Next Article in Journal
Buffer pH-Driven Electrokinetic Concentration of Proteins in a Straight Microfluidic Channel
Next Article in Special Issue
W/Si Multilayer Mirrors for Soft X-Ray Wavelengths < 2.4 nm
Previous Article in Journal
XPS Investigation of Sol–Gel Bioactive Glass Synthesized with Geothermal Water
Previous Article in Special Issue
Co-Effect of pH Control Agent and pH Value on the Physical Properties of ZnO Thin Films Obtained by Chemical Bath Deposition for Potential Application in Dye-Sensitized Solar Cells
 
 
Font Type:
Arial Georgia Verdana
Font Size:
Aa Aa Aa
Line Spacing:
Column Width:
Background:
Article

Morphological and Functional Evolution of Amorphous AlN Thin Films Deposited by RF-Magnetron Sputtering

1
R&D Center for Materials and Electronic & Optoelectronic Devices (MDEO), Faculty of Physics, University of Bucharest, Atomiștilor Street 405, 077125 Măgurele, Romania
2
Extreme Light Infrastructure-Nuclear Physics, IFIN-HH, 30 Reactorului Street, 077125 Magurele, Romania
3
“Horia Hulubei” National R&D Institute for Physics and Nuclear Engineering (IFIN-HH), Reactorului Street 30, 077125 Măgurele, Romania
4
National Institute for Research and Development in Microtehnologies IMT-Bucharest, 023573 Voluntari, Ilfov, Romania
5
Romanian Inspace Engineering (RISE), Atomiștilor Street 409, 077125 Măgurele, Romania
6
Institute of Condensed Matter and Nanosciences (IMCN), Université Catholique de Louvain (UCLouvain), Place Croix du Sud 1, B-1348 Louvain-la-Neuve, Belgium
7
Center of Materials Technology and Photonics and Innovation Center (PEK), Hellenic Mediterranean University (HMU), 71410 Heraklion, Greece
8
Academy of Romanian Scientists (AOSR), Ilfov Street 3, 050045 Bucharest, Romania
*
Authors to whom correspondence should be addressed.
Surfaces 2025, 8(3), 51; https://doi.org/10.3390/surfaces8030051
Submission received: 9 June 2025 / Revised: 9 July 2025 / Accepted: 14 July 2025 / Published: 17 July 2025
(This article belongs to the Special Issue Surface Engineering of Thin Films)

Abstract

Aluminum nitride (AlN) thin films were deposited on SiO2 substrates by RF-magnetron sputtering at varying powers (110–140 W) and subsequently subjected to thermal annealing at 450 °C under nitrogen atmosphere. A comprehensive multi-technique investigation—including X-ray reflectometry (XRR), X-ray diffraction (XRD), scanning electron microscopy (SEM), atomic force microscopy (AFM), optical profilometry, spectroscopic ellipsometry (SE), and electrical measurements—was performed to explore the physical structure, morphology, and optical and electrical properties of the films. The analysis of the film structure by XRR revealed that increasing sputtering power resulted in thicker, denser AlN layers, while thermal treatment promoted densification by reducing density gradients but also induced surface roughening and the formation of island-like morphologies. Optical studies confirmed excellent transparency (>80% transmittance in the near-infrared region) and demonstrated the tunability of the refractive index with sputtering power, critical for optoelectronic applications. The electrical characterization of Au/AlN/Al sandwich structures revealed a transition from Ohmic to trap-controlled space charge limited current (SCLC) behavior under forward bias—a transport mechanism frequently present in a material with very low mobility, such as AlN—while Schottky conduction dominated under reverse bias. The systematic correlation between deposition parameters, thermal treatment, and the resulting physical properties offers valuable pathways to engineer AlN thin films for next-generation optoelectronic and high-frequency device applications.

Graphical Abstract

1. Introduction

In recent years, aluminum nitride (AlN) thin films have gained significant attention for their application in high-frequency electronics, optoelectronic devices, and piezoelectric systems, owing to their wide bandgap, high thermal conductivity, and excellent transparency in the UV–NIR region. However, tailoring the structural and optical properties of AlN films through controlled fabrication processes remains a critical challenge for device optimization. In this context, the present work offers a systematic investigation of RF-magnetron sputtered AlN thin films as a function of sputtering power and subsequent thermal annealing. By combining advanced characterization techniques—including X-ray reflectometry (XRR), scanning electron microscopy (SEM), atomic force microscopy (AFM), optical profilometry, and spectroscopic ellipsometry (SE)—this study provides new insights into the interplay between deposition parameters, morphological evolution, densification behavior, and optical performance. Despite extensive research on crystalline AlN, fewer studies have addressed the morphological and electrical behavior of amorphous AlN thin films, particularly regarding conduction mechanisms and thermally induced surface restructuring. Our study aims to fill this gap by systematically correlating sputtering power and annealing effects with optical constants, microstructural uniformity, and electrical conduction behavior. Special emphasis is placed on the role of post-deposition annealing in modifying surface roughness, density gradients, and optical constants, offering a pathway to engineer AlN thin films for specific device requirements. AlN thin films have excellent properties such as a wide direct optical band gap (up to 6.2 eV in wurtzite phase), good piezoelectricity along the c-axis, high phase velocities, good thermal conductivity, high electrical resistivity, high hardness, and high thermal and chemical stability (melting temperature is ~3000 °C) [1,2,3,4,5,6,7,8,9,10,11].
The surface morphology and microstructure of AlN thin films play a pivotal role in determining their functional performance across optoelectronic, piezoelectric, and MEMS/NEMS applications. High-quality epitaxial AlN layers grown via MOCVD or MBE exhibit low dislocation densities and smooth surfaces, which are critical for UV photonics and high-efficiency device interfaces [1]. Recent developments in epitaxial AlN growth for UV photonics, including studies such as Zhou et al. [2], have underscored the need for complementary approaches using amorphous films for flexible or low-temperature applications, where crystalline quality may be sacrificed for process compatibility. In sputtered films, microstructure—particularly crystallite orientation and grain size—strongly influences piezoelectric response and mechanical integrity [5,6,12]. For example, the ability to switch between (101) and (002) orientations by tuning deposition parameters directly affects residual stress and polarization direction [12], while Sc doping induces changes in microstructure that enhance piezoelectric coefficients [13]. Comparative studies between sputtered and PEALD AlN films demonstrate how denser, more textured microstructures lead to higher hardness and modulus, whereas smoother, more conformal ALD films offer better stress tunability [14].
Surface roughness, grain boundary density, and crystal defects such as vacancies or dislocations not only affect electrical and mechanical properties but also influence film adhesion, long-term stability, and integration compatibility with other materials in multilayer stacks [4,8,14]. The growing interest in 2D AlN and flexible electronics further raises challenges regarding nanoscale uniformity and atomic-level surface engineering [7].
Despite progress, the current literature reveals a gap in systematic correlative studies that link specific surface features and microstructural metrics (e.g., roughness, grain orientation distributions, defect densities) with long-term device performance under operational conditions. As AlN applications expand into energy harvesting, acoustic imaging, and integrated photonics, further in-depth investigations are needed—particularly those combining advanced microscopy (e.g., AFM) with functional testing—to establish robust microstructure–property–performance relationships.
A large variety of deposition techniques have been used to prepare AlN thin films, like radio frequency (RF)-magnetron sputtering [12,13,14], molecular beam epitaxy (MBE) [15,16], chemical vapor deposition (CVD) [17,18,19], pulsed laser deposition (PLD) [20,21,22], etc.
This paper presents the deposition of AlN thin films by radio frequency (RF)-magnetron sputtering, since this deposition technique has been proven to ensure an excellent control of film thickness uniformity, as shown in some of our previous studies [23,24,25,26] that provide robust evidence supporting this claim across a variety of II–VI semiconductor materials (CdS, ZnS, ZnSe), which exhibit similar deposition behavior and challenges to group-III nitrides like AlN. In [23], RF-sputtered CdS films demonstrated a highly uniform thickness distribution across the substrate, which was essential for obtaining homogeneous optical transmittance and reproducible bandgap values. The deposition technique ensured nanocrystalline morphology with smooth surface profiles, indicating uniform growth rates across the substrate area. Reference [24] highlights the fabrication of ZnS and ZnSe layers for double-heterojunction photovoltaic devices. It is emphasized that excellent thickness control was achieved via RF sputtering, which enabled reproducible layer stacking and interface engineering in multi-layer configurations—crucial for device consistency. In [25,26], further investigations on ZnSe films revealed that both film thickness and surface morphology were precisely tunable through RF power and deposition time. Uniformity across the wafer was verified through profilometry and corroborated by consistent structural and optical properties (bandgap, crystallite size, roughness) over large deposition areas. This work focuses mainly on the influence of the RF sputtering power on the structural, morphological, and optical properties of as-sputtered AlN thin films followed by thermal annealing, since there are a limited number of reports regarding the correlation between the RF plasma power assisting the sputtering and the physical properties of the obtained AlN thin films, including surface properties, to be used in optoelectronic applications. The electrical characterization of the prepared thin films was also performed, to see if the AlN thin films could be used as gate electrodes in Transparent Field Effect Transistors.

2. Materials and Methods

Thin films of AlN were deposited by RF-magnetron sputtering on SiO2 substrates, using Aluminium Nitride Target, AlN, 99.8% Pure, 2.00” diameter × 0.125” thick, commercially available from Kurt J. Lesker Company. The frequency of the RF generator was fixed at 13.56 MHz. Before starting the sputtering, the deposition chamber was first evacuated at 10−5 mbar; then, Ar gas was admitted at a working pressure of 3.4 ·10−3 mbar. The substrate’s temperature during deposition was fixed at 60° C. The substrate temperature was fixed at 60 °C, chosen as a low-thermal-budget condition to ensure uniform amorphous growth and minimize thermal diffusion at the interface. While not optimized for crystalline quality, this baseline temperature allowed a systematic comparison of RF power effects and thermal post-processing.
The AlN thin films were deposited with a sputtering time of 3 h, with the target-to-substrate distance fixed at 5 cm. For each deposition configuration, the sputtering power was varied between 110 W and 140 W, in 10 W steps. In such a manner, four samples, denoted as AlN110, AlN120, AlN130, and AlN140, were prepared. Post-deposition annealing was conducted at 450 °C for 30 min under a nitrogen flow (1.2–1.4 L/min). This annealing temperature was chosen to induce surface and structural reorganization without triggering crystallization, which typically requires significantly higher temperatures. Nitrogen was used as a protective inert atmosphere to prevent film oxidation and maintain stoichiometry. Although molecular nitrogen has limited reactivity at moderate temperatures, it ensures stable and reproducible conditions and is widely adopted in thin-film processing. The XRD measurements were performed using a Rigaku Smart Lab X-Ray diffractometer [27,28] with a HyPix-3000 detector and a Cu anode (λ = 1.5418 Å) at a maximum power of 9 kW. The films thicknesses were obtained from XRR together with roughness’s of the films as determined via optical profilometry. The XRR scans were performed using the Rigaku SmartLab X-Ray diffractometer [27,28], with a 9 kW rotating Cu anode, in parallel beam (PB) mode, with a Ge220x2 monochromator, using an open detector configuration in 0D scanning mode, at a speed of 0.5°/min with steps of 0.0024°.
The topography of the surface of fabricated AlN samples was analyzed by optical profilometry using a Sensofar S Neox white light profilometer and SensoSCAN 6.7 data analysis software. The optical profilometer has an XY resolution of ~ 0.16 µm and 0.1 nm Z resolution. A DI50x objective and an interferometric mode were used to determine the following surface characteristics of the AlN films: the arithmetic mean deviation of the surface (Sa), the root-mean-square (RMS) deviation of the surface (Sq), or the standard deviation of the height distribution. Morphological investigations of AlN thin films were performed by SEM using a high-resolution Tescan MAIA-3 FESEM (field emission scanning electron microscope) [28,29], operating at 2 kV beam accelerating voltage; the images were recorded using an In-Beam Secondary Electron detector.
The investigations of the optical properties were performed in ambient conditions by SE technique using a phase-modulated spectroscopic ellipsometer (from Horiba Jobin-Yvon, Palaiseau, France, model UVISEL 2). The light source was a non-polarized high-discharge Xe lamp (75 W power) and, after the reflection on AlN films surfaces, the light beam was analyzed using a photoelastic modulator (with a 50 kHz modulation frequency). Using a monochromator, the spectral range of investigations was from 260 nm to 2100 nm, with 5 nm increment. All the ellipsometry spectra were recorded at room temperature, at an incident angle of 70°. The configuration chosen for the modulator (M) and the analyzer (A) positions were M = 0° and A = 45°, respectively. In addition to the optical constants of as-sputtered AlN thin films, thicknesses of all AlN samples were computed by using SE, and their values were compared with direct profilometry measurements performed with the Dektak stylus profiler (from Veeco, New York, NY, USA. model Dektak 6M). These investigations were joined with the recorded absorption/transmission spectra of a double-beam LAMBDA 950 UV/VIS/NIR spectrophotometer.
The AlN thin films used for the electrical characterization were deposited by RF-MS at a power of 140 W onto glass substrates previously coated with an evaporated gold thin film back-electrode. The gold electrode was deposited by thermal vacuum evaporation (TVE) method at 10−4 mbar working pressure for 5 min, maintaining the temperature substrate of 100 °C during deposition, through a mask, conferring to the thin films the dimensions of 20 × 2 mm2. After the AlN deposition, an Al-top electrode was deposited, also by the thermal vacuum evaporation (TVE) method at 10−4 mbar working pressure for 1 min, followed by a thermal treatment at 100 °C for 10 min. The dimensions of the Al electrode were 10 × 2 mm2. In these conditions, the effective device area of the Au/AlN/Al “sandwich” structure formed by the overlap of the Au and Al electrodes was 0.04 cm2, more than two orders of magnitude smaller than the surface of the AlN thin film. The I–V characteristics in the dark of the Au/AlN/Al “sandwich” structure were measured at room temperature. From the XRR measurements, the thickness of the AlN thin films prepared for electrical investigations has been evaluated to 110 nm. The conduction mechanism and several electrical parameters of the structure were identified and calculated. The I–V characteristics measurement was performed using a Keithley DM-2400 electrometer and homemade software to interface it with the computer.

3. Results

3.1. Thin Film Structure Investigations

The XRD investigation of as-deposited and thermally treated films shows signs of a slight structural evolution in the as-deposited films after the thermal treatment, but they remained amorphous, as can be observed in Figure 1a,b.
The XRD investigation of as-deposited and thermally treated films shows signs of minor structural relaxation after annealing, but all samples remain amorphous, as confirmed by the absence of distinct diffraction peaks in both XRD patterns (Figure 1a,b). A low-angle diffraction feature is visible and attributed to the semi-amorphous nature of the SiO2 substrate. The results confirm that the annealing temperature of 450 °C was below the threshold required for AlN crystallization.
The XRR results, summarized in Table 1 and shown in Figure 2, demonstrate that the AlN layer thickness increased with increasing RF sputtering power. Untreated films showed total thicknesses ranging from 84 nm (110 W) to 101 nm (140 W), while thermally treated films showed slightly increased values due to densification effects. Notably, the most significant thickness increase occurs between 120 W and 130 W deposition power, suggesting a possible threshold behavior in deposition dynamics. While our current experimental design does not include intermediate values, further investigation with finer power increments (e.g., 125 W) will be considered in further investigations to confirm this possible transition point.
XRR modeling required multilayer fitting (5–6 layers) due to density gradients across film depth, which suggest non-uniform growth and internal structural relaxation. The relatively low Keissig fringe contrast further supports the presence of rough interfaces and gradual changes in film density. The surface roughness values extracted from XRR increased with power, from ~3.2 nm (110–120 W) to ~4.5 nm (130–140 W), with similar values observed for thermally treated films.
The numbers of AlN layers used for fitting are shown in Table 1. The XRR data indicate that the AlN layers’ thickness increases with deposition power for both sets of samples, with total thickness ranging from 83 nm for a 110 W film to 105 nm for a 140 W film. Density gradients and high substrate–film interface and surface roughness are also observed for these samples. No significant changes in thickness are observed between the films before and after thermal treatment. Slightly higher density gradients and interface and surface roughness are observed for treated films.
The fit to XRR data revealed a mean interface roughness of approximately 2.5 nm for both the untreated and thermally treated samples. With regards to the AlN layers’ surface roughness, a mean value of ~3.2 nm was determined for the 110 W and 120 W untreated samples, with a value of ~4.4 nm for the 130 W and 140 W ones.
On the other hand, in the case of the thermally treated samples, all layers showed a mean roughness value of ~4.5 nm. Upon analyzing the density values from XRR data for the two sets of samples, rising density gradients from the substrate interface to the surface of the AlN layer were observed for the 110 W and 120 W untreated samples, while, for their 130 W and 140 W counterparts, we noted only small density gradients along the films’ thickness. For the thermally treated samples, no density gradient was observed, independent of the deposition power.
These observations can be explained by the fact that increasing the RF sputtering power resulted in a higher deposition rate, leading to progressively thicker AlN films, as confirmed by XRR analysis. Although higher adatom mobility at elevated powers is generally expected to reduce surface roughness, the slight roughness increase observed is likely due to columnar growth phenomena and surface shadowing effects at high deposition rates.
While XRR provides total thickness based on electron density contrasts, spectroscopic ellipsometry (SE) and profilometry typically yield lower values (see Table 5) because they measure optical or mechanical film thickness and are less sensitive to low-density or porous top layers. This difference is not due to error but reflects methodological sensitivities: XRR captures full material density profiles, while SE/profilometry capture surface-functional thicknesses.
Concurrently, annealing induced a densification of the AlN layers, as evidenced by the disappearance of density gradients previously observed in the as-deposited films. After annealing at 450 °C, the XRR data indicate that, while the overall thickness remained nearly constant, a slight increase in surface/interface roughness occurred. Additionally, density gradients disappeared across all powers, indicating successful structural relaxation and densification during the thermal treatment.
The observed trends confirm that increasing RF sputtering power enhances deposition rate and densification, but also induces modest roughening, likely due to increased adatom arrival rates and columnar growth. Thermal annealing further modifies the internal structure by eliminating density gradients and facilitating the formation of island-like surface features observed in later morphological analysis.

3.2. Morphology Studies

The evolution of the AlN surface morphology as a function of RF sputtering power and thermal treatment was examined using SEM and AFM, complemented by optical profilometry. The evolution of surface morphology studied by SEM is given in Figure 3 for the untreated AlN films and in Figure 4 for the thermally treated ones.
SEM analysis of the as-deposited AlN thin films reveal a granular surface morphology across all samples. At lower RF powers (110 W and 120 W), the grains appeared relatively larger and more isolated, whereas increasing the RF power to 130 W and 140 W led to a noticeable reduction in grain size, accompanied by signs of agglomeration. This behavior can be attributed to the interplay between increased deposition rates and enhanced adatom mobility at higher powers, promoting the formation of smaller grains that cluster together during growth (see Figure 3). Figure 3 displays SEM micrographs of the as-deposited AlN films. All samples show a granular morphology, with grain size and distribution influenced by sputtering power. At lower powers (110 W and 120 W), grains are larger and more isolated. As the power increases to 130 W and 140 W, grain size decreases and agglomeration becomes more prominent. This behavior is attributed to increased adatom flux and mobility at higher RF powers, leading to enhanced nucleation rates and reduced critical cluster size—a phenomenon broadly consistent with classical nucleation theory under supersaturation conditions.
Post-annealing at 450 °C resulted in pronounced changes in surface morphology (Figure 4). Films deposited at 110 W and 120 W evolved into wavy, porous surfaces, whereas those deposited at 130 W and 140 W displayed flat, island-like domains. These changes reflect surface atom diffusion and stress relaxation, processes favored at elevated temperatures. From a thermodynamic perspective, the system tends to minimize the total free energy; the transformation from continuous to island-like morphology is expected when the sum of the film–substrate adhesion energy and the film surface energy exceeds the interfacial energy of a discrete island ensemble. This densification-driven transition is typical of amorphous films undergoing partial reorganization upon moderate annealing.
AFM images (Figure 5) confirmed the homogeneity of the as-deposited films and showed decreasing RMS roughness with increasing power—from 2.75 nm at 110 W to 1.17 nm at 130 W. This trend reflects smoother nanoscale surfaces at higher deposition energies. However, XRR data (Section 3.1) showed a slightly opposite trend, with increasing surface/interface roughness as power increased. This apparent inconsistency arises from the fundamental differences in measurement principles: XRR is sensitive to electron density fluctuations at buried interfaces and offers an average structural roughness over a broader area, while AFM directly probes topography on the nanoscale. Thus, the techniques are complementary rather than contradictory.
Following annealing, AFM images (Figure 6) show a significant increase in RMS roughness across all samples, from ~9 to 12 nm. This increase is consistent with SEM observations of surface restructuring and island formation. Additionally, the skewness and kurtosis values decrease, indicating a transition from spiked to more rounded features. The thermally treated AlN films exhibit a different morphology and topography, as shown in Figure 6 and as observed previously by the SEM analysis (Figure 4). An overall increase in the RMS was observed for all thermally treated samples, although following the same decreasing tendency with increasing RF power (see Table 2). Similar RMS values and decreasing tendency were observed by optical profilometry, as presented later (see Table 3).
AFM investigations confirmed a progressive reduction in RMS roughness with increasing RF sputtering power for the as-deposited AlN films, suggesting enhanced surface smoothness at higher deposition energies. Skewness and kurtosis values indicated relatively sharp, spiked surface features, particularly at intermediate powers. Post-annealing treatment at 450 °C led to a substantial increase in RMS roughness across all samples, correlating with the island-like morphology observed in SEM images. The shift towards lower kurtosis values after annealing suggests the transformation from sharp surface features to broader, more rounded structures, consistent with thermally driven grain coarsening and stress relaxation mechanisms.
The surface topography and surface profile were further studied with optical profilometry. Optical profilometry results (Table 3 and Figure 7 and Figure 8) provide further confirmation of this evolution. Sa and Sq values generally decrease with sputtering power in the as-deposited state, then increase again after annealing—especially in lower-power samples. These trends confirm that higher sputtering power produces smoother and more morphologically stable films upon post-deposition processing. The obtained results are summarized in Table 3.
In Table 3, the resultant values of the roughness as obtained from optical profilometry are given, indicating a tendency for decreased roughness with the increase in the RF source power and an increased roughness of the films after thermal treatment.
Figure 7 and Figure 8 shows the evolution of surface topography for the two sets of samples, before and after the thermal treatment, obtained from optical profilometry analysis.
The surface morphology of the AlN thin films was systematically investigated using SEM, AFM, and optical profilometry. SEM micrographs of the as-deposited films revealed a granular surface structure, with larger, more isolated grains at lower sputtering powers (110 W and 120 W). As the sputtering power increased to 130 W and 140 W, the grains became smaller and showed signs of agglomeration, likely resulting from enhanced deposition rates and limited surface diffusion. AFM analysis confirmed this trend, showing a decrease in root-mean-square (RMS) roughness from 2.75 nm to approximately 1.16–1.30 nm as the sputtering power increased, indicative of smoother nanoscale surfaces. AFM measurements of a bare Si oxidized substrate yielded an RMS roughness of 0.23 to 0.28 nm for a 1 µm × 1 µm scan size, indicating a smooth starting surface. This ensures that the observed morphological changes in the AlN films are intrinsic and not driven by the SiO2 substrate irregularities (see Supplementary File—Figure S4). Optical profilometry measurements further supported these findings, with both the arithmetic mean deviation (Sa) and RMS surface deviation (Sq) decreasing slightly with increased sputtering power.
Post-annealing treatment at 450 °C led to significant morphological transformations across all samples. SEM images demonstrated that the granular morphology evolved into a discontinuous, island-like topology, particularly pronounced in films deposited at higher RF powers. AFM measurements showed a marked increase in RMS roughness, rising to values between 9 and 12 nm, accompanied by a reduction in kurtosis, suggesting a transition from sharp, spiked surface features to broader, more rounded structures. Optical profilometry also recorded a considerable increase in surface roughness post-annealing, especially for the films deposited at lower RF powers, where the Sa and Sq parameters nearly doubled. These results indicate that higher RF power not only favors smoother initial surfaces but also improves morphological stability upon thermal treatment. To mitigate the trade-off between film stability and surface roughness, reducing the annealing temperature to 350–400 °C may help to achieve partial densification with improved surface preservation. This would be particularly relevant for applications where interfacial smoothness is critical, such as in optical multilayers. The combined SEM, AFM, and optical profilometry analysis highlights the critical influence of deposition parameters and post-deposition annealing on the evolution of AlN thin film surface structure.
It is noted that the RMS roughness values obtained from AFM and optical profilometry are generally higher than those extracted from XRR measurements, especially after thermal annealing. This discrepancy arises because XRR is predominantly sensitive to electron density variations at the film surface and interfaces, providing an averaged assessment of surface smoothness, whereas AFM and profilometry directly capture the real topographical features, including local asperities and island-like structures induced by thermal treatment. Thus, the complementary information from XRR and AFM/profilometry enables a more complete understanding of the morphological evolution of AlN thin films.

3.3. Optical Investigations

The optical properties of AlN thin films were examined using transmission spectroscopy and SE. Transmission spectra (Figure 9) showed high transparency (>80%) in the 700–2000 nm range across all samples, with a gradual decrease below 700 nm. No distinct interference fringes were observed, consistent with moderate roughness and small thickness gradients across the samples. These results confirm that all AlN films exhibit excellent NIR transparency, making them viable candidates for dielectric and transparent optoelectronic layers. As the bandgap of crystalline AlN lies around 6.0–6.2 eV, the absorption edge is expected below 210 nm—outside the measured spectral range—preventing direct bandgap estimation from transmission data.
SE is based on the analysis of the polarization state of the light beam reflected by the samples, since the polarization state depends on the optical constants of the sample’s material as well as on the thickness of the sample. Thus, using the SE technique, the optical constants of the AlN films—which are n (λ), the refractive index, and k (λ), the extinction coefficient—were computed by varying the wavelengths of the incident photons on the samples.
SE is an indirect technique of investigation, which means the optical constants and thicknesses of the samples are not measured directly, but are only computed. What SE measures directly is the change in the optical polarization state of the light as it reflects from the film’s surfaces. This change in polarization between the parallel (p) and the perpendicular (s) components of the reflected light (with respect to the incidence plane) will be represented in so-called ellipsometric angles (also called ellipsometric parameters) Ψ (psi) and Δ (del).
The ellipsometric parameters Ψ (psi) (which shows the ratio between the amplitudes of (p) and (s) linear polarized waves) and Δ (del) (which shows the phase difference between the (p) and (s) linear polarized waves) are defined as [30]
ρ = rp/rs = eiΔ tanΨ
where rp and rs are the parallel and perpendicular Fresnel reflection coefficients, respectively. As such, by varying the wavelength of the incident photons on AlN film surfaces, the dependencies of these two ellipsometric angles Ψ (psi) and Δ (del) on the wavelength will be recorded; these spectra are usually called the ellipsometric spectra or simply (psi, del) spectra.
After the relatively fast recording of the (psi, del) spectra, the next step was the construction of an appropriate optical model for the AlN samples in order to fit the experimental values. This was made using a dedicated software package DeltaPsi2 that allows the required settings for all the fitting parameters.
The constructed optical model was a four-layer model, consisting of air/roughness layer (AlN + void)/AlN layer/SiO2 substrate, while the dispersion model chosen for fitting the ellipsometric spectra was the Adachi–New Forouhi (ANF) model [31]. Spectra of refractive indices (n) and extinction coefficients (k) of the sputtered AlN thin films are shown in Figure 10.
SE provided the dispersion of refractive index (n) and extinction coefficient (k) over 350–2100 nm. The refractive index curves (Figure 10, left) exhibit normal dispersion beyond 500 nm and anomalous behavior in the 300–500 nm range due to electronic transitions. A monotonic increase in n with increasing sputtering power was observed, reflecting improved film densification.
However, the AlN120 sample deviated slightly from this trend, displaying a flatter dispersion in the visible range. This anomaly is attributed to a localized decrease in film density and increased porosity at intermediate power, as suggested by its intermediate structural roughness (see XRR and AFM). This behavior was reproducible across repeated measurements and consistent with its thickness and surface morphology.
The extinction coefficient k (Figure 10, right) remained negligible beyond 700 nm, confirming low absorption and consistent with the high NIR transmittance. A gradual increase in k below 600 nm was observed, more pronounced in thicker films (e.g., AlN140), likely due to defect-related sub-bandgap absorption.
Thicknesses extracted by SE and profilometry (Table 4) were in close agreement. In contrast, XRR consistently yielded higher thicknesses due to its sensitivity to internal density gradients and buried low-density layers. This discrepancy is explicitly mentioned and explained in Section 3.1.
To place our AlN films in context, we introduce a comparative summary of selected optical parameters (Table 4) alongside traditional dielectric materials used in optoelectronics. Standard optical constants were taken from established literature and databases: for fused silica (SiO2), n ≈ 1.458 at 589 nm based on Malitson (1965), and, for silicon nitride (Si3N4), n ≈ 2.00–2.02 at visible wavelengths, as reported in typical CVD-deposited films. These values align well with entries in the RefractiveIndex.info and Filmetrics databases [32,33].
The relatively high refractive index and transparency of AlN films make them attractive alternatives to conventional dielectrics, particularly in applications requiring robust interfaces, wide bandgaps, or NIR transparency.
Although spectroscopic ellipsometry measurements provide valuable insights into the refractive index and extinction coefficient of the AlN thin films across the visible and near-infrared spectral ranges, the onset of significant optical absorption corresponding to the fundamental bandgap could not be observed within the accessible wavelength window (350–2100 nm). Given that the bandgap of AlN is typically reported around 6.0–6.2 eV (corresponding to wavelengths below 210 nm), the available spectral data did not allow for a direct estimation of the optical bandgap.
Although the direct determination of the optical bandgap was not possible within the measurement window (350–2100 nm), the absence of significant sub-gap absorption features suggests that the films possess a wide optical bandgap, as expected for AlN. However, considering the structural and morphological characteristics observed—namely, the granular surface morphology, moderate surface roughness, and density gradients identified via XRR, SEM, and AFM—it is reasonable to anticipate that the optical bandgap of the sputtered films would be slightly lower than that of ideal, single-crystal AlN. The presence of grain boundaries, point defects, and local disorder likely introduce sub-bandgap states and band tailing effects, leading to a modest reduction in the effective bandgap, potentially situating it in the range of 5.5–6.0 eV, rather than the 6.0–6.2 eV typical of bulk AlN.
After choosing the optical model and the dispersion function for the AlN samples, the next step was to vary the fitting parameters by least-square regression until a minimum difference between experimental and generated (psi, del) spectra was reached. For this purpose, the mean-square error (MSE) was employed as a risk function and the minimization of this function was made using the Levenberg–Marquardt regression algorithm [34].
From the dependence of the refractive indices on the incident photon wavelengths, two spectral regions can be observed: a normal dispersion region where a decrease in the refractive index with the increase in the wavelength is present (dn/ < 0), which is mostly the case in the NIR region, and an anomalous dispersion region (approximately between 300 nm and 500 nm) where an increase in the refractive index with the increase in the photon wavelength is observed (dn/ > 0), indicating the existence of absorption bands inside that spectral domain. By varying the RF sputtering power from 110 W up to 140 W and therefore increasing the thickness of sputtered AlN thin films, a tendency of increasing refractive indices can be also observed, most likely due to the increase in crystallite size with the sputtering power, since this crystal parameter usually follows the behavior of the refractive index, as observed in other works about Al-based thin films [35,36].
As transmission spectra confirmed (see Figure 9), AlN thin films have high transmittances in the NIR region, with extinction coefficients almost negligible; therefore, the dependence of the extinction coefficients on the wavelength was investigated only between 350 nm and 750 nm, as shown in Figure 10. An increase in the extinction coefficient of AlN samples with the increase in the sputtering power and in the film thicknesses is observed.
When the procedure of fitting the ellipsometry (psi, del) spectra was finished by minimizing the MSE values, thicknesses of all AlN samples were computed and the obtained values were compared with the values obtained using optical profilometry. Both kinds of thickness values (computed and measured) are shown in Table 5.
XRR measurements yielded higher thicknesses (84–105 nm) relative to SE and profilometry results (25–70 nm), a discrepancy attributed to the presence of internal density gradients and surface/interface roughness. While XRR captures the total electron density profile across the film, including lower-density top regions, SE and profilometry are more sensitive to optical/mechanical thickness. The overall trend of increasing thickness with sputtering power was consistently observed across all characterization techniques, confirming reproducible film growth behavior.

3.4. Electrical Investigation

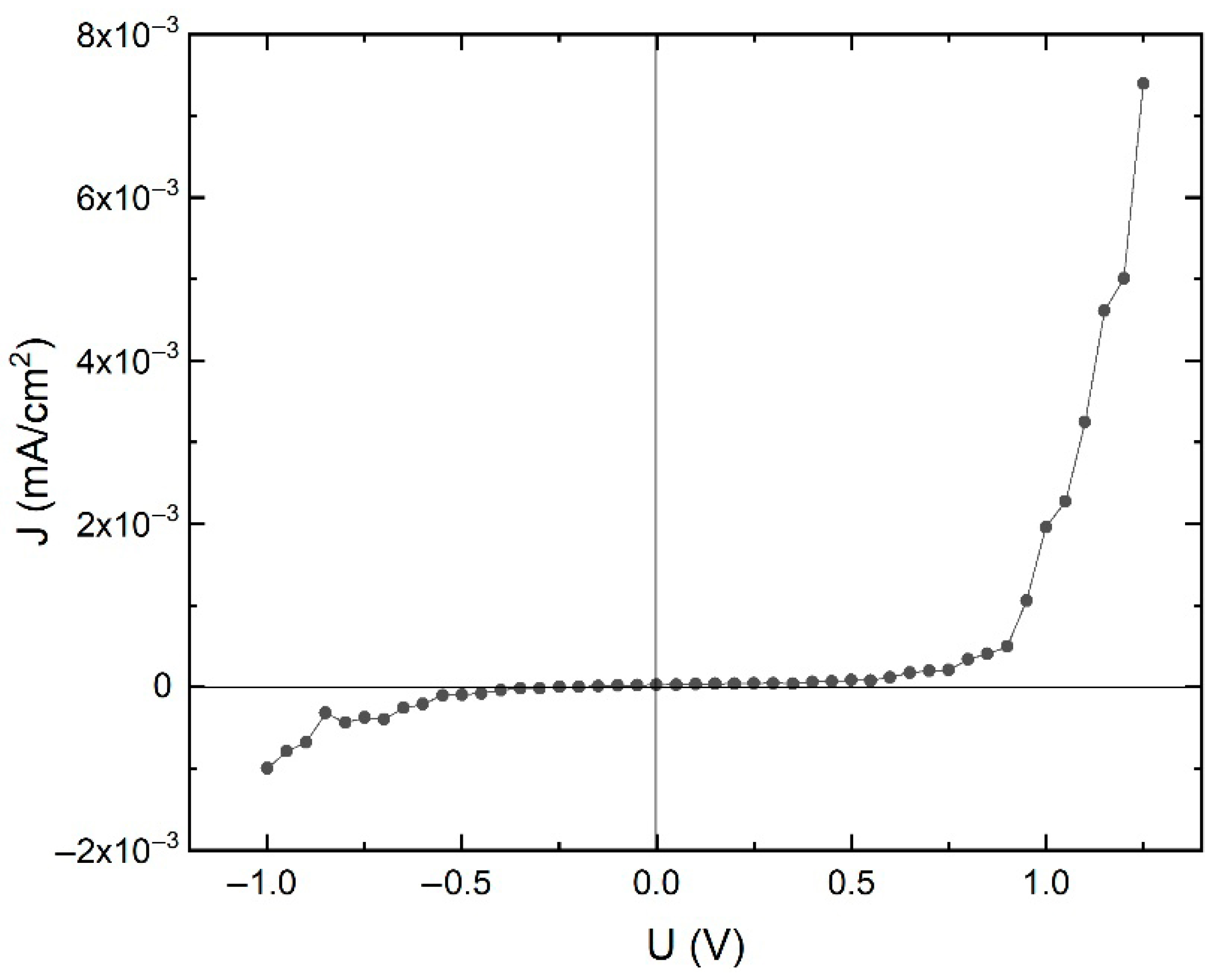
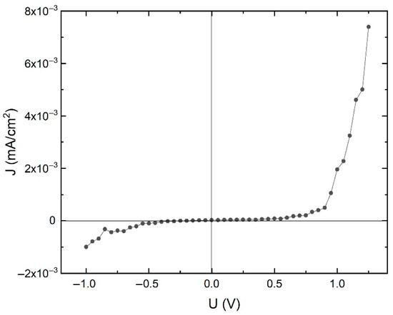
To investigate the electrical behavior of the AlN films, we fabricated a vertical Au/AlN/Al structure using the film deposited at 140 W. Figure 11 shows the dark current density–voltage (J–U) characteristics measured at room temperature. The curve exhibits rectifying behavior, with a relatively low asymmetry. The rectifying ratio, defined here as the absolute value of forward to reverse current densities at ±1.2 V, |J+/J| ≈ 10, confirms diode-like response under low-bias conditions.
Figure 12 shows the logarithmic J–U plot under forward bias. Two conduction regimes are observed: (1) Ohmic region at low voltages (slope ≈ 1), where the current increases linearly with applied voltage, indicating drift transport of thermally generated carriers described by Ohm’s law:
JΩ = n0 q μ0 U/d = q μ0 Nc U/d e−(EcEF)/kBT
where q is the elementary charge, n0 is the concentration of thermally activated free charge carriers at equilibrium, U is the applied voltage, d represents the thickness of the AlN thin film, Nc is the effective density of states in the conduction band (CB), μ0 is the mobility of electrons for the free traps AlN, EC-EF the separation between the minimum of CB and the equilibrium Fermi level, and T is the absolute temperature; (2) Trap-controlled space charge limited current (SCLC) region at higher voltages (slope ≈ 6), indicative of field-assisted carrier injection in the presence of an exponential trap distribution. In this region, the current density–voltage characteristics are given by
JSCLCexp = 9/8 q1−γ (ε0 εr/Nt) (μ0NC) Uγ+1/dγ+1
where ε is the dielectric constant of AlN, Nt is the total density of the traps per unit volume, and γ = TC/T is the ratio between the characteristic temperature and the ambient temperature.
This transition between conduction regimes occurs at UΩ–SCLC ≈ 0.62 V, consistent with trap-limited transport in wide bandgap materials. The corresponding carrier concentration was estimated according to n0 = (JΩ–SCLC d)/(q μ UΩ–SCLC). Using the known electron mobility in AlN (μ ≈ 1 cm2/V·s [37]), we obtain n0 ≈ 7.9 × 104 cm−3. This extremely low value is in agreement with reports that wide-bandgap nitrides exhibit very low intrinsic carrier densities and phonon-limited scattering [38,39]. The Fermi-level position was derived from EC − EF = kBT ln(NC/n0) ≈ 0.8 eV, suggesting that EF lies deep below the conduction band, consistent with insulating behavior.
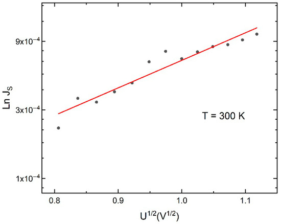
Under reverse bias (Figure 13), the current follows the Schottky emission model. The plot of ln(J) versus U1/2 confirms barrier-limited conduction. The current density through the structure is described by the law
Js = A* T2 e-ϕ/kBT eβSU^1/2/kBTw^1/2 = Js0 eβSU^1/2/kBTw^1/2
where A* is the Richardson constant for semiconductors, βS is the Schottky coefficient, w represents the depletion region, and ϕ is the Schottky barrier at the interface Au/AlN.
Using standard relationships, the Schottky barrier height at the Au/AlN interface was estimated as φ ≈ 0.586 eV, and the depletion width as w ≈ 0.16 nm.
This observation of clear SCLC behavior in an amorphous AlN layer is particularly noteworthy, as most prior studies have focused on crystalline or polycrystalline films. The results demonstrate that, even in the absence of long-range order, controlled deposition and annealing enable the formation of dielectric films with stable electronic response and clear transport mechanisms.
More detailed discussion can be found in the Supplementary Information file.
Although breakdown voltage and long-term leakage tests were not conducted in this study, such measurements would be considered to further validate the dielectric performance of such films. These will be the focus of future work.
In summary, the AlN thin films deposited by RF-magnetron sputtering were systematically characterized to investigate their structural, morphological, optical, and electrical properties. Optical transmission measurements revealed high transparency across the near-infrared region, with transmittance values exceeding 80% between 700 and 2000 nm for all samples. A gradual decrease in transmittance was observed toward shorter wavelengths, but no sharp absorption edge was detected within the measured spectral window (400–2000 nm), suggesting that the fundamental absorption onset lies below 400 nm, consistent with the wide bandgap nature of AlN.
Spectroscopic ellipsometry (SE) analysis corroborated the high transparency, showing that the extinction coefficient k (λ) remained negligible across the visible and NIR regions. The refractive index n (λ) exhibited normal dispersion behavior, with a slight increase as the sputtering power increased, reflecting improved film densification. Thicknesses extracted from SE were in close agreement with profilometry measurements, confirming the reliability of the optical model. Although a direct determination of the optical bandgap was not possible within the available wavelength range, the observed optical behavior indicates the presence of a wide bandgap in the films, likely approaching that of bulk AlN (~6.0–6.2 eV).
Electrical measurements of Au/AlN/Al sandwich structures provided complementary insights into the electronic properties of the films. Under forward bias, the current density–voltage (J–V) characteristics revealed a transition from Ohmic conduction at low voltages to trap-controlled space charge limited current (SCLC) behavior at higher voltages. The extracted carrier concentration was extremely low, and the Fermi level was found to be significantly below the conduction band minimum, characteristic of wide-bandgap, highly insulating materials. Under reverse bias, conduction was dominated by Schottky emission over the Au/AlN interface barrier, with a barrier height of approximately 0.586 eV.
The combination of high optical transparency, low extinction coefficient, very low carrier density, and well-defined SCLC behavior suggests that the AlN films retain a wide optical bandgap despite the presence of structural imperfections such as grain boundaries, moderate surface roughness, and trap states. It is reasonable to infer that the effective optical bandgap of the films is slightly lower than that of ideal, single-crystal AlN due to the contribution of localized trap states but remains within a high range (estimated between 5.5 and 6.0 eV). These results demonstrate the high optical and insulating quality of the sputtered AlN thin films and their potential for applications in optoelectronic and electronic devices requiring wide-bandgap materials with low leakage currents and minimal optical absorption.

4. Conclusions

Amorphous AlN thin films were successfully deposited by RF-magnetron sputtering on SiO2 substrates, and their structural, morphological, optical, and electrical properties were systematically evaluated as a function of sputtering power and post-deposition annealing. Increasing RF power led to thicker, denser films with progressively smoother surfaces, while annealing at 450 °C induced island-like restructuring and eliminated internal density gradients. The experimental evidence reveals that the controlled adjustment of sputtering power enables the fine-tuning of both the thickness and nanoscale topography of the deposited layers, while post-annealing serves as an additional tool to induce specific surface transformations such as densification and island-like structuring. These findings are particularly valuable for the surface technology community, as they offer practical insights into achieving surface smoothness, refractive index modulation, and defect control—all critical for the reliable integration of AlN in multilayered optoelectronic and dielectric architectures. Moreover, the use of comprehensive surface-sensitive techniques (XRR, AFM, SEM, profilometry) in correlation with ellipsometry and electrical measurements enabled the establishment of a microstructure–function relationship, advancing the understanding of how subtle surface features and internal density gradients affect optical transparency and carrier transport mechanisms. The films maintained high optical transparency (>80%) in the near-infrared region, with a refractive index that increased slightly with power, indicating improved densification. Although the optical bandgap could not be directly extracted due to spectral limitations, the low extinction coefficient and deep Fermi level position inferred from electrical measurements confirm wide bandgap semiconductor behavior. Importantly, electrical characterization revealed a transition from Ohmic to trap-controlled space charge limited conduction (SCLC), a rarely observed mechanism in AlN, alongside Schottky-dominated reverse conduction. These findings underscore the potential of amorphous AlN thin films as optically transparent, electrically insulating layers for advanced optoelectronic and dielectric applications. Although the present study used a fixed substrate temperature (60 °C) to isolate RF power effects, future work would explore higher substrate temperatures, which may influence interfacial densification and bonding at the AlN/SiO2 interface, potentially improving adhesion and dielectric performance. By establishing robust structure–property relationships through multi-technique analysis, this work contributes valuable insights toward the rational design of wide-bandgap amorphous dielectrics for next-generation device architectures.

Supplementary Materials

The following supporting information can be downloaded at: https://www.mdpi.com/article/10.3390/surfaces8030051/s1, Supplementary Material file.

Author Contributions

Conceptualization, M.M., V.-A.A., M.P.S., and Ș.A.; Data curation, M.-I.Z., I.L., M.M., L.C., V.-A.A., and S.I.; Formal analysis, M.-I.Z., I.L., M.M., L.C., V.-A.A., C.C.G., S.I., O.T., and M.P.S.; Investigation, M.-I.Z., I.L., M.M., L.C., C.C.G., S.I., and O.T.; Methodology, M.-I.Z., I.L., V.-A.A., C.C.G., O.T., M.P.S., and Ș.A.; Project administration, Ș.A.; Resources, Ș.A.; Software, M.-I.Z., I.L., L.C., S.I., and O.T.; Supervision, Ș.A.; Validation, L.C., V.-A.A., C.C.G., O.T., M.P.S., and Ș.A.; Writing—original draft, M.-I.Z., I.L., M.M., L.C., V.-A.A., C.C.G., S.I., O.T., M.P.S., and Ș.A.; Writing—review and editing, M.-I.Z., I.L., M.P.S., and Ș.A. All authors have read and agreed to the published version of the manuscript.

Funding

This research received no external funding.

Data Availability Statement

The raw and processed data required to reproduce these findings cannot be shared at this time due to technical or time limitations. The raw and processed data will be provided upon reasonable request until the technical problems have been solved.

Acknowledgments

IMT’s contribution was partially supported by PNRR/2022/C9/MCID/I8 CF23/14 11 2022 contract 760101/23.05.2023 and through the μNanoEl, Cod: 23 07 core Programme financed by the Ministry of Research, Innovation and partially by Digitalization National Platform for Semi-conductor Technologies—PNTS, contract no. G 2024-85828/390008/27.11.2024, SMIS code 304244, co-funded by the European Regional Development Fund under the Program for Intelligent Growth, Digitization, and Financial Instrument. M.I. Zai and C.C. Gheorghiu acknowledge the partial support offered by the Institute of Atomic Physics through the ELI-RO ELITE project, contract no. ELI-RO/RDI/2024/026, by the Romanian Government through the National Programme “Installations and Strategic Objectives of National Interest” (IOSIN), and through the “NUCLEU” project no. PN23 21 01 05. Special thanks to Cosmin Romanitan from IMT Bucharest, Romania for their help on confirming the amorphous nature of the materials discussed in this paper and Raluca Gavrila from IMT Bucharest, Romania for help regarding substrate RMS from AFM effects at interface discussion.

Conflicts of Interest

Author Lucia Chiriacescu was employed by the company Romanian Inspace Engineering (RISE). The research was conducted in the absence of any commercial or financial relationships that could be construed as a potential conflict of interest. The remaining authors declare that the research was conducted in the absence of any commercial or financial relationships that could be construed as a potential conflict of interest.

References

  1. Jiang, H.X.; Lin, J.Y. AlN Epitaxial Layers for UV Photonics—Chapter 7. In Optoelectronic Devices: III-Nitride; Elsevier: Amsterdam, The Netherlands, 2005. [Google Scholar]
  2. Zhou, S.; Liao, Z.; Sun, K.; Zhang, Z.; Qian, Y.; Liu, P.; Du, P.; Jiang, J.; Lv, Z.; Qi, S. High-Power AlGaN-Based Ultrathin Tunneling Junction Deep Ultraviolet Light-Emitting Diodes. Laser Photonics Rev. 2024, 18, 2300464. [Google Scholar] [CrossRef]
  3. Figueroa, U.; Salas, O.; Oseguera, J. Deposition of AlN on Al substrates by reactive magnetron sputtering. Surf. Coat. Technol. 2005, 200, 1768–1776. [Google Scholar] [CrossRef]
  4. Bi, Z.X.; Zheng, Y.; Zhang, D.R.; Gu, S.L.; Xiu, X.Q.; Zhou, L.L.; Shen, B.; Chen, D.J.; Shi, Y. Dielectric properties of AlN film on Si substrate. J. Mater. Sci. Mater. Electron. 2004, 15, 317–320. [Google Scholar] [CrossRef]
  5. Marauska, S.; Hrkac, V.; Dankwort, T.; Jahns, R.; Quenzer, H.J.; Knöchel, R.; Kienle, L.; Wagner, B. Sputtered thin film piezoelectric aluminum nitride as a functional MEMS material. Microsyst. Technol. 2012, 18, 787–795. [Google Scholar] [CrossRef]
  6. Iqbal, A.; Mohd-Yasin, F. Reactive Sputtering of Aluminum Nitride (002) Thin Films for Piezoelectric Applications: A Review. Sensors 2018, 18, 1797. [Google Scholar] [CrossRef] [PubMed]
  7. Beshkova, M.; Yakimova, R. Properties and potential applications of two-dimensional AlN. Vacuum 2020, 176, 109231–109238. [Google Scholar] [CrossRef]
  8. Cimalla, V.; Pezoldt, J.; Ambacher, O. Group III nitride and SiC based MEMS and NEMS: Materials properties, technology and applications. J. Phys. D Appl. Phys. 2007, 40, 6386. [Google Scholar] [CrossRef]
  9. Piazza, G.; Felmetsger, V.; Muralt, P.; Olson, R.H.; Ruby, R. Piezoelectric aluminum nitride thin films for microelectromechanical systems. MRS Bull. 2012, 37, 1051–1061. [Google Scholar] [CrossRef]
  10. Shelton, S.; Guedes, A.; Przybyla, R.; Krigel, R.; Boser, B.; Horsley, D.A. Aluminum Nitride piezoelectric micromachined ultrasound transducer arrays. In Proceedings of the Solid-State Sensors, Actuators and Microsystems Workshop, Hilton Head, SC, USA, 3–7 June 2012; pp. 291–294. [Google Scholar]
  11. Rinaldi, M.; Zuniga, C.; Zuo, C.; Piazza, G. Super-high-frequency two-port AlN contour-mode resonators for RF applications. IEEE Trans. Ultrason. Ferroelectr. Freq. Control 2010, 57, 38–45. [Google Scholar] [CrossRef] [PubMed]
  12. Taurino, A.; Signore, M.A.; Catalano, M.; Kim, M.J. (1 0 1) and (0 0 2) oriented AlN thin films deposited by sputtering. Mater. Lett. 2017, 200, 18–20. [Google Scholar] [CrossRef]
  13. Barth, S.; Bartzsch, H.; Glöß, D.; Frach, P.; Modes, T.; Zywitzki, O.; Suchaneck, G.; Gerlach, G. Magnetron sputtering of piezoelectric AlN and AlScN thin films and their use in energy harvesting applications. Microsyst. Technol. 2016, 22, 1613–1617. [Google Scholar]
  14. Sippola, P.; Perros, A.P.; Ylivaara, O.M.E.; Ronkainen, H.; Julin, J.; Liu, X.; Sajavaara, T.; Etula, J.; Lipsanen, H.; Puurunen, R.L. Comparison of mechanical properties and composition of magnetron sputter and plasma enhanced atomic layer deposition aluminum nitride films. J. Vac. Sci Technol. A 2018, 36, 051508. [Google Scholar] [CrossRef]
  15. Nemoz, M.; Dagher, R.; Matta, S.; Michon, A.; Vennegues, P.; Brault, J. Dislocation densities reduction in MBE-grown AlN thin films by high-temperature annealing. J. Cryst. Growth 2017, 461, 10–15. [Google Scholar] [CrossRef]
  16. Koblmueller, G.; Averbeck, R.; Geelhaar, L.; Riechert, H.; Hösler, W.; Pongratz, P. Growth diagram and morphologies of AlN thin films grown by molecular beam epitaxy. J. Appl. Phys. 2003, 93, 9591–9596. [Google Scholar] [CrossRef]
  17. Huang, C.P.; Gupta, K.; Wang, C.H.; Liu, C.P.; Lai, K.Y. High-quality AlN grown with a single substrate temperature below 1200 °C. Sci. Rep. 2017, 7, 7135–7142. [Google Scholar] [CrossRef] [PubMed]
  18. Guerrero, R.M.; Garcia, J.R.V. Preparation of Aluminum Nitride Thin Films by CVD. Mater. Manuf. Process. 2000, 15, 259–267. [Google Scholar] [CrossRef]
  19. Li, Y.; Zhang, C.; Luo, X.; Liang, Y.; Wuu, D.S.; Tin, C.C.; Lu, X.; He, K.; Wan, L.; Feng, Z.C. Surface, structural and optical properties of AlN thin films grown on different face sapphire substrates by metalorganic chemical vapor deposition. Appl. Surf. Sci. 2018, 458, 972–977. [Google Scholar] [CrossRef]
  20. Cibert, C.; Chatras, M.; Champeaux, C.; Cros, D.; Catherinot, A. Pulsed laser deposition of aluminum nitride thin films for FBAR applications. Appl. Surf. Sci. 2007, 253, 8151–8154. [Google Scholar] [CrossRef]
  21. Lu, Y.F.; Ren, M.; Chong, T.C.; Cheong, B.A.; Chow, S.K.; Wang, J.P. Ion-assisted pulsed laser deposition of aluminum nitride thin films. J. Appl. Phys. 2000, 87, 1540–1542. [Google Scholar] [CrossRef]
  22. Sudhir, G.S.; Fujii, H.; Wong, W.S.; Kisielowski, C.; Newman, N.; Dieker, C.; Lilienthal-Weber, Z.; Rubin, M.D.; Weber, E.R. Pulsed laser deposition of aluminum nitride and gallium nitride thin films. Appl. Surf. Sci. 1998, 127–129, 471–476. [Google Scholar] [CrossRef]
  23. Toma, O.; Ion, L.; Iftimie, S.; Radu, A.; Antohe, S. Structural, morphological and optical properties of RF–Sputtered CdS thin films. Mater. Des. 2016, 100, 198–203. [Google Scholar] [CrossRef]
  24. Toma, O.; Ion, L.; Iftimie, S.; Antohe, V.A.; Radu, A.; Raduta, A.M.; Manica, D.; Antohe, S. Physical properties of rf-sputtered ZnS and ZnSe thin films used for double-heterojunction ZnS/ZnSe/CdTe photovoltaic structures. Appl. Surf. Sci. 2019, 478, 831–839. [Google Scholar] [CrossRef]
  25. Toma, O.; Antohe, V.A.; Panaitescu, A.M.; Iftimie, S.; Raduta, A.M.; Radu, A.; Ion, L.; Antohe, S. Effect of RF power on the physical properties of sputtered ZnSe nanostructured thin films for photovoltaic applications. Nanomaterials 2021, 11, 2841. [Google Scholar] [CrossRef] [PubMed]
  26. Ion, L.; Iftimie, S.; Radu, A.; Antohe, V.A.; Toma, O.; Antohe, S. Physical properties of RF-sputtered ZnSe thin films for photovoltaic applications: Influence of film thickness. Proc. Rom. Acad. A 2021, 22, 25–34. [Google Scholar]
  27. Gheorghiu, C.C.; Ionescu, A.; Zai, I.; Iancu, D.; Burducea, I.; Velisa, G.; Vasile, B.; Ianculescu, A.; Bobeica, M.; Popa, D.; et al. Nanoscale Control of Structure and Composition for Nanocrystalline Fe Thin Films Grown by Oblique Angle RF Sputtering. Materials 2022, 15, 6134. [Google Scholar] [CrossRef] [PubMed]
  28. Ene, V.L.; Dinescu, D.; Djourelov, N.; Zai, I.; Vasile, B.S.; Serban, A.B.; Leca, V.; Andronescu, E. Defect Structure Determination of GaN Films in GaN/AlN/Si Heterostructures by HR-TEM, XRD, and Slow Positrons Experiments. Nanomaterials 2020, 10, 197. [Google Scholar] [CrossRef] [PubMed]
  29. Gheorghiu, C.C.; Ionescu, S.C.; Ghenuche, P.; Cernaianu, M.O.; Doria, D.; Popa, D.; Leca, V. Structuring Free-Standing Foils for Laser-Driven Particle Acceleration Experiments. Front. Phys. 2021, 9, 727498. [Google Scholar] [CrossRef]
  30. Tompkins, H.G.; McGahan, A.W. Spectroscopic Ellipsometry and Reflectometry: A User’s Guide; Wiley: New York, NY, USA, 1999. [Google Scholar]
  31. Yoshikawa, H.; Adachi, S. Optical Constants of ZnO. Jpn. J. Appl. Phys. 1997, 36, 6237–6243. [Google Scholar] [CrossRef]
  32. RefractiveIndex.Info. Available online: https://refractiveindex.info/?book=SiO2&page=Malitson&shelf=main&utm (accessed on 3 July 2025).
  33. KLA. Available online: https://www.kla.com/products/instruments/refractive-index-database/Si3N4/Silicon-Nitride-SiN-SiON (accessed on 3 July 2025).
  34. Modreanu, M.; Parramon, J.S.; Durand, O.; Servet, B.; Stchakovsky, M.; Eypert, C.; Naudin, C.; Knowles, A.; Bridou, F.; Ravet, M.F. Investigation of thermal annealing effects on microstructural and optical properties of HfO2 thin films. Appl. Surf. Sci. 2006, 253, 328–334. [Google Scholar] [CrossRef]
  35. Zhao, Z.; Tay, B.; Huang, L.; Lau, S.; Gao, J. Influence of thermal annealing on optical properties and structure of aluminium oxide thin films by filtered cathodic vacuum arc. Opt. Mater. 2004, 27, 465–469. [Google Scholar] [CrossRef]
  36. Balakrishnan, G.; Sundari, S.T.; Ramaseshan, R.; Thirumurugesan, R.; Mohandas, E.; Sastikumar, D.; Kuppusami, P.; Kim, T.; Song, J. Effect of substrate temperature on microstructure and optical properties of nanocrystalline alumina thin films. Ceram. Int. 2013, 39, 9017–9023. [Google Scholar] [CrossRef]
  37. Sakurai, Y.; Ueno, K.; Kobayashi, A.; Uesugi, K.; Miyake, H.; Fujioka, H. High Electron AlN on Sapphire (0001) with a Low Dislocation Density Prepared via Sputtering and High-Temperature Annealing. Phys. Status Solidi A 2021, 218, 2100074. [Google Scholar] [CrossRef]
  38. Chin, V.W.L.; Tansley, T.L.; Osotchan, T. Electron mobilities in gallium, indium, and aluminum nitrides. J. Appl. Phys. 1994, 75, 7365. [Google Scholar] [CrossRef]
  39. Taniyasu, Y.; Kasu, M. Aluminum nitride deep-ultaviolet light-emitting p-n junction diodes. Diam. Relat. Mater. 2008, 17, 1273–1277. [Google Scholar] [CrossRef]
Figure 1. (a) XRD of AlN films as deposited, (b) XRD of thermally treated films.
Figure 1. (a) XRD of AlN films as deposited, (b) XRD of thermally treated films.
Surfaces 08 00051 g001
Figure 2. XRR scans of AlN films untreated (a) and thermally treated at 450 °C (b), performed with a Ge220x2 monochromator in PB mode, with an incident slit of 0.03 mm, a receiving slit1 of 0.1 mm, and a receiving slit2 of 0.1 mm. Inset: example of a fit to the experimental data.
Figure 2. XRR scans of AlN films untreated (a) and thermally treated at 450 °C (b), performed with a Ge220x2 monochromator in PB mode, with an incident slit of 0.03 mm, a receiving slit1 of 0.1 mm, and a receiving slit2 of 0.1 mm. Inset: example of a fit to the experimental data.
Surfaces 08 00051 g002aSurfaces 08 00051 g002b
Figure 3. SEM micrographs of the AlN films deposited on SiO2 substrates show the surface morphology evolution with RF source power at 110 W (a), 120 W (b), 130 W (c), and 140 W (d).
Figure 3. SEM micrographs of the AlN films deposited on SiO2 substrates show the surface morphology evolution with RF source power at 110 W (a), 120 W (b), 130 W (c), and 140 W (d).
Surfaces 08 00051 g003
Figure 4. SEM micrographs of the thermally treated AlN films deposited on SiO2 substrates, indicating the evolution of the surface morphology after annealing for different RF source powers: 110 W (a), 120 W (b), 130 W (c), and 140 W (d). All samples were thermally treated at 450 °C.
Figure 4. SEM micrographs of the thermally treated AlN films deposited on SiO2 substrates, indicating the evolution of the surface morphology after annealing for different RF source powers: 110 W (a), 120 W (b), 130 W (c), and 140 W (d). All samples were thermally treated at 450 °C.
Surfaces 08 00051 g004
Figure 5. AFM surface morphology (upper row) and three-dimensional (3D) topography (lower row) of the AlN films as deposited on the SiO2 substrates at different powers, i.e., 110 W (a), 120 W (b), 130 W (c), and 140 W (d). The scanned area was 5 × 5 μm2.
Figure 5. AFM surface morphology (upper row) and three-dimensional (3D) topography (lower row) of the AlN films as deposited on the SiO2 substrates at different powers, i.e., 110 W (a), 120 W (b), 130 W (c), and 140 W (d). The scanned area was 5 × 5 μm2.
Surfaces 08 00051 g005
Figure 6. AFM surface morphology (upper row) and 3D topography (lower row) of the AlN films deposited on the SiO2 substrates at different powers, i.e., 110 W (a), 120 W (b), 130 W (c), and 140 W (d), and thermally treated at 450 °C. The scanned area was 5 × 5 μm2.
Figure 6. AFM surface morphology (upper row) and 3D topography (lower row) of the AlN films deposited on the SiO2 substrates at different powers, i.e., 110 W (a), 120 W (b), 130 W (c), and 140 W (d), and thermally treated at 450 °C. The scanned area was 5 × 5 μm2.
Surfaces 08 00051 g006
Figure 7. Evolution of as-deposited AlN films surface topography from optical profilometry analysis, deposited at different RF powers: (a) 110 W, (b) 120 W, (c) 130 W, and (d) 140 W. The scanned area was 264 × 350 μm2.
Figure 7. Evolution of as-deposited AlN films surface topography from optical profilometry analysis, deposited at different RF powers: (a) 110 W, (b) 120 W, (c) 130 W, and (d) 140 W. The scanned area was 264 × 350 μm2.
Surfaces 08 00051 g007
Figure 8. Optical profilometry analysis data of the AlN films after thermal treatment at 450 °C, deposited at different RF powers: (a) 110 W, (b) 120 W, (c) 130 W, and (d) 140 W. The scanned area was 264 × 350 μm2.
Figure 8. Optical profilometry analysis data of the AlN films after thermal treatment at 450 °C, deposited at different RF powers: (a) 110 W, (b) 120 W, (c) 130 W, and (d) 140 W. The scanned area was 264 × 350 μm2.
Surfaces 08 00051 g008
Figure 9. Optical transmission spectra of AlN thin films sputtered on SiO2 substrates.
Figure 9. Optical transmission spectra of AlN thin films sputtered on SiO2 substrates.
Surfaces 08 00051 g009
Figure 10. Spectral dependencies of refractive indices (left graph) and extinction coefficients (right graph) of the AlN thin films with different RF sputtering powers.
Figure 10. Spectral dependencies of refractive indices (left graph) and extinction coefficients (right graph) of the AlN thin films with different RF sputtering powers.
Surfaces 08 00051 g010
Figure 11. Current density–voltage (J-U) dark ambipolar characteristics recorded at room temperature for the Au/AlN/Al structure.
Figure 11. Current density–voltage (J-U) dark ambipolar characteristics recorded at room temperature for the Au/AlN/Al structure.
Surfaces 08 00051 g011
Figure 12. Logarithmic fit of log J vs. log U for the Au/AlN/Al structure at forward bias, showing two linear regions, corresponding to different conduction mechanisms.
Figure 12. Logarithmic fit of log J vs. log U for the Au/AlN/Al structure at forward bias, showing two linear regions, corresponding to different conduction mechanisms.
Surfaces 08 00051 g012
Figure 13. Logarithmic JS vs. U1/2 characteristics at reverse bias recorded at room temperature, allowing the determination of the depletion region (w).
Figure 13. Logarithmic JS vs. U1/2 characteristics at reverse bias recorded at room temperature, allowing the determination of the depletion region (w).
Surfaces 08 00051 g013
Table 1. Summary of thickness and roughness values for the untreated and thermally treated AlN samples obtained from X-ray reflectivity. The measurement error is considered within 5%.
Table 1. Summary of thickness and roughness values for the untreated and thermally treated AlN samples obtained from X-ray reflectivity. The measurement error is considered within 5%.
SampleNumber of AlN Layers Used in FittingAlN Layers Thickness (nm)Surface Roughness (nm)
Untreated110 W583.863.16
120 W583.973.16
130 W696.794.50
140 W6101.064.24
Treated at 450 °C110 W583.054.50
120 W588.104.43
130 W592.464.50
140 W6104.824.49
Table 2. Calculation of specific parameters of topography from the AFM analysis (root-mean-square roughness—RMS, skewness—Ssk, and excess kurtosis—K) for the as-deposited and thermally treated AlN thin films.
Table 2. Calculation of specific parameters of topography from the AFM analysis (root-mean-square roughness—RMS, skewness—Ssk, and excess kurtosis—K) for the as-deposited and thermally treated AlN thin films.
AlN FilmAs-DepositedThermally Treated
RMS (nm)SskKRMS (nm)SskK
110 W2.750.20−0.2212.081.000.89
120 W1.960.15−0.1410.030.310.04
130 W1.170.708.0111.640.051.15
140 W1.310.380.069.220.290.02
Table 3. Optical profilometry analysis on as-deposited and thermally treated AlN films, showing the roughness parameters, Sa (arithmetic mean deviation), and Sq (root-mean deviation of the surface).
Table 3. Optical profilometry analysis on as-deposited and thermally treated AlN films, showing the roughness parameters, Sa (arithmetic mean deviation), and Sq (root-mean deviation of the surface).
AlN FilmAs-DepositedThermally Treated
Sa (nm)Sq (nm)Sa (nm)Sq (nm)
110 W6.1019.412.2421.60
120 W6.3118.948.9711.77
130 W5.1714.446.2911.91
140 W3.4715.796.839.59
Table 4. Comparative optical properties of as-deposited AlN films and conventional dielectrics. Data for SiO2 and Si3N4 from standard optical references. AlN data from this work.
Table 4. Comparative optical properties of as-deposited AlN films and conventional dielectrics. Data for SiO2 and Si3N4 from standard optical references. AlN data from this work.
MaterialAverage Transmittance Refractive Index Extinction Coefficient k Thickness
(700–2000 nm)at 590 nm(350–750 nm)Range (nm)
AlN110>80%1.52~0.0128–84
AlN140>80%1.61~0.0367–105
SiO2>90%~1.45<0.001
Si3N4~75%~2.0~0.01
Table 5. Spectroscopic ellipsometry results for as-sputtered AlN thin films.
Table 5. Spectroscopic ellipsometry results for as-sputtered AlN thin films.
Sputtering
Power
(W)
Computed
Thickness by SE
(nm)
Measured
Thickness
by Profilometry
(nm)
Refractive
Index at
λ = 590 nm
MSE
11028.3425.61.521.73
12039.6744.41.590.62
13046.349.51.60.67
14067.270.11.610.51
Disclaimer/Publisher’s Note: The statements, opinions and data contained in all publications are solely those of the individual author(s) and contributor(s) and not of MDPI and/or the editor(s). MDPI and/or the editor(s) disclaim responsibility for any injury to people or property resulting from any ideas, methods, instructions or products referred to in the content.

Share and Cite

MDPI and ACS Style

Zai, M.-I.; Lalau, I.; Manica, M.; Chiriacescu, L.; Antohe, V.-A.; Gheorghiu, C.C.; Iftimie, S.; Toma, O.; Suchea, M.P.; Antohe, Ș. Morphological and Functional Evolution of Amorphous AlN Thin Films Deposited by RF-Magnetron Sputtering. Surfaces 2025, 8, 51. https://doi.org/10.3390/surfaces8030051

AMA Style

Zai M-I, Lalau I, Manica M, Chiriacescu L, Antohe V-A, Gheorghiu CC, Iftimie S, Toma O, Suchea MP, Antohe Ș. Morphological and Functional Evolution of Amorphous AlN Thin Films Deposited by RF-Magnetron Sputtering. Surfaces. 2025; 8(3):51. https://doi.org/10.3390/surfaces8030051

Chicago/Turabian Style

Zai, Maria-Iulia, Ioana Lalau, Marina Manica, Lucia Chiriacescu, Vlad-Andrei Antohe, Cristina C. Gheorghiu, Sorina Iftimie, Ovidiu Toma, Mirela Petruta Suchea, and Ștefan Antohe. 2025. "Morphological and Functional Evolution of Amorphous AlN Thin Films Deposited by RF-Magnetron Sputtering" Surfaces 8, no. 3: 51. https://doi.org/10.3390/surfaces8030051

APA Style

Zai, M.-I., Lalau, I., Manica, M., Chiriacescu, L., Antohe, V.-A., Gheorghiu, C. C., Iftimie, S., Toma, O., Suchea, M. P., & Antohe, Ș. (2025). Morphological and Functional Evolution of Amorphous AlN Thin Films Deposited by RF-Magnetron Sputtering. Surfaces, 8(3), 51. https://doi.org/10.3390/surfaces8030051

Article Metrics

Back to TopTop