Abstract
Thiocyanates form an important class of organic compounds commonly found in natural products that exhibit excellent antimicrobial activity. The electrophilic thiocyanation is one of the most effective methods of introducing a -SCN functional group to the parent organic molecule. In this work, we explored an eco-friendly and highly efficient method for thiocyanation of anilines and 1-(substituted benzylidene)-2-phenylhydrazines using commercially available N-bromoscuccinimide (NBS) and potassium thiocyanate (KSCN). The optimized protocol afforded thiocyanates with good regioselectivity and excellent yields in comparison to the available methods.
1. Introduction
The thiocyanation of both aromatic and heteroaromatic compounds represents a crucial transformation with implications for both organic synthesis and pharmaceuticals [1,2]. In recent years, there has been a significant attraction to sulphur-containing aromatic compounds due to their diverse biological activities. Among these compounds, thiocyanates are a prominent class, serving as key building blocks in the synthesis of pharmacologically active compounds. Thiocyanates exhibit versatile reactivity, leading to the formation of thiols [3], sulfonyl chlorides [4], sulphides [5], trifluoromethyl (or difluoromethyl) sulphides [6,7], disulphides [8], phosphonothioates [9], and other sulphur-containing heterocycles [10,11]. This functional group is well-established in numerous biologically active natural products [12,13,14,15,16,17] and synthetic compounds featuring them as potential enzyme inhibitors (Figure 1), with applications ranging from treating Chagas disease [18,19] and cancer [20,21] to the more recent considerations for COVID-19 [22].
Figure 1.
(A) Representative conversions of thiocyanate into different functional moieties [3,5,6,10]; A few thiocyanates as (B) natural products and (C) enzyme inhibitors.
Various methods have been employed for the thiocyanation of aromatic systems using different reagents. For instance, thiocyanation of indoles and carbazoles was achieved using ammonium thiocyanate by montmorillonite K 10 clay-mediated reactions [23]. Thiocyanation of alcohols, trimethyl silyl, and tetrahydropyranyl ethers was carried out using a diphenyl phosphinite ionic liquid [24]. Peroxydisulfate-Cu(II), as an oxidant, was employed for the α-thiocyanation of carbonyl and β-dicarbonyl compounds [25]. Thiocyanation of aromatic compounds was carried out by anodic oxidation of thiocyanate anion to SCN radical [26]. Indoles and pyrrole undergo a reaction with ammonium thiocyanate in the presence of o-iodoxy benzoic acid [27]. Indoles were converted to corresponding thiocyanato derivatives on treatment with ammonium thiocyanate in the presence of p-toluene sulfonic acid [28]. An NBS-mediated procedure was developed for the thiocyanation of cyclohexene-fused isoxazoline N-oxides under mild conditions [29].
Several methods have been tried for the synthesis of thiocyanatoaniline. Reaction with ammonium thiocyanate, trichloroisocyanuric acid, and wet SiO2 yielded the product by in situ generation of hypochlorous acid in a heterogeneous system and subsequent oxidation of the thiocyanate anion in dichloromethane solvent [30]. Among the other oxidants employed with ammonium thiocyanate, cerium (IV) ammonium nitrate in methanol afforded unsatisfactory yield of the product [31]. A significant improvement could be observed when the reaction was performed with iodine [32]. Sodium perborate also facilitates the transformation but under acidic conditions employing glacial acetic acid [33]. A free radical process for the transformation could be invoked using oxone in a methanol medium [34] or manganese acetate in acetic acid [35] with modest yields. The conversion was also achieved using diethyl azodicarboxylate in an acetonitrile medium [36]. A milder condition was attempted using anhydrous ferric chloride in dichloromethane but took a longer time to achieve an appreciable yield [37]. Microwave irradiation was explored on a solid surface by employing acidic alumina [38]. DDQ mediation thiocyanation of the substrates depends on the electron donor ability of the aromatic nucleus [39]. Attempts to obtain the product with iodine pentoxide were not encouraging [40]. Thiocyanation in iodic acid afforded good yields, but chloroform was used as the solvent [41]. With hydrogen peroxide or periodic acid, the reaction was performed in aqueous medium [42]. Dichloroidodo benzene promotes the reaction at 0 °C in a dichloromethane medium [43]. Despite these advancements, the methods employed have one or more limitations, such as poor yield, narrow substrate scope, halogenated or toxic solvent, need for an excessive amount of strong oxidizing reagent, acidic conditions, heterogeneous reaction phase, poor performance, anhydrous medium, long reaction time, inert atmosphere, and stringent reaction conditions with difficultly in scalability. Therefore, there is an unmet need to develop an efficient process for synthesizing thiocyanate derivatives of anilines. A simple procedure for thiocyanation was demonstrated on arene substrates using N-thiocyanatosuccinimide (NTS) [44]. However, the scope of this strategy was not widely explored for aniline derivatives and 1-(substituted benzylidene)-2-phenylhydrazines. We, therefore, decided to investigate the electrophilic thiocyanation reactions of these substrates under eco-friendly conditions by using N-bromosuccinimide and potassium thiocyanate in an ethanol medium.
2. Experimental Section
2.1. Materials and Methods
All the chemicals were obtained from commercial suppliers and used without further purification. The reactions were conducted in oven-dried glassware and maintained under the appropriate atmospheric conditions. To monitor the progress of the reactions, thin-layer chromatography (TLC) was employed, specifically, 0.25 mm Merck Silica gel 60 F254 plates were used, and visualization was achieved using UV light. In column chromatography, 60–120 mesh silica gel was used as the stationary phase. Elution was carried out using a mixture of hexane and ethyl acetate as the mobile phase. Nuclear magnetic resonance (NMR) spectra were recorded using a Jeol ECZ 400R spectrometer operating at 400 MHz for 1H NMR and 100 MHz for 13C NMR. CDCl3 was used as the solvent, and tetramethyl silane (TMS) served as the internal standard. Chemical shifts (δ) were reported relative to residual solvent signals, specifically 7.25 ppm for 1H NMR and a triplet centred at 77.00 ppm for 13C NMR. Mass spectrometry analysis was conducted using an ESI (electrospray ionization) quadrupole time-of-flight Agilent mass spectrometer. IR spectra were recorded on a Bruker Alpha II FTIR spectrophotometer.
- (i)
- General procedure for the synthesis of thiocyanatoaniline analogues
To a solution of N-bromosuccinimide (1.0 mmol) in EtOH (10 mL), KSCN (2.1 mmol) was added and stirred at room temperature (27 °C) for 5 min. To this solution, substituted aniline (1.0 mmol) was added and the reaction mixture was stirred at room temperature (27 °C) for 20 min. The reaction mixture was concentrated, diluted with water, and extracted thrice with EtOAc. The combined organic extracts were concentrated under vacuum, and the resultant crude was subjected to purification by column chromatography on silica gel (60–120 mesh) using a hexane-ethyl acetate mixture (10:1) as the mobile phase to obtain the desired product.
4-thiocyanatoaniline (1a) [30]: Pale brown solid; Yield 98%; m.p. = 52–53 °C; IR (νmax, cm−1): 3374.27, 2152.01, 1707.83 1625.05, 1594.80, 1495.78, 1428.12, 1361.05, 1301.37, 1221.64, 1179.07, 1129.30, 1085.54, 824.74, 676.97; 1H NMR (400 MHz, CDCl3) δ ppm: 7.31–7.34 (m, 2H, Ar), 6.63–6.66 (m, 2H, Ar), 3.97 (s, 2H, NH2); 13C NMR (100 MHz, CDCl3) δ ppm: 148.9, 134.6, 116.2, 112.5, 109.6; HRMS (ESI): m/z calcd. for C7H6N2S [M + H]+: 151.0252; found: 151.0486.
2-chloro-4-thiocyanatoaniline (1b) [39]: White solid; Yield 96%; m.p. = 64–66 °C; IR (νmax, cm−1): 3474.59, 3372.59, 3233.14, 2925.76, 2154.54, 2054.68, 1623.93, 1591.81, 1476.32, 1420.75, 1315.22, 1239.46, 1123.23, 1020.23, 902.03, 849.96, 813.39; 1H NMR (400 MHz, CDCl3) δ ppm: 7.48 (d, 1H, Ar), 7.25–7.28 (m, 1H, Ar), 6.75 (d, 1H, Ar), 4.38 (s, 2H, NH2); 13C NMR (100 MHz, CDCl3) δ ppm: 145.4, 133.9, 132.7, 119.8, 116.5, 111.7, 110.1; HRMS (ESI): m/z calcd. for C7H5ClN2S [M + H]+: 184.9864; found: 184.9975.
2-methyl-4-thiocyanatoaniline (1c) [42]: Creamy white solid; Yield 96%; m.p. = 68–70 °C; IR (νmax, cm−1): 3449.59, 3368.62, 3246.89, 2924.89, 2150.60, 1628.89, 1592.12, 1568.60, 1491.02, 1454.53, 1402.63, 1296.51, 1153.92, 1091.96, 1032.18, 995.58, 885.14, 814.70, 719.01; 1H NMR (400 MHz, CDCl3) δ ppm: 7.24–7.26 (m, 1H, Ar), 7.20–7.23 (m, 1H, Ar), 6.59–6.68 (m, 1H, Ar), 3.90 (s, 2H, NH2), 2.13 (s, 3H, CH3); 13C NMR (100 MHz, CDCl3) δ ppm: 147.2, 135.1, 132.2, 124.0, 115.8, 112.7, 109.3, 17.3; HRMS (ESI): m/z calcd. for C8H8N2S [M + H]+: 165.0408; found: 165.0509.
4-methyl-2-thiocyanatoaniline (1d): White solid; Yield 97%; m.p. = 80–82 °C; 1H NMR (400 MHz, CDCl3) δ ppm: 7.34 (d, 1H, Ar), 6.56–6.58 (m, 1H, Ar), 6.46–6.50 (m, 1H, Ar), 3.91 (s, 2H, NH2), 2.43 (s, 3H, CH3); 13C NMR (100 MHz, CDCl3) δ ppm: 149.5, 143.1, 136.4, 117.4, 113.8, 112.2, 109.1, 21.0; HRMS (ESI): m/z calcd. for C8H8N2S [M + H]+: 165.0408; found: 165.641.
2,3-dichloro-4-thiocyanatoaniline (1e): Yellow solid; Yield 96%; m.p. = 75–77 °C; IR (νmax, cm−1): 3333.01, 3226.89, 2925.74, 2161.17, 1708.24, 1629.63, 1577.77, 1539.59, 1466.44, 1393.56, 1359.26, 1323.83, 1294.70, 1220.32, 1181.86, 1109.75, 1056.51, 919.81, 813.47, 773.60; 1H NMR (400 MHz, CDCl3) δ ppm: 7.39 (d, 1H, Ar), 6.70 (d, 1H, Ar), 4.50 (s, 2H, NH2); 13C NMR (100 MHz, CDCl3) δ ppm: 146.5, 135.5, 132.0, 118.9, 114.1, 110.6, 110.5; HRMS (ESI): m/z calcd. for C7H4Cl2N2S [M + H]+: 217.9472; found: 217.0195.
2-fluoro-4-thiocyanatoaniline (1f): Pale yellow solid; Yield 95%; m.p. = 61–63 °C; IR (νmax, cm−1): 3474.59, 3372.59, 3233.14, 2925.76, 2154.54, 2054.68, 1623.93, 1591.81, 1476.32, 1420.75, 1315.22, 1239.46, 1123.23, 1020.23, 902.03, 849.96, 813.39; 1H NMR (400 MHz, CDCl3) δ ppm: 7.19–7.23 (m, 1H, Ar), 7.12–7.16 (m, 1H, Ar), 6.73–6.78 (m, 1H, Ar), 4.09 (s, 2H, NH2); 13C NMR (100 MHz, CDCl3) δ ppm: 152.2, 149.8, 137.6, 129.9, 120.0, 117.4, 111.8; HRMS (ESI): m/z calcd. for C7H5FN2S [M + H]+: 169.0157; found: 169.0281.
4-fluoro-2-thiocyanatoaniline (1g): Pale yellow solid; Yield 96%; m.p. = 76–78 °C; 1H NMR (400 MHz, CDCl3) δ ppm: 7.44–7.48 (m, 1H, Ar), 7.26–7.30 (m, 1H, Ar), 6.99–7.05 (m, 1H, Ar), 5.42 (s, 2H, NH2); 13C NMR (100 MHz, CDCl3) δ ppm: 160.0, 119.8, 119.7, 114.0, 113.7, 107.9, 107.6; HRMS (ESI): m/z calcd. for C7H5FN2S [M + H]+: 169.0157; found: 169.0281.
3-chloro-4-thiocyanatoaniline (1h): Yellow solid; Yield 97%; m.p. = 70–72 °C; IR (νmax, cm−1): 3474.59, 3372.59, 3233.14, 2925.76, 2154.54, 2054.68, 1623.93, 1591.81, 1476.32, 1420.75, 1315.22, 1239.46, 1123.23, 1020.23, 902.03, 849.96, 813.39; 1H NMR (400 MHz, CDCl3) δ ppm: 7.39–7.40 (m, 1H, Ar), 6.75–6.77 (m, 1H, Ar), 6.54–6.57 (m, 1H, Ar), 4.08 (s, 2H, NH2); 13C NMR (100 MHz, CDCl3) δ ppm: 150.0, 137.8, 135.4, 116.2, 114.6, 111.2, 108.7; HRMS (ESI): m/z calcd. for C7H5ClN2S [M + H]+: 184.9862; found: 184.9978.
3,5-dichloro-4-thiocyanatoaniline (1i): Creamy white solid; Yield 96%; m.p. = 65–67 °C; IR (νmax, cm−1): 3408.88, 3333.01, 3226.89, 2925.74, 2161.17, 1708.24, 1629.63, 1577.77, 1539.59, 1466.44, 1393.56, 1359.26, 1323.83, 1294.70, 1220.32, 1181.86, 1109.75, 1056.51, 919.81, 813.47, 773.60; 1H NMR (400 MHz, CDCl3) δ ppm: 6.71–6.73 (m, 2H, Ar), 4.15 (s, 2H, NH2); 13C NMR (100 MHz, CDCl3) δ ppm: 150.4, 141.7, 114.9, 110.0, 107.9; HRMS (ESI): m/z calcd. for C7H4Cl2N2S [M + H]+: 218.9472; found: 218.9472.
3-methyl-4-thiocyanatoaniline (1j) [42]: Yellow solid; Yield 96%; m.p. = 81–83 °C; IR (νmax, cm−1): 3427.48, 3339.89, 3213.03, 2920.65, 2146.96, 1708.08, 1625.62, 1592.74, 1481.86, 1453.57, 1360.12, 1325.91, 1254.65, 1221.13, 1139.17, 1034.00, 858.95, 817.13, 739.36, 671.84; 1H NMR (400 MHz, CDCl3) δ ppm: 7.34 (d, 1H, Ar), 6.56–6.59 (m, 1H, Ar), 6.46–6.50 (m, 1H, Ar), 3.91 (s, 2H, NH2), 2.44 (s, 3H, CH3); 13C NMR (100 MHz, CDCl3) δ ppm: 149.5, 143.1, 136.4, 117.4, 113.8, 112.2, 109.1, 21.0; HRMS (ESI): m/z calcd. for C8H8N2S [M + H]+: 165.0408; found: 165.0754.
2-methoxy-4-thiocyanatoaniline (1k): White solid; Yield 96%; m.p. = 52–54 °C; IR (νmax, cm−1): 3449.59, 3368.62, 3246.89, 2924.89, 2150.60, 1628.89, 1592.12, 1568.60, 1491.02, 1454.53, 1402.63, 1296.51, 1153.92, 1091.96, 1032.18, 995.58, 885.14, 814.70, 719.01; 1H NMR (400 MHz, CDCl3) δ ppm: 6.99– 7.02 (m, 1H, Ar), 6.94 (d, 1H, Ar), 6.64–6.68 (m, 1H, Ar), 4.08 (s, 2H, NH2), 3.86 (s, 3H, OCH3); 13C NMR (100 MHz, CDCl3) δ ppm: 147.7, 139.1, 126.9, 115.0, 114.6, 112.5, 109.0, 55.8; HRMS (ESI): m/z calcd. for C8H8N2OS [M + H]+: 181.0352; found: 181.0760.
2,6-dimethyl-4-thiocyanatoaniline (1l) [30]: White solid; Yield 97%; m.p. = 85–87 °C; IR (νmax, cm−1): 3412.21, 3343.82, 2971.60, 2151.47, 1709.41, 1636.90, 1582.66, 1465.66, 1438.27, 1360.04, 1284.95, 1221.05, 1113.24, 1027.29, 867.69, 746.19, 731.58; 1H NMR (400 MHz, CDCl3) δ ppm: 7.15–7.16 (m, 2H, Ar), 3.82 (s, 2H, NH2), 2.15 (m, 6H, 2 × CH3); 13C NMR (100 MHz, CDCl3) δ ppm: 145.3, 132.9, 123.2, 112.8, 108.6, 17.5; HRMS (ESI): m/z calcd. for C9H10N2S [M + H]+: 179.0565; found: 179.095.
4-bromo-2-thiocyanatoaniline (1m): Yellow solid; Yield 98%; m.p. = 73–75 °C; IR (νmax, cm−1): 3474.59, 3372.59, 3233.14, 2925.76, 2154.54, 2054.68, 1623.93, 1591.81, 1476.32, 1420.75, 1315.22, 1239.46, 1123.23, 1020.23, 902.03, 849.96, 813.39; 1H NMR (400 MHz, CDCl3) δ ppm: 7.44–7.48 (m, 1H, Ar), 7.26–7.30 (m, 1H, Ar), 6.99–7.05 (m, 1H, Ar), 5.49 (s, 2H, NH2); 13C NMR (100 MHz, CDCl3) δ ppm: 160.0, 119.8, 119.7, 114.0, 113.7, 107.9, 107.6; HRMS (ESI): m/z calcd. for C7H5BrN2S [M + H]+: 230.9357; found: 230.9581.
4-methoxy-2-thiocyanatoaniline (1n): Pale yellow solid; Yield 96%; m.p. = 100–102 °C; 1H NMR (400 MHz, CDCl3) δ ppm: 6.99–7.02 (m, 1H, Ar), 6.94 (d, 1H, Ar), 6.65–6.67 (m, 1H, Ar), 4.08 (s, 2H, NH2), 3.86 (s, 3H, OCH3); 13C NMR (100 MHz, CDCl3) δ ppm: 147.7, 139.1, 126.9, 115.0, 114.6, 112.5, 109.0, 55.8; HRMS (ESI): m/z calcd. for C8H8N2OS [M + H]+: 181.0357; found: 181.0557.
2,4-dimethyl-6-thiocyanatoaniline (1o): White solid; Yield 96%; m.p. = 75–76 °C; 1H NMR (400 MHz, CDCl3) δ ppm: 7.21–7.23 (m, 1H, Ar), 6.92–6.94 (m, 1H, Ar), 5.65 (s, 2H, NH2), 2.50 (s, 3H, CH3), 2.35 (s, 3H, CH3); 13C NMR (100 MHz, CDCl3) δ ppm: 164.8, 148.9, 132.0, 131.3, 128.4, 128.3, 118.5, 21.3, 18.5; HRMS (ESI): m/z calcd. for C9H10N2S [M + H]+: 179.0565; found: 179.0882.
4-chloro-2-thiocyanatoaniline (1p): Yellow solid; Yield 98%; m.p. = 69–71 °C; 1H NMR (400 MHz, CDCl3) δ ppm: 7.44–7.48 (m, 1H, Ar), 7.26–7.30 (m, 1H, Ar), 6.99–7.05 (m, 1H, Ar), 5.40 (s, 2H, NH2); 13C NMR (100 MHz, CDCl3) δ ppm: 160.0, 119.8, 119.7, 114.0, 113.7, 107.9, 107.6; HRMS (ESI): m/z calcd. for C7H5ClN2S [M + H]+: 184.9862; found: 185.0111.
- (ii)
- General procedure for the synthesis of substituted (E)-1-benzylidene-2-(4-thiocyanatophenyl) hydrazine analogues.
To a solution of N-bromosuccinimide (1.0 mmol) in EtOH (10 mL), KSCN (2.1 mmol) was added and stirred at room temperature (27 °C) for 5 min. To this solution, 1-(substituted benzylidene)-2-phenylhydrazine (1.0 mmol) was added and the reaction mixture was stirred at room temperature (27 °C) for 20 min. The reaction mixture was concentrated, diluted with water, and extracted thrice with EtOAc. The combined organic extracts were concentrated under vacuum, and the resultant crude was subjected to purification by column chromatography on silica gel (60–120 mesh) using a hexane-ethyl acetate mixture (10:1) as the mobile phase to obtain the desired product.
1-benzylidene-2-(4-thiocyanatophenyl)hydrazine (2a): Yellow solid; Yield 95%; m.p. = 112–114 °C; IR (νmax, cm−1): 3479.12, 3373.20, 2155.30, 1707.64, 1625.34, 1589.70, 1544.17, 1494.36, 1444.08, 1422.36, 1358.39, 1304.85, 1259.80, 1220.69, 1191.30, 1138.59, 1067.28, 1026.73, 953.13, 928.58, 842.48, 802.17, 755.39; 1H NMR (400 MHz, CDCl3) δ ppm: 7.80 (s, 1H, NH), 7.71 (s, 1H, CH), 7.64–7.66 (m, 2H, Ar), 7.44–7.47 (m, 2H, Ar), 7.31–7.40 (m, 3H, Ar), 7.11–7.14 (m, 2H, Ar); 13C NMR (100 MHz, CDCl3) δ ppm: 146.6, 139.4, 134.7, 134.2, 129.2, 128.8, 126.6, 114.2, 112.2, 111.6; HRMS (ESI): m/z calcd. for C14H11N3S [M + H]+: 254.0674; found: 254.0794.
1-(2-bromobenzylidene)-2-(4-thiocyanatophenyl)hydrazine (2b): White solid; Yield 80%; m.p. = 146–148 °C; IR (νmax, cm−1): 3477.89, 3372.94, 2926.24, 2155.71, 1708.75, 1625.84, 1590.34, 1544.08, 1494.31, 1443.82, 1422.32, 1358.46, 1304.64, 1259.70, 1220.31, 1191.54, 1133.84, 1092.93, 1067.24, 1026.65, 928.31, 842.62, 802.07, 755.02, 693.91; 1H NMR (400 MHz, CDCl3) δ ppm: 8.11 (s, 1H, NH), 8.03 (s, 1H, CH), 8.01 (s, 1H, Ar), 7.52–7.56 (m, 1H, Ar), 7.46–7.48 (m, 2H, Ar), 7.31–7.34 (m, 1H, Ar), 7.13–7.18 (m, 3H, Ar), 13C NMR (100 MHz, CDCl3) δ ppm: 146.2, 138.1, 134.1, 133.6, 133.1, 130.2, 127.7, 127.2, 123.16, 114.3, 112.3, 112.0; HRMS (ESI): m/z calcd. for C14H10BrN3S [M + H]+: 333.9779; found: 333.9846.
1-(2-chlorobenzylidene)-2-(4-thiocyanatophenyl)hydrazine (2c): Pale brown solid; Yield 90%; m.p. = 113–114 °C; IR (νmax, cm−1): 3480.27, 3374.88, 2926.24, 2155.25, 1707.39, 1625.72, 1590.60, 1544.19, 1494.22, 1444.23, 1422.36, 1358.23, 1303.22, 1259.94, 1221.15, 1191.24, 1135.16, 1067.31, 1026.67, 928.27, 842.70, 802.17, 754.81; 1H NMR (400 MHz, CDCl3) δ ppm: 8.14 (s, 1H, NH), 8.05 (s, 1H, CH), 8.01–8.03 (m, 1H, Ar), 7.47–7.48 (m, 1H, Ar), 7.45–7.46 (m, 1H, Ar), 7.34–7.36 (m, 1H, Ar), 7.25–7.29 (m, 2H, Ar), 7.13–7.15 (m, 2H, Ar); 13C NMR (100 MHz, CDCl3) δ ppm: 146.2, 135.8, 135.7, 134.1, 133.1, 132.1, 129.9, 127.1, 126.8, 114.3, 112.2, 112.1; HRMS (ESI): m/z calcd. for C14H10ClN3S [M + H]+: 288.0284; found: 288.0384.
1-(3-bromobenzylidene)-2-(4-thiocyanatophenyl)hydrazine (2d): White solid; Yield 83%; m.p. = 119–121 °C; IR (νmax, cm−1): 3474.59, 3372.59, 3233.14, 2925.76, 2154.54, 2054.68, 1623.93, 1591.81, 1476.32, 1420.75, 1315.22, 1239.46, 1123.23, 1020.23, 902.03, 849.96, 813.39; 1H NMR (400 MHz, CDCl3) δ ppm: 7.86 (s, 1H, NH), 7.81 (s, 1H, CH), 7.63 (s, 1H, Ar), 7.53 (d, 1H, Ar), 7.41–7.50 (m, 3H, Ar), 7.25 (s, 1H, Ar), 7.12 (m, 2H, Ar); 13C NMR (100 MHz, CDCl3) δ ppm: 146.1, 137.4, 136.8, 134.1, 131.9, 130.3, 129.1, 125.2, 123.0, 114.3, 112.3, 112.0; HRMS (ESI): m/z calcd. for C14H10BrN3S [M + H]+: 333.9779; found: 333.9831.
1-(4-chlorobenzylidene)-2-(4-thiocyanatophenyl)hydrazine (2e): Pale yellow solid; Yield 90%; m.p. = 120–122 °C; IR (νmax, cm−1): 3449.59, 3368.62, 3246.89, 2924.89, 2150.60, 1628.89, 1592.12, 1568.60, 1491.02, 1454.53, 1402.63, 1296.51, 1153.92, 1091.96, 1032.18, 995.58, 885.14, 814.70, 719.01, 671.25; 1H NMR (400 MHz, CDCl3) δ ppm: 7.81 (s, 1H, NH), 7.67 (s, 1H, CH), 7.56–7.59 (m, 2H, Ar), 7.45–7.48 (m, 2H, Ar), 7.33–7.36 (m, 2H, Ar), 7.11–7.14 (m, 2H, Ar); 13C NMR (100 MHz, CDCl3) δ ppm: 146.3, 138.0, 134.9, 134.1, 133.2, 129.0, 127.6, 114.2, 112.1, 112.0; HRMS (ESI): m/z calcd. for C14H10ClN3S [M + H]+: 288.0284; found: 288.0461.
1-(4-fluorobenzylidene)-2-(4-thiocyanatophenyl)hydrazine (2f): White solid; Yield 87%; m.p. = 125–127 °C; IR (νmax, cm−1): 3477.89, 3372.94, 2926.24, 2155.71, 1708.75, 1625.84, 1590.34, 1544.08, 1494.31, 1443.82, 1422.32, 1358.46, 1304.64, 1259.70, 1220.31, 1191.54, 1133.84, 1092.93, 1067.24, 1026.65, 928.31, 842.62, 802.07, 755.02, 693.91; 1H NMR (400 MHz, CDCl3) δ ppm: 7.78 (s, 1H, NH), 7.69 (s, 1H, CH), 7.61–7.65 (m, 2H, Ar), 7.44–7.47 (m, 2H, Ar), 7.05–7.13 (m, 4H, Ar); 13C NMR (100 MHz, CDCl3) δ ppm: 146.5, 138.2, 134.2, 128.3, 128.2, 116.0, 115.8, 114.1, 112.1, 111.7; HRMS (ESI): m/z calcd. for C14H10FN3S [M + H]+: 272.0579; found: 272.0639.
1-(4-nitrobenzylidene)-2-(4-thiocyanatophenyl)hydrazine (2g): Orange solid; Yield 93%; m.p. = 143–145 °C; 1H NMR (400 MHz, CDCl3) δ ppm: 8.25 (s, 1H, NH), 8.23 (s, 1H, CH), 8.09 (s, 1H, Ar), 7.74–7.81 (m, 3H, Ar), 7.50 (d, 2H, Ar), 7.18 (d, 2H, Ar); 13C NMR (100 MHz, CDCl3) δ ppm: 146.3, 138.0, 134.9, 134.1, 133.2, 129.0, 127.6, 114.2, 112.1, 112.0; HRMS (ESI): m/z calcd. for C14H10N4O2S [M + H]+: 299.0524; found: 299.0602.
1-(4-bromobenzylidene)-2-(4-thiocyanatophenyl)hydrazine (2h): Yellow solid; Yield 83%; m.p. = 111–113 °C; IR (νmax, cm−1): 3427.48, 3339.89, 3213.03, 2920.65, 2146.96, 1708.08, 1625.62, 1592.74, 1481.86, 1453.57, 1360.12, 1325.91, 1254.65, 1221.13, 1139.17, 1034.00, 858.95, 817.13, 739.36, 671.84; 1H NMR (400 MHz, CDCl3) δ ppm: 7.80 (s, 1H, NH), 7.66 (s, 1H, CH), 7.51 (m, 4H, Ar), 7.45–7.48 (m, 2H, Ar), 7.11–7.14 (m, 2H, Ar); 13C NMR (100 MHz, CDCl3) δ ppm: 146.2, 138.0, 134.1, 133.7, 132.0, 127.9, 123.1, 114.2, 112.2, 112.1; HRMS (ESI): m/z calcd. for C14H10BrN3S [M + H]+: 333.9844; found: 333.9779.
2.2. X-ray Diffraction Analysis
A good quality single crystal of compound 1l was obtained by slow evaporation from a solution using ethanol solvent. The crystal was mounted along its largest dimension and used for data collection. The intensity data were collected on a Bruker Smart CCD Area Detector System using MoKα (0.71073 Å) radiation in ω–ф scan mode. The data were reduced using SAINT-Plus [45]. The structure was solved by Direct Methods and refined on F2 using the SHELX-97 [46] package. All the non-hydrogen atoms were refined anisotropically. As the hydrogens were not readily revealed from difference Fourier maps, they were included in the ideal positions with fixed isotropic U values, and they were riding with their respective non-hydrogen atoms. The difference Fourier map, after the refinement, was essentially featureless in all cases. The mean plane calculations were conducted using the program PARST [47]. Diagrams and publication material were generated using ORTEP-3 [48] PLATON [49], CAMERON [50] and DIAMOND [51]. The CIF files are deposited at the Cambridge Crystallographic Data Centre, the deposition number for compound 1l is CCDC-2251369. This data can be obtained free of charge at https://www.ccdc.cam.ac.uk/ (accessed on 8 January 2024) [or from the Cambridge Crystallographic Data Centre (CCDC), 12 Union Road, Cambridge CB2 1EZ, UK; fax: +44(0)1223-336033; email: deposit@ccdc.cam.ac.uk].
3. Results and Discussion
Attempts to thiocyanate the aromatic nucleus have been tried under several conditions. An examination of the numerous reagents employed indicates that the strategies for thiocyanation can be generalised mechanistically. The more common approach is to generate an SCN+ electrophile from the thiocyanate anion, followed by the addition of the electrophile to the aryl ring and a proton abstraction [32,36,44]. The second approach involves the oxidation of substrate to form a radical cation that will facilitate a direct attack by SCN− anion. This resulting species can undergo hydrogen radical abstraction to form the product [34]. Yet another approach would be the oxidation of thiocyanate anion to the SCN radical and the addition of the radical on the substrate to generate a thiocyanated carbon radical. Transfer of an electron from the carbon radical would result in the formation of a carbocation that undergoes a proton loss [35]. The π-complex or ion pair formed between substrate and oxidant can undergo attack by the SCN− anion to form a thiocyanated carbon radical and subsequent transfer of an electron transfer generates a carbocation that forms the product by a proton loss [39]. Among these strategies, the formation and reaction of electrophilic SCN+ would be a simpler and more convenient process that can take advantage of the nucleophilic character of the substrates such as anilines. With this background, we decided to investigate the electrophilic thiocyanation of aniline using the SCN+ electrophile.
In our pursuit of a milder and more convenient procedure for thiocyanation, we have explored various reaction conditions involving the interaction of NBS with an alkali metal thiocyanate. Our findings indicate that NBS, in conjunction with potassium thiocyanate in ethanol as solvent, yields optimal results. To study the efficiency of this reaction, aniline was chosen as the model substrate, and various experiments were conducted to assess reagent concentration and potential solvent. The results summarized in Table 1 indicate that ethanol would be the most effective solvent. Considering the attributes of green chemistry and environmental friendliness, ethanol was selected as the solvent for the thiocyanation reactions. Through optimization studies, we determined that a 1:2:1 mole ratio of aniline/KSCN/NBS in ethanol at room temperature (27 °C) provided the best condition for complete conversion in a short reaction time, resulting in the highest yield of 4-thiocyanatoaniline product. Based on this, the thiocyanation of substituted anilines and 1-(substituted benzylidene)-2-phenylhydrazine derivatives was achieved using the in situ-generated N-thiocyanatosuccinimide (NTS).
Table 1.
Optimization of the reaction conditions for thiocyanation of aniline.
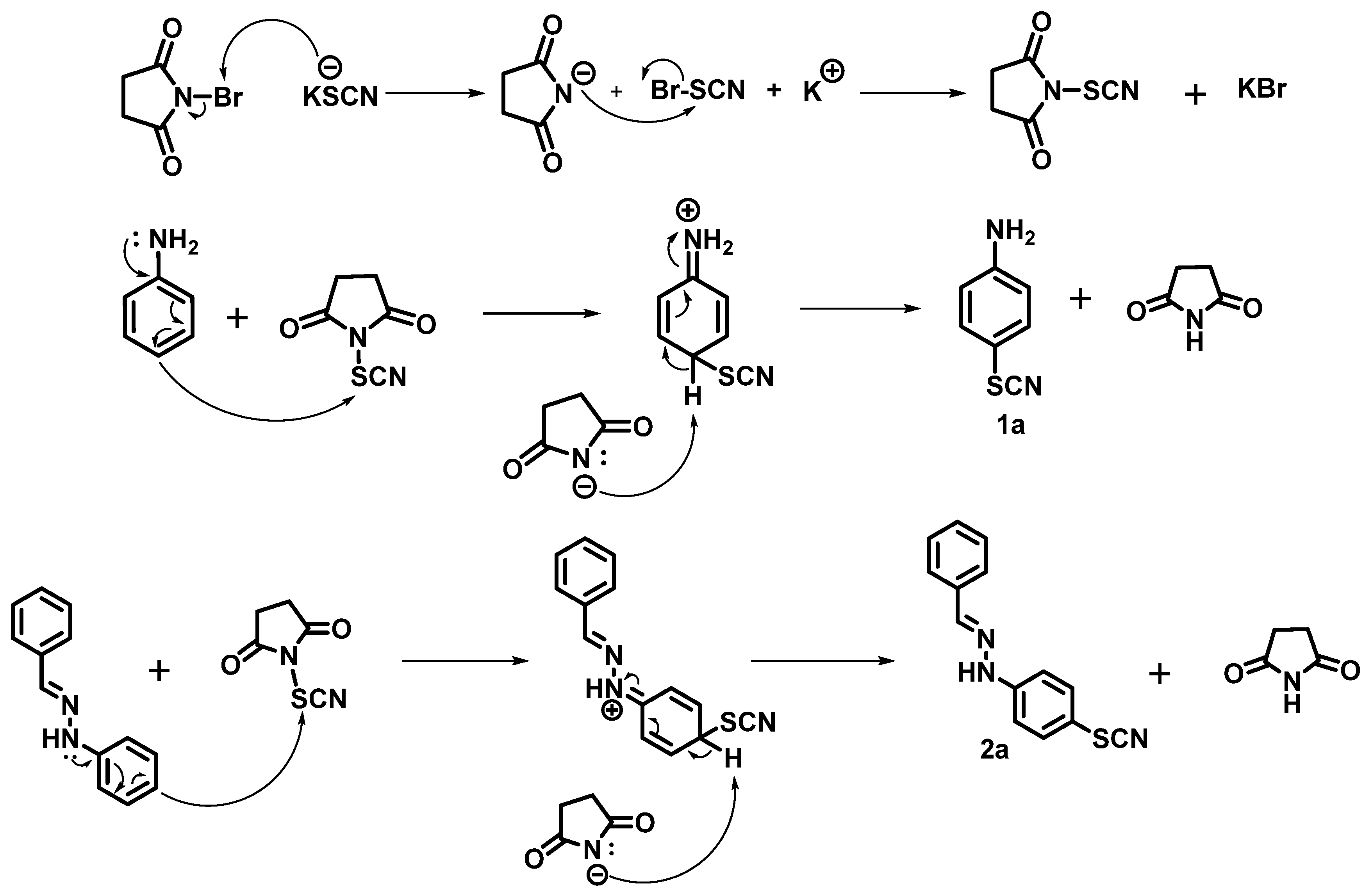
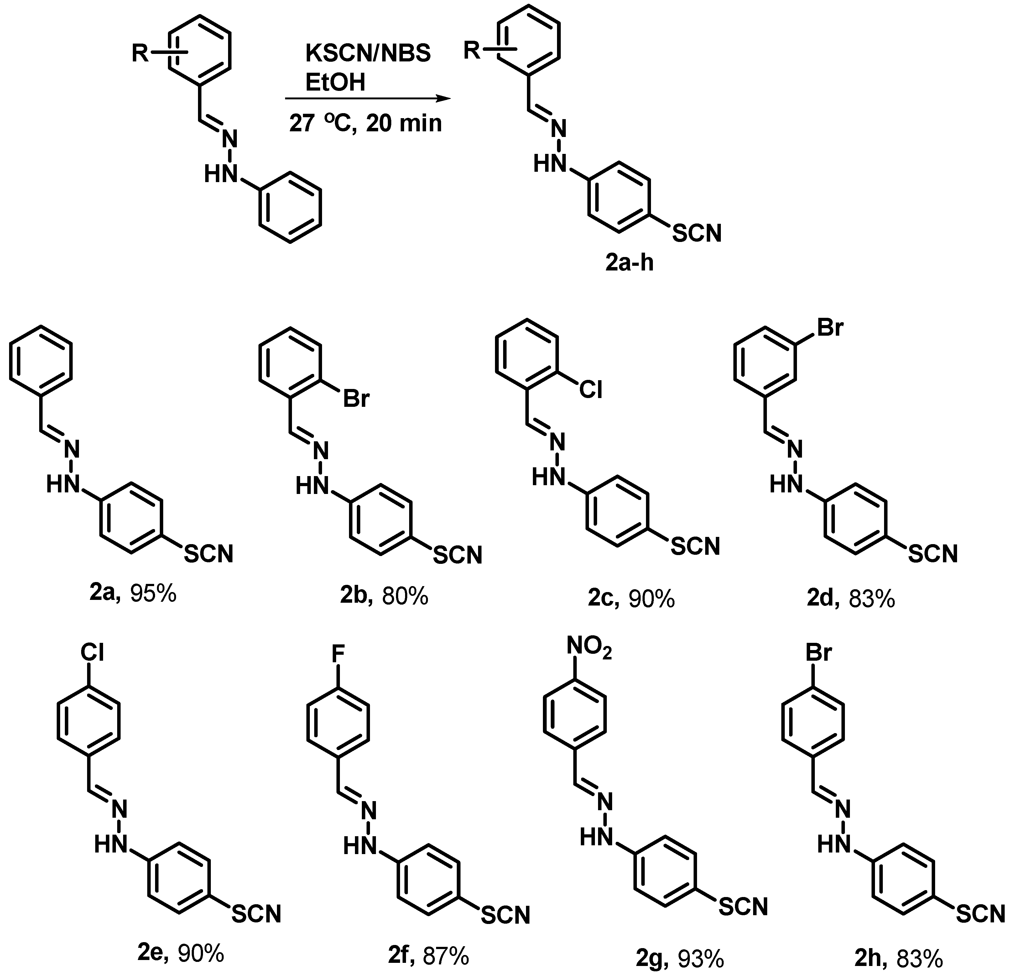
The reaction mechanism involves the initial reaction of N-bromosuccinimide with potassium thiocyanate to produce N-thiocyanatosuccinimide. This intermediate serves as an electrophilic thiocyanate precursor in the reaction. The amino nitrogen facilitates the donation of a lone pair of electrons to the aromatic ring, resulting in the formation of a nucleophile at the para position, and concurrently a positive charge develops on the nitrogen. The nucleophile attacks N-thiocyanatosuccinimide, leading to thiocyanate substitution at the para position while eliminating the succinimide ion. Subsequently, the succinimide ion abstracts the proton at the para position, culminating in the formation of the desired product (Figure 2). To extend the scope of this methodology, we employed substituted aniline derivatives for the reaction with the in situ-generated N-thiocyanatosuccinimide in ethanol at room temperature (27 °C). Interestingly, both electron-donating and electron-withdrawing compounds gave satisfactory results in terms of good yields and a short reaction time. An intriguing observation was made regarding the regioselectivity of the thiocyanation reactions. For ortho- and meta-substituted aromatic compounds, the reaction exclusively occurred at the para position. Conversely, para-substituted compounds resulted in ortho-thiocyanated products (Figure 3). Subsequently, we investigated the reactions of 1-benzylidene-2-phenylhydrazine and its analogues. Thiocyanation of 1-benzylidene-2-phenylhydrazine under the described conditions afforded the desired product, 1-benzylidene-2-(4-thiocyanatophenyl)hydrazine, with an impressive yield of 95%. Various 1-(substituted benzylidene)-2-phenylhydrazine derivatives bearing electron-withdrawing substituents such as bromo, chloro, fluoro, and nitro groups exhibited good yields with high regioselectivity. However, the investigated electron-donating groups did not yield the thiocyanated products (Figure 4). The synthesized compounds were characterized by IR, NMR, and Mass spectrometric techniques, and finally, the structure was convincingly established by single crystal X-ray diffraction analysis of 1l (Figure 5 and Figures S1–S91, Supplementary Materials).
Figure 2.
Suggested reaction mechanism for thiocyanation. Arrows denote the movement of the electrons, and also the transformation of the substrate to the intermediate or product.
Figure 3.
Synthesized substituted thiocyanatoanilines.
Figure 4.
Synthesized 1-(substituted benzylidene)-2-(thiocyanatophenyl)hydrazines.
Figure 5.
ORTEP view of the molecule 1l with atomic labelling (thermal ellipsoids drawn at 50% probability).
Based on the thiocyanation experiments on 1-(substituted benzylidene)-2-(phenyl)hydrazines (Ar-CH=N-NH-Ph), it was obvious that though the substrate has two aryl rings that could undergo thiocyanation, the reaction happens only on the phenyl ring attached to the -NH group. The reason could be attributed to the electron-donating ability of the -NH group, which increases the electron density on the phenyl ring and therefore makes it highly nucleophilic to undergo an electrophilic substitution reaction. In comparison, the aryl ring of the imine is a poorer nucleophile and therefore hesitant to attack the electrophile.
4. Conclusions
In conclusion, we report an efficient, eco-friendly, and experimentally simple method for the selective thiocyanation of substituted anilines and 1-(substituted benzylidene)-2-phenylhydrazines. The protocol, employing NBS and KSCN at room temperature (27 °C), has demonstrated excellent yields across all derivatives, highlighting its practicality and effectiveness. The environment-friendly nature of the protocol for thiocyanation opens up avenues for diverse applications in medicinal chemistry and related fields. The present findings would not only advance the methodology of selective thiocyanation but also pave the way for the development of novel compounds, offering exciting prospects for future research and practical applications.
Supplementary Materials
The following supporting information can be downloaded at: https://www.mdpi.com/article/10.3390/chemistry6030027/s1, Figures S1–S91: 1H and 13C NMR spectra, high-resolution mass spectra of all the synthesized compounds along with IR Spectra of representative compounds, and X-ray diffraction analysis of compound 1l can be found in the Electronic Supplementary Content of this article. Table S1: Crystal data and refinement parameters for compound 1l. Table S2: Non-bonded interactions and possible hydrogen bonds (Å, °) for compound 1 (D-donor; A-acceptor; H-hydrogen).
Author Contributions
A.M.M.M., Experiments; G.K., Compilation; K.S., Reviewing; V.D.R., Analysis; V.A.N., Conceptualization. All authors have read and agreed to the published version of the manuscript.
Funding
Vipin A. Nair acknowledges with gratitude the funding received in the form of a research grant (Grant No. 02/0447/21/EMR-II) from the Human Resource Development Group, Council of Scientific and Industrial Research, Government of India. Khajamohiddin Syed expresses sincere gratitude to the University of Zululand (Grant number P419) for providing financial support. Vaddi Damodara Reddy thanks the University of Zululand, South Africa, for appointing him as a visiting fellow.
Data Availability Statement
The original contributions presented in the study are included in the article/Supplementary Materials, further inquiries can be directed to the corresponding author/s.
Conflicts of Interest
The authors declare no conflicts of interest, either of a financial or personal nature.
References
- Chen, H.; Shi, X.; Liu, X.; Zhao, L. Recent progress of direct thiocyanation reactions. Org. Biomol. Chem. 2022, 20, 6508–6527. [Google Scholar] [CrossRef] [PubMed]
- Gao, M.; Vuagnat, M.; Chen, M.Y.; Pannecoucke, X.; Jubault, P.; Besset, T. Design and use of electrophilic thiocyanating and selenocyanating reagents: A new trend for the construction of SCN-and SeCN-containing ompounds. Chem. Eur. J. 2021, 27, 6145–6160. [Google Scholar] [CrossRef] [PubMed]
- Kelly, T.R.; Kim, M.H.; Curtis, A.D. Structure correction and synthesis of the naturally occurring benzothiazinone BMY 40662. J. Org. Chem. 1993, 58, 5855–5857. [Google Scholar] [CrossRef]
- Johnson, T.B.; Douglass, I.B. The action of chlorine on thiocyanates. J. Am. Chem. Soc. 1939, 61, 2548–2550. [Google Scholar] [CrossRef]
- Castanheiro, T.; Suffert, J.; Donnard, M.; Gulea, M. Recent advances in the chemistry of organic thiocyanates. Chem. Soc. Rev. 2016, 45, 494–505. [Google Scholar] [CrossRef] [PubMed]
- Potash, S.; Rozen, S. A new synthesis of trifluoromethyl sulfides utilizing thiocyanates and fluoroform. J. Fluor. Chem. 2014, 168, 172–176. [Google Scholar] [CrossRef]
- Bayarmagnai, B.; Matheis, C.; Jouvin, K.; Goossen, L.J. Synthesis of difluoromethyl thioethers from difluoromethyl trimethylsilane and organothiocyanates generated in situ. Angew. Chem. Int. Ed. Engl. 2015, 4, 5753–5756. [Google Scholar] [CrossRef] [PubMed]
- Lu, X.; Wang, H.; Gao, R.; Sun, D.; Bi, X. Microwave-assisted synthesis of asymmetric disulfides. RSC Adv. 2014, 4, 28794–28797. [Google Scholar] [CrossRef]
- Renard, P.Y.; Schwebel, H.; Vayron, P.; Josien, L.; Valleix, A.; Mioskowski, C. Easy access to phosphonothioates. Chem. Eur. J. 2002, 8, 2910–2916. [Google Scholar] [CrossRef]
- Erian, A.W.; Sherif, S.M. The chemistry of thiocyanic esters. Tetrahedron 1999, 55, 7957–8027. [Google Scholar] [CrossRef]
- Patai, S. Chemistry of Cyanates and Their Thio Derivatives; John Wiley & Sons Ltd.: Hoboken, NJ, USA, 1977; ISBN 978-0471994251. [Google Scholar]
- He, H.Y.; Faulkner, D.J.; Shumsky, J.S.; Hong, K.; Clardy, J. A sesquiterpene thiocyanate and three sesquiterpene isothiocyanates from the sponge Trachyopsis aplysinoides. J. Org. Chem. 1989, 54, 2511–2514. [Google Scholar] [CrossRef]
- Burreson, B.J.; Scheuer, P.J.; Finer, J.; Clardy, J. 9-Isocyanopupukeanane, a marine invertebrate allomone with a new sesquiterpene skeleton. J. Am. Chem. Soc. 1975, 97, 4763–4764. [Google Scholar] [CrossRef]
- Patil, A.D.; Freyer, A.J.; Reichwein, R.; Carte, B.; Killmer, L.B.; Faucette, L.; Johnson, R.K.; Faulkner, D.J. Fasicularin, a novel tricyclic alkaloid from the ascidian Nephteis fasicularis with selective activity against a DNA repair-deficient organism. Tetrahedron Lett. 1997, 38, 363–364. [Google Scholar] [CrossRef]
- Jiménez, C.; Crews, P. Novel marine sponge derived amino acids 13. Additional psammaplin derivatives from Psammaplysilla purpurea. Tetrahedron 1991, 47, 2097–2102. [Google Scholar] [CrossRef]
- Prawat, H.; Mahidol, C.; Kaweetripob, W.; Prachyawarakorn, V.; Tuntiwachwuttikul, P.; Ruchirawat, S. Sesquiterpene isocyanides, isothiocyanates, thiocyanates, and formamides from the Thai sponge Halichondria sp. Tetrahedron 2016, 72, 4222–4229. [Google Scholar] [CrossRef]
- Capon, R.J.; Skene, C.; Liu, E.H.T.; Lacey, E.; Gill, J.H.; Heiland, K.; Friedel, T. The isolation and synthesis of novel nematocidal dithiocyanates from an Australian marine sponge, Oceanapia sp. J. Org. Chem. 2001, 66, 7765–7769. [Google Scholar] [CrossRef] [PubMed]
- Szajnman, S.H.; Yan, W.; Bailey, B.N.; Docampo, R.; Elhalem, E.; Rodriguez, J.B. Design and synthesis of aryloxyethyl thiocyanate derivatives as potent inhibitors of Trypanosoma cruzi proliferation. J. Med. Chem. 2000, 43, 1826–1840. [Google Scholar] [CrossRef] [PubMed]
- Abreu, M.E.; Rzeszotarski, W.; Kyle, D.J.; Hiner, R. Preparation of Oxopyrazolinyl Thiocyanate and bis(Oxopyrazolinyl) Disulfides as Corticotropin-Releasing Factor Antagonist. U.S. Patent 5063245 A, 5 November 1991. [Google Scholar]
- Wössner, N.; Alhalabi, Z.; González, J.; Swyter, S.; Gan, J.; Schmidtkunz, K.; Zhang, L.; Vaquero, A.; Ovaa, H.; Einsle, O.; et al. Sirtuin 1 inhibiting thiocyanates (S1th)-a new class of isotype selective inhibitors of NAD+ dependent lysine deacetylases. Front. Oncol. 2020, 10, 657–671. [Google Scholar] [CrossRef] [PubMed]
- Laali, K.K.; Greves, W.J.; Zwarycz, A.T.; Correa Smits, S.J.; Troendle, F.J.; Borosky, G.L.; Akhtar, S.; Manna, A.; Paulus, A.; Chanan-Khan, A.; et al. Synthesis, computational docking study, and biological evaluation of a library of heterocyclic curcuminoids with remarkable antitumor activity. ChemMedChem 2018, 13, 1895–1908. [Google Scholar] [CrossRef] [PubMed]
- Cho, C.C.; Li, S.G.; Lalonde, T.J.; Yang, K.S.; Yu, G.; Qiao, Y.; Xu, S.; Liu, W.R. Drug repurposing for the SARS-CoV-2 papain-like protease. ChemMedChem 2022, 17, e202100455. [Google Scholar] [CrossRef] [PubMed]
- Chakrabarty, M.; Sarkar, S. A clay-mediated eco-friendly thiocyanation of indoles and carbazoles. Tetrahedron Lett. 2003, 44, 8131–8133. [Google Scholar] [CrossRef]
- Iranpoor, N.; Firouzabadi, H.; Azadi, R. A new diphenylphosphinite ionic liquid (IL-OPPh2) as reagent and solvent for highly selective bromination, thiocyanation or isothiocyanation of alcohols and trimethylsilyl and tetrahydropyranyl ethers. Tetrahedron Lett. 2006, 47, 5531–5534. [Google Scholar] [CrossRef]
- Kumar, A.; Ahamd, P.; Maurya, R.A. Direct α-thiocyanation of carbonyl and β-dicarbonyl compounds using potassium peroxydisulfate–copper (II). Tetrahedron Lett. 2007, 48, 1399–1401. [Google Scholar] [CrossRef]
- Gitkis, A.; Becker, J.Y. Anodic thiocyanation of mono- and disubstituted aromatic compounds. Electrochim. Acta. 2010, 55, 5854–5859. [Google Scholar] [CrossRef]
- Yadav, J.S.; Reddy, B.V.S.; Krishna, B.B.M. IBX: A novel and versatile oxidant for electrophilic thiocyanation of indoles, pyrrole and arylamines. Synthesis 2008, 23, 3779–3782. [Google Scholar] [CrossRef]
- Das, B.; Kumar, A.S. Efficient thiocyanation of indoles using para-toluene sulfonic acid. Synth. Commun. 2010, 40, 337–341. [Google Scholar] [CrossRef]
- Ichake, S.S.; Rajawinslin, R.R.; Kavala, V.; Villuri, B.K.; Yang, H.-T.; Kuo, C.-W.; Yao, C.-F. N-bromosuccinide-mediated thiocyanation of cyclohexene-fused isooxazoline N-oxides. Asian J. Org. Chem. 2016, 5, 343–352. [Google Scholar] [CrossRef]
- Akhlaghinia, B.; Pourali, A.R.; Rahmani, M. Efficient and novel method for thiocyanation of aromatic compounds using trichloroisocyanuric acid/ammonium thiocyanate/wet SiO2. Synth. Commun. 2012, 42, 1184–1191. [Google Scholar] [CrossRef]
- Nair, V.; George, T.G.; Nair, L.G.; Panicker, S.B. A direct synthesis of aryl thiocyanates using cerium(IV) ammonium nitrate. Tetrahedron Lett. 1999, 40, 1195–1196. [Google Scholar] [CrossRef]
- Yadav, J.S.; Reddy, B.V.S.; Shubashree, S.; Sadashiv, K. Iodine/MeOH: A novel and efficient reagent system for thiocyanation of aromatics and heteroaromatics. Tetrahedron Lett. 2004, 45, 2951–2954. [Google Scholar] [CrossRef]
- Jadhav, V.K.; Pal, R.R.; Wadgaonkar, P.P.; Salunkhe, M.M. A facile synthesis of aryl thiocyanates using sodium perborate. Synth. Commun. 2001, 31, 3041–3045. [Google Scholar] [CrossRef]
- Wu, G.; Liu, Q.; Shen, Y.; Wu, W.; Wu, L. Regioselective thiocyanation of aromatic and heteroaromatic compounds using ammonium thiocyanate and oxone. Tetrahedron Lett. 2005, 46, 5831–5834. [Google Scholar] [CrossRef]
- Pan, X.Q.; Lei, M.Y.; Zou, J.P.; Zhang, W. Mn(OAc)3-promoted regioselective free radical thiocyanation of indoles and anilines. Tetrahedron Lett. 2009, 50, 347–349. [Google Scholar] [CrossRef]
- Iranpoor, N.; Firouzabadi, H.; Khalili, D.; Shahin, R. A new application for diethyl azodicarboxylate: Efficient and regioselective thiocyanation of aromatics amines. Tetrahedron Lett. 2010, 51, 3508–3510. [Google Scholar] [CrossRef]
- Yadav, J.S.; Reddy, B.V.S.; Krishna, A.D.; Reddy, C.S.; Narsaiah, A.V. Ferric(III) chloride-promoted electrophilic thiocyanation of aromatic and heteroaromatic compounds. Synthesis 2005, 2, 961–964. [Google Scholar] [CrossRef]
- Murthy, Y.L.N.; Govindh, B.; Diwakar, B.S.; Nagalakshmi, K.; Venu, R. Microwave-assisted neat reaction technology for regioselective thiocyanation of substituted anilines and indoles in solid media. J. Iran. Chem. Soc. 2011, 8, 292–297. [Google Scholar] [CrossRef]
- Memarian, H.R.; Mohammadpoor-Baltork, I.; Nikoofar, K. DDQ-promoted thiocyanation of aromatic and heteroaromatic compounds. Can. J. Chem. 2007, 85, 930–937. [Google Scholar] [CrossRef]
- Wu, J.; Wu, G.; Wu, L. Thiocyanation of aromatic and heteroaromatic compounds using ammonium thiocyanate and I2O5. Synth. Commun. 2008, 38, 2367–2373. [Google Scholar] [CrossRef]
- Mahajan, U.S.; Akamanchi, K.G. Facile method for thiocyanation of activated arenes using iodic acid in combination with ammonium thiocyanate. Synth. Commun. 2009, 39, 2674–2682. [Google Scholar] [CrossRef]
- Khazaei, A.; Zolfigol, M.A.; Mokhlesi, M.; Panah, F.D.; Sajjadifar, S. Simple and highly efficient catalytic thiocyanation of aromatic compounds in aqueous media. Helv. Chim. Acta 2012, 95, 106–114. [Google Scholar] [CrossRef]
- Prakash, O.; Kaur, H.; Pundeer, R.; Dhillon, R.S.; Singh, S.P. An improved iodine(III) mediated method for thiocyanation of 2-arylindan-1,3-diones, phenols, and anilines. Synth. Commun. 2003, 33, 4037–4042. [Google Scholar] [CrossRef]
- Toste, F.D.; Stefano, V.D.; Still, I.W. A versatile procedure for the preparation of aryl thiocyanates using N-thiocyanatosuccinimide (NTS). Synth. Commun. 1995, 25, 1277–1286. [Google Scholar] [CrossRef]
- Bruker. SMART, SAINT-Plus, SADABS; Bruker Axs Inc.: Madison, WI, USA, 1998. [Google Scholar]
- Sheldrick, G.M. A short history of SHELX. Acta Cryst. 2008, 64, 112–122. [Google Scholar] [CrossRef] [PubMed]
- Nardelli, M. Ring asymmetry parameters from out-of-plane atomic displacements. Acta Cryst. 1983, 39, 1141–1412. [Google Scholar] [CrossRef]
- Farrugia, L.J.J. ORTEP-3 for Windows-a version of ORTEP-III with a Graphical User Interface (GUI). Appl. Cryst. 1997, 30, 565. [Google Scholar] [CrossRef]
- Spek, A.L. Structure validation in chemical crystallography. Acta Cryst. 2009, 65, 148–155. [Google Scholar] [CrossRef] [PubMed]
- Watkin, D.J.; Prout, C.K.; Pearce, L.J. CAMERON; Chemical Crystallography Laboratory, University of Oxford: Oxford, UK, 1996. [Google Scholar]
- Brandenburg, K.; Putz, H. Crystal Impact; GbR: Bonn, Germany, 2005. [Google Scholar]
Disclaimer/Publisher’s Note: The statements, opinions and data contained in all publications are solely those of the individual author(s) and contributor(s) and not of MDPI and/or the editor(s). MDPI and/or the editor(s) disclaim responsibility for any injury to people or property resulting from any ideas, methods, instructions or products referred to in the content. |
© 2024 by the authors. Licensee MDPI, Basel, Switzerland. This article is an open access article distributed under the terms and conditions of the Creative Commons Attribution (CC BY) license (https://creativecommons.org/licenses/by/4.0/).





