Patient-Reported Outcomes and Survival Following Pancreatic Cancer Resection—Results from a Cross-Section Study
Abstract
:Simple Summary
Abstract
1. Introduction
2. Results
2.1. Characteristics of the Included Participants
2.2. Questionnaire Response Rate
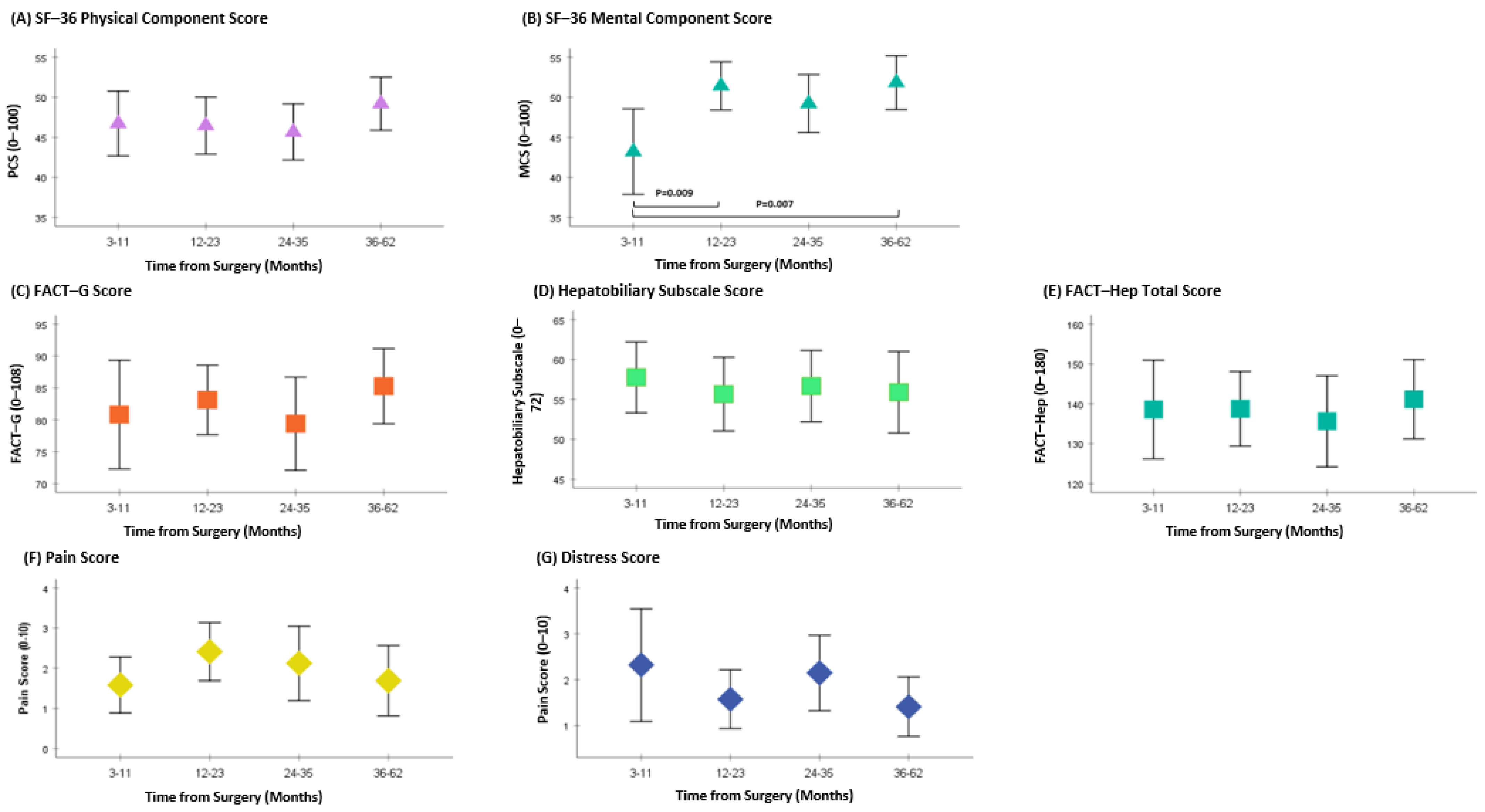
2.3. Patient-Reported Outcomes
2.4. Survival
3. Materials and Methods
3.1. Study Design and Setting
3.2. Participants
3.3. Clinical Data Collection
3.4. Patient-Reported Outcomes Data Collection
3.5. Statistical Analysis
4. Discussion
4.1. Strengths and Weaknesses of This Study
4.2. Strengths and Weaknesses Compared to Other Studies
5. Conclusions
Author Contributions
Funding
Institutional Review Board Statement
Informed Consent Statement
Data Availability Statement
Acknowledgments
Conflicts of Interest
References
- Pancreatic Cancer Statistics. 2020. Available online: https://www.canceraustralia.gov.au/affected-cancer/cancer-types/pancreatic-cancer/pancreatic-cancer-australia-statistics (accessed on 15 November 2020).
- Ilic, M.; Ilic, I. Epidemiology of pancreatic cancer. World J. Gastroenterol. 2016, 22, 9694–9705. [Google Scholar] [CrossRef]
- Loveday, B.P.T.; Lipton, L.; Thomson, B.N. Pancreatic cancer: An update on diagnosis and management. Aust. J. Gen. Pract. 2019, 48, 826–831. [Google Scholar] [CrossRef]
- Treatment Options. 2020. Available online: https://www.canceraustralia.gov.au/cancer-types/pancreatic-cancer/treatment (accessed on 15 November 2020).
- Urbach, D.R. Measuring quality of life after surgery. Surg. Innov. 2005, 12, 161–165. [Google Scholar] [CrossRef]
- Fitzmaurice, C.; Seiler, C.M.; Buchler, M.W.; Diener, M.K. Survival, mortality and quality of life after pylorus-preserving or classical Whipple operation. A systematic review with meta-analysis. Der Chir. 2010, 81, 454–471. [Google Scholar] [CrossRef]
- Braga, M.; Pecorelli, N.; Ferrari, D.; Balzano, G.; Zuliani, W.; Castoldi, R. Results of 100 consecutive laparoscopic distal pancreatectomies: Postoperative outcome, cost-benefit analysis, and quality of life assessment. Surg. Endosc. 2015, 29, 1871–1878. [Google Scholar] [CrossRef]
- Casadei, R.; Monari, F.; Buscemi, S.; Laterza, M.; Ricci, C.; Rega, D.; D’Ambra, M.; Pezzilli, R.; Calculli, L.; Santini, D.; et al. Total pancreatectomy: Indications, operative technique, and results: A single centre experience and review of literature. Updates Surg. 2010, 62, 41–46. [Google Scholar] [CrossRef]
- Ware, J.E., Jr.; Sherbourne, C.D. The MOS 36-item short-form health survey (SF-36). I. Conceptual framework and item selection. Med. Care 1992, 30, 473–483. [Google Scholar] [CrossRef]
- Heffernan, N.; Cella, D.; Webster, K.; Odom, L.; Martone, M.; Passik, S.; Bookbinder, M.; Fong, Y.; Jarnagin, W.; Blumgart, L. Measuring health-related quality of life in patients with hepatobiliary cancers: The functional assessment of cancer therapy-hepatobiliary questionnaire. J. Clin. Oncol. 2002, 20, 2229–2239. [Google Scholar] [CrossRef]
- Haefeli, M.; Elfering, A. Pain assessment. Eur. Spine J. 2006, 15 (Suppl. S1), S17–S24. [Google Scholar] [CrossRef]
- Network, N.C.C. NCCN practice guidelines for the management of psychosocial distress. Oncology 1999, 13, 113–147. [Google Scholar]
- Cloyd, J.M.; Tran Cao, H.S.; Petzel, M.Q.; Denbo, J.W.; Parker, N.H.; Nogueras-González, G.M.; Liles, J.S.; Kim, M.P.; Lee, J.E.; Vauthey, J.N.; et al. Impact of pancreatectomy on long-term patient-reported symptoms and quality of life in recurrence-free survivors of pancreatic and periampullary neoplasms. J. Surg. Oncol. 2017, 115, 144–150. [Google Scholar] [CrossRef]
- Petzel, M.Q.; Parker, N.H.; Valentine, A.D.; Simard, S.; Nogueras-Gonzalez, G.M.; Lee, J.E.; Pisters, P.W.; Vauthey, J.N.; Fleming, J.B.; Katz, M.H. Fear of cancer recurrence after curative pancreatectomy: A cross-sectional study in survivors of pancreatic and periampullary tumors. Ann. Surg. Oncol. 2012, 19, 4078–4084. [Google Scholar] [CrossRef]
- Yeo, T.P.; Burrell, S.A.; Sauter, P.K.; Kennedy, E.P.; Lavu, H.; Leiby, B.E.; Yeo, C.J. A progressive postresection walking program significantly improves fatigue and health-related quality of life in pancreas and periampullary cancer patients. J. Am. Coll. Surg. 2012, 214, 463–475; discussion 475–477. [Google Scholar] [CrossRef]
- Belyaev, O.; Herzog, T.; Chromik, A.M.; Meurer, K.; Uhl, W. Early and late postoperative changes in the quality of life after pancreatic surgery. Langenbeck Arch. Surg. 2013, 398, 547–555. [Google Scholar] [CrossRef]



| Variables | Overall (N = 278) | Time from Surgery (Months) | p Values | |||
|---|---|---|---|---|---|---|
| 3 to 11 (N = 65) | 12 to 23 (N = 90) | 24 to 35 (N = 62) | 36 to 62 (N = 61) | |||
| Age (years) | 65.1 ± 13.2 | 67.2 ± 10.1 | 61.3 ± 14.1 | 65.8 ± 14.9 | 67.6 ± 11.7 | 0.009 |
| Gender | ||||||
| Male | 141 (50.7) | 36 (55.4) | 41 (45.6) | 30 (48.4) | 34 (55.7) | 0.52 |
| Female | 137 (49.3) | 29 (44.6) | 49 (54.4) | 32 (51.6) | 27 (44.3) | |
| Deceased | ||||||
| Yes | 73 (26.3) | 33 (50.8) | 29 (32.2) | 8 (12.9) | 3 (4.9) | <0.001 |
| No | 205 (73.7) | 32 (49.2) | 61 (67.8) | 54 (87.1) | 58 (95.1) | |
| Procedure | ||||||
| Whipple’s | 169 (60.8) | 44 (67.7) | 55 (61.1) | 31 (50.0) | 39 (63.9) | 0.18 |
| Pancreatectomy (Distal/Partial) | 85 (30.6) | 14 (21.5) | 25 (27.8) | 28 (45.2) | 18 (29.5) | |
| Total pancreatectomy | 9 (3.2) | 3 (4.6) | 5 (5.6) | - | 1 (1.6) | |
| Other | 15 (15.4) | 4 (6.2) | 5 (5.6) | 3 (4.8) | 3 (4.9) | |
| Cancer | ||||||
| Benign | 36 (12.9) | 12 (18.5) | 10 (11.1) | 8 (12.9) | 6 (9.8) | 0.02 |
| Premalignant | 54 (19.4) | 5 (7.7) | 15 (16.7) | 14 (22.6) | 20 (32.8) | |
| Malignant | 188 (67.6) | 48 (73.8) | 65 (72.2) | 40 (64.5) | 35 (57.4) | |
| Pathology | ||||||
| Adenocarcinoma | 118 (42.4) | 33 (50.8) | 44 (48.9) | 22 (35.5) | 19 (31.1) | 0.06 |
| Pancreatic Neuroendocrine Tumour | 39 (14.0) | 9 (13.8) | 9 (10.0) | 12 (19.4) | 9 (14.8) | |
| Premalignant Tumour | 54 (19.4) | 5 (7.7) | 15 (16.7) | 14 (22.6) | 20 (32.8) | |
| Other Malignancy | 31 (11.2) | 6 (9.2) | 12 (13.3) | 6 (9.7) | 7 (11.5) | |
| Benign | 36 (12.9) | 12 (18.5) | 10 (11.1) | 8 (12.9) | 6 (9.8) | |
| Complications | ||||||
| Yes | 104 (37.4) | 34 (52.3) | 30 (33.3) | 17 (27.4) | 23 (37.7) | 0.02 |
| No | 174 (62.6) | 31 (47.7) | 60 (66.7) | 45 (72.6) | 38 (62.3) | |
| Complication Grade | ||||||
| Minor (Grade I–II) | 80 (76.9) | 23 (67.6) | 22 (73.3) | 13 (76.5) | 22 (95.7) | 0.07 |
| Major (Grade III–V) | 24 (23.1) | 11 (32.4) | 8 (26.7) | 4 (23.5) | 1 (4.3) | |
| Discharge destination | ||||||
| Home | 263 (96.7) | 54 (91.5) | 87 (96.7) | 62 (100) | 60 (98.4) | 0.06 |
| Other | 9 (3.3) | 5 (8.5) | 3 (3.3) | - | 1 (1.6) | |
Disclaimer/Publisher’s Note: The statements, opinions and data contained in all publications are solely those of the individual author(s) and contributor(s) and not of MDPI and/or the editor(s). MDPI and/or the editor(s) disclaim responsibility for any injury to people or property resulting from any ideas, methods, instructions or products referred to in the content. |
© 2023 by the authors. Licensee MDPI, Basel, Switzerland. This article is an open access article distributed under the terms and conditions of the Creative Commons Attribution (CC BY) license (https://creativecommons.org/licenses/by/4.0/).
Share and Cite
Toms, C.; Sandroussi, C.; Yeo, D.; Morkaya, J.; Pulitano, C.; Steffens, D. Patient-Reported Outcomes and Survival Following Pancreatic Cancer Resection—Results from a Cross-Section Study. Gastrointest. Disord. 2023, 5, 508-516. https://doi.org/10.3390/gidisord5040042
Toms C, Sandroussi C, Yeo D, Morkaya J, Pulitano C, Steffens D. Patient-Reported Outcomes and Survival Following Pancreatic Cancer Resection—Results from a Cross-Section Study. Gastrointestinal Disorders. 2023; 5(4):508-516. https://doi.org/10.3390/gidisord5040042
Chicago/Turabian StyleToms, Clare, Charbel Sandroussi, David Yeo, James Morkaya, Carlo Pulitano, and Daniel Steffens. 2023. "Patient-Reported Outcomes and Survival Following Pancreatic Cancer Resection—Results from a Cross-Section Study" Gastrointestinal Disorders 5, no. 4: 508-516. https://doi.org/10.3390/gidisord5040042
APA StyleToms, C., Sandroussi, C., Yeo, D., Morkaya, J., Pulitano, C., & Steffens, D. (2023). Patient-Reported Outcomes and Survival Following Pancreatic Cancer Resection—Results from a Cross-Section Study. Gastrointestinal Disorders, 5(4), 508-516. https://doi.org/10.3390/gidisord5040042

