- Article
AutoML-Based Prediction of Unconfined Compressive Strength of Stabilized Soils: A Multi-Dataset Evaluation on Worldwide Experimental Data
- Romulo Murucci Oliveira,
- Deivid Campos,
- Katia Vanessa Bicalho,
- Bruno da S. Macêdo,
- Matteo Bodini,
- Camila Martins Saporetti and
- Leonardo Goliatt
18 December 2025
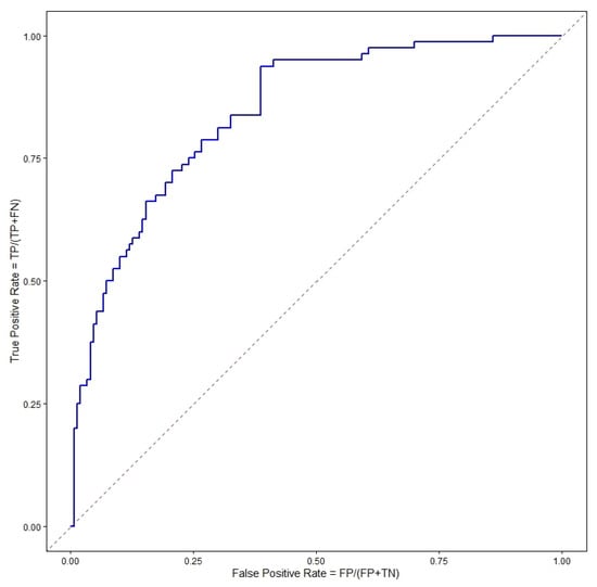
Unconfined Compressive Strength (UCS) of stabilized soils is commonly used for evaluating the effectiveness of soil improvement techniques. Achieving target UCS values through conventional trial-and-error approaches requires extensive laboratory expe...

