing the upper jζmax and lower jζmin limits to be constant, obtain
4.4.4. Dynamic Restrictions
When planning the dynamic mode of AV motion, it is necessary to consider both the vehicle powertrain potential and the ability to realize traction on wheels according to the road adhesion condition. In this case, the acceleration limit determined by adhesion and distributed along the path s can be estimated as aζmax = ϕζmaxg and aζmin = −aζmax (Figure 5a). At the same time, the acceleration provided by the propulsion system under normal road conditions is a function of the longitudinal speed and is limited by the throttle response characteristic [5] for the case of maximum fuel supply (Figure 5b). In turn, the upper limit aζU, which determines the maximum vehicle performance, will change stepwise following the number of automatic transmission gears, and the lower limit aζL can be set based on certain expediency for a particular maneuver. Thus, the distribution of accelerations must simultaneously correspond to the two approaches in Figure 5. For example, (a) if the road adhesion is low, then aζmax < aζU, (b) if road condition is good, then aζmax > aζU, (c) if the use of the braking system is not planned, then it can be assumed that aζL ≥ −0.5 m/s2, and (d) if intensive braking is required, then a threshold value within aζmin ≤ aζL ≤ −0.5 m/s2 may be set.
Figure 5.
Integral approach to the longitudinal acceleration restriction: (a)—provided by adhesion conditions, (b)—provided by the propulsion system.
However, there is a problem with composing the integral constraints in Figure 5b. The nodal parameters of acceleration distribution are determined relative to the path nodes. Therefore, it is impossible to obtain an explicit form of dependency where the speed grows strictly in one direction. In this regard, it is proposed to use an interpolation approach. The values of speed and acceleration for each segment of a path section can be determined at several points, followed by sorting in ascending order of speeds. Using the new polynomial representation of both the current accelerations and the boundaries, it is possible to use again the numerical integration schemes corresponding to N points and equivalent to Equation (9). Of course, this will lead to errors in representing the curves’ shapes but ensures that the vehicle powertrain system’s capabilities will not be exceeded for the corresponding gear.
4.4.5. Boundary Restrictions
The most critical and complex problem of the vehicle motion geometry is providing such traces of control points [1, …, 6] (Figure 6) that retain their trajectories strictly within the motion zone boundaries [1,4]. Thus, the approach in Figure 2 can also be applied to the trajectories of the safe contour control points. These points are chosen in such a way as to cover the curvature of the borders within the half of vehicle’s length, which is sufficient for maneuvers on the roadway.
Figure 6.
Forming control points’ traces for use in integral equality constraints.
Points 5 and 6 are sliding. Their abscissas coincide with the mass center abscissa, that is, x(p) = x, where p = 5, 6, and the ordinates, respectively,
where rμ(p) = ±Y/2 = transversal coordinate of point p in the vehicle coordinate system.
For external points, p = [1, 2, 3, 4], the effect of the AV yaw angle is significant. Then
where x, y, φ = current values of the mass center position and the vehicle yaw angle in the grid nodes; r(p), φ(p) = radius module and angle of the critical point p location in the vehicle coordinate system.
Unlike the trajectories of points 5 and 6 that can be directly included in the integration scheme, control points [1, 2, 3, 4] are moving within segment lengths Li(p) influenced by the yaw angle. In this case, the integration can be organized within the FE’s internal coordinate if considering the functions of control points’ trajectories and boundaries as shifted and stretched under the yaw angle influence. This will provide dependencies on only one variable x and, therefore, the possibility of applying the same general integration scheme. However, if the values of y(p)-ordinates of the control points can be easily found according to Equation (107), determining the boundaries’ values at the points x(p) is complicated by the fact that x(p) exceeds a segment limit in which the integration is performed. Thus, the problem is reduced to determining the corresponding parameters ξ in the local and adjacent segments to use their nodal parameters in calculating the ordinates of the upper yUi(p) and lower yLi(p) boundaries.
The obtained values can be within the following limits stipulating the point position in i-th segment. Note that ξi(p) is a vector with a length corresponding to many integration points. Thus, it is assumed that the procedure is carried out for each its member.
Thus, calculating the boundaries’ ordinates is performed by considering which segment the integration point belongs to. Then, for each point p = [1, 2, 3, 4]
4.5. Coordination of Transients between Phases
As noted, when changing global coordinates for different movement phases, it is necessary to ensure the coordination of geometric and speed parameters in the transition node. Therefore, let us reflect in parentheses a parameter’s phase number by the upper index and several transition points by the lower index.
4.5.1. Geometric Transition Conditions
The task is to determine the vector of nodal parameters for node 1 in the new coordinate system based on the vector of parameters of the same node (n + 1) in the previous coordinate system (Figure 2). That is
If AV in the node n of the first phase fixes by a camera the road boundaries for the second phase, then the new global coordinate system is estimated at the angle for the longitudinal axis ζ of the local AV coordinate system, which corresponds to the AV location under the angle relative to the longitudinal x-axis of the new global coordinate system. The global coordinate systems are located at the angle Δφ for each other
The coordinates of point 1 in the new coordinate system, considering Equation (49)
The first derivative in the node 1 can be determined according to Equation (32)
Note that the angle β does not depend on the coordinate system, and therefore
Then, considering Equation (45)
In its turn
Considering Equation (112) the yaw angle at point 1 becomes
Then, substituting Equation (118) in Equation (117), obtain
Finally, Equation (114) becomes
The second derivative at node 1 can be determined under the condition that the curvature at the transition point is equal.
The curvature value at the point (n + 1) is already calculated, then, calculating the value s’x from Equation (29), in accordance with Equation (37), obtain
The third derivative in node 1 can be determined from the condition of equality of curvature derivatives along the path s at the transition point. Considering Equation (38)
Then, considering Equation (30) and already calculated components
4.5.2. Kinematic Transition Conditions
As in the previous case, the task is to determine the vector of nodal speed parameters in the node 1 of the new coordinate system based on the parameter vector in the same node (n + 1) of the previous coordinate system (Figure 2). That is
When coordinating the nodal parameters in node 1 (n + 1) of the transition between planning phases, it is necessary to ensure that the following conditions are met (Figure 2b). Equality of longitudinal speeds:
The first derivative in different coordinate systems can be estimated from the continuity of the relative longitudinal acceleration in the local AV coordinate system, following from Equation (46). Then, one can equate
Since the value for the previous phase at node (n + 1) is already known, using the formula of Equation (52) for the new Vx, obtain
The second derivative can be found in the same way based on the equalities of the second derivatives concerning the time of the longitudinal velocity Vζ at the point of phase change according to Equation (46).
Then, considering Equation (53), obtain
The third derivative in the transition node can be found by considering the equalities of the corresponding derivative concerning the time
Differentiating Equation (46), obtain
Wherefrom
Differentiating Equation (53), obtain
Carrying out manipulations similar to the previous paragraph with the known parameters from the previous phase, the last component for phase matching in speed can be determined
4.5.3. Linear Equality Constraints
The task is to form vectors for predicting the trajectory and speed, determining the preset parameters at the initial and final nodes. According to Equation (16), these parameters are associated with the solution vector by matrices Aeq. Note that parameters can be assigned arbitrarily for the first node of the first phase, and transition values are calculated for subsequent phases as described in the previous paragraph.
Boundary conditions of the trajectory. Usually, at the initial node of the first phase, its position, derivative, and curvature with its derivatives are considered to be known. In this regard, let us preset all DOFs in node 1. At the same time, at the last node (n + 1), let us leave the DOFs self-determining except for the curve tangent slope, due to which the curve stability is preserved, but the rigidity of conditions is reduced. In this way
The first four elements for the starting node can be obtained from Equations (32), (37) and (38), and subsequent values correspond to the vector of Equation (111). The fifth element is obtained by averaging the slope angles at the (n + 1) nodes of the upper and lower boundaries.
The matrix Aeq, in this case, is a rectangular matrix of dimension 5 × 4(n + 1), where all elements are equal to 0, except for
Boundary conditions for speed. A vector of five elements can also represent the conditions for external speed nodes. For the phases following the first, the initial four elements are defined as transitional based on the requirements of Equation (125). The fifth element characterizes the change in speed along the x-coordinate in the last node and can be determined from the relation of Equation (46), setting the change in velocity over time in the local AV coordinates. The remaining DOFs at the last node are determined by the optimization,
In the case of the first node of the initial phase, the definition of velocity derivatives can be determined from the conditions established by Equations (46), (60), (61) and (133), setting the initial speed, acceleration, and jerk. The matrix Aeq remains the same as for the trajectory case.
5. Simulation Example
Consider an example of a two-stage prediction of the AV curvilinear motion with bypassing moving obstacles. Let us use the Audi A4 Quattro’s data as vehicle model parameters. The set of required initial data is summarized in Table 2. All calculations are performed on the authors’ program composed in the MATLAB [31] environment. The “fmincon” [31] function of nonlinear optimization with nonlinear constraints is used for the minimization procedure.
Table 2.
Data for simulating the AV motion prediction.
5.1. Trajectory Searching
As specified in Equation (75), let us form a vector of weight coefficients that determine the same nature of optimization for all stages. Then
Here, the used values are explained as follows. The first coefficient is highly sensitive, but at the same time the minimum path factor reliably sets the initial trajectory skeleton for any configuration of conditions. The second coefficient focuses on the minimum possible curvature. The third and fourth coefficients are responsible for the smoothness and flatness of the trajectory. Small values are explained by the fact that, firstly, their influence is already indirectly taken into account by the integral equality constraints, and, secondly, an increase in these coefficients can lead to ambiguity in the form of the trajectory in various phases and conditions. The last coefficient strengthens the requirement of minimum discontinuities of the fourth derivative in the nodes of adjacent FEs. Figure 7 shows the results of trajectory optimization for both phases.
Figure 7.
Optimized trajectories according to the motion stages: (a)—first phase; (b)—second phase; (c)—joined phases; (d)—curvature; (e)—curvature derivative.
5.2. Kinematics Searching
As shown in Equation (88), four weight coefficients determine the nature of the velocity distribution along the motion trajectory. The following set of coefficients can be recommended as providing a stable forecast for both phases:
The choice of coefficients was made by multiple testing for mutual influence, and the values are explained as follows. The first coefficient is responsible for the rapid speed approach to the preset upper limit; therefore, its influence is set to the greatest. The second coefficient should average and minimize the use of longitudinal acceleration. However, it is in conflict with the fourth impact coefficient. On the other hand, the increase in longitudinal acceleration is not a problem, since the integral equality constraints already limit it. The third coefficient reduces the use of lateral acceleration and is also in conflict with the first coefficient, therefore, its value is small, purely to take into account safety requirements. Additionally, the fourth coefficient determines the intensity of the influence of longitudinal jerk, which is also limited by the integral equality constraints.
Thus, a significant value of the coefficient is not required. Note that using the settings of Equation (137) it is possible to influence the longitudinal acceleration nature at the phase’s final node. Thus, considering the transient nature of the vehicle dynamics in the bypassing zone of the impeding vehicle at the end of the first phase, it is recommended to set the fifth element in Equation (137) equal to zero. Firstly, when the camera visually assesses the road situation at the beginning of the first phase, the curvature of the following road section is unknown. Therefore, to ensure increased safety, the longitudinal acceleration at the end of the first phase must be close to zero. However, this requirement is no longer strict when returning to the initial lane at the end of the second phase. The results of determining the kinematic parameters by phases are shown in Figure 8.


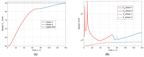
Figure 8.
Optimized kinematic parameters along the predicted path by phases: (a)—speed; (b)—critical slip speed; (c)—longitudinal acceleration; (d)—longitudinal acceleration over speed; (e)—lateral acceleration; (f)—lateral over longitudinal acceleration; (g)—absolute acceleration; (h)—longitudinal jerk; (i)—yaw rate; (j)—angular acceleration.
5.3. Analysis of Results
Trajectories (Figure 7a–c) with a minimum number of nodes are smooth, compact, of moderate curvature, and do not have excessive inflections. Although the calculations are carried out in different coordinate systems, the junction in the phase change node is accurate in value and derivatives. The curvature and its derivative along the trajectory (Figure 7d,e) are within the established limits and do not exceed them. As seen, the trajectories maintain sufficient clearance within the boundaries of the motion area, which confirms the effectiveness of the proposed solution with the safety contour’s control points. Note that the grid irregularity affects the concentration of curvature in these places due to a significant difference in the FE lengths between the corresponding adjacent segments. However, the trajectory’s overall stability, smoothness and monotonicity are preserved.
The distribution of speed and accelerations (Figure 8a–d) is represented by smoothed curves, matching the phase conjugation node in values and derivatives. The speed values do not exceed both the preset upper limit and the variable level of values according to the side slip condition (Figure 8b). Accelerations (Figure 8c–g) demonstrate continuity and do not exceed the vehicle technical capabilities as well as the physical limits in terms of tire–road adhesion. Longitudinal jerk and angular acceleration (Figure 8h,j) give some discontinuities at the nodes, which, as explained above, is due to the absence of the fourth derivative as a nodal parameter in the curve model. However, due to the inclusion in the cost function, it is possible to minimize gaps between the same nodes of adjacent FEs. At the same time, a strict distribution of these parameters’ values within the established limits is practically ensured. Note that the longitudinal acceleration and jerk boundaries are not symmetrical and permanent and can be set depending on the nature of the required action (e.g., acceleration and deceleration).
6. Conclusions
This paper has developed a mathematical basis for representing nonlinear constraints in the form of integral equalities and a numerical integration technique for accelerating the optimization procedure and implemented the interpolation polynomials to ensure the smoothness of all optimized parameters. Based on this study, the following comments are offered:
The most important advantage of the proposed approach is the significant calculation speed while ensuring prediction quality due to the numerical representation of all current parameters and the use of quadrature integration schemes. This predetermines the possibility of implementing optimization procedures in conjunction with real-time machines for HIL (hardware-in-loop) modeling and online implementation on natural objects. Note that a reliable and stable result is provided even with the five-point Gaussian integration scheme.
The proposed phase change method ensures seamless transitions for the main parameters of the trajectory and speed and their derivatives between adjacent fixed coordinate systems. Furthermore, having a road model generator would make it possible to realize the prediction continuity for any configuration of road conditions with arbitrary curvature.
Despite the essential irregularity of the FE grid, the forecasts are highly stable to changing initial optimization conditions. This is owing to the increased role of the integral equality constraints, which explains that, for example, regardless of the emphasis on any weight coefficients when searching for a trajectory, its general character remains unambiguous and approximately the same.
The idea of the integral equality constraints fully justified itself, providing good convergence of the cost function and determining the parameters within the given limits. Moreover, the computations are based on the same quadrature scheme as the calculations of the objective function components, which unifies the approach.
The distribution of speed parameters is represented by a fully kinematic model, although considering some physical limitations. Such an ideal curve has a slightly higher limiting potential than an actual vehicle can realize. However, this remark applies only to extreme riding modes, which are often prevented by preset safety criteria.
The longitudinal acceleration can be considered as the main numerical criterion for predicting the AV behavior that does not exceed both the propulsion system potential’s threshold of 3.5 m/s2 and the reached peak value of 2.5 m/s2. At the same time, the nature of changing the acceleration is stipulated by introducing the jerk restrictions: 5 m/s3 for the upper limit due to the propulsion system’s properties, and −2.5 m/s3 is the lower limit. Here, the asymmetry implies a lower intensity of deceleration than acceleration since during bypassing obstacles along the planning section the AV should not activate the braking system. From a safety point of view, the lateral acceleration peaks are about 6 m/s2, which corresponds to the curvature peak points. However, the maximum acceleration at the same points is enough below the set limit of about 7.8 m/s2, which guarantees a margin for tires’ adhesion conditions. It is possible to introduce a lateral acceleration limit regulated in the value of 0.4 g; however, the goal of this technique is to assess the maximum planning potential in terms of vehicle dynamics.
For future research, in the flat vehicle model used to form a plan of speed parameters, it is expedient to include moments that reflect dynamic phenomena such as roll, lateral elasticity of tires, dynamic distribution of vertical reactions, and traction and lateral forces. This approach will increase the forecast safety and feasibility of an actual vehicle.
Author Contributions
Conceptualization, M.D. and S.M.E.; methodology, M.D.; software, M.D.; validation, M.D. and S.M.E.; formal analysis, S.M.E.; investigation, M.D.; resources, S.M.E.; data curation, M.D.; writing—original draft preparation, M.D.; writing—review and editing, S.M.E.; visualization, M.D.; supervision, S.M.E.; project administration, S.M.E.; funding acquisition, S.M.E. All authors have read and agreed to the published version of the manuscript.
Funding
This research is financially supported by the Natural Sciences and Engineering Research Council of Canada (grant No. RGPIN-2020-04667).
Institutional Review Board Statement
No institutional review is required.
Informed Consent Statement
Not applicable.
Data Availability Statement
Some or all data, models, or code that support the findings of this study are available from the corresponding author upon reasonable request.
Acknowledgments
The authors are grateful to three anonymous reviewers for their thorough and most helpful comments.
Conflicts of Interest
The authors declare no conflict of interest.
References
- Alrifaee, B.; Scheffe, P.; Kloock, M.; Henneken, T.M. Sequential Convex Programming Methods for Real-time Trajectory Optimization in Autonomous Vehicle Racing. TechRxiv 2021. [Google Scholar] [CrossRef]
- Bautista-Camino, P.; Barranco-Gutierrez, A.I.; Cervantes, I.; Rodriguez-Licea, M.; Prado-Olivarez, J.; Perez-Pinal, F.J. Local Path Planning for Autonomous Vehicles Based on the Natural Behavior of the Biological Action-Perception Motion. Energies 2022, 15, 1769. [Google Scholar] [CrossRef]
- Chen, Y.; Ye, H.; Liu, M. Hierarchical Trajectory Planning for Autonomous Driving in Low-speed Driving Scenarios Based on RRT and Optimization. arXiv 2019, arXiv:abs/1904.02606. [Google Scholar]
- Dey, H.; Ranadive, R.; Chaudhari, A. Real-Time Trajectory and Velocity Planning for Autonomous Vehicles. Int. J. Eng. Adv. Technol. 2021, 10, 439–448. [Google Scholar] [CrossRef]
- Diachuk, M.; Easa, S.M. Motion Planning for Autonomous Vehicles Based on Sequential Optimization. Vehicles 2022, 4, 344–374. [Google Scholar] [CrossRef]
- Febbo, H.; Jayakumar, P.; Stein, J.L.; Ersal, T. Real-Time Trajectory Planning for Automated Vehicle Safety and Performance in Dynamic Environments. ASME J. Auton. Veh. Syst. 2021, 1, 041001. [Google Scholar] [CrossRef]
- Graf, M.; Speidel, O.; Dietmayer, K. Trajectory Planning for Automated Vehicles in Overtaking Scenarios. In Proceedings of the 2019 IEEE Intelligent Vehicles Symposium (IV), Paris, France, 9–12 June 2019; pp. 1653–1659. [Google Scholar] [CrossRef]
- Jiang, Y.; Lin, Q.; Zhang, J.; Wang, J.; Qian, D.; Cai, Y. DL-AMP and DBTO: An Automatic Merge Planning and Trajectory Optimization and its Application in Autonomous Driving. In Proceedings of the 2021 IEEE International Intelligent Transportation Systems Conference (ITSC), Indianapolis, IN, USA, 19–22 September 2021; pp. 402–409. [Google Scholar] [CrossRef]
- Li, B.; Ouyang, Y.; Li, L.; Zhang, Y. Autonomous Driving on Curvy Roads Without Reliance on Frenet Frame: A Cartesian-Based Trajectory Planning Method. IEEE Trans. Intell. Transp. Syst. 2022, 23, 15729–15741. [Google Scholar] [CrossRef]
- Li, H.; Wu, C.; Chu, D.; Lu, L.; Cheng, K. Combined Trajectory Planning and Tracking for Autonomous Vehicle Considering Driving Styles. IEEE Access 2021, 9, 9453–9463. [Google Scholar] [CrossRef]
- Lim, W.; Lee, S.; Sunwoo, M.; Jo, K. Hierarchical Trajectory Planning of an Autonomous Car Based on the Integration of a Sampling and an Optimization Method. IEEE Trans. Intell. Transp. Syst. 2018, 19, 613–626. [Google Scholar] [CrossRef]
- Liu, Y.; Zhou, B.; Wang, X.; Li, L.; Cheng, S.; Chen, Z.; Li, G.; Zhang, L. Dynamic Lane-Changing Trajectory Planning for Autonomous Vehicles Based on Discrete Global Trajectory. IEEE Trans. Intell. Transp. Syst. 2022, 23, 8513–8527. [Google Scholar] [CrossRef]
- Ma, C.; Yu, C.; Yang, X. Trajectory Planning for Connected and Automated Vehicles at Isolated Signalized Intersections under Mixed Traffic Environment. Transp. Res. Part C Emerg. Technol. 2021, 130, 103309. [Google Scholar] [CrossRef]
- Morsali, M.; Frisk, E.; Aslund, J. Deterministic Trajectory Planning for Non-Holonomic Vehicles Including Road Conditions, Safety and Comfort Factors. IFAC-PapersOnLine 2019, 52, 97–102. [Google Scholar] [CrossRef]
- Naveed, K.B.; Qiao, Z.; Dolan, J.M. Trajectory Planning for Autonomous Vehicles Using Hierarchical Reinforcement Learning. In Proceedings of the 2021 IEEE International Intelligent Transportation Systems Conference (ITSC), Indianapolis, IN, USA, 19–22 September 2021; pp. 601–606. [Google Scholar] [CrossRef]
- Nemeth, B.; Gáspár, P.; Hegedűs, T. Optimal Control of Overtaking Maneuver for Intelligent Vehicles. J. Adv. Transp. 2018, 2018, 2195760. [Google Scholar] [CrossRef]
- Peng, T.; Su, L.; Guan, Z.; Hou, H.; Li, J.; Liu, X.; Tong, Y. Lane-Change Model and Tracking Control for Autonomous Vehicles on Curved Highway Sections in Rainy Weather. J. Adv. Transp. 2020, 2020, 8838878. [Google Scholar] [CrossRef]
- Peng, B.; Yu, D.; Zhou, H.; Xiao, X.; Xie, C. A Motion Planning Method for Automated Vehicles in Dynamic Traffic Scenarios. Symmetry 2022, 14, 208. [Google Scholar] [CrossRef]
- Said, A.; Talj, R.; Francis, C.; Shraim, H. Local trajectory planning for autonomous vehicle with static and dynamic obstacles avoidance. In Proceedings of the 2021 IEEE International Intelligent Transportation Systems Conference (ITSC), Indianapolis, IN, USA, 19–22 September 2021; pp. 410–416. [Google Scholar] [CrossRef]
- Scheffe, P.; Dorndorf, G.; Alrifaee, B. Increasing Feasibility with Priority Assignment in Distributed Trajectory Planning for Road Vehicles. TechRxiv 2022. [Google Scholar] [CrossRef]
- Sun, K.; Zhao, X.; Wu, X. A cooperative lane change model for connected and autonomous vehicles on two lanes highway by considering the traffic efficiency on both lanes. Transp. Res. Interdiscip. Perspect. 2021, 9, 100310. [Google Scholar] [CrossRef]
- Van Hoek, R.; Ploeg, J.; Nijmeijer, H. Cooperative Driving of Automated Vehicles Using B-Splines for Trajectory Planning. IEEE Trans. Intell. Veh. 2021, 6, 594–604. [Google Scholar] [CrossRef]
- Wang, A.; Jasour, A.; Williams, B. Non-Gaussian Chance-Constrained Trajectory Planning for Autonomous Vehicles Under Agent Uncertainty. IEEE Robot. Autom. Lett. 2020, 5, 6041–6048. [Google Scholar] [CrossRef]
- Wang, Y.; Wei, C. A Universal Trajectory Planning Method for Automated Lane-Changing and Overtaking Maneuvers. Math. Probl. Eng. 2020, 2020, 1023975. [Google Scholar] [CrossRef]
- Wei, C.; Li, S. Planning a Continuous Vehicle Trajectory for an Automated Lane Change Maneuver by Nonlinear Programming considering Car-Following Rule and Curved Roads. J. Adv. Transp. 2020, 2020, 8867447. [Google Scholar] [CrossRef]
- Xin, L.; Kong, Y.; Li, S.E.; Chen, J.; Guan, Y.; Tomizuka, M.; Cheng, B. Enable faster and smoother spatio-temporal trajectory planning for autonomous vehicles in constrained dynamic environment. Proc. Inst. Mech. Eng. Part D J. Automob. Eng. 2021, 235, 1101–1112. [Google Scholar] [CrossRef]
- Yuan, C.; Wei, Y.; Shen, J.; Chen, L.; He, Y.; Weng, S.; Wang, T. Research on path planning based on new fusion algorithm for autonomous vehicle. Int. J. Adv. Robot. Syst. 2020, 17, 1729881420911235. [Google Scholar] [CrossRef]
- Varvak, P.M. Finite Element Method: Textbook for High Schools; Kyiv—Higher School, Head Publishing House: Kyiv, Ukraine, 1981; 176p. [Google Scholar]
- Grishkevich, A.I. Automobiles: Theory: Textbook for high schools. Minsk High Sch. 1986, 208, 431–438. [Google Scholar]
- Pacejka, H.B. Tire and Vehicle Dynamics, 3rd ed.; Elsevier: Oxford, UK, 2012. [Google Scholar]
- MATLAB R2021b. Available online: https://www.mathworks.com/ (accessed on 20 June 2022).
Publisher’s Note: MDPI stays neutral with regard to jurisdictional claims in published maps and institutional affiliations. |
© 2022 by the authors. Licensee MDPI, Basel, Switzerland. This article is an open access article distributed under the terms and conditions of the Creative Commons Attribution (CC BY) license (https://creativecommons.org/licenses/by/4.0/).









