Along the Rivers and into the Plain: Early Crop Diversity in the Central and Western Balkans and Its Relationship with Environmental and Cultural Variables
Abstract
1. Introduction
1.1. Previous Research Linking Climate/Environment, Culture and Early Crop Diversity in the Balkans and Beyond
1.2. Neolithic Culture History
1.3. Environment
2. Materials and Methods
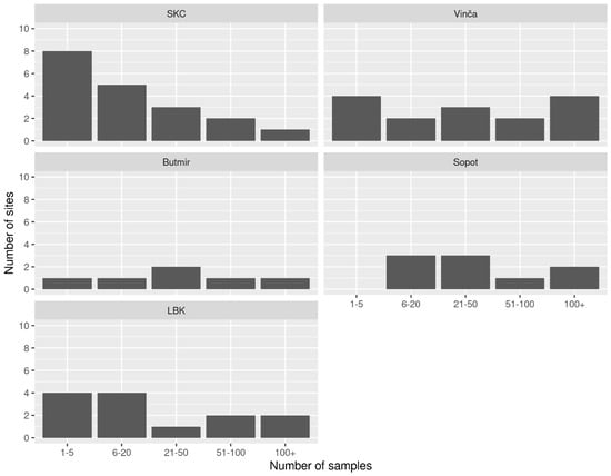
2.1. Archaeological Sites
2.2. Archaeobotanical Dataset
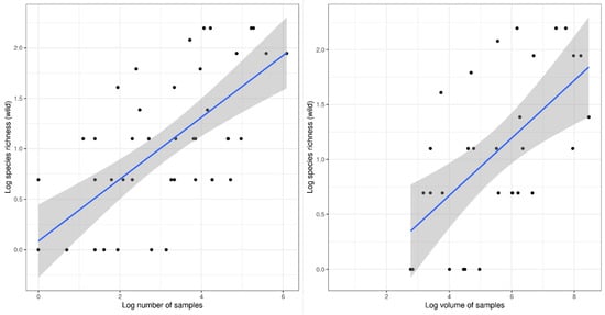
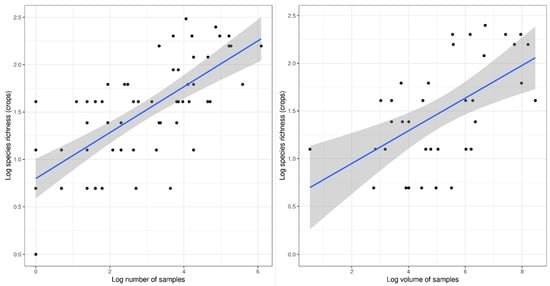
2.3. Statistical Analyses
- -
- Number of samples (NoS) and total volume of samples per site (VoS) as an expression of the sampling intensity, which can potentially influence the number and range of plant species registered;
- -
- Number of different species registered at each site, reflecting the richness of a site’s assemblage, and referred here to species richness;
- -
- The range (spectrum) of species represented at each site and their relative abundance within an analysed group, showing the diversity of the assemblage, measured here using Simpson’s diversity index (D) calculated using the vegan package [87]. The reverse function (1-D) is presented, with values between 0 (no diversity) and 1 (infinite diversity).
3. Results
Correspondence Analyses
4. Discussion and Conclusions
4.1. Early Neolithic (SKC, c. 6500–5500 BC)
4.2. Late Neolithic in CWB (c. 5400–4500 BC)
4.3. LBK in Hungary (c. 5500–4700 BC)
Supplementary Materials
Author Contributions
Funding
Data Availability Statement
Acknowledgments
Conflicts of Interest
Appendix A
| Site ID | Country | Lat | Long | Bioregion | Site | Culture | N° Samples | Vol Samples (L.) | Archaeo-Botany Ref. |
|---|---|---|---|---|---|---|---|---|---|
| 1 | Hungary | 46.21 | 18.71 | Pannonian | Alsónyék-Bátaszék (HU 2) | LBK | 15 | 248 | [25,26] |
| 2 | Hungary | 46.21 | 18.70 | Pannonian | Alsónyék-Bátaszék (HU 3) | SKC | 4 | 119.5 | [25,26] |
| 3 | Hungary | 46.21 | 18.70 | Pannonian | Alsónyék-Bátaszék (HU 6) | SKC | 2 | 16 | [25,26] |
| 4 | Serbia | 45.14 | 21.28 | Pannonian | At | SKC | 10 | 100 | [79] |
| 5 | Hungary | 46.66 | 17.31 | Pannonian | Balatonszentgyörgy | LBK | [81] | ||
| 6 | Hungary | 46.27 | 21.05 | Pannonian | Battonya-Basarága | SKC | 1 | [81] | |
| 7 | Hungary | 46.48 | 16.84 | Pannonian | Becsehely-Újmajori tábla | Sopot | [81] | ||
| 8 | Serbia | 44.58 | 19.72 | Continental | Belotić | SKC | [127] | ||
| 9 | Serbia | 44.31 | 21.40 | Continental | Belovode | SKC | 7 | 42 | [128] |
| 10 | Serbia | 44.31 | 21.40 | Continental | Belovode | Vinča | 41 | 257 | [128] |
| 11 | Hungary | 47.60 | 21.90 | Pannonian | Berettyóújfalu-Nagy | SKC | 12 | [103] | |
| 12 | Hungary | 47.50 | 18.65 | Pannonian | Bicske-Galagonyás | LBK | [81] | ||
| 13 | Serbia | 43.72 | 21.10 | Continental | Blagotin | SKC | [129] | ||
| 14 | Serbia | 45.60 | 20.13 | Pannonian | Bordjoš | Vinča | [130] | ||
| 15 | Serbia | 43.29 | 21.84 | Continental | Bubanj | SKC | 5 | 50 | [131] |
| 16 | BiH | 43.82 | 18.31 | Continental (Alpine) | Butmir | Butmir | [132] | ||
| 17 | Serbia | 44.03 | 20.83 | Continental | Divostin II | Vinča | [67] | ||
| 18 | Hungary | 46.40 | 18.17 | Pannonian | Dombóvár-Gunaras | LBK | [81] | ||
| 19 | BiH | 44.03 | 18.17 | Continental (Alpine) | Donje Moštre | Butmir | 47 | [133] | |
| 20 | Serbia | 43.78 | 21.44 | Continental | Drenovac | SKC | 63 | 524.3 | [134] |
| 21 | Serbia | 43.78 | 21.44 | Continental | Drenovac | Vinča | 440 | 3672.5 | [134] |
| 22 | Hungary | 47.15 | 20.92 | Pannonian | Ecsegfalva | SKC | 4756.7 | [135] | |
| 23 | Hungary | 46.40 | 18.94 | Pannonian | Fajsz (HU 1) | Sopot | 45 | 574.5 | [25,26] |
| 24 | Hungary | 46.40 | 18.94 | Pannonian | Fajsz (HU 1) | LBK | 5 | 86.5 | [25,26] |
| 25 | Hungary | 46.71 | 17.24 | Pannonian | Fenékpuszta-Vámház | LBK | [81] | ||
| 26 | Hungary | 47.75 | 20.40 | Pannonian | Füzesabony-Gubakút | LBK | 38 | [81] | |
| 27 | Serbia | 44.89 | 19.75 | Pannonian | Gomolava | Vinča | 41 | [136] | |
| 28 | BiH | 44.56 | 18.76 | Continental | Gornja Tuzla | Vinča | [137,138] | ||
| 29 | Croatia | 45.19 | 19.26 | Pannonian | Gradac-Bapska | Sopot | 8 | 495 | [79] |
| 30 | Hungary | 46.93 | 20.80 | Pannonian | Gyomaendrőd | SKC | [81] | ||
| 31 | Croatia | 45.55 | 18.69 | Pannonian | Hermanov Vinograd | Sopot | 129 | 812.5 | [79] |
| 32 | Hungary | 48.10 | 21.70 | Pannonian | Ibrány-Nagyerdő | SKC | 45 | [103] | |
| 33 | Croatia | 45.32 | 18.38 | Pannonian | Ivandvor-Gaj | Sopot | 14 | 154 | [139,140] |
| 34 | BiH | 43.64 | 18.97 | Continental (Alpine) | Jagnjilo | Butmir | 185 | [79,141] | |
| 35 | Serbia | 44.37 | 20.17 | Continental | Jaričište 1 | SKC | 7 | 55 | [142] |
| 36 | Serbia | 44.37 | 20.17 | Continental | Jaričište 1 | Vinča | 2 | 17 | [142] |
| 37 | BiH | 44.13 | 18.12 | Continental (Alpine) | Kakanj | SKC | 4 | [116] | |
| 38 | Hungary | 46.38 | 17.81 | Pannonian | Kaposvár-Kisapáti dűlő | LBK | [81] | ||
| 39 | Hungary | 46.65 | 17.39 | Pannonian | Kéthely-Sziget | LBK | [81] | ||
| 40 | BiH | 45.07 | 17.41 | Continental | Kočićevo | Sopot | 16 | 90.5 | [79] |
| 41 | BiH | 44.69 | 18.29 | Continental | Korića Han | Vinča | 1 | [79] | |
| 42 | BiH | 44.96 | 17.39 | Continental | Kosjerovo | Sopot | 26 | 412 | [79] |
| 43 | BiH | 44.04 | 18.07 | Continental (Alpine) | Kundruci | Butmir | 29 | [133] | |
| 44 | BiH | 45.11 | 17.37 | Continental | Laminci Jaružani | Butmir | 2 | 144 | [79] |
| 45 | BiH | 43.70 | 17.90 | Continental (Alpine) | Lisičići | Butmir | [137,143] | ||
| 46 | Hungary | 46.10 | 18.00 | Pannonian | Ludas-Varjú dűlő | LBK | 71 | [81] | |
| 47 | BiH | 43.64 | 18.99 | Continental (Alpine) | Lug (Goražde) | Butmir | [137] | ||
| 48 | Hungary | 46.46 | 17.91 | Pannonian | Magyaratád | LBK | [81] | ||
| 49 | Hungary | 46.56 | 17.37 | Pannonian | Marcali-Lókpuszta | LBK | [81] | ||
| 50 | Serbia | 43.96 | 21.18 | Continental | Medjureč | SKC | 10 | 30 | [114] |
| 51 | Serbia | 44.37 | 20.96 | Continental | Medvednjak | Vinča | 6 | [132,134] | |
| 52 | Hungary | 47.72 | 17.46 | Pannonian | Mosonszentmiklós-Pálmajor | LBK | 6 | [81] | |
| 53 | Serbia | 43.87 | 21.42 | Continental | Motel Slatina | Vinča | 2 | 1.7 | [114] |
| 54 | BiH | 44.10 | 18.14 | Continental (Alpine) | Obre I | SKC | 23 | [116] | |
| 55 | BiH | 44.10 | 18.15 | Continental (Alpine) | Obre II | Butmir | 14 | [116] | |
| 56 | BiH | 44.03 | 18.14 | Continental (Alpine) | Okolište | Butmir | 58 | [144] | |
| 57 | Serbia | 45.05 | 20.46 | Pannonian | Opovo | Vinča | 267 | 2916 | [117] |
| 58 | Hungary | 47.34 | 17.49 | Pannonian | Pápa-Vaszar | LBK | [81] | ||
| 59 | Hungary | 46.63 | 18.21 | Pannonian | Pári-Altäcker dűlő | LBK | 1 | [81] | |
| 60 | Serbia | 42.49 | 21.85 | Continental | Pavlovac-Gumnište | Vinča | 185 | 1664.5 | [134] |
| 61 | Serbia | 44.25 | 19.94 | Continental | Petnica | Vinča | [127] | ||
| 62 | Hungary | 46.43 | 16.84 | Pannonian | Petrivente | LBK | 4 | [81] | |
| 63 | Serbia | 43.21 | 21.36 | Continental | Pločnik | Vinča | 68 | 479 | [145] |
| 64 | Hungary | 47.88 | 21.08 | Pannonian | Polgár 31 | LBK | 105 | [81] | |
| 65 | Hungary | 47.88 | 21.08 | Pannonian | Polgár 31 | LBK | 61 | [81] | |
| 66 | Serbia | 45.02 | 21.25 | Pannonian | Potporanj | Vinča | 11 | 110 | [79] |
| 67 | Croatia | 45.19 | 17.64 | Pannonian | Ravnjaš-Nova Kapela | Sopot | 71 | 781 | [139,140] |
| 68 | Hungary | 46.28 | 20.08 | Pannonian | Röszke-Lúdvár | SKC | [81] | ||
| 69 | Serbia | 44.50 | 20.87 | Continental | Selevac | Vinča | 53 | [134,138,146] | |
| 70 | Croatia | 45.25 | 17.38 | Pannonian | Slavča | Sopot | 28 | 264 | [139] |
| 71 | Croatia | 45.28 | 18.80 | Pannonian | Sopot | SKC | 4 | 44 | [139,140] |
| 72 | Croatia | 45.28 | 18.80 | Pannonian | Sopot | Sopot | 144 | 2842 | [139,140] |
| 73 | Serbia | 44.82 | 20.35 | Pannonian | Starčevo-Grad | SKC | 3 | 30 | [132,147] |
| 74 | Serbia | 42.93 | 21.67 | Continental | Svinjarička Čuka | SKC | 1 | 24 | [148] |
| 75 | Hungary | 46.25 | 20.17 | Pannonian | Szeged-Gyálarét | SKC | [81] | ||
| 76 | Hungary | 46.72 | 16.40 | Pannonian | Szentgyörgyvölgy-Pityerdomb | LBK | 5 | 20.5 | [81] |
| 77 | Hungary | 46.48 | 17.41 | Pannonian | Szenyér-Mesztegnyő | LBK | [81] | ||
| 78 | Hungary | 46.79 | 17.84 | Pannonian | Szólád-Hadúti dűlő | LBK | [81] | ||
| 79 | Hungary | 47.21 | 16.58 | Pannonian | Szombathely-Aranypatak lakópark | LBK | 10 | [81] | |
| 80 | Hungary | 46.88 | 17.44 | Pannonian | Tapolca-Plébániakert | LBK | [81] | ||
| 81 | Hungary | 47.56 | 20.70 | Pannonian | Tiszaszőlős-Domaháza puszta | SKC | 111 | [81] | |
| 82 | Hungary | 47.56 | 20.70 | Pannonian | Tiszaszőlős-Domaháza puszta | SKC | 71 | [81] | |
| 83 | Hungary | 47.56 | 20.70 | Pannonian | Tiszaszőlős-Domaháza puszta | LBK | 104 | [81] | |
| 84 | Hungary | 47.97 | 21.38 | Pannonian | Tiszavasvár-Keresztfal | LBK | [81] | ||
| 85 | Croatia | 45.38 | 18.41 | Pannonian | Tomašanci-Palača | SKC | 47 | 407 | [149] |
| 86 | Hungary | 47.44 | 18.88 | Pannonian | Törökbálint Dulácska (Outlet áruház) | LBK | 16 | [81] | |
| 87 | Kosovo* | 42.95 | 20.83 | Continental | Valač | Vinča | [138] | ||
| 88 | Serbia | 44.76 | 20.62 | Continental | Vinča-Belo Brdo | Vinča | 195 | 2281.5 | [149] |
| 89 | Croatia | 45.84 | 17.35 | Pannonian | Virovitica-Brekinja | SKC | 2 | 55 | [139,140] |
| 90 | BiH | 44.08 | 18.09 | Continental (Alpine) | Zagrebnice | Butmir | 28 | [133] | |
| 91 | Hungary | 46.88 | 17.71 | Pannonian | Zánka-Vasúti bevágás | LBK | [81] |
References
- Collinson, M. Farm Management in Peasant Agriculture; Westview Press: Boulder, CO, USA, 1983. [Google Scholar]
- Kropff, M.J.; Bouma, J.; Jones, J.W. Systems approaches for the design of sustainable agro-ecosystems. Agric. Syst. 2001, 70, 369–393. [Google Scholar] [CrossRef]
- Bacon, C.; Getz, C.; Kraus, S.; Montenegro, M.; Holland, K. The Social Dimensions of Sustainability and Change in Diversified Farming Systems. Ecol. Soc. 2012, 17, 41–60. Available online: https://www.jstor.org/stable/26269238 (accessed on 23 October 2021). [CrossRef]
- Kay, R.D.; Edwards, W.M.; Duffy, P.A. Farm Management, 8th ed.; McGraw-Hill Education: New York, NY, USA, 2016. [Google Scholar]
- Rowley-Conwy, P.; Layton, R. Foraging and farming as niche construction: Stable and unstable adaptations. Phil. Trans. R. Soc. 2011, 366, 849–862. [Google Scholar] [CrossRef] [PubMed]
- Therond, O.; Duru, M.; Roger-Estrade, J.; Richard, G. A new analytical framework of farming system and agriculture model diversities. A review. Agron. Sustain. Dev. 2017, 37, 21. [Google Scholar] [CrossRef]
- McConnell, D.; Dillon, J. Farm Management for Asia: A Systems Approach; Food and Agriculture Organization of the United Nations: Rome, Italy, 1997. [Google Scholar]
- Colledge, S.; Conolly, J.; Shennan, S. The evolution of Neolithic farming from SW Asian origins to NW European limits. Eur. J. Archaeol. 2005, 8, 137–156. [Google Scholar] [CrossRef]
- Ivanova, M.; De Cupere, B.; Ethier, J.; Marinova, E. Pioneer farming in southeast Europe during the early sixth millennium BC: Climate-related adaptations in the exploitation of plants and animals. PLoS ONE 2018, 13, e0197225. [Google Scholar] [CrossRef]
- Gaastra, J.; de Vareilles, A.; Vander Linden, M. Bones and Seeds: An integrated approach to understanding the spread of farming across the western Balkans. Env. Archaeol. 2019, 27, 44–60. [Google Scholar] [CrossRef]
- Vander Linden, M.; Gaastra, J.; de Vareilles, A.; Silva, F. By sail and by land: Comparing the inland and maritime streams of neolithisation across the western Balkans. In Revolutions: The Neolithisation of the Mediterranean Basin; Rowland, J., Lucarini, G., Tassie, G., Eds.; Edition Topoi: Berlin, Germany, 2021; Berlin Studies of the Ancient World 68; pp. 101–119. [Google Scholar]
- Childe, V.G. The Danube in Prehistory; Clarendon Press: Oxford, UK, 1929. [Google Scholar]
- Clark, J.G. Prehistoric Europe: The Economic Basis; Methuen: London, UK, 1952. [Google Scholar]
- Bogucki, P. The spread of early farming in Europe. Am. Sci. 1996, 84, 242–253. Available online: https://www.jstor.org/stable/29775670 (accessed on 23 October 2021).
- Halstead, P. Like rising damp? An ecological approach to the spread of farming in south east and central Europe In The Beginnings of Agriculture; Milles, A., Williams, D., Gardner, N., Eds.; BAR International Series 496; Archaeopress: Oxford, UK, 1989; pp. 23–53. [Google Scholar]
- Krauss, R.; Marinova, E.; De Brue, H.; Weninger, B. The rapid spread of early farming from the Aegean into the Balkans via the Sub-Mediterranean-Aegean Vegetation Zone. Quat. Int. 2018, 496, 24–41. [Google Scholar] [CrossRef]
- Mauri, A.; Davis, B.A.; Collins, P.M.; Kaplan, J.O. The climate of Europe during the Holocene: A gridded pollen-based reconstruction and its multi-proxy evaluation. Quat. Sci. Rev. 2015, 112, 109–127. [Google Scholar] [CrossRef]
- Colledge, S.; Conolly, J.; Shennan, S. Archaeobotanical evidence for the spread of farming in the Eastern Mediterranean. Curr. Anthropol. 2004, 45, 35–58. [Google Scholar] [CrossRef]
- Conolly, J.; Colledge, S.; Shennan, S. Founder effect, drift, and adaptive change in domestic crop use in early Neolithic Europe. J. Archaeol. Sci. 2008, 35, 2797–2804. [Google Scholar] [CrossRef]
- Coward, F.; Shennan, S.; Colledge, S.; Conolly, J.; Collard, M. The spread of Neolithic plant economies from the Near East to northwest Europe: A phylogenetic analysis. J. Archaeol. Sci. 2008, 35, 42–56. [Google Scholar] [CrossRef]
- Maniatis, Y.; Adaktylou, F. Revenia-Korinos: One of the earliest Neolithic settlements in North Greece as evidenced by radiocarbon dating. Radiocarbon 2021, 63, 1025–1051. [Google Scholar] [CrossRef]
- Vander Linden, M.; Silva, F. Dispersals as demographic processes: Testing and describing the spread of the Neolithic in the Balkans. Philos. Trans. R. Soc. B 2020, 376, 20200231. [Google Scholar] [CrossRef]
- Orton, D.; Gaastra, J.; Vander Linden, M. Between the Danube and the Deep Blue Sea: Zooarchaeological meta-analysis reveals variability in the spread and development of Neolithic farming across the western Balkans. Open Quat. 2016, 2, 1–26. [Google Scholar] [CrossRef]
- de Vareilles, A.; Bouby, L.; Jesus, M.; Martin, L.; Rottoli, M.; Vander Linden, M.; Antolín, F. One sea but many routes to sail. The early maritime dispersal of Neolithic crops from the Aegean to the western Mediterranean. J. Archaeol. Sci. Rep. 2020, 29, 102140. [Google Scholar] [CrossRef]
- Kreuz, A.; Pomázi, P.; Bánffy, E. Hungarian Neolithic landscapes, crops and diet—Signs of cultural decisions? Quat. Int. 2020, 560–561, 102–118. [Google Scholar] [CrossRef]
- Kreuz, A.; Pomázi, P.; Osztás, A.; Oross, K.; Marton, T.; Petrasch, J.; Domboróczky, L.; Raczky, P.; Bánffy, E. Investigation of the plant macro remains from four archaeological excavations at Fajsz-Garadomb and Alsónyék-Bátaszék in the Sárköz region and their comparison with the archaeobotanical record from other Hungarian Neolithic sites. In The Environmental History of the Prehistoric Sárköz Region in Southern Hungary; Bánffy, E., Ed.; Beier and Beran: Frankfurt, Germany, 2020; Confinia et Horizontes 1; pp. 187–219. [Google Scholar] [CrossRef]
- Kreuz, A.; Marinova, E.; Schäfer, E.; Wiethold, J. A comparison of early Neolithic crop and weed assemblages from the Linearbandkeramik and the Bulgarian Neolithic cultures: Differences and similarities. Veg. Hist. Archaeobot. 2005, 14, 237–258. [Google Scholar] [CrossRef]
- Kreuz, A.; Marinova, E. Archaeobotanical evidence of crop growing and diet within the areas of the Karanovo and the Linear Pottery Cultures: A quantitative and qualitative approach. Veg. Hist. Archaeobot. 2017, 26, 639–657. [Google Scholar] [CrossRef]
- Pérez-Losada, J.; Fort, J. Spatial dimensions increase the effect of cultural drift. J. Archaeol. Sci. 2011, 38, 1294–1299. [Google Scholar] [CrossRef]
- Weninger, B.; Alram-Stern, E.; Bauer, E.; Clare, L.; Danzeglocke, U.; Jöris, O.; Kubatzki, C.; Rollefsong, G.; Todorova, H. Die Neolithisierung von Südosteuropa als Folge des abrupten Klimawandels um 8200 cal BP. In Klimaveränderung und Kul-Turwandel in Neolithischen Gesellschaften Mitteleuropas, 6700–2200v.Chr; Gronenborn, D., Ed.; Römisch-German: Mainz, Germany, 2005; Zentralmuseum Tagungen 1; pp. 75–117. [Google Scholar]
- Weninger, B.; Clare, L.; Rohling, E.; Bar-Yosef, O.; Böhner, U.; Budja, M.; Bundschuh, M.; Feurdean, A.; Gebel, H.-G.; Jöris, O.; et al. The Impact of Rapid Climate Change on Prehistoric Societies during the Holocene in the Eastern Mediterranean. Doc. Praehist. 2009, 36, 7–59. [Google Scholar] [CrossRef]
- Weninger, B.; Clare, L.; Gerritsen, F.; Horejs, B.; Krauss, R.; Linstädter, J.; Özbal, R.; Rohling, E. Neolithisation of the Aegean and Southeast Europe during the 6600–6000 cal BC period of Rapid Climate Change. Doc. Praehist. 2014, 41, 1–31. [Google Scholar] [CrossRef]
- Porčić, M.; Blagojević, T.; Jugoslav, P.; Stefanović, S. The Neolithic Demographic Transition in the Central Balkans: Population dynamics reconstruction based on new radiocarbon evidence. Phil. Trans. R. Soc. B 2021, 376, 2019071220190712. [Google Scholar] [CrossRef] [PubMed]
- Vander Linden, M.; Pandžić, I.; Orton, D. New radiocarbon dates for the Neolithic period in Bosnia & Herzegovina. Godišnjak Centra za Balkanološka Ispitivanja 2014, 43, 7–34. [Google Scholar]
- Filipović, D.; Obradović, Đ.; de Vareilles, A. The first five millennia of agricultural plant food production in the central and western Balkans: Archaeobotanical evidence from the Neolithic to the Bronze Age. In Cooking with Plants in Ancient Europe and Beyond: Interdisciplinary Approaches to the Archaeology of Plant Foods; Valamoti, S.M., Dimoula, A., Ntinou, M., Eds.; Sidestone Press: Leiden, The Netherlands, in press.
- Batović, Š. Jadranska zona. In Praistorija Jugoslavenskih Zemalja II: Neolitsko Doba; Benac, A., Ed.; Akademija nauka i umjetnosti Bosne i Hercegovine: Sarajevo, Bosnia and Herzegovina, 1979; pp. 471–634. [Google Scholar]
- Vuković, J.; Svilar, M. Early Neolithic impresso decoration reconsidered: A case study from Pavlovac—Kovačke Njive, Southern Serbia. PONTICA 2016, 48–49, 73–98. [Google Scholar]
- Benac, A. Obre I: Neolitsko naselje starčevačko-impresso i kakanjske kulture na Raskršću. Glasnik Zemaljskog muzeja Bosne i Herzegovine u Sarajevu 1973, 27–28, 5–171. [Google Scholar]
- Garašanin, M. Centralnobalkanska zona. In Praistorija Jugoslavenskih Zemalja II: Neolitsko Doba; Benac, A., Ed.; Akademija nauka i umjetnosti Bosne i Hercegovine: Sarajevo, Bosnia and Herzegovina, 1979; pp. 79–212. [Google Scholar]
- Tasić, N. Hronologija Starčevačke Kulture. Doctoral Thesis, University of Belgrade, Belgrade, Serbia, 1997. [Google Scholar]
- Minichreiter, K. The architecture of Early and Middle Neolithic settlements of the Starčevo culture in Northern Croatia. Doc. Praehist. 2001, 28, 199–214. [Google Scholar] [CrossRef]
- Whittle, A.; Bartosiewicz, L.; Borić, D.; Pettitt, P.; Richards, M. In the beginning: New radiocarbon dates for the early Neolithic in northern Serbia and south-east Hungary. Antaeus 2002, 25, 63–117. [Google Scholar]
- Krauss, R. The Mesolithic-Neolithic transition in the Carpathian Basin. In Southeast Europe before Neolithisation, Proceedings of the International Workshop "RessourcenKulturen”, Schloss Hohentübingen, Germany, 9 May 2014; Krauss, R., Floss, H., Eds.; Universität Tübingen: Tübingen, Germany, 2016; pp. 193–222. [Google Scholar]
- Jovanović, B. Istorijat kermaičke produkcije u neolitu i eneolitu centralnog Balkana. In Neolit Centralnog Balkana; Trifunović, L., Ed.; Narodni muzej Beograd: Beograd, Serbia, 1968; pp. 107–175. [Google Scholar]
- Hervella, M.; Rotea, M.; Izagirre, N.; Constantinescu, M.; Alonso, S.; Ioana, M.; Lazăr, C.; Ridiche, F.; Soficaru, A.; Netea, M.; et al. Ancient DNA from South-East Europe Reveals Different Events during Early and Middle Neolithic Influencing the European Genetic Heritage. PLoS ONE 2015, 10, e0128810. [Google Scholar] [CrossRef]
- Whittle, A.; Bayliss, A.; Barclay, A.; Gaydarska, B.; Bánffy, E.; Borić, D.; Draşovean, F.; Jakucs, J.; Marić, M.; Orton, D.; et al. A Vinča potscape: Formal chronological models for the use and development of Vinča ceramics in south-east Europe. Doc. Praehist. 2016, 43, 1–60. [Google Scholar] [CrossRef]
- Depaermentier, M.; Osztás, A.; Bánffy, E.; Alt, K.W.; Kempf, M. Neolithic land-use, subsistence, and mobility patterns in Transdanubia: A multiproxy isotope and environmental analysis from Alsónyék—Bátaszék and Mórágy—Tűzkődomb. J. Archaeol. Sci. Rep. 2020, 33, 102529. [Google Scholar] [CrossRef]
- Chapman, J. The Vinča Culture of South-East Europe: Studies in Chronology, Economy and Society; BAR International Series 117(ii); Archaeopress: Oxford, UK, 1981. [Google Scholar]
- Borić, D. Absolute dating of metallurgical innovations in the Vinča culture of the Balkans. In Metals and Societies: Studies in Honour of Barbara S. Ottaway; Kienlin, T.L., Roberts, B.W., Eds.; Habelt: Bonn, Germany, 2009; pp. 191–245. [Google Scholar]
- Borić, D. The End of the Vinča World: Modelling the Neolithic to Copper Age Transition and the Notion of Archaeological Culture. In Neolithic and Copper Age between the Carpathians and the Aegean Sea. Chronologies and Technologies from the 6th to 4th Millennium BC; Hansen, S., Raczky, P., Anders, A., Reingruber, A., Eds.; Dr. Rudolf Habelt GmbH: Bonn, Germany, 2015; Archäologie in Eurasien 31; pp. 157–217. [Google Scholar]
- Tasić, N.; Marić, M.; Penezić, K.; Filipović, D.; Borojević, K.; Russell, N.; Reimer, P.; Barclay, A.; Bayliss, A.; Borić, D.; et al. The end of the affair: Formal chronological modelling for the top of the Neolithic tell of Vinča- Belo Brdo. Antiquity 2015, 89, 1064–1082. [Google Scholar] [CrossRef]
- Marić, M. Zaštitna arheološka istraživanja na lokalitetu Jaričište 1. In Rezultati Arheoloških Istraživanja u Severozapadnoj Srbiji i Susednim Teritorijama; Filipović, V., Arsić, R., Antonović, D., Eds.; Srpsko Arheološko Društvo, Beograd/Zavod za Zaštitu Spomenika Kulture: Valjevo, Serbia, 2013; pp. 17–31. [Google Scholar]
- Tasić, N.; Marić, M.; Filipović, D.; Penezić, K.; Dunbar, E.; Reimer, P.; Barclay, A.; Bayliss, A.; Gaydarska, B.; Whittle, A. Interwoven strands for refining the chronology of the Neolithic tell of Vinča-Belo Brdo, Serbia. Radiocarbon 2016, 58, 795–831. [Google Scholar] [CrossRef]
- Perić, S.; Bajčev, O.; Stojanović, I.; Obradović, Đ. Neolithic settlement at Drenovac, Serbia: Settlement history and spatial organization. In Making Spaces into Places. The North Aegean, the Balkans and Western Anatolia in the Neolithic; Urem-Kotsou, D., Tasić, N., Burić, M., Eds.; Archaeopress, BAR: Oxford, UK, 2020; pp. 181–189. [Google Scholar]
- Marić, M.; Radivojević, M.; Roberts, B.W.; Orton, D.C. Relative and absolute chronology of Belovode and Pločnik. In The Rise of Metallurgy in Eurasia: Evolution, Organisation and Consumption of Early Metal in the Balkans; Radivojević, M., Roberts, B.W., Marić, M., Kuzmanović-Cvetković, J., Rehren, T., Eds.; Archaeopress: Oxford, UK, 2021; pp. 439–454. [Google Scholar]
- Obelić, B.; Škrivanko, M.K.; Marijan, B.; Bronić, I.K. Radiocarbon dating of Sopot culture sites (Late Neolithic) in eastern Croatia. Radiocarbon 2004, 46, 245–258. [Google Scholar] [CrossRef]
- Dimitrijević, S. Sjeverna zona. In Praistorija Jugoslavenskih Zemalja II: Neolitsko Doba; Benac, A., Ed.; Akademija nauka i umjetnosti Bosne i Hercegovine: Sarajevo, Bosnia and Herzegovina, 1979; pp. 229–360. [Google Scholar]
- Jakucs, J.; Bánffy, E.; Oross, K.; Voicsek, V.; Bronk Ramsey, C.; Dunbar, E.; Kromer, B.; Bayliss, A.; Hofmann, D.; Marshall, P.; et al. Between the Vinča and Linearbandkeramik Worlds: The Diversity of Practices and Identities in the 54th–53rd Centuries cal BC in Southwest Hungary and Beyond. J. World Prehist. 2016, 29, 267–336. [Google Scholar] [CrossRef]
- Perić, S. Butmirska Kultura: Geneza i Razvoj; Arheološki Institut: Beograd, Serbia, 1995. [Google Scholar]
- Brigić, D. Višeslojno Naselje Gornja Tuzla U Hronologiji Neolita Sjeveroistočne Bosne. Ph.D. Thesis, University of Zagreb, Zagreb, Croatia, 2020. [Google Scholar]
- Benac, A. Prelazna zona. In Praistorija Jugoslavenskih Zemalja II: Neolitsko Doba; Benac, A., Ed.; Akademija nauke i umjetnosti Bosne i Hercegovine: Sarajevo, Bosnia and Herzegovina, 1979; pp. 363–472. [Google Scholar]
- Hofmann, R. Style and function of pottery in relation to the development of Late Neolithic settlement patterns in Central Bosnia. In Tells: Social and Environmental Space. Proceedings of the International Workshop “Socio-Environmental Dynamics over the Last 12,000 Years: The Creation of Landscapes II (14th–18th March 2011)” in Kiel; Hofmann, R., Moetz, F., Müller, J., Eds.; Dr. Rudolf Habelt GmbH: Bonn, Germany, 2012; Volume 3, pp. 181–202. [Google Scholar]
- Walker, M.; Berkelhammer, M.; Björck, S.; Cwynar, L.; Fisher, D.; Long, A.; Lowe, J.; Newnham, R.; Rasmussen, S.; Weiss, H. Formal subdivision of the Holocene Series/Epoch: A Discussion Paper by a Working Group of INTIMATE (Integration of ice-core, marine and terrestrial records) and the Subcommission on Quaternary Stratigraphy (International Commission on Stratigraphy). J. Quat. Sci. 2012, 27, 649–659. [Google Scholar] [CrossRef]
- Willis, K.J. The vegetational history of the Balkans. Quat. Sci. Rev. 1994, 13, 769–788. [Google Scholar] [CrossRef]
- Magyari, E.K.; Chapman, J.; Fairbairn, A.S.; Francis, M.; de Guzman, M. Neolithic human impact on the landscapes of North-East Hungary inferred from pollen and settlement records. Veg. Hist. Archaeobot. 2012, 21, 279–302. [Google Scholar] [CrossRef]
- Gigov, A. Analiza polena. In Lepenski Vir; Srejović, D., Ed.; Srpska Književna Zadruga: Beograd, Serbia, 1969; pp. 203–206. [Google Scholar]
- Grüger, E.; Beug, H.-J. Botanical investigations at Divostin and Grivac. In Divostin and the Neolithic of Central Serbia; McPherron, A., Srejović, D., Eds.; University of Pittsburgh: Pittsburgh, PA, USA, 1988; pp. 415–418. [Google Scholar]
- Filipović, D.; Challinor, D.; Andrič, M. Vinča tell in southeast Europe: Multi-proxy palaeobotanical evidence from Late Neolithic levels and the implications for the environment and economy. Quat. Int. 2017, 429, 13–23. [Google Scholar] [CrossRef]
- Davis, B.A.; Brewer, S.; Stevenson, A.; Guiot, J. The temperature of Europe during the Holocene reconstructed from pollen data. Quat. Sci. Rev. 2003, 22, 1701–1716. [Google Scholar] [CrossRef]
- Cvijić, J. Balkansko Poluostrvo i Južnoslovenske Zemlje: Osnovi Antropogeografije; Knjižarnica Gece Kona: Beograd, Serbia, 1922; Volume 1. [Google Scholar]
- Eastwood, W.J. East Mediterranean vegetation and climate change. In Balkan Biodiversity: Pattern and Process in the European Hotspot; Griffiths, H.I., Kryštufek, B., Reed, J.M., Eds.; Kluwer Academic Publishers: Dordrecht, The Netherlands; Boston, MA, USA; London, UK, 2004; pp. 25–48. [Google Scholar]
- Milovanović, B.; Ducić, V.; Radovanović, M.; Milivojević, M. Climate regionalisation of Serbia according to Köppen climate classification. J. Geogr. Inst. Jovan Cvijić 2017, 67, 103–114. [Google Scholar] [CrossRef]
- Stošić, M.; Lazarević, D. Country Pasture/Forage Resource Profiles: Republic of Serbia; FAO Country Pasture Profile Database: Rome, Italy, 2009. [Google Scholar]
- Ćorić, R.; Bogunović, M.; Husnjak, S.; Vego, D.; Ivanković, S.; Pehar, J.; Pavličević, J.; Šaravanja, P.; Sefo, E.; Lasić, V.; et al. Višenamjensko Vrednovanje Zemljišta u Federaciji Bosne i Hercegovine. Agronomski i Prehrambeno-Tehnološki; Fakultet Sveučilišta u Mostaru: Mostar, Bosna and Hercegovina, 2013. [Google Scholar]
- Pavlović, P.; Kostić, N.; Karadžić, B.; Mitrović, M. The Soils of Serbia; Springer Nature: Berlin/Heidelberg, Germany, 2017. [Google Scholar] [CrossRef]
- Janković, M.M. Biljni pokrivač SR Srbije—flora i vegetacija. In Enciklopedija Jugoslavije 7; Izdanje i naklada jugoslavenskog leksikografskog zavoda: Zagreb, Croatia, 1968; pp. 654–659. [Google Scholar]
- Stojanović, S.; Butorac, B.; Vučković, M. Pregled barske i močvarne vegetacije Vojvodine. Glasnik Instituta za botaniku i Botaničke bašte Univerziteta u Beogradu 1987, 21, 41–47. [Google Scholar]
- Butorac, B.; Igić, R.; Anačkov, G.; Zlatković, B.; Vukov, D.; Boža, P. Orno-Cotino-Quercetum pubescentis Ass. Nova Prov. on the slopes of Titel hill (Serbia). Arch. Biol. Sci. 2008, 60, 83–92. [Google Scholar] [CrossRef]
- de Vareilles, A. Deeply Set Roots: An Archaeobotanical Perspective on the Origins of Crop Husbandry in the Western Balkans. Doctoral Thesis, University College London, London, UK, 2018. [Google Scholar]
- Garašanin, M. Nosa—Biserna obala, praistorijsko naselje. Starinar 1960, 11, 228–229. [Google Scholar]
- Gyulai, F. Archaeobotany in Hungary. Seed, Fruit, Food and Beverage Remains in the Carpathian Basin from the Neolithic to the Late Middle Ages; Archaeolingua: Budapest, Hungary, 2010. [Google Scholar]
- Gyulai, F. The archaeobotanical characterization of the Körös culture. In The Körös culture in Eastern Hungary; Anders, A., Siklósi, Z., Eds.; BAR International Series 2334; Archaeopress: Oxford, UK, 2012; pp. 223–230. [Google Scholar]
- Motuzaite-Matuzeviciute, G.; Staff, R.; Hunt, H.; Liu, X.; Jones, M.K. The early chronology of broomcorn millet (Panicum miliaceum) in Europe. Antiquity 2013, 87, 1073–1075. [Google Scholar] [CrossRef]
- Filipović, D.; Meadows, J.; Dal Corso, M.; Kirleis, W.; Alsleben, A.; Akeret, Ö.; Bittmann, F.; Bosi, G.; Ciută, B.; Dreslerová, D.; et al. New AMS 14C dates track the arrival and spread of broomcorn millet cultivation and agricultural change in prehistoric Europe. Sci. Rep. 2020, 10, 13698. [Google Scholar] [CrossRef] [PubMed]
- R Core Team. R: A Language and Environment for Statistical Computing; R Foundation for Statistical Computing: Vienna, Austria, 2020; Available online: https://www.R-project.org/ (accessed on 22 June 2021).
- Wickham, H.; Averick, M.; Bryan, J.; Chang, W.; D’Agostino McGowan, L.; François, R.; Grolemund, G.; Hayes, A.; Henry, L.; Hester, J.; et al. Welcome to the tidyverse. J. Open Source Soft. 2019, 4, 1686. [Google Scholar] [CrossRef]
- Oksanen, J.; Blanchet, F.G.; Friendly, M.; Kindt, R.; Legendre, P.; McGlinn, D.; Minchin, P.R.; O’Hara, R.B.; Simpson, G.L.; Solymos, P.; et al. Vegan: Community Ecology Package. R package Version 2.5-6. 2019. Available online: https://CRAN.R-project.org/package=vegan (accessed on 22 June 2021).
- Nenadić, O.; Greenacre, M. Correspondence Analysis in R, with two- and three-dimensional graphics: The ca package. J. Stat. Soft. 2007, 20, 1–13. [Google Scholar] [CrossRef]
- Kassambara, A.; Mundt, F. Factoextra: Extract and Visualize the Results of Multivariate Data Analyses. R Package Version 1.0.7. 2020. Available online: https://CRAN.R-project.org/package=factoextra (accessed on 22 June 2021).
- Wickham, H. ggplot2: Elegant Graphics for Data Analysis; Springer: New York, NY, USA, 2016. [Google Scholar]
- Kassambara, A. ggpubr: ‘ggplot2’ Based Publication Ready Plots. R Package Version 0.4.0. 2020. Available online: https://CRAN.R-project.org/package=ggpubr (accessed on 22 June 2021).
- Slowikowski, K. ggrepel: Automatically Position Non-Overlapping Text Labels with ‘ggplot2’. R Package Version 0.8.2. 2020. Available online: https://CRAN.R-project.org/package=ggrepel (accessed on 22 June 2021).
- Wasserstein, R.L.; Lazar, N.A. The ASA Statement on p-Values: Context, Process, and Purpose. Am. Stat. 2016, 70, 129–133. [Google Scholar] [CrossRef]
- Valamoti, S.M.; Kotsakis, K. Transitions to agriculture in the Aegean: The archaeobotanical evidence. In The origins and Spread of Domestic Plants in Southwest Asia and Europe; Colledge, S., Conolly, J., Eds.; Left Coast Press: Walnut Creek, CA, USA; University College London: London, UK, 2007; pp. 75–91. [Google Scholar]
- Stojanova-Kanzurova, E.; Rujak, Z. Food procurement, storage and preparation during the Neolithic in the Republic of Macedonia. In Bioarheologija na Balkanu 2: Metodološke, Komparativne i Rekonstruktivne Studije Života u Prošlosti; Miladinović-Radmilović, N., Vitezović, S., Eds.; Srpsko Arheološko Društvo: Beograd, Serbia, 2016; pp. 69–79. [Google Scholar]
- Allen, S.E. Cultivating identities: Landscape production among early farmers in the Southern Balkans. In Balkan Dialogues. Negotiating Identity between Prehistory and the Present; Gori, M., Ivanova, M., Eds.; Routledge: London, UK; New York, NY, USA, 2017; pp. 213–239. [Google Scholar]
- Antolin, F.; Sabanov, A.; Naumov, G.; Soteras, R. Crop choice, gathered plants and household activities at the beginnings of farming in the Pelagonia Valley of North Macedonia. Antiquity 2020, 94, e21. [Google Scholar] [CrossRef]
- Marinova, E. Archaeobotanical data from the early Neolithic of Bulgaria. In The Origins and Spread of Domestic Plants in Southwest Asia and Europe; Colledge, S., Conolly, J., Eds.; Left Coast Press: Walnut Creek, CA, USA; University College London: London, UK, 2007; pp. 93–109. [Google Scholar]
- Botić, K. Neolithisation of Sava-Drava-Danube interfluve at the end of the 6600–6000 BC period of Rapid Climate Change: A new solution to an old problem. Doc. Praehist. 2016, 43, 183–207. [Google Scholar] [CrossRef][Green Version]
- Sekelj-Ivančan, T.; Balen, J. Prapovijesno naselje Virovitica—Brekinja. Ann. Inst. Archaeol. 2006, 2, 67–72. [Google Scholar]
- Reed, K.; Colledge, S. Plant economies in the Neolithic eastern Adriatic: Archaeobotanical results from Danilo and Pokrovnik. J. Dalmatian Archaeol. Hist. 2016, 109, 9–23. Available online: http://hrcak.srce.hr/255259 (accessed on 23 October 2021).
- Domboróczki, L. Report on the excavation at Tiszaszőlős–Domaháza-puszta and a new model for the spread of the Körös Culture. In Neolithization of the Carpathian Basin: Northernmost Distribution of the Starčevo/Körös Culture; Kozłowski, J.K., Raczky, P., Eds.; Polska Akademia Umiejętności: Kraków, Poland; Institute of Archaeological Sciences of the Eötvös Loránd University: Budapest, Hungary, 2010; pp. 137–176. [Google Scholar]
- Gyulai, F. Archaeobotanical research at the Körös culture site Ibrány-Nagyerdő and its relationship to plant remains from contemporaneous sites in Hungary. In Neolithization of the Carpathian Basin: Northernmost distribution of the Starčevo/Körös Culture; Kozłowski, K.J., Raczky, P., Eds.; Polska Akademia Umiejętności: Kraków, Poland; Institute of Archaeological Sciences of the Eötvös Loránd University: Budapest, Hungary, 2010; pp. 219–237. [Google Scholar]
- Salavert, A.; Martin, L.; Antolín, F.; Zazzo, A. The opium poppy in Europe: Exploring its origin and dispersal during the Neolithic. Antiquity 2018, 92, E1. [Google Scholar] [CrossRef]
- Tzedakis, P.C. The Balkans as prime glacial refugial territory of European temperate trees, In Balkan Biodiversity. Pattern and Process in the European Hotspot; Griffiths, H., Kryštufek, B., Reed, J.M., Eds.; Kluwer Academic Publishers: Dordrecht, The Netherlands; Boston, MA, USA; London, UK, 2004; pp. 49–68. [Google Scholar]
- McClatchie, M.; Bogaard, A.; Colledge, S.; Whitehouse, N.; Schulting, R.; Barratt, P.; McLaughlin, T. Neolithic farming in north-western Europe: Archaeobotanical evidence from Ireland. J. Archaeol. Sci. 2014, 51, 206–215. [Google Scholar] [CrossRef]
- Drost, C.; Vander Linden, M. Toy story: Homophily, transmission and the use of simple models for assessing variability in the archaeological record. J. Archaeol. Method Theory 2018, 25, 1087–1108. [Google Scholar] [CrossRef]
- Bocinsky, R. Exploration and exploitation in the macrohistory of the pre-Hispanic Peublo southwest. Sci. Adv. 2016, 2, e1501532. [Google Scholar] [CrossRef]
- Guilaine, J. La diffusion de l’agriculture en Europe: Une hypothèse arythmique. Zephyrus 2001, 54, 267–272. [Google Scholar]
- Chapman, J. Meet the ancestors: Settlement histories in the Neolithic. In Living Well Together? Settlement and Materiality in the Neolithic of South-East and Central Europe; Bailey, D., Whittle, A., Hofmann, D., Eds.; Oxbow Books: Oxford, UK, 2008; pp. 68–80. [Google Scholar]
- Greenfield, H.; Jongsma Greenfield, T.; Jezik, S. Subsistence and settlement in the Early Neolithic of temperate SE Europe: A view from Blagotin, Serbia. Archaeol. Bulg. 2014, 18, 1–33. [Google Scholar]
- Bogdanović, M. Architecture and Structural Features at Divostin. In Divostin and the Neolithic of Central Serbia; McPherron, A., Srejović, D., Eds.; Narodni Muzej: Kragujevac, Serbia; University of Pittsburgh: Pittsburgh, PA, USA, 1988; pp. 35–142. [Google Scholar]
- Minichreiter, K. Slavonski Brod Galovo: Deset Godina Arheoloških Istraživanja; Institute of Archaeology: Zagreb, Croatia, 2007. [Google Scholar]
- Filipović, D.; Obradović, Đ. Archaeobotany at Neolithic sites in Serbia: A critical overview of the methods and results. In Developments and Trends in Bioarchaeological Research in the Balkans. Bioarchaeology 1; Vitezović, S., Miladinović, N., Eds.; Srpsko Arheološko Društvo: Belgrade, Serbia, 2013; pp. 25–55. [Google Scholar]
- Filipović, D. Southwest Asian founder- and other crops at Neolithic sites in Serbia. Bulg. E-J. Archaeol. 2014, 4, 195–216. [Google Scholar]
- Renfrew, J. Report on the carbonised cereal grains and seeds from Obre I, Kakanj and Obre II. Wiss. Mitt. Bosnisch-Herzegowinischen Landesmus. 1974, 4, 47–53. [Google Scholar]
- Borojević, K. Terra and Silva in the Pannonian Plain; BAR International Series 1563; Archaeopress: Oxford, UK, 2006. [Google Scholar]
- Jones, G.; Halstead, P. Maslins, mixtures and monocrops: On the interpretation of archaeobotanical crop samples of heterogeneous composition. J. Archaeol. Sci. 1995, 22, 103–114. [Google Scholar] [CrossRef]
- Zapata, L.; Peña-Chocarro, L.; Pérez-Jordá, G.; Stika, H.-P. Early Neolithic agriculture in the Iberian peninsula. J. World Prehist. 2004, 18, 283–325. [Google Scholar] [CrossRef]
- Bogaard, A. Neolithic Farming in Central Europe: An Archaeobotanical Study of Crop Husbandry Practices; Routledge: London, UK; New York, NY, USA, 2004. [Google Scholar]
- Bogaard, A. Plant Use and Crop Husbandry in an Early Neolithic Village: Vaihingen an der Enz, Baden-Württemberg; Dr. Rudolf Habelt GmbH: Bonn, Germany, 2011. [Google Scholar]
- Märkle, T.; Rösch, M. Experiments on the effects of carbonization on some cultivated plant seeds. Veg. Hist. Archaeobot. 2008, 17, S257–S263. [Google Scholar] [CrossRef]
- Hajnalova, M. Early farming in Slovakia: An archaeobotanical perspective. In The Origins and Spread of Domestic Plants in Southwest Asia and Europe; Colledge, S., Conolly, J., Eds.; Left Coast Press: Walnut Creek, CA, USA; University College London: London, UK, 2007; pp. 295–314. [Google Scholar]
- Sümegi, P. Palaeogeographical background of the Mesolithic and Early Neolithic settlement in the Carpathian Basin. In Mesolithic/Neolithic Interactions in the Balkans and in the Middle Danube Basin; Kozłowski, J., Nowak, M., Eds.; BAR International Series 1726; Archaeopress: Oxford, UK, 2007; pp. 47–52. [Google Scholar]
- Stevens, C.J.; Fuller, D.Q. Alternative strategies to agriculture: The evidence for climatic shocks and cereal declines during the British Neolithic and Bronze Age (a reply to Bishop). World Archaeol. 2015, 47, 856–875. [Google Scholar] [CrossRef]
- Colledge, S.; Conolly, J.; Crema, E.; Shennan, S. Neolithic population crash in northwest Europe associated with agricultural crisis. Quat. Res. 2019, 92, 686–707. [Google Scholar] [CrossRef]
- Borojević, K. Analize Paleobotaničkih Makroostataka sa Arheoloških Lokaliteta u Srbiji. Master’s Thesis, University of Belgrade, Belgrade, Serbia, 1990. [Google Scholar]
- Filipović, D. Archaeobotanical evidence of plant use at the site of Belovode. In The Rise of Metallurgy in Eurasia: Evolution, Organisation and Consumption of Early Metal in the Balkans; Radivojević, M., Roberts, B.W., Marić, M., Kuzmanović-Cvetković, J., Rehren, T., Eds.; Archaeopress: Oxford, UK, 2021; pp. 236–248. [Google Scholar]
- Jezik, S. The Origins of Agriculture in Temperate Europe: An Exploration into the Subsistence Strategies of Two Early Neolithic Groups in the Central Balkans, Foeni—Salaş and Blagotin. Master Thesis, University of Manitoba, Winnipeg, MB, Canada, 1998. [Google Scholar]
- Medović, A.; Hofmann, R.; Wilkes, F.; Dreibrodt, S.; Stanković-Pešterac, T.; Medović, I.; Martini, S.; Furholt, M. Feathergrass in the vase and Sanduri wheat in the field—Environment and land use in the Bordjoš microregion after the botanical record. In Proceedings of the International Open Workshop ‘Socio-Environmental Dynamics over the Last 15,000 Years: The Creation of Landscapes VI’, Kiel, Germany, 11–16 March 2019; Fuchs, K., Heyn, A.-L., Kipke, N., Plath, R., Schüle, J., Eds.; Programme and abstracts. Kiel University: Kiel, Germany, 2019; p. 99. [Google Scholar]
- Filipović, D. A Glimpse of Eneolithic Plant Economy at the Site of Bubanj in Serbia. In Bubanj, the Eneolithic and the Early Bronze Age Tell in Southeastern Serbia; Bulatović, A., Milanović, D., Eds.; OREA: Vienna, Austria, 2020; Mitteilungen der Prähistorischen Kommission 90; pp. 337–368. [Google Scholar]
- Renfrew, J. The first farmers in South East Europe. In Festschrift Maria Hopf zum 65. Geburtstag am 14. September 1979; Körber-Grohne, U., Ed.; Rheinland-Verlag: Köln, Germany, 1979; Archaeo-Physika 8; pp. 243–265. [Google Scholar]
- Kroll, H. Die Wirtschaft des Umfelds von Okolište: Zagrebnice, Kundruci and Donje Moštre. In Okolište 1—Untersuchungen Einer Spätneolithischen Siedlungskammer in Zentralbosnien. Neolithikum und Chalkolithikum in Zentralbosnien 1; Müller, J., Rassmann, K., Hofmann, R., Eds.; Dr. Rudolf Habelt GmbH: Bonn, Germany, 2013; pp. 231–238. [Google Scholar]
- Obradović, Đ. Arheobotanička Istraživanja u Kasnom Neolitu Pomoravlja: Društveno-Ekonomski Aspekti Proizvodnje i Pripreme Hrane. Doctoral Thesis, University of Belgrade, Belgrade, Serbia, 2020. [Google Scholar]
- Bogaard, A.; Bending, J.; Jones, G. Archaeobotanical evidence for plant husbandry and use. In The Early Neolithic on the Great Hungarian Plain. Investigations of the Körös Culture Site of Ecsegfalva, County Békés; Whittle, A., Ed.; Institute of Archaeology, Hungarian Academy of Sciences: Budapest, Hungary, 2007; Volume II, pp. 421–445. [Google Scholar]
- van Zeist, W. Plant Husbandry and Vegetation of Tell Gomolava, Vojvodina, Yugoslavia. Palaeohistoria 2002, 43, 87–115. [Google Scholar]
- Hopf, M. Untersuchungsbericht über die botanischen Reste aus der neolithischen Ansiedlung in Gornja Tuzla. Glas. Zemalj. Muz. Bosne i Hercegovine 1967, 21–22, 169–171. [Google Scholar]
- Hopf, M. Pflanzenreste aus Siedlungen der Vinča—Kultur in Jugoslawien. Jahrb. Römisch-Ger. Zent. Mainz 1974, 21, 1–11. [Google Scholar]
- Reed, K. Farmers in Transition. The Archaeobotanical Analysis of the Carpathian Basin from the Late Neolithic to the Late Bronze Age (5000-900 BC). Doctoral Thesis, University of Leicester, Leicester, UK, 2012. [Google Scholar]
- Reed, K. From the field to the hearth: Plant remains from Neolithic Croatia (ca. 6000–4000 cal BC). Veg. Hist. Archaeobot. 2015, 24, 601–619. [Google Scholar] [CrossRef]
- Kroll, H. Plant Remains from the Middle/Late Neolithic site of Jagnilo, Central Bosnia i Herzegovina. unpublished report.
- Borojević, K.; Sheridan, V. Archaeobotanical Report for Excavations at Kolubara, Serbia. unpublished report.
- Hopf, M. Neolitische Getreidefunde aus Bosnien und der Hercegovina. Glasnik Zemaljskog Muzeja u Sarajevu 1958, 13, 97–103. [Google Scholar]
- Kroll, H. Bericht uber die Pflanzenfunde aus Okolište Haus 38. In Okolište 1—Untersuchungen einer Spätneolithischen Siedlungskammer in Zentralbosnien. Neolithikum und Chalkolithikum in Zentralbosnien 1; Müller, J., Rassmann, K., Hofmann, R., Eds.; Dr. Rudolf Habelt GmbH: Bonn, Germany, 2013; pp. 113–122. [Google Scholar]
- Filipović, D. Plant use at Pločnik. In The Rise of Metallurgy in Eurasia: Evolution, Organisation and Consumption of Early Metal in the Balkans; Radivojević, M., Roberts, B.W., Marić, M., Kuzmanović-Cvetković, J., Rehren, T., Eds.; Archaeopress: Oxford, UK, 2021; pp. 408–421. [Google Scholar]
- McLaren, F.S.; Hubbard, R.N. The Archaeobotanical Remains. In Selevac, A Neolithic Village in Yugoslavia; Tringham, R., Krstić, D., Eds.; UCLA Institute of Archaeology Press: Los Angeles, CA, USA, 1990; Monumenta Archaeologica 15; pp. 247–254. [Google Scholar]
- Medović, A. Najbolje iz preistorijske Vojvodine: Starčevačka jednozrna pšenica, „kasna“, i južnobanatski proso, „rani“. Fosilni biljni ostaci sa lokaliteta Starčevo—Grad. Rad Muz. Vojv. 2011, 53, 143–149. [Google Scholar]
- Horejs, B.; Bulatović, A.; Bulatović, J.; Burke, C.; Brandl, M.; Filipović, D.; Milić, B. New insights into the Neolithisation process of the central Balkans. First excavations at Svinjarička Čuka 2018. Archaeol. Austriaca 2019, 103, 175–226. [Google Scholar] [CrossRef]
- Filipović, D.; Marić, M.; Challinor, D.; Bulatović, J.; Tasić, N. Natural environment and resources, and the long life of the Neolithic settlement at Vinča, southeast Europe. Archaeol. Anthropol. Sci. 2019, 11, 1939–1960. [Google Scholar] [CrossRef]












| Vernacular Terms | Taxa Codes | Latin Binomials |
|---|---|---|
| Einkorn wheat | eink | Triticum monococcum |
| Emmer wheat | emmer | T. dicoccum |
| ‘New’ glume wheat | newwht | T. timopheevii s.l. |
| Free-threshing wheat | ftwht | T. aestivum/durum/turgidum |
| Rye | rye | Secale cereale |
| Barley | barley | Hordeum vulgare s.l. |
| Flax | flax | Linum usitatissimum |
| Lentil | lentil | Lens culinaris |
| Pea | pea | Pisum sativum |
| Broad bean | bbean | Vicia faba |
| Bitter vetch | bvetch | Vicia ervilia |
| Apple/Pear | appear | Malus/Pyrus |
| Cornelian cherry | cornus | Cornus mas |
| Hazel nuts | hazel | Corylus avellana |
| Water chestnut | trapa | Trapa natans |
| Sloe | sloe | Prunus spinosa |
| Plum | prunus | Prunus non-spinosa |
| Wild strawberry | wstraw | Fragaria vesca |
| Chinese lantern | physal | Physalis alkekengi |
| Blackberry/Raspberry | rubus | Rubus spp. |
| Elder/Dwarf elder | sambuc | Sambucus spp. |
| Grape | grape | Vitis vinifera |
Publisher’s Note: MDPI stays neutral with regard to jurisdictional claims in published maps and institutional affiliations. |
© 2022 by the authors. Licensee MDPI, Basel, Switzerland. This article is an open access article distributed under the terms and conditions of the Creative Commons Attribution (CC BY) license (https://creativecommons.org/licenses/by/4.0/).
Share and Cite
de Vareilles, A.; Filipović, D.; Obradović, D.; Vander Linden, M. Along the Rivers and into the Plain: Early Crop Diversity in the Central and Western Balkans and Its Relationship with Environmental and Cultural Variables. Quaternary 2022, 5, 6. https://doi.org/10.3390/quat5010006
de Vareilles A, Filipović D, Obradović D, Vander Linden M. Along the Rivers and into the Plain: Early Crop Diversity in the Central and Western Balkans and Its Relationship with Environmental and Cultural Variables. Quaternary. 2022; 5(1):6. https://doi.org/10.3390/quat5010006
Chicago/Turabian Stylede Vareilles, Anne, Dragana Filipović, Djurdja Obradović, and Marc Vander Linden. 2022. "Along the Rivers and into the Plain: Early Crop Diversity in the Central and Western Balkans and Its Relationship with Environmental and Cultural Variables" Quaternary 5, no. 1: 6. https://doi.org/10.3390/quat5010006
APA Stylede Vareilles, A., Filipović, D., Obradović, D., & Vander Linden, M. (2022). Along the Rivers and into the Plain: Early Crop Diversity in the Central and Western Balkans and Its Relationship with Environmental and Cultural Variables. Quaternary, 5(1), 6. https://doi.org/10.3390/quat5010006

