Preliminary X-ray Fluorescence Analysis of Metallic Samples from the Chovdar Necropolis in Azerbaijan
Abstract
:1. Introduction
2. Materials and Methods
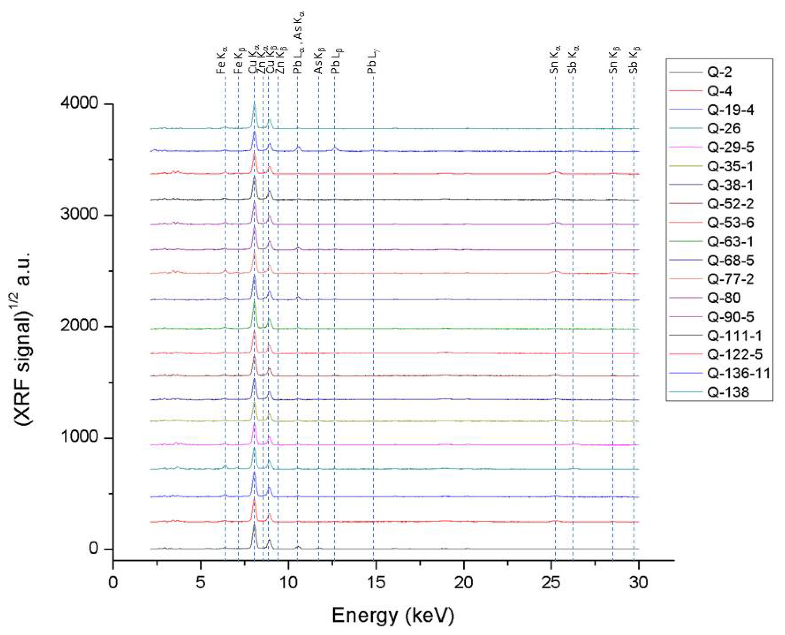
3. Results
4. Discussion
Supplementary Materials
Author Contributions
Funding
Data Availability Statement
Conflicts of Interest
| 1 | Seashells |
| 2 | Type of axe |
References
- Jones, A. Archaeometry and materiality: Materials-based analysis in theory and practice. Archaeometry 2004, 46, 327–338. [Google Scholar] [CrossRef]
- Hughes, M.J.; Cowell, M.R.; Craddock, P.T. Atomic absorption techniques in archaeology. Archaeometry 1976, 18, 19–37. [Google Scholar] [CrossRef]
- Renzi, M.; Montero-Ruiz, I.; Bode, M. Non-ferrous metallurgy from the Phoenician site of La Fonteta (Alicante, Spain): A study of provenance. J. Archaeol. Sci. 2009, 36, 2584–2596. [Google Scholar] [CrossRef]
- Giussani, B.; Monticelli, D.; Rampazzi, L. Role of laser ablation–inductively coupled plasma–mass spectrometry in cultural heritage research: A review. Anal. Chim. Acta 2009, 635, 6–21. [Google Scholar] [CrossRef] [PubMed]
- Palleschi, V. Laser-induced breakdown spectroscopy: Principles of the technique and future trends. ChemTexts 2020, 6, 1–16. [Google Scholar] [CrossRef]
- Pauna, C.; Constantinescu, B.; Constantin, F.; Bugoi, R.; Stan, D.; Vasilescu, A.; Caballero, J.A.; Alonso, C.E.; Andrés, M.V.; García Ramos, J.E.; et al. Archaeometrical studies using X-ray fluorescence methods. AIP Conf. Proc. 2010, 1231, 187–188. [Google Scholar] [CrossRef]
- Ferretti, M.; Cristoforetti, G.; Legnaioli, S.; Palleschi, V.; Salvetti, A.; Tognoni, E.; Console, E.; Palaia, P. In situ study of the Porticello Bronzes by portable X-ray fluorescence and laser-induced breakdown spectroscopy. Spectrochim. Acta Part B At. Spectrosc. 2007, 62, 1512–1518. [Google Scholar] [CrossRef]
- Nagel, W.; Strommeger, E. Kalakent: Früheiszeitliche Grabfunde Aus Dem Transkaukasischen Gebiet von Kirovabad, Jelisavetopol; Berlin Wissenschaftsverlag Volker Spiess: Berlin, Germany, 1985. [Google Scholar]
- Jalilov, B.M. Ancient Metallurgy and Metalworking in Azerbaijan; Science and Education: Baku, Azerbaijan, 2019. [Google Scholar]
- Courcier, A.; Jalilov, B.M.; Aliyev, I.; Guliyev, F.; Jansen, M.; Lyonnet, B.; Mukhtarov, N.; Museibli, N. The Ancient Metallurgy in Azerbaijan from the End of the Neolithic to the Early Bronze Age (6th–3rd Millennium BCE): An Overview in the Light of New Discoveries and Recent Archaeometallurgical Research. In From Bright Ores to Shiny Metals; Festschrift for A. Hauptmann; Körlin, G., Prange, M., Stöllner, T., Yalçin, U., Eds.; Deutsches Bergbau-Museum: Bochum, Germany, 2016. [Google Scholar]
- He, F.; Van Espen, P.J. General approach for quantitative energy dispersive X-ray fluorescence analysis based on fundamental parameters. Anal. Chem. 1991, 63, 2237–2244. [Google Scholar] [CrossRef]
- Solé, V.A.; Papillon, E.; Cotte, M.; Walter, P.; Susini, J. A multiplatform code for the analysis of energy-dispersive X-ray fluorescence spectra. Spectrochim. Acta Part B At. Spectrosc. 2006, 62, 63–68. [Google Scholar] [CrossRef]
- Palleschi, V. (Ed.) Chemometrics and Numerical Methods in LIBS; John Wiley & Sons: Hoboken, NJ, USA, 2022; ISBN 978-1-119-75957-7. [Google Scholar]
- Odelli, E.; Palleschi, V.; Legnaioli, S.; Cantini, F.; Raneri, S. Graph clustering and portable X-Ray Fluorescence: An application for in situ, fast and preliminary classification of transport amphoras. Spectrochim. Acta Part B At. Spectrosc. 2020, 172, 105966. [Google Scholar] [CrossRef]
- Kashkay, M.A.; Selimkhanov, I.R. Investigation of copper-arsenic objects from the excavations of the Kultepe hill in the Nakhichevan Autonomous Soviet Socialist Republic. Rep. Acad. Sci. Azerbaijan SSR 1957, 4, 449–454. [Google Scholar]
- Kashkay, M.A.; Selimkhanov, I.R. From the History of Ancient Metallurgy in the Caucasus; Elm: Baku, Azerbaijan, 1973. [Google Scholar]
- Selimkhanov, I.R. Unraveled Secrets of Ancient Bronze; Nauka: Moscow, Russia, 1970. [Google Scholar]
- Jalilov, B.M. Metal Products Found from Archaeological Excavations at New Construction Sites, AMEA AEİ, Materials of the Scientific Session Devoted to the Results of the Archaeological Excavations Carried Out in 2003–2004; Nafta Press: Baku, Azerbaijan, 2005; pp. 53–54. [Google Scholar]
- Jalilov, B.M. Metal Items from the Hajivellersky Necropolis, International Scientific Conference "Archaeology, Ethnology, Folklore of the Caucasus"; Nurlar: Baku, Azerbaijan, 2005; pp. 96–99. [Google Scholar]
- Spitsyn, A.S. Some Transcaucasian Burial Grounds. News Imp. Archaeol. Comm. 1909, 29, 3–15. [Google Scholar]
- Bakhshaliev, V.B. Ancient Metallurgy and Metalworking in the Territory of Nakhichevan; Elm: Baku, Azerbaijan, 2005. [Google Scholar]
- Aslanov, G.M.; Vaidov, R.M.; Ione, G.I. Ancient Mingachevir; Publishing House of the Academy of Sciences of the Azerbaijan SSR: Baku, Azerbaijan, 1959. [Google Scholar]
- Kesamanly, G.P. Archaeological Monuments of the Bronze and Early Iron Age of the Dashkesan Region; Agridag: Baku, Azerbaijan, 1999. [Google Scholar]




| Q-2 | Knife | ![]() |
| Q-4 | Dagger | ![]() |
| Q-19-4 | Horseshoe-shaped object | ![]() |
| Q-26 | Rod head | ![]() |
| Q-29-5 | Bird figure | ![]() |
| Q-35-1 | Ring | ![]() |
| Q-38-1 | Bracelet | ![]() |
| Q-52-2 | Spiral Decoration | ![]() |
| Q-53-6 | Button | ![]() |
| Q-63-1 | Bracelet | ![]() |
| Q-68-5 | Bracelet | ![]() |
| Q-77-2 | Bracelet | ![]() |
| Q-80 | Spearhead | ![]() |
| Q-90-5 | Pin | ![]() |
| Q-111-1 | Tabarzin2-shaped hanging | ![]() |
| Q-122-5 | Bell-shaped decor. | ![]() |
| Q-136-11 | Bird Figure | ![]() |
| Q-138 | Dagger | ![]() |
| Sample | Fe (w%) | Cu (w%) (Rest) | Zn (w%) | As (w%) | Sn (w%) | Sb (w%) | Pb (w%) |
|---|---|---|---|---|---|---|---|
| Q-2 | 0.4 | 95.4 | 0.4 | 3.5 | 0.0 | 0.1 | 0.1 |
| Q-4 | 0.7 | 95.6 | 0.4 | 0.4 | 2.1 | 0.2 | 0.4 |
| Q-19-4 | 1.6 | 93.9 | 0.8 | 0.6 | 2.6 | 0.1 | 0.4 |
| Q-26 | 5.0 | 92.7 | 0.4 | 0.7 | 0.1 | 1.0 | 0.2 |
| Q-29-5 | 0.5 | 93.3 | 0.3 | 0.8 | 0.2 | 4.8 | 0.2 |
| Q-35-1 | 0.4 | 91.7 | 0.3 | 1.3 | 3.6 | 2.3 | 0.4 |
| Q-38-1 | 0.6 | 95.8 | 0.6 | 0.5 | 2.0 | 0.1 | 0.4 |
| Q-52-2 | 0.5 | 95.3 | 0.5 | 0.1 | 2.9 | 0.3 | 0.5 |
| Q-53-6 | 0.8 | 96.2 | 0.5 | 0.3 | 0.3 | 1.6 | 0.2 |
| Q-63-1 | 0.9 | 96.3 | 0.5 | 1.0 | 0.5 | 0.2 | 0.7 |
| Q-68-5 | 2.0 | 90.1 | 1.3 | 4.1 | 0.1 | 0.1 | 2.3 |
| Q-77-2 | 2.6 | 88.4 | 0.6 | 0.2 | 8.0 | 0.0 | 0.2 |
| Q-80 | 0.6 | 95.1 | 0.3 | 2.2 | 0.3 | 0.2 | 1.3 |
| Q-90-5 | 1.0 | 92.1 | 0.5 | 0.1 | 6.0 | 0.0 | 0.3 |
| Q-111-1 | 0.7 | 94.7 | 0.5 | 0.2 | 2.6 | 0.2 | 1.1 |
| Q-122-5 | 1.3 | 87.3 | 0.6 | 0.2 | 10.4 | 0.1 | 0.3 |
| Q-136-11 | 0.6 | 74.1 | 0.7 | 0.8 | 0.2 | 0.9 | 22.7 |
| Q-138 | 1.0 | 97.0 | 0.6 | 0.4 | 0.2 | 0.6 | 0.2 |
| Types of Alloy | Samples | Main Elements |
|---|---|---|
| 1 | Q-2 | Cu and As |
| 2 | Q-4, Q-19-4, Q-38-1, Q-52-2, Q-63-1, Q77-2, Q-90-5, Q-111-1, Q-122-5 | Cu, Pb and Sn |
| 3 | Q-26, Q-29-5, Q-138 | Cu, Pb, As and Sb |
| 4 | Q-35-1 | Cu, Pb, As, Sn and Sb |
| 5 | Q-53-6 | Cu and Sb (Pb/As in traces) |
| 6 | Q-68-5 | Cu, As, Pb and Zn |
| 7 | Q-80 | Cu, As and Pb |
| 8 | Q-136-11 | Cu, Pb and Sb |
| Cluster | Samples | Main Elements |
|---|---|---|
| 1 | Q-2 | Cu and As |
| 2A | Q-4, Q-19-4, Q-38-1, Q-52-2, Q-111-1 | Cu, Pb and Sn |
| 2B | Q77-2, Q-90-5, Q-122-5 | |
| 2C | Q-63-1 | |
| 3 | Q-26, Q-29-5, Q-138 | Cu, Pb, As and Sb |
| 4 | Q-35-1 | Cu, Pb, As, Sn and Sb |
| 5 | Q-53-6 | Cu and Sb (Pb/As in traces) |
| 6 | Q-68-5 | Cu, As, Pb and Zn |
| 7 | Q-80 | Cu, As and Pb |
| 8 | Q-136-11 | Cu, Pb and Sb |
Disclaimer/Publisher’s Note: The statements, opinions and data contained in all publications are solely those of the individual author(s) and contributor(s) and not of MDPI and/or the editor(s). MDPI and/or the editor(s) disclaim responsibility for any injury to people or property resulting from any ideas, methods, instructions or products referred to in the content. |
© 2022 by the authors. Licensee MDPI, Basel, Switzerland. This article is an open access article distributed under the terms and conditions of the Creative Commons Attribution (CC BY) license (https://creativecommons.org/licenses/by/4.0/).
Share and Cite
Jalilov, B.; Ashurov, S.; Huseynov, M.; Huseynova, L.; Laneri, N.; Valentini, S.; Cocciaro, B.; Legnaioli, S.; Lorenzetti, G.; Campanella, B.; et al. Preliminary X-ray Fluorescence Analysis of Metallic Samples from the Chovdar Necropolis in Azerbaijan. Heritage 2023, 6, 199-211. https://doi.org/10.3390/heritage6010010
Jalilov B, Ashurov S, Huseynov M, Huseynova L, Laneri N, Valentini S, Cocciaro B, Legnaioli S, Lorenzetti G, Campanella B, et al. Preliminary X-ray Fluorescence Analysis of Metallic Samples from the Chovdar Necropolis in Azerbaijan. Heritage. 2023; 6(1):199-211. https://doi.org/10.3390/heritage6010010
Chicago/Turabian StyleJalilov, Bakhtiyar, Safar Ashurov, Muzaffar Huseynov, Lola Huseynova, Nicola Laneri, Stefano Valentini, Bruno Cocciaro, Stefano Legnaioli, Giulia Lorenzetti, Beatrice Campanella, and et al. 2023. "Preliminary X-ray Fluorescence Analysis of Metallic Samples from the Chovdar Necropolis in Azerbaijan" Heritage 6, no. 1: 199-211. https://doi.org/10.3390/heritage6010010
APA StyleJalilov, B., Ashurov, S., Huseynov, M., Huseynova, L., Laneri, N., Valentini, S., Cocciaro, B., Legnaioli, S., Lorenzetti, G., Campanella, B., Raneri, S., Poggialini, F., & Palleschi, V. (2023). Preliminary X-ray Fluorescence Analysis of Metallic Samples from the Chovdar Necropolis in Azerbaijan. Heritage, 6(1), 199-211. https://doi.org/10.3390/heritage6010010



















