Abstract
A model of a “smart” composite based on a thermosensitive PNIPAM polymer deposited on a FeRh substrate with a modified periodic microstructure was proposed. The initial parameters of the model were determined from the properties of the actual composite sample and its components. Cooling of the sample using a magnetic field was shown by two independent methods, and at ~37 °C, it was −5.5 °C when a magnetic field of 1.8 T was applied. Based on experimental data, models of traditional and modified PNIPAM/FeRh composites were constructed. Calculations show that surface modification allows for an increase in the activation time for a polymer layer that is 20 µm thick from ~20 ms for a conventional composite to ~60 ms for a modified composite. Modification of the surface in the form of wells can be used to more effectively implement the idea of loading and releasing drugs for potential biomedical applications.
1. Introduction
As is known, “smart” materials are a class of advanced materials united by the manifestation of one or more physical (optical, magnetic, electrical, mechanical) or physicochemical (hydrophobic, rheological, etc.) properties with one origin that significantly change under external stimuli (pressure, temperature, humidity, pH of the medium, electric or magnetic field, etc.) with completely different natures [1]. Temperature-responsive polymers are one type of “smart” material currently being considered for promising biomedical applications [2,3,4,5].
The most promising among this class of compounds are polymers with a lower critical solution temperature (LCST) [6]. An LCST is the temperature below which materials completely dissolve in the aqueous phase. Above this temperature, they become insoluble and phase separated. The phase transition is reversible and is an energy-driven process that depends on the free energy of mixing or entropy of the system. One of the promising thermosensitive polymers with transitions at physiological temperatures of ~32 °C is poly(N-isopropylacrylamide) (PNIPAM). PNIPAM is promising for biomedical applications, such as drug release, tissue engineering, and theranostics [7,8,9,10]. PNIPAM has an LCST of ~32 °C in aqueous solutions and reversibly transforms from a swollen, hydrated state to a wrinkled, dehydrated state, losing about 90% of its volume. Different methods can be used for the fabrication of PMIPAM-based smart materials from the coating of films to 3D–4D printing [11,12].
There are different approaches to thermally activate thermoresponsive polymers from conventional heaters to magnetic fields [13,14,15]. This depends on the future practical outcomes and limitations of how a heater should be attached. Approaches based on the use of magnetic fields propose the use of various thermal effects, such as hyperthermia, the magnetocaloric effect (MCE), etc. [16,17]. The advantage of using magnetic fields is the ability to non-contactly control the polymer’s temperature by creating a composite based on a magnetic material and a thermosensitive polymer. For example, by Shen B. [18] was proposed a theranostic model for drug delivery based on magnetic nanoparticles of magnetite, drug model 5-fluorouracil, and PNIPAM polymers. It has been shown that magnetite can be used in this model for both classical magnetic hyperthermia and drug delivery, which is controlled by changing the temperature of the PNIPAM. Another more interesting approach is to use the MCE to control the temperature of a polymer, which can then be used to release a drug [15,19].
The advantage of using the magnetocaloric effect (MCE) method is that it allows for contactless activation of the phase transition in a polymer by applying a single magnetic field, without the need for a high-frequency AC magnetic field. To achieve this, it is necessary to select a magnetocaloric material whose magnetic phase transition temperature is close to that of the LCST of the polymer.
The present research is devoted to the theoretical and experimental study of the promising model of a smart composite: a thermosensitive polymer/magnetocaloric material. In the proposed model, an appropriate thermal effect is achieved as a result of the MCE through the application or removal of a magnetic field. We propose an intermetallic alloy of FeRh as the magnetic component of the composite with a CsCl-type structure and a metamagnetic phase transition around physiological temperatures of ~36 °C. As temperature-sensitive components, we propose a well-known PNIPAM polymer. Due to the inverse MCE, the FeRh layer cools down the PNIPAM to ~32 °C, where it transforms from a wrinkled, dehydrated state into a swollen, hydrated state, which can be used to release drugs loaded in the PNIPAM matrix. (Figure 1) [20].
Figure 1.
Concept of the control PNIPAM properties by the magnetocaloric effect in the PNIPAM/FeRh smart composite: composite at dehydrated state at 37 °C and zero magnetic field (a) and composite is cooled down due inverse MCE at applied 2 T magnetic field, induced LCST in PNIPAM and transform it to hydrated state (b).
2. Materials and Methods
The PNIPAM/FeRh sample has a bi-layer composite structure and consists of a PNIPAM layer coated on a substrate of the magnetocaloric alloy Fe49Rh51 (FeRh). The solvent casting method assisted by the doctor blade technique was used as a simple method for coating FeRh with the PNIPAM polymer [21,22,23]. The substrate material of Fe49Rh51 (FeRh) was synthesized by melting pure elements Fe (99.98%) and Rh (99.8%) in a helium atmosphere (10−4 mbar) and annealing at 1000 °C for 7 days, followed by air quenching. Details of the sample preparation and characterization are available elsewhere [24]. For the preparation of a thermoresponsive polymer solution, PNIPAM powder (Alfa Aesar, Kandel, Germany) was dissolved in ethanol at room temperature, followed by mixing until complete dissolution of the polymer. Then, a 2% solution of PNIPAM was spread on the FeRh substrate using a doctor blade technique described elsewhere [19]. Further, the PNIPAM solution was dried in a closed dish for 12 h. Finally, the composite was dried at 60 °C for 2 h. The modified FeRh sample with periodic hole («well») -like surface topography was prepared using a 50 W fiber laser engraver.
The composite microstructure was studied using an LEO-1450 scanning electron microscope (SEM) with an ISYS microprobe EDS analyzer (Leica Microsystems, Wetzlar, Germany). The magnetic properties of the samples were measured using a VSM magnetometer integrated on physical property measurement system (PPMS) (Quantum Design, San Diego, CA, USA), and the MCE was studied by two direct methods: using a differential T-type microthermocouple with wires of 25 µm in diameter attached to the sample and an IR camera COX CG640 (640 × 480 pixels, 30 Hz) (COX, Seoul, South Korea) with a macro lens [25]. To observe and analyze heat transfer processes, an IR camera and thermal imaging analysis software were used, and heat distribution processes were calculated by solving the heat conduction equation using a tridiagonal matrix algorithm.
The simulation was carried out using the finite element method (FEM) in the COMSOL Multiphysics software package. Three-dimensional models of both types of composites were considered, with the geometric parameters corresponding to the dimensions of the actual system. The simulations were performed in the heat transfer interface. For the calculations, grids of combined free tetrahedral and mapped types were used, with a maximum grid element size of 4 × 10−5 m. The problem converges well, and a relative error of 0.001 was chosen as the stopping criterion.
3. Results and Discussion
3.1. Experiment
To calculate the heat transfer processes in a smart composite, it is necessary to determine the material properties of the components used in the model. In order to study the surface morphology and basic geometric properties, SEM images of a FeRh plate were obtained in various projections (Figure 2).
Figure 2.
SEM images of the FeRh sample and its composite modified by laser radiation: general image of modified sample (a), cross section of PNIPAM/FeRh sample (b) and images of hole -like structures (c,d).
As can be seen, the surface has a periodic structure with recesses in the form of holes. These holes are caused by exposure to laser radiation and have a heterogeneous morphology. The polymer layer thickness estimated from SEM images is about 20 μm for PNIPAM/FeRh (Figure 2c).
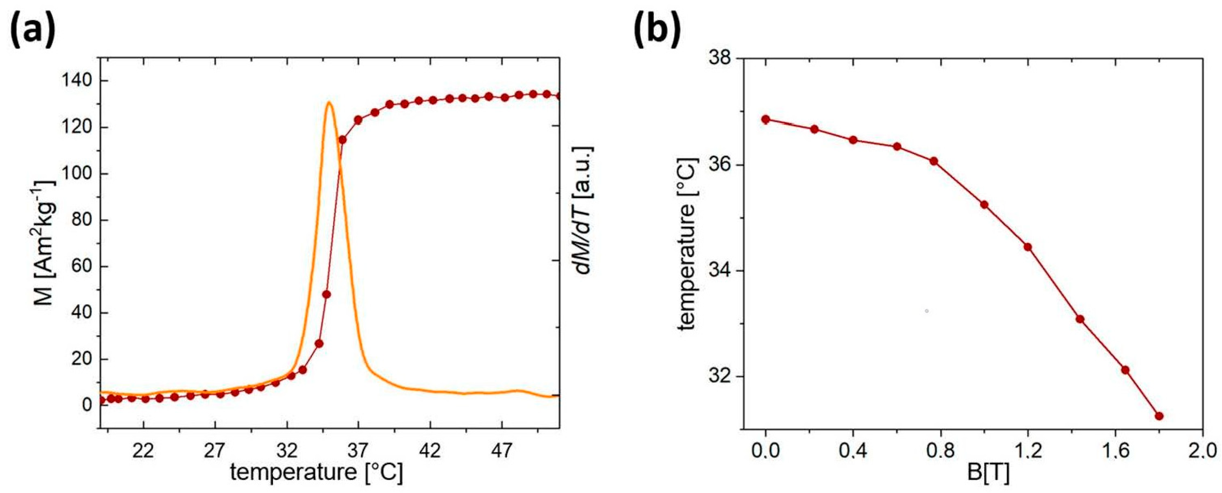
Figure 3a shows the temperature dependence of magnetization and its derivative dM/dT in a magnetic field of 1.8 T. A sharp change in magnetization at temperatures between 305 and 310 K is associated with a metamagnetic transition from an antiferromagnetic to a ferromagnetic phase, typically for ordered B2 FeRh alloys. The transition temperature estimated from dM/dt (T) is around 308 K, and based on this, 310 K was chosen as the starting temperature for our simulation.
Figure 3.
(a) Temperature dependence of magnetization for Fe49Rh51 measured in a 1.8 T magnetic field at heating—red dots, left axis. Temperature dependence of dM/dT in a 1.8 T magnetic field—orange curve, right axis. (b) Magnetic field dependences of the adiabatic temperature change in the PNIPAM/FeRh sample as a result of the inverse MCE at magnetic fields up to 1.8 M measured at 37 °C.
Figure 3b shows the field dependence of temperature change as a result of the inverse MCE at a starting temperature of ~37 °C.
The maximum temperature change is observed at ~37 °C and is −5.5 °C, with a magnetic field change of 0 → 1.8 T. As seen, this temperature change is sufficient to cool the polymer layer to ~32 °C and hence induce the LCST phase transition in PNIPAM, transforming it from a wrinkled, dehydrated state to a swollen, hydrated state. The magnetic field dependency of the MCE is characteristic of similar Fe49Rh51 compositions and agrees with the literature data [24].
To visually demonstrate the temperature change resulting from the inverse magnetocaloric effect, measurements were taken using an infrared camera. A setup for studying the MCE in magnetic materials near room temperature is described in [25]. It consists of a COX CG-640 infrared camera with a macro lens and a system of permanent magnets based on a cylindrical Halbach structure, which produces a maximum magnetic field of 1.45 T in the operating area. The measurement error of the temperature was 2 °C and the resolution was 0.05 °C.
The sample temperature in the initial state was ~37 °C (Figure 4a), and the application of a magnetic field of 1.45 T caused it to cool down to a minimum temperature of ~35 °C (Figure 4b). It should be noted that the non-contact method of measurements of the MCE was used just for a visual demonstration of the effect, and due to a large experimental error, it is not suitable for the model. Moreover, small temperature changes compared to the direct method are associated with the poor adiabatic conditions of the experiment. Thus, model calculations were used based on results of direct measurements.
Figure 4.
IR images obtained from MCE studies in PNIPAM/FeRh samples using a COX CG-640 IR camera at (a) zero and (b) 1.45 T applied magnetic field.
3.2. Calculations
Based on the data from the FeRh sample, geometric models for the conventional and modified FeRh plates were created (Figure 5). The dimensions of the holes and geometric parameters were as close as possible to those of the actual object. As with a real PNIPAM/FeRh composite sample, the thickness of the PNIPAM polymer layer was approximately 20 μm. This model does not account for the inhomogeneity of the holes or their exact geometry. PNIPAM and FeRh parameters were obtained experimentally and from the literature sources and used to simulate heat transfer processes. Physical parameters of FeRh and PNIPAM components, used for modeling was collected in Table 1. Material parameters of the FeRh component used for calculations were taken from experimentally obtained parameters for the Fe49Rh51 sample [24]. The material parameters of the PNIPAM for calculations have been simplified and used based on assumptions that the LCST occurs in aqueous solutions and PNIPAM, as suggested by Zhou et al. [26], which can be assumed to be a thermosensitive liquid with a specific heat capacity of ~4300 J/Kg × K close to water at ~4200 J/Kg × K. These simplifications of the parameters were assumed based on the low mass of the PNIPAM polymer, which was significantly less than the mass of the FeRh plate, which critically does not affect the simulation results. Moreover, the is no significant difference between the density of PNIPAM 1100 kg/m3 and water 1000 kg/m3.
Figure 5.
A 3D model of a conventional (a) and modified (b) PNIPAM/FeRh composite.
Table 1.
Physical parameters of FeRh and PNIPAM components used for modeling.
Based on the data from FEM simulations of the studied sample, we carried out simulations of the heat transfer process in both conventional and modified PNIPAM/FeRh composite samples (Figure 6).
Figure 6.
Time dependence of a normal and modified PNIPAM/FeRh composite.
As can be seen in Figure 6, thermal equilibrium is achieved in ~20 ms for a conventional sample of PNIPAM-FeRh. In contrast, in the case of the modified sample, there is a slight delay in achieving thermal equilibrium in wells (~60 ms).
Three-dimensional maps of the temperature distribution in a PNIPAM/FeRh sample with modified geometry at a selected time when a 1.8 T magnetic field is applied are presented in Figure 7. This allows us to track the dynamics of temperature changes.
Figure 7.
Three-dimensional maps of the temperature distribution in a sample at a selected time of modified PNIPAM/FeRh are presented when a 1.8 T magnetic field is used.
The results of calculations are in good agreement with the experimental results obtained on a composite sample with similar parameters. As shown by experiments using a special experimental insert to in situ observe the properties of thermoresponsive polymers in a magnetic field, reversible control of polymer properties is observed when the 8 T magnetic field is switched on and off. In experiments conducted using a sample with a modified surface geometry and similar parameters in this work, a successful release of doxorubicin is observed when a magnetic field of up to 3 T is applied, which is available on some medical MRI tomographs [27].
As can be seen in the figure, the delay in temperature change is localized only in regions where “wells” are located and is related to their geometry. The results of our calculations based on experimentally obtained parameters show that the geometry of the samples plays an important role in controlling the properties of smart composites based on thermosensitive polymers. “Wells” can serve as containers for drug loading, which is relevant for potential biomedical applications involving controlled drug release. Modifying the geometry of these “wells” is an important design parameter when creating new smart composites for biomedical applications, as it allows for controlling drug release dynamics.
4. Conclusions
FEM calculations using experimental data in the PNIPAM/FeRh composite model based on the thermosensitive PNIPAM polymer and the FeRh magnetocaloric substrate show that the temperature change resulting from the application of a magnetic field allows the polymer to be completely converted from a dehydrated state to a hydrated one due to reaching the LCST. In addition, surface modification provides for the control of the activation time of the thermosensitive polymer and may open up new possibilities for the development of “smart” composites for biomedical applications, such as “smart” implants.
Author Contributions
Conceptualization, A.A.A., methodology, M.A.K.; software, M.A.K.; validation, D.M.Y., E.K.M. and A.M.C.; formal analysis, A.M.C. and A.P.K.; investigation, A.P.K., A.M.C., E.K.M. and D.M.Y.; resources, A.A.A.; data curation, D.M.Y. and A.P.K.; writing—original draft preparation, A.A.A.; writing—review and editing, M.A.K. and A.P.K.; visualization M.A.K. and E.K.M.; supervision, A.A.A.; project administration, A.A.A.; funding acquisition, A.A.A. All authors have read and agreed to the published version of the manuscript.
Funding
This work was supported by the Russian Science Foundation (project No. 24-19-00782, https://rscf.ru/en/project/24-19-00782/).
Data Availability Statement
The data that support the findings of this study are available from the corresponding author upon reasonable request.
Conflicts of Interest
The authors declare no conflicts of interest.
References
- Greco, F.; Mattoli, V. Introduction to Active Smart Materials for Biomedical Applications. In Nanomedicine and Nanotoxicology; Springer: Berlin/Heidelberg, Germany, 2012; pp. 1–27. [Google Scholar] [CrossRef]
- Kotsuchibashi, Y.; Ebara, M.; Aoyagi, T.; Narain, R. Recent advances in dual temperature responsive block copolymers and their potential as biomedical applications. Polymers 2016, 8, 380. [Google Scholar] [CrossRef] [PubMed]
- Qiao, S.; Wang, H. Temperature-responsive polymers: Synthesis, properties, and biomedical applications. Nano Res. 2018, 11, 5400–5423. [Google Scholar] [CrossRef]
- Doberenz, F.; Zeng, K.; Willems, C.; Zhang, K.; Groth, T. Thermoresponsive polymers and their biomedical application in tissue engineering—A review. J. Mater. Chem. B 2020, 8, 607–628. [Google Scholar] [CrossRef] [PubMed]
- Yan, H.; Tsujii, K. Potential application of poly(N-isopropylacrylamide) gel containing polymeric micelles to drug delivery systems. Colloids Surf. B Biointerfaces 2005, 46, 142–146. [Google Scholar] [CrossRef]
- Schild, H.G. Poly(N-isopropylacrylamide): Experiment, theory and application. Prog. Polym. Sci. 1992, 17, 163–249. [Google Scholar] [CrossRef]
- Rzaev, Z.M.O.; Dinçer, S.; Pişkin, E. Functional copolymers of N-isopropylacrylamide for bioengineering applications. Prog. Polym. Sci. 2007, 32, 534–595. [Google Scholar] [CrossRef]
- Xu, X.; Liu, Y.; Fu, W.; Yao, M.; Ding, Z.; Xuan, J.; Li, D.; Wang, S.; Xia, Y.; Cao, M. Poly(N-isopropylacrylamide)-based thermoresponsive composite hydrogels for biomedical applications. Polymers 2020, 12, 580. [Google Scholar] [CrossRef]
- Frolova, A.; Ksendzov, E.; Kostjuk, S.; Efremov, Y.; Solovieva, A.; Rochev, Y.; Timashev, P.; Kotova, S. Thin Thermoresponsive Polymer Films for Cell Culture: Elucidating an Unexpected Thermal Phase Behavior by Atomic Force Microscopy. Langmuir 2021, 37, 11386–11396. [Google Scholar] [CrossRef]
- Throat, S.; Bhattacharya, S. Macromolecular Poly(N-isopropylacrylamide) (PNIPAM) in Cancer Treatment and Beyond. Adv. Polym. Technol. 2024, 2024, 1444990. [Google Scholar] [CrossRef]
- Nigro, V.; Angelini, R.; Buratti, E.; Colantonio, C.; D’Amato, R.; Dinelli, F.; Franco, S.; Limosani, F.; Montereali, R.M.; Nichelatti, E.; et al. Influence of a Solid Surface on PNIPAM Microgel Films. Gels 2024, 10, 473. [Google Scholar] [CrossRef]
- Liu, W.; Wang, Z.; Serna, J.A.; Debastiani, R.; Gomez, J.E.U.; Lu, L.; Yang, W.; Dong, Z.; Levkin, P.A. Enhancing Temperature Responsiveness of PNIPAM Through 3D-Printed Hierarchical Porosity. Adv. Funct. Mater. 2024, 34, 2403794. [Google Scholar] [CrossRef]
- Vo, T.T.N.; Yang, R.; Aldabbagh, F.; Carroll, W.; Meere, M.; Rochev, Y. A Thermally Activated Drug Delivery System Based on a Thermoresponsive Polymer and a Cooling Device: A Theoretical Assessment. J. Therm. Sci. Eng. Appl. 2014, 6, 021012. [Google Scholar] [CrossRef]
- Yang, R.; Gorelov, A.V.; Aldabbagh, F.; Carroll, W.M.; Rochev, Y. An implantable thermoresponsive drug delivery system based on Peltier device. Int. J. Pharm. 2013, 447, 109–114. [Google Scholar] [CrossRef] [PubMed]
- Tishin, A.; Rochev, J.; Gorelov, A. Magnetic Carrier and Medical Preparation for Controllable Delivery and Release of Active Substances, a Method of Production and Method of Treatment Using Thereof. U.S. Patent 9,017,713, 28 April 2015. [Google Scholar]
- Amirov, A. Multiferroic, magnetic, and magnetoelectric nanomaterials for medical applications. Magn. Mater. Technol. Med. Appl. 2021, 469–484. [Google Scholar] [CrossRef]
- Tishin, A.M.; Spichkin, Y.I.; Zverev, V.I.; Egolf, P.W. A review and new perspectives for the magnetocaloric effect: New materials and local heating and cooling inside the human body. Int. J. Refrig. 2016, 68, 177–186. [Google Scholar] [CrossRef]
- Shen, B.; Ma, Y.; Yu, S.; Ji, C. Smart Multifunctional Magnetic Nanoparticle-Based Drug Delivery System for Cancer Thermo-Chemotherapy and Intracellular Imaging. ACS Appl. Mater. Interfaces 2016, 8, 24502–24508. [Google Scholar] [CrossRef]
- Amirov, A.A.; Yusupov, D.M.; Murliev, E.K.; Gritsenko, C.A.; Aliev, A.M.; Tishin, A.M. Smart thermoresponsive composite activated by magnetocaloric effect. Mater. Lett. 2021, 304, 130626. [Google Scholar] [CrossRef]
- Komlev, A.S.; Gimaev, R.R.; Zverev, V.I. Smart magnetocaloric coatings for implants: Controlled drug release for targeted delivery. Phys. Open 2021, 7, 100063. [Google Scholar] [CrossRef]
- Ribeiro, C.; Costa, C.M.; Correia, D.M.; Nunes-Pereira, J.; Oliveira, J.; Martins, P.; Gonçalves, R.; Cardoso, V.F.; Lanceros-Méndez, S. Electroactive poly(vinylidene fluoride)-based structures for advanced applications. Nat. Protoc. 2018, 13, 681–704. [Google Scholar] [CrossRef]
- Amirov, A.; Yusupov, D.; Sobolev, K. Polymer Fe-Rh / PVDF multicaloric composite. Lett. Mater. 2021, 11, 213–217. [Google Scholar] [CrossRef]
- Orudzhev, F.; Alikhanov, N.; Amirov, A.; Rabadanova, A.; Selimov, D.; Shuaibov, A.; Gulakhmedov, R.; Abdurakhmanov, M.; Magomedova, A.; Ramazanov, S.; et al. Porous Hybrid PVDF/BiFeO3 Smart Composite with Magnetic, Piezophotocatalytic, and Light-Emission Properties. Catalysts 2023, 13, 874. [Google Scholar] [CrossRef]
- Chirkova, A.; Skokov, K.P.; Schultz, L.; Baranov, N.V.; Gutfleisch, O.; Woodcock, T.G. Giant adiabatic temperature change in FeRh alloys evidenced by direct measurements under cyclic conditions. Acta Mater. 2016, 106, 15–21. [Google Scholar] [CrossRef]
- Kamantsev, A.P.; Amirov, A.A.; Yusupov, D.M.; Butvina, L.N.; Koshkid’ko, Y.S.; Golovchan, A.V.; Valkov, V.I.; Aliev, A.M.; Koledov, V.V.; Shavrov, V.G. Advanced Non-Contact Optical Methods for Measuring the Magnetocaloric Effect. Phys. Met. Metallogr. 2023, 124, 1075–1091. [Google Scholar] [CrossRef]
- Zhou, Y.; Wang, S.; Peng, J.; Tan, Y.; Li, C.; Boey, F.Y.C.; Long, Y. Liquid Thermo-Responsive Smart Window Derived from Hydrogel. Joule 2020, 4, 2458–2474. [Google Scholar] [CrossRef]
- Amirov, A.A.; Permyakova, E.S.; Yusupov, D.M.; Savintseva, I.V.; Murliev, E.K.; Rabadanov, K.S.; Popov, A.L.; Chirkova, A.M.; Aliev, A.M. Thermoresponsive PNIPAM/FeRh Smart Composite Activated by a Magnetic Field for Doxorubicin Release. ACS Appl. Eng. Mater. 2025. [Google Scholar] [CrossRef]
Disclaimer/Publisher’s Note: The statements, opinions and data contained in all publications are solely those of the individual author(s) and contributor(s) and not of MDPI and/or the editor(s). MDPI and/or the editor(s) disclaim responsibility for any injury to people or property resulting from any ideas, methods, instructions or products referred to in the content. |
© 2025 by the authors. Licensee MDPI, Basel, Switzerland. This article is an open access article distributed under the terms and conditions of the Creative Commons Attribution (CC BY) license (https://creativecommons.org/licenses/by/4.0/).






