You are currently viewing a new version of our website. To view the old version click .
Journal of Composites Science
  • Article
  • Open Access

7 August 2025

Study on the Regulation Mechanism of Silane Coupling Agents’ Molecular Structure on the Rheological Properties of Fe3O4/CNT Silicone Oil-Based Magnetic Liquids

,
,
,
,
and
College of Chemistry and Chemical Engineering, Sichuan University of Arts and Science, Dazhou 635000, China
*
Author to whom correspondence should be addressed.
This article belongs to the Section Composites Modelling and Characterization

Abstract

Silicone oil-based magnetic liquids containing carbon nanotubes (CNTs) were prepared using an in situ chemical coprecipitation method. The surface modification of Fe3O4/CNT composite particles was carried out by using three silane coupling agents: γ-aminopropyltriethoxysilane (550), γ-methacryloxypropyltrimethoxysilane (570), and phenyltrimethoxysilane (7030). Infrared Spectroscopy (IR), Transmission Electron Microscopy (TEM), and X-ray Diffraction (XRD) were used to confirm the successful doping of CNTs and the effective coating of the coupling agents. The rheological behavior of the magnetic liquids was systematically studied using an Anton Paar Rheometer. The results show that viscosity decreases exponentially with increasing temperature (fitting the Arrhenius equation), increases and tends to saturate with rising magnetic field intensity, and exhibits shear-thinning characteristics with increasing shear rate. Among the samples, Fe3O4@7030 has the best visco-thermal performance due to the benzene ring structure, which reduces the symmetry of the molecular chains. In contrast, Fe3O4@570 shows the most significant magneto-viscous effect (viscosity variation of 161.4%) as a result of the long-chain structure enhancing the steric hindrance of the magnetic dipoles.

1. Introduction

Magnetic liquid is a uniform and stable solution formed by dispersing surfactant-modified magnetic particles in a base carrier liquid, exhibiting both fluidity and magnetic responsiveness. Among various magnetic nanoparticles, magnetite (Fe3O4) stands out due to its high saturation magnetization, superparamagnetism at the nanoscale, and excellent chemical stability, which arise from its unique cubic inverse spinel structure. Fe3O4 exhibits strong magnetic moments at room temperature and responds effectively to external magnetic fields [1], making it crucial for applications such as magnetic sealing and lubrication. Additionally, its biocompatibility and low toxicity have expanded its potential applications in biomedical fields [2,3], establishing it as an ideal choice for functional magnetic particles.
Since the 1960s, S.S. Papell [4] has engaged in research on sealing movable parts in space suits for space applications, developed magnetic liquid, and obtained the world’s first practical patent for its preparation. Due to their special magnetic properties and fluidity, magnetic liquids have been widely used in sealing [5,6,7], lubrication [8,9], sensors [10,11], biomedicine [12], and other fields. According to different base carrier liquids, magnetic liquids can be divided into water-based, kerosene-based, ester-based, fluoroether oil-based, and silicone oil-based liquids. Among them, silicone oil is widely studied due to its high temperature resistance, high chemical stability, and good visco-thermal properties. According to different surface modification methods, previous research on the preparation of silicone oil-based magnetic liquids can be divided into three categories. The first method is to use traditional anionic surfactants such as oleic acid, lauric acid, and phosphoric acid to coat magnetic particles and disperse them in a silicone oil-based carrier liquid [13]. The second method is to use silane coupling agents instead of traditional anionic surfactants for surface modification of magnetic particles [14,15]. The third method is to use functionalized polydimethylsiloxane as a surfactant [16,17].
Since the discovery of carbon nanotubes (CNTs) by Iijima at NEC Corporation in Japan in 1991 [18], their excellent comprehensive properties have sparked a global surge in research. Extensive studies have been conducted on the preparation of Fe3O4/CNT composite particles. The synthetic methods employed include the sol–gel method [19,20], electrochemical method [21], synthesis assisted by natural extracts [22], etc. Through these methods, Fe3O4 or its composite oxides (such as ZnO/Fe3O4 [22], SrFe12O19-MWCNTs [20], and m-NiFe2O4/MWCNTs [23]) can be combined with multi-walled carbon nanotubes (MWCNTs) to form magnetic composite structures. The applications of these materials in fields such as adsorption, catalysis, and microwave absorption have been studied. Among them, Liu Li et al. [24,25] investigated the colloidal stability of oleic acid and DP-coated magnetite nanoparticles in solvents, clarifying the influence of coating agents and solvent polarity. They also synthesized PAO-based ferrofluids with high viscosity and saturation magnetization for applications in magnetic rotary seals and lubrication. These studies provide a foundation for optimizing the performance of magnetic fluids and nanocomposites in various applications, inspiring further exploration in this field.
Previous studies have shown that traditional surface modification methods, such as oleic acid modification, suffer from insufficient high-temperature stability. In contrast, silane coupling agents have emerged as ideal modifiers due to their capacity to bridge inorganic–organic interfaces. However, existing research has not elucidated the following: the influence of different functional groups (amino, methacryloxy, phenyl) on the surface energy of Fe3O4/CNT particles, the structure–activity relationship between the chain length of coupling agents, and the magneto-viscous effect and shear-thinning behavior of magnetic liquids.
Therefore, this study prepares Fe3O4/CNT silicone oil-based magnetic liquids using an in-situ chemical coprecipitation method. It employs three silane coupling agents with different functional groups and chain lengths for surface modification. Additionally, this study establishes the correlation mechanism of “coupling agent structure, particle interface, and rheological behavior” by combining macroscopic rheological testing and microscopic structural characterization.

2. Experimental Materials and Instruments

2.1. Experimental Materials

Reagents used in this study included FeCl3·6H2O, FeCl2·4H2O, and 25% NH3·H2O, all of analytical reagent grade. Deionized water was prepared by PSDK1-20-C. γ-Aminopropyltriethoxysilane (550), γ-Methacryloxypropyltrimethoxysilane (570), and phenyltrimethoxysilane (7030) were purchased from Nanjing Chenggong Organosilicon Materials Co., Ltd. (Nanjing, China), each with a purity of ≥98%. Multi-walled carbon nanotubes (CNTs) were purchased from Beijing Boyu Technology Co., Ltd. (Beijing, China), with a diameter of >50 nm, a length of 10–20 μm, and a purity of >98%. Dimethyl silicone oil was purchased from the Chongqing Branch of Sinopec Lubricant Co., Ltd. (Chongqing, China), with a viscosity of 100 mPa·s.

2.2. Instruments

The following instruments were utilized in this study: a Hitachi Hi-Tech 7700 for Transmission Electron Microscopy (TEM) sourced from Hitachi Limited (Tokyo, Japan), which was employed to observe the morphology and microstructure of the samples; a German BRUKER D8 ADVANCE diffractometer for X-ray Diffraction (XRD) sourced from Bruker Technology Co., Ltd. (Beijing, China), which was used to characterize the crystal composition and structure of the materials; a Nicolette 6700 infrared spectrometer (IR) sourced from Thermo Fisher Scientific Co., Ltd. (Shanghai, China) for analyzing the coatings of silane coupling agents; and an Anton Paar Rheometer MCR302 sourced from Antonpaar Trading Co., Ltd. (Shanghai, China) for testing and analyzing the rheological properties of magnetic liquids. This rheometer was employed in conjunction with macro-rheological testing and theoretical analysis of visco-thermal properties, magneto-viscous properties, and flow curves to investigate the effects of different silane coupling agents on the rheological properties of carbon nanotube-doped silicone oil-based magnetic liquids.

2.3. Material Preparation

The magnetic liquid was prepared using an in situ chemical coprecipitation method. The specific steps are as follows. First, 0.5 g of CNTs, 27 g of FeCl3·6H2O, and 10 g of FeCl2·4H2O were weighed using an electronic balance and dissolved in 300 mL of deionized water while stirring continuously with an electric stirrer at a speed of 150 rpm/min. Once the solution was completely dissolved, 75 mL of 25% NH3·H2O was added as a precipitating agent and the reaction was allowed to proceed for 15 min; then, 5 mL of a silane coupling agent (options include 550, 570, or 7030) was added to coat the generated magnetic particles, where the mass ratio of the silane coupling agent to Fe3O4/CNTs was approximately 1:2.43, and this reaction was allowed to continue for 60 min. Then, the final solution was placed on a permanent magnet for precipitation, the supernatant was poured out, and the magnetic powder was washed with deionized water. The pH value was tested using pH test paper until it reached 7. The magnetic powder was dried in a vacuum drying oven at 60 °C with a vacuum pressure of −0.1 MPa for 36 h. Once dried, the magnetic powder was ground and 2 g of the dried powder was weighed. Next, it was dissolved in 20 mL of silicone oil, and the mixture was subjected to ultrasonic treatment using a KQ-250E ultrasonic cleaner with a power of 250 W for a total of 6 h. To prevent excessive temperature increase during the ultrasonic process, the operation was performed in cycles of 45 min of ultrasonic treatment followed by 15 min of rest. Then, the final silicone oil-based magnetic liquid was obtained.
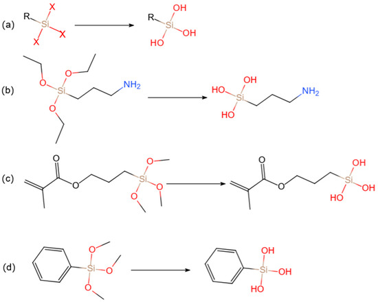
The silane coupling agent needs to react with the -OH groups adsorbed on the surface of magnetic particles to effectively connect the magnetic particles with the silicone oil-based carrier liquid. This process can be divided into three steps [15,16]. Firstly, as shown in Figure 1a, the reaction equation for group X in RSiX3 is presented. Three silane coupling agents are hydrolyzed to form hydroxyl groups, as shown in Figure 1b–d. In Figure 1b, for γ-aminopropyltriethoxysilane (550), the alkoxy groups on Si undergo hydrolysis to form -Si-(OH)3, while the amino (-NH2) functional group remains intact. Figure 1c depicts γ-methacryloxypropyltrimethoxysilane (570), in which the alkoxy groups on Si are converted to -Si-(OH)3 during the hydrolysis process, with the acrylate-related structure preserved. In Figure 1d, for phenyltrimethoxysilane (7030), the alkoxy groups on Si are hydrolyzed to generate -Si-(OH)3 while the benzene ring structure remains unchanged. This illustrates the reaction characteristics of different silane coupling agents under hydrolysis conditions. Then, the hydroxyl groups either form hydrogen bonds or dehydrate to form ether bonds with the hydroxyl groups on the surface of the magnetic particles. Finally, the R group of the silane coupling agent interacts with the organic compound, and the silane coupling agent successfully connects the magnetic particles with the silicone oil-based carrier liquid.
Figure 1. Schematic diagram of hydrolysis mechanism of silane coupling agents including typical structures (a) and reaction examples of 550 (b), 570 (c), and 7030 (d). The red part (in ad) is used to highlight the -OH groups generated during the hydrolysis process, representing the new functional groups formed; the blue part (only in b) is employed to emphasize the -NH2 group, which remains unchanged throughout the hydrolysis reaction and is a characteristic functional group of the specific silane molecule.

3. Results and Discussion

3.1. Analysis of Material Preparation Results

3.1.1. TEM Characterization

Figure 2 presents the TEM images (a–d) and the corresponding particle size distribution histograms (e–h) of four samples: Fe3O4, Fe3O4@550, Fe3O4@570, and Fe3O4@7030. The TEM characterization results presented in Figure 2 indicate that CNTs possess a tubular structure, with their surfaces densely populated by nanoscale Fe3O4 particles. This observation provides direct evidence that Fe3O4 particles have been successfully loaded onto the surfaces of CNTs, forming a Fe3O4/CNT composite nanostructure. Statistics show that the diameter of the Fe3O4 particles ranges from approximately 2 to 16 nm, with some areas exhibiting particle agglomeration. This microscopic structural characteristic can reasonably explain the magneto-viscous effect and the fluctuations in rheological properties observed in the three composite magnetic materials.
Figure 2. The TEM images (ad) and the corresponding particle size distribution histograms (eh) of three samples: Fe3O4, Fe3O4@550, Fe3O4@570, and Fe3O4@7030.
To quantitatively analyze the size of Fe3O4 particles, Nano Measurer 1.2.5 software was used for statistical distribution analysis, and the corresponding histograms (Figure 2e–h) were generated. The statistically calculated average particle sizes for Fe3O4 (Figure 2e), Fe3O4@550 (Figure 2f), Fe3O4@570 (Figure 2g), and Fe3O4@7030 (Figure 2h) are 7.61 ± 1.85 nm, 7.34 ± 2.18 nm, 9.23 ± 1.61 nm, and 7.50 ± 1.73 nm, respectively. The nanoscale size of Fe3O4 particles and their distribution or agglomeration state on the surface of CNTs can explain the fluctuations observed in the rheological properties of the composite magnetic materials. The particle size and degree of agglomeration affect the interactions between particles and their response to external magnetic fields, which directly influence macroscopic viscosity, flow behavior, and other related material properties.

3.1.2. XRD Characterization

To investigate the crystal structure of the composite magnetic particle material, XRD characterization analysis was performed on the powder of the composite magnetic particles. Figure 3 presents the XRD pattern of the composite magnetic particles, with a diffraction angle range of 25° to 80°. The six characteristic diffraction peaks observed in the figure (2θ = 30.26°, 35.66°, 43.26°, 53.74°, 57.28°, and 62.94°) correspond to the crystal planes (220), (311), (400), (422), (511), and (440) of Fe3O4, respectively. The absence of additional impurity peaks in the figure indicates good crystallinity and high purity, confirming that the prepared Fe3O4 is of the cubic inverse spinel type. Furthermore, the characteristic diffraction peaks of silane coupling agent-modified nanoscale Fe3O4 are almost identical to those of pure Fe3O4, indicating that the silane coupling agent does not affect the crystal structure of Fe3O4 when used as a surfactant.
Figure 3. XRD analysis of samples with Fe3O4@550, Fe3O4@570, and Fe3O4@7030.
Using the Scherrer formula D = κ λ / β cos θ (where κ = 0.89, λ = 0.15418 nm, β is the full width at half maximum, and θ is the diffraction half-angle), the average particle sizes of Fe3O4, Fe3O4@550, Fe3O4@570, and Fe3O4@7030 samples were calculated to be 7.65 nm, 7.28 nm, 8.21 nm, and 7.90 nm, respectively. Compared with the TEM results, the XRD and TEM particle size values for Fe3O4, Fe3O4@550, and Fe3O4@7030 are similar. For Fe3O4@570, the TEM particle size is larger than the XRD particle size, which may be attributed to agglomeration in this sample. TEM reflects the “apparent particle size” after agglomeration, while XRD measures the size of individual crystal grains; the difference arises from the agglomeration phenomenon. The coupling agent in Fe3O4@550 contains strongly polar amino groups (NH2-) and short propyl chains (-C3H6-), allowing it to adsorb tightly onto the particle surface and form a dense coating layer that inhibits particle agglomeration, resulting in a slightly smaller particle size. The methacrylate group (CH2=C(CH3)-COO-) in Fe3O4@570 has weaker polarity than the amino group (NH2-) and exhibits poorer adsorption stability. The carbon–carbon double bond (C=C) is prone to free radical polymerization and crosslinking reactions, causing adjacent particles to agglomerate through the “bridging” effect of the coupling agent, leading to an increase in particle size. The phenyl group (C6H6-) in Fe3O4@7030 is non-polar and interacts with the Fe3O4 surface only through weak van der Waals forces. The coating layer is loose and it easily detaches, unable to regulate particle interactions, thus having no significant impact on particle size.

3.1.3. IR Characterization

As shown in Figure 4, the red line represents the infrared spectrum of Fe3O4 modified with silane coupling agent 550, the blue line is the infrared spectrum of Fe3O4 modified with silane coupling agent 570, the green line is the infrared spectrum of Fe3O4 modified with silane coupling agent 7030, and the black line is the infrared spectrum of unmodified Fe3O4. Figure 4 reveals that all samples exhibit a characteristic stretching vibration peak of Fe-O at 574.42 cm−1, indicating the presence of Fe3O4 particles in the samples. Additionally, the O-H peak at 3418.07 cm−1 indicates the presence of -OH groups on the sample surface. Among them, Fe3O4@7030 (green line) shows a Si–O stretching vibration peak at 1240.80 cm−1, resulting from the reaction between the silanol groups of hydrolyzed 7030 and the surface –OH groups of Fe3O4. It also shows a peak at 1420 cm−1 corresponding to the aromatic C–H bending vibration of the phenyl group in 7030 and a peak at 1623.4 cm−1 assigned to the C=C stretching vibration of the aromatic ring in 7030. Fe3O4@570 (blue line) exhibits a 1420 cm−1 peak attributed to the C–H bending vibration of the alkyl chain in 570 and a 1623.4 cm−1 peak corresponding to the C=O stretching vibration of the methacrylate group in 570. Fe3O4@550 (red line) shows a 1420 cm−1 peak assigned to the C–H bending vibration of the propyl chain in 550 and a 1623.4 cm−1 peak corresponding to the N–H bending vibration of the amino group in 550. These characteristic peaks, specific to the functional groups of each silane coupling agent, along with the Si–O peak indicating chemical bonding between the coupling agents and the Fe3O4 surface, clearly confirm that the silane coupling agents have been successfully coated onto the material surface.
Figure 4. IR analysis of samples with Fe3O4, Fe3O4@550, Fe3O4@570, and Fe3O4@7030.

3.2. Rheological Property Analysis

3.2.1. Visco-Thermal Properties

The rheological properties of the magnetic fluid were tested using an Anton Paar MCR 302 rotational rheometer combined with a magnetorheological device (MRD) and a cone–plate geometric rotor with a diameter of 19.995 mm and a cone angle of 1.995°. The gap between the cone and the plate was set to 0.084 mm, and the sample volume used for the test was 0.088 mL. During the experiment, the shear rate was maintained at a constant 10 1/s while investigating the relationship between viscosity and temperature. The temperature was varied from 9 °C to 77 °C and subsequently reduced to room temperature within the same experimental setup. All measurement results represent the average of three tests, with the corresponding standard deviations indicated. The instrument’s measurement error is within 5%, and all test results fall within this error range.
Figure 5 shows the viscosity–temperature change curves for the magnetic liquid samples Fe3O4@550, Fe3O4@570, and Fe3O4@7030. It is evident that the viscosity of the magnetic liquid decreases as the temperature increases. This behavior can be attributed to the composition of the magnetic liquid, which primarily consists of nanoparticles, silane coupling agents, and a base carrier liquid. The intermolecular forces exert the most significant influence on the viscosity of the magnetic liquid. As the temperature rises, molecular thermal motion intensifies, resulting in increased distances between molecules, a reduction in attractive forces, and diminished internal friction, all of which contribute to a decrease in viscosity. The three magnetic liquids show consistent trends. In addition, it was observed that different silane coupling agents have different effects on the adhesive thermal properties of silicone oil, which can be explained by the activation energy ( E a ) .
Figure 5. The relationship between viscosity and temperature.
We quantified the relationship between viscosity and temperature in magnetic liquids modified with various silane coupling agents. The activation energy (Ea) for each sample was calculated using the Arrhenius equation, which is expressed as follows:
η = A e E a / R T
Taking the logarithm of both sides of the equation, the formula can be transformed as follows:
ln η = ln A + E a / R T
where η is the viscosity (Pa·s), A is the pre-exponential, E a is the activation energy (J/mol), R is the gas constant, 8.314 J/(mol·K), and T is the temperature (K).
Substituting the viscosities η288 and η348 of the Fe3O4@550 sample at temperatures 288 K and 348 K into Formula (2), we obtain the following:
ln 0.1199 = ln A + E a / 288 R
ln 0.04375 = ln A + E a / 348 R
Ea is calculated to be 14.26 kJ/mol.
For Fe3O4@570 and Fe3O4@7030, using the same method, the calculated Ea values are 13.63 kJ/mol and 13.56 kJ/mol, respectively, as shown in Table 1. The activation energy (Ea) characterizes the energy required for molecular chains to overcome energy barriers and undergo relative motion, which directly affects the magnitude of viscosity changes with temperature. A smaller activation energy (Ea) indicates a slower rate of viscosity decrease with increasing temperature, suggesting improved viscosity–temperature performance.
Table 1. Constant table.
The activation energy of Fe3O4@7030 is the lowest (13.56 kJ/mol), which is closely associated with the presence of the benzene ring in its molecular structure. The rigid structure of the benzene ring breaks the symmetry of the silane chain, reduces the coordination of molecular segment motion, and consequently reduces the influence of temperature changes on intermolecular forces. In contrast, the linear chain structures of Fe3O4@550 and Fe3O4@570 tend to form regular arrangements at low temperatures, leading to slightly higher activation energy and relatively poor viscosity temperature stability (Figure 5). Comparing the magnitudes of the viscosity temperature constants, it can be concluded that Fe3O4@7030 < Fe3O4@570 < Fe3O4@550, which is consistent with the ranking of activation energy. This observation confirms that lower activation energy results in a reduced influence of molecular thermal motion on viscosity, which is more advantageous for use under low-temperature conditions. Among the various magnetic liquids examined, Fe3O4@7030 exhibits the best viscosity–temperature performance.

3.2.2. Magneto-Viscous Effect

Figure 6 shows the viscosity–magnetic field intensity change curves of samples at five different shear rates (10 1/s, 30 1/s, 50 1/s, 100 1/s, and 200 1/s). Panels (a), (b), and (c) correspond to the magnetic liquids Fe3O4@550, Fe3O4@570, and Fe3O4@7030, respectively. As shown in Figure 6, in the absence of an external magnetic field, the viscosity of the magnetic liquid decreases as the shear rate increases. With an increase in magnetic field intensity, the number of magnetic particles within the liquid remains constant, resulting in a consistent formation of chain structures and a stable magnetic torque. Consequently, under continuous and stable shear conditions, the effects of shear and the magnetic field ultimately reach a balance, causing the viscosity of the magnetic liquid to no longer increase with the increase in the magnetic field intensity. Furthermore, at a constant magnetic field intensity, the viscosity continues to decrease with rising shear rates, demonstrating the non-Newtonian fluid characteristic known as “shear thinning”.
Figure 6. The relationship between viscosity and magnetic strength.
Shlioims’ ferromagnetohydrodynamics [26] can explain the occurrence of this phenomenon. Magnetic moments are present within magnetic particles. Under shear stress, these magnetic moments change with the shear direction of the magnetic particles. When an external magnetic field is applied, the magnetic moments undergo directional polarization in alignment with the external field. At this point, the magnetic moments create a misalignment between the shear direction and the direction of the external field, a phenomenon referred to as magnetic torque. Magnetic torque can resist the torque generated by the shear stress, leading to a resistance against particle movement and ultimately resulting in an increase in the viscosity of the magnetic fluid.
The magnetic dipole interaction refers to the magnetic force between two magnetic dipoles, and its action intensity is proportional to the product of the magnetic dipole moments and inversely proportional to the third power of the distance between them. The formula is as follows.
E μ 0 m 2 r 3
where E is the interaction force between two magnetic dipoles; μ 0 is the vacuum permeability; m is the magnetic moment; and r is the particle spacing, which is the distance between the surfaces of the two particles plus the length of the coupling agent molecule. Assuming that the particles are spherical with a radius of r 0 , the spacing without coating may be 2 r 0 . Since each particle surface is coated with a layer of coupling agent, l is added to both sides, where l is the length of the coupling agent molecule. Therefore, it is necessary to determine the molecular length l of each coupling agent to calculate r = 2 r 0 + 2l.
The influence of chain length differences is important. Long-chain coupling agents (550, 570) significantly reduce the magnetic dipole interaction energy by increasing particle spacing. This reduction weakens the tendency for particle aggregation and enhances the stability of the magnetic field-induced chain structure. As shown in Table 2, the viscosity changes observed in the modified Fe3O4@550 and Fe3O4@570 samples (29.7% and 161.4%, respectively) are significantly higher than that of the Fe3O4@7030 sample (28.2%), which aligns with the aforementioned Formula (2). It can be concluded that long-chain coupling agents diminish the magnetic dipole interaction energy by increasing r, making the particles more likely to form ordered chain structures in the presence of an external magnetic field, thereby amplifying the magneto-viscous effect.
Table 2. Viscosity change.

3.2.3. Influence of Silane Coupling Agents on Shear-Thinning Behavior

As shown in Figure 7, the viscosity–shear rate (Figure 7a,c,e) and shear stress–shear rate curves (Figure 7b,d,f) of Fe3O4@550, Fe3O4@570, and Fe3O4@7030 magnetic liquids were measured under four different magnetic field intensities (0 kA/m, 79 kA/m, 141 kA/m, and 266 kA/m). These relationships follow the fundamental principle of rheology, expressed as follows:
τ = η γ ˙
where the shear stress (τ, Pa) is proportional to the product of viscosity (η, mPa·s) and shear rate ( γ ˙ ,   s 1 ).
Figure 7. The relationship between viscosity, shear stress, and shear rate. Figures (a,b) present data for Fe3O4@550, (c,d) for Fe3O4@570, and (e,f) for Fe3O4@7030. In each pair, the left figure shows viscosity - shear rate relation, and the right one shows shear stress - shear rate relation, with different curves corresponding to various magnetic field strengths (0 kA/m, 79 kA/m, 141 kA/m, 266 kA/m).
When the external magnetic field intensity is 0 kA/m, the viscosity of the three magnetic liquids remains nearly constant with respect to the shear rate, resulting in a straight line that is parallel to the horizontal axis, which is characteristic of Newtonian fluids. Upon the application of a magnetic field, the viscosity of magnetic liquids continuously decreases with an increasing shear rate, exhibiting typical “shear-thinning” non-Newtonian fluid characteristics. In the initial stage of shearing, the magnetic field induces the rapid alignment of magnetic particles, forming chain-like aggregates that result in a sharp increase in viscosity. As the shear rate increases, the shear force gradually destroys the chain structure, resulting in a decrease in viscosity, until the effects of shear and magnetic field reach equilibrium, at which point the viscosity stabilizes.
Moreover, due to differences in the structure of the silane coupling agents, the patterns showed significant differentiation. Among them, the coupling agent of Fe3O4@550 contains strongly polar amino groups (NH2-), which form a dense coating layer through strong hydrogen bonds, resulting in uniformly dispersed particles with strong interactions. In the low-shear region ( γ ˙ < 20 s−1), the viscosity reaches a high peak, and a high shear force is required to break the network structure, causing the shear stress to increase sharply with the shear rate. In the high-shear region ( γ ˙ > 20 s−1), after the network structure is destroyed, the dense coating inhibits the secondary agglomeration of particles, so the viscosity decreases and then stabilizes, and the growth slope of the shear stress changes from steep to gentle (Figure 7b). The coupling agent of Fe3O4@570 contains methacrylate groups (CH2=C(CH3)-COO-), and its long chains form “soft connections” between particles. In the low-shear region ( γ ˙ < 40 s−1), the initial viscosity is high, but the agglomerates are easily broken under shear, causing the viscosity to decrease rapidly with the shear rate (Figure 7c). The destruction of agglomerates releases particles, making the growth slope of the shear stress initially steep and then gentle (Figure 7d). In the high-shear region ( γ ˙ > 40 s−1), the thick steric hindrance layer maintains weak interactions between particles; the weak interactions continuously contribute to resistance, causing the growth slope of the shear stress to remain stable and slightly higher than that of Fe3O4@550. The long chains not only make the entangled chains easily destroyed by shear, but also increase particle spacing, reduce the magnetic dipole interaction energy (Ea), and accelerate the decomposition of the chain structure. The coupling agent of Fe3O4@7030 contains non-polar phenyl groups (C6H6-), which are adsorbed through weak van der Waals forces, resulting in a loose coating layer and weak particle interactions. In the low-shear region ( γ ˙ < 20 s−1), the loose coating makes it difficult to form a stable network, so the viscosity has a low peak and it decreases slowly with the shear rate (Figure 7e). The weak particle interactions result in a small growth slope of the shear stress (Figure 7f). In the high-shear region ( γ ˙ > 20 s−1), due to the lack of effective connections between particles, shear has little effect on destroying the chain structure, and the magnetically induced chains have poor stability, so the viscosity η decreases and then stabilizes. In general, the differences among the three samples arise from the coupling agents regulating the particle interface interactions (hydrogen bonds, long-chain entanglement, or weak van der Waals forces) and magnetic interactions, ultimately leading to significant differences in the shear-thinning behavior.

4. Conclusions

Fe3O4/CNT silicone oil-based magnetic liquids were successfully synthesized through in situ chemical coprecipitation, followed by surface modification using three silane coupling agents: γ-aminopropyltriethoxysilane (550), γ-methacryloxypropyltrimethoxysilane (570), and phenyltrimethoxysilane (7030). TEM, XRD, and IR characterizations confirmed the uniform growth of Fe3O4 particles on the surface of carbon nanotubes. The silane coupling agent stabilized the coating through hydrolysis reaction, while Fe3O4 remained in a cubic spinel crystal structure.
The viscosity of the magnetic liquids exhibited an exponential decay with increasing temperature, consistent with the Arrhenius equation. Fe3O4@7030 showed the lowest activation energy (Ea = 13.56 kJ/mol). This behavior is attributed to the rigid structure of the benzene ring, which disrupts the symmetry of the silane chains and reduces the cooperativity of segmental motion, thereby enhancing low-temperature stability. In shear flow fields, the magnetic liquids exhibited significant non-Newtonian behavior. Long-chain coupling agents are easily disrupted by shear due to their “soft connections”. For example, the viscosity change of 550 is 20.8%, which is significantly higher than that of short-chain coupling agent 7030, with a viscosity change of 5.2%. This phenomenon arises from increased particle spacing (r = 2r0 + 2l), which reduces the magnetic dipole interaction energy ( E μ 0 m 2 r 3 ) and accelerates the disintegration of the chain structure. This study establishes a structure–property relationship among the molecular structure of coupling agents, particle interface characteristics, and macroscopic rheological behavior, providing a theoretical basis for the design of high-performance magnetorheological fluids.
This study has not investigated long-term stability under continuous service conditions or the effects of thermal cycling, both of which are critical for sealing applications. Future research will address these aspects by investigating particle dispersion, coating stability, and viscosity evolution to optimize materials for specific sealing purposes.

Author Contributions

W.L. led the project, overseeing conception, experimentation, manuscript writing, and management, which included responsibilities such as data analysis and securing funding. The other team members (X.Z., S.Y., B.W., X.T. and W.S.) focused on experimental tasks, including designing setups, collecting data, validating results, and visualizing findings. All authors have read and agreed to the published version of the manuscript.

Funding

This research was funded by the Key Laboratory Project of Dazhou Fiber Material Composite Technology (No. XWCL23ZA-02), the Dazhou Science and Technology Bureau Project (No. 23YYJC0006), and the High-level Talent Research Start-up Project of Sichuan University of Arts and Science (No. 2023GCC03Z).

Data Availability Statement

The raw data supporting the conclusions of this article will be made available by the authors on request.

Conflicts of Interest

The authors declare no conflicts of interest.

References

  1. Serga, V.; Burve, R.; Maiorov, M.; Krumina, A.; Skaudžius, R.; Zarkov, A.; Kareiva, A.; Popov, A.I. Impact of Gadolinium on the Structure and Magnetic Properties of Nanocrystalline Powders of Iron Oxides Produced by the Extraction-Pyrolytic Method. Materials 2020, 13, 4147. [Google Scholar] [CrossRef]
  2. Khonina, T.G.; Demin, A.M.; Tishin, D.S.; Germov, A.Y.; Uimin, M.A.; Mekhaev, A.V.; Minin, A.S.; Karabanalov, M.S.; Mysik, A.A.; Bogdanova, E.A.; et al. Magnetic Nanocomposite Materials Based on Fe3O4 Nanoparticles with Iron and Silica Glycerolates Shell: Synthesis and Characterization. Int. J. Mol. Sci. 2023, 24, 12178. [Google Scholar] [CrossRef] [PubMed]
  3. Molinar-Díaz, J.; Woodliffe, J.L.; Steer, E.; Morley, N.A.; Brown, P.D.; Ahmed, I. Optimisation of the Flame Spheroidisation Process for the Rapid Manufacture of Fe3O4-Based Porous and Dense Microspheres. Molecules 2023, 28, 2523. [Google Scholar] [CrossRef] [PubMed]
  4. Stephen, P.S. Low Viscosity Magnetic Fluid Obtained by the Colloidal Suspension of Magnetic Particles. U.S. Patent US3215572 A, 2 November 1965. [Google Scholar]
  5. Xiaolong, Y.; Decai, L.I.; Wenming, Y.; Xing, F.; Cui, H. Magnetic field finite element analysis and experimental verification of magnetic fluid seal with large gap. J. Beijing Jiaotong Univ. 2013, 37, 181–184. [Google Scholar]
  6. Li, L.; Li, D.; Wang, L.; Liang, Z.; Zhang, Z. Stable silicone oil based ferrofluids with well low-temperature fluidity applied to magnetic fluid seal. J. Magn. Magn. Mater. 2023, 584, 171077. [Google Scholar] [CrossRef]
  7. Sharyna, S.; Krakov, M. Interplay between magnetophoresis and diffusion in magnetic fluid seals for vacuum devices and their lifespan. Vacuum 2025, 234, 114122. [Google Scholar] [CrossRef]
  8. Wan-Li, S.; Seung-Bok, C.; Myeong-Woo, C. Lubrication property of magnetorheological fluid with nano-silica additives under magnetic field. J. Iron Steel Res. Engl. Ed. 2012, 5, 519–523. [Google Scholar]
  9. Rui, H.; Hansheng, C.; Haoran, Z.; Humao, W.; Junpeng, G.; Songshan, Y.; Hougen, L.; Yi, G.; Chunxia, X.; Jianwu, Y.; et al. Research on Magnetic Fluid Precise Localized Lubrication Thrust Cylindrical Roller Bearing with Low-Friction Micro-Vibration and High Load-Bearing Capacity; IOP Publishing Ltd.: Bristol, UK, 2024; Volume 2853, p. 012016. [Google Scholar]
  10. Laru, R.; Dragoi, D.D. Inductive tilt sensor with magnets and magnetic fluid. Sens. Actuators A Phys. 2005, 120, 424–428. [Google Scholar]
  11. Hang, M.; Yang, W. Research on the sensing properties and vibration reduction performance of self-sensing self-tuning magnetic fluid damper. Meas. Sci. Technol. 2025, 36, 015121. [Google Scholar]
  12. Jordan, A.; Scholz, R.; Wust, P.; Fähling, H.; Felix, R. Magnetic fluid hyperthermia (MFH): Cancer treatment with AC magnetic field induced excitation of biocompatible superparamagnetic nanoparticles. J. Magn. Magn. Mater. 1999, 201, 413–419. [Google Scholar] [CrossRef]
  13. Yudhisthira, S.; Hillel, P.; Tcipi, F.; Dina, G.L.; BursteinChaim, N.; SukenikGil, M. Alkyl phosphonate/phosphate coating on magnetite nano-particles:  A comparison with fatty acids. Langmuir 2001, 17, 7907–7911. [Google Scholar]
  14. Durdureanu-Angheluta, A.; Ardeleanu, R.; Pinteala, M.; Harabagiu, V.; Chiriacc, H.; Simionescu, B.C. Silane covered magnetite particles. preparation and characterisation. Dig. J. Nanomater. Biostruct. 2008, 3, 33–40. [Google Scholar]
  15. Durdureanu-Angheluta, A.; Pricop, L.; Stoica, I.; Peptu, C.-A.; Dascalu, A.; Marangoci, N.; Doroftei, F.; Chiriac, H.; Pinteala, M.; Simionescu, B.C. Synthesis and characterization of magnetite particles covered with α-trietoxysilil-polydimethylsiloxane. J. Magn. Magn. Mater. 2010, 322, 2956–2968. [Google Scholar] [CrossRef]
  16. Wilson, K.S.; Goff, J.D.; Riffle, J.S.; Harris, L.A.; Pierre, T.G.S. Polydimethylsiloxane-magnetite nanoparticle complexes and dispersions in polysiloxane carrier fluids. Polym. Adv. Technol. 2005, 16, 200–211. [Google Scholar] [CrossRef]
  17. Chen, H.J.; Wang, Y.M.; Qu, J.M.; Hong, R.Y.; Li, H.Z. Preparation andcharacterization of silicone oil based ferrofluid. Appl. Surf. Sci. 2011, 257, 10802–10807. [Google Scholar] [CrossRef]
  18. Iijima, S. Helical microtubules of graphic carbon. Nature 1991, 354, 56–58. [Google Scholar] [CrossRef]
  19. Karimzadeh, I.; Fakharpour, M.; Salehi, S. Synthesis and study of electrochemical, optical, and magnetic properties of Fe3O4/MWCNT-COOH nanocomposite. Eur. Phys. J. Plus 2025, 140, 459. [Google Scholar] [CrossRef]
  20. Ali, A.M. Synthesis of magnetic MWCNTs nanohybrids and application in remediation of chromium ions in refinery wastewater. Eng. Technol. J. 2022, 35, 838–841. [Google Scholar] [CrossRef]
  21. Paidar, R.; Gholikandi, G.B.; Alighardashi, A.; Shahamat, Y.D.; Barzaki, H.R. Bio-ZnO/Fe3O4@MWCNTs magnetic nanocomposites promoted green synthesis of pyrrole derivatives and removal of cefixime and amoxiciline from aqueous solution. Polycycl. Aromat. Compd. 2024, 44, 1991–2007. [Google Scholar] [CrossRef]
  22. Wang, W.; Li, Q.; Chang, C. Effect of MWCNTs content on the magnetic and wave absorb-ing properties of ferrite-MWCNTs composites. Synth. Met. 2011, 161, 44–50. [Google Scholar] [CrossRef]
  23. Jiang, R.; Zhu, H.Y.; Fu, Y.Q.; Zong, E.M.; Jiang, S.T.; Li, J.B.; Zhu, J.Q.; Zhu, Y.Y. Magnetic NiFe2O4/MWCNTs functionalized cellulose bioadsorbent with enhanced adsorption property and rapid separation. Carbohydr. Polym. 2021, 252, 117158. [Google Scholar] [CrossRef] [PubMed]
  24. Li, L.; Li, D.; Zhang, Z. Rheological and magnetic properties of stable poly alpha olefins based ferrofluids with high viscosity and magnetization. SSRN Electron. J. 2022, 564, 170096. [Google Scholar]
  25. Li, L.; Li, D.; Zhang, Z. Colloidal stability of magnetite nanoparticles coated by oleic acid and 3-(N,N-Dimethylmyristylammonio)propanesulfonate in solvents. Front. Mater. 2022, 9, 893072. [Google Scholar] [CrossRef]
  26. Shliomis, M.I. Effective viscosity of magnetic suspensions. J. Exp. Theor. Phys. 1972, 34, 1291–1294. [Google Scholar]
Disclaimer/Publisher’s Note: The statements, opinions and data contained in all publications are solely those of the individual author(s) and contributor(s) and not of MDPI and/or the editor(s). MDPI and/or the editor(s) disclaim responsibility for any injury to people or property resulting from any ideas, methods, instructions or products referred to in the content.

Article Metrics

Citations

Article Access Statistics

Multiple requests from the same IP address are counted as one view.