Assessment of Physicochemical Properties of Cashew Apple Through Computer Vision
Abstract
1. Introduction
2. Material and Methods
2.1. Samples Description
2.2. Wet Chemistry
2.3. Computer Vision Methodology
2.3.1. Image Acquisition
2.3.2. Image Preprocessing
2.3.3. Image-Based Parameters
- (i)
- Color-based analysis
- (ii)
- Surface morphology—waveness and roughness
- (iii)
- Gray level co-occurrence matrix (GLCM) method
- (iv)
- Local binary pattern (LBP) method
- (v)
- Color-based indices (CBI)
2.3.4. The Plugins Input Panel
2.3.5. The Cashew Apples and Slices Analysis Plugin
2.4. Data Analysis for Predicting the Wet Chemistry from Image-Based Parameters
2.4.1. Correlation Analysis and Visualization
2.4.2. Range and Ranking of Correlation Coefficients
2.4.3. Wet Chemistry Prediction Models Development
2.4.4. Wet Chemistry Prediction and Validation
3. Results and Discussion
3.1. Results: Variation in Wet Chemistry Results Within Samples and Varieties
3.2. Independent Image-Based Variables Considered for Analysis
3.3. Plugin Input Variables Combination Selection
3.4. Visualizing Correlation—Correlation Diagram and Absolute Correlation Coefficients
3.4.1. Interrelationships Among Wet Chemistry Parameters
3.4.2. Correlation Between Wet Chemistry and Image-Based Parameters
3.5. Correlation Analysis of Wet Chemistry and Image-Based Parameters—Value Ranges
3.6. Top Ranking Image-Based Parameters Correlation Coefficients
3.7. Wet Chemistry Physicochemical Properties Prediction Model Development
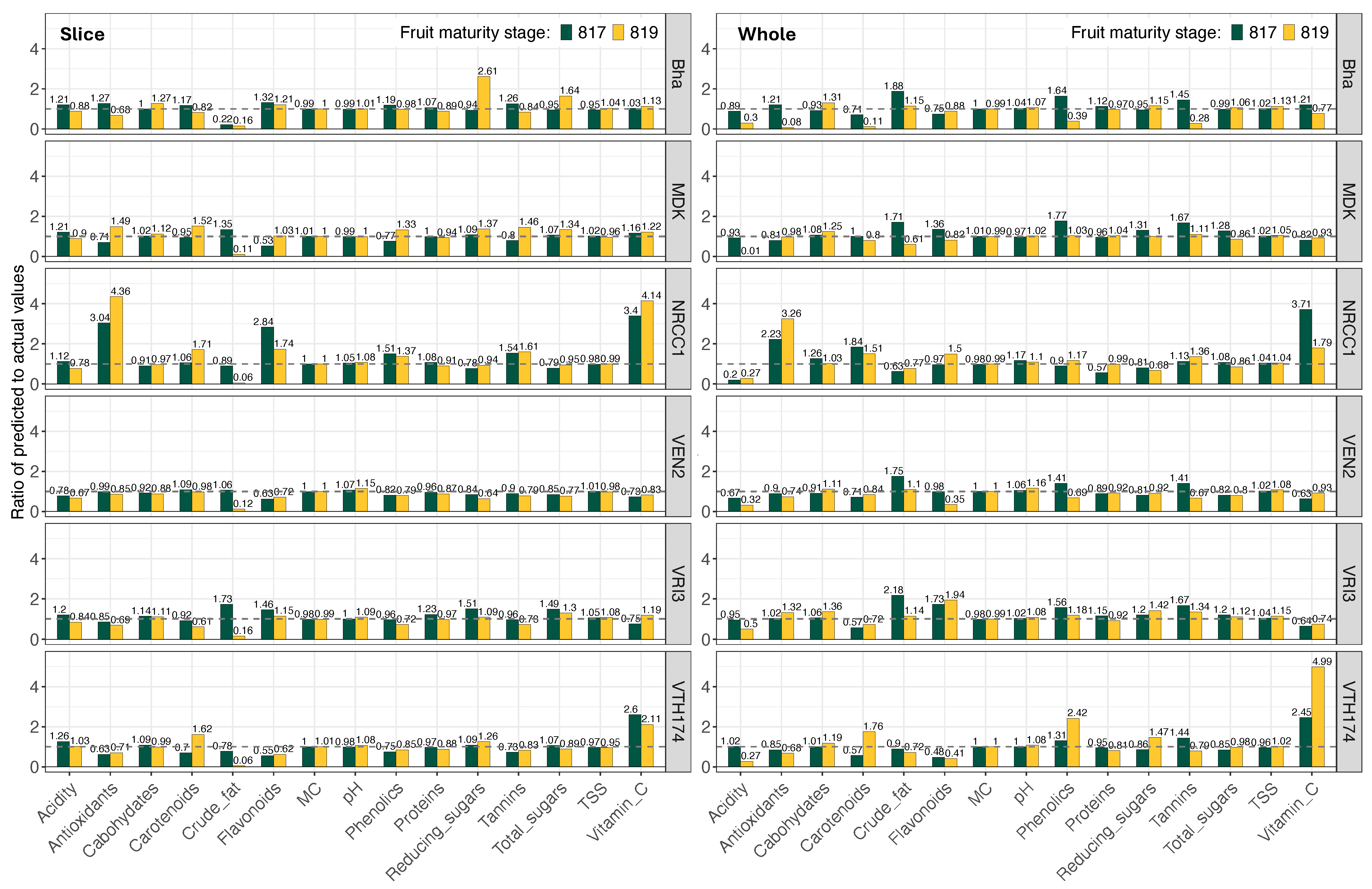
3.8. Wet Chemistry Physicochemical Properties Prediction Models Validation
3.9. Study’s Limitations and Suggestions for Future Work
4. Conclusions
Author Contributions
Funding
Institutional Review Board Statement
Informed Consent Statement
Data Availability Statement
Acknowledgments
Conflicts of Interest
Appendix A
Appendix A.1. Physicochemical Properties
Appendix A.1.1. Moisture, Protein, and Fat
Appendix A.1.2. Total Soluble Solids, pH, and Titratable Acidity Determination
Appendix A.1.3. Total Carbohydrate
Appendix A.1.4. Total Sugar
Appendix A.1.5. Reducing Sugar
Appendix A.1.6. Vitamin C (Ascorbic Acid) Estimation
Appendix A.2. Biochemical Properties
Appendix A.2.1. Total Phenolic Content (TPC)
Appendix A.2.2. Total Flavonoids Content (TFC)
Appendix A.2.3. Antioxidant Activity Using DPPH Assay
Appendix A.2.4. Tannin Content
Appendix A.2.5. Carotene Estimation
References
- Maciel, M.L.; Hansen, T.J.; Aldinger, S.B.; Labows, J.N. Flavor chemistry of cashew apple juice. J. Agric. Food Chem. 1986, 34, 923–927. [Google Scholar] [CrossRef]
- Das, I.; Arora, A. Post-harvest processing technology for cashew apple—A review. J. Food Eng. 2017, 194, 87–98. [Google Scholar] [CrossRef]
- Pushpalatha, P.; Sobhana, A.; Mini, C. Processing and product diversification in cashew apple. In Advances in Cashew Production Technology; Indian Council of Agricultural Research: New Delhi, India, 2015; pp. 109–116. [Google Scholar]
- Sri Lakshmi, C.; Prema, A. Resource-use efficiency in raw cashew nut production in Kerala, India. Asian J. Agric. Ext. Econ. Sociol. 2025, 43, 92–98. [Google Scholar]
- FAOSTAT. Food and Agriculture Organization of the United Nations—FAOSTAT. Crops and Livestock Database. 2025. Available online: https://www.fao.org/faostat/en/#data/QCL (accessed on 23 November 2025).
- Ganesh, S.; Kannan, M.; Jawaharlal, M. Cashew Industry—An outlook. Acta Hortic. 2015, 1080, 89–95. [Google Scholar] [CrossRef]
- Anoopkumar, A.; Gopinath, C.; Annadurai, S.; Abdullah, S.; Tarafdar, A.; Hazeena, S.H.; Rajasekharan, R.; Kuriakose, L.L.; Aneesh, E.M.; de Souza Vandenberghe, L.P.; et al. Biotechnological valorisation of cashew apple: Prospects and challenges in synthesising wide spectrum of products with market value. Bioresour. Technol. Rep. 2024, 25, 101742. [Google Scholar] [CrossRef]
- Gnagne, A.A.G.B.; Soro, D.; Ouattara, Y.; Koui, E.; Koffi, E. A literature review of cashew apple processing. Afr. J. Food Agric. Nutr. Dev. 2023, 23, 22452–22469. [Google Scholar] [CrossRef]
- Trevisan, M.; Pfundstein, B.; Haubner, R.; Würtele, G.; Spiegelhalder, B.; Bartsch, H.; Owen, R. Characterization of alkyl phenols in cashew (Anacardium occidentale) products and assay of their antioxidant capacity. Food Chem. Toxicol. 2006, 44, 188–197. [Google Scholar] [CrossRef]
- Honorato, T.L.; Rabelo, M.C.; Gonçalves, L.R.B.; Pinto, G.A.S.; Rodrigues, S. Fermentation of cashew apple juice to produce high added value products. World J. Microbiol. Biotechnol. 2007, 23, 1409–1415. [Google Scholar] [CrossRef]
- dos Santos Lima, F.C.; da Silva, F.L.H.; Gomes, J.P.; da Silva Neto, J.M. Chemical composition of the cashew apple bagasse and potential use for ethanol production. Adv. Chem. Eng. Sci. 2012, 2, 519–523. [Google Scholar] [CrossRef]
- Dedehou, E.; Dossou, J.; Anihouvi, V.; Soumanou, M.M. A review of cashew (Anacardium occidentale L.) apple: Effects of processing techniques, properties and quality of juice. Afr. J. Biotechnol. 2016, 15, 2637–2648. [Google Scholar]
- Pascal, A.D.C.; Virginie, G.; Diane, B.F.T.; Estelle, K.R.; Félicien, A.; Valentin, W.D.; Dominique, S.K.C. Nutritional profile and chemical composition of juices of two cashew apple’s varieties of Benin. Chem. J. 2018, 4, 91–96. [Google Scholar]
- Reina, L.J.C.; Durán-Aranguren, D.D.; Forero-Rojas, L.F.; Tarapuez-Viveros, L.F.; Durán-Sequeda, D.; Carazzone, C.; Sierra, R. Chemical composition and bioactive compounds of cashew (Anacardium occidentale) apple juice and bagasse from Colombian varieties. Heliyon 2022, 8, e09528. [Google Scholar] [CrossRef] [PubMed]
- Akyereko, Y.G.; Yeboah, G.B.; Wireko-Manu, F.D.; Alemawor, F.; Mills-Robertson, F.; Odoom, W. Nutritional value and health benefits of cashew apple. JSFA Rep. 2023, 3, 110–118. [Google Scholar] [CrossRef]
- Prasertsri, P.; Roengrit, T.; Kanpetta, Y.; Tong-Un, T.; Muchimapura, S.; Wattanathorn, J.; Leelayuwat, N. Cashew apple juice supplementation enhanced fat utilization during high-intensity exercise in trained and untrained men. J. Int. Soc. Sport. Nutr. 2013, 10, 13. [Google Scholar] [CrossRef]
- Aidoo, R.; Kwofie, E.M.; Ngadi, M.O. Circularity of cashew apples: Examining the product-process pathways, techno-functional, nutritional/phytomolecular qualities for food applications. ACS Food Sci. Technol. 2022, 2, 1051–1066. [Google Scholar] [CrossRef]
- da Silveira Vasconcelos, M.; Gomes-Rochette, N.F.; de Oliveira, M.L.M.; Nunes-Pinheiro, D.C.S.; Tome, A.R.; Maia de Sousa, F.Y.; Pinheiro, F.G.M.; Moura, C.F.H.; Miranda, M.R.A.; Mota, E.F.; et al. Anti-inflammatory and wound healing potential of cashew apple juice (Anacardium occidentale L.) in mice. Exp. Biol. Med. 2015, 240, 1648–1655. [Google Scholar] [CrossRef]
- Salehi, B.; Gültekin-Özgüven, M.; Kirkin, C.; Özçelik, B.; Morais-Braga, M.F.B.; Carneiro, J.N.P.; Bezerra, C.F.; Silva, T.G.d.; Coutinho, H.D.M.; Amina, B.; et al. Antioxidant, antimicrobial, and anticancer effects of anacardium plants: An ethnopharmacological perspective. Front. Endocrinol. 2020, 11, 295. [Google Scholar] [CrossRef]
- Attri, B. Effect of initial sugar concentration on the physico-chemical characteristics and sensory qualities of cashew apple wine. Nat. Prod. Radiance 2009, 8, 374–379. [Google Scholar]
- Kouassi, E.K.A.; Soro, Y.; Vaca-Garcia, C.; Yao, K.B. Chemical composition and specific lipids profile of the cashew apple bagasse. Rasayan J. Chem. 2018, 11, 386–391. [Google Scholar]
- Okpanachi, U.; Attah, S.; Shaahu, D. A comparative study between vitamins and amino acid profile of sun-dried red and yellow cashew pulp. Int. J. Anim. Biol. 2015, 1, 23. [Google Scholar]
- Runjala, S.; Kella, L. Cashew apple (Anacardium occidentale L.) therapeutic benefits, processing and product development: An overview. Pharma Innov. 2017, 6, 260. [Google Scholar]
- Sivaprakasam, S.; Chinnaiyan, U.; Varatharajan, S.; Uthayasuryan, E.; Chandrasekaran, M.; Paramasivam, S.; Ramasamy, P. Unveiling the physicochemical attributes and antioxidant potential of cashew apple juice varieties. Appl. Fruit Sci. 2025, 67, 74. [Google Scholar] [CrossRef]
- Kiatti, D.d.; Serrapica, F.; Musco, N.; Di Palo, R.; Calabrò, S. Potential use of tropical and subtropical fruits by-products in pig diet: In vitro two-step evaluation. Animals 2025, 15, 1454. [Google Scholar] [CrossRef] [PubMed]
- Preethi, P.; Rajkumar, A.; Shamsudheen, M.; Nayak, M. Prospects of Cashew Apple—A Compilation Report; Technical Bulletin; ICAR-Directorate of Cashew Research Puttur: Karnataka, India, 2019; Volume 2, pp. 1–28. [Google Scholar]
- Codjia, F.S.; Dabadé, D.S.; Agbobatinkpo, P.; Collombel, I.; Achir, N.; Azokpota, P.; Dossou, J. Fermented cashew apple beverages: Current state of knowledge and prospects. Beverages 2025, 11, 49. [Google Scholar] [CrossRef]
- Mtashobya, L.A.; Mgeni, S.T.; Emmanuel, J.K. Potential contributions of cashew apple juice to nutrition, medicine and bioethanol generation: An outlook. Nat. Prod. Commun. 2025, 20, 1934578X251357414. [Google Scholar] [CrossRef]
- Levy, H.M.; Rodrigues, T.H.S.; de Albuquerque, T.L.; Sant’Ana, H.B.; Feitosa, F.X.; Rocha, M.V.P. Biosynthesis of biolubricant catalyzed by lipase B from Candida antarctica immobilized on nanocomposite of cashew apple bagasse lignin. Renew. Energ. 2025, 243, 122452. [Google Scholar] [CrossRef]
- Osei, E.D.; Amotoe-Bondzie, A.; Ataa Pokuah, A.; Laar, W.S.; Afoakwah, N.A.; Ivanišová, E. Cashew apple pomace: Chemical composition and applications in functional food product development—A review. Food Sci. Nutr. 2025, 13, e70185. [Google Scholar] [CrossRef]
- Aluko, A.; Makule, E.; Kassim, N. Effect of clarification on physicochemical properties and nutrient retention of pressed and blended cashew apple juice. Food Sci. Nutr. 2023, 11, 1891–1903. [Google Scholar] [CrossRef]
- Ogunjobi, M.; Ogunwolu, S. Physicochemical and sensory properties of cassava flour biscuits supplemented with cashew apple powder. J. Food Technol. 2010, 8, 24–29. [Google Scholar]
- Mohammadzadeh, Z.; Shojaeiyan, A.; Mahfeli, M.; Ayyari, M.; Tohidfar, M.; Mokhtassi-Bidgoli, A.; Atighi, M.R. Predictive modeling of CIELAB color parameters in okra accessions based on phytochemical composition and antioxidant activity: A non-destructive ImageJ and RSM approach. LWT—Food Sci. Technol. 2025, 228, 118080. [Google Scholar] [CrossRef]
- Sun, Z.; Tian, H.; Hu, D.; Yang, J.; Xie, L.; Xu, H.; Ying, Y. Integrating deep learning and data fusion for enhanced oranges soluble solids content prediction using machine vision and Vis/NIR spectroscopy. Food Chem. 2025, 464, 141488. [Google Scholar] [CrossRef]
- Wang, X.; Feng, Y.; Wang, Y.; Zhu, H.; Song, D.; Shen, C.; Luo, Y. Enhancing optical non-destructive methods for food quality and safety assessments with machine learning techniques: A survey. J. Agric. Food Res. 2025, 19, 101734. [Google Scholar] [CrossRef]
- Jinorose, M.; Prachayawarakorn, S.; Soponronnarit, S. A novel image-analysis based approach to evaluate some physicochemical and cooking properties of rice kernels. J. Food Eng. 2014, 124, 184–190. [Google Scholar] [CrossRef]
- Wu, X.; Wu, K.; Xu, D.; Ren, D. Investigation into the biochemical properties of loquat fruits and their optical properties of hyperspectral imaging spectral correlation during the progression of postharvest fungal infection. Food Chem. 2025, 487, 144688. [Google Scholar] [CrossRef] [PubMed]
- Cheng, X.; Zhou, Y.; Huo, Z.; Li, R.; Xu, S.; Qi, H.; Zhu, J.; Wang, F.; Bi, Y. Predicting postharvest weight loss and texture changes in table grapes using fruit color and machine learning. J. Future Foods 2025, 12, 100703. [Google Scholar] [CrossRef]
- Sabzi, S.; Nadimi, M.; Abbaspour-Gilandeh, Y.; Paliwal, J. Non-destructive estimation of physicochemical properties and detection of ripeness level of apples using machine vision. Int. J. Fruit Sci. 2022, 22, 628–645. [Google Scholar] [CrossRef]
- Adiga, J.D.; Muralidhara, B.M.; Preethi, P.; Savadi, S. Phenological growth stages of the cashew tree (Anacardium occidentale L.) according to the extended BBCH scale. Ann. Appl. Biol. 2019, 175, 246–252. [Google Scholar] [CrossRef]
- Gupta, M.J.; Nishad, J.; Igathinathane, C. Assessment of physicochemical properties of cashew apple through computer vision—Original images, data, and R script. Mendeley Data, Version 1; Elsevier Inc.: London, UK, 2025. [Google Scholar] [CrossRef]
- Pawlus, P.; Reizer, R.; Wieczorowski, M. Functional importance of surface texture parameters. Materials 2021, 14, 5326. [Google Scholar] [CrossRef]
- Chinga, G. Waveness Roughness. In ImageJ Plugins; 2018. Available online: https://imagej.net/ij/plugins/waveness-roughness.html (accessed on 23 November 2025).
- Haralick, R.M.; Shanmugam, K. Computer classification of reservoir sandstones. IEEE Trans. Geosci. Electron. 1973, 11, 171–177. [Google Scholar] [CrossRef]
- Mohanaiah, P.; Sathyanarayana, P.; GuruKumar, L. Image texture feature extraction using GLCM approach. Int. J. Sci. Res. Publ. 2013, 3, 1–5. [Google Scholar]
- Song, Y.; Sa, J.; Luo, Y.; Zhang, Z. A comprehensively improved local binary pattern framework for texture classification. Multimed. Tools Appl. 2025, 84, 22043–22068. [Google Scholar] [CrossRef]
- Woebbecke, D.M.; Meyer, G.E.; Von Bargen, K.; Mortensen, D.A. Color indices for weed identification under various soil, residue, and lighting conditions. Trans. ASAE 1995, 38, 259–269. [Google Scholar] [CrossRef]
- Bendig, J.; Yu, K.; Aasen, H.; Bolten, A.; Bennertz, S.; Broscheit, J.; Gnyp, M.L.; Bareth, G. Combining UAV-based plant height from crop surface models, visible, and near infrared vegetation indices for biomass monitoring in barley. Int. J. Appl. Earth Obs. 2015, 39, 79–87. [Google Scholar] [CrossRef]
- Yuan, H.; Zhang, J.; Zhang, H.; Xu, W.; Peng, J.; Wang, X.; Chen, P.; Li, P.; Lu, F.; Yan, J.; et al. Monitoring autumn phenology in understory plants with a fine-resolution camera. Remote Sens. 2025, 17, 1025. [Google Scholar] [CrossRef]
- Li, J.; Wu, W.; Zhao, C.; Bai, X.; Dong, L.; Tan, Y.; Yusup, M.; Akelebai, G.; Dong, H.; Zhi, J. Effects of solar elevation angle on the visible light vegetation index of a cotton field when extracted from the UAV. Sci. Rep. 2025, 15, 18497. [Google Scholar] [CrossRef]
- Beniaich, A.; Silva, M.L.N.; Avalos, F.A.P.; de Menezes, M.D.; Cândido, B.M. Determination of vegetation cover index under different soil management systems of cover plants by using an unmanned aerial vehicle with an onboard digital photographic camera. Semin. Ciências Agrárias 2019, 40, 49–66. [Google Scholar] [CrossRef]
- Ju, Z.; Liu, C.; Yuan, Y.; Wang, Y.; Liu, G. Coloration potential, anthocyanin accumulation, and enzyme activity in fruit of commercial apple cultivars and their F1 progeny. Sci. Hortic. 1999, 79, 39–50. [Google Scholar] [CrossRef]
- Guijarro, M.; Pajares, G.; Riomoros, I.; Herrera, P.; Burgos-Artizzu, X.; Ribeiro, A. Automatic segmentation of relevant textures in agricultural images. Comput. Electron. Agr. 2011, 75, 75–83. [Google Scholar] [CrossRef]
- Banerjee, K.; Dutta, S.; Das, B.; Roy, D.; Sen, S.; Mandal, B.P.; Chatterjee, A. Crop type discrimination through low cost proximal RGB imaging and multivariate analysis. Arab. J. Geosci. 2025, 18, 31. [Google Scholar] [CrossRef]
- Meyer, G.E.; Neto, J.C. Verification of color vegetation indices for automated crop imaging applications. Comput. Electron. Agr. 2008, 63, 282–293. [Google Scholar] [CrossRef]
- Strati, V.; Albéri, M.; Barbagli, A.; Boncompagni, S.; Casoli, L.; Chiarelli, E.; Colla, R.; Colonna, T.; Elek, N.I.; Galli, G.; et al. Advancing grapevine disease detection through airborne imaging: A pilot study in Emilia-Romagna (Italy). Remote Sens. 2025, 17, 2465. [Google Scholar] [CrossRef]
- Jiménez-Muñoz, J.C.; Sobrino, J.A.; Plaza, A.; Guanter, L.; Moreno, J.; Martínez, P. Comparison between fractional vegetation cover retrievals from vegetation indices and spectral mixture analysis: Case study of PROBA/CHRIS data over an agricultural area. Sensors 2009, 9, 768–793. [Google Scholar] [CrossRef]
- Woebbecke, D.M.; Meyer, G.E.; Von Bargen, K.; Mortensen, D.A. Plant species identification, size, and enumeration using machine vision techniques on near-binary images. In Proceedings of the Optics in Agriculture and Forestry; SPIE: St Bellingham, WA, USA, 1993; Volume 1836, pp. 208–219. [Google Scholar]
- Hussain, S.; Teshome, F.T.; Tulu, B.B.; Awoke, G.W.; Hailegnaw, N.S.; Bayabil, H.K. Leaf area index (LAI) prediction using machine learning and UAV based vegetation indices. Eur. J. Agron. 2025, 168, 127557. [Google Scholar] [CrossRef]
- Ritchie, G.; Sullivan, D.; Vencill, W.; Bednarz, C.; Hook, J. Sensitivities of normalized difference vegetation index and a green/red ratio index to cotton ground cover fraction. Crop Sci. 2010, 50, 1000–1010. [Google Scholar] [CrossRef]
- Aynalem, H.M.; Righetti, T.L.; Reed, B.M. Non-destructive evaluation of in vitro-stored plants: A comparison of visual and image analysis. Vitr. Cell. Dev. Biol. Plant 2006, 42, 562–567. [Google Scholar] [CrossRef]
- Gamon, J.A.; Surfus, J.S. Assessing leaf pigment content and activity with a reflectometer. New Phytol. 1999, 143, 105–117. [Google Scholar] [CrossRef]
- Gitelson, A.A.; Kaufman, Y.J.; Stark, R.; Rundquist, D. Novel algorithms for remote estimation of vegetation fraction. Remote Sens. Environ. 2002, 80, 76–87. [Google Scholar] [CrossRef]
- Xiaoqin, W.; Miaomiao, W.; Shaoqiang, W.; Yundong, W. Extraction of vegetation information from visible unmanned aerial vehicle images. Trans. Chin. Soc. Agric. Eng. 2015, 31, 152–159. [Google Scholar]
- Song, H.; Asghari, M.; Zahedipour-Sheshglani, P.; Aljanabi, S.M.A.K.; Diao, E.; Xiang, X.; Qian, S.; Liang, X. Impact of exogenous cinnamic acid on some quality indices, phenolic compounds, main phenolic biosynthesis enzymes and senescence rate of strawberry fruit. Food Chem. 2025, 487, 144726. [Google Scholar] [CrossRef]
- Hasanzadeh, B.; Abbaspour-Gilandeh, Y.; Soltani-Nazarloo, A.; Hernández-Hernández, M.; Gallardo-Bernal, I.; Hernández-Hernández, J.L. Non-destructive detection of fruit quality parameters using hyperspectral imaging, multiple regression analysis and artificial intelligence. Horticulturae 2022, 8, e8070598. [Google Scholar] [CrossRef]
- Paulo, D.J.; Neves, C.M.; Wessel, D.F.; Neves, J.C. WildFruiP: Estimating fruit physicochemical parameters from images captured in the wild. In Proceedings of the Progress in Pattern Recognition, Image Analysis, Computer Vision, and Applications; Springer: Cham, Switzerland, 2023; Volume 14469, pp. 314–326. [Google Scholar]
- Andrés-Bello, A.; Barreto-Palacios, V.; García-Segovia, P.; Mir-Bel, J.; Martínez-Monzó, J. Effect of pH on color and texture of food products. Food Eng. Rev. 2013, 5, 158–170. [Google Scholar] [CrossRef]
- Akkaya, E. Characterization of physicochemical, colour and textural properties of Turkish type cheeses. Dicle Üniversitesi Vet. Fakültesi Derg. 2024, 17, 137–142. [Google Scholar] [CrossRef]
- Amaya, I.; Roldán-Guerra, F.J.; Ordóñez-Díaz, J.L.; Torreblanca, R.; Wagner, H.; Waurich, V.; Olbricht, K.; Moreno-Rojas, J.M.; Sánchez-Sevilla, J.F.; Castillejo, C. Differential expression of CCD4(4B) Drives Nat. Var. Fruit Carotenoid Content Strawb. (Fragaria Spp.). Plant Biotechnol. J. 2025, 23, 679–691. [Google Scholar] [CrossRef]
- Todorov, S.D.; de Almeida, B.M.; Lima, E.M.F.; Fabi, J.P.; Lajolo, F.M.; Hassimotto, N.M.A. Phenolic compounds and bacteriocins: Mechanisms, interactions, and applications in food preservation and safety. Mol. Nutr. Food Res. 2025, 69, e202400723. [Google Scholar] [CrossRef] [PubMed]
- Cosme, F.; Aires, A.; Pinto, T.; Oliveira, I.; Vilela, A.; Gonçalves, B. A comprehensive review of bioactive tannins in foods and beverages: Functional properties, health benefits, and sensory qualities. Molecules 2025, 30, 800. [Google Scholar] [CrossRef] [PubMed]
- Cao, Q.y.; Yuan, X.; Zhang, C.; Deng, X.; Jiang, Y.y.; Wang, B. An opinion on the roles of phenylalanine ammonia-lyase in the browning of fresh-cut fruit and vegetables. Front. Nutr. 2025, 12, 1561620. [Google Scholar] [CrossRef] [PubMed]
- Tang, T.; Zhang, M.; Jia, H.; Adhikari, B.; Guo, Z. Real-time freshness monitoring of fruits and vegetables integrating 3D-printed alginate-based colorimetric sensors with deep convolutional neural networks. Chem. Eng. J. 2025, 520, 166387. [Google Scholar] [CrossRef]
- Baca-Bocanegra, B.; García, A.I.E.; Hernández-Hierro, J.M.; Escudero-Gilete, M.L.; Nogales-Bueno, J. Feasibility assessment on the use of near infrared hyperspectral imaging for the screening of vitamin C content and total soluble solids in strawberries. Spectrochim. Acta Part A 2025, 343, 126542. [Google Scholar] [CrossRef]
- Medlicott, A.P.; Thompson, A.K. Analysis of sugars and organic acids in ripening mango fruits (Mangifera Indica L. var Keitt) by high performance liquid chromatography. J. Sci. Food Agric. 1985, 36, 561–566. [Google Scholar] [CrossRef]
- Lam, H.H.; Nguyen, T.-M.-T.; Do, T.-A.-S.; Dinh, T.H.; Dang-Bao, T. Quantification of total sugars and reducing sugars of dragon fruit-derived sugar-samples by UV-Vis spectrophotometric method. IOP Conf. Ser. Earth Environ. Sci. 2021, 947, 012041. [Google Scholar] [CrossRef]
- Prichko, T.; Ulyanovskaya, E.; Droficheva, N. Evaluation of biochemical indicators of apple fruits quality for the complex selection of the valuable source material for breeding. BIO Web Conf. 2020, 25, 02019. [Google Scholar] [CrossRef]
- Hu, Z.; Chang, C.Y.; Shen, R.; Yang, W. Multi-parameter orchard monitoring and control system. In Proceedings of the 2025 IEEE International Conference on Consumer Electronics-Taiwan (ICCE-Taiwan), Kaohsiung, Taiwan, 16–18 July 2025; IEEE: New York, NY, USA, 2025; pp. 609–610. [Google Scholar]
- Salehi, F. Recent advances in the modeling and predicting quality parameters of fruits and vegetables during postharvest storage: A review. Int. J. Fruit Sci. 2020, 20, 506–520. [Google Scholar] [CrossRef]
- Júnior, M.R.B.; Dos Santos, R.G.; de Azevedo Sales, L.; Vargas, R.B.S.; Deltsidis, A.; de Oliveira, L.P. Image-based and ML-driven analysis for assessing blueberry fruit quality. Heliyon 2025, 11, e42288. [Google Scholar] [CrossRef]
- AOAC. Official Methods of Analysis of the Association of Official Analytical Chemists; The Association of Official Analytical Chemists: Washington, DC, USA, 2000; Volume 11. [Google Scholar]
- Sadasivam, S.; Manickam, A. Biochemical Methods, 3rd ed.; New Age International: New Delhi, India, 2010. [Google Scholar]
- Hedge, J.; Hofreiter, B. Methods of estimating starch and carbohydrates. Carbohydr. Chem. 1962, 17, 163–201. [Google Scholar]
- Miller, G.L. Use of dinitrosalicylic acid reagent for determination of reducing sugar. Anal. Chem. 1959, 31, 426–428. [Google Scholar] [CrossRef]
- Ramful, D.; Tarnus, E.; Aruoma, O.I.; Bourdon, E.; Bahorun, T. Polyphenol composition, vitamin C content and antioxidant capacity of Mauritian citrus fruit pulps. Food Res. Int. 2011, 44, 2088–2099. [Google Scholar] [CrossRef]
- Singleton, V.L.; Orthofer, R.; Lamuela-Raventós, R.M. Analysis of total phenols and other oxidation substrates and antioxidants by means of folin-ciocalteu reagent. Methods Enzymol. 1999, 299, 152–178. [Google Scholar]
- Zhishen, J.; Mengcheng, T.; Jianming, W. The determination of flavonoid contents in mulberry and their scavenging effects on superoxide radicals. Food Chem. 1999, 64, 555–559. [Google Scholar] [CrossRef]
- Brand-Williams, W.; Cuvelier, M.E.; Berset, C. Use of a free radical method to evaluate antioxidant activity. LWT—Food Sci. Technol. 1995, 28, 25–30. [Google Scholar] [CrossRef]
- Smit, C.; Joslyn, M.; Lukton, A. Determination of tannins and related polyphenols in foods. Anal. Chem. 1955, 27, 1159–1162. [Google Scholar] [CrossRef]
- Rodriguez-Amaya, D.B.; Raymundo, L.; Lee, T.; Simpson, K.; Chichester, C. Carotenoid pigment changes in ripening Momordica charantia Fruits. Ann. Bot. 1976, 40, 615–624. [Google Scholar] [CrossRef]









| Methodology | Applicable Parameter Variables | Total: 159 |
|---|---|---|
| Wet chemistry * | Acidity (titrable), Antioxidant activity, Carbohydrates (total), Carotene (content), Fat crude, Flavonoids (total), Moisture (content), pH, Phenolic (total content), Protein, Reducing sugars, Tannin (content), Total soluble solids, Total sugars, and Vitamin C (refer Section 2.2). | Total: 15 |
| Color grid **,† | Mean R, Mean G, Mean B, Standard deviation of R, Standard deviation of G, Standard deviation of B, Median R, Median G, Median B, Geometric mean R, Geometric mean G, Geometric mean B, Maximum R, Maximum G, Maximum B, Minimum R, Minimum G, Minimum B, Number of R values, Number of G values, Number of B values, Skewness R, Skewness G, Skewness B, Kutosis R, Kutosis G, and Kurtosis B (refer Section 2.3.3.i). | Total: 27 |
| Waveness and roughness ** | Descriptive statistics parameters of waveness plot (Number of waveness plot data points, Minimum waveness, Maximum waveness, Mean waveness, Geometric mean waveness, Standard deviation waveness, Median waveness, Geometric mean waveness, Standard deviation of waveness), Waveness parameters calculated based on formulae from references (Arithmetic mean waveness, Root mean square waveness, Maximum valley depth of waveness plot, Maximum peak height of waveness plot, Average valley depth of waveness plot, Average peak height of waveness plot, Maximum peak to valley height of waveness plot, Descriptive statistics parameters of roughness plot (Number of roughness plot data points, Minimum roughness, Maximum roughness, Mean roughness, Geometric mean roughness, Standard deviation roughness, Median roughness), Waveness parameters calculated based on formulas from references (Arithmetic mean roughness, Root mean square roughness, Maximum valley depth of roughness plot, Maximum peak height of roughness plot, Average valley depth of roughness plot, Average peak height of roughness curve, and Maximum peak to valley height of roughness plot) (refer Section 2.3.3.ii). | Total: 28 |
| GLCM ** | Angular second moment, Contrast, Correlation, Inverse difference moment, and Entropy (refer Section 2.3.3.iii). | Total: 5 |
| LBP **,‡ | Number of gray pixels analyzed, Minimum gray, Maximum gray, Mean gray, Geometric mean gray, Quartile mean gray, Standard deviation gray, Median gray, Skewness gray, Kurtosis gray, Number of R pixels analyzed, Minimum R, Maximum R, Mean R, Geometric mean R, Quartile mean R, Standard deviation R, Median R, Skewness R, Kurtosis R, Number of G pixels analyzed, Minimum G, Maximum G, Mean G, Geometric mean G, Quartile mean G, Standard deviation G, Median G, Skewness G, Kurtosis G, Number of B pixels analyzed, Minimum B, Maximum B, Mean B, Geometric mean B, Quartile mean B, Standard deviation B, Median B, Skewness B, and Kurtosis B (refer Section 2.3.3.iv). | Total: 40 |
| Color indices ** | Color indices derived from overall R, G, and B values (27 existing + 17 new; Table 2; refer Section 2.3.3.v). | Total: 44 |
| Vegetation Index | Equation | Reference |
|---|---|---|
| Blue chromatic coordinate (BCC) | [47] | |
| Green-blue difference index (GBDI) | [48] | |
| Blue red vegetation index (BRVI) | [49] | |
| Color index of vegetation (CIVE) | [50,51] | |
| Coloration index (CI) | [52] | |
| Combination1 (COMB1) | [53] | |
| Combination2 (COMB2) | [53] | |
| Excess green (ExG) | [47,54] | |
| Excess green minus excess red (ExGR) | [50,55] | |
| Excess red (ExR) | [50] | |
| Green-blue vegetation index (GBVI) | [56,57] | |
| Green chromatic coordinate (GCC) | [47] | |
| Green-red difference (GRD) | [48] | |
| Green-red ratio index (GRRI) | [54] | |
| Kawashima index (IKAW) | [49,50] | |
| Modified green-red vegetation index (MGRVI) | [48] | |
| Normalized difference index (NDI) | [58] | |
| Normalized excess green (ExG2) | [47] | |
| Normalized green-red difference index (NGRDI) | [59,60] | |
| Red chromatic coordinate (RCC) | [47] | |
| Red blue ratio index (RBRI) | [61] | |
| Red green ratio index (RGRI) | [62] | |
| Red green blue vegetation index (RGBVI) | [48] | |
| Vegetativen (VEG) | [48] | |
| Visible atmospherically resistant index (VARI) | [63] | |
| Visible-band difference vegetation index (VDVI) | [64] | |
| Woebbecke index (WI) | [47] | |
| Excess modified red (ExmR) | † | |
| Modified coloration index (MCI) | † | |
| Modified red-blue vegetation index (MRBVI) | † | |
| Modified red-green-blue vegetation index (MRGBVI) | † | |
| Modified red-green vegetation index (MRGVI) | † | |
| Normalized excess red (ExR2) | † | |
| Normalized red-blue difference index (NRBDI) | † | |
| Normalized red-green difference index (NRGDI) | † | |
| Red-blue difference ratio (RBDR) | † | |
| Red color index (RCI) | † | |
| Red-green difference ratio (RGDR) | † | |
| Red-blue difference (RBD) | † | |
| Red-green difference (RGD) | † | |
| Red-green vegetation index (RGVI) | † | |
| Triangular redness index (TRI) | † | |
| Visible atmospherically resistant red-blue index (VARRBI) | † | |
| Visible atmospherically resistant red-green index (VARRGI) | † |
| Wet Chemistry | Cashew Apple Varieties and Maturity Stages | |||||||||||
|---|---|---|---|---|---|---|---|---|---|---|---|---|
| Bhaskara | MDK | NRCC-1 | Vengurla-2 | VRI-3 | VTH-174 | |||||||
| 817 | 819 | 817 | 819 | 817 | 819 | 817 | 819 | 817 | 819 | 817 | 819 | |
| Acidity (%) | 0.14 ± 0.0 | 0.09 ± 0.01 | 0.12 ± 0.0 | 0.08 ± 0.0 | 0.16 ± 0.0 | 0.12 ± 0.0 | 0.25 ± 0.0 | 0.18 ± 0.0 | 0.16 ± 0.0 | 0.12 ± 0.0 | 0.160 ± 0.0 | 0.11 ± 0.0 |
| Antioxidants ( | 28.59 ± 1.13 | 20.85 ± 0.22 | 25.96 ± 0.45 | 8.94 ± 0.11 | 24.39 ± 0.47 | 22.69 ± 0.91 | 26.01 ± 0.83 | 2.88 ± 0.28 | 4.21 ± 0.12 | 11.83 ± 0.87 | 30.47 ± 0.72 | 22.57 ± 0.87 |
| Carbohydrates ( | 14.09 ± 0.93 | 16.35 ± 0.71 | 14.67 ± 0.42 | 17.2 ± 0.69 | 16.94 ± 0.11 | 20.77 ± 0.35 | 16.81 ± 0.24 | 19.24 ± 0.48 | 14.16 ± 1.1 | 15.78 ± 0.41 | 14.67 ± 0.62 | 18.07 ± 0.29 |
| Carotenes (mg | 1.5 ± 0.01 | 1.4 ± 0.01 | 1.41 ± 0.02 | 0.82 ± 0.0 | 1.29 ± 0.0 | 0.34 ± 0.0 | 0.74 ± 0.0 | 1 ± 0.0 | 0.42 ± 0.0 | 0.86 ± 0.0 | 0.57 ± 0.0 | 0.78 ± 0.0 |
| Crude fat (%) | 2.02 ± 0.11 | 1.78 ± 0.04 | 2.73 ± 0.07 | 2.46 ± 0.09 | 5.61 ± 0.04 | 4.59 ± 0.19 | 2.46 ± 0.04 | 2.32 ± 0.04 | 2.23 ± 0.11 | 1.68 ± 0.07 | 5.44 ± 0.01 | 4.66 ± 0.11 |
| Flavonoids (mg | 64.33 ± 13.9 | 106.04 ± 0.0 | 101.49 ± 21.6 | 30.84 ± 2.8 | 25.87 ± 0.4 | 16.78 ± 0.2 | 171.30 ± 56.7 | 71.52 ± 5.7 | 80.24 ± 8.4 | 12.98 ± 3.5 | 218.94 ± 31.8 | 28.47 ± 5.7 |
| MC (% w.b.) | 87.57 ± 0.49 | 85.81 ± 0.56 | 86.42 ± 1 | 85.92 ± 0.8 | 87 ± 0.65 | 85.92 ± 0.32 | 87.31 ± 0.25 | 86 ± 0.21 | 88.89 ± 1.47 | 86.93 ± 0.32 | 86.91 ± 0.28 | 85.26 ± 0.17 |
| pH | 4.56 ± 0.01 | 4.73 ± 0.02 | 4.87 ± 0.02 | 5.23 ± 0.15 | 4.49 ± 0.02 | 4.78 ± 0.01 | 4.29 ± 0.09 | 4.45 ± 0.02 | 4.53 ± 0.01 | 4.69 ± 0.01 | 4.49 ± 0.0 | 4.85 ± 0.04 |
| Phenolics (mg | 311.41 ± 5.1 | 191.77 ± 4.3 | 308.66 ± 6.5 | 134.33 ± 4.0 | 161 ± 7.0 | 124.33 ± 3.8 | 374.7 ± 10.7 | 308.33 ± 6.8 | 318.55 ± 3.5 | 170.49 ± 4.5 | 405.84 ± 4.3 | 243.5 ± 4.8 |
| Proteins (%) | 1.7 ± 0.07 | 1.2 ± 0.04 | 2.16 ± 0.06 | 1.12 ± 0.03 | 2.05 ± 0.07 | 1.18 ± 0.03 | 2.26 ± 0.09 | 1.26 ± 0.04 | 1.78 ± 0.14 | 1.26 ± 0.05 | 2.24 ± 0.09 | 1.45 ± 0.03 |
| Reducing sugars ( | 7.89 ± 0.17 | 6.75 ± 0.38 | 9.33 ± 0.51 | 10.84 ± 0.29 | 14.7 ± 0.59 | 17.68 ± 0.55 | 14.11 ± 0.41 | 16.2 ± 1.34 | 9.04 ± 0.07 | 10.4 ± 0.58 | 12.22 ± 0.71 | 9.7 ± 0.38 |
| Tannins (mg | 2.41 ± 0.11 | 1.65 ± 0.05 | 2.25 ± 0.28 | 0.88 ± 0.03 | 0.91 ± 0.02 | 0.76 ± 0.05 | 2.57 ± 0.07 | 2.36 ± 0.06 | 2.04 ± 0.06 | 1.11 ± 0.03 | 2.53 ± 0.14 | 1.86 ± 0.14 |
| Total sugars ( | 8.62 ± 0.15 | 12.05 ± 0.08 | 10.4 ± 1.27 | 13.07 ± 1.47 | 15.81 ± 0.5 | 19.88 ± 0.6 | 9.92 ± 0.59 | 11.19 ± 0.25 | 15.26 ± 1.26 | 17.81 ± 0.42 | 13.63 ± 0.23 | 17.05 ± 0.26 |
| TSS (°brix) | 2.41 ± 0.11 | 1.65 ± 0.05 | 2.25 ± 0.28 | 0.88 ± 0.03 | 0.91 ± 0.02 | 0.76 ± 0.05 | 2.57 ± 0.07 | 2.36 ± 0.06 | 2.04 ± 0.06 | 1.11 ± 0.03 | 2.53 ± 0.14 | 1.86 ± 0.14 |
| Vitamin C (mg | 98.86 ± 5.1 | 181.71 ± 1.5 | 154.62 ± 3.1 | 252.2 ± 17.4 | 27.5 ± 2.3 | 91.12 ± 0.29 | 197.8 ± 12.3 | 305.5 ± 11.5 | 150.86 ± 2.6 | 305 ± 2.3 | 40.62 ± 2.3 | 69.24 ± 7.6 |
| Selected Input | Input Combination | Change from * Reference (%) | |
|---|---|---|---|
| Waveness cutoff value | ; 4 pix; 1 pix; 0° | 73.900 * | 0.00 |
| ; 5 pix; 1 pix; 0° | 73.900 | 0.00 | |
| ; 10 pix; 1 pix; 0° | 75.003 | 1.49 | |
| ; 15 pix; 1 pix; 0° | 75.505 | 2.17 | |
| ; 20 pix; 1 pix; 0° | 75.805 | 2.58 | |
| ; 25 pix; 1 pix; 0° | 75.941 | 2.76 | |
| ; 30 pix; 1 pix; 0° | 76.014 | 2.86 | |
| ; 35 pix ***; 1 pix; 0° | 76.043 ** | 2.90 ** | |
| ; 40 pix; 1 pix; 0° | 75.966 | 2.80 | |
| ; 50; pix 1 pix; 0° | 75.966 | 2.80 | |
| GCLM step size | ; 35 pix; 1 pix ***; 0° | 76.043 ** | 2.90 ** |
| ; 35 pix; 2 pix; 0° | 76.023 | 2.87 | |
| ; 35 pix; 3 pix; 0° | 76.024 | 2.87 | |
| ; 35 pix; 5 pix; 0° | 76.031 | 2.88 | |
| ; 35 pix; 10 pix; 0° | 75.933 | 2.75 | |
| GCLM step direction | ; 35 pix; 1 pix; 0° | 76.043 | 2.90 |
| ; 35 pix; 1 pix; 90° | 76.434 | 3.43 | |
| ; 35 pix; 1 pix; 180° | 76.056 | 2.92 | |
| ; 35 pix; 1 pix; 270° *** | 76.437 ** | 3.43 ** | |
| Color grid size | ; 35 pix; 1 pix; 270° | 74.670 | 1.04 |
| † ***; 35 pix; 1 pix; 270° | 76.437 ** | 3.43 ** | |
| ; 35 pix; 1 pix; 270° | 73.751 |
| Parameters Group | N | All Samples | Slice Samples | Whole Samples | |||
|---|---|---|---|---|---|---|---|
| Sum | Mean | Sum | Mean | Sum | Mean | ||
| Wet chemistry | 225 | 99.6 | 0.443 | 99.6 | 0.443 | 99.6 | 0.443 |
| Color grid | 270 | 61.0 | 0.226 | 67.8 | 0.251 | 72.2 | 0.267 |
| Waveness and roughness | 375 | 56.7 | 0.151 | 121.6 | 0.324 | 95.1 | 0.254 |
| GLCM | 75 | 9.6 | 0.128 | 16.0 | 0.213 | 17.5 | 0.234 |
| LBP | 360 | 59.3 | 0.165 | 68.2 | 0.189 | 74.0 | 0.206 |
| Color indices | 660 | 156.5 | 0.237 | 193.0 | 0.292 | 179.7 | 0.272 |
| Total image-based | 1740 | 343.1 | 0.197 | 466.5 | 0.268 | 438.6 | 0.252 |
| Total all methods | 1965 | 442.7 | 0.225 | 566.1 | 0.288 | 538.2 | 0.274 |
| Wet Chemistry | Ranks of Image-Based Independent Variables Based on Correlation (r) Values | |||||||||
|---|---|---|---|---|---|---|---|---|---|---|
| Properties | 1 | 2 | 3 | 4 | 5 | 6 | 7 | 8 | 9 | 10 |
| Slice | ||||||||||
| Acidity | Wn-avPH | Wn-mxPH | Wn-amWn | Rn-amRn | Rn-xpvh | Rn-avPH | Rn-med | Wn-Gmn | Ov-stdR | Rn-mxVD |
| Antioxidants | Rn-med | Wn-med | Rn-avPH | Wn-mxVD | Wn-mn | Gl-corr | Rn-avVD | Wn-Gmn | Ov-medG | Wn-mxPH |
| Carbohydrates | Ov-skB | Wn-xPt | Rn-mn | Rn-avPH | Rn-xpvh | Wn-med | Gl-corr | Gl-cont | Rn-avVD | Wn-avPH |
| Carotenes | VDVI | GCC | ExG2 | VEG | COMB1 | COMB2 | ExG | CIVE | RGDR | Wn-avPH |
| Crude fat | Gl-cont | Rn-mxPHt | Rn-mx | L-GmnR | L-GmnG | L-GmnGr | Gl-IDM | L-GmnB | Rn-mi | Rn-mxVD |
| Flavonoids | Rn-mxPH | Rn-mx | Gl-cont | Rn-med | Wn-Gmn | L-GmnR | Gl-IDM | RGBVI | Rn-mi | L-GmnG |
| MC | Wn-avPH | Wn-mxPH | Rn-med | Wn-amWn | Rn-amRn | Ov-stdR | Ov-stdB | Rn-xpvh | Ov-medR | Ov-GmnG |
| pH | Wn-med | GRD | RGD | Ov-medG | RBRI | ExmR | TRI | RCC | ExR2 | BRVI |
| Phenolics | Rn-mx | Rn-mxPH | Rn-mi | Rn-mxVD | Ov-mnG | Rn-xpvh | Rn-amRn | Rn-std | VEG | Ov-GmnG |
| Proteins | Rn-mx | Rn-mxPH | Rn-med | Wn-Gmn | Ov-mnG | Rn-avPH | Wn-mxVD | Ov-GmnG | Rn-xpvh | Wn-mi |
| Reducing sugars | Wn-avPH | Wn-mxPH | Wn-Gmn | Ov-medB | Rn-xpvh | ExGR | Ov-medG | VARI | VARRGI | RGRI |
| Tannins | Wn-avPH | Wn-mxPH | Wn-mi | Rn-xpvh | Wn-amWn | Rn-amRn | Ov-skB | Wn-rsWn | Wn-std | Wn-Gmn |
| Total Sugars | Ov-medG | RBRI | BRVI | IKAW | NRBDI | BCC | CI | MRBVI | MRGBVI | RCC |
| TSS | Wn-avPH | Wn-amWn | Rn-amRn | Wn-Gmn | VEG | VDVI | GCC | ExG2 | COMB1 | COMB2 |
| Vitamin C | Wn-avVD | Wn-amWn | Rn-amRn | Ov-stdR | Wn-avPH | Ov-GmnR | Wn-rsWn | Wn-std | Ov-mnR | Ov-stdB |
| Whole | ||||||||||
| Acidity | Gl-cont | Ov-skR | Ov-skG | Ov-skB | Rn-mn | Ov-medR | Ov-stdR | Ov-stdB | VEG | GCC |
| Antioxidants | Gl-cont | Ov-GmnB | Gl-IDM | L-QmnB | L-mnB | L-skB | L-kuB | L-stdB | Wn-avVD | RGBVI |
| Carbohydrates | Rn-mxPH | Rn-mx | Gl-IDM | Wn-mi | Wn-mxVD | Wn-avVD | Wn-amWn | Rn-amRn | L-GmnG | L-GmnGr |
| Carotenes | Wn-xpvh | Ov-mnG | Ov-skB | Wn-rsWn | Wn-std | Ov-GmnB | Wn-amWn | Rn-amRn | Wn-mx | Wn-avVD |
| Crude fat | L-GmnG | L-GmnGr | Gl-corr | Rn-med | Wn-mn | Wn-mx | Wn-Gmn | Gl-ASM | L-GmnR | L-GmnB |
| Flavonoids | Rn-rsRn | Rn-std | Rn-med | Rn-mxPH | Rn-mx | Rn-avVD | Gl-cont | Ov-medR | Wn-avPH | Wn-mn |
| MC | Gl-cont | Ov-skR | Ov-medR | Ov-stdB | Ov-stdR | Ov-GmnR | Ov-mnR | GCC | ExG2 | VDVI |
| pH | Ov-medG | Ov-mnB | CIVE | ExG | Ov-GmnB | WI | RBDR | COMB1 | COMB2 | RGDR |
| Phenolics | Ov-skB | Ov-mnG | Ov-GmnG | Wn-avPH | Ov-GmnB | Ov-stdR | Wn-rsWn | Wn-std | Wn-amWn | Rn-amRn |
| Proteins | Gl-cont | Ov-mnG | Ov-GmnG | Ov-GmnB | Rn-mxPH | Rn-mx | Ovr-medR | Rn-avVD | Rn-std | Rn-rsRn |
| Reducing sugars | Wn-xpvh | Ov-GmnB | Wn-mxVD | Wn-mx | Ov-skG | Ov-mnG | Ov-mnB | CIVE | ExG | Wn-rsWn |
| Tannins | Wn-xpvh | Rn-mx | Rn-mxPH | Wn-mxVD | Ov-GmnB | Wn-mx | Ov-medB | CIVE | Ov-mnB | ExG |
| Total Sugars | Ov-GmnB | Ov-mnB | CIVE | ExG | L-kuB | Ov-medG | COMB2 | COMB1 | L-skB | VDVI |
| TSS | Ov-skB | Ov-skG | Wn-xpvh | Wn-rsWn | Wn-std | Wn-avVD | Wn-amWn | Rn-amRn | Ov-mnG | Wn-mx |
| Vitamin C | Ov-skR | Rn-mn | Ov-stdR | Ov-skB | Rn-mi | Rn-mxVD | Ov-GmnR | Ov-mnR | Ov-medR | Ov-stdB |
| Wet Chem. (y) | x | Model () | x | Model () | Wet Chem. (y) | x | Model () | x | Model () |
|---|---|---|---|---|---|---|---|---|---|
| Slice | |||||||||
| Stage = 817 | Stage = 819 | Stage = 817 | Stage = 819 | ||||||
| Acidity | Ov-medR | WI | Antioxidant | VDVI | VEG | ||||
| Ov-mnR | RBDR | GCC | Ov-mnG | ||||||
| Ov-GmnR | Ov-medG | ExG2 | COMB2 | ||||||
| Carbohydrates | Ov-stdR | Ov-skG | Carotenoids | VEG | Rn-xpH | ||||
| Ov-GmnB | Ov-kuB | COMB1 | Rn-mx | ||||||
| Ov-stdB | Ov-stdR | COMB2 | Rn-mpvh | ||||||
| Crude fat | VEG | Gl-cont | Flavonoids | ExmR | VEG | ||||
| COMB2 | Rn-mx | TRI | COMB2 | ||||||
| COMB1 | Rn-xpH | RBD | COMB1 | ||||||
| MC | Ov-kuB | Rn-mx | pH | RBD | Ov-GmnB | ||||
| RBD | Rn-mxPH | TRI | CIVE | ||||||
| TRI | Rn-mpvh | ExmR | ExG | ||||||
| Phenolics | GRD | VEG | Proteins | Ov-GmnB | Ov-kuR | ||||
| RGD | COMB2 | Ov-stdB | Ov-kuG | ||||||
| ExmR | COMB1 | Ov-mnB | Ov-medR | ||||||
| R-sugars | Ov-stdR | Ov-skG | Tannins | VDVI | VEG | ||||
| Ov-stdB | Ov-stdR | GCC | COMB2 | ||||||
| Ov-GmnG | Ov-stdB | ExG2 | COMB1 | ||||||
| T-sugars | Ov-stdR | Ov-skG | TSS | VEG | Rn-mx | ||||
| Ov-stdB | Ov-medR | COMB1 | Rn-mxPH | ||||||
| Ov-GmnG | Ov-stdB | COMB2 | Rn-mpvh | ||||||
| Vitamin C | L-GmnR | Rn-mpvh | |||||||
| L-GmnGr | Rn-mx | ||||||||
| L-GmnB | Rn-mxPH | ||||||||
| Whole | |||||||||
| Stage = 817 | Stage = 819 | Stage = 817 | Stage = 819 | ||||||
| Acidity | WI | Ov-medG | Antioxidant | Ov-skG | Ov-skG | ||||
| RBDR | Ov-GmnB | Wn-mxPH | Wn-avVD | ||||||
| RGDR | Ov-mnB | Wn-mx | Wn-mxVD | ||||||
| Carbohydrates | Ov-skG | Gl-cont | Carotenoids | Ov-GmnG | Ov-skG | ||||
| Ov-kuB | COMB1 | Ov-stdR | Wn-mxVD | ||||||
| Ov-stdR | COMB2 | Ov-stdG | Wn-xpvh | ||||||
| Crude fat | Ov-mnG | VEG | Flavonoids | Wn-xpvh | Ov-kuB | ||||
| Ov-GmnG | L-GmnG | Ov-kuR | VEG | ||||||
| Gl-cont | L-GmnGr | WI | Wn-med | ||||||
| MC | Gl-cont | RGBVI | pH | WI | Ov-GmnB | ||||
| Ov-kuB | Gl-cont | RBDR | Ov-medG | ||||||
| Ov-medG | Ov-GmnB | RGDR | Ov-mnB | ||||||
| Phenolics | Wn-mx | Ov-skG | Proteins | Gl-cont | Ov-kuB | ||||
| Wn-xpvh | Ov-kuB | Ov-stdR | Ov-kuR | ||||||
| Ov-kuR | Wn-mxVD | Ov-stdB | WI | ||||||
| R-sugars | Ov-skG | Ov-stdR | Tannins | Wn-mx | Ov-skG | ||||
| Ov-stdR | RBRI | Wn-mxPH | Wn-avVD | ||||||
| Ov-medR | Ov-medG | Ov-mnG | Wn-mxVD | ||||||
| T-sugars | Ov-skG | VEG | TSS | Gl-cont | Gl-cont | ||||
| Ov-stdR | COMB1 | Ov-mnG | Ov-skG | ||||||
| Ov-medR | COMB2 | Ov-GmnG | Ov-medR | ||||||
| Vitamin C | Rn-avVD | Wn-Gmn | |||||||
| Wn-mn | Wn-mn | ||||||||
| Wn-Gmn | Wn-mxVD | ||||||||
Disclaimer/Publisher’s Note: The statements, opinions and data contained in all publications are solely those of the individual author(s) and contributor(s) and not of MDPI and/or the editor(s). MDPI and/or the editor(s) disclaim responsibility for any injury to people or property resulting from any ideas, methods, instructions or products referred to in the content. |
© 2025 by the authors. Licensee MDPI, Basel, Switzerland. This article is an open access article distributed under the terms and conditions of the Creative Commons Attribution (CC BY) license (https://creativecommons.org/licenses/by/4.0/).
Share and Cite
Gupta, M.J.; Igathinathane, C.; Nishad, J.; Tazeen, H.; Joice, A.; Sunoj, S.; Mohan, A.; Kumar, P.; Adiga, J.D. Assessment of Physicochemical Properties of Cashew Apple Through Computer Vision. AgriEngineering 2025, 7, 398. https://doi.org/10.3390/agriengineering7120398
Gupta MJ, Igathinathane C, Nishad J, Tazeen H, Joice A, Sunoj S, Mohan A, Kumar P, Adiga JD. Assessment of Physicochemical Properties of Cashew Apple Through Computer Vision. AgriEngineering. 2025; 7(12):398. https://doi.org/10.3390/agriengineering7120398
Chicago/Turabian StyleGupta, Mathala Juliet, C. Igathinathane, Jyoti Nishad, Humeera Tazeen, Astina Joice, S. Sunoj, Anand Mohan, Parveen Kumar, and Jamboor Dinakara Adiga. 2025. "Assessment of Physicochemical Properties of Cashew Apple Through Computer Vision" AgriEngineering 7, no. 12: 398. https://doi.org/10.3390/agriengineering7120398
APA StyleGupta, M. J., Igathinathane, C., Nishad, J., Tazeen, H., Joice, A., Sunoj, S., Mohan, A., Kumar, P., & Adiga, J. D. (2025). Assessment of Physicochemical Properties of Cashew Apple Through Computer Vision. AgriEngineering, 7(12), 398. https://doi.org/10.3390/agriengineering7120398

