Integrated Sensor System for Condition Monitoring of Electromechanical Cylinders †
Abstract
1. Introduction
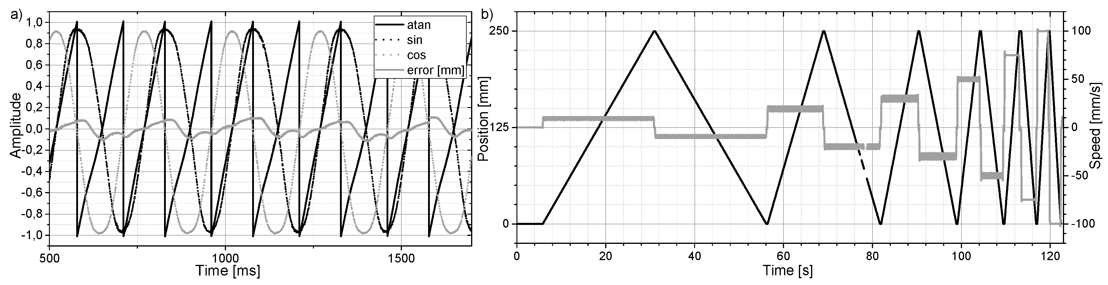
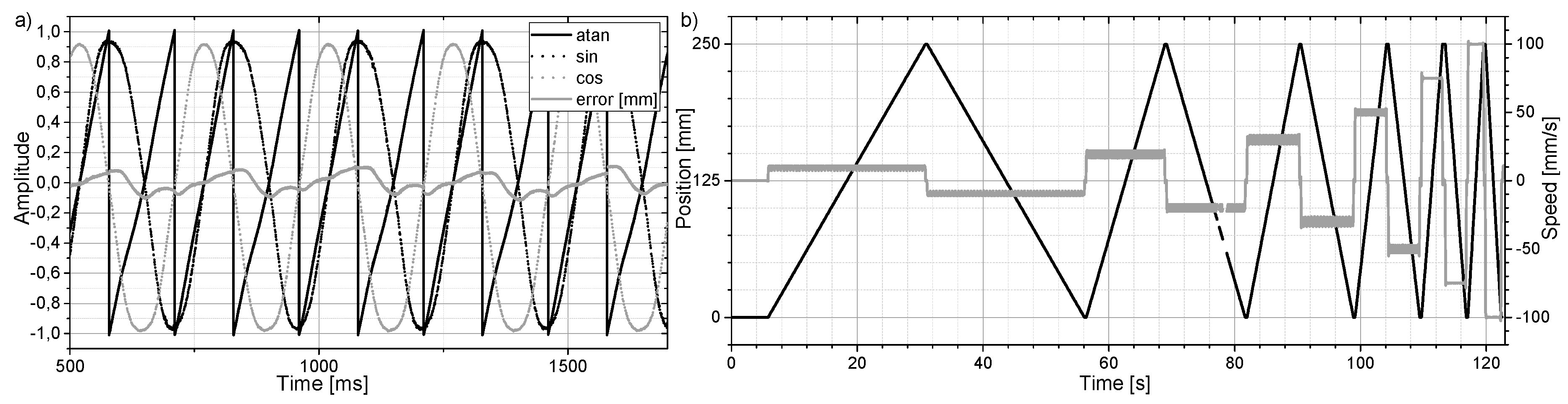
2. Concept and Evaluation
3. Conclusion and Outlook
Acknowledgments
Conflicts of Interest
References
- Maier, D. Sensorlose online Zustandserfassung von Vorschubantriebskomponenten in Werkzeugmaschinen. Berichte aus dem Institut für Maschinenelemente, Report nr. 157. Ph.D. Thesis, University of Stuttgart, Stuttgart, Germany, 2014. ISBN: 978-3-936100-58-7. [Google Scholar]
- Forstmann, J. Kugelgewindetriebe im Einsatz an Kunststoffspritzgießmaschinen—Lebensdauerprognose und Optimierung. Ph.D. Thesis, University of Duisburg-Essen, Duisburg, Germany, 2010. [Google Scholar]
- Doms, M.; Slatter, R. Magnetoresistive sensors for angle, position, and electrical current measurement in demanding environments. Proc. SPIE 2014, 9113. [Google Scholar] [CrossRef]
- Crocker, M. Handbook of Acoustics; John Wiley & Sons: Hoboken, NJ, USA, 1998; pp. 701–712. [Google Scholar]
- Helwig, N.; Klein, S.; Schütze, A. Identification and quantification of hydraulic system faults based on multivariate statistics using spectral vibration features. Proc. Eng. 2015, 120, 1225–1228. [Google Scholar] [CrossRef][Green Version]




| Measurand | Location | Description | Sensor Type | Sensitivity; Bandwidth |
|---|---|---|---|---|
| Linear stroke encoder (magnetoresistive) | PCB on ball screw nut (1); magnetic scale in groove of spindle housing | Sensitec: GLM 715 | GMR Wheatstone bridges (sin/cos) with 1.57 mm pole pitch | 9 mV/V; 1 MHz |
| Rotary encoder (magnetoresistive) | Housing of spindle drive (2); scale: thread structure | AL780 with bias magnet | AMR Wheatstone bridges (sin/cos) with 5 mm pole pitch | 11 mV/V; 1 MHz |
| Acceleration/vibration | PCB on ball screw nut (1) | Analog Devices: ADXL001 | Capac. MEMS—1 axis | 16 mV/g; 22 kHz |
| ADXL335 | Capac. MEMS—3 axes | 300 mV/g; 550–1600 Hz | ||
| Freescale FXLN8371QR1 | Capac. MEMS—3 axes | 57–229 mV/g; 600–2700 Hz | ||
| Sound emission | Knowles: SPH0642HT5H-1 | MEMS microphone | −38 dBV/Pa; 10–10,000 Hz | |
| SPH0641LU4H-1 | MEMS microphone | −26 dB FS; 10–80,000 Hz | ||
| IR emission | Micro-Hybrid TS1x80BA | 1-ch thermopile det. | 295 V/W DC; 25 Hz | |
| IR emission | Micro-Hybrid PS1x3C10 | 1-ch pyroel. det. | 2 kV/W AC; 16 Hz | |
| Temperature | Microchip TC1047 | Integrated thermistor | 10 m V/°C; ~1 Hz |
Publisher’s Note: MDPI stays neutral with regard to jurisdictional claims in published maps and institutional affiliations. |
© 2017 by the authors. Licensee MDPI, Basel, Switzerland. This article is an open access article distributed under the terms and conditions of the Creative Commons Attribution (CC BY) license (https://creativecommons.org/licenses/by/4.0/).
Share and Cite
Helwig, N.; Merten, P.; Schneider, T.; Schütze, A. Integrated Sensor System for Condition Monitoring of Electromechanical Cylinders. Proceedings 2017, 1, 626. https://doi.org/10.3390/proceedings1040626
Helwig N, Merten P, Schneider T, Schütze A. Integrated Sensor System for Condition Monitoring of Electromechanical Cylinders. Proceedings. 2017; 1(4):626. https://doi.org/10.3390/proceedings1040626
Chicago/Turabian StyleHelwig, Nikolai, Philip Merten, Tizian Schneider, and Andreas Schütze. 2017. "Integrated Sensor System for Condition Monitoring of Electromechanical Cylinders" Proceedings 1, no. 4: 626. https://doi.org/10.3390/proceedings1040626
APA StyleHelwig, N., Merten, P., Schneider, T., & Schütze, A. (2017). Integrated Sensor System for Condition Monitoring of Electromechanical Cylinders. Proceedings, 1(4), 626. https://doi.org/10.3390/proceedings1040626

