Abstract
Rice is a water-intensive crop, conventionally grown under submerged conditions, with standing water for about 80% of its growth period. There is an urgent need for water-saving technologies to address challenges associated with conventional irrigation techniques for rice. The alternate wetting and drying (AWD) technique is one of these water-saving techniques; however, it requires continuous monitoring of water levels in the field. The implementation of real-time, electronic sensor-based precision irrigation technology may address the problems associated with conventional irrigation systems and AWD leading to high water use efficiency. Therefore, a study was undertaken to develop a suitable sensor-based automated irrigation system to maintain optimal water levels in rice fields. This study conceptualized an electronic sensor-based automated irrigation system for rice cultivated under the AWD technique. In this method, the rice field is initially flooded to a maximum depth of 5 cm. Irrigation is reapplied once the water level reduces to 10 cm below the soil surface. This developed system helps address water scarcity by regulating water levels, preventing excess ponding. It uses magnetic float-based sensors and electronic circuits to detect water levels, converting them into electronic signals transmitted wirelessly via radio frequency (RF) to a controller. The controller has been programmed for different growth stages that need to be set manually during the cropping period. The system is designed primarily for the AWD method but includes an option for continuous ponding (CP), needed during the flowering stage. The maximum water level at full maturity is set at 5 cm above the soil surface, while irrigation with the AWD method begins when the water level falls 10 cm below the soil surface. The developed system was tested during the Kharif season of 2018–19; the irrigation water productivity was 6.15 kg ha−1mm−1 with the automated system, compared to 3.06 kg ha−1mm−1 in the control (continuous ponding). Total water productivity was 4.80 kg ha−1mm−1 for the automated system and 2.63 kg ha−1mm−1 for the control. The automated system achieved 36% more water savings over the control, which used continuous ponding as farmers practice. The developed system supports AWD, a proven water-saving technique in rice cultivation.
1. Introduction
Rice is one of the most important cereal crops cultivated in India. In 2022–23, the country’s rice production was estimated at 135.7 million tonnes, cultivated over 47.8 million hectares [1]. Rice consumes approximately 80% of the total irrigated freshwater resources in Asia [2]. Traditional flood irrigation, where fields are submerged, is the most common method for rice cultivation, making it one of the most water-intensive crops. However, with increasing water scarcity, sustainable rice production is at risk. There is an urgent need for water-saving technologies to address challenges associated with high water consumption in rice.
Flood irrigation is not mandatory in rice cultivation. There are many scientific cultivation methods for rice being practiced all over the world, viz., alternate wetting and drying (AWD), the system of rice intensification (SRI), drip-irrigated dry-seeded rice, etc., which have the potential to save water and increase water productivity [3,4,5,6]. The AWD technique substantially reduces irrigation water requirements while maintaining or even increasing yield [7]. AWD irrigation is being widely adopted to replace continuous flooding (CF) irrigation for saving water and increasing water productivity in irrigated rice systems, especially in water scarce regions [8,9,10].
In the AWD method, instead of continuous flooding, the alternate conditions of saturation and unsaturation are maintained in the soil. Intermittent flooding is practiced under AWD in which the ponded depth is allowed to reduce to a certain water level and then irrigation is applied to re-flood the field. The use of AWD not only reduces irrigation water use but also provides numerous benefits. As reported by other authors, AWD reduces the energy consumption for irrigation, reduces greenhouse gas emission, and improves grain quality by reduction of the arsenic accumulation in grain [11,12,13,14]. AWD is particularly important in the context of sustainable and climate-resilient rice cultivation and achieving global food and environmental security. This method provides promising a solution to small holding farmers under water scarcity situations with optimized water use efficiency while maintaining or enhancing rice productivity [15].
Nevertheless, maintaining AWD irrigation requires continuous monitoring of rice fields. These efforts are needed to maintain the cycle of desired AWD thresholds set for safe rice cultivation without much compromising the yield. Therefore, effective rice irrigation water management, coupled with cost-effective technology, is essential for conserving both water and labour. In this regard, the concept of electronic sensor-based automated irrigation systems may offer promising solutions to tackle low irrigation water productivity in rice.
An automated irrigation system for rice poses unique challenges. Unlike other crops, rice requires variable ponding water levels under AWD that fluctuate depending on water availability and crop growth stages. Traditionally, farmers irrigate their fields at regular intervals, which often results in over- or under-irrigation. Manual irrigation also demands significant time and effort. Automated irrigation systems, on the other hand, are more efficient, using less water by supplying only what the crop needs [16,17]. Farmers often irrigate heavily to delay the next watering session, which leads to significant water losses through deep percolation, seepage, and evaporation. A well-designed automated irrigation system can reduce these losses, ultimately conserving both water and energy [18,19,20]. Therefore, electronic sensor-based automated irrigation systems are needed to save water, labour, and to irrigate rice fields with high water use efficiency. The electronic sensors that monitor water level, soil moisture level, and environmental parameters are reliable tools that may help to irrigate rice fields more effectively and efficiently. Barkunan et al. (2019) [21] applied a soil moisture sensor-based automated drip irrigation system for rice cultivation. As commercial soil moisture sensors are very costly, the small farmers in developing countries could not afford it [22]. A water level sensor is a promising tool as farmers mostly use transplanted rice in which ponding depth is maintained as compared to aerobic, dry-seeded rice (DSR) and the system of rice intensification (SRI). Lee et al. (2022) [23] developed an automatic system consisting of intake gate, controller, and ponding-depth sensor for canal-based rice irrigation. The water level sensor, capable of working under submerged conditions, is a more durable option for irrigating small and large rice fields under the AWD technique.
In the past, various other automated irrigation systems have been tested and developed for rice cultivation. Pfitscher et al. (2012) [24] implemented an irrigation system for rice using Supervisory Control and Data Acquisition (SCADA) and wireless communication. They used ultrasonic sensors to monitor and control water levels in the field. Obota and Inyama (2013) [25] proposed a soil moisture-based irrigation control system for rice, utilizing a wireless sensor network (WSN). Their focus was on improving water efficiency through water level control and monitoring in the field. Jagtap and Shelke (2014) [26] developed an automatic irrigation system for effective water management using WSN and GSM technology. The communication between the soil moisture sensor and the controller was achieved via a ZigBee module. An android smartphone was used to remotely control the motor and valves by sending SMS commands. The system automatically switched the motor on when soil moisture fell below a set threshold and switched it off once the desired moisture level was restored. Geoffrey et al. (2015) [27] designed an automatic irrigation system for a small area, capable of pumping 240 L of water per day from a depth of about 8 m. They used an IR sensor to monitor water levels in the tank. When water reached a high level, it obstructed the IR light beam, signalling the microcontroller to turn off the pump.
Further, Kavitha (2015) [28] developed an algorithm based on threshold values for temperature and soil moisture, programmed into a microcontroller. This system used a distributed wireless network of sensors deployed in the plant root zones, each connected to soil moisture and temperature probes for data acquisition. Pushpavel and Saravanan (2015) [29] introduced an automated irrigation system using Raspberry Pi and a thermal camera. The Raspberry Pi controlled the system based on thermal images taken by the IR camera, identifying temperature differences across the field. The corresponding valve was opened for areas with higher temperatures to deliver irrigation where needed. Francis et al. (2016) [30] designed a sensor-based system using a relay, ARM microcontroller, GSM module, and motor. This irrigation system activated the motor when the soil moisture sensor detected low levels, with the microcontroller controlling the motor operation. The system also sent moisture and temperature alerts to farmers via GSM. Jadhav and Hambarde (2016) [31] developed a robotic system to automatically control water supply based on temperature and soil moisture sensor data. Equipped with a camera, the system also applied fertilizers using image processing data. This mobile system inserted soil moisture sensor electrodes into the soil to measure moisture, and irrigation was applied via a pump based on sensor readings. Usha and Menakadevi (2017) [32] designed a “Smart Irrigation System” using Raspberry Pi, which automatically controlled the water pump. They also monitored plant growth using a webcam, providing live streaming of the farm via Wi-Fi to a PC. Tolentino et al. (2021) [33] constructed a device to monitor AWD levels using an ultrasonic transducer to measure the water level in the paddy and send signals to operate gates for irrigation. The ultrasonic sensors are capable of monitoring water level in rice fields. However, while using ultrasonic sensors, the movement caused by wind, irrigation, or farm activities, floating leaves, mud, or debris can create waves, distorting the ultrasonic signal and leading to erroneous readings or signal loss, especially during low water level conditions. Temperature and humidity also create an adverse effect on the proper function of ultrasonic sensor. Cruz et al. (2022) [34] also observed that an ultrasonic sensor is not reliable when mounted on pipes with lengths beyond 30 cm as sound waves bounce back from the sides of the pipe, which causes errors in the actual water level measurement.
Most automated irrigation systems are primarily based on soil moisture measurements, which make them unsuitable for rice cultivation under the AWD technique. In AWD, the soil remains saturated for much of the growing period, and the water level—both above and below the soil surface—needs to be carefully monitored. AWD is one of the most effective water-saving techniques for rice and is being widely promoted by research organizations. Unlike continuous ponding, which results in significant water wastage without proportional yield benefits, AWD helps conserve water without compromising crop productivity. However, manually monitoring water levels in AWD is labour-intensive and requires constant attention, making automation highly beneficial for this irrigation method. Hence, there is limited literature available on the automation of rice irrigation systems. Studies suggest that while there have been various attempts to monitor water levels in rice fields, some systems rely on ultrasonic sensors that detect water above the soil surface. However, to effectively manage irrigation in rice fields, particularly under the AWD technique, sensors must be capable of monitoring water levels both above and below the soil surface.
To address the above challenges, this study was undertaken to develop an automated irrigation system specifically designed for efficient water management in rice fields. This study conceptualized an electronic sensor-based automated irrigation system for rice cultivated under the AWD technique with water level measurement and, subsequently, monitoring of the irrigation automatically in the field; development and testing of the system have been discussed and presented for sustainable irrigation water management practices.
2. Materials and Methods
2.1. Study Area
The study was conducted at the ICAR-Central Institute of Agricultural Engineering (CIAE) in Bhopal, India, at an elevation of 495 m above mean sea level (Figure 1). The experimental site experiences a subtropical climate, with dry, hot summers from March to June, monsoon rains from mid-June to mid-September, and cool winters from December to February. The average annual rainfall is 1090 mm, mostly concentrated during the monsoon period. The Bhopal district falls within the 5th agro-climatic region of Madhya Pradesh (Vindhya Plateau) and is characterized by medium to deep black soils (vertisols).
Figure 1.
Study area in ICAR-CIAE experimental farm.
2.2. Conventional Measurement of Water Depth Under AWD Technique
Usually, under AWD, measuring water depth in rice fields involves inserting a perforated tube into the ground, allowing water to enter the tube (Figure 2). The collected water level inside the tube acts as the representative level for the whole rice field. The water depth is then measured manually using a scale or ruler. This is essential in the AWD technique, as it helps track the vertical movement of water both above and below the soil surface. Irrigation water is applied when the water level reaches a specified threshold below the soil surface. In this approach, once the rice field is flooded, the water is allowed to reduce to a depth of 10–15 cm below the soil surface without compromising the crop’s growth. Once it reaches this point, the field is irrigated again, maintaining a maximum ponding depth of 5 cm above the soil surface. Water depths shown in blue dotted lines indicate surface ponding, whereas the red dotted lines indicate the water level below the soil surface (Figure 3). This cycle continues throughout the cropping period, except during the flowering stage, when 5 cm of ponding water is maintained continuously for one week. Several studies recommended maintaining 5 cm ponding depth during the flowering stage as rice is extremely sensitive to water shortage at the flowering stage [35,36]. This method is a well-established water-saving technique used in various parts of the world, although it requires extra effort to monitor rice irrigation effectively [6,37]. In this study, the maximum threshold for subsurface water has been set at 10 cm below the soil surface.
Figure 2.
Water level measurement at the rice field under the alternate wetting and drying technique.
Figure 3.
Alternate wetting and drying cycle for rice irrigation.
2.3. Conceptual Design of Automatic Irrigation System for Rice
An automatic irrigation system has been designed specifically for rice cultivated under the AWD technique. This system incorporates magnetic water level float sensors housed in specially designed perforated casings to accurately detect water depths in the rice field (Figure 4). A programmable controller adjusts the irrigation based on different crop growth stages, ensuring the appropriate amount of water is applied. The microcontroller is programmed to align irrigation needs with the different growth stages of rice, instead of remaining fixed to the 5 cm water cycle alone, optimizing water use at every stage by increasing ponding depths with plant height. Water depths in the rice field are gradually increased from 1 to 5 cm with increasing plant height. It is achieved by a microcontroller programmed to maintain different water cycles under AWD. Mote et al. (2020) [38] provided a range of water levels to be maintained during the growing cycle of rice. In general, under AWD, the rice field is irrigated to a depth of 5 cm and then allowed to decline to a depth of 10 cm below the soil surface at which point irrigation is initiated again. During the initial and vegetative growth stages, the lesser ponding depth of 1–3 cm is sufficient because of lesser vegetative growth. However, the flowering stage, which is the most sensitive to crop water stress, needs a continuous 5 cm of ponding depth.
Figure 4.
Conceptual design of automatic irrigation system for rice: (a) sensor with transmitter and (b) controller with receiver.
The water level sensor must be installed in an observation well created within the rice field. The sensor tube is secured with a base plate to maintain its vertical position throughout the cropping period. Perforations at the base of the tube allow water to enter. Inside the tube, magnetic sensors detect predefined water levels. The measured water level is then converted into electronic signals and transmitted wirelessly to the controller. The system is equipped with a wireless receiver and the controller, with a microcontroller programmed for different crop growth stages to maintain water levels in the field. Irrigation starts or stops based on water depth readings, with the controller determining when to activate the pump (Figure 4).
2.4. Programming, Development, and Fabrication of Automatic Irrigation System
The development of the microcontroller and sensor-based technology begins with a programming flowchart. The AVR ATmega 16 microcontroller (Atmel Corporation, San Jose, CA, USA) is programmed according to a comprehensive process flow diagram of the conceptualized irrigation system (Figure 5). Atmel Studio 7 was used as an integrated development platform for writing programs and various logics for pump operation under the AWD method. Atmel Studio 7 is designed for developing and debugging applications for Atmel’s AVR and ARM microcontrollers. It provides a comprehensive environment with tools for coding, debugging, and simulating applications, making it ideal for developers working on embedded systems using Atmel’s microcontroller families. The platform supports a wide range of programming languages and is compatible with various debugging and programming hardware tools.
Figure 5.
Flowchart and software for development of programs.
The developed program as per logics provided for AWD operations was further used for the development of electronic hardware and the burning of programs into the AVR microcontroller. The AVR ATmega16 is an 8-bit, high-performance microcontroller from Atmel’s Mega AVR family. It is known for its low power consumption, making it ideal for this application.
A 433 MHz RF transmitter–receiver was used for wireless communication. This module operates without requiring internet connectivity, making them suitable for remote areas in countries like India. It uses two integrated circuits (ICs), viz., encoder HT12E and decoder HT12D, for encoding and decoding the signals. The HT12E IC is an encoder that converts parallel data into a serial signal for transmission, while the HT12D IC is a decoder that converts the serial signal back into parallel data. These ICs are part of a CMOS LSI series designed for remote control systems and operate with a 12-bit data structure—8 address bits and 4 data bits. The address and data inputs are programmable, ensuring compatibility between the encoder and decoder during transmission. The microcontroller receives real-time water level data from the rice field. This information is used to operate the pump based on the crop growth stage and the specific ponding water requirements for each stage.
Magnetic float sensors have been used as liquid level sensors that detect the level of a liquid in a tank or container. It consists of a floating device containing a magnet and a reed switch. Four such sensors are selected to mount in a fixed position inside the PVC perforated sensor tube. As the liquid level rises or falls, the float moves accordingly, triggering the reed switch when the magnetic float aligns with it. This is an effective mechanism used to monitor and control liquid levels in various applications, such as water tanks, sump systems, and irrigation systems.
The water level sensor with its housing tube was fabricated at the research workshop of the ICAR-CIAE, Bhopal. This process involved developing various components, including a base plate, lifting handle, floating sensor mounting structure, solar panel mounting frame, and the electronic circuit, all integrated with the sensor and battery. The receiver side of the system includes the controller, the RF module with decoder, and the electrical switches necessary for pump operation. Standard components, such as the PVC tube, electronic components, and electrical items were sourced from the local market to facilitate the fabrication.
2.5. Calibration of Automated Irrigation System for Rice Under AWD
The automatic irrigation system for rice was calibrated for depth measurement in the laboratory. The developed device was placed in a tank in which water was filled gradually. The different identified depths such as −10 cm, +1 cm, +3 cm, and +5 cm were detected as the water level rose up in the water level sensor tube for rice. The corresponding depths outside the tube were also measured above the ground zero level (base plate). The float sensors’ height can be adjusted using a threaded inner pipe of 2.5 cm diameter on which all the level sensors have been mounted. The base plate on the outer casing can also be adjusted for depths. After final adjustment, the sensor height and the base plate are kept fixed and marked as final and are not moved again. The different levels of water above and below the base plate were measured using scale/ruler manually, and subsequently, the changes detected by the sensors were recorded as actual depth and sensor depth, respectively (Figure 6). The sensor-detected depth could be monitored through water level indicators by LED lights mounted on the controller. The calibration graph for water depth measured using float sensors and manually using ruler has been presented in Figure 7. The observed R2 was found to be 0.99 between the two measurements.
Figure 6.
Calibration of rice water level sensor of automatic irrigation system in water tank.
Figure 7.
Calibration graph of instrument for sensor-based and manual measurement.
2.6. Installation of the Automatic Irrigation System for Rice in the Field
Before installing the developed instrument in the field, it requires levelling the rice field using a laser land leveller. This ensures smooth irrigation water flow across the field. A perforated tube is positioned at the downstream end of the field, opposite the direction of water flow (Figure 8). The perforated tube/screen (Figure 8a) was set up two days after transplanting (DAT) so as to allow the soil to settle. The screen is kept 2.5 cm above the soil surface to prevent soil particles from directly entering the screen with the irrigation water (Figure 8c). It is important to remove the soil particles/slurry that are collected inside the tube. The water level sensor tube is then placed into the primary tube/screen, with its base plate resting on top of the primary tube/screen. This setup helps water to collect inside the sensor tube and, subsequently, be detected by the magnetic float sensors installed at different levels.
Figure 8.
Installation of automatic irrigation system for rice in the field: (a) perforated tube/screen, (b) position of water level sensor, and (c) direction of water flow and installation height in the rice field.
2.7. Field Testing
The water level sensor was installed in the CIAE-B5 experimental field plot (23°18′52.9″ N, 77°24′9.5″ E), while the controller was housed in the nearby pump station. The pump operation unit, equipped with electrical switches, controlled a 2 hp electric pump used for irrigation. This sensor unit communicates with the controller, which sends actuation signals to start and stop the motor. The water discharge volume from the pump was measured by a mechanical water meter installed in the discharge line before the water was actually delivered to the rice field. Prior to installation, the water level sensor was carefully calibrated to measure the ponding depth in the rice field accurately. The rice variety PUSA 1121 (Basmati) was selected for the study and transplanted in the experimental field. The comparison of treatments has been performed for two experimental plots—the automated irrigation system with AWD and a control in which conventional irrigation practices of continuous ponding were followed.
2.8. Monitoring Rice Growth and Yield
The crop growth and yield parameters, including plant height, number of tillers per plant, root depth, and shoot and root dry weights, were recorded at 25, 50, and 75 DAT. Plant height was measured manually using a ruler or scale, while the number of tillers per plant was also counted manually during the experiment. Root depth was determined using a destructive method, where the entire root system was excavated and separated from the soil. Shoot and root dry weights were measured by oven-drying fresh plant samples collected from the experimental field. The plants were cut and dried in an oven at 70 °C for three days, following the method described by Kano-Nakata et al. (2011) [39].
2.9. Water Productivity
Water productivity (WP), also known as crop water use efficiency (WUE), is defined as the yield produced per unit of water used during the crop growth period. It is a critical parameter for estimating water requirements in crop production. WP can be expressed in various forms, such as irrigation water productivity or total water productivity [40,41]. Total water productivity (kg ha−1mm−1) and irrigation water productivity (kg ha−1mm−1) are calculated using Equations (1) and (2), respectively.
3. Results
3.1. Automated Irrigation System for Rice
The automated irrigation system integrates a water level sensor designed for rice under AWD conditions and a controller to operate the irrigation pump for maintaining specific water depths at different stages of crop growth. The water level sensor for rice, the controller unit for pump operations, and the circuit design with hardware development are presented in this section.
3.1.1. Water Level Sensor for Rice
The water level sensor is powered by a 5-watt solar panel, making the system energy-efficient and sustainable. The sensor tube, installed in the rice field, has perforations at its base to allow water to flow in. As water enters the tube, magnetic switches detect the water level. These switches are placed at different heights inside the tube, and as the water level rises or falls, they detect the position of the water surface. The detected level is transmitted to the receiver connected to the controller, enabling real-time monitoring of water levels.
3.1.2. Controller Unit for Pump Operations
The controller unit plays a critical role in automating the irrigation system. It has four distinct modes of operation to suit different stages of rice crop growth using the AWD method, each based on the specific water level cycles to be maintained in the field. All four modes of pump operation are presented in Table 1 and are described below:
Table 1.
Four modes of pump operations under AWD conditions.
- Mode 1: In this mode, the pump is activated when the water level reaches 10 cm below the soil surface and stops when the water reaches 1 cm above the soil surface. This cycle is repeated continuously and is ideal for the early stage of rice cultivation when the AWD method of irrigation is applied. AWD helps conserve water by reducing ponding time.
- Mode 2: This mode is suitable for the mid-growth stage of the rice crop. The pump starts when the water level reaches 10 cm below the soil surface and stops when the level rises to 3 cm above the soil surface. This provides slightly deeper irrigation, suitable for maintaining water during the developmental stages of the rice plants.
- Mode 3: In this mode, the pump starts at 10 cm below the soil surface and turns off when the water level reaches 5 cm above the surface. The controller ensures that irrigation does not go beyond this level to prevent excessive ponding. This mode is typically applied until the full growth stage is reached, ensuring the right balance of water for optimal crop growth and development.
- Mode 4: Mode 4 is specially designed for the flowering stage of rice, where water stress must be minimized. The pump starts when the water level is 3 cm above the ground and stops when the level reaches 5 cm above the surface, maintaining a continuous ponding depth between 3 and 5 cm. This method ensures the rice plants remain properly irrigated during this critical stage, as prolonged exposure to water stress can significantly affect crop yield during this stage.
Each of these modes supports the AWD method (Modes 1, 2, and 3) and the continuous ponding method (Mode 4), ensuring flexibility in irrigation strategies based on the growth stage of the rice.
3.1.3. Circuit Design for Level Detection, Wireless Communication, and Pump Control
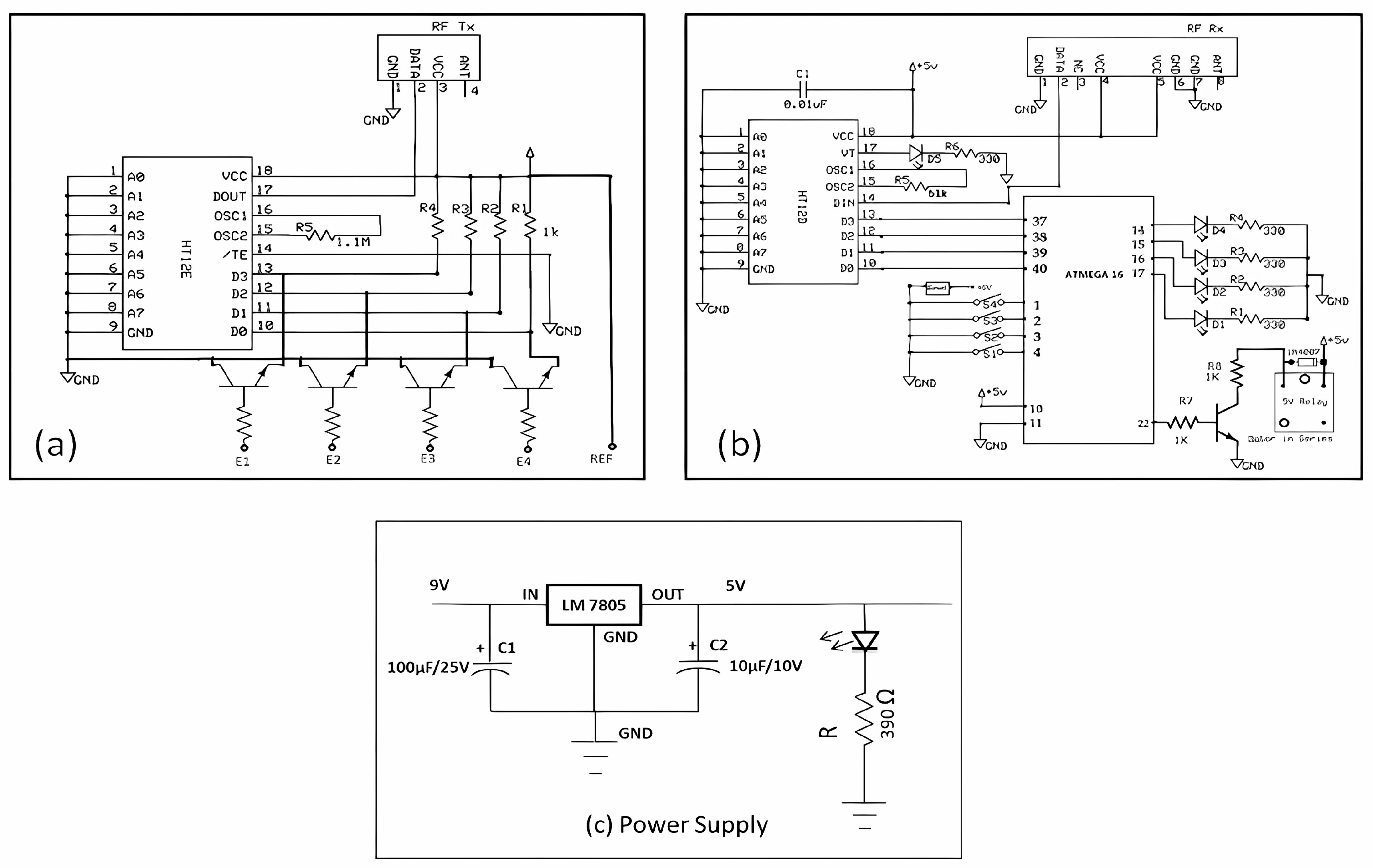
The developed circuit diagrams for the sensors with transmitter units and the controller with a receiver unit with their power supply are presented in Figure 9. The water level in the rice field detected by the magnetic sensor is transmitted wirelessly to the microcontroller with the help of a 433 MHz RF module using an encoder HT12E integrated circuit, the controller receives the water level information at the receiver end and decodes the data using an HT12D integrated circuit. The decoder receives the data through an RF transmission medium, decodes it, and sends it to the microcontroller for further processing data for logical operations. A 5 V DC power supply has also been developed using the circuit shown in Figure 9c with a voltage regulator IC LM 7805 that provides a fixed 5 V output from a higher input voltage (typically ranging from 7 to 35 V).
Figure 9.
Circuit diagram of (a) sensor with transmitter unit, (b) controller with receiver unit, and (c) DC 5 V power supply.
The received data are processed by the microcontroller (AVR ATmega 16) to determine whether the irrigation pump should be turned ON or OFF based on the selected mode. The controller communicates with sensors installed in the field through wireless transmissions, making it an efficient and real-time monitoring system. The various electronic hardware components used in the development of this rice irrigation system are shown in Figure 10.
Figure 10.
Hardware components: (a) transmitter and (b) receiver of automatic irrigation system for rice.
Once the microcontroller processes the incoming data, it operates the relay and contactor switches to start or stop the irrigation pump. The microcontroller is pre-programmed to control the pump based on the predefined water levels corresponding to the selected mode of operation. The automation of the pump ensures precise irrigation and minimizes water wastage, making the system suitable for water-intensive crops like rice. Figure 11a–c show the complete hardware assembly of the water level sensor, the controller unit, and the electrical switches that operate the pump.
Figure 11.
Automated irrigation system for rice: (a) Water level sensor for rice, (b) Controller Panel, and (c) Electrical switches to operate the irrigation pump.
3.2. Testing of Developed Automated Irrigation System for Rice Under AWD Conditions
The developed automatic irrigation system was tested in a rice field during the Kharif season of years 2018–2019. The irrigation controller was installed in the pump house and the rice sensor in the field at a 30 m distance (within 100 m range of wireless communication). The water supply was sourced from a water sump located at the base of the pump house. The irrigation system set up at the CIAE farm is depicted in Figure 12.
Figure 12.
Automated irrigation system for paddy installed at CIAE farm.
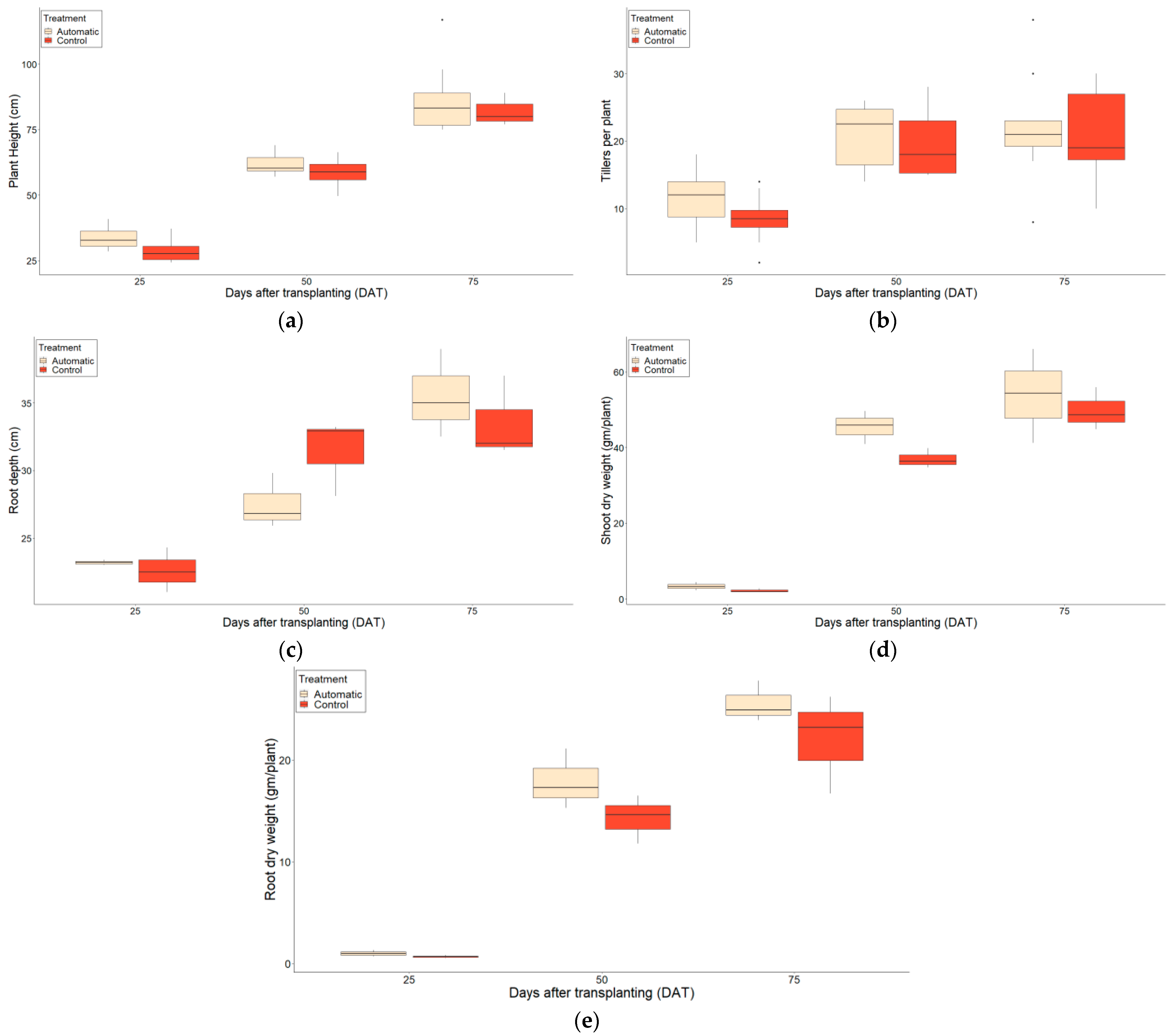
Crop growth data, including plant height, number of tillers per plant, root depth, shoot dry weight, and root dry weight, were collected at 25, 50, and 75 DAT and are presented in Figure 13. It was observed that plant height, root depth, shoot dry weight, and root dry weight increased as the cropping period progressed for both the automatic and control plots. However, the number of tillers per plant did not increase after 50 DAT, as it had reached its maximum for the plant. The mean values for plant height, number of tillers per plant, root depth, shoot dry weight, and root dry weight were higher in the automatic irrigation system field compared to the control. This indicates better crop growth with the AWD method of irrigation than in the control plot.
Figure 13.
Crop growth parameters: (a) plant height, (b) tillers per plant, (c) root depth, (d) shoot dry weight, and (e) root dry weight at different days after transplanting.
The crop yield and water productivity of rice under the automatic irrigation system and control (continuous ponding) are presented in Table 2. The rice yield was 4.8 ± 0.189 t ha−1 (mean ± standard deviation) for the automated system and 4.2 ± 0.429 t ha−1 for the control system. The irrigation water productivity was estimated at 6.15 kg ha−1mm−1 for the automated system and 3.06 kg ha−1mm−1 for the control. Total water productivity was 4.80 kg ha−1mm−1 for the automated system and 2.63 kg ha−1mm−1 for the control. The automated irrigation system achieved total water savings of 36% compared to the control, which followed a continuous ponding method.
Table 2.
Crop yield and water productivity of rice.
Rice crops cultivated using the AWD technique showed higher yields compared to those grown under continuous flooding. Similar results have been reported by other researchers [42,43]. The AWD technique is primarily a water-saving technique for rice cultivation, significantly reducing water consumption, as evident by the water productivity and yield data presented in this paper. The AWD technique, as compared to continuous flooding, produces comparable yield with reduced water use. Studies from various regions have reported both positive and negative variations in yield compared to the control, alongside substantial water savings. As reported by other researchers and also confirmed in this study, AWD maintains or even increases the grain yield [14,44]. Several studies reported the contrasting output in terms of crop yield. An increase in crop yield [45,46,47] as well as a decrease in yield under the AWD system as compared to continuous flooding were reported [48,49,50].
Consequently, many government and non-government organizations worldwide, particularly in water-scarce regions, are actively promoting the adoption of the AWD method. The AWD method of rice irrigation, as reported by the International Rice Research Institute (IRRI), Philippines, is a water-saving practice that reduces water usage and environmental impact, while potentially increasing yields [51]. Field evaluations of rice using AWD should be conducted across multiple years and locations, comparing it with conventional flooded irrigation [51].
Applying an automated irrigation system to the AWD method can be beneficial in efficiently monitoring water levels. Yield increases may be attributed to a higher percentage of filled grains [43] and increased grain weight [43,52]. The improved yield parameters in the automatic irrigation system, compared to control (conventional continuous ponding), could be due to the alternating aerobic and anaerobic cycles maintained in the field and the system’s timely detection of water requirements throughout the cropping period. This system could be especially valuable for rice irrigation in areas facing water shortages.
Unlike traditional automated irrigation systems that rely solely on soil moisture sensors, making it unsuitable for AWD, the developed system can monitor both ponding and subsurface water levels, specifically addressing the requirements of rice cultivation under safe AWD. The use of a 433 MHz RF module enables real-time wireless communication, eliminating the need for wired setups or internet connectivity, which is especially beneficial in remote areas. Additionally, the system supports both the AWD and the continuous ponding (CP) methods, offering flexibility for various irrigation needs and allowing a maximum ponding depth of 5 cm. The system is uniquely designed to monitor water levels both above and below the soil surface, making it ideal for alternate wetting and drying (AWD) irrigation. By automating the irrigation process of AWD, it reduces manual labour while ensuring precise water application, promoting sustainable water use practices. In this study, the microcontroller is programmed to align irrigation needs with the different growth stages of rice, instead of being fixed to a 5 cm water cycle alone, optimizing water use at every stage by increasing ponding depths with plant height.
However, there are a few limitations of the developed automated irrigation system revealed in this paper. The developed automated irrigation system is specifically designed for rice cultivation under AWD, as irrigation for other crops like wheat and maize is typically carried out based on soil moisture content. This system requires a reliable power source, and in areas with erratic electricity supply, solar-powered pumps can be an effective alternative. This prototype uses a 433 MHz radio frequency (RF) module for wireless communication between the water level sensor in the field and the pump house, with a range of 100 m. Thus, the pump house must be located within the communication range of the field sensor. Alternative wireless communication modules, such as the nRF24L transceiver module offer extended ranges and could be used to enhance the communication system. For larger fields, the system may require multiple sensors placed at different locations to control multiple solenoid valves with a single water pump or more than one pump. This could increase the complexity and cost of the system. Additionally, integrating SIM or internet-based features could enable real-time data monitoring and provide feedback on system performance to users located far from the field which may enhance the capability of the developed prototype. Farmers may need special training to operate, maintain, and troubleshoot the system.
This study offers valuable insights into automated irrigation systems specifically designed for rice cultivation under the AWD technique, addressing gaps in the literature and serving as a foundation for further research in sustainable agriculture and water-saving technologies. By integrating magnetic float sensors, wireless communication, and an irrigation controller, it introduces innovative approaches to water management in rice fields, inspiring exploration of similar advancements for other crops and irrigation methods. The findings and methodologies provide practical guidance for researchers and academicians in developing cost-effective, energy-efficient, labour-saving, and field-applicable irrigation systems tailored to rice cultivation.
4. Conclusions
The automated irrigation system for rice under the AWD method was successfully developed, meeting the goals of providing a suitable irrigation system for rice with precise water level control at different growth stages. The system is cost-effective and user-friendly. In this study, the automated irrigation system for the AWD method saved up to 36% of water compared to the control, which followed continuous ponding similar to farmers’ common practice. The developed system offers potential benefits to rice farmers, enabling them to improve irrigation water management using the AWD technique for more sustainable water use. However, this study primarily compares the AWD and continuous ponding methods, focusing on the development of the system, water savings, and the potential for automation, rather than assessing the system’s specific effects on crop performance. Further research should explore more on the development and evaluation of similar automated irrigation systems using various sensors, such as ultrasonic, pressure, capacitive, and optical sensors, to optimize water management for rice cultivation worldwide. By combining expertise in agriculture, electronics, sensor technology, and wireless communication, this study fosters interdisciplinary collaboration, encouraging further exploration into precision agriculture. The focus on AWD irrigation highlights its potential as a proven water-saving technology, motivating stakeholders to adopt and promote sustainable irrigation practices for rice. Hence, this study paves the way for comprehensive solutions through precision agriculture technology for rice cultivation under AWD conditions, contributing to global efforts in resource conservation and sustainable farming.
Author Contributions
Conceptualization, M.K. (Mukesh Kumar), R.K.S. and A.M.W.; methodology, M.K. (Mukesh Kumar), R.K.S. and A.M.W.; validation, M.K. (Mukesh Kumar), R.D.R. and M.K. (Manoj Kumar); investigation, M.K. (Mukesh Kumar), R.K.S. and A.M.W.; resources, R.D.R. and M.K. (Manoj Kumar); data curation, M.K. (Mukesh Kumar) and R.K.S.; writing—original draft preparation, M.K. (Mukesh Kumar); writing—review and editing, M.K. (Mukesh Kumar), R.K.S. and A.M.W.; visualization, R.D.R. and M.K. (Manoj Kumar). All authors have read and agreed to the published version of the manuscript.
Funding
This research received no external funding.
Data Availability Statement
The data presented in this study are available on request from the corresponding author.
Acknowledgments
Authors are grateful to the director of ICAR-Central Institute of Agricultural Engineering, Bhopal, for constantly supervising and giving invaluable suggestions throughout the course of the research work.
Conflicts of Interest
The authors declare no conflicts of interest.
References
- Anonymous. Annual Report 2023–24; Department of Agriculture, Cooperation & Farmers Welfare, Ministry of Agriculture & Farmers Welfare, Government of India: New Delhi, India, 2024. Available online: https://agriwelfare.gov.in/Documents/AR_English_2023_24.pdf (accessed on 27 October 2024).
- Wang, Z.; Zhang, W.; Beebout, S.S.; Zhang, H.; Liu, L.; Yang, J.; Zhang, J. Grain yield, water and nitrogen use efficiencies of rice as influenced by irrigation regimes and their interaction with nitrogen rates. Field Crops Res. 2016, 193, 54–69. [Google Scholar] [CrossRef]
- Belder, P.; Bouman, B.A.M.; Cabangon, R.; Guoan, L.; Quilang, E.J.P.; Li, Y.; Spiertz, J.H.J.; Tuong, T.P. Effect of water saving irrigation on rice yield and water use in typical lowland conditions in Asia. Agric. Water Manag. 2004, 65, 193–210. [Google Scholar] [CrossRef]
- Bouman, B.A.M.; Tuong, T.P. Field water management to save water and increase its productivity in irrigated lowland rice. Agric. Water Manag. 2001, 49, 11–30. [Google Scholar] [CrossRef]
- Sharda, R.; Mahajan, G.; Siag, M.; Singh, A.; Chauhan, B.S. Performance of drip irrigated dry-seeded rice (Oryza sativa L.) in South Asia. Paddy Water Environ. 2016, 15, 93–100. [Google Scholar] [CrossRef]
- Thakur, A.K.; Mandal, K.G.; Mohanty, R.K.; Ambast, S.K. Rice root growth, photosynthesis, yield and water productivity improvements through modifying cultivation practices and water management. Agric. Water Manag. 2018, 206, 67–77. [Google Scholar] [CrossRef]
- Darzi-Naftchali, A.; Ritzema, H.; Karandish, F.; Mokhtassi-Bidgoli, A.; Ghasemi-Nasr, M. Alternate wetting and drying for different subsurface drainage systems to improve paddy yield and water productivity in Iran. Agric. Water Manag. 2017, 193, 221–231. [Google Scholar] [CrossRef]
- Yao, F.; Huang, J.; Cui, K.; Nie, L.; Xiang, J.; Liu, X.; Wu, W.; Chen, M.; Peng, S. Agronomic performance of high-yielding rice variety grown under alternate wetting and drying irrigation. Field Crops Res. 2012, 126, 16–22. [Google Scholar] [CrossRef]
- Ye, Y.; Liang, X.; Chen, Y.; Liu, J.; Gu, J.; Guo, R.; Li, L. Alternate wetting and drying irrigation and controlled-release nitrogen fertilizer in late-season rice: Effects on dry matter accumulation, yield, water and nitrogen use. Field Crops Res. 2013, 144, 212–224. [Google Scholar] [CrossRef]
- Chu, G.; Chen, T.; Chen, S.; Xu, C.; Wang, D.; Zhang, X. Agronomic performance of drought-resistant rice cultivars grown under alternate wetting and drying irrigation management in southeast China. Crop J. 2018, 6, 482–494. [Google Scholar] [CrossRef]
- Nalley, L.L.; Linquist, B.; Kovacs, K.F.; Anders, M.M. The economic viability of alternate wetting and drying irrigation in Arkansas rice production. Agron. J. 2015, 107, 579–587. [Google Scholar] [CrossRef]
- Yang, J.; Zhou, Q.; Zhang, J. Moderate wetting and drying increases rice yield and reduces water use, grain arsenic level, and methane emission. Crop. J. 2017, 5, 151–158. [Google Scholar] [CrossRef]
- Carrijo, D.R.; Lundy, M.E.; Linquist, B.A. Rice yields and water use under alternate wetting and drying irrigation: A meta-analysis. Field Crops Res. 2017, 203, 173–180. [Google Scholar] [CrossRef]
- Ishfaq, M.; Farooq, M.; Zulifiquar, U.; Hussain, S.; Akbar, N.; Ahmad, N.; Anjum, S.A. 2020 Alternate wetting and drying: A water-saving and ecofriendly rice production system. Agric. Water Manag. 2020, 241, 106363. [Google Scholar] [CrossRef]
- Mallareddy, M.; Thirumalaikumar, R.; Balasubramanian, P.; Naseeruddin, R.; Nithya, N.; Mariadoss, A.; Eazhilkrishna, N.; Choudhary, A.K.; Deiveegan, M.; Subramanian, E.; et al. Maximizing Water Use Efficiency in Rice Farming: A Comprehensive Review of Innovative Irrigation Management Technologies. Water 2023, 15, 1802. [Google Scholar] [CrossRef]
- Sahni, R.K.; Kumar, V.; Kumar, S.P.; Chandel, N.S.; Tiwari, P.S. Precision Agriculture Technologies. Available online: https://biotecharticles.com/Agriculture-Article/Precision-Agriculture-Technologies-4383.html (accessed on 27 October 2024).
- Tiwari, P.S.; Sahni, R.K.; Kumar, S.P.; Kumar, V.; Chandel, N.S. Precision agriculture applications in horticulture. Pantnagar J. Res. 2019, 17, 1–10. [Google Scholar]
- Xiao, D.; Feng, J.; Wang, N.; Luo, X.; Hu, Y. Integrated soil moisture and water depth sensor for paddy fields. Comput. Electron. Agric. 2013, 98, 214–221. [Google Scholar] [CrossRef]
- Goap, A.; Sharma, D.; Shukla, A.K.; Krishna, C.R. An IoT based smart irrigation management system using Machine learning and open source technologies. Comput. Electron. Agric. 2018, 155, 41–49. [Google Scholar] [CrossRef]
- Kumar, M.; Sahni, R.K.; Waghaye, A.M.; Nayak, A.K.; Kumar, D. Automated Irrigation System for Rice: A Review. Andhra Agric. J. 2018, 65, 324–329. [Google Scholar]
- Barkunan, R.; Bhanumati, V.; Sethuram, J. Smart sensor for automatic drip irrigation system for paddy cultivation. Comput. Electr. Eng. 2019, 73, 180–193. [Google Scholar] [CrossRef]
- Garcia, L.; Parra, L.; Jimenez, J.M.; Lloret, J.; Lorenz, P. IoT-Based Smart Irrigation Systems: An Overview on the Recent Trends on Sensors and IoT Systems for Irrigation in Precision Agriculture. Sensors 2020, 20, 1042. [Google Scholar] [CrossRef]
- Lee, J. Evaluation of Automatic Irrigation System for Rice Cultivation and Sustainable Agriculture Water Management. Sustainability 2022, 14, 11044. [Google Scholar] [CrossRef]
- Pfitscher, L.L.; Bernardon, D.P.; Kopp, L.M.; Montani, P.B.; Thome, B. Automatic Control of Irrigation Systems Aiming at High Energy Efficiency in Rice Crops. In Proceedings of the 8th International Caribbean Conference on Devices, Circuits and Systems (ICCDCS), Playa del Carmen, Mexico, 14–17 March 2012. [Google Scholar]
- Obota, M.E.; Inyama, H.C. Soil Moisture Based Irrigation Control System for Rice Cropping Using Wireless Sensor Network. Int. J. Eng. Sci. 2013, 2, 37–43. [Google Scholar]
- Jagtap, S.P.; Shelke, D.S. Wireless Automatic Irrigation System Based On WSN and GSM. J. Electron. Commun. Eng. 2014, 9, 13–17. [Google Scholar] [CrossRef]
- Geoffrey, G.; de Dieu, M.J.; Pierre, N.J.; Aimable, T. Design of Automatic Irrigation System for Small Farmers in Rwanda. Agric. Sci. 2015, 6, 291–294. [Google Scholar] [CrossRef]
- Kavitha, T. Programmable Irrigation Control System Using Li-Fi. Int. J. Innov. Res. Sci. Eng. Technol. 2015, 4, 355–363. [Google Scholar]
- Pushpavel, S.; Saravanan, P. Raspberry Pi Using IR Thermal Camera in Agriculture Farm for Smart Irrigation System. Int. Res. J. Eng. Technol. 2015, 2, 464–467. [Google Scholar]
- Francis, S.A.; Amarnath, M.; Arunsangar, P.; Kumar, S.G.; Gnanasundari, P. Advanced Irrigation System for Farmers Based on Sensor Networks. Int. J. Adv. Eng. Technol. 2016, 9, 194–198. [Google Scholar]
- Jadhav, S.; Hambarde, S. Android Based Automated Irrigation System Using Raspberry Pi. Int. J. Sci. Res. 2016, 5, 2345–2351. [Google Scholar]
- Usha, N.; Menakadevi, T. Design of Smart Irrigation System Using Raspberry Pi for Agriculture. Int. J. Innov. Res. Sci. Eng. Technol. 2017, 6, 39–43. [Google Scholar]
- Tolentino, L.K.S.; Bacaltos, P.C.; Cruz, R.M.V.; Cruz, N.J.S.D.; Medina, L.R.S.; Panergalin, J.V.; Padilla, M.V.C.; Velasco, J.S. Autogation: An Alternate Wetting and Drying-Based Automatic Irrigation and Paddy Water Level Control System through Internet of Things. AGRIVITA J. Agric. Sci. 2021, 43, 479–494. [Google Scholar] [CrossRef]
- Cruz, K.M.S.D.; Ella, V.B.; Suministrado, D.C.; Pereira, G.S.; Agulto, E.S. A Low-Cost Wireless Sensor for Real-Time Monitoring of Water Level in Lowland Rice Field under Alternate Wetting and Drying Irrigation. Water 2022, 14, 4128. [Google Scholar] [CrossRef]
- Bouman, B.A.M.; Lampayan, R.M.; Tuong, T.P. Water Management in Irrigated Rice: Coping with Water Scarcity; International Rice Research Institute: Los Baños, Philippines, 2007. [Google Scholar]
- Johnson, J.M.; Becker, M.; Kaboré, J.E.P.; Dossou-Yovo, E.R.; Saito, K. Alternate wetting and drying: A water-saving technology for sustainable rice production in Burkina Faso? Nutr. Cycl. Agroecosyst. 2024, 129, 93–111. [Google Scholar] [CrossRef]
- Li, Z.; Li, Z.; Letuma, P.; Zhao, H.; Zhang, Z.; Lin, W.; Chen, H.; Lin, W. A Positive Response of Rice Rhizosphere to Alternate Moderate Wetting and Drying Irrigation at Grain Filling Stage. Agric. Water Manag. 2018, 207, 26–36. [Google Scholar] [CrossRef]
- Mote, K.; Rao, V.P.; Anitha, V. Alternate wetting and drying irrigation technology in rice. Indian Farming 2020, 70, 6–9. [Google Scholar]
- Kano-Nakata, M.; Inukai, Y.; Wade, L.J.; Joel, D.L.C.S.; Yamauchi, A. Root Development, Water Uptake, and Shoot Dry Matter Production under Water Deficit Conditions in Two CSSLs of Rice: Functional Roles of Root Plasticity. Plant Prod. Sci. 2011, 14, 307–317. [Google Scholar] [CrossRef]
- Howell, T.A.; Tolk, J.A.; Schneider, A.D.; Evett, S.R. Evapotranspiration, Yield and Water Use Efficiency of Corn Hybrids Differing in Maturity. Agron. J. 1998, 90, 3–9. [Google Scholar] [CrossRef]
- Howell, T.A. Enhancing Water Use Efficiency in Irrigated Agriculture. Agron. J. 2001, 93, 189–281. [Google Scholar] [CrossRef]
- Yang, J.C.; Zhang, J.H. Crop Management Techniques to Enhance Harvest Index in Rice. J. Exp. Bot. 2010, 61, 3177–3189. [Google Scholar] [CrossRef]
- Zhang, H.; Chen, T.; Wang, Z.; Yang, J.; Zhang, J. Involvement of Cytokinins in the Grain Filling of Rice under Alternate Wetting and Drying Irrigation. J. Exp. Bot. 2010, 61, 3719–3733. [Google Scholar] [CrossRef]
- Chu, G.; Chen, T.; Wang, Z.; Yang, J.; Zhang, J. Morphological and physiological traits of roots and their relationships with water productivity in water-saving and drought-resistant rice. Field Crops Res. 2014, 162, 108–119. [Google Scholar] [CrossRef]
- Yang, C.; Yang, L.; Yang, Y.; Ouyang, Z. Rice root growth and nutrient uptake as influenced by organic manure in continuously and alternately flooded paddy soils. Agric. Water Manag. 2004, 70, 67–81. [Google Scholar] [CrossRef]
- Liang, K.; Zhong, X.; Huang, N.; Lampayan, R.M.; Pan, J.; Tian, K. Grain yield, water productivity and CH4 emission of irrigated rice in response to water management in south China. Agric. Water Manag. 2016, 163, 319–331. [Google Scholar] [CrossRef]
- Jabran, K.; Hussain, M.; Fahad, S.; Farooq, M.; Bajwa, A.A.; Alharrby, H.; Nasim, W. Economic assessment of different mulches in conventional and water-saving rice production systems. Environ. Sci. Pollut. Res. 2016, 23, 9156–9163. [Google Scholar] [CrossRef] [PubMed]
- Oliver, M.M.H.; Talukder, M.S.U.; Ahmed, M. Alternate wetting and drying irrigation for rice cultivation. J. Bangladesh Agril. Univ. 2008, 6, 409–414. [Google Scholar] [CrossRef]
- Lagomarsino, A.; Agnelli, A.E.; Linquist, B.; Adviento-Borbe, M.A.; Agnelli, A.; Gavina, G.; Ravaglia, S.; Ferrara, R.M. Alternate wetting and drying of rice reduced CH4 emissions but triggered N2O peaks in a clayey soil of central Italy. Pedosphere 2016, 26, 533–548. [Google Scholar] [CrossRef]
- Chu, G.; Chen, T.; Chen, S.; Xu, C.; Zhang, X.; Wang, D. The effect of alternate wetting and severe drying irrigation on grain yield and water use efficiency of Indica japonica hybrid rice (Oryza sativa L.). Food Energy Sec. 2018, 7, e00133. [Google Scholar] [CrossRef]
- Price, A.H.; Norton, G.J.; Salt, D.E.; Ebenhoeh, O.; Meharg, A.A.; Meharg, C.; Islam, M.R.; Sarma, R.N.; Dasgupta, T.; Ismail, A.M.; et al. Alternate Wetting and Drying Irrigation for Rice in Bangladesh: Is It Sustainable and Has Plant Breeding Something to Offer? Food Energy Secur. 2013, 2, 120–129. [Google Scholar] [CrossRef]
- Matsuo, N.; Mochizuki, T. Growth and Yield of Six Rice Cultivars under Three Water-Saving Cultivations. Plant Prod. Sci. 2009, 12, 514–525. [Google Scholar] [CrossRef]
Disclaimer/Publisher’s Note: The statements, opinions and data contained in all publications are solely those of the individual author(s) and contributor(s) and not of MDPI and/or the editor(s). MDPI and/or the editor(s) disclaim responsibility for any injury to people or property resulting from any ideas, methods, instructions or products referred to in the content. |
© 2024 by the authors. Licensee MDPI, Basel, Switzerland. This article is an open access article distributed under the terms and conditions of the Creative Commons Attribution (CC BY) license (https://creativecommons.org/licenses/by/4.0/).












