Abstract
Sulfated polysaccharides have a variety of important biologically active properties, such as anticoagulant, hypolipidemic, antiviral activity, the ability to be a means of targeted drug delivery and to improve the water solubility of certain drugs. Initial and sulfated polysaccharides’ biological activity depends on the method of their preparation, composition and structure. Currently, there is an extensive body of literature data on methods for the sulfation of various natural polysaccharides. However, modern reviews on this topic mainly focus on the biological activity and application of sulfated polymers, rather than on synthesis methods. The latest comprehensive review on methods for the synthesis of sulfated polysaccharides was performed by Caputo in 2019. To further study this area, you need to know the latest trends in this topic. Based on this, we decided to create a new, up-to-date review covering most of the existing methods for the synthesis of sulfated polysaccharides. This work examined methods for the synthesis of biologically active polysaccharide sulfates and their effect on polymer characteristics, as well as the advantages and disadvantages of each method. Traditional methods for sulfating polysaccharides were reviewed such as using a complex of sulfur trioxide with pyridine, and new methods based on the use of toxic free and corrosive free reagents. Some data on the biological activity of the obtained polysaccharides are considered.
1. Introduction
Due to the increasing use of plant polysaccharides in various industries, there is a need to improve their properties. The functional properties, including the antioxidant behavior, of plant-derived polysaccharides are of great value due to the transfer of their value-added properties to a variety of practical products [1].
Today, polysaccharides occupy an important place in achieving the goals of the food, fermentation, medical, agricultural and cosmetic industries [2].
Polysaccharides are well suited for use in the production of various chemical or biochemical products due to their non-toxicity, biodegradability and renewability [3]. Polysaccharides are cheap and readily available raw materials that comply with the principles of zero-waste production, green chemistry and a circular economy [4,5,6,7].
The unique complex of physicochemical and mechanical properties of polysaccharides determines their wide practical use in various industries. The structural diversity of polysaccharides makes it possible to implement and develop new methods for the chemical modification of biopolymers, supplementing their class with new representatives with more valuable properties
Polysaccharides are used to form fibers and films, as well as to obtain various composite materials, including those for medical and biological purposes. Physiologically active polysaccharides are used in biotechnology and medicine as biodegradable plastics and suture materials, drug carriers, etc., and more recently as independent drugs [8].
One of the promising areas for the use of polysaccharides is the creation of composite materials with nano-sized fillers. In the future, polysaccharides with a pronounced fibrillar structure can be used to improve the physical and mechanical properties of various polymers and increase their biodegradability.
The structural properties and versatility of plant polysaccharides can be modified using modern technologies [9]. Physical, chemical and biological modifications are commonly used to improve the functional properties of polysaccharides. Chemical modifications using carboxymethylation, sulfation, phosphorylation and selenation can be effective ways to safely improve polysaccharides [10]. With these modification methods, certain functional groups are either introduced to or replaced in the polysaccharide.
Modifications are usually carried out to improve the structural composition, molecular weight, bond structure and ionic properties of polysaccharides. The introduction of certain functional groups into polysaccharides changes their molecular weight, structure, type, position and number of substituents [11]. By varying these parameters, it is possible to achieve the required characteristics of the polysaccharide. Polysaccharides of plant origin, with the exception of cellulose and gums, are easily modified by chemical methods and are well differentiated [10].
2. Structure of Polysaccharides
Polysaccharides consisting of identical monosaccharide units are called homopolysaccharides. This type of polysaccharides includes starch and cellulose. If different types of monosaccharide units occur together in the same structure, it is a heteropolysaccharide. Most industrial polysaccharides are heteroprolysaccharides. Such polysaccharides have a complex structural moiety and are classified according to the type of arrangement [12]:
- (1)
- Linear homopolymer structures interrupted by insertions of another type of residue (for example, pectin, carboxymethylcellulose);
- (2)
- Regular alternating linear structures, where two sugar units are periodically repeated over long sections of the same skeleton (for example, carrageenans and agarose);
- (3)
- More complex linear repeats formed by more than two alternating sequences (for example, gellan);
- (4)
- Linear structures in which two or more structural units are present in an irregular order (for example, konjac-glucomannan);
- (5)
- Those in which one sugar unit is present in the main chain and the other in the side chains (for example, galactomanans);
- (6)
- More complex periodically branched sequences (for example, xanthan containing a cellulose backbone with three trisaccharide side chains on alternating residues);
- (7)
- Irregular, non-periodic complex structures, including several types of sugar units, and sometimes non-polysaccharide appendages (proteins), often having branches (for example, gum arabic).
The most widespread component of polysaccharides is D-glucose, but we also often find D-mannose, D-fructose, L-galactose, D-galactose, L-arabinose and D-xylose. Some of the monosaccharide derivatives in polysaccharide compounds contain amino sugars (D-glucosamine and D-galactosamine) and their derivatives (for example, N-acetylneuraminic acid and N-acetylmuramic acid), as well as simple types of sugar acids (iduronic and glucuronic acids) [13].
The joining of neighboring sugars into carbohydrate chains occurs through the condensation of the hemiacetal OH group at C1 of one residue with one of the alcohol OH groups of the next residue. During the condensation process, water is split off. The glycosidic bonds obtained in this way can be axial (α) and equatorial (β). Based on the assumption that the shape of the monosaccharide ring remains constant, knowing which carbon is bonded to the other glycosidic O allows one to determine the structure of a linear homopolymer with identical bonds.
Unlike proteins, different polysaccharides can have similar primary structures. For example, polymers of D-glucose are cellulose β-(1->4) glycan, amylose α-(1->4), dextran α-D-(1->6) and curdlan β-(1->3). Despite the similarities in their primary structure, their chains form different higher-order structures and exhibit very different behaviors. The structures of polysaccharides have little diversity due to the small number of monosaccharide units involved in their synthesis. Also, polysaccharide chains often contain regularly repeating sequences of monosaccharides. Therefore, the chemical diversity of polysaccharides is usually determined by the degree and nature of branching, as well as the geometry of glycosidic bonds. This circumstance limits the number of analytical methods available for determining the type of polysaccharide in food products. This means that obtaining accurate results often requires the use of multiple analysis methods [12].
3. Physico-Chemical Properties of Polysaccharides
O’sullivan [14] has shown that one of the main factors determining the physicochemical properties of polysaccharides is their complex supramolecular structure. Polysaccharides belong to fibrillar polymers, and microfibrils consist of amorphous and highly ordered microdomains. The consequence of this structure is that:
- (1)
- Polysaccharides have two glass transition temperatures;
- (2)
- Polysaccharides exhibit several secondary small-scale relaxation transitions of an endothermic nature, which can be classified as g- and β-transitions.
Thus, if we rely on the theory of the amorphous crystalline structure of polysaccharides, then their supramolecular structure can be characterized by:
- -
- Crystallographic parameters;
- -
- Crystallinity;
- -
- Crystallite size;
- -
- Defectiveness of crystallites;
- -
- Structural features of amorphous regions;
- -
- Size of the formed fibrils, etc. [15].
Polysaccharides and other cationic polymers are used in pharmaceuticals for their ability to control the release of antibiotics.
The combination of natural polysaccharides with inorganic layered solids also leads to the formation of bionanocomposites, in which biopolymers are intercalated between layers of an inorganic carrier [16]. Intercalating is a complex process in which several mechanisms are simultaneously involved. Thus, in addition to the formation of hydrogen bonds, some biopolymers interact with inorganic layers through ionic bonds. In the case of polysaccharides, proteins and nucleic acids, they can be intercalated as polyelectrolytes through ion exchange reactions.
4. Biological Activity of Polysaccharides
Natural polysaccharides are capable of performing four types of biological functions:
- (1)
- Structural
Structural polysaccharides (cellulose, arabinogalactans, chitin, pectins, alginates, carrageenans, chondroitin sulfates, polyuronic acids, etc.) have fibrous structures that provides mechanical strength to cells, organs and the entire body
- (2)
- Energy
Reserve polysaccharides (amylose, amylopectin, glycogen, dextran, xanthan, heparin, etc.) accumulate in cells in large quantities. When they are broken down, low-molecular-weight carbohydrates are formed, which provide the body with energy, regulate immune processes, etc.
- (3)
- Protective
Polysaccharides perform a protective function in response to tissue damage, forming protective capsules and changing the properties of the cellular environment. Protective polysaccharides include plant and animal gums and mucilages (a mixture of polysaccharides of complex composition and structure).
- (4)
- Formation of markers
Polysaccharides participate in the formation of complex macromolecules—glycoproteins and glycolipids. Glycoproteins play the role of markers with the help of which molecules and cells recognize each other. Glycoproteins determine antigen specificity, cause differences in blood groups, serve as receptors, catalysts, and perform other functions.
Most polysaccharides have multifaceted physiological activity and belong to the category of biological response modulators—immunomodulators. Typical galactan-containing polysaccharides of higher plants are immunomodulators that activate the reticuloendothelial system and increase the phagocytic index.
Immunomodulators are divided into three groups
- (1)
- Immunologically active compounds: immunostimulants that enhance the immune response;
- (2)
- Immunoadjuvants—enhance the effect of immunogens, antigens and vaccines on the immune system of humans and animals;
- (3)
- Immunosuppressants—suppress the immune response.
Every year, an increasing number of polysaccharides are used in the synthesis of new-generation drugs. These are physiologically active polymers of the “grafting” type. Among the synthetic polymers and biopolymers used in medical practice, polysaccharides are perhaps the most valuable carriers. Many of them perform a protective function, increasing the resistance of macroorganisms to bacterial and viral infections, the appearance of tumors and X-ray exposure [1]. The functions of polysaccharides and carbohydrate-containing biopolymers associated with their specificity are given special attention.
It is known that the structures of antigens trigger the development of immunity is polysaccharide in nature. The ability of polysaccharides to increase the nonspecific resistance of macroorganisms is of great importance in the context of the widespread use of antibiotics, chemicals and other therapeutic agents that reduce natural defense mechanisms. An increase in nonspecific resistance leads to an increase in the medicinal effect of some drugs when used together with polysaccharides. The most popular of these polysaccharides are dextran and alginic acid [17,18]. They are non-toxic, hypoallergenic, do not interact with blood and do not accumulate in the body. They and some of their derivatives are easily biodegradable, but their modifications can complicate their destruction [19]. In addition, these polysaccharides and their derivatives often exhibit their own biological activity and are used as independent medicinal substances.
Past research has shown that polysaccharides have biological properties such as anticoagulant [20,21], antioxidant [22], anti-radiation, antitumor [23,24], anti-cancer, antiviral [25], immunomodulatory [26] and anti-inflammatory effects [27] and can be used for the prevention and treatment of infectious diseases. The use of polysaccharides depends on their source and structure [28,29,30,31,32,33,34].
Biologically active plant polysaccharides are used in the treatment of peptic ulcers, as well as for removing heavy metal salts and radionuclides from the body. Biological activity largely depends on the structural features of macromolecules, i.e., on the structure of all side chains, their location along the main chain, the conformation of macromolecules and the mechanism of aggregation. A certain role in the manifestation of biological activity belongs to the localization of polysaccharides in plant cells. To exhibit biological activity (primarily immunomodulatory effects), polysaccharides must have a sufficiently high molecular weight and a tendency to form high-molecular aggregates (mw > 1 MDa) [35].
There are natural polysaccharides that already contain the necessary functional groups that increase biological activity. For example, polysaccharides extracted from the cell walls of algae, due to the sulfo group, exhibit excellent antioxidant, anticoagulant, antitumor and other biological activities [36]. These polysaccharides include heparin, which actively used in modern medicine and isolated from animal cells. Also, chondroitin sulfate is widely present in the tissues and organs of animals. Fucoidan and carrageenan, which also contain sulfo groups, are commercially significant polysaccharides and have great prospects in the cosmetic and food industries [37,38].
Currently, there are already several clinically approved polysaccharide sulfates that are actively used in medicine and pharmacology (Table 1).
Table 1.
Use of clinically approved polysaccharide sulfates.
Sulfated polysaccharides play an important role in the food industry and biomedicine due to their biological activity [39]. However, many naturally occurring sulfated polysaccharides have long growth cycles, complex extraction processes, poor product uniformity and the risk of viral contamination. Therefore, the production of sulfated polysaccharides by chemical modification is attracting increasing attention from researchers [40].
5. Traditional Sulfation of Polysaccharides
The process of modifying polysaccharides largely depends on their structure. Depending on the branching and the presence of monosaccharide inclusions, substitution within the polysaccharide molecule will occur in different ways. By comparing different polysaccharides within the same modification, one can judge the effect of structure on the chemical reactivity of polysaccharides
Sulfation is the nucleophilic replacement of hydroxyl groups of polysaccharides with sulfate groups and the production of their esters (Figure 1). Many methods have been developed for the synthesis of polysaccharide sulfates [41]. But most of them involve the use of toxic and dangerous reagents, which leads to complications in the technological process, premature corrosion of equipment and severe destruction of the original polymer. The efficiency of sulfation is influenced by the nature of the polysaccharide, the composition of its monomers and the configuration of glycosidic bonds, molecular weight and other structural factors. Even for the same polysaccharide, the reaction results depend on the sulfating agent, the ratio of components, the medium, the time and the temperature of the reaction [42].
Figure 1.
Sulfation reaction using the example of cellulose sulfation.
Sulfation of polysaccharides occurs by dissolving a certain amount of polysaccharide in a suitable solvent, followed by the addition of reagents under controlled conditions. Thus, the degree of sulfation can be adjusted by changing the molar ratio [43].
Despite the apparent diversity, modern sulfation methods fall into three main categories [44]:
- Use of chlorosulfonic acid–pyridine complex.
The most common method of the sulfation of polysaccharides. It consists of using a sulfating agent, which is obtained by adding chlorosulfonic acid to anhydrous pyridine in a certain ratio, with continuous stirring and cooling. The polysaccharide powder is added to anhydrous formamide with stirring and heating, after which the sulfating agent is added dropwise. At the end of the reaction, the mixture is cooled to room temperature and the pH is adjusted to 7 with NaOH solution. The resulting supernatant is collected and dialyzed. The sulfated polysaccharide from the dialysate is precipitated with alcohol. The resulting solid is dissolved in water and lyophilized to obtain the pure sulfated polysaccharide.
The results showed that the degree of substitution of sulfated products was significantly affected by the reactant ratio, reaction time and reaction temperature. The last indicator is most important for controlling the degree of substitution within the resulting product. The duration of the reaction and the ratio between chlorosulfonic acid and pyridine also affect the degree of substitution, but to a lesser extent [45,46].
The amount of chlorosulfonic acid affects the degree of substitution, since it provides the required amount of sulfonic acid groups in the sulfation reaction. But chlorosulfonic acid is a strong acid and, during the sulfation process, polysaccharides are easily destroyed in an acidic environment and high temperature. The method using chlorosulfonic acid and pyridine is still the most commonly used method for the preparation of sulfated polysaccharides, as it allows one to obtain high degrees of substitution with high product yields [47].
Using this approach for the synthesis of sulfated polysaccharides, various catalysts can be used to improve the desired characteristics of the final product. For example, 4-dimethylaminopyridine/dimethylcyclohexylcarbodimide was successfully used for the homogeneous sulfation of polysaccharide from Artemisia sphaerocephala, in which it demonstrated a significant increase in the degree of substitution of the treated samples [48].
- 2.
- Use of sulfuric acid sulfating agent.
The sulfuric acid sulfation method is in many ways similar to the chlorosulfonic acid-pyridine method. To carry it out, a mixture of concentrated sulfuric acid and n-butanol is used. The reaction is carried out under continuous cooling with the addition of ammonium sulfate to absorb the water formed during the reaction. The polysaccharide together with the sulfating agent is mixed at a low temperature for a given time, after which the final product is neutralized and precipitated [28].
Compared to the method using chlorosulfonic acid and pyridine, the sulfuric acid method has several advantages. First, it provides more stable reaction conditions. Secondly, the chemical reagents used are less toxic. Thirdly, this method is cheaper and easier to implement. However, the disadvantage of this method is that, with an excess of sulfuric acid, polysaccharides can depolymerize and carbonize [49,50].
- 3.
- Use of sulfur trioxide and pyridine as a sulfating agent.
The method using sulfur trioxide and pyridine is also an effective approach to the sulfation of polysaccharides, like the previous two. DMF is most often used as a solvent. The reaction takes place with constant stirring and most often at room temperature. The reaction time varies depending on the type and amount of polysaccharide, the desired degree of substitution and the molecular weight. This method is easy to handle and the reaction conditions are stable. However, it also contains a large number of toxic reagents, leads to the destruction of the polysaccharide polymer chain and requires additional costs for the preparation of the SO3–pyridine mixture [51,52].
6. Use of Other Sulfating Agents
- Sulfamic acid
Currently, the process of searching for less toxic reagents for sulfation is underway in order to reduce the danger of production, reduce costs and reduce the number of stages in the purification of the original product. One promising reagent is sulfamic acid. Heterogeneous sulfation of polysaccharides with sulfamic acid leads to the formation of sulfates with a high sulfur content and a high yield [53]. The effects of various solvents, catalysts and activators on the degree of substitution of guar gum [54], xanthan gum [55], arabinogalactan [56] and ginger polysaccharides [57] during sulfation with sulfamic acid have been studied.
As a result of these studies, it was found that 1,4-dioxane with a lower dielectric constant is the most effective solvent, and urea is the most effective catalyst in the synthesis of polysaccharide sulfates. This is probably due to the fact that urea has a short molecular chain and alkaline properties. As the length of the alkyl radical in urea derivatives increases, their activating ability decreases. The advantages of this sulfation method are the ability to obtain a sulfated product with a high degree of substitution and a more efficient sulfation process compared to the previous three methods [40].
- 2.
- Deep eutectic solvents
There are also methods of sulfation using deep eutectic mixtures based on sulfamic acid and urea [58,59,60]. Studies have been conducted using a mixture of sulfamic acid and glycerol as such solvents [61]. Recently, a method for the sulfation of nanocellulose fibers using the sulfamic acid–urea–choline chloride ternary eutectic system was developed. This approach made it possible to sulfate cellulose more effectively due to its swelling in this mixture. The introduction of choline chloride reduces the processing temperature of nanocellulose, which leads to less destruction of its polymer chain [62]. However, the use of deep eutectic mixtures requires high consumption of reagents and high technological costs for the subsequent separation of sulfation products from the reaction mixture.
- 3.
- Ammonium sulfamate
Ammonium sulfamate, like sulfamic acid, is a non-toxic, heat-resistant, stable sulfating agent [63]. Methods for sulfation with ammonium sulfamate have been developed both in the presence of oxidizing agents (potassium permanganate and potassium dichromate), to activate the sulfation process [64], and in the presence of solid catalysts [65,66]. It is known that when cotton fiber is treated with ammonium sulfamate it acquires fire-resistant properties [67].
- 4.
- Inorganic salts
The use of sulfur-containing inorganic salts is not widespread, since in most cases such processes require additional activation of the polysaccharide, occur with many side reactions and lead to a small degree of substitution. Most often, Na2S2O5 [68,69], K2S2O8 [70,71], Na2S2O7 [69,72,73], KHSO3, Na2SO3, Na₂SO₄, K2S2O5 [69] and NaHSO3 [74,75] are used for such methods.
- 5.
- Organic sulfur-containing compounds
The difficulty of purifying the sulfated product from traditional syntheses and the impossibility of introducing other functional groups into the polysaccharide molecule can be avoided by using a protected sulfate substituent that remains in place during the manipulation of other positions. When 1,2:5,6-di-O-isopropylidene-α-D-glucofuranose and 1,2:3,5-di-O-methylene-α-D-glucofuranose are treated with sodium hydrate in tetrahydrofuran, they are capable of producing derivatives with phenylchlorosulfate. The removal of protecting groups and the production of polysaccharide sulfates can then be easily carried out by catalytic hydrogenolysis [76].
There is a method for sulfating curdlan and dextran with piperidine-4-sulfonic acid. It is a mild sulfating agent and does not lead to degradation of the polymer chain [77,78].
There are also known methods for modifying polysaccharides using sodium hydroxypropyl sulfonate [79] and through a reaction with SuFEx [80].
7. Some Representatives of Polysaccharides and Their Sulfation
7.1. Cellulose
Cellulose is one of the most abundant polysaccharides in nature and forms the basis of the cell walls of most plants.
Cellulose is obtained from many sources such as trees, annual plants, animals, fungi, algae and bacteria. The most common source is plant fiber, in which cellulose as a structural element provides strength to wood and other plant parts. Cellulose occurs in a relatively pure form in cotton fibers, for example, where its content can exceed 90 wt.%. However, it is usually present together with other polysaccharides (hemicelluloses, pectin, etc.), as well as lignin and other organic compounds known as extractives [81].
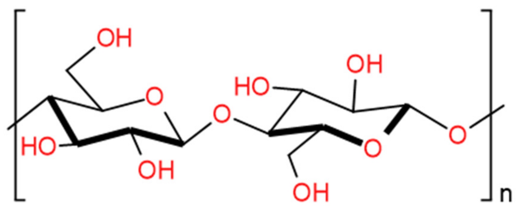
Regardless of the source, cellulose has the same molecular structure. It is a linear polymer formed by repeating D-glucopyranose units called anhydride–glucose units, which are linked by β-1,4-glycosidic bonds. This causes the axis of the cellulose chain to alternately rotate 180°, forming a repeating unit consisting of two D-glucopyranoses, also known as cellobiose (Figure 2).
Figure 2.
Structural formula of cellulose.
The degree of polymerization of cellulose varies depending on its source and the method of extraction from it. The degree of polymerization of natural wood ranges from 800 to 10,000, and in wood pulp it ranges from 300 to 1700 [82]. However, cellulose samples are polydisperse systems, so the degree of polymerization is an average value. Each anhydride–glucose unit contains three hydroxyl groups, among which there is a primary group at C6 and two secondary ones located at C2 and C3 [83].
Cellulose has various hydrogen bonding systems that significantly affect its properties [84]. For example, its limited solubility in many solvents, the reactivity of hydroxyl groups and the degree of crystallinity are determined by these bonds. In cellulose, there are hydrophobic regions around the carbon atoms, which makes cellulose insoluble in water.
The three hydroxyl groups of anhydride–glucoses, the oxygen in the D-glucopyranose ring and the glycosidic bond form intra- and intermolecular bonds. These connections lead to different three-dimensional arrangements [85].
Cellulose is actively used in medicine due to its unique properties: chemical stability, fibrous structure, high mechanical strength and water insolubility. This makes it and its carboxyl derivatives an excellent dressing agent.
Cellulose compounds are non-toxic and are used to treat purulent wounds, ulcers and burns. Cellulose-based sorbents bind to biological fluid proteins due to the presence of many –OH and –COOH groups. Materials created on the basis of cellulose derivatives are preferable to synthetic polymers, since they do not contain elements in their macromolecular structure that have a harmful effect on the body [86,87,88].
Getting into the gastrointestinal tract along with plant foods, cellulose performs a number of important functions for humans. Currently, cellulose and its derivatives are actively used in the medical and pharmacological industries, in the food and paper industries and many other areas.
Also, cellulose fiber, obtained from natural plant sources through various cooking methods, is actively used for the production of paper products, fiberboards and artificial viscose and acetate fibers.
In addition, cellulose serves as a source of nano- and micromaterials, which are obtained by various disintegration methods. The shape and properties of these nano- and microstructures depend on the properties of the original cellulose material (degree of polymerization and crystallinity), as well as on the processing method used [81].
Microcrystalline cellulose (MCC) is a fine white crystalline powder used in various industries. In pharmaceuticals, it is used as a binder in the production of tablets. In the food industry it is used to control the rheological properties of products. MCC also finds application in the production of paper and composite materials [89].
MCC is obtained from biomass by treating it with an aqueous solution of sodium hydroxide followed by acid hydrolysis [90]. Hydrolysis occurs in amorphous regions, leaving behind a solid, insoluble crystalline precipitate. Due to the mobility of hydrolyzed crystals, larger structures are formed compared to the original microfibrils [91].
Hydroxyl groups mean that the reactivity of cellulose and MCC is suitable for various types of modification [92]. The main chemical modifications for cellulose are nucleophilic substitution reactions [93] and the oxidation of cellulose to introduce carbonyl and carboxyl groups [94].
Cellulose sulfate is one of the most common cellulose ethers. It is a semi-synthetic cellulose derivative with a relatively simple chain structure and special biological properties. Its production is not very expensive because cellulose sulfate can be obtained from different types of starting cellulose. It is mainly produced in laboratory settings with limited commercial use [95].
Cellulose sulfate is used in medicine for the production of special coatings, anticoagulants [96,97], antivirals [98,99], anti-inflammatories [100] and contraceptives [101]. Cellulose sulfates are also widely used in various industrial sectors as bases for perfumes, cosmetics, thickeners adsorbents, etc. [102].
Initially, such biological activity was noticed in some natural polysaccharide sulfates [103]. However, cellulose sulfate compares favorably with its natural analogues in that it has a specific chemical structure and is much easier to separate from non-sulfated polysaccharides and purify. This makes it possible to use it on an industrial scale [95].
Cellulose will not dissolve in most solvents [104]. Therefore, the process of its sulfation usually proceeds as a heterogeneous reaction. Since cellulose is not completely dissolved, substitution occurs mainly in the amorphous regions of cellulose, while the crystalline region remains unchanged [95].
A homogeneous strategy can solve the problem of uneven replacement. After dissolving cellulose in certain solvents, its sulfation products have a uniform distribution, good solubility and a low degree of destruction of the polymer chain [105].
In the traditional homogeneous method, a mixture of N2O4 and N,N-dimethylformamide (DMF) forms nitroester groups, which are later replaced by sulfate groups, using SO3 or chlorosulfonic acid as sulfating agents [106]. However, this method can be harmful to the environment as it involves the use of toxic reagents and solvents.
A method of homogeneous sulfation was developed, in which cellulose was dissolved in ionic liquids, followed by sulfation with a SO3–pyridine complex [107]. This method showed that direct sulfation under completely homogeneous conditions is feasible. The minimum degree of substitution to obtain a water-soluble product is 0.25. It is important to note that the cellulose/ionic liquid system has a high viscosity, making mixing difficult in some cases. Co-solvents are usually used to reduce the viscosity of the system. Synthesis in ionic liquids seems to be a successful method for the preparation of cellulose sulfate. However, when discussing large-scale production, the high cost of ionic liquids must be taken into account [95].
In contrast to the homogeneous approach, the heterogeneous method is a method of direct sulfation of cellulose. Despite the fact that acidic reaction conditions significantly destroy the polymer chain and lead to an uneven distribution of substituents, the simplicity of the technological process makes it attractive for the industrial implementation of the production of cellulose sulfates [108].
In addition to homogeneous synthesis, cellulose derivatives with a better solubility than the original cellulose were used as reagents. Such approaches are known as cazihomogeneous synthesis and the properties of the resulting sulfate depend, as a rule, on sulfation processes. In the quasi-homogeneous process, three typical derivatives are mainly used: cellulose acetate, cellulose nitrite and trimethylsilylcellulose. The main difficulty of this approach is the complexity of the reaction systems, which require additional efforts for its purification [109].
Table 2 shows the most common methods for sulfating cellulose and MCC using various sulfating agents.
Table 2.
Methods for sulfation of cellulose and MCC.
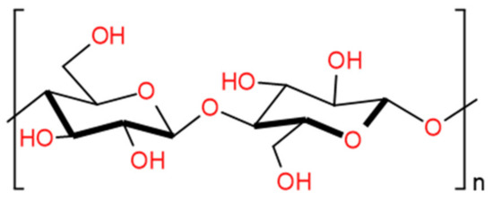
7.2. Pectin
Pectin is a high-molecular, biologically compatible, non-toxic, anionic, complex polysaccharide substance extracted from plant cell walls and intercellular plates [123]. Its structure may vary depending on which plant it comes from. Essentially, pectin consists of the following polysaccharide components:
- Homogalacturonan (HG), (up to 60% pectin);
- Rhamnogalacturonan I (RG-I), (20–35% pectin);
- Rhamnogalacturonan II (RG-II), (10% pectin);
- Xylogalacturonan (XGA);
- Apiogalacturonan (AGA) [124].
A schematic structure of the pectin polymer chain is shown in Figure 3.
Figure 3.
Schematic of the structure of pectin.
Homogalacturonan consists of a chain of 1–4 linked α-D-GalA residues. These chains can be modified by methanol or acetic acid at certain positions. Esterification with acetic acid occurs at positions C2 and C3. The main chain of rhamnogalacturonan I consists of a disaccharide repeating unit that includes GalA and Rha residues linked in a specific sequence. Also, both branched and linear polysaccharides consist mainly of Ara and Gal residues, which bind through C4 to some Rha residues. Occasionally, some Rha residues may be O-acylated at C2 and/or C3. Rhamnogalacturonan II contains at least seven GalA residues linked to each other and four structurally different oligosaccharide side chains linked to the main chain [125].
Pectin is quite widespread in nature. In the food industry, it is mainly used as a gelling agent in jams and jellies, and as a stabilizer in fruit juices and dairy drinks [126].
Natural pectins have various biologically active properties. For example, naturally occurring citrus pectins obtained under alkaline conditions at high pressure exhibit prebiotic activity [127,128]. Pectin from okra, isolated using acid extraction, exhibits high antioxidant and anti-inflammatory activity [129,130]. And pumpkin pectin, obtained by hot water extraction, has immunomodulatory and hypoglycemic effects [131,132,133].
However, as research has deepened, some disadvantages of natural pectins have also been revealed. For the most part, pectins exist in the form of protopectins with a high molecular weight and low solubility. The formation of pectin gel with a high level of methoxyls, as a rule, occurs in the presence of a large amount of sucrose (55–75%), which somewhat limits its use in a number of areas [52,134]. Rapid hydration, swelling and erosion due to the high solubility of pectins in water reduces their ability to control the effective release of the drug in different dosage forms [135]. The absorption of macromolecules inside the body is difficult, since the high molecular weight and complex structure of natural pectins limits their bioavailability. To solve these problems, researchers are increasingly paying attention to changing the structures and characteristics of pectin [136].
Modification is a process in which the structure of pectin is changed using chemical, physical or biological methods to improve its physicochemical characteristics and biological activity [137]. Due to the fact that pectin contains hydroxyl and carboxyl groups distributed along the main chain and a certain number of neutral sugar side chains, it can form many derivatives. There are several methods for modifying pectins: chemical, physical, enzymatic and complex methods [138]. Each of these methods leads to different changes in the physicochemical properties of pectin and its biological activity [139].
Chemical methods for modifying pectin are the most common. These include modifications with acid and alkali [140], and oxidative destruction [141], as well as numerous substitution reactions for a large number of functional groups. The main types of substitution are carboxyalkylating, hydroxyalkylating [142] and amidation reactions. Sulfation, selenium, methyl esterification, acetelation and quaternization are also used as modifications [143]. Chemical modification of pectin makes it easy to control the process, but it requires the use of large amounts of organic solvents, which has a negative impact on the environment [97,144].
Chemical modification also involves cross-linking of pectin to form a three-dimensional network structure [145] and chain elongation of the pectin polysulfur chain through grafting [146].
Physical modification methods are environmentally friendly and sustainable because no harmful chemicals are used during physical processing. Methods to modify pectins using ultrasonic treatment [147], high-pressure treatment [148], high-speed exposure [149], subcritical, radiation and low-temperature plasma methods [150] are known. There are other “green” methods of physical modification, such as microbial wave and pulse modifications [151]. However, although physical modification is considered safer, selective modification is difficult to achieve due to the random nature of exposure [149,152,153].
Enzymatic (or biological) modification uses enzymes to change pectin structures to produce specific characteristics. More often, esterase, hydrolase and lyase are used as enzymes for this process. They have specificity for certain parts of the pectin chain, which allows them to break the molecule in the required places and form fragments of various sizes [146]. Enzymatic processing of pectin is used quite often to obtain the required physicochemical activity and biological properties [139]. The advantages of this method are high specificity, safety, mild reaction conditions, non-toxicity and absence of side effects. It also avoids significant decomposition of pectins during the modification process. However, the need to use expensive enzymes limits the widespread use of enzymatic modification on an industrial scale [154].
Combinatorial modification methods involve the use of two or more methods simultaneously or alternately to change the properties of pectin. Such methods not only satisfy various modification requirements, but also compensate for the disadvantages of individual methods while maintaining their advantages. However, a combination of enzymatic and chemical methods may affect enzyme activity due to harsh conditions. In this regard, three main approaches are used:
- -
- Physical methods in combination with other physical methods;
- -
- Physical methods in combination with chemical methods;
- -
- Physical methods in combination with enzymatic methods [146].
Pectin-based biomaterials are used in combination with other substances in medicine; for example, as dressing materials or to create tissues in tissue engineering. They are also used for the delivery of drugs and genetic material in the pharmaceutical industry [155]. It is clear that the chosen modification method significantly affects the biological activity and physicochemical properties of the modified pectin.
Chemical modification is a common method for modifying pectin due to its ability to add new functional groups through chemical reagents. It can also change the molecular weight of the polysaccharide, its monosaccharide composition, molecular structure and other macromolecular characteristics of natural pectin.
In recent years, sulfation has become an increasingly common method for modifying many polysaccharides, not just pectins. The sulfation process uses sulfation agents to replace the hydroxyl groups of GalA with sulfate groups. Typically, chlorosulfonic acid, H2SO4 sulfonyl chloride and sodium amine trisulfate are used as sulfating agents. Commonly used solvents and media to reduce the aggressiveness of these acidic reagents are pyridine, DMF, DMSO, trimethylamine and toluene [1,156,157].
It is believed that sulfation with chlorosulfonic acid produces a product with a higher sulfur content than sulfation with SO3-pyridine and monomethyl sulfate-pyridine complexes. However, when using chlorosulfonic acid, hydrolysis of the main polysaccharide chain occurs and environmental pollution occurs [158,159].
Table 3 shows the most common methods for sulfating pectin using various sulfating agents.
Table 3.
Methods for sulfating pectins.
As in many other polysaccharides, the introduction of sulfate groups increases antimicrobial, anticoagulant, antithrombic and other biological properties [160,161]. For example, when pectin is modified, its anticoagulant potential is superior to heparin [159]. The biological activity of sulfated polysaccharides is determined by the type of plant, the monosaccharide composition of pectin, the degree of sulfation [157] and molecular weight [158]. However, the mechanism of the anticoagulant effect of sulfated pectins has not yet been fully studied and requires further research.
7.3. Carrageenans
Carrageenan is the generic name for a family of gelling and thickening sulfated polysaccharides that are obtained by extracting them from certain types of red seaweed. Their chemical structure is based on a disaccharide repeating unit consisting of D-galactose and anhydro-D-galactose residues. These residues are interconnected by regular β-1-4 and α-1-3 glycosidic bonds, forming a complex structure. In the structure of these polysaccharides, in addition to galactose, which is its main chain, there are other components, including glucose, xylose, uronic acids, methyl esters and pyruvate groups [167].
Like most algae-derived polysaccharides, the degree of sulfation of carrageenans varies, resulting in their structural and metabolic diversity and a wide range of antiviral properties. The ether sulfate content of these polysaccharides ranges from 15% to 40%, and their average molecular weight exceeds 100 kDa.
Structural features, the nature of sulfation and the presence or absence of 3,6-anhydride bridges in the associated galactose residues allow carrageenans to be divided into several types such as λ, κ, ι and μ. ι- and κ-carrageenans contain equal amounts of galactose and 3,6-anhydride-galactose, while λ-carrageenan consists of only galactose units. κ-carrageenan contains one sulfate group, ι-carrageenan has two sulfate groups in the axial position and λ-carrageenan contains almost three sulfates in the equatorial position. Most natural carrageenans are a mixture of various types of hybrids, such as κ/ι-hybrids, κ/μ-hybrids and others. These hybrids often form cyclic derivatives. The number of biological precursors in the form of μ- and ν-carrageenans in κ- and ι-carrageenans varies greatly [168]. The classification of carrageenans into types does not reflect specific chemical structures, they simply indicate general differences in composition, degree of sulfation and polymer properties. The more sulfate ester groups carrageenan contains, the lower its solubility temperature and gel strength.
Of more the than 10 types (Figure 4) of carrageenans, λ-, κ-, ι-carrageenans have significant commercial value. All of these types contain between 22% and 35% sulfate groups. The sulfate content of three commercial carrageenans follows the order λ > ι > κ [168]. The main characteristics influencing the properties of different types of carrageenan are the concentration and location of ester sulfate groups, and the content of 3,6-anhydride-galactose (3,6-AG).
Figure 4.
The main forms of carrageenan: iota (ι), kappa (κ), lambda (λ), mu (μ), nu (ν), theta (ϴ), xi (ξ), alpha (α), beta (β), gamma (γ), omega (ω) and psi (Ψ).
κ-type carrageenan contains approximately 25% to 30% ester sulfate and 28% to 35% 3,6-AG. ι-type carrageenan contains approximately 28–30% ester sulfate and 25–30% 3,6-AG. λ-type carrageenan contains 32–39% ester sulfate and does not contain 3,6-AG [169]. The molecular structure of different types of carrageenans with potential therapeutic effects is adapted from [170].
The diversity of molecular organization and the wide range of biological activities of carrageenans are due to the variability of their primary structure.
The chemical activity of carrageenans depends primarily on their semi-ester sulfate groups. They have pronounced anionic properties and in this parameter are comparable to inorganic sulfates. However, the acidic form of carrageenans is unstable and commercial carrageenans are usually produced as stable sodium, potassium and calcium salts, or, most commonly, a combination of these. The binding of cations and the conformation of polysaccharide units affect the physical properties of carrageenans. Thus, κ- and ι-carrageenans form gels in the presence of potassium and calcium ions, while this is not typical for λ-carrageenan [171].
λ-Carrageenan is susceptible to Ca2+ ions, which contribute to the formation of elastic and transparent gels. The backbone of both κ- and λ-carrageenans can form a helical structure (undergo a helix–helix conformational transition). This transition can be initiated by a decrease in temperature and/or the introduction of salt into the solution. This transition, as a rule, precedes the formation of a helium network [172].
During gel formation in κ- and ι-carrageenans, the repeating sequence of units in the main chain helix is disrupted as a result of partial replacement of 3,6-AG with D-galactose sulfate or disulfate residues. In the case of ι-carrageenans, this replacement is usually about 10%. Such residues do not fit into the helical conformation of κ- and ι-carrageenans, but create a “kink” in the helical structure of the main chain. Most of these anomalous “kinks” can be converted into an anhydride form suitable for the coil by treatment with an alkaline solution. The residual percentage of non-bridging units depends on the nature of sulfation [173]. Alkaline treatment significantly improves the properties of the resulting gel [174].
The structure of λ-carrageenan differs significantly from the structures of κ- and ι-carrageenans. It consists mainly of fully sulfated 1-3-α linked residues sulfated at O-2 and 1-4-β linked residues sulfated at O-2 and O-6. In addition, λ-carrageenan contains several anhydride residues. The absence of 1-4-β linked helix-forming 3,6-AG residues in λ-carrageenans makes gel formation impossible. Therefore, they are used mainly as a thickener.
Thus, it becomes clear that seemingly minor changes in the primary structure significantly affect the functionality of natural carrageenans, in particular, their ability to form gels. Therefore, understanding the primary structure of commercial carrageenan species is very useful for predicting their behavior in food systems.
The effectiveness of using carrageenans in various applications is largely determined by their rheological properties. Carrageenans, being linear water-soluble polymers, typically form highly viscous solutions in water. The viscosity value depends on the concentration of the solution, temperature and the presence of other substances in the solution, as well as the type of carrageenan and its molecular weight [175]. With increasing viscosity, the molecular weight increases almost exponentially with increasing solution concentration and decreases with increasing temperature. The polymer chain of carrageenans collapses under the influence of acid-catalyzed hydrolysis. Under conditions of high temperatures and low pH, this can lead to a complete loss of functionality [176].
Among all the polysaccharides obtained from algae, carrageenans are the most studied in terms of their toxicity, allergenicity and ability to cause fevers. Of the wide range of biological properties of carrageenan sulfated polysaccharides, the greatest interest at the moment is their antiviral, anticoagulant, immunomodulatory, anti-inflammatory and antioxidant activities [177].
Carrageenans have the ability to selectively inhibit the activities of certain enveloped and non-enveloped viruses, acting primarily by blocking the process of virus binding to host cells or its penetration into cells, and also have the properties of immunomodulators and antioxidants.
The antiviral properties of carrageenans are due to their complex structure and the presence of sulfate groups. They can interact with various viral particles, blocking their entry into cells and thus preventing infection [178].
Sulfated polysaccharides obtained from seaweed can be considered natural analogues of heparan sulfates. Compounds such as fucoidans, carrageenans and ulvans, isolated from brown, red and green algae, respectively, are able to mimic the effects of endogenous factors and regulate the functions of the main systems of macroorganisms through key cellular receptors and enzymes. Thanks to this, sulfated polysaccharide structures are able to bind to a variety of receptors on the cell surface host and compete with viral agents for receptors of glycoprotein molecules [179].
These remarkable properties are a direct result of their ability to form gels, even at extremely low concentrations, significantly increasing the flexibility of food systems. They are also able to interact synergistically with other polysaccharides, such as konjac flour, locust bean gum or starch. In addition, carrageenans have a high reactivity towards casein—a property that is actively used in the production of many dairy products (for example, when stabilizing cocoa powder particles in chocolate mixtures) [11].
Additional sulfation of carrageenans can improve their anticoagulant, antiviral, antitumor and antioxidant properties. Since the monomeric units of carrageenans already contain sulfate groups, it is worth carrying out regioselective sulfation aimed at the yet unsubstituted hydroxyl groups. Different methods and different sulfating agents are used to sulfate different positions of hydroxyl groups, as listed in Table 4 [180].
κ-, ι- and ϴ-carrageenans were selected for the selective sulfation reaction. ϴ-carrageenans are obtained by alkaline treatment of λ-carrageenan. These polymers exhibit different sulfation patterns. In κ-carrageenan, sulfation occurs at all free hydroxyl groups of the polysaccharide if the SO3–pyridine complex is used.
Chemical sulfation of polysaccharides is usually accompanied by partial depolymerization and a decrease in molecular weight. The authors of [180] used 2-methyl-2-butene, triethylamine to reduce depolymerization [181].
It was found that, during the sulfation of ι-carrageenans, an increase in the reaction time promotes the sulfation of C2 in β-D-galactose units [180].
The rate of sulfation for κ- and ι-carrageenans was approximately the same, which cannot be said about ϴ-carrageenans. To achieve a satisfactory level of sulfation at C6 in the latter, a more reactive form of triethylamonium should be used. It should be assumed that the initial positions of sulfate groups in the polymer chain significantly influence selective sulfation [180].
With additional sulfation, carrageenans show greater anticoagulant activity than the original polysaccharides [180]. The position of sulfate groups has been shown to significantly influence biological activity [168,182].
Table 4.
Methods for sulfating carrageenans.
Table 4.
Methods for sulfating carrageenans.
| Sulfating Agent | Additional Reagents | Conditions | DS | Sulfur Content, wt. % | Ref. |
|---|---|---|---|---|---|
| SO3 | Pyridine, DMF | 25 °C, 1 h | 3.1–5.1 | [183] | |
| SO3 | Pyridine, DMF, 2-methyl-2-butene, triethylamine | 20 °C, 1 h | 2.0 | [180] | |
| SO3 | Pyridine, DMF, 2-methyl-2-butene | 20 °C, 7 h | 3.8 | [180] | |
| SO3 | Pyridine, DMF, 2-methyl-2-butene, triethylamine, 4-dimethylaminopyridine, pivalic acid chloride | 20 °C, 17 h | 3.2 | [180] | |
| SO3 | Pyridine, DMF, 2-methyl-2-butene, triethylamine | 35 °C, 1 h | 2.4 | [180] | |
| SO3 and thyriethylammonium form of ion exchange resin Dowex 50 × 8 H | Pyridine, DMF, 2-methyl-2-butene, triethylamine | 20 °C, 1 h | 2.6 | [180] | |
| H2SO4 | Dicyclohexylcarbodiimide | 40.8–43.7 | [184] | ||
| HSO3Cl | Pyridine | 28.5 | [185,186] | ||
| HSO3Cl | DMF | 60 °C, 4 h | 47.9 | [187] |
7.4. Gum Arabic
Gum arabic is a dried exudate obtained from the stems and branches of the acacia tree “Acacia Senegal” or “Acacia Seyal”. It is a mixture of galactose, arabinose, rhamnose, glucuronic acid, their salts and glycoproteins, and has a highly branched structure.
Chemically, gum arabic is a complex mixture of macromolecules of different sizes and compositions, which includes morphological structures in the form of compact arabinogalactan protein and disc arabinogalactan [188]. Some authors believe that natural gum arabic has the shape of a flower, where petals formed by polysaccharide macrocycles are strung on a polypeptide chain [189].
The polysaccharide backbone consists of 1,3-linked galactopyranosyl residues substituted at the O-2, O-6 or O-4 positions. The side chains consist of two to five 1,3-linked β-D-galactopyranosyl units connected to the main chain by 1,6-linkages. Both the main and side chains contain α-L-arabinofuranosyl, α-L-rhamnopyranosyl, β-D-glucopyranosyl and 4-O-methyl-β-D-glucopyranosyl units, the latter two most often being the terminal units [190]. The structure of gum arabic is shown in Figure 5.
Figure 5.
Structure of Acacia Senegal gum.
The chemical composition of gum arabic varies depending on origin, tree age, harvest season, climate and processing conditions [191]. The molecular weight of gum arabic varies depending on the source; however, the average value for gum arabic from A. senegal is ~380,000, and the average value for gum from A. seyal is ~850,000.
GPC analysis [192] showed that the gum consists of three main fractions, differing in molecular weight and protein content:
- -
- The arabinogalactan fraction (~90% gum and <1% protein) has a disk-shaped morphological structure with a diameter of 20 nm and a thickness of less than 2 nm [193].
- -
- The arabinogalactan-protein fraction (~10% protein) has a wattle-type structure with five to six large carbohydrate blocks connected by a polypeptide chain.
- -
- And a glycoprotein fraction (up to 50% protein)
Gum arabic is used industrially due to its exceptional properties such as microencapsulation, antioxidant properties and antimicrobial activity. Gum arabic is capable of developing immunity by interacting with antibodies produced in the body of animals and humans [194]. Due to its technological features, gum arabic is widely used in the food, pharmaceutical, printing, textile and cosmetics industries. When gum arabic is added to liquid food systems, their rheological properties are improved. Gum arabic generally acts as a stabilizer, emulsifier, film former, thickener, flocculant and surface finishing agent [195].
Physicochemical modifications of gum arabic have been little studied. Essentially, it is subjected to thermal, mechanical and enzymatic processing to increase its emulsifying ability. Chemical modifications of gum arabic include the removal of metal ions and production of arabic acid [196], interfacial polycondensation with terephthalic acid dichloride, interaction with epichlorohydrin, epoxy resins, butyric and glutaraldehydes [197].
To date, there are two known methods for producing sulfated gum arabic products. These methods are shown in Table 5.
Table 5.
Methods for sulfating gum arabic.
8. Conclusions
The main methods for obtaining biologically active polysaccharide sulfates are shown here. A wide variety of methods for the synthesis of sulfated polysaccharides has been demonstrated. Together with the apparent diversity of these methods, most of them are modifications and variations of already known methods. There are not many radically different methods based on other principles for obtaining sulfated complexes and/or the sulfated polysaccharides themselves. In addition, despite the fact that the method for the synthesis of polysaccharide sulfates, based on the use of a complex of sulfur trioxide with toxic amines, is traditional and outdated, it continues to be used and modified.
Funding
This study was supported by the Russian Science Foundation, project no. 22-73-10212, https://rscf.ru/en/project/22-73-10212/, accessed on 2 April 2024.
Data Availability Statement
Not applicable.
Conflicts of Interest
The authors declare that they have no conflicts of interest.
References
- Ahmad, M.M. Recent trends in chemical modification and antioxidant activities of plants-based polysaccharides: A review. Carbohydr. Polym. Technol. Applications 2021, 2, 100045. [Google Scholar] [CrossRef]
- Kaczmarek, B.; Nadolna, K.; Owczarek, A. The physical and chemical properties of hydrogels based on natural polymers. In Hydrogels Based on Natural Polymers; Elsevier: Amsterdam, The Netherlands, 2020; pp. 151–172. [Google Scholar]
- Khan, B.M.; Qiu, H.-M.; Xu, S.-Y.; Liu, Y.; Cheong, K.-L. Physicochemical characterization and antioxidant activity of sulphated polysaccharides derived from Porphyra haitanensis. Int. J. Biol. Macromol. 2020, 145, 1155–1161. [Google Scholar] [CrossRef]
- Kohli, K.; Prajapati, R.; Sharma, B.K. Bio-based chemicals from renewable biomass for integrated biorefineries. Energies 2019, 12, 233. [Google Scholar] [CrossRef]
- Gani, R.; Bałdyga, J.; Biscans, B.; Brunazzi, E.; Charpentier, J.-C.; Drioli, E.; Feise, H.; Furlong, A.; Van Geem, K.M.; de Hemptinne, J.-C. A multi-layered view of chemical and biochemical engineering. Chem. Eng. Res. Des. 2020, 155, A133–A145. [Google Scholar] [CrossRef]
- Giuliano, A.; Poletto, M.; Barletta, D. Process optimization of a multi-product biorefinery: The effect of biomass seasonality. Chem. Eng. Res. Des. 2016, 107, 236–252. [Google Scholar] [CrossRef]
- Taherzadeh, M.J. Bioengineering to tackle environmental challenges, climate changes and resource recovery. Bioengineered 2019, 10, 698–699. [Google Scholar] [CrossRef] [PubMed]
- Shipovskaya, A.B. Methods of Isolation and Physicochemical Properties of Natural Polysaccharides. Educational and Methodological Manual; Saratov State University: Saratov, Russia, 2015. [Google Scholar]
- Tang, S.; Wang, T.; Huang, C.; Lai, C.; Fan, Y.; Yong, Q. Sulfated modification of arabinogalactans from Larix principis-rupprechtii and their antitumor activities. Carbohydr. Polym. 2019, 215, 207–212. [Google Scholar] [CrossRef]
- Xu, Y.; Wu, Y.-j.; Sun, P.-l.; Zhang, F.-m.; Linhardt, R.J.; Zhang, A.-q. Chemically modified polysaccharides: Synthesis, characterization, structure activity relationships of action. Int. J. Biol. Macromol. 2019, 132, 970–977. [Google Scholar] [CrossRef]
- Li, S.; Xiong, Q.; Lai, X.; Li, X.; Wan, M.; Zhang, J.; Yan, Y.; Cao, M.; Lu, L.; Guan, J. Molecular modification of polysaccharides and resulting bioactivities. Compr. Rev. Food Sci. Food Saf. 2016, 15, 237–250. [Google Scholar] [CrossRef]
- Goycoolea, F.M.; Chronakis, I.S. Specific methods for the analysis of identity and purity of functional food polysaccharides. In Developments in Food Science; Elsevier: Amsterdam, The Netherlands, 1998; Volume 39, pp. 99–140. [Google Scholar]
- Mohammed, A.S.A.; Naveed, M.; Jost, N. Polysaccharides; classification, chemical properties, and future perspective applications in fields of pharmacology and biological medicine (a review of current applications and upcoming potentialities). J. Polym. Environ. 2021, 29, 2359–2371. [Google Scholar] [CrossRef]
- O’sullivan, A.C. Cellulose: The structure slowly unravels. Cellulose 1997, 4, 173–207. [Google Scholar] [CrossRef]
- Jang, M.-K.; Nah, J.-W. Characterization and modification of low molecular water-soluble chitosan for pharmaceutical application. Bull. Korean Chem. Soc. 2003, 24, 1303–1307. [Google Scholar]
- Ruiz-Hitzky, E.; Darder, M.; Aranda, P. Functional biopolymer nanocomposites based on layered solids. J. Mater. Chem. 2005, 15, 3650–3662. [Google Scholar] [CrossRef]
- Serebrennikova, E.; Davydova, V.; Gurina, S.; Iozep, A. The study of the antimicrobial activity of some alginic acid derivatives. Probl. Med. Mycol. 2013, 15, 60–62. [Google Scholar]
- Kosareva, D.N.; Ananyeva, E.P.; Iosep, A.A. Antimicrobial activity of N-arylidene (alkylidene) carboxymethylalginic acid hydrazides. Dev. Regist. Med. 2019, 8, 30–34. [Google Scholar]
- Plate, N.A.; Vasil’ev, A.Y. Physiologically active polymers and macromolecular therapeutic systems. Polymer Science U.S.S.R. 1982, 24, 743–768. [Google Scholar] [CrossRef]
- Drozd, N.N.; Kuznetsova, S.A.; Savchik, E.Y.; Miftakhova, N.T.; Vasilyeva, N.Y. The effect of microcrystalline cellulose sulfate isolated from Siberian fir wood (Abies sibirica Ledeb) on the coagulation of rabbit plasma when administered subcutaneously. Chem.-Pharm. J. 2015, 49, 24–27. [Google Scholar] [CrossRef]
- Croci, D.O.; Cumashi, A.; Ushakova, N.A.; Preobrazhenskaya, M.E.; Piccoli, A.; Totani, L.; Ustyuzhanina, N.E.; Bilan, M.I.; Usov, A.I.; Grachev, A.A. Fucans, but not fucomannoglucuronans, determine the biological activities of sulfated polysaccharides from Laminaria saccharina brown seaweed. PLoS ONE 2011, 6, e17283. [Google Scholar] [CrossRef]
- Sher, H.; Al_yemeni, M. Economically and ecologically important plant communities in high altitude coniferous forest of Malam Jabba, Swat, Pakistan. Saudi J. Biol. Sci. 2011, 18, 53–61. [Google Scholar] [CrossRef]
- Wu, X.; Mao, G.; Zhao, T.; Zhao, J.; Li, F.; Liang, L.; Yang, L. Isolation, purification and in vitro anti-tumor activity of polysaccharide from Ginkgo biloba sarcotesta. Carbohydr. Polym. 2011, 86, 1073–1076. [Google Scholar] [CrossRef]
- Xu, C.; Liu, Y.; Yuan, G.; Guan, M. The contribution of side chains to antitumor activity of a polysaccharide from Codonopsis pilosula. Int. J. Biol. Macromol. 2012, 50, 891–894. [Google Scholar] [CrossRef]
- Junter, G.-A.; Karakasyan, C. Polysaccharides against viruses: Immunostimulatory properties and the delivery of antiviral vaccines and drugs. Crit. Rev. ™ Ther. Drug Carr. Syst. 2020, 37. [Google Scholar] [CrossRef] [PubMed]
- Li, B.; Lu, F.; Wei, X.; Zhao, R. Fucoidan: Structure and bioactivity. Molecules 2008, 13, 1671–1695. [Google Scholar] [CrossRef]
- Lee, N.Y.; Ermakova, S.P.; Zvyagintseva, T.N.; Kang, K.W.; Dong, Z.; Choi, H.S. Inhibitory effects of fucoidan on activation of epidermal growth factor receptor and cell transformation in JB6 Cl41 cells. Food Chem. Toxicol. 2008, 46, 1793–1800. [Google Scholar] [CrossRef] [PubMed]
- Jiang, J.; Meng, F.-Y.; He, Z.; Ning, Y.-L.; Li, X.-H.; Song, H.; Wang, J.; Zhou, R. Sulfated modification of longan polysaccharide and its immunomodulatory and antitumor activity in vitro. Int. J. Biol. Macromol. 2014, 67, 323–329. [Google Scholar] [CrossRef] [PubMed]
- Tang, Q.; Huang, G. Preparation and antioxidant activities of cuaurbit polysaccharide. Int. J. Biol. Macromol. 2018, 117, 362–365. [Google Scholar] [CrossRef] [PubMed]
- Wang, X.; Zhang, Z.; Yao, Z.; Zhao, M.; Qi, H. Sulfation, anticoagulant and antioxidant activities of polysaccharide from green algae Enteromorpha linza. Int. J. Biol. Macromol. 2013, 58, 225–230. [Google Scholar] [CrossRef]
- Wang, J.; Bao, A.; Meng, X.; Guo, H.; Zhang, Y.; Zhao, Y.; Kong, W.; Liang, J.; Yao, J.; Zhang, J. An efficient approach to prepare sulfated polysaccharide and evaluation of anti-tumor activities in vitro. Carbohydr. Polym. 2018, 184, 366–375. [Google Scholar] [CrossRef]
- Xie, J.-H.; Liu, X.; Shen, M.-Y.; Nie, S.-P.; Zhang, H.; Li, C.; Gong, D.-M.; Xie, M.-Y. Purification, physicochemical characterisation and anticancer activity of a polysaccharide from Cyclocarya paliurus leaves. Food Chem. 2013, 136, 1453–1460. [Google Scholar] [CrossRef]
- Yang, T.; Jia, M.; Zhou, S.; Pan, F.; Mei, Q. Antivirus and immune enhancement activities of sulfated polysaccharide from Angelica sinensis. Int. J. Biol. Macromol. 2012, 50, 768–772. [Google Scholar] [CrossRef]
- Zhao, L.-M.; Jia, Y.-L.; Ma, M.; Duan, Y.-Q.; Liu, L.-H. Prevention effects of Schisandra polysaccharide on radiation-induced immune system dysfunction. Int. J. Biol. Macromol. 2015, 76, 63–69. [Google Scholar] [CrossRef] [PubMed]
- Kashina, G.V.; Melnikov, V.A.; Kashin, A.S. Innovation in the technology of production of supramolecular complexes of polysaccharide derivatives (arabinogalactan and chitosan). Bull. Krasn. State Agrar. Univ. 2015, 4, 149–152. [Google Scholar]
- Caputo, H.E.; Straub, J.E.; Grinstaff, M.W. Design, synthesis, and biomedical applications of synthetic sulphated polysaccharides. Chem. Soc. Rev. 2019, 48, 2338–2365. [Google Scholar] [CrossRef] [PubMed]
- López-Hortas, L.; Flórez-Fernández, N.; Torres, M.D.; Ferreira-Anta, T.; Casas, M.P.; Balboa, E.M.; Falqué, E.; Domínguez, H. Applying Seaweed Compounds in Cosmetics, Cosmeceuticals and Nutricosmetics. Marine Drugs 2021, 19, 552. [Google Scholar] [CrossRef]
- Cheng, C.; Chen, S.; Su, J.; Zhu, M.; Zhou, M.; Chen, T.; Han, Y. Recent advances in carrageenan-based films for food packaging applications. Front. Nutr. 2022, 9, 1004588. [Google Scholar] [CrossRef] [PubMed]
- Mohamed, S.; Coombe, D.R. Heparin Mimetics: Their Therapeutic Potential. Pharmaceuticals 2017, 10, 78. [Google Scholar] [CrossRef]
- Niu, C.; Liu, Y.; Yang, Y.; Wang, R.; Li, T. Advances in sulfonated modification and bioactivity of polysaccharides. Int. J. Biol. Macromol. 2023, 253, 126400. [Google Scholar] [CrossRef]
- Liu, T.; Ren, Q.; Wang, S.; Gao, J.; Shen, C.; Zhang, S.; Wang, Y.; Guan, F. Chemical Modification of Polysaccharides: A Review of Synthetic Approaches, Biological Activity and the Structure–Activity Relationship. Molecules 2023, 28, 6073. [Google Scholar] [CrossRef]
- Mestechkina, N.M.; Shcherbukhin, V.D. Sulfated polysaccharides and their anticoagulant activity: A review. Appl. Biochem. Microbiol. 2010, 46, 267–273. [Google Scholar] [CrossRef]
- Li, S.; Shah, N.P. Antioxidant and antibacterial activities of sulphated polysaccharides from Pleurotus eryngii and Streptococcus thermophilus ASCC 1275. Food Chem. 2014, 165, 262–270. [Google Scholar] [CrossRef]
- Hao, Z.; Dai, S.; Tan, J.; Gao, Y.; Sang, Y.; Xue, H. Modification, Structural Characterizations, and Biological Activities of Sulfated Polysaccharides: A Review. Starch-Stärke 2024, 76, 2300116. [Google Scholar] [CrossRef]
- Xu, Y.; Song, S.; Wei, Y.; Wang, F.; Zhao, M.; Guo, J.; Zhang, J. Sulfated modification of the polysaccharide from Sphallerocarpus gracilis and its antioxidant activities. Int. J. Biol. Macromol. 2016, 87, 180–190. [Google Scholar] [CrossRef] [PubMed]
- Bedini, E.; Laezza, A.; Parrilli, M.; Iadonisi, A. A review of chemical methods for the selective sulfation and desulfation of polysaccharides. Carbohydr. Polym. 2017, 174, 1224–1239. [Google Scholar] [CrossRef] [PubMed]
- Zhao, X.; Hu, Y.; Wang, D.; Guo, L.; Yang, S.; Fan, Y.; Zhao, B.; Wang, Y.; Abula, S. Optimization of sulfated modification conditions of tremella polysaccharide and effects of modifiers on cellular infectivity of NDV. Int. J. Biol. Macromol. 2011, 49, 44–49. [Google Scholar] [CrossRef] [PubMed]
- Wang, J.; Li, N.; Qiu, R.; Zhang, X.; Xu, X.; Yin, S.-F. Air-stable zirconocene bis(perfluorobutanesulfonate) as a highly efficient catalyst for synthesis of N-heterocyclic compounds. J. Organomet. Chem. 2015, 785, 61–67. [Google Scholar] [CrossRef]
- Wang, Z.; Xie, J.; Shen, M.; Nie, S.; Xie, M. Sulfated modification of polysaccharides: Synthesis, characterization and bioactivities. Trends Food Sci. Technol. 2018, 74, 147–157. [Google Scholar] [CrossRef]
- Zhu, Z.-Y.; Liu, Y.; Si, C.-L.; Yuan, J.; Lv, Q.; Li, Y.-Y.; Dong, G.-L.; Liu, A.-J.; Zhang, Y.-M. Sulfated modification of the polysaccharide from Cordyceps_gunnii mycelia and its biological activities. Carbohydr. Polym. 2013, 92, 872–876. [Google Scholar] [CrossRef]
- Sun, Y.; Sun, W.; Guo, J.; Hu, X.; Gong, G.; Huang, L.; Cao, H.; Wang, Z. Sulphation pattern analysis of chemically sulphated polysaccharide LbGp1 from Lycium barbarum by GC–MS. Food Chem. 2015, 170, 22–29. [Google Scholar] [CrossRef]
- Chen, J.; Liu, W.; Liu, C.-M.; Li, T.; Liang, R.-H.; Luo, S.-J. Pectin Modifications: A Review. Crit. Rev. Food Sci. Nutr. 2015, 55, 1684–1698. [Google Scholar] [CrossRef]
- Kazachenko, A.S.; Malyar, Y.N.; Vasilyeva, N.Y.; Borovkova, V.S.; Issaoui, N. Optimization of guar gum galactomannan sulfation process with sulfamic acid. Biomass Convers. Biorefinery 2023, 13, 10041–10050. [Google Scholar] [CrossRef]
- Kaur, S.; Santra, S. Recent Progress in Chemical Modification of the Natural Polysaccharide Guar Gum. Curr. Org. Synth. 2022, 19, 197–219. [Google Scholar] [CrossRef]
- Kazachenko, A.S.; Vasilieva, N.Y.; Borovkova, V.S.; Fetisova, O.Y.; Issaoui, N.; Malyar, Y.N.; Elsuf’ev, E.V.; Karacharov, A.A.; Skripnikov, A.M.; Miroshnikova, A.V.; et al. Food Xanthan Polysaccharide Sulfation Process with Sulfamic Acid. Foods 2021, 10, 2571. [Google Scholar] [CrossRef] [PubMed]
- Malyar, Y.N.; Vasilyeva, N.Y.; Kazachenko, A.S.; Borovkova, V.S.; Skripnikov, A.M.; Miroshnikova, A.V.; Zimonin, D.V.; Ionin, V.A.; Kazachenko, A.S.; Issaoui, N. Modification of Arabinogalactan Isolated from Larix sibirica Ledeb. into Sulfated Derivatives with the Controlled Molecular Weights. Molecules 2021, 26, 5364. [Google Scholar] [CrossRef] [PubMed]
- Wang, C.; He, Y.; Tang, X.; Li, N. Sulfation, structural analysis, and anticoagulant bioactivity of ginger polysaccharides. J. Food Sci. 2020, 85, 2427–2434. [Google Scholar] [CrossRef] [PubMed]
- Sirviö, J.A.; Ukkola, J.; Liimatainen, H. Direct sulfation of cellulose fibers using a reactive deep eutectic solvent to produce highly charged cellulose nanofibers. Cellulose 2019, 26, 2303–2316. [Google Scholar] [CrossRef]
- Kazachenko, A.S.; Malyar, Y.N.; Vasilyeva, N.Y.; Bondarenko, G.N.; Korolkova, I.V.; Antonov, A.V.; Karacharov, A.A.; Fetisova, O.Y.; Skvortsova, G.P. «Green» synthesis and characterization of galactomannan sulfates obtained using sulfamic acid. Biomass Convers. Biorefinery 2022, 12, 2705–2714. [Google Scholar] [CrossRef]
- Solier, Y.N.; Sznaider, F.; Navarro, D.A.; Mocchiutti, P.; Inalbon, M.C. Sulfation of poplar wood xylan using a deep eutectic solvent: Effects of the degree of substitution on the properties of biobased hydrogels. Cellulose 2024, 31, 1189–1203. [Google Scholar] [CrossRef]
- Li, W.; Xue, Y.; He, M.; Yan, J.; Lucia, L.A.; Chen, J.; Yu, J.; Yang, G. Facile Preparation and Characteristic Analysis of Sulfated Cellulose Nanofibril via the Pretreatment of Sulfamic Acid-Glycerol Based Deep Eutectic Solvents. Nanomaterials 2021, 11, 2778. [Google Scholar] [CrossRef]
- Ma, G.; Zhang, Z.; Chen, J.; Yang, G.; He, M. Facile sulfation of cellulose via recyclable ternary deep eutectic solvents for low-cost cellulose nanofibril preparation. Nanoscale Adv. 2023, 5, 356–360. [Google Scholar] [CrossRef]
- Kazachenko, A.S.; Akman, F.; Abdelmoulahi, H.; Issaoui, N.; Malyar, Y.N.; Al-Dossary, O.; Wojcik, M.J. Intermolecular hydrogen bonds interactions in water clusters of ammonium sulfamate: FTIR, X-ray diffraction, AIM, DFT, RDG, ELF, NBO analysis. J. Mol. Liq. 2021, 342, 117475. [Google Scholar] [CrossRef]
- Kazachenko, A.S.; Vasilieva, N.Y.; Malyar, Y.N.; Karacharov, A.A.; Kondrasenko, A.A.; Levdanskiy, A.V.; Borovkova, V.S.; Miroshnikova, A.V.; Issaoui, N.; Kazachenko, A.S.; et al. Sulfation of arabinogalactan with ammonium sulfamate. Biomass Convers. Biorefinery 2024, 14, 719–731. [Google Scholar] [CrossRef]
- Kazachenko, A.S.; Vasilieva, N.Y.; Fetisova, O.Y.; Sychev, V.V.; Elsuf’ev, E.V.; Malyar, Y.N.; Issaoui, N.; Miroshnikova, A.V.; Borovkova, V.S.; Kazachenko, A.S.; et al. New reactions of betulin with sulfamic acid and ammonium sulfamate in the presence of solid catalysts. Biomass Convers. Biorefinery 2024, 14, 4245–4256. [Google Scholar] [CrossRef]
- Kazachenko, A.S.; Vasilyeva, N.Y.; Akman, F.; Fetisova, O.Y.; Berezhnaya, Y.D.; Karacharov, A.A.; Issaoui, N.; Borovkova, V.S.; Malyar, Y.N.; Ivanenko, T. Sulfation of agarose with ammonium sulfamate: A combined experimental and theoretical study. J. Mol. Struct. 2023, 1294, 136471. [Google Scholar] [CrossRef]
- Isaacs, P.; Lewin, M.; Sello, S.B.; Stevens, C.V. Flame-Resistant Cellulose Esters. Text. Res. J. 1974, 44, 700–707. [Google Scholar] [CrossRef]
- Gamzazade, A.I.; Nasibov, S.M. Method for Producing Sulfated chitosan. Russian Patent RU2048475C1; IPC C08B 37/08; No. 92014682/05, 25 December 1992. [Google Scholar]
- Torgashov, V.I.; Bildyukevich, A.V.; Gert, E.V.; Kaputsky, F.N.; Syatkovsky, V.A.; Vasilenko, L.P. Method for Producing Sulfuric Acid Esters of Polyoxypolymers. USSR Patent 3774250; Author’s certificate No. 1244151 A1 USSR, IPC C08B 5/14, 25 June 1984. [Google Scholar]
- Kostyro, Y.A.; Stankevich, V.K. A new approach to the synthesis of the substance of the drug “Agsular®” for the prevention and treatment of atherosclerosis. News Acad. Sci. Chem. Ser. 2015, 7, 1576. [Google Scholar]
- Kostyro, Y.; Smirnov, V.; Sinegovskaya, L.; Vakulskaya, T.; Khutsishvili, S. Study of the mechanism of the sulfation reaction of arabinogalactan with potassium persulfate in dimethyl sulfoxide. Proc. Acad. Sci. Chem. Ser. 2017, 12, 2317–2320. [Google Scholar]
- Kaputsky, F.; Torgashov, V.; Yurkstovich, T.; Golub, N.; Ostrovskaya, I.; Alinovskaya, V. Study of the process of sulfation of polysaccharides with sodium pyrosulfate in dimethyl sulfoxide. J. Appl. Chem. 2007, 80, 1716–1720. [Google Scholar]
- Butrim, S.M.; Bildyukevich, T.D. Synthesis and properties of carboxy-starch sulfoesters synthesis and properties of carboxystarch sulfoesters. Bull. BSU 2010, 2, 18–22. [Google Scholar]
- Liimatainen, H.; Visanko, M.; Sirviö, J.; Hormi, O.; Niinimäki, J. Sulfonated cellulose nanofibrils obtained from wood pulp through regioselective oxidative bisulfite pre-treatment. Cellulose 2013, 20, 741–749. [Google Scholar] [CrossRef]
- Pan, S.; Ragauskas, A.J. Enhancement of nanofibrillation of softwood cellulosic fibers by oxidation and sulfonation. Carbohydr. Polym. 2014, 111, 514–523. [Google Scholar] [CrossRef]
- Zhou, C.-L.; Liu, W.; Kong, Q.; Song, Y.; Ni, Y.-Y.; Li, Q.-H.; O’Riordan, D. Isolation, characterisation and sulphation of soluble polysaccharides isolated from Cucurbita maxima. Int. J. Food Sci. Technol. 2014, 49, 508–514. [Google Scholar] [CrossRef]
- Hatanaka, K.; Hirobe, T.; Yoshida, T.; Yamanaka, M.; Uryu, T. Synthesis and Sulfation of Branched Dextrans. Polym. J. 1990, 22, 435–441. [Google Scholar] [CrossRef][Green Version]
- Yamamoto, I.; Takayama, K.; Honma, K.; Gonda, T.; Matsuzaki, K.; Hatanaka, K.; Uryu, T.; Yoshida, O.; Nakashima, H.; Yamamoto, N.; et al. Synthesis, structure and antiviral activity of sulfates of cellulose and its branched derivatives. Carbohydr. Polym. 1990, 14, 53–63. [Google Scholar] [CrossRef]
- Li, W.; Wu, J.; Guo, Y.; Lu, Y. Influence of hydroxypropylsulfonation on adhesion-to-fibers and film properties of corn starch. J. Text. Inst. 2019, 110, 1679–1686. [Google Scholar] [CrossRef]
- Liu, C.; Yang, C.; Hwang, S.; Ferraro, S.L.; Flynn, J.P.; Niu, J. A General Approach to O-Sulfation by a Sulfur (VI) Fluoride Exchange Reaction. Angew. Chem. Int. Ed. 2020, 59, 18435–18441. [Google Scholar] [CrossRef]
- Jedvert, K.; Heinze, T. Cellulose modification and shaping—A review. J. Polym. Eng. 2017, 37, 845–860. [Google Scholar] [CrossRef]
- Klemm, D.; Heublein, B.; Fink, H.P.; Bohn, A. Cellulose: Fascinating biopolymer and sustainable raw material. Angew. Chem. Int. Ed. 2005, 44, 3358–3393. [Google Scholar] [CrossRef]
- Rojas, O.J. Cellulose Chemistry and Properties: Fibers, Nanocelluloses and Advanced Materials; Springer: Berlin/Heidelberg, Germany, 2016; Volume 271. [Google Scholar]
- Kondo, T. The relationship between intramolecular hydrogen bonds and certain physical properties of regioselectively substituted cellulose derivatives. J. Polym. Sci. Part B Polym. Phys. 1997, 35, 717–723. [Google Scholar] [CrossRef]
- Heinze, T. Cellulose: Structure and Properties. In Cellulose Chemistry and Properties: Fibers, Nanocelluloses and Advanced Materials; Rojas, O.J., Ed.; Springer International Publishing: Cham, Switzerland, 2016; pp. 1–52. [Google Scholar]
- Moshentsova, L.P. Medical and Biological Assessment of Food Celluloses and Food Products Enriched with Them: Specialty 14.00.07: Abstract of Dissertation for the Research of the Academic Degree of Candidate of Medical Sciences. Perm, 1995, 19p. Available online: http://fh-21.perm.ru/download/6-4-2015.pdf (accessed on 2 April 2024).
- Smirnova, T.; Yurkshtovich, T.; Gerasimovich, G.; Kaputsky, F. Modern drugs based on cellulose derivatives in clinical practice. Medicine (Minsk) 1996, 5, 39–43. [Google Scholar]
- Kaputsky, F.N.; Yurkshtovich, T.L. Medicines based on cellulose derivatives. Minsk Univ. 1989, 111, 10. [Google Scholar]
- Azizi Samir, M.A.S.; Alloin, F.; Dufresne, A. Review of Recent Research into Cellulosic Whiskers, Their Properties and Their Application in Nanocomposite Field. Biomacromolecules 2005, 6, 612–626. [Google Scholar] [CrossRef] [PubMed]
- Dufresne, A. Polysaccharide nano crystal reinforced nanocomposites. Can. J. Chem. 2008, 86, 484–494. [Google Scholar] [CrossRef]
- de Souza Lima, M.M.; Borsali, R. Rodlike Cellulose Microcrystals: Structure, Properties, and Applications. Macromol. Rapid Commun. 2004, 25, 771–787. [Google Scholar] [CrossRef]
- Matyjaszewski, K.; Möller, M. Polymer Science: A Comprehensive Reference; Elsevier: Amsterdam, The Netherlands, 2012. [Google Scholar]
- Petzold-Welcke, K.; Michaelis, N.; Heinze, T. Unconventional Cellulose Products Through Nucleophilic Displacement Reactions. Macromol. Symp. 2009, 280, 72–85. [Google Scholar] [CrossRef]
- Navard, P. The European Polysaccharide Network of Excellence (EPNOE): Research Initiatives and Results; Springer Science & Business Media: Berlin/Heidelberg, Germany, 2012. [Google Scholar]
- Zhang, Q.; Lin, D.; Yao, S. Review on biomedical and bioengineering applications of cellulose sulfate. Carbohydr. Polym. 2015, 132, 311–322. [Google Scholar] [CrossRef]
- Clarke, A.E.; Anderson, R.L.; Stone, B.A. Form and function of arabinogalactans and arabinogalactan-proteins. Phytochemistry 1979, 18, 521–540. [Google Scholar] [CrossRef]
- Groth, T.; Wagenknecht, W. Anticoagulant potential of regioselective derivatized cellulose. Biomaterials 2001, 22, 2719–2729. [Google Scholar] [CrossRef] [PubMed]
- Dylis, N.V. Listvennitsa Vostochnoi Sibiri i Dal-nego Vostoka. In Izmenchivost i Prirodnoe Roznobrazie [Larch of Eastern Siberia and the Far East]; Academy of Sciences of USSR: Moscow, Russia, 1961. [Google Scholar]
- McCarthy, B. Antivirals—An increasingly healthy investment. Nat. Biotechnol. 2007, 25, 1390–1393. [Google Scholar] [CrossRef] [PubMed]
- Benkova, V.E.; Schweingruber, F.H. Anatomy of Wood in Russian Plants; Haupt Verlag: Bern, Switzerland; Stuttgart, Germany; Vienna, Austria, 2004. [Google Scholar]
- Anderson, R.A.; Feathergill, K.; Diao, X.-H.; Chany, C.; Rencher, W.F.; Zaneveld, L.J.D.; Waller, D.P. Contraception by Ushercell™ (cellulose sulfate) in formulation: Duration of effect and dose effectiveness. Contraception 2004, 70, 415–422. [Google Scholar] [CrossRef] [PubMed]
- Babkin, V.A.; Malkov, Y.A.; Medvedeva, E.N.; Trofimova, N.N.; Ivanova, N.V. An eco-friendly technology for polysaccharide production from logging and sawing waste. Russ. J. Gen. Chem. 2012, 82, 955–962. [Google Scholar] [CrossRef]
- Heinze, T.; Daus, S.; Gericke, M.; Liebert, T. Semi-synthetic sulfated polysaccharides: Promising materials for biomedical applications and supramolecular architecture. In Polysaccharides: Development, Properties and Applications; Tiwari, A., Ed.; Hauppauge Nova Science Publishers: New York, NY, USA, 2010; pp. 213–259. [Google Scholar]
- Pinkert, A.; Marsh, K.N.; Pang, S.; Staiger, M.P. Ionic Liquids and Their Interaction with Cellulose. Chem. Rev. 2009, 109, 6712–6728. [Google Scholar] [CrossRef]
- Qin, Z.; Ji, L.; Yin, X.; Zhu, L.; Lin, Q.; Qin, J. Synthesis and characterization of bacterial cellulose sulfates using a SO3/pyridine complex in DMAc/LiCl. Carbohydr. Polym. 2014, 101, 947–953. [Google Scholar] [CrossRef] [PubMed]
- Schuldt, U.; Wagenknecht, W.; Richter, A. Electrosorption of sodium cellulose sulfates with different substitution patterns. Cellulose 2002, 9, 271–282. [Google Scholar] [CrossRef]
- Gericke, M.; Liebert, T.; Heinze, T. Interaction of Ionic Liquids with Polysaccharides, 8—Synthesis of Cellulose Sulfates Suitable for Polyelectrolyte Complex Formation. Macromol. Biosci. 2009, 9, 343–353. [Google Scholar] [CrossRef]
- Chen, G.; Zhang, B.; Zhao, J.; Chen, H. Improved process for the production of cellulose sulfate using sulfuric acid/ethanol solution. Carbohydr. Polym. 2013, 95, 332–337. [Google Scholar] [CrossRef] [PubMed]
- Richter, A.; Klemm, D. Regioselective sulfation of trimethylsilyl cellulose using different SO3-complexes. Cellulose 2003, 10, 133–138. [Google Scholar] [CrossRef]
- Wang, Z.M.; Li, L.; Zheng, B.S.; Normakhamatov, N.; Guo, S.Y. Preparation and anticoagulation activity of sodium cellulose sulfate. Int. J. Biol. Macromol. 2007, 41, 376–382. [Google Scholar] [CrossRef]
- Torlopov, M.A. Sulfation of microcrystalline cellulose using ultrasonic activation in N, N-dimethylformamide. Chem. Sustain. Dev. 2011, 19, 555–559. [Google Scholar]
- Zhang, K.; Brendler, E.; Geissler, A.; Fischer, S. Synthesis and spectroscopic analysis of cellulose sulfates with regulable total degrees of substitution and sulfation patterns via 13C NMR and FT Raman spectroscopy. Polymer 2011, 52, 26–32. [Google Scholar] [CrossRef]
- Wagenknecht, W.; Nehls, I.; Philipp, B. Studies on the regioselectivity of cellulose sulfation in an N2O4-N,N-dimethylformamide-cellulose system. Carbohydr. Res. 1993, 240, 245–252. [Google Scholar] [CrossRef]
- Torlopov, M.A. Sulfated Derivatives Based on Powdered Celluloses and Cooperative Interactions with Their Participation; Bashkir State University: Ufa, Russia, 2009. [Google Scholar]
- Torlopov, M.A.; Kuchin, A.V.; Drozd, N.N.; Makarov, V.A.; Davydova, A.I. Obtaining Polyfunctional Sulphated Derivatives Based on Powdered Cellulose, Having Anticoagulant Activity. Russian Patent 2430729 C2; IPC A61K 31/7042, A61K 31/70, A61K 31/717, 10 October 2011. [Google Scholar]
- Wang, Z.-M.; Li, L.; Xiao, K.-J.; Wu, J.-Y. Homogeneous sulfation of bagasse cellulose in an ionic liquid and anticoagulation activity. Bioresour. Technol. 2009, 100, 1687–1690. [Google Scholar] [CrossRef] [PubMed]
- Kuznetsov, B.N.; Kuznetsova, S.A.; Levdansky, V.A.; Levdansky, A.V.; Vasil’eva, N.Y.; Chesnokov, N.V.; Ivanchenko, N.M.; Djakovitch, L.; Pinel, C. Optimized methods for obtaining cellulose and cellulose sulfates from birch wood. Wood Sci. Technol. 2015, 49, 825–843. [Google Scholar] [CrossRef]
- Bhatt, N.; Gupta, P.K.; Naithani, S. Preparation of cellulose sulfate from α-cellulose isolated from Lantana camara by the direct esterification method. J. Appl. Polym. Sci. 2008, 108, 2895–2901. [Google Scholar] [CrossRef]
- Jaouahar, M.; Ablouh, E.-H.; Hanani, Z.; Jaklič, B.; Spreitzer, M.; Semlali, F.-Z.; Ait Benhamou, A.; Samih, Y.; El Achaby, M.; Sehaqui, H. Preparation and characterization of sulfated nanocellulose: From hydrogels to highly transparent films. Int. J. Biol. Macromol. 2024, 260, 129464. [Google Scholar] [CrossRef]
- Huang, X.; Zhang, W.-D. Preparation of cellulose sulphate and evaluation of its properties. J. Fiber Bioeng. Inform. 2010, 3, 32–39. [Google Scholar]
- Laurent, D.; Catherine, P. Sulfation of microcrystalline cellulose with sulfamic acid in N, N-dimethylformamide and diglyme. J. Sib. Fed. University. Chem. 2014, 7, 162–169. [Google Scholar]
- Lewin, M. Flame Retarding of Polymers with Sulfamates. I. Sulfation of Cotton and Wool. J. Fire Sci. 1997, 15, 263–276. [Google Scholar] [CrossRef]
- Chetouani, A.; Follain, N.; Marais, S.; Rihouey, C.; Elkolli, M.; Bounekhel, M.; Benachour, D.; Le Cerf, D. Physicochemical properties and biological activities of novel blend films using oxidized pectin/chitosan. Int. J. Biol. Macromol. 2017, 97, 348–356. [Google Scholar] [CrossRef]
- Caffall, K.H.; Mohnen, D. The structure, function, and biosynthesis of plant cell wall pectic polysaccharides. Carbohydr. Res. 2009, 344, 1879–1900. [Google Scholar] [CrossRef]
- Chayansupap, K.; Pulsawat, W. Synthesis and Bioactivities of Pectin Sulfate. Ph.D. Dissertation, Silpakorn University, Bangkok, Thailand, 2019. [Google Scholar]
- Chen, J.; Wu, S.-S.; Liang, R.-H.; Liu, W.; Liu, C.-M.; Shuai, X.-X.; Wang, Z.-J. The effect of high speed shearing on disaggregation and degradation of pectin from creeping fig seeds. Food Chem. 2014, 165, 1–8. [Google Scholar] [CrossRef]
- Liu, G.; Liang, L.; Yu, G.; Li, Q. Pumpkin polysaccharide modifies the gut microbiota during alleviation of type 2 diabetes in rats. Int. J. Biol. Macromol. 2018, 115, 711–717. [Google Scholar] [CrossRef] [PubMed]
- Hou, Z.; Hu, X.; Luan, L.; Yu, C.; Wang, X.; Chen, S.; Ye, X. Prebiotic potential of RG-I pectic polysaccharides from Citrus subcompressa by novel extraction methods. Food Hydrocoll. 2022, 124, 107213. [Google Scholar] [CrossRef]
- Larsen, N.; Bussolo de Souza, C.; Krych, L.; Barbosa Cahú, T.; Wiese, M.; Kot, W.; Hansen, K.M.; Blennow, A.; Venema, K.; Jespersen, L. Potential of Pectins to Beneficially Modulate the Gut Microbiota Depends on Their Structural Properties. Front. Microbiol. 2019, 10, 223. [Google Scholar] [CrossRef] [PubMed]
- Xiong, B.; Zhang, W.; Wu, Z.; Liu, R.; Yang, C.; Hui, A.; Huang, X.; Xian, Z. Preparation, characterization, antioxidant and anti-inflammatory activities of acid-soluble pectin from okra (Abelmoschus esculentus L.). Int. J. Biol. Macromol. 2021, 181, 824–834. [Google Scholar] [CrossRef]
- Huang, L.; Zhao, J.; Wei, Y.; Yu, G.; Li, F.; Li, Q. Structural characterization and mechanisms of macrophage immunomodulatory activity of a pectic polysaccharide from Cucurbita moschata Duch. Carbohydr. Polym. 2021, 269, 118288. [Google Scholar] [CrossRef]
- Li, F.; Wei, Y.; Liang, L.; Huang, L.; Yu, G.; Li, Q. A novel low-molecular-mass pumpkin polysaccharide: Structural characterization, antioxidant activity, and hypoglycemic potential. Carbohydr. Polym. 2021, 251, 117090. [Google Scholar] [CrossRef]
- Li, F.; Zhao, J.; Wei, Y.; Jiao, X.; Li, Q. Holistic review of polysaccharides isolated from pumpkin: Preparation methods, structures and bioactivities. Int. J. Biol. Macromol. 2021, 193, 541–552. [Google Scholar] [CrossRef]
- Da Silva, J.; Rao, M. 11 pectins: Structure, functionality, and uses. In Food Polysaccharides and Their Applications; CRC Press: Boca Raton, FL, USA, 2006; p. 353. [Google Scholar]
- Bhatia, M.S.; Deshmukh, R.; Choudhari, P.; Bhatia, N.M. Chemical Modification of Pectins, Characterization and Evaluation for Drug Delivery. Sci. Pharm. 2008, 76, 775–784. [Google Scholar] [CrossRef]
- Li, F.; Wei, Y.; Zhao, J.; Zhang, L.; Li, Q. In vivo pharmacokinetic study of a Cucurbita moschata polysaccharide after oral administration. Int. J. Biol. Macromol. 2022, 203, 19–28. [Google Scholar] [CrossRef]
- Guiseley, K.; Whitehouse, P. Sulfated Gums and Method of Producing Same. U.S. Patent 3720659, 13 March 1973. [Google Scholar]
- Jiao, X.; Li, F.; Zhao, J.; Wei, Y.; Zhang, L.; Yu, W.; Li, Q. The Preparation and Potential Bioactivities of Modified Pectins: A Review. Foods 2023, 12, 1016. [Google Scholar] [CrossRef]
- Basak, S.; Annapure, U.S. Trends in “green” and novel methods of pectin modification—A review. Carbohydr. Polym. 2022, 278, 118967. [Google Scholar] [CrossRef] [PubMed]
- Kastner, H.; Einhorn-Stoll, U.; Drusch, S. Influence of enzymatic and acidic demethoxylation on structure formation in sugar containing citrus pectin gels. Food Hydrocoll. 2019, 89, 207–215. [Google Scholar] [CrossRef]
- Cao, J.; Yang, J.; Yue, K.; Wang, Z. Preparation of modified citrus pectin (MCP) using an advanced oxidation process with hydroxyl radicals generated by UV-H2O2. Food Hydrocoll. 2020, 102, 105587. [Google Scholar] [CrossRef]
- Liu, C.; Guo, X.; Liang, R.; Liu, W.; Chen, J. Alkylated pectin: Molecular characterization, conformational change and gel property. Food Hydrocoll. 2017, 69, 341–349. [Google Scholar] [CrossRef]
- Yue, Y.; Wang, B.; Xi, W.; Liu, X.; Tang, S.; Tan, X.; Li, G.; Huang, L.; Liu, Y.; Bai, J. Modification methods, biological activities and applications of pectin: A review. Int. J. Biol. Macromol. 2023, 253, 127523. [Google Scholar] [CrossRef]
- Zhang, S.; Hu, H.; Wang, L.; Liu, F.; Pan, S. Preparation and prebiotic potential of pectin oligosaccharides obtained from citrus peel pectin. Food Chem. 2018, 244, 232–237. [Google Scholar] [CrossRef]
- Saeidy, S.; Omidi, P.; Nasirpour, A.; Keramat, J. Physicochemical and functional properties of cross linked and high pressure homogenized sugar beet pectin: A comparative study. Food Hydrocoll. 2023, 134, 108041. [Google Scholar] [CrossRef]
- Liu, J.; Chen, B.; Hu, Q.; Zhang, Q.; Huang, B.; Fei, P. Pectin grafted with resorcinol and 4-hexylresorcinol: Preparation, characterization and application in meat preservation. Int. J. Biol. Macromol. 2023, 237, 124212. [Google Scholar] [CrossRef]
- Chen, Y.; Wang, Y.; Xu, L.; Jia, Y.; Xue, Z.; Zhang, M.; Phisalaphong, M.; Chen, H. Ultrasound-assisted modified pectin from unripe fruit pomace of raspberry (Rubus chingii Hu): Structural characterization and antioxidant activities. LWT 2020, 134, 110007. [Google Scholar] [CrossRef]
- Zhong, L.; Li, X.; Duan, M.; Song, Y.; He, N.; Che, L. Impacts of high hydrostatic pressure processing on the structure and properties of pectin. LWT 2021, 148, 111793. [Google Scholar] [CrossRef]
- Gamonpilas, C.; Buathongjan, C.; Sangwan, W.; Rattanaprasert, M.; Weizman, K.C.; Klomtun, M.; Phonsatta, N.; Methacanon, P. Production of low molecular weight pectins via electron beam irradiation and their potential prebiotic functionality. Food Hydrocoll. 2021, 113, 106551. [Google Scholar] [CrossRef]
- Basak, S.; Annapure, U.S. Impact of atmospheric pressure cold plasma on the rheological and gelling properties of high methoxyl apple pectin. Food Hydrocoll. 2022, 129, 107639. [Google Scholar] [CrossRef]
- Ma, S.; Wang, Z.-h. Pulsed electric field-assisted modification of pectin from sugar beet pulp. Carbohydr. Polym. 2013, 92, 1700–1704. [Google Scholar] [CrossRef] [PubMed]
- Chen, T.-T.; Zhang, Z.-H.; Wang, Z.-W.; Chen, Z.-L.; Ma, H.; Yan, J.-K. Effects of ultrasound modification at different frequency modes on physicochemical, structural, functional, and biological properties of citrus pectin. Food Hydrocoll. 2021, 113, 106484. [Google Scholar] [CrossRef]
- Mudugamuwa Arachchige, M.P.; Mu, T.; Ma, M. Effect of high hydrostatic pressure-assisted pectinase modification on the Pb2+ adsorption capacity of pectin isolated from sweet potato residue. Chemosphere 2021, 262, 128102. [Google Scholar] [CrossRef]
- Ma, X.; Wang, D.; Chen, W.; Ismail, B.B.; Wang, W.; Lv, R.; Ding, T.; Ye, X.; Liu, D. Effects of ultrasound pretreatment on the enzymolysis of pectin: Kinetic study, structural characteristics and anti-cancer activity of the hydrolysates. Food Hydrocoll. 2018, 79, 90–99. [Google Scholar] [CrossRef]
- Raghav, N.; Vashisth, C.; Mor, N.; Arya, P.; Sharma, M.R.; Kaur, R.; Bhatti, S.P.; Kennedy, J.F. Recent advances in cellulose, pectin, carrageenan and alginate-based oral drug delivery systems. Int. J. Biol. Macromol. 2023, 244, 125357. [Google Scholar] [CrossRef] [PubMed]
- Hu, Y.; Ye, X.; Yin, X.; Chen, S. Sulfation of citrus pectin by pyridine-sulfurtrioxide complex and its anticoagulant activity. LWT—Food Sci. Technol. 2015, 60, 1162–1167. [Google Scholar] [CrossRef]
- Cipriani, T.R.; Gracher, A.H.P.; de Souza, L.M.; Fonseca, R.J.; Belmiro, C.L.; Gorin, P.A.; Sassaki, G.L.; Iacomini, M. Influence of molecular weight of chemically sulfated citrus pectin fractions on their antithrombotic and bleeding effects. Thromb. Haemost. 2009, 101, 860–866. [Google Scholar] [CrossRef]
- Vityazev, F.; Golovchenko, V.; Patova, O.; Drozd, N.; Makarov, V.; Shashkov, A.; Ovodov, Y. Synthesis of sulfated pectins and their anticoagulant activity. Biochemistry 2010, 75, 857–867. [Google Scholar] [CrossRef]
- Bae, I.Y.; Joe, Y.N.; Rha, H.J.; Lee, S.; Yoo, S.-H.; Lee, H.G. Effect of sulfation on the physicochemical and biological properties of citrus pectins. Food Hydrocoll. 2009, 23, 1980–1983. [Google Scholar] [CrossRef]
- Maas, N.C.; Gracher, A.H.P.; Sassaki, G.L.; Gorin, P.A.J.; Iacomini, M.; Cipriani, T.R. Sulfation pattern of citrus pectin and its carboxy-reduced derivatives: Influence on anticoagulant and antithrombotic effects. Carbohydr. Polym. 2012, 89, 1081–1087. [Google Scholar] [CrossRef]
- Fan, L.; Gao, S.; Wang, L.; Wu, P.; Cao, M.; Zheng, H.; Xie, W.; Zhou, J. Synthesis and anticoagulant activity of pectin sulfates. J. Appl. Polym. Sci. 2012, 124, 2171–2178. [Google Scholar] [CrossRef]
- Akhmedov, O.R.; Shomuratov, S.A.; Turaev, A.S.; Vaili, A. Synthesis and study of the antimicrobial activity of sulfamic pectin derivatives. Chem. Sustain. Dev. 2017, 25, 141–145. [Google Scholar]
- Román, Y.; de Oliveira Barddal, H.P.; Iacomini, M.; Sassaki, G.L.; Cipriani, T.R. Anticoagulant and antithrombotic effects of chemically sulfated fucogalactan and citrus pectin. Carbohydr. Polym. 2017, 174, 731–739. [Google Scholar] [CrossRef] [PubMed]
- Sun, H.; Meng, F.; Bai, H.; Tian, L.; Bai, C.; Li, D.; Wu, W.; Wang, Y.; Gong, M. Effects of Extraction and Modification Technologies on the Characteristics and Bioactivities of Cantaloupe Peels Pectic Polysaccharides. Available online: https://ssrn.com/abstract=4590932 (accessed on 2 April 2024).
- Chaouch, M.A.; Hammi, K.M.; Dhahri, M.; Mansour, M.B.; Maaroufi, M.R.; Le Cerf, D.; Majdoub, H. Access to new anticoagulant by sulfation of pectin-like polysaccharides isolated from Opuntia ficus indica cladodes. Int. J. Biol. Macromol. 2018, 120, 1794–1800. [Google Scholar] [CrossRef] [PubMed]
- Pulsawat, W.; Chayansupap, K. Synthesis and Anticoagulant activity of Sulfated pectin. Asia-Pac. J. Sci. Technol. 2014, 19, 134–140. [Google Scholar]
- Aldalbahi, A. Nano-Composite Materials from Carrageenan, Conducting Polymers and Carbon Nanotubes. Ph.D. Thesis, University of Wollongong, Wollongong, Australia, 2012. [Google Scholar]
- Jiang, J.-L.; Zhang, W.-Z.; Ni, W.-X.; Shao, J.-W. Insight on structure-property relationships of carrageenan from marine red algal: A review. Carbohydr. Polym. 2021, 257, 117642. [Google Scholar] [CrossRef]
- Barbeyron, T.; Michel, G.; Potin, P.; Henrissat, B.; Kloareg, B. ι-Carrageenases constitute a novel family of glycoside hydrolases, unrelated to that of κ-carrageenases. J. Biol. Chem. 2000, 275, 35499–35505. [Google Scholar] [CrossRef]
- Álvarez-Viñas, M.; Souto, S.; Flórez-Fernández, N.; Torres, M.D.; Bandín, I.; Domínguez, H. Antiviral Activity of Carrageenans and Processing Implications. Marine Drugs 2021, 19, 437. [Google Scholar] [CrossRef]
- Michel, A.S.; Mestdagh, M.M.; Axelos, M.A.V. Physico-chemical properties of carrageenan gels in presence of various cations. Int. J. Biol. Macromol. 1997, 21, 195–200. [Google Scholar] [CrossRef]
- Rees, D.A.; Williamson, F.B.; Frangou, S.A.; Morris, E.R. Fragmentation and Modification of r-Carrageenan and Characterisation of the Polysaccharide Order-Disorder Transition in Solution. Eur. J. Biochem. 1982, 122, 71–79. [Google Scholar] [CrossRef] [PubMed]
- Stanley, N.F. Process for Treating a Polysaccharide of Seaweeds of the Gigartinaceae and Solieriaceae Families. U.S. Patent No. 3,094,517, 18 June 1963. [Google Scholar]
- Ainsworth, P.; Blanshard, J. Interdependence of molecular structure and strength of carrageenan and carrageenan/carob gels. Lebensm.-Wiss.+Technologie. Food Sci.+Technol. 1978, 11, 149–162. [Google Scholar]
- Lai, V.M.F.; Wong, P.A.-L.; Lii, C.-Y. Effects of Cation Properties on Sol-gel Transition and Gel Properties of κ-carrageenan. J. Food Sci. 2000, 65, 1332–1337. [Google Scholar] [CrossRef]
- Stanley, N. Production, properties and uses of carrageenan. Production and utilization of products from commercial seaweeds. FAO Fisheries Technical Paper 1987, 288, 116–146. [Google Scholar]
- Pacheco-Quito, E.-M.; Ruiz-Caro, R.; Veiga, M.-D. Carrageenan: Drug Delivery Systems and Other Biomedical Applications. Mar. Drugs 2020, 18, 583. [Google Scholar] [CrossRef] [PubMed]
- Krylova, N.V.; Kravchenko, A.O.; Iunikhina, O.V.; Pott, A.B.; Likhatskaya, G.N.; Volod’ko, A.V.; Zaporozhets, T.S.; Shchelkanov, M.Y.; Yermak, I.M. Influence of the structural features of carrageenans from red algae of the Far Eastern Seas on their antiviral properties. Mar. Drugs 2022, 20, 60. [Google Scholar] [CrossRef]
- Besednova, N.N.; Zvyagintseva, T.N.; Andryukov, B.G.; Zaporozhets, T.S.; Kuznetsova, T.A.; Kryzhanovsky, S.P.; Guseva, L.G.; Shchelkanov, M.Y. Sulfated polysaccharides of seaweed as potential means of prevention and therapy of influenza and COVID-19. Antibiot. Chemother. 2021, 66, 50–66. [Google Scholar]
- de Araújo, C.A.; Noseda, M.D.; Cipriani, T.R.; Gonçalves, A.G.; Duarte, M.E.R.; Ducatti, D.R.B. Selective sulfation of carrageenans and the influence of sulfate regiochemistry on anticoagulant properties. Carbohydr. Polym. 2013, 91, 483–491. [Google Scholar] [CrossRef]
- Papy-Garcia, D.; Barbier-Chassefière, V.; Rouet, V.; Kerros, M.-E.; Klochendler, C.; Tournaire, M.-C.; Barritault, D.; Caruelle, J.-P.; Petit, E. Nondegradative Sulfation of Polysaccharides. Synthesis and Structure Characterization of Biologically Active Heparan Sulfate Mimetics. Macromolecules 2005, 38, 4647–4654. [Google Scholar] [CrossRef]
- Mendes, G.S.; Duarte, M.E.R.; Colodi, F.G.; Noseda, M.D.; Ferreira, L.G.; Berté, S.D.; Cavalcanti, J.F.; Santos, N.; Romanos, M.T.V. Structure and anti-metapneumovirus activity of sulfated galactans from the red seaweed Cryptonemia seminervis. Carbohydr. Polym. 2014, 101, 313–323. [Google Scholar] [CrossRef]
- Yamada, T.; Ogamo, A.; Saito, T.; Watanabe, J.; Uchiyama, H.; Nakagawa, Y. Preparation and anti-HIV activity of low-molecular-weight carrageenans and their sulfated derivatives. Carbohydr. Polym. 1997, 32, 51–55. [Google Scholar] [CrossRef]
- Kolender, A.A.; Pujol, C.A.; Damonte, E.B.; Cerezo, A.S.; Matulewicz, M. Sulfation of kappa-carrageenan and antiviral activity. An. Asoc. Quim. Argent. 1998, 86, 304–311. [Google Scholar]
- Opoku, G.; Qiu, X.; Doctor, V. Effect of oversulfation on the chemical and biological properties of kappa carrageenan. Carbohydr. Polym. 2006, 65, 134–138. [Google Scholar] [CrossRef]
- Thành, T.T.T.; Yasunaga, H.; Takano, R.; Urakawa, H.; Kajiwara, K. Molecular characteristics and gelling properties of carrageenan family 2. Tri-sulfated and tetra-sulfated carrageenans. Polym. Bull. 2001, 47, 305–312. [Google Scholar] [CrossRef]
- Yuan, H.; Zhang, W.; Li, X.; Lü, X.; Li, N.; Gao, X.; Song, J. Preparation and in vitro antioxidant activity of κ-carrageenan oligosaccharides and their oversulfated, acetylated, and phosphorylated derivatives. Carbohydr. Res. 2005, 340, 685–692. [Google Scholar] [CrossRef]
- Mahendran, T.; Williams, P.A.; Phillips, G.O.; Al-Assaf, S.; Baldwin, T.C. New Insights into the Structural Characteristics of the Arabinogalactan−Protein (AGP) Fraction of Gum Arabic. J. Agric. Food Chem. 2008, 56, 9269–9276. [Google Scholar] [CrossRef] [PubMed]
- Nie, S.-P.; Wang, C.; Cui, S.W.; Wang, Q.; Xie, M.-Y.; Phillips, G.O. A further amendment to the classical core structure of gum arabic (Acacia senegal). Food Hydrocoll. 2013, 31, 42–48. [Google Scholar] [CrossRef]
- Musa, H.H.; Ahmed, A.A.; Musa, T.H. Chemistry, biological, and pharmacological properties of gum Arabic. In Bioactive Molecules in Food; Springer: Cham, Switzerland, 2018; pp. 1–18. [Google Scholar]
- Siddig, N.E.; Osman, M.E.; Al-Assaf, S.; Phillips, G.O.; Williams, P.A. Studies on acacia exudate gums, part IV. Distribution of molecular components in Acacia seyal in relation to Acacia senegal. Food Hydrocoll. 2005, 19, 679–686. [Google Scholar] [CrossRef]
- Islam, A.M.; Phillips, G.O.; Sljivo, A.; Snowden, M.J.; Williams, P.A. A review of recent developments on the regulatory, structural and functional aspects of gum arabic. Food Hydrocoll. 1997, 11, 493–505. [Google Scholar] [CrossRef]
- Sanchez, C.; Schmitt, C.; Kolodziejczyk, E.; Lapp, A.; Gaillard, C.; Renard, D. The acacia gum arabinogalactan fraction is a thin oblate ellipsoid: A new model based on small-angle neutron scattering and ab initio calculation. Biophys. J. 2008, 94, 629–639. [Google Scholar] [CrossRef] [PubMed]
- Pazur, J.H.; Kelly-Delcourt, S.A.; Miskiel, F.J.; Burdett, L.; Docherty, J.J. The isolation of anti-gum arabic antibodies by affinity chromatography. J. Immunol. Methods 1986, 89, 19–25. [Google Scholar] [CrossRef]
- Verbeken, D.; Dierckx, S.; Dewettinck, K. Exudate gums: Occurrence, production, and applications. Appl. Microbiol. Biotechnol. 2003, 63, 10–21. [Google Scholar] [CrossRef] [PubMed]
- Sasaki, Y.; Ogasawara, T.; Katayama, T.; Sakata, M. Process for Producing Modified Gum Arabic. U.S. Patent 8722129, 13 May 2014. [Google Scholar]
- Lukozheva, Z.; Stashevskaya, K.; Korshak, Y.; Kharaev, A. Chemical modification of gum arabic. Res. Russ. 2004, 7, 334–339. [Google Scholar]
- Doctor, V.M.; Lewis, D.; Coleman, M.; Kemp, M.T.; Marbley, E.; Sauls, V. Anticoagulant properties of semisynthetic polysaccharide sulfates. Thromb. Res. 1991, 64, 413–425. [Google Scholar] [CrossRef] [PubMed]
Disclaimer/Publisher’s Note: The statements, opinions and data contained in all publications are solely those of the individual author(s) and contributor(s) and not of MDPI and/or the editor(s). MDPI and/or the editor(s) disclaim responsibility for any injury to people or property resulting from any ideas, methods, instructions or products referred to in the content. |
© 2024 by the authors. Licensee MDPI, Basel, Switzerland. This article is an open access article distributed under the terms and conditions of the Creative Commons Attribution (CC BY) license (https://creativecommons.org/licenses/by/4.0/).




