Influence of Metal Ions on the Structural Complexity of Mixed-Ligand Divalent Coordination Polymers
Abstract
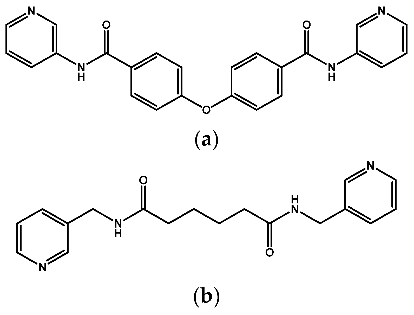
1. Introduction
2. Materials and Methods
2.1. General Procedures
2.2. Materials
2.3. Preparations
2.3.1. {[Zn2(L1)(1,4-NDC)2]·MeOH}n, 1
2.3.2. {[Cu(L1)(1,4-NDC)(H2O)]·3H2O}n, 2
2.3.3. {[Cd(L1)(1,4-NDC)]·2H2O}n, 3
2.3.4. {[Co4(L2)0.5(1,4-NDC)3(H2O)3(µ3-OH)2]·EtOH·2H2O}n, 4
2.3.5. {[Zn2(L2)(1,4-NDC)2]·2CH3OH}n, 5
2.3.6. [Cd(L2)(adipic)(H2O)]n, 6
2.4. X-ray Crystallography
3. Results and Discussions
3.1. Structure of 1
3.2. Structure of 2
3.3. Structure of 3
3.4. Structure of 4
3.5. Structure of 5
3.6. Structure of 6
3.7. Ligand Conformation and Bonding Mode
3.8. Structural Comparisons
3.9. Thermal Properties
3.10. Luminescent Properties
4. Conclusions
Supplementary Materials
Author Contributions
Funding
Data Availability Statement
Acknowledgments
Conflicts of Interest
References
- Batten, S.R.; Champness, N.R.; Chen, X.-M.; Garcia-Martinez, J.; Kitagawa, S.; Öhrström, L.; O’Keeffe, M.; Suh, M.P.; Reedijk, J. Terminology of metal–organic frameworks and coordination polymers. Pure Appl. Chem. 2013, 85, 1715–1724. [Google Scholar] [CrossRef]
- Batten, S.R.; Neville, S.M.; Turner, D.R. Coordination Polymers: Design, Analysis and Application; Royal Society of Chemistry: Cambridge, UK, 2009. [Google Scholar]
- Sijbesma, R.P.; Meijer, E.W. Self-assembly of well-defined structures by hydrogen bonding. Curr. Opin. Colloid Interface Sci. 1999, 4, 24–32. [Google Scholar] [CrossRef]
- Li, H.-H.; Chen, Z.-R.; Li, J.-Q.; Huang, C.-C.; Zhang, Y.-F.; Jia, G.-X. Role of Spacers and Substituents in the Self-Assembly Process: Syntheses and Characterization of Three Novel Silver(I)/Iodine Polymers. Cryst. Growth Des. 2006, 6, 1813–1820. [Google Scholar] [CrossRef]
- Bu, X.H.; Chen, W.; Hou, W.F.; Zhang, R.H.; Brisse, F. Controlling the Framework Formation of Silver(I) Coordination Polymers with 1,4-Bis(phenylthio)butane by Varying the Solvents, Metal-to-Ligand Ratio, and Counter anions. Inorg. Chem. 2002, 41, 3477–3482. [Google Scholar] [CrossRef] [PubMed]
- Blake, A.J.; Champness, N.R.; Cooke, P.A.; Nicolson, J.E.B.; Wilson, C. Multi-modal bridging ligands; effects of ligand functionality, anion and crystallisation solvent in silver(I) co-ordination polymers. J. Chem. Soc. Dalton Trans. 2000, 21, 3811–3819. [Google Scholar] [CrossRef]
- Carlucci, L.; Ciani, G.; Proserpio, D.M. Polycatenation, polythreading and polyknotting in coordination network chemistry. Coord. Chem. Rev. 2003, 246, 247–289. [Google Scholar] [CrossRef]
- Zaman, M.B.; Smith, M.D.; zur Loye, H.-C. Two different one-dimensional structural motifs in the same coordination polymer: A novel interpenetration of infinite ladders by bundles of infinite chains. Chem. Commun. 2001, 21, 2256–2257. [Google Scholar] [CrossRef]
- Hsu, Y.-F.; Lin, C.-H.; Chen, J.-D.; Wang, J.-C. A Novel Interpenetrating Diamondoid Network from Self-Assembly of N,N′-Di(4-pyridyl)adipoamide and Copper Sulfate: An Unusual 12-Fold, [6 + 6] Mode. Cryst. Growth Des. 2008, 8, 1094–1096. [Google Scholar] [CrossRef]
- Hsu, C.-H.; Huang, W.-C.; Yang, X.-K.; Yang, C.-T.; Chhetri, P.M.; Chen, J.-D. Entanglement and Irreversible Structural Transformation in Co(II) Coordination Polymers Based on Isomeric Bis-pyridyl-bis-amide Ligands. Cryst. Growth Des. 2019, 19, 1728–1737. [Google Scholar] [CrossRef]
- Wu, T.-T.; Hsu, W.; Yang, X.-K.; He, H.-Y.; Chen, J.-D. Entanglement in Co(II) coordination networks: Polycatenation from single net to 2-fold and 3-fold interpenetrated nets. CrystEngComm 2015, 17, 916–924. [Google Scholar] [CrossRef]
- Chhetri, P.M.; Wu, M.-H.; Hsieh, C.-T.; Yang, X.-K.; Wu, C.-M.; Yang, E.-C.; Wang, C.-C.; Chen, J.-D. A Pair of CoII Supramolecular Isomers Based on Flexible Bis-Pyridyl-Bis-Amide and Angular Dicarboxylate Ligands. Molecules 2020, 25, 201. [Google Scholar] [CrossRef] [PubMed]
- Huang, W.-C.; Chen, W.-H.; Chen, C.-L.; Liao, T.-T.; Chen, Y.-W.; Chen, J.-D. Formation of entangled Co(II) coordination polymers based on bis-pyridyl-bis-amide and angular dicarboxylate ligands: A structural comparison. CrystEngComm 2023, 25, 5575–5587. [Google Scholar] [CrossRef]
- Ganguly, S.; Parveen, R.; Dastidar, P. Rheoreversible Metallogels Derived from Coordination Polymers. Chem. Asian J. 2018, 13, 1474–1484. [Google Scholar] [CrossRef] [PubMed]
- Kumar, G.; Turnbull, M.M.; Thakur, V.; Gupta, S.; Trivedi, M.; Kumar, R.; Husain, A. Solvothermal synthesis, structural characterization, DFT and magnetic studies of a dinuclear paddlewheel Cu(II)-metallamacrocycle. J. Molecular Struct. 2020, 1201, 127193. [Google Scholar] [CrossRef]
- Bruker AXS. APEX2, V2008.6; SAD ABS V2008/1; SAINT+ V7.60A.; SHELXTL V6.14; Bruker AXS Inc.: Madison, WI, USA, 2008. [Google Scholar]
- Sheldrick, G.M. Crystal structure refinement with SHELXL. Acta Cryst. 2015, 71, 3–8. [Google Scholar]
- Addison, A.W.; Rao, T.N.; Reedijk, J.; van Rijn, J.; Verschoor, G.C. Synthesis, structure, and spectroscopic properties of copper(II) compounds containing nitrogen–sulphur donor ligands; the crystal and molecular structure of aqua[1,7-bis(N-methylbenzimidazol-2′-yl)-2,6-dithiaheptane]copper(II) perchlorate. J. Chem. Soc. Dalton Trans. 1984, 7, 1349–1356. [Google Scholar] [CrossRef]
- Blatov, V.A.; Shevchenko, A.P.; Proserpio, D.M. Applied topological analysis of crystal structures with the program package ToposPro. Cryst. Growth Des. 2014, 14, 3576–3586. [Google Scholar] [CrossRef]
- Yang, X.-K.; Chang, M.-N.; Hsing, J.-F.; Wu, M.-L.; Yang, C.-T.; Hsu, C.-H.; Chen, J.-D. Synthesis, crystal structures and thermal properties of six Co(II) and Ni(II) coordination polymers with mixed ligands: Formation of a quadruple-strained helical nanotube. J. Mol. Struct. 2018, 1171, 340–348. [Google Scholar] [CrossRef]
- Cheng, P.-C.; Kuo, P.-T.; Xie, M.-Y.; Hsu, W.; Chen, J.-D. Structure-directing roles of auxiliary polycarboxylate ligands in the formation of Zn(II) and Cd(II) coordination polymers based on a flexible N,N′-di(3-pyridyl)dodecanedioamide. CrystEngComm 2013, 15, 6264–6272. [Google Scholar] [CrossRef]
- Li, D.-S.; Zhao, J.; Wu, Y.-P.; Liu, B.; Bai, L.; Zou, K.; Du, M. Co5/Co8–Cluster-Based Coordination Polymers Showing High-Connected Self-Penetrating Networks: Syntheses, Crystal Structures, and Magnetic Properties. Inorg. Chem. 2013, 52, 8091–8098. [Google Scholar] [CrossRef]
- Yang, X.-K.; Chen, J.-D. Crystal-to-crystal transformation and linker exchange in Cd(II) coordination polymers based on flexible bis-pyridyl-bis-amide and 1,4-naphthalenedicarboxylate. CrystEngComm 2019, 21, 7437–7446. [Google Scholar] [CrossRef]
- Lakshmanan, V.; Lai, Y.-T.; Yang, X.-K.; Govindaraj, M.; Lin, C.-H.; Chen, J.-D. Eight-Fold Interpenetrating Diamondoid Coordination Polymers for Sensing Volatile Organic Compounds and Metal Ions. Polymers 2021, 13, 3018. [Google Scholar] [CrossRef] [PubMed]
- Wang, X.-L.; Wu, X.-M.; Liu, G.-C.; Lin, H.-Y.; Wang, X. A series of pyridyl-amide-based ZnII/CdII coordination polymers and their polypyrrolefunctionalized composite materials for tuning their photocatalytic properties. RSC Adv. 2016, 6, 85030. [Google Scholar] [CrossRef]
- Liu, G.-C.; Li, Y.; Xiong, Y.; Liu, X.-X.; Li, Q.-M.; Zhang, J.-W.; Lin, H.-Y.; Li, X.-W. Spacers-directed structural diversity of Co(II)/Zn(II) complexes based on S-/O-bridged dipyridylamides: Electrochemical, fluorescent recognition behavior and photocatalytic properties. J. Coord. Chem. 2018, 71, 483–501. [Google Scholar] [CrossRef]
- Wang, X.-L.; Wu, X.-M.; Liu, G.-C.; Chen, N.-L.; Lin, H.-Y.; Wang, X. Structural Diversity and Properties of Six ZnII/CdII Coordination Polymers Based on an O-Bridged Semi-Rigid Bis-pyridyl-bis-amide and Different Dicarboxylates. Aust. J. Chem. 2016, 69, 846–855. [Google Scholar] [CrossRef][Green Version]
- Ganguly, S.; Mukherjee, S.; Dastidar, P. Single-Crystal-to-Single-Crystal Breathing and Guest Exchange in Co(II) Metal–Organic Frameworks. Cryst. Growth Des. 2016, 16, 5247–5259. [Google Scholar] [CrossRef]
- Rao, P.C.; Chaudhary, S.P.; Arjun, U.; Kuznetsov, D.; Nath, R.C.; Mandal, S. Magnetic diversity in three-dimensional two-fold interpenetrated structures: A story of two compounds. Dalton Trans. 2017, 46, 12804. [Google Scholar] [CrossRef]
- Sun, D.; Yan, Z.-H.; Blatov, V.A.; Wang, L.; Sun, D.-F. Syntheses, Topological Structures, and Photoluminescences of Six New Zn(II) Coordination Polymers Based on Mixed Tripodal Imidazole Ligand and Varied Polycarboxylates. Cryst. Growth Des. 2013, 13, 1277–1289. [Google Scholar] [CrossRef]
- Yang, J.-X.; Xin, Z.; Qin, Y.-Y.; Yao, Y.-G. N-Donor Auxiliary Ligand Influence on the Coordination Mode Variations of V- Shaped Triazole Dicarboxylic Acid Ligand Affording Seven New Luminescent Zn(II) Compounds with Variable Structural Motifs. Cryst. Growth Des. 2020, 20, 6366–6381. [Google Scholar]









| 1 | 2 | 3 | |
| Formula | C49H34N4O12Zn2 | C36H32CuN4O11 | C36H28CdN4O9 |
| Formula weight | 1001.54 | 760.19 | 773.02 |
| crystal system | Monoclinic | Orthorhombic | Monoclinic |
| space group | C2/c | P212121 | C2/c |
| a, Å | 16.4613(4) | 10.8657(4) | 29.3869(4) |
| b, Å | 14.2488(3) | 16.0134(5) | 10.0253(1) |
| c, Å | 20.9984(5) | 19.2892(7) | 21.6458(3) |
| α, ° | 90 | 90 | 90 |
| β, ° | 105.7361(13) | 90 | 93.1008(7) |
| γ, ° | 90 | 90 | 90 |
| V, Å3 | 4740.66(19) | 3356.3(2) | 6367.79(14) |
| Z | 4 | 4 | 8 |
| dcalc, mg/m3 | 1.403 | 1.504 | 1.613 |
| F(000) | 2048 | 1572 | 3136 |
| µ(MoKα), mm−1 | 1.078 | 0.721 | 0.752 |
| range(2θ) for data collection, deg | 3.84 ≤ 2θ ≤ 52.00 | 3.30 ≤ 2θ ≤ 56.64 | 2.77 ≤ 2θ ≤ 56.61 |
| independent reflections | 4678 [R(int) = 0.0368] | 8348 [R(int) = 0.0342] | 7862 [R(int) = 0.0247] |
| data/restraints/parameters | 4678/1/319 | 8348/0/470 | 7862/1/451 |
| quality-of-fit indicator c | 1.010 | 1.017 | 1.060 |
| final R indices [I > 2σ(I)] a,b | R1 = 0.0602, wR2 = 0.1417 | R1 = 0.0377, wR2 = 0.0841 | R1 = 0.0292, wR2 = 0.0705 |
| R indices (all data) | R1 = 0.0635, wR2 = 0.1429 | R1 = 0.0526, wR2 = 0.0904 | R1 = 0.0370, wR2 = 0.0746 |
| 4 | 5 | 6 | |
| Formula | C47H47Co4N2O21 | C44H42N4O12Zn2 | C24H32CdN4O7 |
| Formula weight | 1211.58 | 949.55 | 600.93 |
| crystal system | Monoclinic | Monoclinic | Monoclinic |
| space group | P21/c | P21/c | C2/c |
| a, Å | 11.5475(13) | 18.5332(3) | 19.7055(7) |
| b, Å | 21.944(2) | 15.1797(3) | 15.5586(6) |
| c, Å | 20.800(2) | 15.6862(3) | 8.7536(3) |
| α, ° | 90 | 90 | 90 |
| β, ° | 92.035(2) | 107.0289(10) | 111.408(2) |
| γ, ° | 90 | 90 | 90 |
| V, Å3 | 5267.1(10) | 4219.50(14) | 2498.60(16) |
| Z | 4 | 4 | 4 |
| dcalc, mg/m3 | 1.528 | 1.495 | 1.597 |
| F(000) | 2476 | 1960 | 1232 |
| µ(Mo Kα), mm−1 | 1.316 | 1.206 | 0.926 |
| range(2θ) for data collection, deg | 3.53 ≤ 2θ ≤ 52.00 | 3.53 ≤ 2θ ≤ 52.00 | 3.43 ≤ 2θ ≤ 56.57 |
| independent reflections | 10343 [R(int) = 0.1108] | 8290 [R(int) = 0.0528] | 3091 [R(int) = 0.0608] |
| data/restraints/parameters | 10343/1101/649 | 8290/2/549 | 3091/0/168 |
| quality-of-fit indicator c | 1.051 | 1.013 | 1.018 |
| final R indices [I > 2σ(I)] a,b | R1 = 0.0766, wR2 = 0.1945 | R1 = 0.0475, wR2 = 0.1033 | R1 = 0.0401, wR2 = 0.0670 |
| R indices (all data) | R1 = 0.1500, wR2 = 0.2315 | R1 = 0.1029, wR2 = 0.1240 | R1 = 0.0728, wR2 = 0.0758 |
| Ligand Conformation | Coordination Mode | |
|---|---|---|
| 1 | ![]() | ![]() |
| 2 | ![]() | ![]() |
| 3 | ![]() | ![]() |
| 4 | ![]() | ![]() |
| 5 | ![]() | ![]() |
| 6 | ![]() | ![]() |
| Complex | d1 (Å) | d2 (Å) | d3 (Å) | θ1 (°) | θ2 (°) | θ3 (°) | C-O-C |
|---|---|---|---|---|---|---|---|
| 1 | 11.24 | 11.24 | 20.29 | 41.67 | 51.07 | 41.67 | 123.18 |
| 2 | 11.17 | 11.39 | 17.31 | 52.23 | 59.04 | 13.89 | 121.16 |
| 3 | 11.10 | 11.43 | 21.55 | 77.93 | 27.74 | 16.66 | 121.09 |
| Complex | Structure | Reference |
|---|---|---|
| [{Cu2(L1)(adman)4}·3DMF]2 | Dinuclear complex | [15] |
| {[Cd(L1)(5-NIP)(H2O)]·H2O}n | 2D, sql | [25] |
| {[Cd(L1)(2,5-TPD)]·DMA}n | 2D, (42·67·8)(42·6) | [25] |
| {[Cd(L1)(2,5-TPD)]·2H2O}n | 2D, (42·67·8)(42·6) | [25] |
| {[Zn(L1)(2,5-TPD)]·2H2O}n | 2D, {42·62} | [25] |
| {[Zn(L1)(1,3-BDC)]·H2O}n | 2D, {42·62} | [25] |
| {[Zn2(L1)(5-AIP)2]·2H2O}n | 2D, {63}{66} | [25] |
| [{Cd(L1)(IPA)}(H2O)2]n | 2D, {42·67·8}{42·6} | [14] |
| [{Cd(L1)(TPA)}(H2O)]n | 2D, sql | [14] |
| [{Cd(L1)2(1,4-PDA)2(H2O)2}(H2O)6 ]n | 1D, {42·6} | [14] |
| [{Cd2(L1)2(1,2-CTA)2}(H2O)4]n | 2D, {33·410·5·6} | [14] |
| {[Co(L1)(chdc)]}n | 1D wave-like double chain | [26] |
| {[Zn(L1)(hip)]·2.8H2O}n | 2D, sql | [26] |
| {[Zn2(L1)(chdc)2]·2H2O}n | 2D, (42·63·8)(42·6) | [27] |
| {[Zn(L1)(mip)]·3H2O}n | 2D, sql | [27] |
| {[Zn(L1)(1,3-BDC)]·H2O}n | 2D, sql | [27] |
| {[Cd2(L1)(chdc)2]·2H2O}n | 2D, (42·63·8)(42·6) | [27] |
| {[Cd(L1)(mip)]·2H2O}n | 2D, (42·67·8)(42·6) | [27] |
| {[Cd(L1)(1,3-BDC)]·2H2O}n | 2D, (42·67·8)(42·6) | [27] |
| {[Zn2(L1)(1,4-NDC)2]·MeOH}n, 1 | 2-fold interpenetrated 3D, sqc493 (pcu) | this work |
| {[Cu(L1)(1,4-NDC)(H2O)]·3H2O}n, 2 | 1D triple-strained helical chain | this work |
| {[Cd(L1)(1,4-NDC)]·2H2O}n, 3 | 3-fold interpenetrated 3D, coe (dia) | this work |
| [{Co2(L3)2(1,4-PDA)2}(H2O)2]n | 2D, {412·52·6} | [14] |
| [{Co(L3)(1,3-PDA)}(H2O)2]n | 2D, sql | [14] |
| [{Co(L3)(IPA)}(DMF)2(H2O)]n | 2D, sql | [28] |
| [{Co2(L3)2(TPA)2}(DMF)4]n | 2-fold interpenetrated 3D, pcu | [28] |
| {[Ni(L3)(1,4-BDC)]·2DMF}n | 2-fold interpenetrated 3D, pcu | [29] |
| {[Co(L3)(TDC)]·2DMF}n | 2-fold interpenetrated 3D | [29] |
| Complex | Weight Loss of Solvent, T, °C (Observed/Calcd),% | Weight Loss of Ligand, T, °C (Observed/Calcd),% |
|---|---|---|
| 1 | MeOH, 30–120 (3.20/2.36) | L1 + 1,4-NDC2−, 300–800 (62.36/60.22) |
| 2 | 3H2O, 30–120 (7.11/7.90) | L1 + 1,4-NDC2 + H2O, 240–900 (84.53/81.72) |
| 3 | 2H2O, 30–150 (4.66/5.37) | L1 + 1,4-NDC2−, 270–800 (80.80/81.54) |
| 4 | 20–330 (15.5/15.1) | 330–700 (65.2/60.7) |
| 5 | 30–120 (4.3/6.7) | 120–800 (70.0/79.9) |
| 6 | 100–230 (4.6/3.0) | 230–800 (79.5/78.6) |
| Compound | λex (nm) | λem (nm) | Complex | λex (nm) | λem (nm) |
|---|---|---|---|---|---|
| L1 | 318 | 410 | 1 | 340 | 386 |
| 1,4-H2NDC | 280, 360sh | 480 | 3 | 334 | 381 |
| L2 | 300 | 460 | 5 | 342 | 385 |
| Adipic acid | 235 | 360 | 6 | 272 | 297 |
Disclaimer/Publisher’s Note: The statements, opinions and data contained in all publications are solely those of the individual author(s) and contributor(s) and not of MDPI and/or the editor(s). MDPI and/or the editor(s) disclaim responsibility for any injury to people or property resulting from any ideas, methods, instructions or products referred to in the content. |
© 2024 by the authors. Licensee MDPI, Basel, Switzerland. This article is an open access article distributed under the terms and conditions of the Creative Commons Attribution (CC BY) license (https://creativecommons.org/licenses/by/4.0/).
Share and Cite
Cheng, F.-J.; Wang, K.-M.; Lee, C.-Y.; Wang, S.-W.; Thapa, K.B.; Govindaraj, M.; Chen, J.-D. Influence of Metal Ions on the Structural Complexity of Mixed-Ligand Divalent Coordination Polymers. Chemistry 2024, 6, 1020-1038. https://doi.org/10.3390/chemistry6050059
Cheng F-J, Wang K-M, Lee C-Y, Wang S-W, Thapa KB, Govindaraj M, Chen J-D. Influence of Metal Ions on the Structural Complexity of Mixed-Ligand Divalent Coordination Polymers. Chemistry. 2024; 6(5):1020-1038. https://doi.org/10.3390/chemistry6050059
Chicago/Turabian StyleCheng, Fang-Ju, Kai-Min Wang, Chia-Yi Lee, Song-Wei Wang, Kedar Bahadur Thapa, Manivannan Govindaraj, and Jhy-Der Chen. 2024. "Influence of Metal Ions on the Structural Complexity of Mixed-Ligand Divalent Coordination Polymers" Chemistry 6, no. 5: 1020-1038. https://doi.org/10.3390/chemistry6050059
APA StyleCheng, F.-J., Wang, K.-M., Lee, C.-Y., Wang, S.-W., Thapa, K. B., Govindaraj, M., & Chen, J.-D. (2024). Influence of Metal Ions on the Structural Complexity of Mixed-Ligand Divalent Coordination Polymers. Chemistry, 6(5), 1020-1038. https://doi.org/10.3390/chemistry6050059













