Abstract
Agriculture is a complex and dynamic socio-ecological system shaped by environmental, economic, and social factors. The crop resource pool is its key component and one that best reflects environmental limitations and socio-economic concerns of the farmers. This pertains in particular to small-scale subsistence production, as was practised by Neolithic farmers. We investigated if and how the environment and cultural complexes shaped the spectrum and diversity of crops cultivated by Neolithic farmers in the central-western Balkans and on the Hungarian Plain. We did so by exploring patterns in crop diversity between biogeographical regions and cultural complexes using multivariate statistical analyses. We also examined the spectrum of wild-gathered plant resources in the same way. We found that the number of species in Neolithic plant assemblages is correlated with sampling intensity (the number and volume of samples), but that this applies to all archaeological cultures. Late Neolithic communities of the central and western Balkans exploited a large pool of plant resources, whose spectrum was somewhat different between archaeological cultures. By comparison, the earliest Neolithic tradition in the region, the Starčevo-Körös-Criş phenomenon, seems to have used a comparatively narrower range of crops and wild plants, as did the Linearbandkeramik culture on the Hungarian Plain.
Keywords:
agriculture; Neolithic; central-western Balkans; Hungarian Plain; crops; wild plants; diversity 1. Introduction
The crop resource pool is a fundamental component of plant-producing farming systems, one around which such systems are designed. This resource pool is defined simultaneously by environmental, economic, and social factors. Archaeobotany has been particularly interested in disentangling the roles and importance of these individual groups of factors. This has proved to be a challenging and daunting task, not least because the range of crops cultivated tends to represent a compromise between environmental limitations and socio-economic concerns, which vary spatially and temporally, as do their interdependencies, e.g., [1] (pp. 23–24), [2,3,4] (pp. 30–31).
Archaeologists have therefore tended to focus on evaluating narrow sets of indicators amenable to quantification and synthesis within environmental or cultural models, using the former to illuminate the latter. With regard to crop diversity, cultural choices, underpinned by ecological and economic realities, are often seen as especially relevant in small-scale farming systems. Such was the case for the Early Neolithic agricultural niches, which were modified as they were transported into new/different environments [5]. Traditional and other small subsistence agricultural regimes teach us that the initial establishment and subsequent maturation of agriculture in new areas require implementing adaptive strategies to account for distinct physical, ecological, and social circumstances. These include adjustments in the choices of cultivars, based on learning from trying or from collective knowledge transmitted through social networks [1] (pp. 23–24), [6]. Diversity or diversification of resources, activities, and products is seen as a fundamental strategy to secure continuity and stability of farming systems, reduce risk or increase production [7] (pp. 118–121). In the past, it may have also been a necessary reaction to changing environmental and social conditions.
This study takes the range and diversity of crops and gathered fruits/nuts in the Neolithic farming systems of the central and western Balkans, southeast Europe, as an expression of environmental adaptations and cultural manipulations of the resource pool transferred to Europe from the areas of agricultural origins in southwest Asia. This is not the first attempt to evaluate the range of cultivars in the Neolithic Balkans as a reflection of natural factors and cultural norms acting upon crop production e.g., [8,9,10]. We provide a summary of earlier studies that used crop spectra to reconstruct the establishment, evolution, and differentiation of Neolithic farming systems in the region. These focused mainly on the initial phase of agricultural developments, the Early Neolithic, from the late 7th until the mid-6th millennium BC. We extend this time frame and consider both the Early and the succeeding Late Neolithic, which is the phase ending in the mid-5th millennium BC.
Statistical analyses of richness, diversity, and (dis)similarity of the crop assemblages associated with distinct Neolithic archaeological cultures reveal subtle-to-prominent differences among them. They show little variation in the suites of crops cultivated by synchronous archaeological cultures occupying both or either of the two contrasting biogeographical zones: the mountains in the south, and the plains in the north of the region [9,10,11]. In order to test the robustness of this pattern, we included in the analysis the information on plants cultivated or gathered by the communities that resided on the flat area immediately north of the Balkans, the Hungarian Plain. Many of the earliest farming communities here have been associated with the Linearbandkeramik (LBK). Despite occupying the same biogeographical zone as some of the contemporaneous Balkan Neolithic traditions, the LBK farmers cultivated a narrower set of species. The analyses of the spectra of wild-gathered plant resources point to a similar trend; however, the low quality of the data precludes drawing firm conclusions. We take the findings of this study as a demonstration of how cultural conventions can override environmental constraints or affordances to farming.
1.1. Previous Research Linking Climate/Environment, Culture and Early Crop Diversity in the Balkans and Beyond
The rapid dispersal of farming from a Mediterranean climatic zone, where agriculture first began, to the continental climate of central Europe has long been a topic of research, e.g., [12,13,14]. During this trajectory, the advent and establishment of agriculture across the central and western Balkans in the late 7th and 6th millennia BC represent a crucial period when, for the first time in the westerly spread of farming, farmers and their domesticates had to adapt to seasonal conditions significantly different to those in the southern/southeastern Balkans [9,15,16]. As one moves northwards, mild and wet Mediterranean winters, which were critical for cereal germination and early growth, became increasingly colder, whilst hot, dry summers became wetter [17].
The first investigations to describe changes in Early Neolithic arable practices across the Balkans and into Europe were based on a large, transcontinental dataset of Early Neolithic archaeobotanical records [8,18,19,20]. Using presence/absence (P/A) data, ‘Former Yugoslavia’ was identified as a zone with a very restricted range of crops (seven, compared to eleven from Greece and thirteen from Bulgaria), interpreted as a consequence of the reduced effectiveness of some species in an increasingly temperate climate [8]. Another study divided southwest Asia and Europe into 22 regions for a phylogenetic analysis of the Early Neolithic crop and weed assemblages [20]. The region composed of ‘Former Yugoslavia and Hungary’ (Region 8) was found to contain one of the least derived assemblages, i.e., with no additional crops and most comparable to the original Southwest Asian assemblage. Conversely, Region 7, composed of Bulgaria and North Macedonia, had a much richer assemblage, observed to be highly derived from the ancestral ensemble; “the highly derived Bulgarian plant spectrum cannot be considered ancestral to the Körös and Starčevo assemblages […], which look much more like descendants of the Greek/East Mediterranean line” [20] (p. 54). The study also concluded that the small range of crops and the underived nature of the assemblages from Region 8 make them plausible ancestors to the LBK complex in central Europe (not Hungary). These results echo Colledge and colleagues’ [18] detailed correspondence analyses of archaeobotanical data from across the Near East, Anatolia, and the southern Balkans, which describe two distinct ‘vegetational signatures’: one defined by Greece, Crete, Cyprus, and the southern Levant; the other by Anatolia and the northern Levant [18] (pp. S44–S46).
Two recent studies mainly focusing on the southeastern part of the Balkans highlighted the role of climate and geography on the direction and pace of the spread of farming. On the basis of radiocarbon dates and geospatial data of environmental variables, Krauss and colleagues [16] described how, during the 8.2 ka BP cooling event, migrating farmers appear to have preferentially settled into the Sub-Mediterranean-Aegean biogeographical region, which extends from the plains of Thessaly, across northern Greece, and into North Macedonia and Bulgaria along the Vardar, Struma, and Mesta rivers. This area has a similar climate to the Mediterranean coast and is native to important taxa, such as olives, figs, and grapes. Radiocarbon dates indicate a period of stasis of c.500 years before northward migrations resumed, coinciding with the end of the climatic disturbance. Despite the acknowledged lack of high-resolution 14C-ages, Krauss and colleagues concluded that the 500 years were a necessary period of adaptation to colder winter temperatures for domesticates and/or farming practices [16] (p. 34). Recent analyses of the radiocarbon dates from the Neolithic site of Revenia-Korinos in northern Greece offer an alternative explanation for the resumed northward migration [21]. Revenia was established c.6550 BC and saw a transition phase, evident from a change in architecture and an increase in population, at c.6400 BC. This transition phase is visible at other surrounding sites, as is the establishment of several new sites [21] (p. 19). The increase in population pressure, of local or external origin, may have prompted migrations into the western Balkans [21,22].
Ivanova and colleagues [9] considered a region encompassing the southern, eastern, and central Balkans, as well as the Pannonian Plain, and divided it into four climatic zones, defined by elevation and parameters of temperature and precipitation. They compiled faunal (abundance) and archaeobotanical (abundance and P/A) data from Early Neolithic sites and used multivariate analyses to explore patterns of association between taxonomic variation and climatic zones. Their results indicated a reduced northward presence of crops, particularly certain pulses, which they saw as a possible response to diminishing risks of summer droughts. They observed the most diverse crop assemblage in the Sub-Mediterranean ecosystem (the valleys of the Axios/Vardar, Struma, and Maritsa rivers), where cultivating a wide range of crops may have helped to ensure production in both hot, dry summers and frosty winters. Ivanova and colleagues also demonstrated how changes in the spectrum of wild plants between climatic zones could represent an adaptation of gathering strategies to locally available species.
Gaastra and colleagues [10] examined Early and Late Neolithic archaeobotanical and zooarchaeological P/A data from across the western Balkans, Hungary, and the Adriatic basin. They analysed the data by archaeological cultures and by biogeographical regions (bioregions). Results of their multivariate statistical analyses indicated that differences in plant and animal assemblages cannot be specifically explained by environmental or cultural conditions. For example, within the Pannonian bioregion, the Late Neolithic Vinča assemblage was found to be different to that of the contemporary Sopot culture. Intracultural spatial differences were also seen, such as between the Vinča culture in the Continental bioregion (south) and the same culture in the Pannonian bioregion (north). This and other recent research has shown that Early Neolithic coastal and inland sites within the western Balkans had distinct agricultural regimes particular to the two streams of Neolithisation flowing into Europe [10,23,24].
The Early Neolithic (earliest LBK) archaeobotanical data from Hungary was most recently investigated by Kreuz and colleagues [25,26]. The LBK in the Sárköz region in southwestern Hungary displays a particularly reduced crop spectrum, which Kreuz and colleagues [25,26] argue developed from the Starčevo–Körös–Criş (SKC) agricultural regime. They concluded that cultural preferences are likely to account for the absence of crops that could have grown successfully in this zone [19,25,26]. The LBK in eastern Hungary (Alföld-LBK) used a broader spectrum of crops, and it has been suggested that this was thanks to the “greater affinities with the (south)eastern Balkans”, i.e., the Neolithic cultures in Bulgaria [27,28]. Crop diversity in the central European LBK was low, especially in comparison to that of the Neolithic in Bulgaria, where the broad crop spectrum was seen as a form of risk management against summer droughts, something not required in the colder and wetter LBK landscapes [28]. A previous study analysed the reduction in crop diversity between the whole of the Balkans and the LBK of central Europe and concluded that it could not be explained through neutral drift alone [19] (though see [29]). The farming regimes of Neolithic Bulgaria and central Europe have been described as “completely different” and derived from “cultural decisions based on adaptations to ecological and perhaps social conditions” [28] (p. 653).
1.2. Neolithic Culture History
Our area of research includes the political territories of Serbia, Bosnia and Herzegovina (BiH), eastern Croatia, and the LBK-occupied zone of Hungary, extending across the central and western parts of the Balkans (CWB) and into Transdanubia (Figure 1). The archaeological evidence is clear and consensual that the first Neolithic activity began here during and after the 8.2 ka BP climatic cooling-and-drying episode [30,31,32], from around 6250 cal BC [22,33]. Radiocarbon-dated remains of domestic plants and animals exhibit the same pattern, with finds dating to no earlier than c.6200 BC, confirming that the Neolithic practices of food (plant and animal) production arrived as a ‘package’ [23,33,34,35].
Figure 1.
Distribution of sites with archaeobotanical assemblages analysed in this study. See Appendix A, Table A1 for site names.
The package was transferred from the Aegean to the study region via two routes: ‘maritime’, up the western coast of the southern Balkans (Greece, Albania, Montenegro) into coastal zones of Croatia and BiH; and ‘continental’, through northern Greece and North Macedonia into southern Serbia and Kosovo* (We adopt the European Commission’s view on the disputed territory: ‘This designation is without prejudice to positions on status and is in line with UNSCR 1244/1999 and the ICJ Opinion on the Kosovo declaration of independence.’ [https://eeas.europa.eu/delegations/kosovo/1387/kosovo-and-eu_en accessed on 22 June 2021]). It arrived and set roots as part of two Early Neolithic cultural traditions recognised by their distinct ceramic wares: the Impresso (pots decorated by imprinting the clay) and the SKC (mainly impressed ornaments in the early phase in southern Serbia; predominantly barbotine technique later on) [36,37]. Initially, the Impresso tradition remained more or less confined to the coastal, Sub-Mediterranean bioclimatic zone. Here, it is representative of the Early Neolithic, lasting until 5500/5400 cal BC [23]. Through time it spread northwards, to central BiH, where it encountered the SKC; elements of both cultures were discovered at some sites (e.g., at Obre I [38]). The SKC stream spread north and northwest across the central Balkans and lasted until 5500/5400 cal BC [33,39,40,41]; sites have been registered in Serbia, Kosovo* (the same as before), central and northern BiH, and northern Croatia. The SKC reached the central Carpathian Basin, by the start of the 6th millennium BC [33,42], where the advance of the food production package paused for several centuries [43]. Eventually, the SKC here contributed to the development of the Early Neolithic LBK culture.
The archaeological evidence from the mid-6th millennium BC suggests that the occupation of many Early Neolithic sites ceased. The SKC underwent change or terminated, due to local cultural developments or outside influences; views on this differ. Some argue for a spread of new elements (and perhaps people) from Anatolia via Thrace and up the Danube, and that their symbiosis with the SKC tradition generated a new phenomenon known as the Vinča culture of the Late Neolithic [39,44]. Recent aDNA analysis has confirmed an influx of new genes from Anatolia at about this time [45]. An analysis of the chronology and spatial distribution of Vinča-style pottery has suggested that the Vinča culture appeared first in northern Serbia and southern Hungary as a result of wider material transformations and movement of increasing populations [46] (p. 41). Stable isotope analyses have indicated the presence of non-regional outliers in Hungary in the last centuries of the 6th millennium BC [47]. On the other hand, based on the new and revised radiometric evidence, the earliest Vinča sites in the southern part of its distribution area seem to be contemporaneous to those in the north [33].
The Vinča culture lasted from about 5400/5300 cal BC to around 4500 cal BC and extended across the entire central and part of the western Balkans, from southernmost Hungary to North Macedonia, and from easternmost Croatia and northeastern BiH to western parts of Transylvania [39,46,48,49,50,51]. Settlements do not tend to overlie SKC habitations, although they occupy the same landscapes. Where traces of two traditions co-occur, the archaeological evidence indicates that several decades or centuries separated the SKC and Vinča settlements [52,53,54,55].
During the final centuries of the SKC in northeastern Croatia (Slavonia), another phenomenon emerged in the low-lying area bordered by the Drava, Danube, and Sava rivers, known as the Sopot culture, which lasted until the second quarter of the 4th millennium BC [56]. Many elements of the SKC pottery manufacture and style survived into this culture, which also adopted some of the pottery-making techniques and ornamentation associated with the Vinča tradition. The Sopot culture extended into northwestern Croatia and northern BiH, where there is evidence for further admixtures of Vinča ceramic typologies [57] (p. 301), [58].
South of the Sopot and east of the Vinča culture, in central BiH, where the SKC and Impresso elements merged, the Butmir (sometimes referred to as Kakanj for its early stage) developed at a similar time to the Vinča culture [59,60]. Butmir settlements are found in the wider region of the Bosna and the Vrbas, on terraces or slopes next to these rivers or their tributaries. Their pottery inventories display influences of the neighbouring Late Neolithic cultures: Sopot, Vinča, and the coeval Danilo and Hvar cultures of the Adriatic coast [61] (p. 451), [62].
1.3. Environment
The end of the Neolithic is generally set at 4500 cal BC in the local chronological system [50], thus falling in the Middle Holocene [63]. Pollen archives demonstrate that the Early Holocene was a period of increasingly warm and humid conditions which, by the start of the Middle Holocene at around 8.2 ka BP, enabled the expansion of thermophilous mixed-oak forests and their rich undergrowth, spreading also into the relatively colder southern Carpathians [64,65]. Palynological analysis of archaeological deposits at several Neolithic sites document the presence of temperate species such as oak (Quercus), hornbeam (Carpinus), beech (Fagus), pine (Pinus), linden (Tilia), birch (Betula), hazel (Corylus), and alder (Alnus) [66,67,68]. A continental-scale pollen-based reconstruction of temperatures for the time after c.6000 cal BC suggests stable (lower than today) winter temperatures with somewhat cooler summers, and increased precipitation for the rest of the Middle Holocene in the Balkans [17,69].
Few relevant studies have been carried out in the central and western Balkans, and fine-grained palaeoclimatic or palaeoenvironmental reconstructions are lacking. Studies in physical geography show that micro-climate, vegetation, and soil cover are determined by topography, and therefore show a degree of regional variability [70,71,72]. A temperate-continental climate characterises the northern areas, with dry, warm summers and dry, cold, windy winters. Higher-altitude zones (above 1000 m a.s.l.) in the southern areas are also subject to a continental climate but with lower temperatures and higher precipitation, including abundant snow cover. Mid- and low-altitude zones in the south have a combination of moderate continental and Mediterranean influences, are warmer than the high-altitude zones, and receive less precipitation (but, on average, more than the north). This zone is exposed to a Sub-Mediterranean influence penetrating longitudinally along the major river courses. In general, annual precipitation rates decrease from west to east. Under the Mediterranean influence, precipitation peaks in the south during autumn and winter [73,74,75].
The varied climate and highly heterogeneous geological substrate, along with diverse vegetation composition and pedofauna, leads to a range of soil types. Chernozem soils (formed chiefly over loess) cover most of the Pannonian Plain and are found sporadically in the Sava, Danube, and Velika Morava river valleys. Soils covering river terraces, hills and mountain valleys, and plateaus include eutric cambisol, smonitza (vertisol), luvisol, and red soil (terra rossa). Hydromorphic soils (gleys, alluvial soils) occur in river valleys and basins ([75], Table 2.1). Modern agrarian activity normally takes place in low- to mid-altitudes (up to 800 m), although some arable farming (on terra rossa) accompanies animal husbandry on karst plateaus at up to 1200 m in Herzegovina and southwestern Serbia [73,74].
Similar to the soil cover, composition of the vegetation across the region is diverse and includes a range of European biomes, from steppe and (open) temperate deciduous forests in the north to alpine forests in the south. Riparian forests of poplars and willows grow on fluvisol along large rivers, while ash, black alder, and pedunculate oak occupy less wet, gleyed zones. Halophytic forms are found on saline soils in the plains. Hilly and low-mountain regions (300–500 m) are covered by thermophilous oak forests, which develop on eutric cambisols and include a rich understorey layer. In regions where the maritime influence extends deep inland (along the river valleys), forests of oriental hornbeam occur. Further up the mountains (500–1000 m), oak-hornbeam and beech forests dominate. Areas above 1000 m are home to coniferous forests. Mountain tops (1500 m and above), in places characterised by tundra-like climate, are covered by herbaceous vegetation [75,76,77,78].
2. Materials and Methods
2.1. Archaeological Sites
Neolithic settlements are found in both the northern plains and the southern highlands, but only a fraction of them have been analysed archaeobotanically (Figure 1). Some regional studies of Neolithic plant economies grouped sites by bioregions (https://www.eea.europa.eu/data-and-maps/data/biogeographical-regions-europe-3) (accessed on 23 October 2021, see above): ‘alpine’ and ‘continental’ stretching south of the Sava and the Danube rivers, and ‘pannonian’ to the north [10,79]. Here we combine ‘alpine’ and ‘continental’ into Continental, to account for the fact that the sites here are located at low-to-medium altitudes (i.e., not alpine), which would have in the past been characterised by a moderate continental climate with Mediterranean influences. Sites located north of the Sava and the Danube (with few exceptions, all north of the 45th parallel north) are grouped under the Pannonian bioregion, characterised by plains and a moderate-to-harsh continental climate (Figure 1; Table A1). Although climate in the Middle Holocene may have been different, the effects of geographical position and topography on local conditions would have been similar.
2.2. Archaeobotanical Dataset
The complete archaeobotanical dataset (Supplementary Materials, Table S1) consists of P/A records of 28 crop and wild-gathered species from 109 Early and Late Neolithic settlements in the central and western Balkans (c.6300–4500 cal BC) and Hungary (c.5500–4300 cal BC), associated with the following archaeological cultures: SKC (n = 31, 12 Continental, 19 Pannonian), LBK (n = 33, all Pannonian), Sopot (n = 14, 2 Continental, 12 Pannonian), Vinča (n = 20, 16 Continental, 4 Pannonian), and Butmir (n = 11, all Continental). We disregarded the SKC site of Ludoš (northern Serbia), for which finds of beech nuts, acorn, and broomcorn millet were stated [80] but no archaeobotanical analysis was conducted. We also disregarded the site of Polgár 7 even though it is described as LBK, because finds from the single excavated pit were likely to be intrusive [81].
We also noted down the recovery method and the number or volume of archaeobotanical samples. The information was extracted from archaeobotanical reports, which do not systematically provide details on the amount of soil or samples processed. The cultural assignation of the sites follows that which was given in the archaeobotanical reports or, when possible, relies on the absolute (14C) date ranges. The main sources of data for Hungary were the supplementary tables in Gyulai [81], but some of the information there was unavailable or not entirely clear and so further sources were consulted (e.g., corresponding field reports). Some data remain insecure despite our control, and this is emphasised in the discussion of the results.
As expected, the field and analytical methodology varied between sites and analysts, and the coverage of the regions and periods was uneven due to their research history. In both bioregions, excavations of around 65% of the sites entailed sampling for archaeobotanical remains which, in the majority of cases, were processed using flotation (Supplementary Materials, Table S1). At several sites (n = 6) in the Continental zone, plant remains were retrieved without sampling as they were visible to the excavators (e.g., concentrated remains) and collected while digging. At a further five Continental and as many as 24 Pannonian sites, impressions of plant remains in the fabric of ceramic vessels, clay objects, and daub provided the only archaeobotanical information. At one Continental site (Lug [Goražde], BiH), imprints and hand-collected plant material were analysed. For another Continental site (Divostin, Serbia), the only available information was based on the macro-remains identified in an on-site pollen core. At one site in Hungary (Gyomaendrőd), the presence of flax (Linum usitatissimum) was assumed based on the impression of fibres, identified as flax, on the surface of exogenous calcium concretions formed on a red deer antler fragment [82] (p. 224). Where actual remains were recovered, the vast majority represents (parts of) plant reproductive organs (fruit or seed). The main mode of preservation in the research area was charring. According to the archaeobotanical reports, the impressions in ceramics and daub are of cereal grain and/or chaff, and in one case of hazelnut (Corylus avellana at Kéthely-Sziget, Hungary).
We included all crop species recovered from the Neolithic layers in the region, apart from broomcorn millet (Panicum miliaceum) which has been shown to be a later intrusion [83,84]. Ambiguous and indeterminate identifications of ‘einkorn/emmer’, ‘indeterminate large legume’, and ‘indeterminate fruit stone’ were noted only in cases where the relevant precise or determinate category was not stated in the reports. Although both naked (Hordeum vulgare var. nudum) and hulled barley (H. vulgare var. vulgare) have been found in the Neolithic in the region, we combined the records for the two variants into a single category, in order to avoid inconsistent or ambiguous identifications. Similarly, the category ‘free-threshing wheat’ here includes both hexaploid (Triticum aestivum) and tetraploid wheats (T. durum, T. turgidum), along with the hexaploid subspecies compactum. Although rye (Secale cereale) is thought to have been taken into cultivation much later—for instance, not until the Late Roman times in Serbia—it was found in Neolithic layers (within different cultures) and is therefore included here. All species routinely listed as fruits and nuts in the regional archaeological reports are also included here.
2.3. Statistical Analyses
Of the 109 sites with archaeobotanical data, 18 reported only one taxon. These were excluded from statistical analyses to avoid spurious patterning. For similar reasons, rare finds of opium poppy (Papaver somniferum), common vetch (Vicia sativa), grass pea (Lathyrus sativus), dogwood (Cornus sanguinea), and hawthorn (Crataegus monogyna) were removed. Ambiguous identifications of ‘einkorn/emmer’, ‘indeterminate large legume’, and ‘indeterminate fruit stone’ were not included in order to avoid double representation of the respective species. We combined the records of apple (Malus) and pear (Pyrus) into a single taxon, and repeated this for blackberry (Rubus fruticosus), raspberry (Rubus idaeus), and indeterminate Rubus, as well as for elder (Sambucus nigra, S. ebulus, Sambucus sp.), since the remains of these species are often reported as ambiguous (Supplementary Materials, Table S1).
Analyses were performed in parallel on two distinct datasets. The first dataset comprised cereals and pulses, species which were exogenous to the research area and were brought by incoming farming communities (hereafter referred to as crops). The second dataset only concerned wild edible species, whose distribution may have been more affected by environmental conditions (hereafter referred to as wild). Individual sites were taken as analytical units and were grouped according to their cultural attribution or bioregion (Figure 1; Table A1). All analyses were conducted in the R statistical environment [85]. Data manipulation was undertaken using the tidyverse set of packages [86]. All data and code are available at: https://github.com/mavdlind/quaternary_balkans.
The analyses used the following parameters:
- -
- Number of samples (NoS) and total volume of samples per site (VoS) as an expression of the sampling intensity, which can potentially influence the number and range of plant species registered;
- -
- Number of different species registered at each site, reflecting the richness of a site’s assemblage, and referred here to species richness;
- -
- The range (spectrum) of species represented at each site and their relative abundance within an analysed group, showing the diversity of the assemblage, measured here using Simpson’s diversity index (D) calculated using the vegan package [87]. The reverse function (1-D) is presented, with values between 0 (no diversity) and 1 (infinite diversity).
In order to evaluate the effects of sampling intensity on species richness, we tested for potential relationships between species richness, and NoS and VoS. This was performed on log-normalised values through a combination of correlation analysis and linear regression modelling using the base R cor.test and lm functions, respectively. Differences in species richness and diversity between archaeological cultures and bioregions were visualised using violin plots, and formally tested, pending upon the parametric or non-parametric distributions of each group, by either pairwise Student’s t-tests or pairwise Mann-Whitney U-tests using the base R t.test or Wilcox.test functions. The possible internal structure of both datasets within and between cultures and bioregions was explored through correspondence analysis (CA) using the ca package [88]. Sensitivity analyses of the CA results were performed under the factoextra package [89]. In all instances, plotting of the figures was carried out using the ggplot2 package [90], with additional use of the ggpubr [91] and ggrepel [92] packages. Furthermore, following the recommendations of the American Statistical Association [93], all p-values and other statistical measures are reported in Supplementary Materials, Table S2.
3. Results
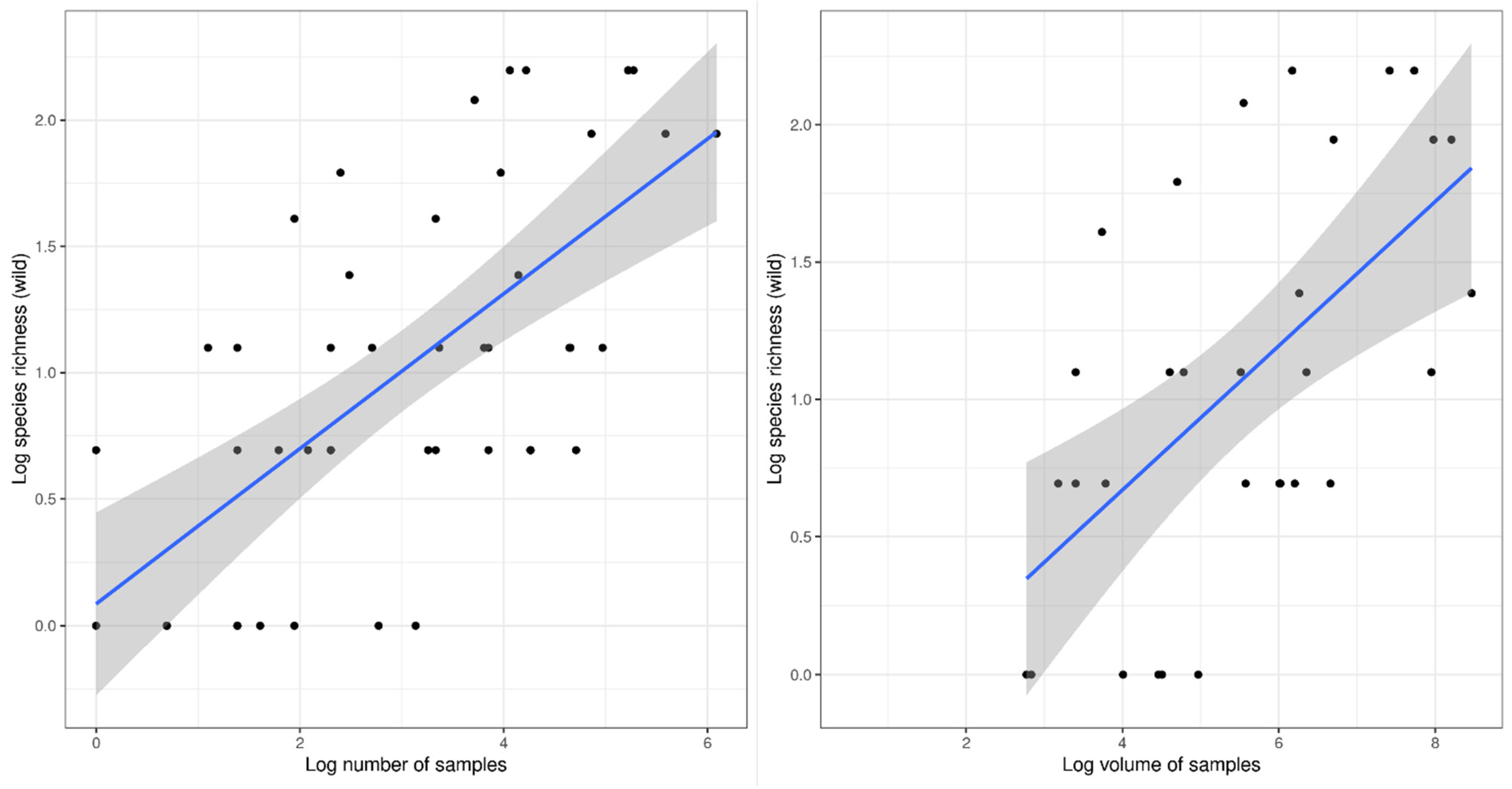
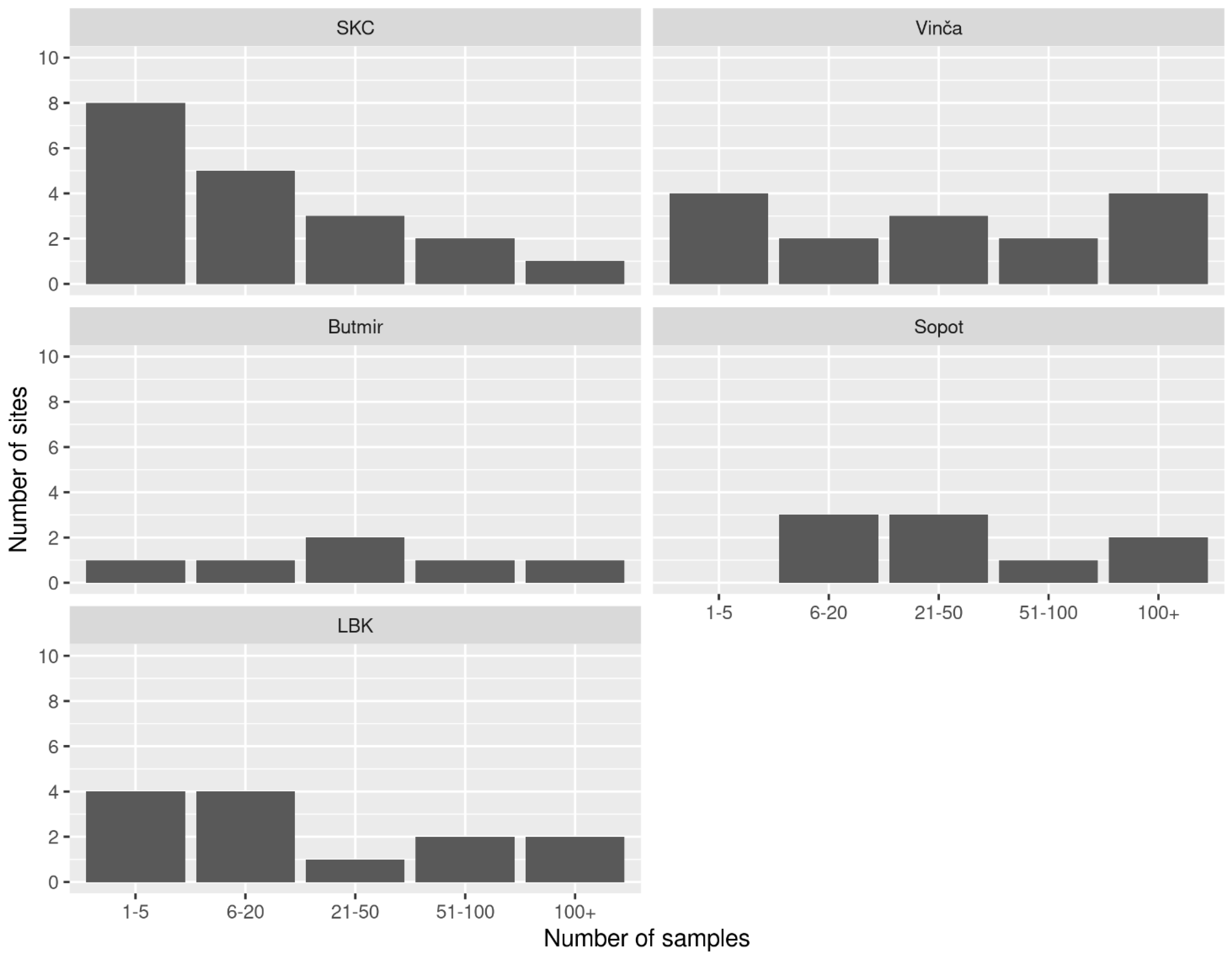
Figure 2 and Figure 3 show, for both crop and wild assemblages, a moderate correlation between taxa richness and either NoS or VoS, with Spearman’s rho values all centred upon 0.6. It is, however, noticeable that associated r-square values remain relatively low, especially when considering the VoS, probably because of the limited amount of data available (Supplementary Materials, Table S2). In order to further explore this suggested relationship between sampling intensity and species richness, we plotted the number of samples as arbitrary bins, to identify whether or not this signal was associated with any particular archaeological culture, or evenly distributed across the entire dataset (Figure 4). The distributions of SKC and Vinča archaeobotanical samples differed slightly from the other cultures, in as much as the former contained the most sites with the lowest number of samples, whilst the opposite was true of the latter. However, given the similar distribution of sample bins per culture and the low overall number of samples available, there were no discernible statistical patterns in the distributions by cultural group.
Figure 2.
Correlation analysis of number (left) and volume (right) of samples to crop assemblage richness, using log-normalised values.
Figure 3.
Correlation analysis of number (left) and volume (right) of samples to wild species assemblage richness, using log-normalised values.
Figure 4.
Sampling intensity by archaeological culture.
Figure 5 shows the distribution of Simpson’s indices of diversity (1-D) for crop assemblages and wild species by site within cultural groups. Visual inspection of the violin plots indicates, for crops, a clear difference between the LBK and other cultures, as indicated by the pairwise Mann–Whitney U-tests, which return p-values inferior to 0.05 when comparing the LBK to the Sopot, Vinča, and Butmir. Noticeably, the same difference can be observed when comparing species richness across archaeological cultures (Supplementary Materials, Table S2). Of the cultures in the CWB, the SKC has the lowest average diversity value. The Sopot, Vinča, and Butmir have similar values, although Butmir has the highest range in values. The highest number of crops (n = 12, including rare taxa) is recorded from the Continental/Butmir site of Okolište, followed by two Pannonian Sopot sites (Hermanov Vinograd, n = 11 and Sopot, n = 10), and three Continental Vinča sites (Belovode, Pavlovac-Gumnište, and Pločnik, n = 10). By contrast, there are no discernible differences when comparing different bioregions (Figure 6).
Figure 5.
Simpson’s indices of diversity (1-D) for crop assemblages and wild species by site within cultural groups.
Figure 6.
Simpson’s indices of diversity (1-D) for crop assemblages and wild species by bioregion.
The picture is more complicated when assessing wild species, and the identified patterns must be considered with care given the lower availability of data (36 analysed sites had no wild taxa). Here, the LBK also differs from most of the archaeological cultures, especially the SKC, Sopot, and Vinča. In addition, data for the Vinča also shows higher diversity than that of the SKC and Sopot. As with crops, there are no apparent differences in terms of diversity of wild assemblages between bioregions.
Correspondence Analyses
Figure 7 shows how crop assemblages from the five archaeological cultures are distributed across dimensions 1 and 2, while Figure 8 illustrates the respective contributions of specific crops to both CA dimensions. Dimension 1 accounts for 23.4% of the variation and distinguishes between the most frequently occurring crops (emmer and einkorn) and flax, ‘new’ glume wheat (T. timopheevii s.l.) and bitter vetch (Vicia ervilia). Dimension 2 accounts for 14.86% of the variation and separates pea (Pisum sativum) and free-threshing wheat from flax with negative values. Visual inspection of the scatterplot indicates that the LBK sites are firmly centred upon negative values in dimension 1, and thus seem to occupy a different part of the CA space from other archaeological cultures. This is formally confirmed by a series of pairwise Mann–Whitney U-tests, which demonstrate that the distribution of the LBK to any other archaeological culture is always significant in dimension 1, but never in dimension 2 (Supplementary Materials, Table S2). The only other significant difference occurs between the SKC and the Vinča in dimension 1. No discernible pattern is evident in the distribution of Butmir and Sopot sites, nor indeed between Continental and Pannonian sites. The Vinča sites from the Pannonian bioregion are plotted in almost complete opposition to the LBK sites, suggesting that the use of crops was not simply determined by bioregion. This is further demonstrated by the lack of any difference between sites from the Continental and Pannonian bioregions in either dimensions 1 or 2 (pairwise Mann–Whitney U-tests; Supplementary Materials, Table S2). For wild species, dimension 1 accounts for 19.19% of the variation and separates Cornelian cherry (Cornus mas) from water chestnut (Trapa natans) and Prunus (Figure 9 and Figure 10). Dimension 2 accounts for 16.41% of the variation and distinguishes water chestnut from elder and Prunus. Visual inspection of the scatterplot and formal statistical testing reveals no discernable pattern either by culture, or bioregion (Supplementary Materials, Table S2).
Figure 7.
Correspondence analysis plots of crops and sites (triangles denote Pannonian sites, circles denote Continental sites; see Table 1 for full taxa names).
Figure 8.
Percentage contributions of crops to dimensions 1 and 2 in Figure 7.
Figure 9.
Correspondence analysis plots of wild taxa and sites (triangles denote Pannonian sites; circles denote Continental sites. See Table 1 for full taxa names).
Figure 10.
Percentage contributions of wild taxa to dimensions 1 and 2 in Figure 9.
In addition, we checked for a possible relationship between the results of the CA and the sampling intensity by grouping sites into five arbitrary bins corresponding to increasing levels of archaeobotanical sampling (Figure 11a,b). For the crops dataset, visual inspection of the CA biplot coupled with formal statistical testing only revealed differences between groups in dimension 1: sites with one to five samples differed from sites from all other categories 3, 4, and 5 (i.e., with growing numbers of samples—see Figure 4), while the few most intensely sampled sites (with over 100 samples) also differed from low-to-middle-sampled sites (6–20 and 21–50 samples, respectively) (Figure 11a; Supplementary Materials, Table S2). It is, however, worth reminding that as categories of sampling intensity are evenly distributed amongst all archaeological cultures, this sampling-induced bias equally affects all analytical units considered here. By contrast, the results for the wild dataset do not reveal any systematic difference between groups in either dimensions 1 or 2, aside from one single exception (sites with 21–50 vs. 100+ samples in dimension 1) (Figure 11b; Supplementary Materials, Table S2).
Figure 11.
(a): Correspondence analysis plot of crops and sites categorised by NoS (triangles denote Pannonian sites; circles denote Continental sites). (b): Correspondence analysis plot of wild taxa and sites categorised by NoS (triangles denote Pannonian sites; circles denote Continental sites). Crosses correspond to the species.
4. Discussion and Conclusions
Before reviewing the spatial and temporal evolution of Neolithic plant packages in our research area, it must be recognised that differences in sampling intensity have affected patterns in the data. Indeed, species richness in Neolithic plant assemblages is moderately correlated with the sampling intensity, both expressed in terms of number or volume of archaeobotanical samples. Assemblages composed of five or fewer samples have limited interpretative value individually, whereas the greatest species richness is expected from sites with at least 100 samples. However, as illustrated by Figure 5 and Figure 6, the least sampled sites do not necessarily produce the lowest number of taxa, and other factors, such as sampling location and processing procedures (data for which are unavailable from most of the sites concerned), also affect the recovery of plant remains. Differences in sampling intensity also shape the spatial structure of the CA space to some extent, though this effect is interestingly only noticeable for crop packages and restricted to a single dimension. It is also noteworthy that this bias applies to all the archaeological cultures considered here and should not, therefore, preclude comparisons between them.
4.1. Early Neolithic (SKC, c. 6500–5500 BC)
The crop resource pool is a key component of agricultural systems and probably one best reflecting both natural limitations and socio-economic concerns of the farmers. In the Early Neolithic, plant cultivation was introduced to the central and western Balkans from the Aegean, where a wide spectrum of crops was in use from the 2nd half of the 7th millennium BC onwards [94]. Early Neolithic sites in northern Albania and North Macedonia have yielded remains of as many as nine crops: einkorn (Triticum monococcum), emmer (T. dicoccum), free-threshing wheat (T. aestivum/durum/turgidum), hulled and naked barley, lentil (Lens culinaris), pea, bitter vetch, and grass pea [95,96,97]. The transfer northwards (the continental Neolithisation stream) involved a loss of diversity of the ‘original’ crop resource pool. Bitter vetch and grass pea are missing from the SKC sites (though see below for the latter), whereas free-threshing wheat, barley, and the other two pulses are rare and found in generally low quantities. At the same time, Early Neolithic cultures in southern Bulgaria used a wider crop suite than those in North Macedonia and Albania, as it also included chickpea (Cicer arietinum) [98]. As previously mentioned, the broad crop spectrum was suggested to have acted as a form of risk management against summer droughts which, as argued, were not a hazard in the continental zone [9,28]. This view implies that the early CWB farmers opted for fewer (pulse) crops because the environmental conditions did not impose a necessity to grow additional (i.e., resilient) species. By extension, this—at least implicitly—implies that the wider crop pool of the Late Neolithic may have been an environmental risk-countering mechanism.
A find of grass pea at Virovitica-Brekinja in northeastern Croatia is curious in this view; based on the pottery, this site was attributed to a late SKC phase (5500–5300 BC) [99,100]. The earliest finds of grass pea in the wider region are perhaps those registered in the Impresso and Danilo culture layers (6th millennium BC) at the sites of Pokrovnik and Danilo in coastal Croatia [101]. If the find from Virovitica is indeed of the proposed age, it would suggest that this pulse species was transferred northwards across the western Balkans relatively early. However, in the central Balkans, grass pea is first noted in the Late Neolithic. Another peculiar finding is the broad bean (Vicia faba) from Tiszaszőlős-Domaháza puszta (transitional phase-Szatmár group) in eastern Hungary (5630–5560 BC) [81]. A refuse pit discovered there contained Körös pottery in the lower layer, and later, Szatmár group (a variant of the LBK) potsherds in the top layer; upper layers of the pit were cut by two graves of the Szakálhát group (another one of the LBK variants) [102]. Radiocarbon dating of some of the charred grains from the pit suggested vertical movement of the material, i.e., later intrusions in the lower part of the pit. In the large dataset published by Gyulai [81], the only Early Neolithic Vicia faba (a total of 1 seed) was the find described above; given this and the documented movement of the material between the pit horizons, the find of broad bean is in all likelihood of a younger age. In fact, this find was not even mentioned in another two of Gyulai’s synthetic publications [82,103]. Broad bean is not registered in the Early Neolithic Balkans. Finally, the record of opium poppy from Ibrány-Nagyerdö must also be treated with caution [103]. It is described as a fragment of possible opium poppy and, if indeed dated to Körös culture, would be of similar date to the earliest finds of domesticated poppy around the western Mediterranean [104].
Our analyses confirm the absence of some of the pulse species in the SKC culture, although both this and the overwhelmingly low quantities of plant remains at SKC sites should be observed in light of the low NoS per site, often imposed by the absence of suitable contexts and/or limited excavations. Across the entire area of the SKC distribution (CWB and Hungary, Continental and Pannonian), the crop spectrum is narrower than that documented in the Early Neolithic of North Macedonia and northern Albania. Following the proposed south–north migration, this conforms to the earlier observation [9] that a reduction in the crop spectrum happened in the south of the SKC area (southern Serbia), at the transition between the Sub-Mediterranean and Continental climatic zone. The latter has also been described as a barrier, the crossing of which was only possible after an adaptation period of c.500 years [16]. However, the correlation between the reduction in crop richness and the zone of climatic transition may be oversimplistic. Upon entering Serbia, SKC communities mainly settled along the Danubian floodplain, where warmer micro-climates prevailed [71,72], suggesting that the drop in diversity was not driven by necessary adaptations to different climatic conditions. Refugia of micro-climates suitable for orchards, vineyards, and other crops are known to have existed, perhaps facilitating the spread of farming across the CWB [70,105]. Our analyses show that differences in crop assemblages are not primarily determined by bioregions, and although we did not include the southern Balkans, the change in climatic parameters of daylight hours and temperature are arguably no less extreme between central/southern Serbia and Hungary than northern Greece and southern Serbia. Reductions in crop richness have been noted throughout the Neolithisation of Europe [8,20,24,106], where the influences of climate/latitude on the one hand, and founder effects related to the mode and tempo of migration on the other, are hard to disentangle. Similarly, neutral drift remains a possible explanation for our research area, as previous studies have given conflicting results [19,29]. Other founder effects linked to migration include selective pressures of bottlenecks and homophily, both of which would have resulted in a reduced Neolithic ‘package’ [107]. Indeed, it may have been the desire/necessity to follow the narrowing zone of a Sub-Mediterranean climate (along the Danube) that increased selective pressures due to migration.
The earliest phase of Neolithic expansion in the central Balkans can be described as the period of ‘exploration’, during which “dispersing populations experimented with new settlement locations and new organizational forms” [108]. Recent demographic research has revealed phases of increase and decrease in population size following the arrival of the first farmers to the central Balkans [33]. Fluctuation in population size as inferred from 14C-summed probability distributions—themselves also prone to sampling issues—may have resulted from fluctuations in the degree of residential mobility [22,33,109]. The SKC settlements have been understood as short-lived since they usually consisted of few occupation layers and were predominantly composed of semi-dug structures (pits and pit-houses), seen as implying transient occupations e.g., [110,111]. On the other hand, these pits were quite elaborate and functionally distinct at some of the sites e.g., [41]; at others, above-ground solid structures existed (Divostin—[112]; Slavonski Brod—[113]). Greater architectural investment suggests more permanent use of these locations and, by extension, reliability of crop harvests. The state of the archaeobotanical data does not permit to test whether the size and degree/form of mobility of the SKC groups, after the initial south-north migration, were related to the viability and success of crop cultivation, although such a relationship is plausible in the period of construction of agricultural socio-ecological niches.
As noted in previous studies [10,35,79,114,115], the SKC crop assemblage is more restricted than the one found in the Vinča culture. Given the limited size of the SKC archaeobotanical dataset, we cannot exclude that trials of additional crops took place, perhaps in the early stages of the culture and/or in areas more exposed to influences from coastal communities. Such continued attempts may have given rise to the greater crop diversity of the Late Neolithic in CWB, in addition to other potential causes (see below). Of note are the Neolithic finds of club wheat at Vršnik (North Macedonia), on the Croatian coast (at Danilo [101]), and inland in BiH, at Obre I and Kakanj [116]. In contrast, early finds of free-threshing wheat in the central Balkans are of durum-type and bread wheat. Nor can we be certain that the limited use of wild resources (compared to the Late Neolithic) is not a reflection of low sample numbers. With a reduction in crop diversity, one might expect a greater use of wild food resources. Our results suggest that few wild plant fruits/nuts were used by individual settlements, and that the spectrum used often differed between settlements.
In conclusion, crop diversity is likely to have dropped during the north–south migration into the central and western Balkans due to founder effects. Early Neolithic colonisers were met with natural pressures that may have modulated their settling and exploitation of new environments. These continued explorations may have led to further reductions in the crop package, plausibly due to founder effects as well as environmental adaptations. Neither cause can be clarified using the existing SKC archaeobotanical dataset because it is extremely limited in both size and spatial coverage. Clarification of environmental aspects also requires fundamental research. Aside from a general inference about the different (i.e., harsher) climatic conditions in the interior of the Balkan Peninsula, we cannot even start to build the picture of what exactly this meant at the subregional and local scales, and how it translated into variability in constraints and affordances to early farming. Climatic deterministic hypotheses also need to consider the increased range in crop diversity during the later Neolithic in the same geographical zone.
4.2. Late Neolithic in CWB (c. 5400–4500 BC)
It is maintained that, from the mid-6th millennium BC, the SKC in the western Balkans received influences of the expanding Vinča culture and the combination of ’old’ and ’new’ elements formed the Sopot culture in northern Bosnia and Croatia [57] (pp. 291–298), [56]. Meanwhile in Hungary, the SKC was modified into what became the Europe-wide phenomenon of the LBK, which had different local manifestations in Hungary. In the central, mountainous zone of BiH, a combination of the SKC and Adriatic elements and, to some extent, Sopot and Vinča influences created the Butmir culture [61].
The increased cultural diversity in the Late Neolithic CWB was paralleled by a greater diversity of crops (Figure 12). Our statistical analyses show similar levels of species richness in the CWB cultures, which is in all cases higher than that of the SKC and the LBK. The spectrum of crops varied slightly between the CWB cultures. For instance, broad bean was present in the Sopot and Butmir areas but not in Vinča. Secure finds of opium poppy and common vetch were documented only in the Sopot culture (Figure 12; Supplementary Materials, Table S1). Our analyses also suggest that the settlement of two different, though contiguous, bioregions did not affect crop species richness and diversity. Whereas most wild species were found in both Early and Late Neolithic and in all of the cultures, a few did not display this general presence, for example dogwood, hawthorn, and water chestnut. Of these, water chestnut is particularly interesting as it has a distinctive ecology; it is a floating aquatic plant that grows in stagnant water bodies. In our region of interest, it grows in abandoned meanders of rivers dissecting the Pannonian region, particularly along the Danube, as well as in ponds and lakes [117] (pp. 35–38). Here, warm summers would have created ideal growing conditions in the fast-warming standing waters. Species habitat preferences, therefore, can explain the presence (in the Pannonian zone) and absence (in the Continental zone) of water chestnut in the Vinča culture. The latter appears to have used a wider range of gathered plant food resources, and with less variation between settlements, than the other archaeological cultures.
Figure 12.
The crop and wild spectrum across the five archaeological cultures. Patterned fills denote uncertain identification or period; all 109 sites and 28 taxa are included (see Table S1).
The increase in crop and wild diversity in the Late Neolithic CWB reflects a high interest in both pools of resources. Further, it suggests a good control and knowledge of the resources surrounding settlements, which in this period were much larger, composed of densely placed wattle-and-daub houses, pits, outdoor kilns and ditches, and in many cases, were continuously occupied over several centuries. The presence of new pulse and cereal species (bitter vetch, grass pea, broad bean, common vetch, rye) may have resulted from the new incoming populations, from the greater mobility of the local groups, and from intensified cross-regional communication and thus the spread of influences; results of various investigations show evidence of all of these developments [45,46,47]. Overall, the period can be described as the ‘exploitation phase’ characterised by “intensive development of a niche that was simultaneously ecological, cultural and organizational” and exploited by “newly aggregated and relatively stable populations” [108]. Naturally, ‘exploration-like behaviour’ continued and could have included trying and adapting new crops or varieties. Through this lens, bitter vetch was a success, based on its widespread presence in all three Late Neolithic CWB cultures and both Pannonian and Continental regions; this and the occasional large finds of it [115] allude to its considerable importance. Vetches were commonly grown for fodder, e.g., [118,119], such that their increased presence may be associated with the rise in cattle and pig husbandry over that of sheep/goats during the Late Neolithic [10,23]. Compared to bitter vetch, grass pea and broad bean may appear as ‘failures’, but clearly there could be unrelated cultural (e.g., culinary) or local preferences determining their presence and distribution.
Whether or not the observed developments were favoured by—or even resulted from—change (improvement) in climatic conditions remains a question since, once again, we know little to nothing about the regional and local paleoclimate, vegetation composition and crop-growing environment.
4.3. LBK in Hungary (c. 5500–4700 BC)
In Figure 7, LBK sites are spatially relatively restricted and occupy the area of the plot where the standard (i.e., most frequent) set of crops are found. This distribution overlaps partly with that of the SKC, and the two consecutive traditions both show lower crop richness and diversity than the three later Neolithic cultures that are largely synchronous to the LBK. The LBK archaeobotanical record from Hungary shows a species richness and diversity most similar to that of the SKC, accentuating the LBK’s derivation from the SKC phenomenon [25,26]. This is evident in both crop and wild assemblages. The lower crop species richness compared to later Neolithic cultures of the CWB is evident in the absence of ‘new’ glume wheat, opium poppy, bitter vetch and common vetch (see comment above re: broad bean). The identification of ‘new’ glume wheat depends heavily on the presence of chaff (glume bases or spikelet forks) and, without it, the grains often remain identified to the genus level or an intermediate category. Since this wheat species has been found at some SKC sites, it is quite possible that it was a component of the Hungarian LBK crop suite, particularly as the crop has been identified in the central European LBK [120,121]. In the same vein, the recovery of opium poppy depends heavily on the archaeobotanical processing method (sieve size). The small seeds (c.1 mm when fresh) would have been eaten whole, as a culinary ingredient, or crushed to produce oil. These processes do not require the seeds to be directly exposed to fire, and even if charred, the fragile, oily seeds are unlikely to survive [122]. For several LBK sites, the available information rests solely on the records of plant impressions. Given the minute size of poppy seeds, impressions in clay objects would have been near-impossible to register. Therefore, the absence of poppy records at LBK sites in Hungary may not reflect its true absence. Bitter vetch was not found in the SKC and is also missing from the LBK sites in Hungary and elsewhere in Europe. Grass pea is present across the research area but was only found at one LBK site compared to nine sites from the CWB (Supplementary Materials, Table S1). The main difference in the crop spectra of Late Neolithic cultures in the CWB and the LBK in Hungary therefore seems to rest on the availability of pulses.
The total number of wild resources used during the LBK in Hungary is comparable to that of the CWB cultures, though greater diversity is seen within the LBK. Following on from the conclusions by Ivanova and colleagues [9] mentioned above, the spectrum of locally available resources was somewhat more variable across the Pannonian region than in the Continental region [25,26]. The reduction in diversity is more apparent between the LBK in Hungary and the LBK in, for instance, Slovakia, Austria and Germany, where free-threshing wheat and barley were not detected in the early phases of the local LBK [28,120,123]. It is then almost by default, as a result of the gradual drop in diversity, that the most pronounced differences between the early crop spectra in the Balkans and in central Europe are those between Early Neolithic Bulgaria and Early Neolithic (i.e., LBK) Austria and Germany [28].
The availability of wild plant foods was determined by environmental conditions, but our results suggest that bioregions had little influence on the use of such resources. The same is true for the crop datasets, in which distinct LBK and Vinča signatures were recognised. The scale of the initial drop in crop diversity that characterises the migration from the Aegean/Sub-Mediterranean into the CWB, which may be as much due to climate as to geography and stochastic migratory processes, is not repeated during the ensuing spread of farmers across Serbia and into the Pannonian plain. Further losses in the crop spectrum are not as clearly evident between the SKC and LBK in Hungary, although greater diversity within the LBK suggests a more varied use of crops than at the more homogenous SKC sites. Similar to the diverse use of wild resources, the cultivation of specific crop combinations may have been an adaptation to the diverse ecological zones within Hungary e.g., [124]. Pulses later cultivated by their Vinča neighbours were not adopted by the LBK, perhaps for environmental as much as socio-cultural reasons. The rise in population during the Vinča culture is associated with an increase in the richness and diversity of crops and the possible development of local varieties or landraces.
The neolithisation of the CWB and Hungary is a story of resilience in cultivation. Despite the initial loss of crops and the changing ecological settings, there is no evidence for the failure of cultivation, as there is for the British Isles and northern Europe [125,126]. There are no signs to suggest that domesticates were replaced by wild resources. Cultivation persisted and necessarily adapted to local conditions. It was ultimately successful, and perhaps only when communities were well established, large and interconnected was the socio-cultural setting appropriate for the incorporation of new crops and the development of new agricultural regimes.
Supplementary Materials
The following are available online at https://www.mdpi.com/article/10.3390/quat5010006/s1, Table S1: Full archaeobotanical dataset for the 109 sampled sites in the research area; Table S2: Statistical measures for the multivariate analyses presented in the text.
Author Contributions
A.d.V.: conceptualisation, methodology, data curation, writing—original draft preparation, writing—review and editing, and visualisation; D.F.: conceptualisation, methodology, data curation, writing—original draft preparation, writing— review and editing and funding acquisition; D.O.: conceptualisation, methodology, data curation, and writing—original draft preparation, writing—review and editing; M.V.L.: conceptualisation, methodology, data curation, software, formal analysis, writing—original draft preparation, writing—review and editing, visualisation, and funding acquisition. All authors have read and agreed to the published version of the manuscript.
Funding
This research received no external funding.
Data Availability Statement
All data and code are available at: https://github.com/mavdlind/quaternary_balkans.
Acknowledgments
We thank the editors of the volume for their invitation to contribute and for their patience throughout. We are indebted to Mirjana Blagojević, Republic Institute for the Protection of Cultural Monuments of Serbia, and Helmut Kroll, Kiel, for allowing access to unpublished reports on the archaeobotany of Jaričište 1 (Serbia) and Jagnjilo (Bosnia and Herzegovina). DF’s contribution was possible thanks to the support of the German Research Foundation (DFG) to the Collaborative Research Centre 1266 (Project No. 2901391021—SFB 1266) at Kiel University. Recent archaeobotanical research in the study region was conducted within the following projects: EUROFARM (ERC-2012-StG-20111124), The Rise of Metallurgy in Eurasia (AHRC UK), Archaeology in Serbia: Cultural identity, integration factors, technological processes and the role of the Central Balkans in the development of European prehistory (Ministry of Education, Science and Technological Development of the Republic of Serbia, Ref. 177020) and Society, spiritual and material culture and communications in prehistory and early history of the Balkans (Ministry of Education, Science and Technological Development of the Republic of Serbia, Ref. 177012).
Conflicts of Interest
The authors declare no conflict of interest.
Appendix A
Table A1.
Sites included in the multivariate statistical analyses. Site ID refers to Figure 1. The complete archaeobotanical dataset can be found in the Supplementary Materials, Table S1.
Table A1.
Sites included in the multivariate statistical analyses. Site ID refers to Figure 1. The complete archaeobotanical dataset can be found in the Supplementary Materials, Table S1.
| Site ID | Country | Lat | Long | Bioregion | Site | Culture | N° Samples | Vol Samples (L.) | Archaeo-Botany Ref. |
|---|---|---|---|---|---|---|---|---|---|
| 1 | Hungary | 46.21 | 18.71 | Pannonian | Alsónyék-Bátaszék (HU 2) | LBK | 15 | 248 | [25,26] |
| 2 | Hungary | 46.21 | 18.70 | Pannonian | Alsónyék-Bátaszék (HU 3) | SKC | 4 | 119.5 | [25,26] |
| 3 | Hungary | 46.21 | 18.70 | Pannonian | Alsónyék-Bátaszék (HU 6) | SKC | 2 | 16 | [25,26] |
| 4 | Serbia | 45.14 | 21.28 | Pannonian | At | SKC | 10 | 100 | [79] |
| 5 | Hungary | 46.66 | 17.31 | Pannonian | Balatonszentgyörgy | LBK | [81] | ||
| 6 | Hungary | 46.27 | 21.05 | Pannonian | Battonya-Basarága | SKC | 1 | [81] | |
| 7 | Hungary | 46.48 | 16.84 | Pannonian | Becsehely-Újmajori tábla | Sopot | [81] | ||
| 8 | Serbia | 44.58 | 19.72 | Continental | Belotić | SKC | [127] | ||
| 9 | Serbia | 44.31 | 21.40 | Continental | Belovode | SKC | 7 | 42 | [128] |
| 10 | Serbia | 44.31 | 21.40 | Continental | Belovode | Vinča | 41 | 257 | [128] |
| 11 | Hungary | 47.60 | 21.90 | Pannonian | Berettyóújfalu-Nagy | SKC | 12 | [103] | |
| 12 | Hungary | 47.50 | 18.65 | Pannonian | Bicske-Galagonyás | LBK | [81] | ||
| 13 | Serbia | 43.72 | 21.10 | Continental | Blagotin | SKC | [129] | ||
| 14 | Serbia | 45.60 | 20.13 | Pannonian | Bordjoš | Vinča | [130] | ||
| 15 | Serbia | 43.29 | 21.84 | Continental | Bubanj | SKC | 5 | 50 | [131] |
| 16 | BiH | 43.82 | 18.31 | Continental (Alpine) | Butmir | Butmir | [132] | ||
| 17 | Serbia | 44.03 | 20.83 | Continental | Divostin II | Vinča | [67] | ||
| 18 | Hungary | 46.40 | 18.17 | Pannonian | Dombóvár-Gunaras | LBK | [81] | ||
| 19 | BiH | 44.03 | 18.17 | Continental (Alpine) | Donje Moštre | Butmir | 47 | [133] | |
| 20 | Serbia | 43.78 | 21.44 | Continental | Drenovac | SKC | 63 | 524.3 | [134] |
| 21 | Serbia | 43.78 | 21.44 | Continental | Drenovac | Vinča | 440 | 3672.5 | [134] |
| 22 | Hungary | 47.15 | 20.92 | Pannonian | Ecsegfalva | SKC | 4756.7 | [135] | |
| 23 | Hungary | 46.40 | 18.94 | Pannonian | Fajsz (HU 1) | Sopot | 45 | 574.5 | [25,26] |
| 24 | Hungary | 46.40 | 18.94 | Pannonian | Fajsz (HU 1) | LBK | 5 | 86.5 | [25,26] |
| 25 | Hungary | 46.71 | 17.24 | Pannonian | Fenékpuszta-Vámház | LBK | [81] | ||
| 26 | Hungary | 47.75 | 20.40 | Pannonian | Füzesabony-Gubakút | LBK | 38 | [81] | |
| 27 | Serbia | 44.89 | 19.75 | Pannonian | Gomolava | Vinča | 41 | [136] | |
| 28 | BiH | 44.56 | 18.76 | Continental | Gornja Tuzla | Vinča | [137,138] | ||
| 29 | Croatia | 45.19 | 19.26 | Pannonian | Gradac-Bapska | Sopot | 8 | 495 | [79] |
| 30 | Hungary | 46.93 | 20.80 | Pannonian | Gyomaendrőd | SKC | [81] | ||
| 31 | Croatia | 45.55 | 18.69 | Pannonian | Hermanov Vinograd | Sopot | 129 | 812.5 | [79] |
| 32 | Hungary | 48.10 | 21.70 | Pannonian | Ibrány-Nagyerdő | SKC | 45 | [103] | |
| 33 | Croatia | 45.32 | 18.38 | Pannonian | Ivandvor-Gaj | Sopot | 14 | 154 | [139,140] |
| 34 | BiH | 43.64 | 18.97 | Continental (Alpine) | Jagnjilo | Butmir | 185 | [79,141] | |
| 35 | Serbia | 44.37 | 20.17 | Continental | Jaričište 1 | SKC | 7 | 55 | [142] |
| 36 | Serbia | 44.37 | 20.17 | Continental | Jaričište 1 | Vinča | 2 | 17 | [142] |
| 37 | BiH | 44.13 | 18.12 | Continental (Alpine) | Kakanj | SKC | 4 | [116] | |
| 38 | Hungary | 46.38 | 17.81 | Pannonian | Kaposvár-Kisapáti dűlő | LBK | [81] | ||
| 39 | Hungary | 46.65 | 17.39 | Pannonian | Kéthely-Sziget | LBK | [81] | ||
| 40 | BiH | 45.07 | 17.41 | Continental | Kočićevo | Sopot | 16 | 90.5 | [79] |
| 41 | BiH | 44.69 | 18.29 | Continental | Korića Han | Vinča | 1 | [79] | |
| 42 | BiH | 44.96 | 17.39 | Continental | Kosjerovo | Sopot | 26 | 412 | [79] |
| 43 | BiH | 44.04 | 18.07 | Continental (Alpine) | Kundruci | Butmir | 29 | [133] | |
| 44 | BiH | 45.11 | 17.37 | Continental | Laminci Jaružani | Butmir | 2 | 144 | [79] |
| 45 | BiH | 43.70 | 17.90 | Continental (Alpine) | Lisičići | Butmir | [137,143] | ||
| 46 | Hungary | 46.10 | 18.00 | Pannonian | Ludas-Varjú dűlő | LBK | 71 | [81] | |
| 47 | BiH | 43.64 | 18.99 | Continental (Alpine) | Lug (Goražde) | Butmir | [137] | ||
| 48 | Hungary | 46.46 | 17.91 | Pannonian | Magyaratád | LBK | [81] | ||
| 49 | Hungary | 46.56 | 17.37 | Pannonian | Marcali-Lókpuszta | LBK | [81] | ||
| 50 | Serbia | 43.96 | 21.18 | Continental | Medjureč | SKC | 10 | 30 | [114] |
| 51 | Serbia | 44.37 | 20.96 | Continental | Medvednjak | Vinča | 6 | [132,134] | |
| 52 | Hungary | 47.72 | 17.46 | Pannonian | Mosonszentmiklós-Pálmajor | LBK | 6 | [81] | |
| 53 | Serbia | 43.87 | 21.42 | Continental | Motel Slatina | Vinča | 2 | 1.7 | [114] |
| 54 | BiH | 44.10 | 18.14 | Continental (Alpine) | Obre I | SKC | 23 | [116] | |
| 55 | BiH | 44.10 | 18.15 | Continental (Alpine) | Obre II | Butmir | 14 | [116] | |
| 56 | BiH | 44.03 | 18.14 | Continental (Alpine) | Okolište | Butmir | 58 | [144] | |
| 57 | Serbia | 45.05 | 20.46 | Pannonian | Opovo | Vinča | 267 | 2916 | [117] |
| 58 | Hungary | 47.34 | 17.49 | Pannonian | Pápa-Vaszar | LBK | [81] | ||
| 59 | Hungary | 46.63 | 18.21 | Pannonian | Pári-Altäcker dűlő | LBK | 1 | [81] | |
| 60 | Serbia | 42.49 | 21.85 | Continental | Pavlovac-Gumnište | Vinča | 185 | 1664.5 | [134] |
| 61 | Serbia | 44.25 | 19.94 | Continental | Petnica | Vinča | [127] | ||
| 62 | Hungary | 46.43 | 16.84 | Pannonian | Petrivente | LBK | 4 | [81] | |
| 63 | Serbia | 43.21 | 21.36 | Continental | Pločnik | Vinča | 68 | 479 | [145] |
| 64 | Hungary | 47.88 | 21.08 | Pannonian | Polgár 31 | LBK | 105 | [81] | |
| 65 | Hungary | 47.88 | 21.08 | Pannonian | Polgár 31 | LBK | 61 | [81] | |
| 66 | Serbia | 45.02 | 21.25 | Pannonian | Potporanj | Vinča | 11 | 110 | [79] |
| 67 | Croatia | 45.19 | 17.64 | Pannonian | Ravnjaš-Nova Kapela | Sopot | 71 | 781 | [139,140] |
| 68 | Hungary | 46.28 | 20.08 | Pannonian | Röszke-Lúdvár | SKC | [81] | ||
| 69 | Serbia | 44.50 | 20.87 | Continental | Selevac | Vinča | 53 | [134,138,146] | |
| 70 | Croatia | 45.25 | 17.38 | Pannonian | Slavča | Sopot | 28 | 264 | [139] |
| 71 | Croatia | 45.28 | 18.80 | Pannonian | Sopot | SKC | 4 | 44 | [139,140] |
| 72 | Croatia | 45.28 | 18.80 | Pannonian | Sopot | Sopot | 144 | 2842 | [139,140] |
| 73 | Serbia | 44.82 | 20.35 | Pannonian | Starčevo-Grad | SKC | 3 | 30 | [132,147] |
| 74 | Serbia | 42.93 | 21.67 | Continental | Svinjarička Čuka | SKC | 1 | 24 | [148] |
| 75 | Hungary | 46.25 | 20.17 | Pannonian | Szeged-Gyálarét | SKC | [81] | ||
| 76 | Hungary | 46.72 | 16.40 | Pannonian | Szentgyörgyvölgy-Pityerdomb | LBK | 5 | 20.5 | [81] |
| 77 | Hungary | 46.48 | 17.41 | Pannonian | Szenyér-Mesztegnyő | LBK | [81] | ||
| 78 | Hungary | 46.79 | 17.84 | Pannonian | Szólád-Hadúti dűlő | LBK | [81] | ||
| 79 | Hungary | 47.21 | 16.58 | Pannonian | Szombathely-Aranypatak lakópark | LBK | 10 | [81] | |
| 80 | Hungary | 46.88 | 17.44 | Pannonian | Tapolca-Plébániakert | LBK | [81] | ||
| 81 | Hungary | 47.56 | 20.70 | Pannonian | Tiszaszőlős-Domaháza puszta | SKC | 111 | [81] | |
| 82 | Hungary | 47.56 | 20.70 | Pannonian | Tiszaszőlős-Domaháza puszta | SKC | 71 | [81] | |
| 83 | Hungary | 47.56 | 20.70 | Pannonian | Tiszaszőlős-Domaháza puszta | LBK | 104 | [81] | |
| 84 | Hungary | 47.97 | 21.38 | Pannonian | Tiszavasvár-Keresztfal | LBK | [81] | ||
| 85 | Croatia | 45.38 | 18.41 | Pannonian | Tomašanci-Palača | SKC | 47 | 407 | [149] |
| 86 | Hungary | 47.44 | 18.88 | Pannonian | Törökbálint Dulácska (Outlet áruház) | LBK | 16 | [81] | |
| 87 | Kosovo* | 42.95 | 20.83 | Continental | Valač | Vinča | [138] | ||
| 88 | Serbia | 44.76 | 20.62 | Continental | Vinča-Belo Brdo | Vinča | 195 | 2281.5 | [149] |
| 89 | Croatia | 45.84 | 17.35 | Pannonian | Virovitica-Brekinja | SKC | 2 | 55 | [139,140] |
| 90 | BiH | 44.08 | 18.09 | Continental (Alpine) | Zagrebnice | Butmir | 28 | [133] | |
| 91 | Hungary | 46.88 | 17.71 | Pannonian | Zánka-Vasúti bevágás | LBK | [81] |
References
- Collinson, M. Farm Management in Peasant Agriculture; Westview Press: Boulder, CO, USA, 1983. [Google Scholar]
- Kropff, M.J.; Bouma, J.; Jones, J.W. Systems approaches for the design of sustainable agro-ecosystems. Agric. Syst. 2001, 70, 369–393. [Google Scholar] [CrossRef]
- Bacon, C.; Getz, C.; Kraus, S.; Montenegro, M.; Holland, K. The Social Dimensions of Sustainability and Change in Diversified Farming Systems. Ecol. Soc. 2012, 17, 41–60. Available online: https://www.jstor.org/stable/26269238 (accessed on 23 October 2021). [CrossRef]
- Kay, R.D.; Edwards, W.M.; Duffy, P.A. Farm Management, 8th ed.; McGraw-Hill Education: New York, NY, USA, 2016. [Google Scholar]
- Rowley-Conwy, P.; Layton, R. Foraging and farming as niche construction: Stable and unstable adaptations. Phil. Trans. R. Soc. 2011, 366, 849–862. [Google Scholar] [CrossRef] [PubMed]
- Therond, O.; Duru, M.; Roger-Estrade, J.; Richard, G. A new analytical framework of farming system and agriculture model diversities. A review. Agron. Sustain. Dev. 2017, 37, 21. [Google Scholar] [CrossRef]
- McConnell, D.; Dillon, J. Farm Management for Asia: A Systems Approach; Food and Agriculture Organization of the United Nations: Rome, Italy, 1997. [Google Scholar]
- Colledge, S.; Conolly, J.; Shennan, S. The evolution of Neolithic farming from SW Asian origins to NW European limits. Eur. J. Archaeol. 2005, 8, 137–156. [Google Scholar] [CrossRef]
- Ivanova, M.; De Cupere, B.; Ethier, J.; Marinova, E. Pioneer farming in southeast Europe during the early sixth millennium BC: Climate-related adaptations in the exploitation of plants and animals. PLoS ONE 2018, 13, e0197225. [Google Scholar] [CrossRef]
- Gaastra, J.; de Vareilles, A.; Vander Linden, M. Bones and Seeds: An integrated approach to understanding the spread of farming across the western Balkans. Env. Archaeol. 2019, 27, 44–60. [Google Scholar] [CrossRef]
- Vander Linden, M.; Gaastra, J.; de Vareilles, A.; Silva, F. By sail and by land: Comparing the inland and maritime streams of neolithisation across the western Balkans. In Revolutions: The Neolithisation of the Mediterranean Basin; Rowland, J., Lucarini, G., Tassie, G., Eds.; Edition Topoi: Berlin, Germany, 2021; Berlin Studies of the Ancient World 68; pp. 101–119. [Google Scholar]
- Childe, V.G. The Danube in Prehistory; Clarendon Press: Oxford, UK, 1929. [Google Scholar]
- Clark, J.G. Prehistoric Europe: The Economic Basis; Methuen: London, UK, 1952. [Google Scholar]
- Bogucki, P. The spread of early farming in Europe. Am. Sci. 1996, 84, 242–253. Available online: https://www.jstor.org/stable/29775670 (accessed on 23 October 2021).
- Halstead, P. Like rising damp? An ecological approach to the spread of farming in south east and central Europe In The Beginnings of Agriculture; Milles, A., Williams, D., Gardner, N., Eds.; BAR International Series 496; Archaeopress: Oxford, UK, 1989; pp. 23–53. [Google Scholar]
- Krauss, R.; Marinova, E.; De Brue, H.; Weninger, B. The rapid spread of early farming from the Aegean into the Balkans via the Sub-Mediterranean-Aegean Vegetation Zone. Quat. Int. 2018, 496, 24–41. [Google Scholar] [CrossRef]
- Mauri, A.; Davis, B.A.; Collins, P.M.; Kaplan, J.O. The climate of Europe during the Holocene: A gridded pollen-based reconstruction and its multi-proxy evaluation. Quat. Sci. Rev. 2015, 112, 109–127. [Google Scholar] [CrossRef]
- Colledge, S.; Conolly, J.; Shennan, S. Archaeobotanical evidence for the spread of farming in the Eastern Mediterranean. Curr. Anthropol. 2004, 45, 35–58. [Google Scholar] [CrossRef]
- Conolly, J.; Colledge, S.; Shennan, S. Founder effect, drift, and adaptive change in domestic crop use in early Neolithic Europe. J. Archaeol. Sci. 2008, 35, 2797–2804. [Google Scholar] [CrossRef]
- Coward, F.; Shennan, S.; Colledge, S.; Conolly, J.; Collard, M. The spread of Neolithic plant economies from the Near East to northwest Europe: A phylogenetic analysis. J. Archaeol. Sci. 2008, 35, 42–56. [Google Scholar] [CrossRef]
- Maniatis, Y.; Adaktylou, F. Revenia-Korinos: One of the earliest Neolithic settlements in North Greece as evidenced by radiocarbon dating. Radiocarbon 2021, 63, 1025–1051. [Google Scholar] [CrossRef]
- Vander Linden, M.; Silva, F. Dispersals as demographic processes: Testing and describing the spread of the Neolithic in the Balkans. Philos. Trans. R. Soc. B 2020, 376, 20200231. [Google Scholar] [CrossRef]
- Orton, D.; Gaastra, J.; Vander Linden, M. Between the Danube and the Deep Blue Sea: Zooarchaeological meta-analysis reveals variability in the spread and development of Neolithic farming across the western Balkans. Open Quat. 2016, 2, 1–26. [Google Scholar] [CrossRef]
- de Vareilles, A.; Bouby, L.; Jesus, M.; Martin, L.; Rottoli, M.; Vander Linden, M.; Antolín, F. One sea but many routes to sail. The early maritime dispersal of Neolithic crops from the Aegean to the western Mediterranean. J. Archaeol. Sci. Rep. 2020, 29, 102140. [Google Scholar] [CrossRef]
- Kreuz, A.; Pomázi, P.; Bánffy, E. Hungarian Neolithic landscapes, crops and diet—Signs of cultural decisions? Quat. Int. 2020, 560–561, 102–118. [Google Scholar] [CrossRef]
- Kreuz, A.; Pomázi, P.; Osztás, A.; Oross, K.; Marton, T.; Petrasch, J.; Domboróczky, L.; Raczky, P.; Bánffy, E. Investigation of the plant macro remains from four archaeological excavations at Fajsz-Garadomb and Alsónyék-Bátaszék in the Sárköz region and their comparison with the archaeobotanical record from other Hungarian Neolithic sites. In The Environmental History of the Prehistoric Sárköz Region in Southern Hungary; Bánffy, E., Ed.; Beier and Beran: Frankfurt, Germany, 2020; Confinia et Horizontes 1; pp. 187–219. [Google Scholar] [CrossRef]
- Kreuz, A.; Marinova, E.; Schäfer, E.; Wiethold, J. A comparison of early Neolithic crop and weed assemblages from the Linearbandkeramik and the Bulgarian Neolithic cultures: Differences and similarities. Veg. Hist. Archaeobot. 2005, 14, 237–258. [Google Scholar] [CrossRef]
- Kreuz, A.; Marinova, E. Archaeobotanical evidence of crop growing and diet within the areas of the Karanovo and the Linear Pottery Cultures: A quantitative and qualitative approach. Veg. Hist. Archaeobot. 2017, 26, 639–657. [Google Scholar] [CrossRef]
- Pérez-Losada, J.; Fort, J. Spatial dimensions increase the effect of cultural drift. J. Archaeol. Sci. 2011, 38, 1294–1299. [Google Scholar] [CrossRef]
- Weninger, B.; Alram-Stern, E.; Bauer, E.; Clare, L.; Danzeglocke, U.; Jöris, O.; Kubatzki, C.; Rollefsong, G.; Todorova, H. Die Neolithisierung von Südosteuropa als Folge des abrupten Klimawandels um 8200 cal BP. In Klimaveränderung und Kul-Turwandel in Neolithischen Gesellschaften Mitteleuropas, 6700–2200v.Chr; Gronenborn, D., Ed.; Römisch-German: Mainz, Germany, 2005; Zentralmuseum Tagungen 1; pp. 75–117. [Google Scholar]
- Weninger, B.; Clare, L.; Rohling, E.; Bar-Yosef, O.; Böhner, U.; Budja, M.; Bundschuh, M.; Feurdean, A.; Gebel, H.-G.; Jöris, O.; et al. The Impact of Rapid Climate Change on Prehistoric Societies during the Holocene in the Eastern Mediterranean. Doc. Praehist. 2009, 36, 7–59. [Google Scholar] [CrossRef]
- Weninger, B.; Clare, L.; Gerritsen, F.; Horejs, B.; Krauss, R.; Linstädter, J.; Özbal, R.; Rohling, E. Neolithisation of the Aegean and Southeast Europe during the 6600–6000 cal BC period of Rapid Climate Change. Doc. Praehist. 2014, 41, 1–31. [Google Scholar] [CrossRef]
- Porčić, M.; Blagojević, T.; Jugoslav, P.; Stefanović, S. The Neolithic Demographic Transition in the Central Balkans: Population dynamics reconstruction based on new radiocarbon evidence. Phil. Trans. R. Soc. B 2021, 376, 2019071220190712. [Google Scholar] [CrossRef] [PubMed]
- Vander Linden, M.; Pandžić, I.; Orton, D. New radiocarbon dates for the Neolithic period in Bosnia & Herzegovina. Godišnjak Centra za Balkanološka Ispitivanja 2014, 43, 7–34. [Google Scholar]
- Filipović, D.; Obradović, Đ.; de Vareilles, A. The first five millennia of agricultural plant food production in the central and western Balkans: Archaeobotanical evidence from the Neolithic to the Bronze Age. In Cooking with Plants in Ancient Europe and Beyond: Interdisciplinary Approaches to the Archaeology of Plant Foods; Valamoti, S.M., Dimoula, A., Ntinou, M., Eds.; Sidestone Press: Leiden, The Netherlands, in press.
- Batović, Š. Jadranska zona. In Praistorija Jugoslavenskih Zemalja II: Neolitsko Doba; Benac, A., Ed.; Akademija nauka i umjetnosti Bosne i Hercegovine: Sarajevo, Bosnia and Herzegovina, 1979; pp. 471–634. [Google Scholar]
- Vuković, J.; Svilar, M. Early Neolithic impresso decoration reconsidered: A case study from Pavlovac—Kovačke Njive, Southern Serbia. PONTICA 2016, 48–49, 73–98. [Google Scholar]
- Benac, A. Obre I: Neolitsko naselje starčevačko-impresso i kakanjske kulture na Raskršću. Glasnik Zemaljskog muzeja Bosne i Herzegovine u Sarajevu 1973, 27–28, 5–171. [Google Scholar]
- Garašanin, M. Centralnobalkanska zona. In Praistorija Jugoslavenskih Zemalja II: Neolitsko Doba; Benac, A., Ed.; Akademija nauka i umjetnosti Bosne i Hercegovine: Sarajevo, Bosnia and Herzegovina, 1979; pp. 79–212. [Google Scholar]
- Tasić, N. Hronologija Starčevačke Kulture. Doctoral Thesis, University of Belgrade, Belgrade, Serbia, 1997. [Google Scholar]
- Minichreiter, K. The architecture of Early and Middle Neolithic settlements of the Starčevo culture in Northern Croatia. Doc. Praehist. 2001, 28, 199–214. [Google Scholar] [CrossRef]
- Whittle, A.; Bartosiewicz, L.; Borić, D.; Pettitt, P.; Richards, M. In the beginning: New radiocarbon dates for the early Neolithic in northern Serbia and south-east Hungary. Antaeus 2002, 25, 63–117. [Google Scholar]
- Krauss, R. The Mesolithic-Neolithic transition in the Carpathian Basin. In Southeast Europe before Neolithisation, Proceedings of the International Workshop "RessourcenKulturen”, Schloss Hohentübingen, Germany, 9 May 2014; Krauss, R., Floss, H., Eds.; Universität Tübingen: Tübingen, Germany, 2016; pp. 193–222. [Google Scholar]
- Jovanović, B. Istorijat kermaičke produkcije u neolitu i eneolitu centralnog Balkana. In Neolit Centralnog Balkana; Trifunović, L., Ed.; Narodni muzej Beograd: Beograd, Serbia, 1968; pp. 107–175. [Google Scholar]
- Hervella, M.; Rotea, M.; Izagirre, N.; Constantinescu, M.; Alonso, S.; Ioana, M.; Lazăr, C.; Ridiche, F.; Soficaru, A.; Netea, M.; et al. Ancient DNA from South-East Europe Reveals Different Events during Early and Middle Neolithic Influencing the European Genetic Heritage. PLoS ONE 2015, 10, e0128810. [Google Scholar] [CrossRef]
- Whittle, A.; Bayliss, A.; Barclay, A.; Gaydarska, B.; Bánffy, E.; Borić, D.; Draşovean, F.; Jakucs, J.; Marić, M.; Orton, D.; et al. A Vinča potscape: Formal chronological models for the use and development of Vinča ceramics in south-east Europe. Doc. Praehist. 2016, 43, 1–60. [Google Scholar] [CrossRef]
- Depaermentier, M.; Osztás, A.; Bánffy, E.; Alt, K.W.; Kempf, M. Neolithic land-use, subsistence, and mobility patterns in Transdanubia: A multiproxy isotope and environmental analysis from Alsónyék—Bátaszék and Mórágy—Tűzkődomb. J. Archaeol. Sci. Rep. 2020, 33, 102529. [Google Scholar] [CrossRef]
- Chapman, J. The Vinča Culture of South-East Europe: Studies in Chronology, Economy and Society; BAR International Series 117(ii); Archaeopress: Oxford, UK, 1981. [Google Scholar]
- Borić, D. Absolute dating of metallurgical innovations in the Vinča culture of the Balkans. In Metals and Societies: Studies in Honour of Barbara S. Ottaway; Kienlin, T.L., Roberts, B.W., Eds.; Habelt: Bonn, Germany, 2009; pp. 191–245. [Google Scholar]
- Borić, D. The End of the Vinča World: Modelling the Neolithic to Copper Age Transition and the Notion of Archaeological Culture. In Neolithic and Copper Age between the Carpathians and the Aegean Sea. Chronologies and Technologies from the 6th to 4th Millennium BC; Hansen, S., Raczky, P., Anders, A., Reingruber, A., Eds.; Dr. Rudolf Habelt GmbH: Bonn, Germany, 2015; Archäologie in Eurasien 31; pp. 157–217. [Google Scholar]
- Tasić, N.; Marić, M.; Penezić, K.; Filipović, D.; Borojević, K.; Russell, N.; Reimer, P.; Barclay, A.; Bayliss, A.; Borić, D.; et al. The end of the affair: Formal chronological modelling for the top of the Neolithic tell of Vinča- Belo Brdo. Antiquity 2015, 89, 1064–1082. [Google Scholar] [CrossRef]
- Marić, M. Zaštitna arheološka istraživanja na lokalitetu Jaričište 1. In Rezultati Arheoloških Istraživanja u Severozapadnoj Srbiji i Susednim Teritorijama; Filipović, V., Arsić, R., Antonović, D., Eds.; Srpsko Arheološko Društvo, Beograd/Zavod za Zaštitu Spomenika Kulture: Valjevo, Serbia, 2013; pp. 17–31. [Google Scholar]
- Tasić, N.; Marić, M.; Filipović, D.; Penezić, K.; Dunbar, E.; Reimer, P.; Barclay, A.; Bayliss, A.; Gaydarska, B.; Whittle, A. Interwoven strands for refining the chronology of the Neolithic tell of Vinča-Belo Brdo, Serbia. Radiocarbon 2016, 58, 795–831. [Google Scholar] [CrossRef]
- Perić, S.; Bajčev, O.; Stojanović, I.; Obradović, Đ. Neolithic settlement at Drenovac, Serbia: Settlement history and spatial organization. In Making Spaces into Places. The North Aegean, the Balkans and Western Anatolia in the Neolithic; Urem-Kotsou, D., Tasić, N., Burić, M., Eds.; Archaeopress, BAR: Oxford, UK, 2020; pp. 181–189. [Google Scholar]
- Marić, M.; Radivojević, M.; Roberts, B.W.; Orton, D.C. Relative and absolute chronology of Belovode and Pločnik. In The Rise of Metallurgy in Eurasia: Evolution, Organisation and Consumption of Early Metal in the Balkans; Radivojević, M., Roberts, B.W., Marić, M., Kuzmanović-Cvetković, J., Rehren, T., Eds.; Archaeopress: Oxford, UK, 2021; pp. 439–454. [Google Scholar]
- Obelić, B.; Škrivanko, M.K.; Marijan, B.; Bronić, I.K. Radiocarbon dating of Sopot culture sites (Late Neolithic) in eastern Croatia. Radiocarbon 2004, 46, 245–258. [Google Scholar] [CrossRef]
- Dimitrijević, S. Sjeverna zona. In Praistorija Jugoslavenskih Zemalja II: Neolitsko Doba; Benac, A., Ed.; Akademija nauka i umjetnosti Bosne i Hercegovine: Sarajevo, Bosnia and Herzegovina, 1979; pp. 229–360. [Google Scholar]
- Jakucs, J.; Bánffy, E.; Oross, K.; Voicsek, V.; Bronk Ramsey, C.; Dunbar, E.; Kromer, B.; Bayliss, A.; Hofmann, D.; Marshall, P.; et al. Between the Vinča and Linearbandkeramik Worlds: The Diversity of Practices and Identities in the 54th–53rd Centuries cal BC in Southwest Hungary and Beyond. J. World Prehist. 2016, 29, 267–336. [Google Scholar] [CrossRef]
- Perić, S. Butmirska Kultura: Geneza i Razvoj; Arheološki Institut: Beograd, Serbia, 1995. [Google Scholar]
- Brigić, D. Višeslojno Naselje Gornja Tuzla U Hronologiji Neolita Sjeveroistočne Bosne. Ph.D. Thesis, University of Zagreb, Zagreb, Croatia, 2020. [Google Scholar]
- Benac, A. Prelazna zona. In Praistorija Jugoslavenskih Zemalja II: Neolitsko Doba; Benac, A., Ed.; Akademija nauke i umjetnosti Bosne i Hercegovine: Sarajevo, Bosnia and Herzegovina, 1979; pp. 363–472. [Google Scholar]
- Hofmann, R. Style and function of pottery in relation to the development of Late Neolithic settlement patterns in Central Bosnia. In Tells: Social and Environmental Space. Proceedings of the International Workshop “Socio-Environmental Dynamics over the Last 12,000 Years: The Creation of Landscapes II (14th–18th March 2011)” in Kiel; Hofmann, R., Moetz, F., Müller, J., Eds.; Dr. Rudolf Habelt GmbH: Bonn, Germany, 2012; Volume 3, pp. 181–202. [Google Scholar]
- Walker, M.; Berkelhammer, M.; Björck, S.; Cwynar, L.; Fisher, D.; Long, A.; Lowe, J.; Newnham, R.; Rasmussen, S.; Weiss, H. Formal subdivision of the Holocene Series/Epoch: A Discussion Paper by a Working Group of INTIMATE (Integration of ice-core, marine and terrestrial records) and the Subcommission on Quaternary Stratigraphy (International Commission on Stratigraphy). J. Quat. Sci. 2012, 27, 649–659. [Google Scholar] [CrossRef]
- Willis, K.J. The vegetational history of the Balkans. Quat. Sci. Rev. 1994, 13, 769–788. [Google Scholar] [CrossRef]
- Magyari, E.K.; Chapman, J.; Fairbairn, A.S.; Francis, M.; de Guzman, M. Neolithic human impact on the landscapes of North-East Hungary inferred from pollen and settlement records. Veg. Hist. Archaeobot. 2012, 21, 279–302. [Google Scholar] [CrossRef]
- Gigov, A. Analiza polena. In Lepenski Vir; Srejović, D., Ed.; Srpska Književna Zadruga: Beograd, Serbia, 1969; pp. 203–206. [Google Scholar]
- Grüger, E.; Beug, H.-J. Botanical investigations at Divostin and Grivac. In Divostin and the Neolithic of Central Serbia; McPherron, A., Srejović, D., Eds.; University of Pittsburgh: Pittsburgh, PA, USA, 1988; pp. 415–418. [Google Scholar]
- Filipović, D.; Challinor, D.; Andrič, M. Vinča tell in southeast Europe: Multi-proxy palaeobotanical evidence from Late Neolithic levels and the implications for the environment and economy. Quat. Int. 2017, 429, 13–23. [Google Scholar] [CrossRef]
- Davis, B.A.; Brewer, S.; Stevenson, A.; Guiot, J. The temperature of Europe during the Holocene reconstructed from pollen data. Quat. Sci. Rev. 2003, 22, 1701–1716. [Google Scholar] [CrossRef]
- Cvijić, J. Balkansko Poluostrvo i Južnoslovenske Zemlje: Osnovi Antropogeografije; Knjižarnica Gece Kona: Beograd, Serbia, 1922; Volume 1. [Google Scholar]
- Eastwood, W.J. East Mediterranean vegetation and climate change. In Balkan Biodiversity: Pattern and Process in the European Hotspot; Griffiths, H.I., Kryštufek, B., Reed, J.M., Eds.; Kluwer Academic Publishers: Dordrecht, The Netherlands; Boston, MA, USA; London, UK, 2004; pp. 25–48. [Google Scholar]
- Milovanović, B.; Ducić, V.; Radovanović, M.; Milivojević, M. Climate regionalisation of Serbia according to Köppen climate classification. J. Geogr. Inst. Jovan Cvijić 2017, 67, 103–114. [Google Scholar] [CrossRef]
- Stošić, M.; Lazarević, D. Country Pasture/Forage Resource Profiles: Republic of Serbia; FAO Country Pasture Profile Database: Rome, Italy, 2009. [Google Scholar]
- Ćorić, R.; Bogunović, M.; Husnjak, S.; Vego, D.; Ivanković, S.; Pehar, J.; Pavličević, J.; Šaravanja, P.; Sefo, E.; Lasić, V.; et al. Višenamjensko Vrednovanje Zemljišta u Federaciji Bosne i Hercegovine. Agronomski i Prehrambeno-Tehnološki; Fakultet Sveučilišta u Mostaru: Mostar, Bosna and Hercegovina, 2013. [Google Scholar]
- Pavlović, P.; Kostić, N.; Karadžić, B.; Mitrović, M. The Soils of Serbia; Springer Nature: Berlin/Heidelberg, Germany, 2017. [Google Scholar] [CrossRef]
- Janković, M.M. Biljni pokrivač SR Srbije—flora i vegetacija. In Enciklopedija Jugoslavije 7; Izdanje i naklada jugoslavenskog leksikografskog zavoda: Zagreb, Croatia, 1968; pp. 654–659. [Google Scholar]
- Stojanović, S.; Butorac, B.; Vučković, M. Pregled barske i močvarne vegetacije Vojvodine. Glasnik Instituta za botaniku i Botaničke bašte Univerziteta u Beogradu 1987, 21, 41–47. [Google Scholar]
- Butorac, B.; Igić, R.; Anačkov, G.; Zlatković, B.; Vukov, D.; Boža, P. Orno-Cotino-Quercetum pubescentis Ass. Nova Prov. on the slopes of Titel hill (Serbia). Arch. Biol. Sci. 2008, 60, 83–92. [Google Scholar] [CrossRef]
- de Vareilles, A. Deeply Set Roots: An Archaeobotanical Perspective on the Origins of Crop Husbandry in the Western Balkans. Doctoral Thesis, University College London, London, UK, 2018. [Google Scholar]
- Garašanin, M. Nosa—Biserna obala, praistorijsko naselje. Starinar 1960, 11, 228–229. [Google Scholar]
- Gyulai, F. Archaeobotany in Hungary. Seed, Fruit, Food and Beverage Remains in the Carpathian Basin from the Neolithic to the Late Middle Ages; Archaeolingua: Budapest, Hungary, 2010. [Google Scholar]
- Gyulai, F. The archaeobotanical characterization of the Körös culture. In The Körös culture in Eastern Hungary; Anders, A., Siklósi, Z., Eds.; BAR International Series 2334; Archaeopress: Oxford, UK, 2012; pp. 223–230. [Google Scholar]
- Motuzaite-Matuzeviciute, G.; Staff, R.; Hunt, H.; Liu, X.; Jones, M.K. The early chronology of broomcorn millet (Panicum miliaceum) in Europe. Antiquity 2013, 87, 1073–1075. [Google Scholar] [CrossRef]
- Filipović, D.; Meadows, J.; Dal Corso, M.; Kirleis, W.; Alsleben, A.; Akeret, Ö.; Bittmann, F.; Bosi, G.; Ciută, B.; Dreslerová, D.; et al. New AMS 14C dates track the arrival and spread of broomcorn millet cultivation and agricultural change in prehistoric Europe. Sci. Rep. 2020, 10, 13698. [Google Scholar] [CrossRef] [PubMed]
- R Core Team. R: A Language and Environment for Statistical Computing; R Foundation for Statistical Computing: Vienna, Austria, 2020; Available online: https://www.R-project.org/ (accessed on 22 June 2021).
- Wickham, H.; Averick, M.; Bryan, J.; Chang, W.; D’Agostino McGowan, L.; François, R.; Grolemund, G.; Hayes, A.; Henry, L.; Hester, J.; et al. Welcome to the tidyverse. J. Open Source Soft. 2019, 4, 1686. [Google Scholar] [CrossRef]
- Oksanen, J.; Blanchet, F.G.; Friendly, M.; Kindt, R.; Legendre, P.; McGlinn, D.; Minchin, P.R.; O’Hara, R.B.; Simpson, G.L.; Solymos, P.; et al. Vegan: Community Ecology Package. R package Version 2.5-6. 2019. Available online: https://CRAN.R-project.org/package=vegan (accessed on 22 June 2021).
- Nenadić, O.; Greenacre, M. Correspondence Analysis in R, with two- and three-dimensional graphics: The ca package. J. Stat. Soft. 2007, 20, 1–13. [Google Scholar] [CrossRef]
- Kassambara, A.; Mundt, F. Factoextra: Extract and Visualize the Results of Multivariate Data Analyses. R Package Version 1.0.7. 2020. Available online: https://CRAN.R-project.org/package=factoextra (accessed on 22 June 2021).
- Wickham, H. ggplot2: Elegant Graphics for Data Analysis; Springer: New York, NY, USA, 2016. [Google Scholar]
- Kassambara, A. ggpubr: ‘ggplot2’ Based Publication Ready Plots. R Package Version 0.4.0. 2020. Available online: https://CRAN.R-project.org/package=ggpubr (accessed on 22 June 2021).
- Slowikowski, K. ggrepel: Automatically Position Non-Overlapping Text Labels with ‘ggplot2’. R Package Version 0.8.2. 2020. Available online: https://CRAN.R-project.org/package=ggrepel (accessed on 22 June 2021).
- Wasserstein, R.L.; Lazar, N.A. The ASA Statement on p-Values: Context, Process, and Purpose. Am. Stat. 2016, 70, 129–133. [Google Scholar] [CrossRef]
- Valamoti, S.M.; Kotsakis, K. Transitions to agriculture in the Aegean: The archaeobotanical evidence. In The origins and Spread of Domestic Plants in Southwest Asia and Europe; Colledge, S., Conolly, J., Eds.; Left Coast Press: Walnut Creek, CA, USA; University College London: London, UK, 2007; pp. 75–91. [Google Scholar]
- Stojanova-Kanzurova, E.; Rujak, Z. Food procurement, storage and preparation during the Neolithic in the Republic of Macedonia. In Bioarheologija na Balkanu 2: Metodološke, Komparativne i Rekonstruktivne Studije Života u Prošlosti; Miladinović-Radmilović, N., Vitezović, S., Eds.; Srpsko Arheološko Društvo: Beograd, Serbia, 2016; pp. 69–79. [Google Scholar]
- Allen, S.E. Cultivating identities: Landscape production among early farmers in the Southern Balkans. In Balkan Dialogues. Negotiating Identity between Prehistory and the Present; Gori, M., Ivanova, M., Eds.; Routledge: London, UK; New York, NY, USA, 2017; pp. 213–239. [Google Scholar]
- Antolin, F.; Sabanov, A.; Naumov, G.; Soteras, R. Crop choice, gathered plants and household activities at the beginnings of farming in the Pelagonia Valley of North Macedonia. Antiquity 2020, 94, e21. [Google Scholar] [CrossRef]
- Marinova, E. Archaeobotanical data from the early Neolithic of Bulgaria. In The Origins and Spread of Domestic Plants in Southwest Asia and Europe; Colledge, S., Conolly, J., Eds.; Left Coast Press: Walnut Creek, CA, USA; University College London: London, UK, 2007; pp. 93–109. [Google Scholar]
- Botić, K. Neolithisation of Sava-Drava-Danube interfluve at the end of the 6600–6000 BC period of Rapid Climate Change: A new solution to an old problem. Doc. Praehist. 2016, 43, 183–207. [Google Scholar] [CrossRef][Green Version]
- Sekelj-Ivančan, T.; Balen, J. Prapovijesno naselje Virovitica—Brekinja. Ann. Inst. Archaeol. 2006, 2, 67–72. [Google Scholar]
- Reed, K.; Colledge, S. Plant economies in the Neolithic eastern Adriatic: Archaeobotanical results from Danilo and Pokrovnik. J. Dalmatian Archaeol. Hist. 2016, 109, 9–23. Available online: http://hrcak.srce.hr/255259 (accessed on 23 October 2021).
- Domboróczki, L. Report on the excavation at Tiszaszőlős–Domaháza-puszta and a new model for the spread of the Körös Culture. In Neolithization of the Carpathian Basin: Northernmost Distribution of the Starčevo/Körös Culture; Kozłowski, J.K., Raczky, P., Eds.; Polska Akademia Umiejętności: Kraków, Poland; Institute of Archaeological Sciences of the Eötvös Loránd University: Budapest, Hungary, 2010; pp. 137–176. [Google Scholar]
- Gyulai, F. Archaeobotanical research at the Körös culture site Ibrány-Nagyerdő and its relationship to plant remains from contemporaneous sites in Hungary. In Neolithization of the Carpathian Basin: Northernmost distribution of the Starčevo/Körös Culture; Kozłowski, K.J., Raczky, P., Eds.; Polska Akademia Umiejętności: Kraków, Poland; Institute of Archaeological Sciences of the Eötvös Loránd University: Budapest, Hungary, 2010; pp. 219–237. [Google Scholar]
- Salavert, A.; Martin, L.; Antolín, F.; Zazzo, A. The opium poppy in Europe: Exploring its origin and dispersal during the Neolithic. Antiquity 2018, 92, E1. [Google Scholar] [CrossRef]
- Tzedakis, P.C. The Balkans as prime glacial refugial territory of European temperate trees, In Balkan Biodiversity. Pattern and Process in the European Hotspot; Griffiths, H., Kryštufek, B., Reed, J.M., Eds.; Kluwer Academic Publishers: Dordrecht, The Netherlands; Boston, MA, USA; London, UK, 2004; pp. 49–68. [Google Scholar]
- McClatchie, M.; Bogaard, A.; Colledge, S.; Whitehouse, N.; Schulting, R.; Barratt, P.; McLaughlin, T. Neolithic farming in north-western Europe: Archaeobotanical evidence from Ireland. J. Archaeol. Sci. 2014, 51, 206–215. [Google Scholar] [CrossRef]
- Drost, C.; Vander Linden, M. Toy story: Homophily, transmission and the use of simple models for assessing variability in the archaeological record. J. Archaeol. Method Theory 2018, 25, 1087–1108. [Google Scholar] [CrossRef]
- Bocinsky, R. Exploration and exploitation in the macrohistory of the pre-Hispanic Peublo southwest. Sci. Adv. 2016, 2, e1501532. [Google Scholar] [CrossRef]
- Guilaine, J. La diffusion de l’agriculture en Europe: Une hypothèse arythmique. Zephyrus 2001, 54, 267–272. [Google Scholar]
- Chapman, J. Meet the ancestors: Settlement histories in the Neolithic. In Living Well Together? Settlement and Materiality in the Neolithic of South-East and Central Europe; Bailey, D., Whittle, A., Hofmann, D., Eds.; Oxbow Books: Oxford, UK, 2008; pp. 68–80. [Google Scholar]
- Greenfield, H.; Jongsma Greenfield, T.; Jezik, S. Subsistence and settlement in the Early Neolithic of temperate SE Europe: A view from Blagotin, Serbia. Archaeol. Bulg. 2014, 18, 1–33. [Google Scholar]
- Bogdanović, M. Architecture and Structural Features at Divostin. In Divostin and the Neolithic of Central Serbia; McPherron, A., Srejović, D., Eds.; Narodni Muzej: Kragujevac, Serbia; University of Pittsburgh: Pittsburgh, PA, USA, 1988; pp. 35–142. [Google Scholar]
- Minichreiter, K. Slavonski Brod Galovo: Deset Godina Arheoloških Istraživanja; Institute of Archaeology: Zagreb, Croatia, 2007. [Google Scholar]
- Filipović, D.; Obradović, Đ. Archaeobotany at Neolithic sites in Serbia: A critical overview of the methods and results. In Developments and Trends in Bioarchaeological Research in the Balkans. Bioarchaeology 1; Vitezović, S., Miladinović, N., Eds.; Srpsko Arheološko Društvo: Belgrade, Serbia, 2013; pp. 25–55. [Google Scholar]
- Filipović, D. Southwest Asian founder- and other crops at Neolithic sites in Serbia. Bulg. E-J. Archaeol. 2014, 4, 195–216. [Google Scholar]
- Renfrew, J. Report on the carbonised cereal grains and seeds from Obre I, Kakanj and Obre II. Wiss. Mitt. Bosnisch-Herzegowinischen Landesmus. 1974, 4, 47–53. [Google Scholar]
- Borojević, K. Terra and Silva in the Pannonian Plain; BAR International Series 1563; Archaeopress: Oxford, UK, 2006. [Google Scholar]
- Jones, G.; Halstead, P. Maslins, mixtures and monocrops: On the interpretation of archaeobotanical crop samples of heterogeneous composition. J. Archaeol. Sci. 1995, 22, 103–114. [Google Scholar] [CrossRef]
- Zapata, L.; Peña-Chocarro, L.; Pérez-Jordá, G.; Stika, H.-P. Early Neolithic agriculture in the Iberian peninsula. J. World Prehist. 2004, 18, 283–325. [Google Scholar] [CrossRef]
- Bogaard, A. Neolithic Farming in Central Europe: An Archaeobotanical Study of Crop Husbandry Practices; Routledge: London, UK; New York, NY, USA, 2004. [Google Scholar]
- Bogaard, A. Plant Use and Crop Husbandry in an Early Neolithic Village: Vaihingen an der Enz, Baden-Württemberg; Dr. Rudolf Habelt GmbH: Bonn, Germany, 2011. [Google Scholar]
- Märkle, T.; Rösch, M. Experiments on the effects of carbonization on some cultivated plant seeds. Veg. Hist. Archaeobot. 2008, 17, S257–S263. [Google Scholar] [CrossRef]
- Hajnalova, M. Early farming in Slovakia: An archaeobotanical perspective. In The Origins and Spread of Domestic Plants in Southwest Asia and Europe; Colledge, S., Conolly, J., Eds.; Left Coast Press: Walnut Creek, CA, USA; University College London: London, UK, 2007; pp. 295–314. [Google Scholar]
- Sümegi, P. Palaeogeographical background of the Mesolithic and Early Neolithic settlement in the Carpathian Basin. In Mesolithic/Neolithic Interactions in the Balkans and in the Middle Danube Basin; Kozłowski, J., Nowak, M., Eds.; BAR International Series 1726; Archaeopress: Oxford, UK, 2007; pp. 47–52. [Google Scholar]
- Stevens, C.J.; Fuller, D.Q. Alternative strategies to agriculture: The evidence for climatic shocks and cereal declines during the British Neolithic and Bronze Age (a reply to Bishop). World Archaeol. 2015, 47, 856–875. [Google Scholar] [CrossRef]
- Colledge, S.; Conolly, J.; Crema, E.; Shennan, S. Neolithic population crash in northwest Europe associated with agricultural crisis. Quat. Res. 2019, 92, 686–707. [Google Scholar] [CrossRef]
- Borojević, K. Analize Paleobotaničkih Makroostataka sa Arheoloških Lokaliteta u Srbiji. Master’s Thesis, University of Belgrade, Belgrade, Serbia, 1990. [Google Scholar]
- Filipović, D. Archaeobotanical evidence of plant use at the site of Belovode. In The Rise of Metallurgy in Eurasia: Evolution, Organisation and Consumption of Early Metal in the Balkans; Radivojević, M., Roberts, B.W., Marić, M., Kuzmanović-Cvetković, J., Rehren, T., Eds.; Archaeopress: Oxford, UK, 2021; pp. 236–248. [Google Scholar]
- Jezik, S. The Origins of Agriculture in Temperate Europe: An Exploration into the Subsistence Strategies of Two Early Neolithic Groups in the Central Balkans, Foeni—Salaş and Blagotin. Master Thesis, University of Manitoba, Winnipeg, MB, Canada, 1998. [Google Scholar]
- Medović, A.; Hofmann, R.; Wilkes, F.; Dreibrodt, S.; Stanković-Pešterac, T.; Medović, I.; Martini, S.; Furholt, M. Feathergrass in the vase and Sanduri wheat in the field—Environment and land use in the Bordjoš microregion after the botanical record. In Proceedings of the International Open Workshop ‘Socio-Environmental Dynamics over the Last 15,000 Years: The Creation of Landscapes VI’, Kiel, Germany, 11–16 March 2019; Fuchs, K., Heyn, A.-L., Kipke, N., Plath, R., Schüle, J., Eds.; Programme and abstracts. Kiel University: Kiel, Germany, 2019; p. 99. [Google Scholar]
- Filipović, D. A Glimpse of Eneolithic Plant Economy at the Site of Bubanj in Serbia. In Bubanj, the Eneolithic and the Early Bronze Age Tell in Southeastern Serbia; Bulatović, A., Milanović, D., Eds.; OREA: Vienna, Austria, 2020; Mitteilungen der Prähistorischen Kommission 90; pp. 337–368. [Google Scholar]
- Renfrew, J. The first farmers in South East Europe. In Festschrift Maria Hopf zum 65. Geburtstag am 14. September 1979; Körber-Grohne, U., Ed.; Rheinland-Verlag: Köln, Germany, 1979; Archaeo-Physika 8; pp. 243–265. [Google Scholar]
- Kroll, H. Die Wirtschaft des Umfelds von Okolište: Zagrebnice, Kundruci and Donje Moštre. In Okolište 1—Untersuchungen Einer Spätneolithischen Siedlungskammer in Zentralbosnien. Neolithikum und Chalkolithikum in Zentralbosnien 1; Müller, J., Rassmann, K., Hofmann, R., Eds.; Dr. Rudolf Habelt GmbH: Bonn, Germany, 2013; pp. 231–238. [Google Scholar]
- Obradović, Đ. Arheobotanička Istraživanja u Kasnom Neolitu Pomoravlja: Društveno-Ekonomski Aspekti Proizvodnje i Pripreme Hrane. Doctoral Thesis, University of Belgrade, Belgrade, Serbia, 2020. [Google Scholar]
- Bogaard, A.; Bending, J.; Jones, G. Archaeobotanical evidence for plant husbandry and use. In The Early Neolithic on the Great Hungarian Plain. Investigations of the Körös Culture Site of Ecsegfalva, County Békés; Whittle, A., Ed.; Institute of Archaeology, Hungarian Academy of Sciences: Budapest, Hungary, 2007; Volume II, pp. 421–445. [Google Scholar]
- van Zeist, W. Plant Husbandry and Vegetation of Tell Gomolava, Vojvodina, Yugoslavia. Palaeohistoria 2002, 43, 87–115. [Google Scholar]
- Hopf, M. Untersuchungsbericht über die botanischen Reste aus der neolithischen Ansiedlung in Gornja Tuzla. Glas. Zemalj. Muz. Bosne i Hercegovine 1967, 21–22, 169–171. [Google Scholar]
- Hopf, M. Pflanzenreste aus Siedlungen der Vinča—Kultur in Jugoslawien. Jahrb. Römisch-Ger. Zent. Mainz 1974, 21, 1–11. [Google Scholar]
- Reed, K. Farmers in Transition. The Archaeobotanical Analysis of the Carpathian Basin from the Late Neolithic to the Late Bronze Age (5000-900 BC). Doctoral Thesis, University of Leicester, Leicester, UK, 2012. [Google Scholar]
- Reed, K. From the field to the hearth: Plant remains from Neolithic Croatia (ca. 6000–4000 cal BC). Veg. Hist. Archaeobot. 2015, 24, 601–619. [Google Scholar] [CrossRef]
- Kroll, H. Plant Remains from the Middle/Late Neolithic site of Jagnilo, Central Bosnia i Herzegovina. unpublished report.
- Borojević, K.; Sheridan, V. Archaeobotanical Report for Excavations at Kolubara, Serbia. unpublished report.
- Hopf, M. Neolitische Getreidefunde aus Bosnien und der Hercegovina. Glasnik Zemaljskog Muzeja u Sarajevu 1958, 13, 97–103. [Google Scholar]
- Kroll, H. Bericht uber die Pflanzenfunde aus Okolište Haus 38. In Okolište 1—Untersuchungen einer Spätneolithischen Siedlungskammer in Zentralbosnien. Neolithikum und Chalkolithikum in Zentralbosnien 1; Müller, J., Rassmann, K., Hofmann, R., Eds.; Dr. Rudolf Habelt GmbH: Bonn, Germany, 2013; pp. 113–122. [Google Scholar]
- Filipović, D. Plant use at Pločnik. In The Rise of Metallurgy in Eurasia: Evolution, Organisation and Consumption of Early Metal in the Balkans; Radivojević, M., Roberts, B.W., Marić, M., Kuzmanović-Cvetković, J., Rehren, T., Eds.; Archaeopress: Oxford, UK, 2021; pp. 408–421. [Google Scholar]
- McLaren, F.S.; Hubbard, R.N. The Archaeobotanical Remains. In Selevac, A Neolithic Village in Yugoslavia; Tringham, R., Krstić, D., Eds.; UCLA Institute of Archaeology Press: Los Angeles, CA, USA, 1990; Monumenta Archaeologica 15; pp. 247–254. [Google Scholar]
- Medović, A. Najbolje iz preistorijske Vojvodine: Starčevačka jednozrna pšenica, „kasna“, i južnobanatski proso, „rani“. Fosilni biljni ostaci sa lokaliteta Starčevo—Grad. Rad Muz. Vojv. 2011, 53, 143–149. [Google Scholar]
- Horejs, B.; Bulatović, A.; Bulatović, J.; Burke, C.; Brandl, M.; Filipović, D.; Milić, B. New insights into the Neolithisation process of the central Balkans. First excavations at Svinjarička Čuka 2018. Archaeol. Austriaca 2019, 103, 175–226. [Google Scholar] [CrossRef]
- Filipović, D.; Marić, M.; Challinor, D.; Bulatović, J.; Tasić, N. Natural environment and resources, and the long life of the Neolithic settlement at Vinča, southeast Europe. Archaeol. Anthropol. Sci. 2019, 11, 1939–1960. [Google Scholar] [CrossRef]
Publisher’s Note: MDPI stays neutral with regard to jurisdictional claims in published maps and institutional affiliations. |
© 2022 by the authors. Licensee MDPI, Basel, Switzerland. This article is an open access article distributed under the terms and conditions of the Creative Commons Attribution (CC BY) license (https://creativecommons.org/licenses/by/4.0/).











