You are currently on the new version of our website. Access the old version .
ForecastingForecasting
  • Article
  • Open Access

28 November 2025

Carbon Trading Price Forecasting Based on Multidimensional News Text and Decomposition–Ensemble Model: The Case Study of China’s Pilot Regions

,
,
,
,
and
1
School of Economics and Management, China University of Mining and Technology, Xuzhou 221006, China
2
College of Management and Economics, Tianjin University, Tianjin 300072, China
3
School of Management, China Institute for Studies in Energy Policy, Xiamen University, Xiamen 361005, China
4
School of Economics and Management, Southwest Jiaotong University, Chengdu 610031, China

Highlights

What are the main findings?
  • Leveraging multiple NLP techniques to extract textual features and combining them with financial variables signif-icantly boosts carbon price forecasting accuracy.
  • Combining ICEEMDAN with heterogeneous machine-learning models enables each model to capture different frequency components, significantly enhancing overall predictive performance.
What are the implications of the main findings?
  • Augmenting financial data with diverse text-analysis methods enhances forecasting accuracy, demonstrating the superiority of multi-source information over financial data alone.
  • Integrating ICEEMDAN decomposition with heterogeneous ML models yields a powerful forecasting strategy, harnessing the distinct advantages of each model for different frequency components.

Abstract

Accurately predicting carbon trading price is challenging due to pronounced nonlinearity, non-stationarity, and sensitivity to diverse factors, including macroeconomic conditions, market sentiment, and climate policy. This study proposes a novel hybrid forecasting framework that integrates multidimensional news text analysis, ICEEMDAN (Improved Complete Ensemble Empirical Mode Decomposition with Adaptive Noise) decomposition, and machine learning to predict carbon prices in China’s pilot trading prices. We first extract a market sentiment index from news texts in the WiseSearch News Database using a customized Chinese carbon-market dictionary. In addition, a price trend index and topic intensity index are derived using Latent Dirichlet Allocation (LDA) and Convolutional Neural Networks (CNN), respectively. All feature sequences are subsequently decomposed and reconstructed using sample-entropy-based ICEEMDAN approach. The resulting multi-frequency components were then used as inputs for a range of machine-learning models to evaluate predictive performance. The empirical results demonstrate that the incorporation of multidimensional text information on China’s carbon market, combined with financial features, yields a substantial gain in prediction accuracy. Our integrated decomposition-ensemble framework achieves optimal performance by employing dedicated models—BiGRU, XGBoost, and BiLSTM for the high-frequency, low-frequency, and trend components, respectively. This approach provides policymakers, regulators, and investors with a more reliable tool for forecasting carbon prices and supports more informed decision-making, offering a promising pathway for effective carbon-price prediction.

1. Introduction

As the largest emitter of greenhouse gases in the world, China actively promotes the pilot construction of the emission trading system (ETS), which is crucial for reaching the carbon peak before 2030 and carbon neutrality before 2060 [1]. The government allocates a certain amount of emission allowances to regulated enterprises included in the ETS. To meet compliance obligations, firms that hold a surplus of emission allowances can trade them, while those with a deficit must acquire additional allowances through the carbon market. Subsequently, this market-based approach could help the government control carbon emissions in major economic sectors and achieve green development in a cost-effective manner. Since 2013, eight pilots have been established, including Beijing, Tianjin, Shanghai, Chongqing, Hubei, Guangdong, Shenzhen, and Fujian. Drawing upon insights from its regional pilot programs, China launched the national carbon emissions trading market in July 2021, initially targeting the power generation sector [2].
Following the establishment of the carbon market, the issue of carbon pricing has attracted widespread attention and generated extensive discussion. The accurate forecasting of carbon allowance prices constitutes a cornerstone for evidence-based policymaking and strategic corporate decarbonization planning. Integrating carbon pricing projections empowers incumbent firms to design adaptive operational frameworks. These frameworks enable the systematic implementation of carbon-sensitive production optimization and supply chain reconfiguration through targeted hedging strategies. In parallel, regulators can leverage forward-looking price simulations to craft market-based incentives, thereby aligning macro-level decarbonization goals with micro-level corporate compliance. Additionally, compliance firms participating in the ETS regard emission allowances as a new type of asset that can be freely traded in the market [3]. From these enterprises’ perspective, the carbon price reflects the marginal cost of emission reduction. Accordingly, firms must conduct strategic assessment of the opportunities and risks in low-carbon technology investment, using carbon price signals to guide economically rational strategic choices [4]. Therefore, accurate carbon price forecasting empowers firms to proactively meet emission reduction obligations and formulate strategic plans for decarbonization and technology investment.
However, carbon trading prices are influenced by multidimensional factors, including macroeconomic conditions, energy prices, exchange rates, and allowance prices in international carbon markets [5]. Furthermore, social media platforms convey market sentiments and stances through policy reports and public comments from compliance entities and investors. This information influences corporate emission reduction decisions, thereby driving carbon price fluctuations [6]. Consequently, the carbon price series exhibits nonlinear characteristics, non-stationary behavior, with significant noise contamination [5,7]. Accordingly, we apply multiple text analysis methods to extract multidimensional textual information from news related to carbon emission trading. We subsequently combine these textual features with financial variables considered in traditional models to improve the accuracy of carbon price forecasting.
Furthermore, the accurate capture of sentiment in carbon-trading news presents a challenge that can be effectively addressed by employing a domain-specific lexicon. Existing general-purpose Chinese sentiment dictionaries often overlook key carbon-market terminology or include irrelevant entries [8]. To address this issue, we extend a Chinese financial sentiment lexicon using the Word2Vec algorithm to construct a carbon-market-specific sentiment dictionary, thereby achieving a significant refinement in the extraction of textual sentiment features.
Moreover, the relative importance of textual versus financial features in carbon price forecasting is time-varying. Furthermore, the nature of market drivers differs temporally: national climate policy announcements can reshape long-term market expectations, whereas energy-price swings and speculative trading are typically associated with short-term fluctuations. This leads to the dynamic evolution of feature importance [9]. To capture these heterogeneous temporal patterns, we employ advanced mode-decomposition techniques to decompose carbon prices and related variables. This process reduces noise interference, thereby providing the forecasting model with purified, well-defined frequency-specific input features.
Additionally, compared with traditional econometric models, advanced machine-learning models effectively capture the inherent nonlinear and non-stationary characteristics of carbon price series. Such models excel at modeling complex nonlinear relationships, adapting to heterogeneous data structures, and autonomously extracting salient features from high-dimensional inputs, thereby significantly enhancing forecasting accuracy and robustness [10]. To further enhance predictive performance, we leverage a decomposition-ensemble approach that integrates mode decomposition with multiple machine learning algorithms, enabling the capture of both long-term trends and short-term fluctuations across distinct frequency components. This integrated approach leverages the complementary strengths of decomposition and machine learning, offering a more accurate and flexible framework for carbon-price forecasting than traditional linear modeling.
Accordingly, this study begins by extracting multi-dimensional textual indicators from online news reports related to China’s carbon emissions trading system. Using convolutional neural networks (CNN), the latent Dirichlet allocation (LDA) model, and a lexicon-based sentiment analysis method, we construct three textual indicators, including the carbon price trend index, topic intensity index, and market sentiment index, respectively. Then we apply the ICEEMDAN method to decompose the carbon price series, textual indicators as well as the financial variables. This processing step is designed to extract the multi-scale characteristics of the data, capturing both subtle short-term fluctuations and overarching long-term structural patterns. Finally, we decompose the sequences using the ICEEMDAN approach and aggregate them based on sample entropy as the inputs of machine-learning models for carbon price forecasting. Furthermore, we compare the performance of different models across frequency-specific components and analyze the contribution of various textual features to carbon price prediction at different frequency levels.
Additionally, this study conducts an empirical analysis of China’s carbon pilot ETS based on data spanning from 2 April 2014 to 2 February 2024, with 2262 records. The dataset integrates three primary categories of variables: carbon allowance prices, a suite of textual features derived from news sources, and relevant financial indicators. The results show that various text mining techniques can extract multi-dimensional information from unstructured news data. However, models models relying exclusively on textual features demonstrate limited predictive accuracy. Conversely, combining these textual indicators with financial variables leads to significant improvements in forecasting performance. Furthermore, the integration of mode decomposition methods with machine-learning models facilitates a more refined forecasting process, thereby enhancing the performance of the multi-frequency ensemble model proposed in this study.
We have conducted a comparative analysis of the relevant research in Table 1 to highlight the differences between our work and existing studies more clearly. It indicated that existing studies have typically either integrated machine learning with mode decomposition techniques or combined machine-learning approaches with text-analysis methods. However, few have adopted multiple machine-learning techniques in a coordinated manner to fully capitalize on the complementary strengths of models operating across different feature domains. In addition, most prior works either overlook text analysis entirely or employ only a single text-processing method to derive a solitary indicator, thus failing to unlock the substantial latent information embedded in textual data.
Table 1. Comparison of existing research with our work.
Compared with previous studies, this study’s main contributions are as follows:
(1)
This study proposes a sentiment lexicon specifically tailored to carbon trading news texts. The lexicon is developed by expanding an existing Chinese financial sentiment dictionary using the Word2Vec algorithm to identify sentiment terms closely related to the carbon market. The resulting domain-specific lexicon enables more accurate extraction of sentiment features from unstructured carbon-related textual data.
(2)
This study uses multiple text analysis methods, including sentiment analysis, LDA, and CNN, to extract various textual features from news reports. Instead of constructing a single textual indicator, the study incorporates multi-dimensional textual features into the carbon price forecasting framework.
(3)
This study applies the ICEEMDAN decomposition method to both textual and financial feature sequences to extract detailed fluctuation patterns and long-term trends. These components reflect the influence of complex factors, such as market volatility and policy evolution, on carbon prices. This approach enables a more fine-grained carbon price forecasting process.
(4)
This study integrates the ICEEMDAN method with several advanced machine-learning models to construct an ensemble forecasting framework. Within this framework, the distinct strengths of individual models are strategically leveraged to match the specific characteristics of different frequency components. Empirical results demonstrate that the proposed approach enhances forecasting accuracy and consistently achieves superior performance in both model comparison and robustness evaluation.
The remainder of this paper is organized as follows. Section 2 reviews relevant studies. Section 3 describes the research design and main methods. Section 4 provides a textual analysis of news related to China’s carbon market. Section 5 presents an empirical analysis of carbon price forecasts. Finally, Section 6 concludes the paper.

2. Literature Review

As a traditional tool for analyzing financial time series, classical econometric models, such as the autoregressive integrated moving average (ARIMA) [20] and generalized autoregressive conditional heteroskedasticity (GARCH) [21] models, have been widely used to construct single-factor price forecasting models. These models are commonly adopted due to their simple structure and high interpretability [22]. However, these single-factor models have limited ability in capturing the effects of key exogenous macroeconomic factors. To overcome this limitation, many researchers have employed multi-factor models based on multiple linear regression to improve the prediction performance of carbon allowance market prices [23].
However, traditional econometric models based on linear assumptions have significant limitations in capturing the nonlinear patterns embedded in carbon price time series data [24] Additionally, previous studies have primarily focused on financial variables but neglected the role of textual information in the prediction of carbon price. However, macroeconomic variables, such as financial market indices and energy commodity prices, solely reflect historical market information. We cannot sufficiently extract the information related to the real-time policy changes and market sentiment related to the ETS from these variables. Within the ETS artificially constructed by the government, the total emission caps and the allowance allocation rules are administratively predetermined, resulting in inherent systemic complexity. Therefore, carbon allowance prices are highly sensitive to real-time information on climate policies, especially the design and adjustments of carbon trading mechanisms. Advances in natural language processing (NLP) and deep learning have enabled researchers to leverage unstructured data for feature extraction, enhancing the analysis and forecasting of carbon emission allowances and related energy financial products [6,11,25]. Therefore, this study attempts to incorporate real-time unstructured information related to the carbon market into the forecasting framework for carbon allowance market prices.
With the popularity and development of internet technologies, online platforms such as websites, forums, and blogs have become important sources of real-time unstructured information. The advances of NLP have revolutionized the efficient processing of textual data. Previous studies have confirmed that incorporating information extracted from text into carbon allowance price forecasting models can improve both the explanatory power and accuracy of predictions [12]. Xie et al. [6] incorporated text-based variables related to climate factors into an LDA model, which significantly enhanced the forecasting accuracy of carbon allowance prices. Li et al. [25] proposed a stock price forecasting approach based on online media text mining, in which sentiment scores derived from news articles were used to improve predictive accuracy. Li et al. [11] categorized news headlines according to daily carbon price movements and constructed a price trend index using classification methods. This index was then integrated into the forecasting model to further improve its performance. Nevertheless, most existing studies typically extract only one or two types of feature variables from news texts, thus missing the opportunity to fully leverage the value of real-time unstructured information. To address this gap, inspired by Li et al. [11] and Gong et al. [13], this study uses the CNN, sentiment analysis, and LDA model to extract three indices from news headlines and article content, including a carbon price trend, market sentiment, and topic intensity index, respectively. This approach can comprehensively capture multi-dimensional information embedded in online news and then help us improve the forecasting accuracy of carbon allowance market prices.
Moreover, Subject to influences from macroeconomy, energy markets, and climate policies, carbon price dynamics manifest pronounced nonlinearity, structural complexity, and considerable volatility. This makes it difficult for the traditional models to effectively capture the underlying patterns of both the carbon price and its key determinants. To achieve more accurate forecasting results, the relevant researchers have focused on several decomposition techniques, including empirical mode decomposition (EMD) [26], ensemble empirical mode decomposition (EEMD) [27], and complementary ensemble empirical mode decomposition (CEEMD) [28]. These methods decompose the original time series into multiple intrinsic mode functions (IMFs), generate individual forecasts for each IMF, and finally aggregate them to reconstruct the overall prediction. To address the limitations of mode mixing, low computational efficiency, and residual noise in existing methods, Torres et al. [29] proposed the complementary ensemble empirical mode decomposition with adaptive noise (CEEMDAN) method. Subsequently, building upon this foundation, Colominas et al. [30] further advanced the technique by introducing an improved version, the ICEEMDAN. Therefore, this study follows the TEI@I methodology [31] and adopts a framework that combines ICEEMDAN with various machine-learning models to achieve more accurate carbon price forecasting.
Advances in computing technology have driven the adoption of machine learning methods, revolutionizing approaches to carbon price forecasting [32]. A wide range of models with strong predictive capabilities has been extensively applied to forecasting tasks for carbon allowances, stocks, and futures. These include ridge regression [33], multilayer perceptrons (MLP) [18,34], bidirectional long short-term memory networks (BiLSTM) [35], support vector regression (SVR) [19,36], bidirectional gated recurrent units (BiGRU) [37], random forests, least-squares support vector machine (LSSVM) [17], and extreme gradient boosting (XGBoost) [16]. Prior studies have demonstrated that these models generally outperform traditional econometric approaches in terms of predictive accuracy [38]. Furthermore, relevant scholars have enhanced machine learning models by integrating macroeconomic variables—including financial market indicators, energy structure, and energy prices—with textual features derived from unstructured data. Representative models applied in this context encompass long short-term memory (LSTM) networks, support vector regression (SVR), and adaptive radial basis function neural networks (ARBFN) [15]. Additionally, some researchers have employed mode decomposition techniques to break down the original data into distinct frequency components. These components are subsequently modeled by dedicated machine learning methods, and their forecasts are reintegrated to achieve superior forecasting accuracy [39]. Inspired by these studies, our study uses the ICEEMDAN method to decompose the original carbon price data as well as multi-dimensional textual features and related financial variables. We could aggregate these variables based on sample entropy and use them as inputs in various machine-learning models of carbon price forecasting. Therefore, we have identified the optimal decomposition–ensemble prediction model by comparing the predictive performance of each model on sub-sequences at different frequencies. Furthermore, we have examined the role of various textual indicators in improving the accuracy of carbon price forecasting within the ensemble forecasting framework.

3. Data and Methodology

3.1. Research Framework

The research framework of this study is illustrated in Figure 1. First, textual data from carbon trading-related news were processed and temporally aligned with their corresponding dates. Then, a combination of sentiment analysis, LDA modeling, and CNN was leveraged to distill multi-dimensional textual features from the online news data. Next, the extracted textual features and financial variables were decomposed using the ICEEMDAN method. In accordance with the sample entropy (SE) principle, the resulting intrinsic mode functions (IMFs) were then reconstructed into high-frequency, low-frequency, and trend components. Finally, the reconstructed sub-sequences were input into multiple machine-learning models to identify the most effective ensemble forecasting model.
Figure 1. The research framework of this paper.

3.2. Data Collection and Preprocessing

WiseSearch is one of the largest news databases globally, which compiles a vast amount of textual information by collecting news from over 1200 print media outlets and more than 1500 social media sources. Given its richness and breadth, the WiseSearch platform is selected in this study as the primary source of news related to carbon trading. Since 2013, China has gradually launched carbon trading pilot programs in several regions. In 2021, a national carbon emission trading market was established, starting with the power sector. Furthermore, the market mechanism has evolved dynamically, with its design being progressively enhanced over time. In February 2024, China enacted its first dedicated carbon market regulation, titled “Interim Regulations on the Administration of Carbon Emission Trading,” was formally issued. Accordingly, we set the period from 1 January 2013 to 8 February 2024 as the time frame for retrieving news texts related to carbon allowance prices in China’s pilot regions. We obtained the related news texts by searching keywords including “carbon market,” “carbon trading,” “carbon finance,” “carbon emission trading,” and “carbon emission allowance trading.” The news data consists of two components: headlines and full-text articles. Headlines captures key information that can influence trading decisions, while the full-text content provides nuanced sentiment expressions and detailed policy context.
The downloaded news data underwent a series of preprocessing steps. Firstly, garbled characters and irrelevant news entries were removed. Then, a manual review was conducted to exclude articles with low relevance to the carbon market, thereby minimizing noise from unrelated content. This process yielded a final corpus of 83,425 valid news articles. Articles published on non-trading days were subsequently excluded to align the data with market activity. A word cloud generated from the cleaned text is shown in Figure 2.
Figure 2. Wordcloud diagrams.
Presently, the carbon emission trading markets operate independently among China’s pilot regions. These regional markets significantly differ in their mechanism designs, particularly in terms of quota allocation and market regulation. Among them, the Hubei carbon maintains the leading position in both trading volume and value, supported by its high ratio of trading days. Existing studies have further confirmed that the Hubei pilot market demonstrates relatively high market efficiency [40]. Accordingly, this study selects the closing prices of quota trading in the Hubei carbon market (PRICE) as the target for prediction. To perform robustness checks, two other active regional carbon markets—Shanghai and Guangdong—are also included in the analysis. The sample period spans from 2 April 2014 to 2 February 2024, comprising a total of 2262 trading days after excluding holidays. To improve the accuracy of carbon price forecasting, seven market-related control variables were also introduced into the forecasting framework. This study incorporates data from domestic equity, international exchange, energy commodity, and international carbon markets as explanatory variables alongside textual features. The rationale for selecting each market feature variable is provided below.
(1)
Domestic Stock Market
The trends in the stock market reflect the overall economic conditions. A buoyant stock market performance generally indicates economic prosperity, resulting in increased production by businesses and heightened consumer demand [41]. Simultaneously, the expansion of production activities may raise energy consumption and result in higher carbon emissions, thereby raising the market price of carbon allowances [42,43]. Given the interdependence between the stock and carbon markets, this study uses the China Securities Index (CSI) 300 Index obtained from the China Stock Market & Accounting Research (CSMAR) Database to capture the influence of China’s securities market on regional carbon prices.
(2)
International Exchange Market
Many energy-intensive enterprises, such as those in the steel sector, import coal and other fossil resources while exporting finished products to global markets. Fluctuations in exchange rates could affect firms’ import and export behavior, which in turn shapes their production decisions. Such shifts can indirectly influence domestic energy demand, in turn affecting carbon prices. Given the significance of the Euro (EUR) and the US dollar (USD) in international carbon finance, this study includes the central parity rates of the EUR and USD against the Chinese yuan to reflect exchange rate effects.
(3)
Energy Commodity Market
Carbon dioxide emissions are primarily generated from the use of fossil fuels by enterprises. Consequently, volatility in fossil energy prices is likely to exert an impact on firms’ energy input decisions, thereby shaping their demand for carbon allowances. When fossil fuel prices increase, firms may respond by upgrading production technologies to reduce energy consumption and lower carbon intensity—thereby reducing demand for carbon allowances and potentially leading to a decline in carbon trading prices. Conversely, when fossil fuel prices decrease, enterprises are more likely to increase their use of conventional energy, leading to higher carbon emissions. Under such circumstances, the heightened demand for carbon allowances can drive carbon prices upward. Accordingly, this study selects the WTI crude oil futures settlement price (WTI), natural gas futures index (GAS), and coal price index (COAL) to capture trends in major fossil energy markets [36].
(4)
International Carbon Market
Carbon trading products among major global markets share similar underlying characteristics. Consequently, a certain degree of linkage and information spillover exists between different carbon markets. Prior studies have identified asymmetric volatility spillover effects between the EU and Chinese carbon markets [44]. Therefore, this study employs the settlement price of EU Emissions Allowance (EUA) futures as a proxy to capture the influence of the international carbon market on domestic carbon trading prices [3].
Data on carbon allowance closing prices and the aforementioned market indicators are retrieved from the China Stock Market and Accounting Research (CSMAR) database.

3.3. Online News Text Mining

Textual features are extracted from online news articles in three dimensions. The sentiment index is derived from news content through a domain-specific Chinese sentiment lexicon customized for the carbon market. The topic intensity index is computed by applying the LDA model to the aforementioned news content, while the carbon price trend index is extracted from news headlines using a CNN model. These three indicators, respectively, capture compliance entities’ attitudes toward future market expectations, the temporal evolution of policy and market conditions, and the long-term price trends implied by the carbon trading mechanism. Further details are presented below.

3.3.1. Expansion of the Sentiment Lexicon Using Word2vec

Drawing on an existing Chinese financial sentiment lexicon, this study leverages the Word2vec algorithm to extend the vocabulary pool by mining emotion-laden terms specifically linked to carbon market mechanisms. The resulting domain-specific sentiment lexicon, customized for the carbon market domain, facilitates more precise identification of emotional cues in carbon trading news texts. Word2vec is a widely used algorithm for constructing word embeddings introduced by Mikolov et al. [45]. It trains a neural network model to learn contextual relationships between words, mapping each word to a low-dimensional, dense vector that preserves rich semantic information. The similarity between words is then measured by the distance and direction between their corresponding vectors in the embedding space. This study adopts the Skip-gram model within the Word2vec framework, which predicts the surrounding words in a sentence based on a given target word. The model assumes that the higher the cosine similarity between two-word vectors, the greater their semantic similarity. The cosine similarity between word vectors is computed using the following formula.
Similarity = cos ( θ ) = A × B | A | | B | = i = 1 n A i × B i i = 1 n ( A i ) 2 × i = 1 n ( B i ) 2
where A i denotes the value of the i t h dimension in word vector A, and B i represents the corresponding value in word vector B. Given that existing sentiment lexicons are not well-suited for analyzing emotions in carbon market-related news, this study follows the approach of Jiang et al. [8] and builds upon the financial sentiment lexicon developed by Yao et al. [46] to construct a domain-specific sentiment dictionary tailored to carbon emissions trading. Then we compiled and consolidated 37 seed words, including terms such as “energy saving,” “environmental protection,” and “low carbon” from the financial lexicon, as well as words closely related to the carbon market extracted from the positive and negative environmental, social, and governance (ESG) word lists proposed by Xu et al. [47].
To address the potential inclusion of low-frequency words during the Word2vec expansion process, the Skip-gram model is employed with a window size of 5 and dimensionality of 300. For each seed word, the top ten most similar terms are selected based on cosine similarity, followed by manual screening to eliminate semantically irrelevant terms—resulting in the identification of 133 additional sentiment words. By integrating the original financial sentiment lexicon with the expanded vocabulary, a Chinese sentiment lexicon specifically tailored to the carbon market context is constructed.

3.3.2. Sentiment Analysis

Sentiment analysis is conducted using the domain-specific Chinese sentiment lexicon constructed for the carbon market, enabling the development of a daily news sentiment index corresponding to each carbon trading day.
The sentiment analysis process proceeds as follows:
First, Python (version 3.8.19) is employed for text data preprocessing, involving the removal of stop words. Subsequently, the Jieba library is then applied for text segmentation to generate individual tokens. These tokens are then matched against a sentiment lexicon, a predefined list of negation words, and a predefined list of degree adverbs. Based on this matching process, words are categorized as sentiment words, negation words, or degree modifiers. In the computation of sentiment scores, the analysis incorporates not only the presence of sentiment words but also the modifying effects exerted by negation and degree words. Sentiment scores are classified as positive or negative based on their polarity. The final sentiment score for each news item is calculated using the following method [48].
(1) Calculate the score of the i t h phrase according to Equation (2).
s c o r e i = s e n t i m e n t _ w o r d i ( d e n y i ) n d e g r e e i > 0           pos _ score < 0           neg _ score
where s e n t i m e n t _ w o r d i denotes the score of the i t h sentiment word. The variable d e n y i indicates whether a negation word appears before the sentiment word; its value is set to −1 if such a negation is present. The variable n represents the number of negation words surrounding the sentiment word, and d e g r e e i refers to the degree adverb that precedes the i t h sentiment word. Following the methodological framework developed by Zhao et al. [49], this study employs a hybrid methodology, integrating the degree adverb lexicon from the Hownet database (CNKI) with a negative polarity lexicon to construct a 10-level classification system freaturing calibrated intensity weights: extremely/most (2.0), very (1.9), quite (1.8), more (1.7), relatively (1.6), appropriately (1.5), slightly (1.4), insufficiently (1.2), excessively (1.1), and somewhat (0.8).
(2) Calculate the overall sentiment score of the news text by aggregating the scores of all identified sentiment components according to Equation (3).
  Sentiment   j = p o s _ s c o r e j n e g _ s c o r e j p o s _ s c o r e j + n e g _ s c o r e j
where p o s _ s c o r e j = i = 1 n p o s _ s c o r e i , j , n e g _ s c o r e j = i = 1 n n e g _ s c o r e i , j , and n denotes the total number of sentiment word combinations in the j t h news article.
(3) Average the sentiment indices of all news articles published on a given day to generate the daily market sentiment index.
  Sentiment   t = 1 N t j = 1 N t   Sentiment   t , j

3.3.3. LDA Model

The LDA model is implemented using the Gensim library in Python to identify latent topics embedded in the content of online news articles [13]. The LDA model posits that each document is modeled as a mixture of topics, and each topic is characterized by Dirichlet prior distribution over words. For a given document m, the probability that the i t h word w m i belongs to the topic z k is denoted by θ m , while the probability of word v m i appearing under topic k is denoted by ϕ k [50].
This study employs the LDA model to construct a topic intensity index as an independent metric. This approach serves to mitigate confounding effects arising from operational interaction. This design operates via unsupervised learning, relying solely on textual input vectors without the need for manually labeled data. The number of topics k is determined by the Kullback–Leibler (KL) divergence method [22].
The topic intensity index for trading day t is defined as follows:
  Topic   t , i = 1 N t j = 1 N t     topic t , i , j
where N t represents the number of news articles published on trading day t, and   topic t , i , j denotes the weight of the i t h topic in the j t h news article on that day.

3.3.4. CNN Model

The CNN model is implemented via the CNN interface in the PyTorch (version 2.4.1) library in this study, following the basic design proposed by Chen [51]. The model applies convolutional filters to the input matrices to model local dependencies among semantic components, thereby capturing the latent semantic structures embedded in news headlines. In our work, the CNN model is trained to learn hidden patterns within the news. The respective series produced through the framework could be defined as the carbon price trend index in the subsequent price forecasting model. Following the approaches of previous studies [11,15,39], this study assigns labels to the training corpus for supervised learning based on the direction of price movement (up or down) in the Hubei carbon market, which serves as the target variable. If the carbon price falls on a given day, the corresponding news headline is labeled as 0. If the price rises or remains unchanged, the label is set to 1. These labeled headlines are then input into a pre-trained CNN model to generate the daily carbon price trend index.
To establish temporal alignment between news and market prices, all headlines are synchronized with the price movement of the same day, based on the market closing time. This process strictly limits the analysis to information that was publicly available before the market close, thereby constructing a model that is inherently free from look-ahead bias. This approach aligns with prior studies in financial text analysis [11,15], which also integrate news data with contemporaneous market data for supervised learning, thereby ensuring methodological consistency.
The definition of carbon price movement is as follows.
M t = 0 ,     p t < p t 1 1 ,     p t p t 1
where p t denotes the closing price of carbon allowances on trading day t. The CNN model is designed to identify and extract the latent features from news headlines that influences carbon market price trends, through the following procedure.
(1) Data preprocessing and text vectorization. The collected online news dataset was partitioned into training, validation, and test sets at a ratio of 7:1:2. The text underwent tokenization and stop-word filtering to eliminate irrelevant terms. We then employ a Word2vec model—pre-trained on 2.78 energy-related million news articles—to generate 300-dimensional word vectors. These vectors subsequently serve as the foundation for transforming high-dimensional text into low-dimensional, structured numerical representations, thereby effective word embedding.
(2) Model training. The CNN model is trained on the training set using the gradient descent algorithm. This process employs convolution operations, max pooling, and a Softmax classifier to iteratively optimize model parameters.
(3) Model validation. The optimally performing model from the training phase is subsequently evaluated on the test set. Its classification accuracy is quantitatively assessed using standard performance metrics.
(4) Carbon price trend index calculation. The model first computes a categorical output for each individual news headline. These outputs are then aggregated to derive the daily carbon price trend index for trading day t, as defined by the following equation:
  Trend   t = 1 N t j = 1 N t   t r e n d t , j
where N t denotes the number of online news headlines on trading day t, and t r e n d t , j represents the carbon price trend index derived from the j t h headline on that day.

3.4. Identification of Nonlinear Features

This study employes the Brock-Dechert-Scheinkman (BDS) test to detect nonlinear dependencies among the integrated financial indicators, textual features, and carbon allowance pricing dynamics. The empirical evidence of such dependencies substantiates the subsequent application of machine-learning models for forecasting. The Brock–Dechert–Scheinkman (BDS) test, a statistical method proposed by Brock et al. [52], is used to identify general forms of stochastic nonlinearity and hidden dependence within a dataset. The specific computational procedure is detailed as follows.
For a given feature variable sequence X t , the number of paired observations [ i , j ] is defined as C m ( ε ) :
C m ( ε ) =   n 2
where the pair [ i , j ] satisfies X i X j < ε , X i + 1 X j + 1 < ε , …, X i + m 1 X j + m 1 < ε . Accordingly, X i , , X i + m 1 and X j , , X j + m 1 represent two segments of the sequence with length m. The distance between corresponding elements is denoted by ε . Brock et al. [3] proposed the BDS test and proposed the following hypothesis.
H0: 
The sequence is independently and identically distributed.
B D S = n 1 / 2 · [ C m ε C 1 ( ε ) m ]
Under the null hypothesis, the BDS statistic converges in distribution to the standard normal distribution. Its rejection provides statistical evidence for the presence of nonlinear dynamics in the series. Accordingly, this study applies the BDS test to detect such nonlinear effects in the carbon allowance price series, as well as in the relevant financial and textual feature sequences.

3.5. Decomposition and Reconstruction Method

Although decomposing highly complex and volatile price series can improve forecasting accuracy, it often generate a large number of input variables, thereby increasing model complexity. To tackle this issue, this study reconstructs each decomposed variable into high-frequency, low-frequency, and trend components according to the sample entropy (SE) of their intrinsic mode functions (IMFs). Each component is forecasted individually, and the results are integrated to form the final prediction [14]. This reconstruction strategy significantly reduces input dimensionality while preserving critical information across multiple frequency scales.

3.5.1. Improved Complete Ensemble Empirical Mode Decomposition with Adaptive Noise (ICEEMDAN)

To overcome the limitations of traditional Empirical Mode Decomposition (EMD) and its variants—such as mode mixing, residual noise, and computational inefficiency—this study utilizes the Improved Complete Ensemble EMD with Adaptive Noise (ICEEMDAN) for signal decomposition of both textual and financial features. This method injects a finite number of adaptively generated white noise realizations into the signal, significantly reducing the required ensemble size and minimizing reconstruction error. As a result, it effectively suppresses mode mixing while maintaining computational efficiency. The specific computational procedure is outlined below:
(1) Define the signal sequence as x i n = x n + ε 0 w i ( n ) , where w i n represents distinct realizations of Gaussian white noise processes, and ε 0 denotes the noise standard deviation.
(2) Apply the EMD method to each x i n and extract the first intrinsic mode function (IMF). The first complete ensemble average mode function ( C E E M F 1 ) is then obtained using Equation (10):
C E E M F 1 n = 1 I i = 1 I I M F 1 , i ( n )
where I M F i , 1 n refers to the result of the i t h trial of the first intrinsic mode function obtained through the EMD method.
(3) The first intrinsic mode function is subtracted from the original signal to obtain the updated residual, denoted as r 1 n = x n C E E M F 1 n . The signal x n is then replaced by r 1 n , and the process proceeds to the next iteration.
(4) For the k t h residual signal r k n , a new noise sequence is introduced.
r k , i n = r k 1 n + ε k w i ( n )
EMD is applied to each r k , i n to extract the k t h intrinsic mode function, which is averaged to obtain C E E M F k n = 1 I i = 1 I I M F k , i ( n ) . The updated residual for the next stage is computed as r k + 1 n = r k n + I M F k ( n ) .
(5) Step 4 is repeated iteratively until the residual r k + 1 n becomes a monotonic function or constant, indicating that no further decomposition is meaningful.
(6) Finally, the original signal x n is expressed as the summation of all extracted CEEMF components and the final residual:
x n = r k + 1 n + k = 1 K C E E M F k n

3.5.2. Reconstruction Based on Sample Entropy (SE)

Sample entropy (SE), introduced by Richman and Moorman [53], quantifies the complexity and irregularity of a time series, with a higher value indicating greater stochasticity. For a given time series x = x 1 , x 2 , , x N , the SE is computed as follows [54].
(1) Reconstruct the phase space. For a given embedding dimension m , construct template vectors x i = [ x i , x i + 1 , , x i + m 1 ] where i = 1,2 , N m + 1 .
(2) Calculate inter-vector distances. For each pair of vectors X i and X j ( i j ), compute the Chebyshev distance:
D m ( X i , X j ) = max 0 ~ m 1 x i + k x j + k
(3) Estimate similarity counts. For each vector X i , count the number of other vectors X j for which D m ( X i , X j ) < r , where r is a predefined tolerance. Then compute the relative frequency as B i m r = n u m { D m ( X i , X j ) < r } N m .
(4) Compute the average similarity. Average B i m r overall all vectors to obtain B m r = i = 1 N m + 1 B i m r N m + 1 .
(5) Repeat for dimension m + 1 . Increase the dimension to m + 1 and repeat steps (1) to (4) to obtain B m + 1 r .
(6) Calculate the sample entropy. Finally, the sample entropy is defined as:
S E ( N , m , r ) = l n ( B m + 1 r B m r )
This procedure yields the sample entropy for each decomposed sequence. These SE values are then used to reconstruct these sequences into high-frequency, low-frequency, and trend components for subsequent analysis.

3.6. Carbon Price Prediction Model

To mitigate the impact effect of scale differences across variables, each aggregated sequences is normalized using min-max scaling:
x = x x m i n x m a x x m i n
where x denotes the original price series, x is the normalized series, and x m i n and x m a x represent the minimum and maximum values of the original series, respectively.
The normalized historical carbon allowance market prices, financial features, and text features across multiple frequencies are used as input variables, while the future carbon price sequence serves as the output. A diverse suite of machine-learning models—including BiGRU, BiLSTM, MLP, Random Forest (RF), XGBoost, Ridge, Lasso, and Support Vector Regression (SVR)—are applied to predict carbon prices at different frequency components (model details are provided in Appendix A). The optimal ensemble model for each frequency band is selected by comparing the predictive performance on high-frequency, low-frequency, and trend-frequency components, enabling a tailored modelling approach that accounts for the distinct characteristics of each frequency domain.
To comprehensively evaluate model performance, the predictions from each frequency are denormalized and aggregated into a final price sequence, which is then compared against the actual carbon price series. Four metrics are employed for quantitative assessment: Mean Absolute Error (MAE), Root Mean Square Error (RMSE), Mean Absolute Percentage Error (MAPE), and the coefficient of determination (R2). Furthermore, model robustness is verified by comparing predictions across different time periods, pilot regions, and sample split ratios.

4. Text Analysis of Online News

4.1. Sentiment Lexicon Expansion and Sentiment Analysis

We expanded the original financial sentiment lexicon by employing the Word2Vec algorithm to tailor it to the linguistic and contextual characteristics of the carbon market. To maintain lexical quality, we first discarded any candidate term with a cosine similarity score below the empirically set threshold of 0.5, thereby ensuring the expanded vocabulary’s semantic relevance and precision.
We then conducted a systematic manual evaluation to retain only those terms that credibly capture market sentiment within this domain. A representative subset of the expanded sentiment vocabulary is presented in Table 2.
Table 2. Partial sentiment lexicon expansion results.
We calculate the sentiment indices for each news text by parsing its content with the constructed domain-specific Chinese sentiment lexicon tailored to the carbon market. We also fully account for the effects of both negation words and degree adverbs in the sentiment analysis. Table 3 presents the sentiment indices for a set of example sentences related to the carbon market. Using the expanded sentiment lexicon, we can successfully extract a market sentiment index for each sentence.
Table 3. A Selection of Sentiment Indices for Carbon Market Sentences.
The daily market sentiment index (SENTI) is obtained by averaging the sentiment scores of all news texts published each day. The daily market sentiment index ranges from −1 to 1, with values near 1 denoting strong positive market sentiment and those near −1 reflecting strong negative sentiment. The trend of the sentiment index in the Hubei carbon market is shown in Figure 3. It illustrates that since the launch of the carbon trading pilot in 2013, market sentiment has shown an overall upward trend.
Figure 3. Trend of Hubei Carbon Market Sentiment Index.
This pattern indicates that with the progressive refinement of market mechanisms and the implementation of supporting policies, participants have demonstrated mounting confidence and optimism toward the carbon trading scheme. The announcement of China’s national carbon emissions trading scheme at the end of 2017 coincided with a stabilization positive market sentiment. This trend suggests that increased institutional consolidation and policy clarity helped reduce market uncertainty, thereby reinforcing confidence in long-term market development.
However, the onset of the COVID-19 pandemic in late 2019 undermined market confidence, as policy unpredictability increased and containment measures negatively impacted industrial output and energy consumption. From a behavioral finance perspective, such sentiment volatility reflects investors’ bounded rationality and heightened sensitivity to external shocks, whereby adverse information and elevated uncertainty amplify risk aversion and short-term pessimism.
Accordingly, by applying dictionary-based sentiment analysis to carbon market-related news texts, we develop an index that quantitatively captures these shifts in market emotion. This index not only mirrors market participants’ behavioral responses and economic conditions but also provides an empirical basis for understanding how expectations, confidence, and policy credibility collectively shape the development trajectory of the carbon market.

4.2. LDA Topic Model

This study uses 54,445 news articles related to the Hubei carbon market to conduct topic modeling. We must first adopt a reasonable method for determining the number of topics ex ante. Following Gong [13], we employ the KL divergence method to determine the optimal number of topics (K). As shown in Figure 4, which plots the KL divergence for topic numbers ranging from 2 to 16., the value peaks at 0.001231 for three topics, thus identified as the optimal configuration for our topic model.
Figure 4. The KL divergence corresponding to the number of news topics.
Table 4 presents the top ten keywords for each of the three news topics identified by the LDA model. It also reports the number of news articles associated with each topic and the corresponding proportions. The results indicate that the extracted topics effectively capture key determinants of carbon allowance prices and collectively reflect the multidimensional nature of China’s evolving carbon market.
Table 4. Key glossaries for each topic.
Specifically, Topic 1, is characterized by keywords such as “company”, “project”, “asset”, and “investment”, highlighting how incumbent firs are devising strategic and financial responses to the ETS. During the pilot phase (2013–2016), corporate strategies were characterized by a focus on cost control, compliance management, and the feasibility of low-carbon investments. This orientation reflected the early stage of policy experimentation, a period marked by prevalent information asymmetry and regulatory uncertainty. From a behavioral perspective, the prominence of corporate- and investment-oriented terms is indicative of ongoing market learning and the formation of adaptive expectations—a process whereby firms progressively internalized carbon pricing into their strategic planning.
Topic 2, featuring terms such as “green”, “policy”, “carbon neutrality”, and “economy”, reflects the deepening integration of climate governance into broader macroeconomic and industrial policy agendas. The prominence of these keywords demonstrates a shift in public and market focus toward long-term sustainability, underscoring enhanced policy credibility and collective optimism. From an economic standpoint, the growing intensity of this topic mirrors an evolving policy narrative—one that increasingly frames environmental regulation as compatible with, and often instrumental to, economic modernization and green growth.
Topic 3, which includes keywords such as “allowance”, “pilot”, “trading market”, and “management”, pertains to the institutional and operational foundations of the carbon market itself. These terms relate closely to trading rules, quota allocation mechanisms, and system governance, illustrating how regulatory design influences market efficiency and stability. From a behavioral viewpoint, this topic represents participants’ perceptions of policy clarity and administrative coordination, both of which directly shape market confidence and trading sentiment.
Overall, the three topics represent distinct but complementary facets of carbon market development: corporate behavioral responses, policy orientation, and market governance. Constructing topic-intensity indices along these dimensions yields a novel metric to quantify the interplay between information, attention, and policy narratives in shaping carbon market sentiment and pricing dynamics.

4.3. CNN Text Classification

We apply a CNN model following the methodology of Shuai [55] to extract the carbon price trend index (TREND) from online news headlines. A total of 49,389 headlines related to the Hubei carbon market are divided into training, validation, and test sets in a 7:1:2 ratio to evaluate the model’s performance. As shown in Table 5, the CNN model achieves an accuracy of 59.65%, indicating its satisfactory predictive performance. We further evaluate the model’s performance using the Area Under the ROC Curve, which quantifies its ability to discriminate between upward and downward price movements. The CNN model achieves an AUC of 0.6654, significantly above the 0.5 benchmark of a random classifier. This result provides statistical evidence that the model robustly captures meaningful directional signals from the news headlines. After evaluation, all headlines are fed into the trained CNN model to predict the carbon price trend reflected in each headline. We then average the predicted labels across headlines for each trading day to compute the daily carbon price trend index (TREND).
Table 5. CNN model prediction effect evaluation form.

5. Empirical Analysis

5.1. Descriptive Statistics

So far, we have obtained a total of 12 characteristic variables for predicting carbon prices, including 7 financial market indicators and 5 textual indicators. Table 6 reports the descriptive statistics of these variables.
Table 6. Data descriptive statistics.

5.2. Identification of Nonlinear Characteristics of Feature Variables

We first construct bivariate VAR models to filter out the linear dependencies between each feature variable and the carbon allowance market price, respectively. Then we apply the BDS test to each residual sequences obtained through linear filtering to examine their nonlinear dynamic characteristics. The results shown in Table 7 indicate that the null hypothesis is rejected at the 1% significance level across all dimensions for all variables, empirically confirming the presence of significant nonlinear dynamics in the interactions between the feature variables and carbon allowance prices. Given the potential complexity and nonlinearity in the relationship among the variables, we could apply machine-learning models to obtain more accurate results for carbon price prediction.
Table 7. BDS test results based on the regression residuals of the optimal VAR model.

5.3. Decomposition and Reconstruction of Carbon Prices and Feature Variable Sequences

We apply the ICEEMDAN method to decompose the historical carbon price series as well as the textual and financial variables. The decomposed sequences are then reconstructed based on sample entropy.

5.3.1. ICEEMDAN Decomposition of the Historical Carbon Price Series

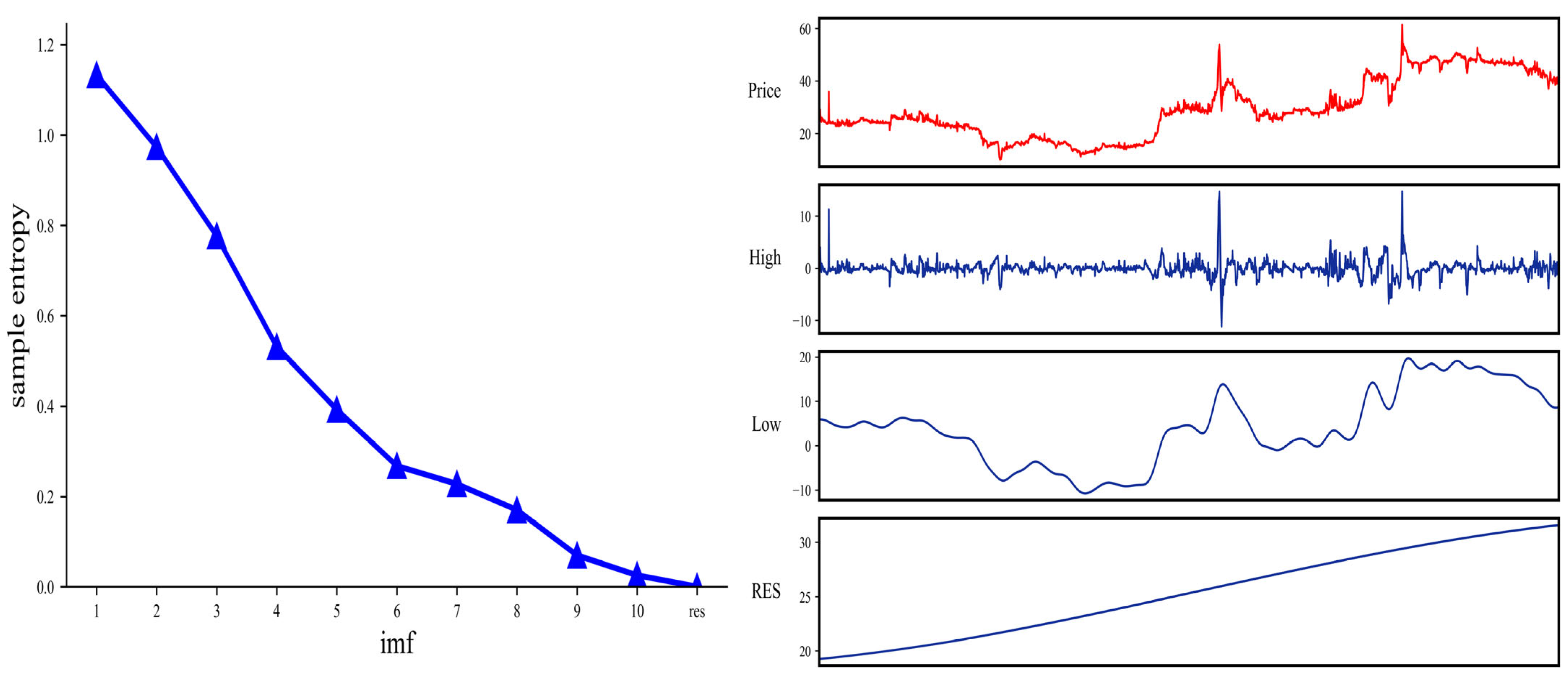
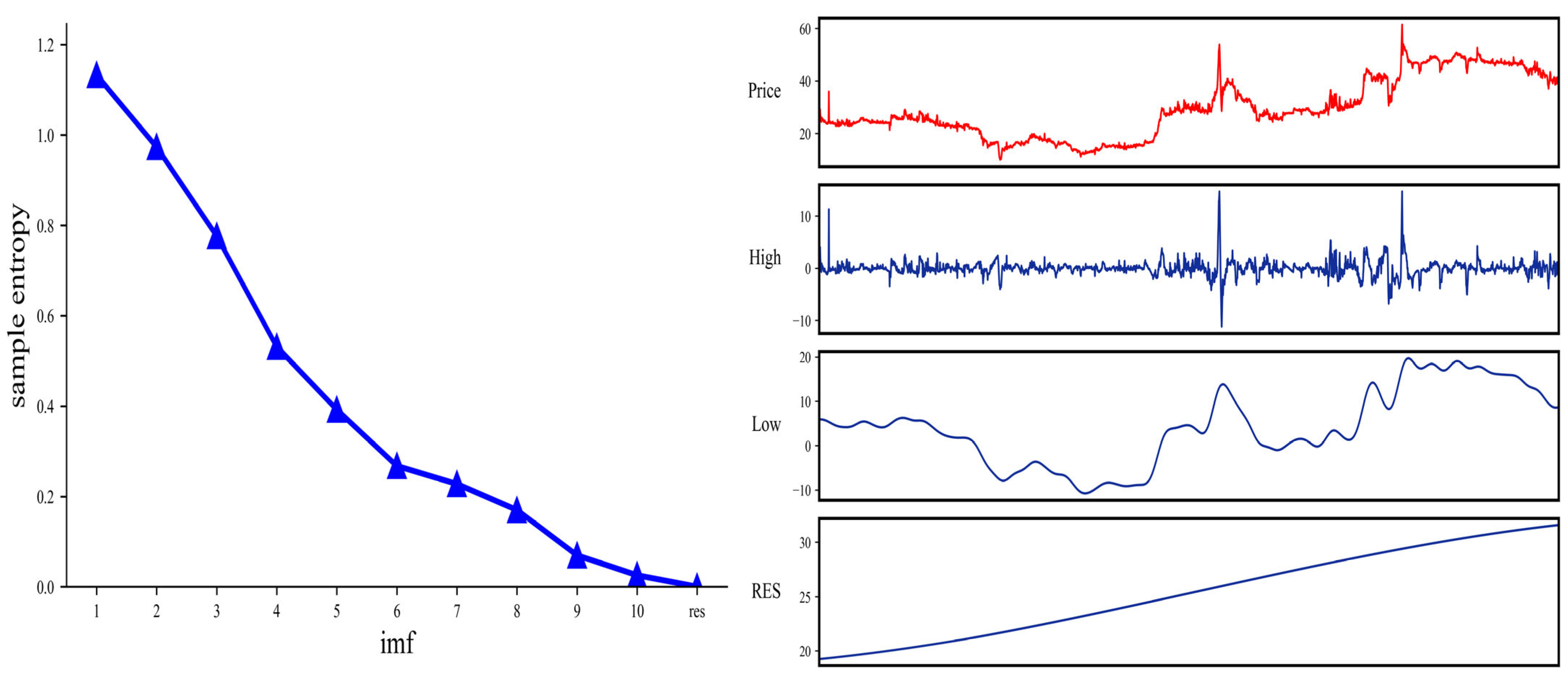
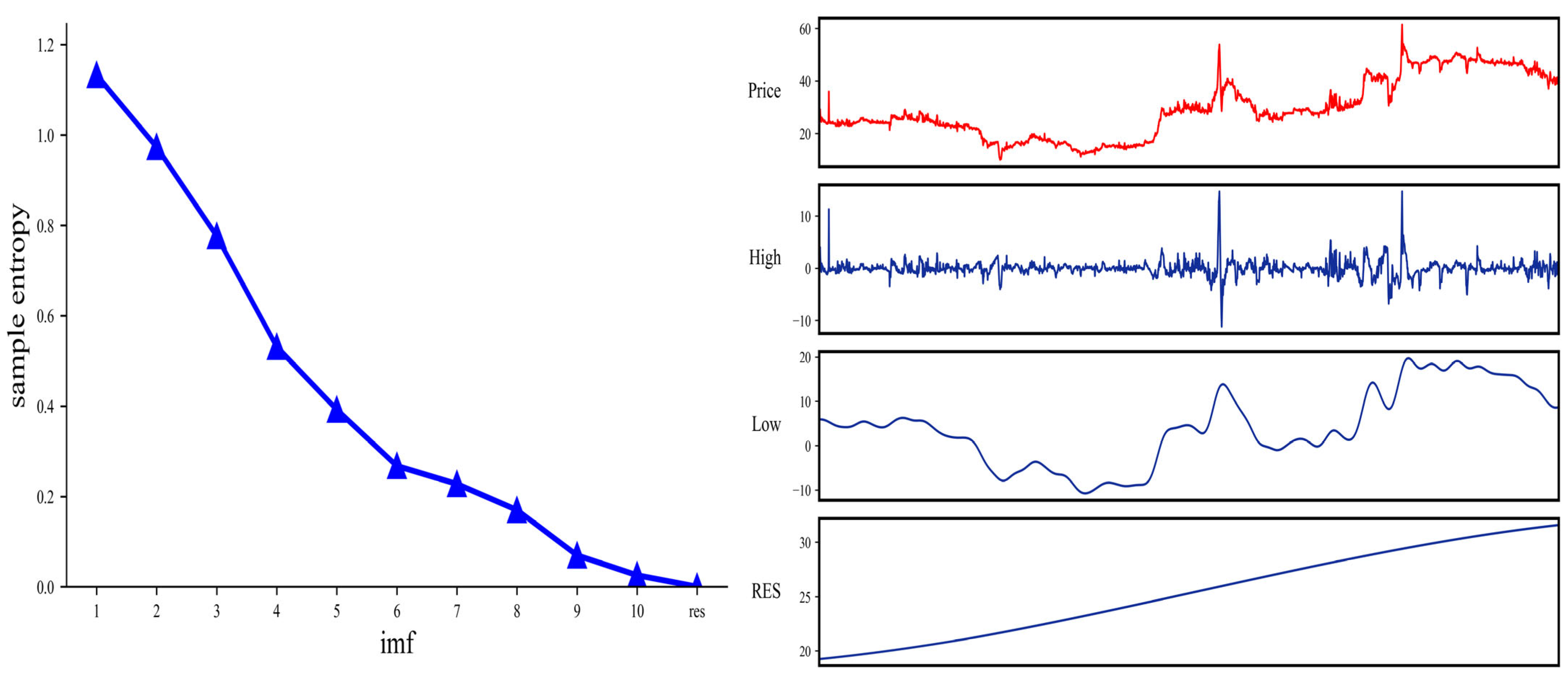
The historical carbon price series (PRICE) is decomposed through the ICEEMDAN method, resulting in ten IMF components and one residual component (RES), as shown in Figure 5. The IMF components capture the underlying oscillatory modes and characterize the local fluctuation patterns in the data, whereas the residual component represents its long-term trend.
Figure 5. Carbon price decomposition diagrams. Note: The red line represents the original series before decomposition, and the blue lines represent the decomposed component series.

5.3.2. Sequence Recombination Based on Sample Entropy (SE)

Directly using the intrinsic mode functions to reflect short-term fluctuations and long-term trends of the original series would significantly increase the complexity of the forecasting model. Therefore, following [56], the IMFs are recombined into high-frequency, low-frequency, and trend components using their sample entropy values as the grouping criterion. The SE values and the corresponding recombination results for the carbon price series are displayed in Figure 6.
Figure 6. Recombination process based on sample entropy. Note: The red line represents the original series before decomposition, and the blue lines represent the decomposed component series.
We reconstruct the decomposed carbon price sequences as follows. First, we calculate the sample entropy for the ten IMFs and the RES. The residual is identified as the trend component due to its significantly lower entropy and clear directional movement. The remaining IMFs are then divided into high-frequency and low-frequency components based on their entropy values. Specifically, IMFs 1 to 5 with entropy values greater than 0.3 exhibit strong volatility without clear trends, and then could be grouped into the high-frequency component. IMFs 6 to 10 with lower entropy and smoother patterns could be combined into the low-frequency component. Subsequently, we predict each aggregated sequence separately, using the different machine-learning models. This could help us fully utilize the prediction models corresponding to each sequence and then achieve the optimal results.
These reconstructed components capture distinct types of influences on carbon allowance prices The high-frequency component exhibits transient, oscillatory behavior driven by short-term factors such as market speculation, energy price swings, and weather-related shocks. The low-frequency component reveals more protracted cycles, likely reflecting phased developments in China’s carbon trading system design and iterative policy adjustments. Finally, the trend component displays a stable, long-term trajectory shaped by fundamental market mechanisms, including allowance allocation rules and banking/borrowing provisions [9].

5.4. Evaluation of Carbon Price Forecasting Results

If we apply a single machine-learning algorithm to predict all aggregated components with different frequencies, we may not achieve accurate carbon price forecasts due to their distinct data characteristics. Therefore, we construct an ensemble forecasting framework to improve prediction performance. Specifically, we match different frequency components with appropriate machine-learning algorithms based on the model’s suitability. Therefore, we first normalize all feature sequences and then input the high-frequency, low-frequency, and trend components into different machine-learning prediction models. Finally, we denormalize the outputs from each frequency and summarize them to obtain the final forecast. We also compared the results with the actual carbon price series to evaluate model accuracy.
Before using the ensemble model, we first select the most suitable machine-learning algorithm for each frequency component, corresponding to each financial and textual feature. We split the dataset into training and testing sets in a 4:1 ratio. To mitigate the effects of scale disparities, all sequence components at each frequency band are standardized. Therefore, the final series can be put into eight classical machine-learning models, including BiGRU, XGBoost, BiLSTM, Random Forest (RF), Support Vector Regression (SVR), Multi-Layer Perceptron (MLP), Ridge, and Lasso. Each model is used to predict the carbon price on the next day. We subsequently compare their performance across different frequency components. As shown in Table 8, the best-performing models for the high-frequency, low-frequency, and trend components are BiGRU, XGBoost, and BiLSTM, respectively. We construct an ensemble model by assigning the most suitable algorithm to each frequency component afterward. Specifically, the BiGRU, XGBoost, and BiLSTM models are employed for the prediction of high-frequency, low-frequency, and trend components, respectively.
Table 8. Display of the fitting effect of different machine-learning models at different frequencies.
We now present and evaluate the carbon price forecasts generated by the multi-frequency ensemble machine-learning model from three perspectives.

5.4.1. Impact of ICEEMDAN Decomposition on Machine Learning Model Performance

We first compare the prediction results derived from the BiGRU, XGBoost, and BiLSTM models before and after ICEEMDAN decomposition, as well as the ensemble prediction model. The results in Table 9 show that the predictive performance could be significantly improved when we use the ICEEMDAN method to decompose the sequences and aggregate them based on the sample entropy. Furthermore, the comparison results among research designs 2, 4, 6, and 7 reveal that the ensemble prediction model performs better than the single-model decomposition approaches. Then we could combine the different models for different frequency components to further improve the accuracy of predicting the carbon price.
Table 9. Comparison of error results of different prediction schemes.

5.4.2. Pesaran–Timmermann (PT) Test

To further evaluate the predictive performance of the model and enhance its credibility, we followed the methodology of Pesaran and Timmermann (1992) [57] to apply the Pesaran-Timmermann (PT) test in order to assess the directional accuracy of the forecasts. The results show that our combined predictive model achieves a directional accuracy of 86.89%, with a PT statistic of 15.8396 and a p-value < 0.01.
These results demonstrate that the model’s directional forecasts are statistically significant, indicating its capacity to identify systematic patterns in market movements rather than noise The high directional accuracy, together with the statistically significant PT statistics, supports the reliability and practical applicability of the proposed forecasting framework for market analysis.

5.4.3. Impact of Textual Features on Machine Learning Model Performance

We design six testing strategies to assess the role of textual features in the carbon price prediction. This could help examine whether the inclusion of text indicators can enhance the predictive performance of the machine learning model and compare the effects of different text indicators on forecasting accuracy. The results were shown in Table 10.
Table 10. Comparison of the prediction performance improvement of different text features under the combined prediction model.
By comparing strategy 1 with other strategies, we realize that using only text features yields much poorer results compared with the situation in which we use both financial and textual features together. This suggests that textual features alone are insufficient for accurate carbon price prediction. Financial and textual features could complement each other and then be used jointly to improve the forecasting performance in carbon market prices. Online news provides the unstructured information such as investor sentiment and media focus, which cannot be captured by traditional financial indicators. These signals can significantly enhance the predictive power of machine-learning models. Furthermore, by comparing schemes 3, 4, and 5 with scheme 2, we find that adding the individual textual feature to financial features has significantly improved the model performance within the ensemble prediction framework. Moreover, incorporating multiple textual features leads to more accurate forecasting results compared with that relying on a single textual feature. Meanwhile, among the individual text indicators, the market sentiment index derived from sentiment analysis contributes the most to predictive accuracy.

5.5. Diebold-Mariano (DM) Test

Using the carbon price prediction model with only financial features as the benchmark, we apply the Diebold-Mariano (DM) test [58] to evaluate the extent to which strategies 3, 4, and 5 improve forecasting performance within the ensemble prediction framework. The results presented in Table 11 show that the DM statistics for strategies using only text features are greater than zero. These indicate that if we only use textual features for prediction, the resulting performance becomes worse than that of the benchmark model solely considering financial features. Conversely, the DM statistics for strategy 4 are significantly less than zero, suggesting that incorporating textual features alongside financial variables enhances the forecasting performance of the ensemble model relative to using financial features alone.
Table 11. DM test results of various forecasting models based on the financial characteristic model under the combined forecasting model.

5.6. Robustness Checks

To further evaluate the effectiveness of the ensemble forecasting model, we conduct robustness checks from the following four perspectives.

5.6.1. Rolling-Window Robustness Test

To further assess the temporal robustness and generalizability of the proposed forecasting framework, we employ a rolling-window approach for dynamic out-of-sample evaluation, using the Hubei carbon trading market as a representative case. In this regard, we follow the methodology of Swanson (1998) [59] and Thoma (1994) [60] to adopt their rolling-window procedure for sequential forecasting. Specifically, the model is re-estimated repeatedly using the most recent observations to account for potential structural changes in the time series, thereby ensuring that the forecasts remain stable and reliable over time. Compared with conventional static sample-splitting strategies, the rolling-window design could more effectively capture evolving market dynamics and provides a more realistic assessment of model stability.
A rolling-window approach is adopted for model implementation. The dataset is chronologically divided into training and testing subsets at an 8:2 ratio. To accommodate the daily frequency of carbon price data, the rolling window is configured to span 100 trading days, with a one-day-ahead forecast horizon. In each iteration, the model is trained on the most recent 100-day window to predict the next day’s price, after which the window advances by one day—a process repeated throughout the evaluation period.
From Table 12 and Table 13, it is evident that the predictions generated using the rolling-window approach maintain a high degree of accuracy, demonstrating the robustness of the forecasting strategy. These results provide compelling evidence that the proposed combined forecasting model demonstrates strong and consistent predictive performance.
Table 12. Prediction error results of the rolling-window robustness test.
Table 13. DM test results of the rolling-window robustness test.

5.6.2. Robustness Test Across Different Pilot Regions

To verify the generalizability of the model, we apply the ensemble prediction approach to carbon market prices from Guangdong and Shanghai with active allowance trading. As shown in Table 14, while minor performance variations are observed across regions, the model maintains robust prediction accuracy overall. This indicates that the ensemble model can be widely used to precisely forecast the carbon market price from different ETSs.
Table 14. Prediction error results in different pilot areas.

5.6.3. Robustness Test with Different Sample Splitting Ratios

In the previous analysis, we conducted the carbon price forecasting using a 4:1 sample split under the ensemble prediction framework. Here, we also consider the sample splits of 5:1 and 6:1 to further assess the model’s predictive performance. For the carbon prices in Hubei, Guangdong, and Shanghai, the respective results shown in Table 15 indicate that overall performance remains stable and satisfactory across the different splitting ratios in the prediction model.
Table 15. Model prediction performance under different sample splitting ratios.

5.6.4. Robustness Test Across Different Time Steps

Furthermore, we apply the ensemble prediction model to forecast carbon market prices in the Hubei, Guangdong, and Shanghai markets at horizons of 3 and 7 days. Compared with the benchmark time steps of one day results, the prediction errors remain low across all regions and time points, as shown in Table 16. This indicates that our ensemble forecasting model performs well across different time points.
Table 16. Prediction error results for different forecasting time steps.

5.7. Comparison with Other Commonly Used Models

To further evaluate the accuracy of our proposed model, we compare its forecasting performance with eight existing machine-learning models and two traditional econometric models. Taking the Hubei carbon market as an example, the respective results in Table 17 show that the ensemble model delivers better forecasting performance than both the individual machine-learning and traditional econometric methods.
Table 17. Comparison of Different Models and Combined Forecasting Models.

6. Discussion

This study proposes a hybrid forecasting framework that integrates multidimensional news text analysis, ICEEMDAN decomposition, and machine learning to predict carbon trading prices in China’s pilot regions. The empirical findings yield several key insights with both theoretical and practical relevance.

6.1. Interpretation of Key Findings

First, the findings demonstrate that incorporating multidimensional textual features—including sentiment, topic intensity, and price-trend indicators—substantially enhances forecasting accuracy when combined with financial indicators. This result underscores that unstructured news data contain critical information reflected in market sentiment, policy signals, and behavioral expectations that traditional financial indicators alone fail to capture. The superior performance of the ensemble model further suggests that carbon prices are shaped not only by economic fundamentals but also by the broader information environment, including media attention and investor psychology.
Second, the ICEEMDAN-based decomposition–ensemble framework effectively captures multi-frequency characteristics of carbon price dynamics. By decomposing the price series into high-frequency components, low-frequency components, and long-term trends, the model yields more accurate and interpretable predictions. The integration of BiGRU, XGBoost, and BiLSTM for different components leverages the complementary strengths of temporal-sequence modeling and nonlinear regression. These findings support that heterogeneous model integration is a promising approach for handling complex, non-stationary time series.
Third, evidence from the Pesaran-Timmermann test, the Diebold-Mariano test, and a series of robustness checks collectively confirms the strong predictive capability of the proposed model. The significant PT statistics indicate that the model effectively captures the directional movements of carbon prices rather than random fluctuations. Meanwhile, the DM test results show that augmenting financial variables with textual information leads to significantly improved forecasting accuracy relative to benchmark models. The robustness analyses conducted across different pilot regions, sample divisions, and forecasting horizons consistently validate the model’s stability and generalizability.

6.2. Policy Recommendations

China’s carbon emissions trading market has expanded rapidly but remains at an early stage of institutional development. To ensure its long-term stability and operational efficiency, coordinated improvements are needed in market design, forecasting capabilities, and policy support. The empirical findings lead to the following policy recommendations.
First, improving the fundamental market mechanisms is essential for promoting its stable and sustainable development of ETS. China should accelerate the establishment of a unified national trading platform and strengthen information disclosure regulations. Key emitters are required to disclose their emissions and compliance data with transparency, while regulators must strengthen market scrutiny to ensure that any irregular trading activities are effectively identified and deterred.
Second, strengthening carbon-price forecasting and risk management is essential for enhancing market efficiency. To this end, policymakers and researchers should collaborate to develop integrated forecasting and risk-assessment systems that incorporate big data and artificial intelligence technologies. Establishing early-warning mechanisms would enable timely responses to market volatility and support enterprises in optimizing investment decisions and hedging strategies.
Third, optimizing the energy structure and deepening international cooperation are pivotal to bolstering carbon market resilience. By reducing fossil fuel dependence, accelerating clean energy adoption, and improving energy efficiency, the market can better buffer against external price shocks in coal and oil. Meanwhile, expanding international collaboration in carbon trading, technological innovation, and policy coordination will strengthen China’s role in global carbon governance.

7. Conclusions

Accurate carbon market price forecasting is essential for fostering stable market development and enabling firms to optimize production, emission reduction strategies, and green investments amid evolving regulations. Existing studies have demonstrated that unstructured textual information, such as media coverage and policy announcements, captures regulatory developments and market sentiment dynamics, both of which exert considerable influence on carbon price fluctuations. As a result of such unstructured signals, carbon price series are often marked by strong nonlinearity, non-stationarity, and significant volatility. Therefore, we could consider the unstructured information such as policy signals and market sentiment in the carbon price prediction framework. The respective robust modeling approach can help effectively capture the complex features in the relationship between the carbon market prices and their contributors, including both financial and textual variables.
This study proposes a decomposition–ensemble model combining multidimensional news texts with a machine-learning approach to improve the accuracy of the carbon price prediction. Accordingly, We first construct a domain-specific sentiment lexicon for carbon emissions trading through the expansion of an existing Chinese financial sentiment dictionary, leveraging the Word2Vec algorithm. This enables us to extract sentiment features from carbon trading-related news more accurately. Then we apply multiple text analysis methods, including sentiment analysis, latent Dirichlet allocation (LDA), and convolutional neural networks (CNN) models, to extract a range of textual indicators such as sentiment indices, topic intensity, and trend signals. To enhance predictive accuracy, we incorporate the ICEEMDAN-decomposed components of textual and financial variables into a suite of advanced machine learning models, all integrated within an ensemble forecasting framework. Therefore, a more accurate prediction is achieved by assigning respective models to their matching frequency components within the decomposition–ensemble framework.
According to the empirical analysis, we draw the following interesting conclusions. First, we can use the domain-specific Chinese sentiment lexicon to significantly improve the accuracy of sentiment extraction from news texts related to China’s carbon market. Second, the market sentiment index, carbon price trend index, and topic intensity index obtained from the text analysis approaches could better reflect the important information related to China’s carbon market from different aspects. Third, the ICEEMDAN approach decomposes the original carbon price and feature series based on sample entropy. This process effectively reduces noise and improves data interpretability, thus enabling a more refined and robust forecasting framework. Finally, the proposed decomposition–ensemble model significantly outperforms both traditional econometric methods and single-model approaches in the carbon price prediction. Tailoring machine learning models to specific frequency components based on their distinctive strengths optimizes forecasting accuracy. Additionally, we find have identified the less effective performance in the models solely with textual features. Conversely, the predictive performance of machine-learning models could be improved more significantly by considering both text and financial features.
This study develops a robust and interpretable forecasting framework that integrates multidimensional textual data, ICEEMDAN decomposition, and machine learning. Nevertheless, several limitations should be acknowledged. The empirical analysis focuses exclusively on China’s pilot carbon trading markets. While these markets are still institutionally evolving, they are distinct from more mature systems like the European Union Emissions Trading System (EU ETS) in terms of market scale, trading mechanisms, and regulatory maturity. As a result, the findings may not fully capture the behavioral and structural characteristics of well-established carbon markets. Future research could validate the broader relevance of our framework by applying it to the EU ETS and other regional carbon markets, thereby testing its generalizability across diverse regulatory environments. Such comparative analyses would serve to verify the model’s robustness across varying policy and market environments while fostering a more comprehensive understanding of global carbon price dynamics.

Author Contributions

Methodology, X.W., Y.L., Z.G., T.Y., X.G. and Z.L.; Software, X.W., Y.L., Z.G., T.Y. and Z.L.; Validation, X.W., Y.L., Z.G. and T.Y.; Formal analysis, X.W., Y.L., Z.G., T.Y. and X.G.; Writing—original draft, X.W., Y.L., Z.G., T.Y., X.G. and Z.L.; Writing—review and editing, X.W., Y.L., Z.G., X.G. and Z.L.; Supervision, Y.L.; Funding acquisition, X.W. and X.G. All authors have read and agreed to the published version of the manuscript.

Funding

This work was supported by the National Natural Science Foundation of China (Nos. 72274195, 71603256, 72371211, 72071166), the Humanities and Social Science Fund of the Ministry of Education of China (No. 23YJAZH048), and the Fundamental Research Funds for the Central Universities (No. 2021YCPY0112).

Data Availability Statement

The original contributions presented in this study are included in the article. Further inquiries can be directed to the corresponding authors.

Conflicts of Interest

The authors declare no conflicts of interest.

Appendix A

ModelTypeIntroductionMain Advantages and Disadvantages
BiGRUNeural networkThe Gated Recurrent Unit (GRU) is a type of Recurrent Neural Network (RNN) designed to mitigate the vanishing and exploding gradient problems that frequently arise in traditional RNNs. Building on this architecture, the Bidirectional Gated Recurrent Unit (BiGRU) further enhances modeling capacity by processing input sequences in both forward and backward directions, thereby capturing more comprehensive contextual information. Through supervised training, BiGRU effectively learns the mapping between input and output sequences, and it has demonstrated strong performance in regression settings, making it particularly suitable for time series forecasting and economic indicator analysis.Advantages: Capable of capturing long-term dependencies and complex temporal patterns, making it well-suited to sequence modeling tasks.
Disadvantages: Involves relatively longer training and inference times and requires greater computational resources compared with simpler models.
XGBoostDecision treeXGBoost (Extreme Gradient Boosting) is an efficient implementation of the gradient boosting framework that improves model performance iteratively by constructing an ensemble of decision trees. It incorporates features such as parallel processing, regularization, and tree pruning, which substantially enhance both computational efficiency and predictive accuracy. XGBoost has been widely applied to classification, regression, and ranking problems and is particularly effective when dealing with structured (tabular) data.Advantages:
1. Delivers high predictive performance with relatively low reliance on manual feature engineering.
2. Effectively handles large-scale datasets and complex nonlinear relationships, while offering built-in mechanisms for regularization and missing-value handling.
Disadvantages:
1. Requires careful hyperparameter tuning to achieve optimal performance and to mitigate the risk of overfitting.
2. Training can become computationally intensive for very large models, and the resulting ensembles are relatively less interpretable and may be less suitable than simpler linear models for extremely high-dimensional sparse data.
BiLSTMNeural networkThe Long Short-Term Memory (LSTM) network is a widely used variant of the Recurrent Neural Network (RNN) designed to address the long-term dependency problem inherent in traditional RNNs. It achieves this by introducing a set of gating mechanisms—namely, the forget gate, input gate, and output gate—that control the flow of information through the network. Building on this architecture, the Bidirectional Long Short-Term Memory (BiLSTM) network processes input sequences in both forward and backward directions, enabling a more comprehensive capture of contextual information within the sequence. Owing to its ability to incorporate both past and future context, BiLSTM is particularly well-suited for modeling and forecasting complex time series, thereby enhancing model accuracy and robustness.Advantages: Capable of capturing both long-term and short-term dependencies, making it well-suited for sequence labeling, time series modeling, and forecasting tasks.
Disadvantages: Requires relatively long training time and substantial computational resources, and performance may degrade in very deep architectures if hyperparameters are not carefully tuned.
RFDecision treeRandom Forest is an ensemble learning algorithm based on decision trees. It constructs multiple decision trees on bootstrap samples of the data and aggregates their predictions (e.g., by averaging for regression or majority voting for classification) to enhance robustness and generalization performance. By randomly selecting both samples and feature subsets when growing each tree, Random Forest effectively reduces model variance and mitigates overfitting. It has been widely applied to classification, regression, and feature-importance evaluation tasks.Advantages:
1. Less prone to overfitting than a single decision tree, with strong robustness to outliers and missing data.
2. Capable of handling high-dimensional feature spaces and providing measures of variable importance.
Disadvantages:
1. The ensemble structure reduces interpretability compared with simpler models, making it difficult to trace individual decision paths.
2. Training and prediction can be computationally intensive for very large datasets or forests with many deep trees.
SVRSupport vector machineSupport Vector Regression (SVR) is a variant of Support Vector Machines (SVM) tailored for regression tasks. It employs an ε-insensitive loss function, which allows prediction errors within a specified margin of tolerance, thereby controlling model complexity and improving generalization. By leveraging kernel functions, SVR can effectively model high-dimensional and nonlinear relationships, making it well-suited for applications such as time series forecasting and economic data analysis.Advantages: Effective in high-dimensional feature spaces and capable of capturing complex nonlinear relationships.
Disadvantages: Highly sensitive to hyperparameter selection, with model performance critically dependent on the choice of kernel function and parameter tuning; computational costs can also increase substantially for large datasets.
MLPNeural networkThe Multilayer Perceptron (MLP) is one of the most widely used architectures in artificial neural networks. In its basic form, it consists of an input layer, one or more hidden layers, and an output layer, with neurons fully connected between adjacent layers. The input layer encodes the observed information into input vectors, the hidden layers apply nonlinear transformations through activation functions, and the output layer produces the final predictive response. Parameters are typically learned via backpropagation and gradient-based optimization.Advantages: Capable of learning complex nonlinear relationships and adaptable to a wide range of data types and predictive tasks.
Disadvantages: Often requires substantial training time, large volumes of data, and careful hyperparameter tuning (e.g., number of layers, neurons, learning rate) to achieve optimal performance and avoid overfitting.
RidgeLinear modelRidge regression is a regularized form of linear regression that adds an L2 penalty term (the sum of squared coefficients) to the loss function to mitigate overfitting. It is particularly suitable for regression settings with multicollinearity, as the penalty shrinks coefficient estimates toward zero, stabilizes parameter estimation, reduces variance, and enhances generalization performance.Advantages: Provides stable estimates in the presence of multicollinearity and effectively reduces overfitting.
Disadvantages: Relies on linearity assumptions and therefore has limited ability to capture complex nonlinear relationships in the data.
LassoLinear modelLasso regression is a regularized variant of linear regression that introduces an L1 penalty term (the sum of the absolute values of the coefficients) into the loss function. This penalty not only helps prevent overfitting but also performs automatic feature selection by shrinking some coefficients exactly to zero, thereby simplifying the model structure and improving interpretability.Advantages: Simultaneously performs regularization and feature selection by eliminating irrelevant or weakly relevant predictors, which can enhance model interpretability and reduce overfitting.
Disadvantages: Relies on linearity assumptions and is therefore limited in its ability to capture complex nonlinear relationships; performance may also become unstable when predictors are highly correlated.

References

  1. Li, D.; Li, Y.; Wang, C.; Chen, M.; Wu, Q. Forecasting carbon prices based on real-time decomposition and causal temporal con-volutional networks. Appl. Energy 2023, 331, 120452. [Google Scholar] [CrossRef]
  2. Xu, Y.; Salem, S. Explosive behaviors in Chinese carbon markets: Are there price bubbles in eight pilots? Renew. Sustain. Energy Rev. 2021, 145, 111089. [Google Scholar] [CrossRef]
  3. Huang, Y.; He, Z. Carbon price forecasting with optimization prediction method based on unstructured combination. Sci. Total. Environ. 2020, 725, 138350. [Google Scholar] [CrossRef]
  4. Zhao, Y.; Zhang, W.; Gong, X.; Liu, X. Carbon futures return forecasting: A novel method based on decomposition-ensemble strategy and Markov process. Appl. Soft Comput. 2024, 163, 111869. [Google Scholar] [CrossRef]
  5. Zhao, L.-T.; Miao, J.; Qu, S.; Chen, X.-H. A multi-factor integrated model for carbon price forecasting: Market interaction promoting carbon emission reduction. Sci. Total. Environ. 2021, 796, 149110. [Google Scholar] [CrossRef] [PubMed]
  6. Xie, Q.; Hao, J.; Li, J.; Zheng, X. Carbon price prediction considering climate change: A text-based framework. Econ. Anal. Policy 2022, 74, 382–401. [Google Scholar] [CrossRef]
  7. Bai, Y.; Okullo, S.J. Drivers and pass-through of the EU ETS price: Evidence from the power sector. Energy Econ. 2023, 123, 106698. [Google Scholar] [CrossRef]
  8. Jiang, F.; Meng, L.; Tang, G. Media text sentiment and stock return prediction. J. Econ. (Q.) 2021, 21, 1323–1344. (In Chinese) [Google Scholar]
  9. Qi, S.; Cheng, S.; Tan, X.; Feng, S.; Zhou, Q. Predicting China’s carbon price based on a multi-scale integrated model. Appl. Energy 2022, 324, 119784. [Google Scholar] [CrossRef]
  10. Wang, Z.; Wei, Y.; Wang, S. Forecasting the carbon price of China’s national carbon market: A novel dynamic interval-valued framework. Energy Econ. 2025, 141, 108107. [Google Scholar] [CrossRef]
  11. Li, X.; Shang, W.; Wang, S. Text-based crude oil price forecasting: A deep learning approach. Int. J. Forecast. 2019, 35, 1548–1560. [Google Scholar] [CrossRef]
  12. Zhu, J.; Wu, P.; Chen, H.; Liu, J.; Zhou, L. Carbon price forecasting with variational mode decomposition and optimal combined model. Phys. A Stat. Mech. Appl. 2019, 519, 140–158. [Google Scholar] [CrossRef]
  13. Gong, X.; Guan, K.; Chen, Q. The role of textual analysis in oil futures price forecasting based on machine learning approach. J. Futures Mark. 2022, 42, 1987–2017. [Google Scholar] [CrossRef]
  14. Zhou, F.; Huang, Z.; Zhang, C. Carbon price forecasting based on CEEMDAN and LSTM. Appl. Energy 2022, 311, 118601. [Google Scholar] [CrossRef]
  15. Gong, X.; Li, M.; Guan, K.; Sun, C. Climate change attention and carbon futures return prediction. J. Futures Mark. 2023, 43, 1261–1288. [Google Scholar] [CrossRef]
  16. Xu, K.; Xia, Z.; Cheng, M.; Tan, X. Carbon price prediction based on multiple decomposition and XGBoost algorithm. Environ. Sci. Pollut. Res. 2023, 30, 89165–89179. [Google Scholar] [CrossRef]
  17. Chen, L.; Zhao, X. A multiscale and multivariable differentiated learning for carbon price forecasting. Energy Econ. 2024, 131, 155–171. [Google Scholar] [CrossRef]
  18. Tian, Z.; Sun, W.; Wu, C. MLP-Carbon: A new paradigm integrating multi-frequency and multi-scale techniques for accurate carbon price forecasting. Appl. Energy 2025, 383, 972–984. [Google Scholar] [CrossRef]
  19. Jiang, M.; Che, J.; Li, S.; Hu, K.; Xu, Y. Incorporating key features from structured and unstructured data for enhanced carbon trading price forecasting with interpretability analysis. Appl. Energy 2025, 382, 128–141. [Google Scholar] [CrossRef]
  20. Zhu, B.; Wei, Y. Carbon price forecasting with a novel hybrid ARIMA and least squares support vector machines methodology. Omega 2013, 41, 517–524. [Google Scholar] [CrossRef]
  21. Byun, S.J.; Cho, H. Forecasting carbon futures volatility using GARCH models with energy volatilities. Energy Econ. 2013, 40, 207–221. [Google Scholar] [CrossRef]
  22. Gao, F.; Shao, X. A novel interval decomposition ensemble model for interval carbon price forecasting. Energy 2022, 243, 123006. [Google Scholar] [CrossRef]
  23. Tsai, M.-T.; Kuo, Y.-T. A forecasting system of carbon price in the carbon trading markets using artificial neural network. Int. J. Environ. Sci. Dev. 2013, 4, 163–167. [Google Scholar] [CrossRef]
  24. Sun, W.; Huang, C. A novel carbon price prediction model combines the secondary decomposition algorithm and the long short-term memory network. Energy 2020, 207, 118294. [Google Scholar] [CrossRef]
  25. Li, Y.; Bu, H.; Li, J.; Wu, J. The role of text-extracted investor sentiment in Chinese stock price prediction with the enhancement of deep learning. Int. J. Forecast. 2020, 36, 1541–1562. [Google Scholar] [CrossRef]
  26. Li, W.; Lu, C. The research on setting a unified interval of carbon price benchmark in the national carbon trading market of China. Appl. Energy 2015, 155, 728–739. [Google Scholar] [CrossRef]
  27. Xu, J.; Tan, X.; He, G.; Liu, Y. Disentangling the drivers of carbon prices in China’s ETS pilots—An EEMD approach. Technol. Forecast. Soc. Change 2019, 139, 1–9. [Google Scholar] [CrossRef]
  28. Zhang, J.; Li, D.; Hao, Y.; Tan, Z. A hybrid model using signal processing technology, econometric models and neural network for carbon spot price forecasting. J. Clean. Prod. 2018, 204, 958–964. [Google Scholar] [CrossRef]
  29. Torres, M.E.; Colominas, M.A.; Schlotthauer, G.; Flandrin, P. A complete ensemble empirical mode decomposition with adaptive noise. In Proceedings of the 2011 IEEE International Conference on Acoustics, Speech and Signal Processing (ICASSP), Prague, Czech Republic, 22–27 May 2011; pp. 4144–4147. [Google Scholar] [CrossRef]
  30. Colominas, M.A.; Schlotthauer, G.; Torres, M.E. Improved complete ensemble EMD: A suitable tool for biomedical signal processing. Biomed. Signal Process. Control 2014, 14, 19–29. [Google Scholar] [CrossRef]
  31. Wang, S.; Yu, L.; Lai, K. Crude oil price forecasting with TEI@I methodology. J. Syst. Sci. Complex. 2005, 18, 145–166. [Google Scholar]
  32. Wen, F.; Zhao, H.; Zhao, L.; Yin, H. What drive carbon price dynamics in China? Int. Rev. Financ. Anal. 2022, 79, 101999. [Google Scholar] [CrossRef]
  33. Hoerl, A.E.; Kennard, R.W. Ridge regression: Biased estimation for nonorthogonal problems. Technometrics 1970, 42, 80–86. [Google Scholar] [CrossRef]
  34. Keppler, J.H.; Mansanet-Bataller, M. Causalities between CO2, electricity, and other energy variables during phase I and phase II of the EU ETS. Energy Policy 2010, 38, 3329–3341. [Google Scholar] [CrossRef]
  35. Fang, M.; Zhang, Y.; Liang, W.; Shi, S.; Zhang, J. Carbon price prediction research based on CEEMDAN-VMD secondary decom-position and BiLSTM. Environ. Sci. Pollut. Res. 2025, 32, 8921–8942. [Google Scholar] [CrossRef] [PubMed]
  36. Tan, X.-P.; Wang, X.-Y. Dependence changes between the carbon price and its fundamentals: A quantile regression approach. Appl. Energy 2017, 190, 306–325. [Google Scholar] [CrossRef]
  37. Zhu, Q.; Zhang, F.; Liu, S.; Wu, Y.; Wang, L. A hybrid VMD–BiGRU model for rubber futures time series forecasting. Appl. Soft Comput. 2019, 84, 105739. [Google Scholar] [CrossRef]
  38. Fan, X.; Li, S.; Tian, L. Chaotic characteristic identification for carbon price and an multi-layer perceptron network prediction model. Expert Syst. Appl. 2015, 42, 3945–3952. [Google Scholar] [CrossRef]
  39. Wu, B.; Wang, L.; Wang, S.; Zeng, Y.-R. Forecasting the US oil markets based on social media information during the COVID-19 pandemic. Energy 2021, 226, 120403. [Google Scholar] [CrossRef]
  40. Lin, B.; Zhang, C. The overall and time-varying efficiency test for the carbon market in China. J. Environ. Manag. 2022, 322, 116072. [Google Scholar] [CrossRef]
  41. Yang, K.; Sun, Y.; Hong, Y.; Wang, S. Forecasting interval carbon price through a multi-scale interval-valued decomposition ensemble approach. Energy Econ. 2024, 139, 107952. [Google Scholar] [CrossRef]
  42. Tan, X.; Sirichand, K.; Vivian, A.; Wang, X. How connected is the carbon market to energy and financial markets? A systematic analysis of spillovers and dynamics. Energy Econ. 2020, 90, 104870. [Google Scholar] [CrossRef]
  43. Jiménez-Rodríguez, R. What happens to the relationship between EU allowances prices and stock market indices in Europe? Energy Econ. 2019, 81, 13–24. [Google Scholar] [CrossRef]
  44. Nazifi, F. Modelling the price spread between EUA and CER carbon prices. Energy Policy 2013, 56, 434–445. [Google Scholar] [CrossRef]
  45. Mikolov, T.; Sutskever, I.; Chen, K.; Corrado, G.S.; Dean, J. Distributed representations of words and phrases and their compositionality. Adv. Neural Inf. Process. Syst. 2013, 26, 3111–3119. [Google Scholar] [CrossRef]
  46. Yao, J.; Feng, X.; Wang, Z.; Ji, R.; Zhang, W. Tone, sentiment, and market impact: Based on a financial sentiment lexicon. J. Manag. Sci. 2021, 24, 26–46. (In Chinese) [Google Scholar]
  47. Xu, F.; Ma, J.; Jing, K. ESG perspectives and stock market pricing: Evidence from AI language models and news texts. Contemp. Econ. Sci. 2023, 45, 29–43. (In Chinese) [Google Scholar]
  48. Li, C.; Jia, H.; Zhao, G.; Fu, H. Credit risk early warning for listed companies based on textual information disclosure: Empirical evidence from the MD&A sections of Chinese annual reports. Chin. J. Manag. Sci. 2023, 31, 18–29. (In Chinese) [Google Scholar]
  49. Zhao, Y.; Ruan, P.; Liu, X.; Shan, X. A study on user satisfaction evaluation based on online reviews. Manag. Rev. 2020, 32, 179–189. (In Chinese) [Google Scholar]
  50. Blei, D.M.; Ng, A.Y.; Jordan, M.I. Latent dirichlet allocation. J. Mach. Learn. Res. 2003, 3, 993–1022. [Google Scholar]
  51. Chen, Y. Convolutional Neural Network for Sentence Classification. Master’s Thesis, University of Waterloo, Waterloo, ON, Canada, 2015. [Google Scholar]
  52. Broock, W.A.; Scheinkman, J.A.; Dechert, W.D.; LeBaron, B. A test for independence based on the correlation dimension. Econom. Rev. 1996, 15, 197–235. [Google Scholar] [CrossRef]
  53. Richman, J.S.; Moorman, J.R. Physiological time-series analysis using approximate entropy and sample entropy. Am. J. Physiol. Heart Circ. Physiol. 2000, 278, H2039–H2049. [Google Scholar] [CrossRef]
  54. Zhang, Y.; Chen, Y.; Qi, Z.; Wang, S.; Zhang, J.; Wang, F. A hybrid forecasting system with complexity identification and improved optimization for short-term wind speed prediction. Energy Convers. Manag. 2022, 270, 116221. [Google Scholar] [CrossRef]
  55. Shuai, B. A rationale-augmented NLP framework to identify unilateral contractual change risk for construction projects. Comput. Ind. 2023, 149, 103940. [Google Scholar] [CrossRef]
  56. Li, M.; Cheng, Z.; Lin, W.; Wei, Y.; Wang, S. What can be learned from the historical trend of crude oil prices? An ensemble approach for crude oil price forecasting. Energy Econ. 2023, 123, 106736. [Google Scholar] [CrossRef]
  57. Pesaran, M.H.; Timmermann, A. A simple nonparametric test of predictive performance. J. Bus. Econ. Stat. 1992, 10, 461–465. [Google Scholar] [CrossRef]
  58. Harvey, D.; Leybourne, S.; Newbold, P. Testing the equality of prediction mean squared errors. Int. J. Forecast. 1997, 13, 281–291. [Google Scholar] [CrossRef]
  59. Swanson, N.R. Money and output viewed through a rolling window. J. Monet. Econ. 1998, 41, 455–474. [Google Scholar] [CrossRef]
  60. Thoma, M.A. Subsample instability and asymmetries in money-income causality. J. Econom. 1994, 64, 279–306. [Google Scholar] [CrossRef]
Disclaimer/Publisher’s Note: The statements, opinions and data contained in all publications are solely those of the individual author(s) and contributor(s) and not of MDPI and/or the editor(s). MDPI and/or the editor(s) disclaim responsibility for any injury to people or property resulting from any ideas, methods, instructions or products referred to in the content.

Article Metrics

Citations

Article Access Statistics

Multiple requests from the same IP address are counted as one view.