Abstract
Fractional differential equations are used to model complex systems where present dynamics depend on past states. In this work, we study a linear fractional model with two Caputo orders that captures long-term memory together with short-term adaptation. The existence and uniqueness of solutions are established using Banach and Krasnoselskii’s fixed-point theorems. A parameter study isolates the roles of the fractional orders and coefficients, yielding an explicit stability region in the –plane via computable contraction bounds. For computation, we implement the Adams–Bashforth–Moulton (ABM) and fractional linear multistep (FLM) methods, comparing accuracy and convergence. As an application, we model animal learning in which proficiency evolves under memory effects and pulsed stimuli. The results quantify the impact of feedback timing on trajectories within the admissible region, thereby illustrating the suitability of dual-order fractional models for memory-driven behavior.
1. Introduction
Differential equations serve as fundamental tools in mathematical modeling, providing a systematic framework for describing dynamic processes in natural and applied sciences. These equations express the relationship between a function and its derivatives, capturing how quantities evolve over time or space. Their applications span multiple disciplines, including physics, engineering, biology, and economics, where they model phenomena such as fluid dynamics, population growth, heat transfer, and biochemical reactions (see [1,2]). In engineering, differential equations play a crucial role in system design, control theory, and signal processing, while in biological sciences, they are used to study disease spread and ecological interactions (for more detail, see [3,4,5]).
Ordinary differential equations traditionally describe systems governed by local interactions, where future states depend only on present conditions and instantaneous changes. However, many real-world processes exhibit nonlocal memory effects, requiring more advanced formulations beyond classical ODEs (see [6,7]). The predictive power of differential equations makes them indispensable in understanding complex systems and advancing technological developments. Their ability to model intricate relationships is essential for both theoretical research and practical applications, guiding innovations in fields such as aerodynamics [8], electromagnetism [9], and material science [10]. As mathematical modeling continues to evolve, differential equations remain at the core of scientific inquiry, facilitating deeper insights into natural and engineered systems (see [11,12,13]).
In behavioral neuroscience, the dynamics of learning and memory retention have been analyzed using ODEs. Specifically, the model introduced in [14,15] captures the response rates of rats subjected to fluctuating shock conditions, without incorporating complex behavioral requirements such as maze navigation. This model is defined by the following equation:
where represents the shock response rate at time t, is a parameter, and is a positive effectiveness function. The term accounts for the accumulated effect of past shocks at time t, weighted by .
Experimental findings indicate that memory retention exhibits an exponential decay pattern [16]. Thus, choosing appropriately models this decay, where represents the characteristic memory duration. Substituting this function into Equation (1) yields
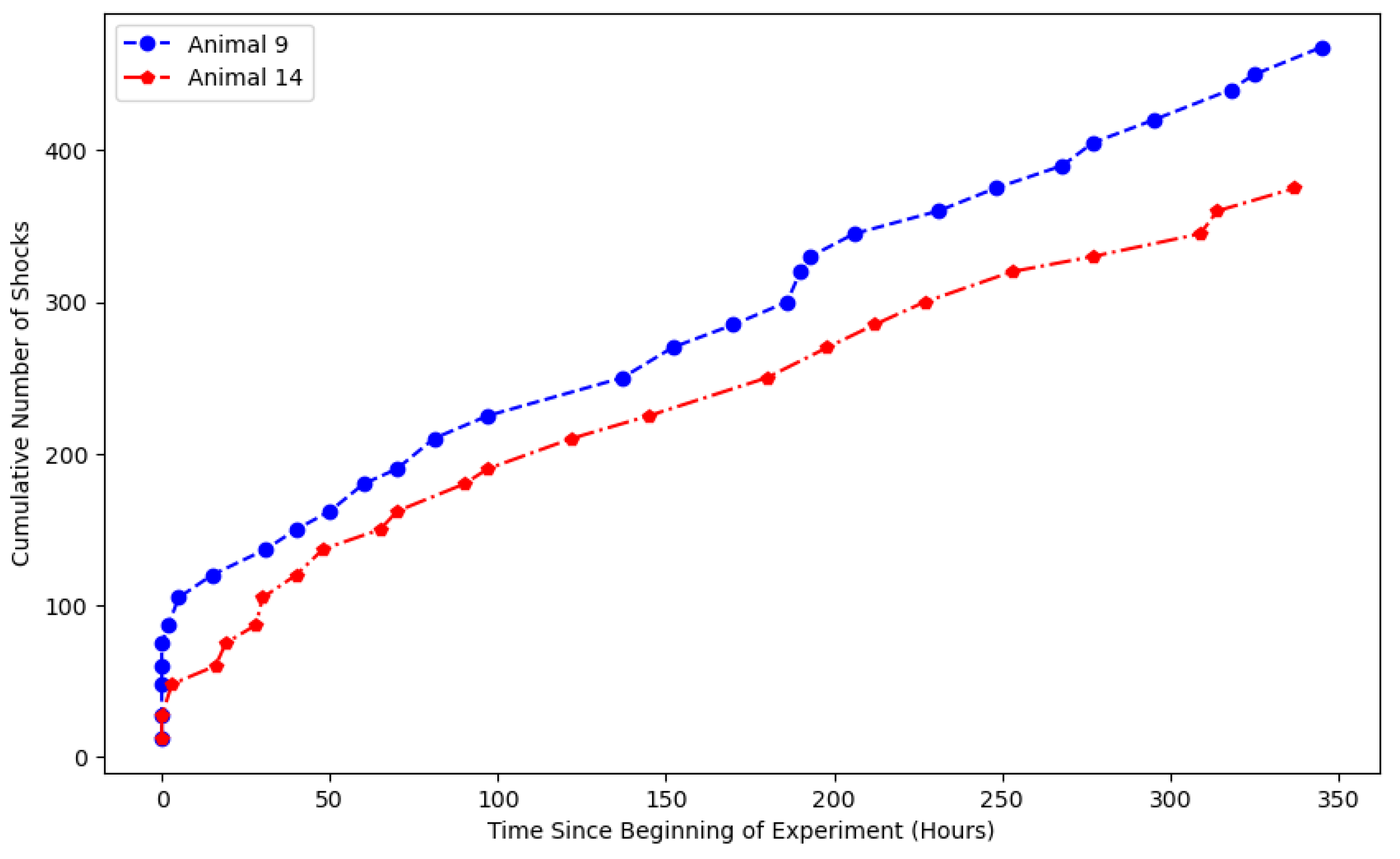
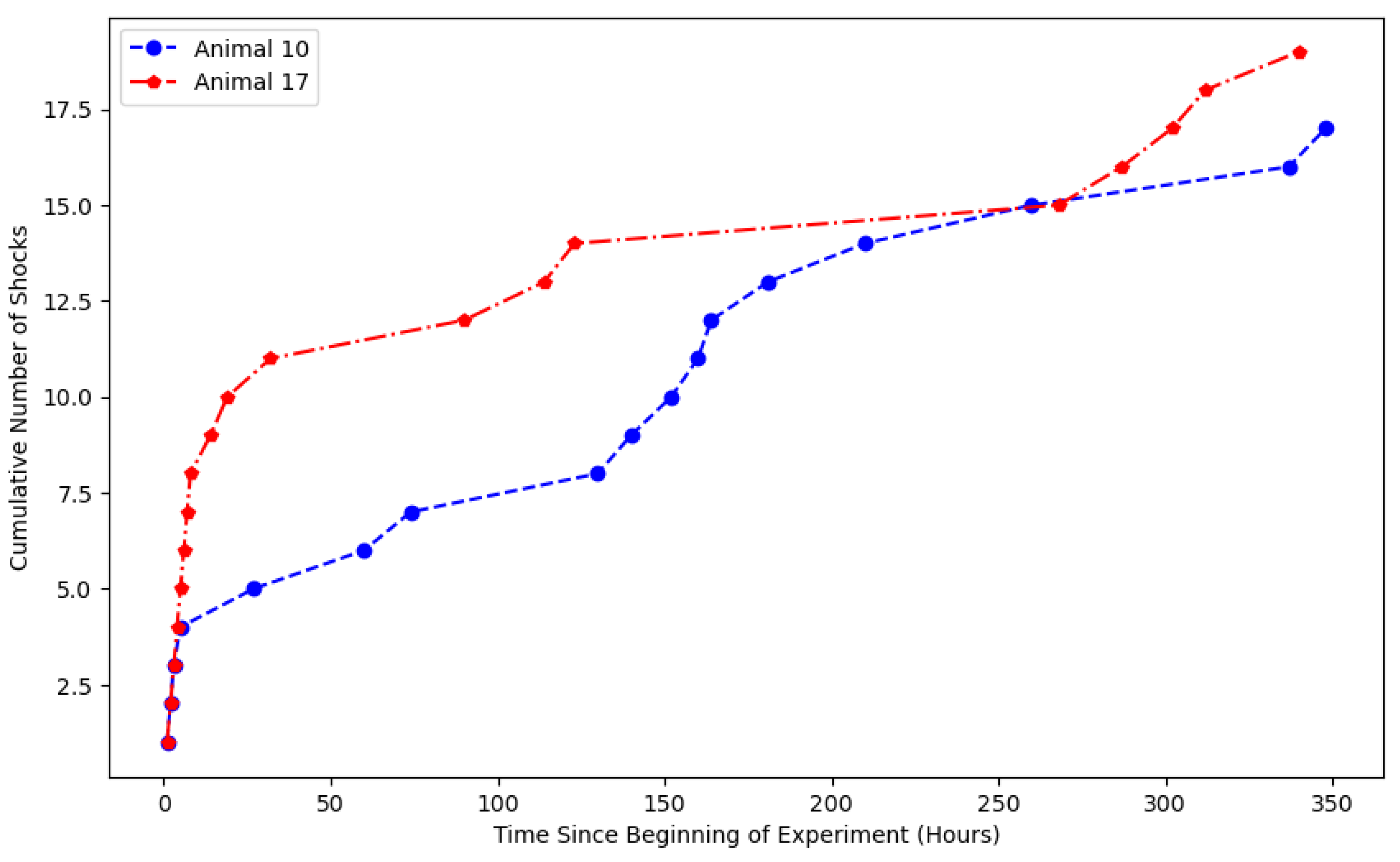
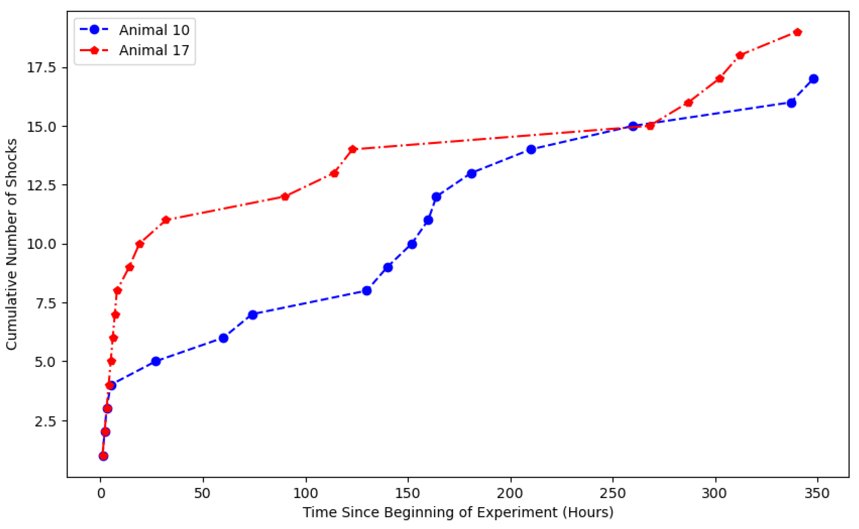
Here, the integral represents memory accumulation, modulated by exponential decay. The initial response rate reflects the tendency of reaction to shocks, while the integral term encapsulates the gradual decline in response due to learning. This formulation successfully explains experimentally observed behavioral trends, including response attenuation over time and occasional resurgence due to forgetting (see Figure 1 and Figure 2).
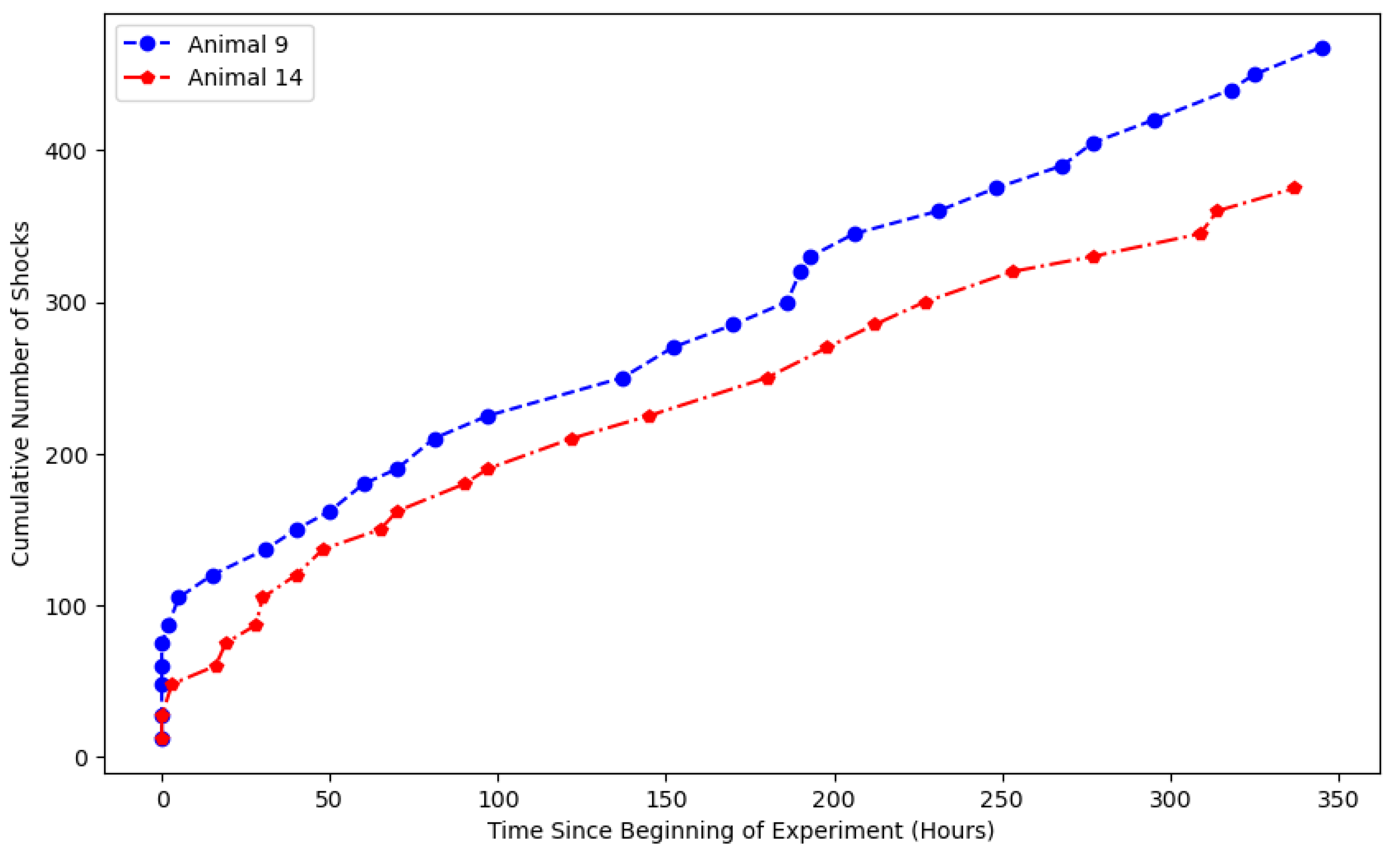
Figure 1.
Experimental data from test animals.
Figure 2.
Data from control group.
By differentiating both sides with respect to t, model (2) can be transformed into the following nonhomogeneous second-order ODE:
While classical ODEs provide effective models for many dynamical systems, they inherently lack the ability to incorporate memory effects, which are fundamental in describing processes influenced by historical states. This limitation makes ODEs inadequate for capturing dynamics in various real-world applications, including the following:
- Memory-dependent materials, where the stress–strain relationship is influenced by prior deformations [17].
- Anomalous diffusion processes, commonly observed in transport through heterogeneous media, deviating from classical Brownian motion [18].
- Biological and artificial intelligence models, where adaptive behavior arises from accumulated past inputs [19].
- Neural dynamics and population growth models, where historical states exert a long-term influence on system evolution [20].
To address these limitations, we adopt a fractional differential equation (FDE) framework, which extends classical ODEs by allowing non-integer orders and thus models memory and hereditary effects (see [21,22,23,24] and the references therein). Fractional operators capture slowly decaying kernels and scale-dependent responses that integer-order models miss. They also permit distinct time scales within a single linear law, which is essential for separating fast adaptation from slow consolidation. We consider
with initial conditions
Here, and are Caputo derivatives of orders and , respectively, with . The inclusion of multiple fractional orders accounts for diverse memory effects, applicable in viscoelasticity, anomalous diffusion, and learning models.
This work investigates fractional models (4) and (5) with two Caputo derivatives of distinct orders to capture memory-dependent dynamics. Existence and uniqueness on a finite interval are obtained by fixed-point arguments (Banach and, in a complementary splitting, Krasnosel’skii). A parameter study quantifies the influence of the fractional orders and coefficients and delineates a stability region in the plane via computable contraction bounds. For computation, we implement the Adams–Bashforth–Moulton predictor–corrector scheme and a fractional linear multistep method and compare accuracy and convergence. The model is then applied to animal learning, where stimulus timing shapes learning trajectories.
From a biological standpoint, the two Caputo orders encode distinct time scales of memory. The term with models slow consolidation (long-range retention), whereas the lower-order term with captures fast adaptive updates driven by recent feedback. The parameter sets the relative weight of these modes. In this dual-order formulation, the effective memory kernel behaves as a superposition of two power laws, a common surrogate for heterogeneous retention in cognition and behavior. Thus, the pair separates long-term consolidation from short-term adaptation within a single linear model, while the constraint aligns with the well-posedness regime used in the analysis.
The structure of this paper is as follows. Section 2 introduces the necessary mathematical concepts. The existence and uniqueness results are derived in Section 3, whereas Section 4 focuses on the parameter effects and the construction of the stability region. In the end, we present the application to learning behavior, which is supported by numerical results.
2. Preliminaries
We present essential definitions and fundamental results required for subsequent sections.
Definition 1
([25]). Let and set so that . Assume , and is locally absolutely continuous on . The (left-sided) Caputo fractional derivative of order η is
The (left-sided) Riemann–Liouville fractional integral of order is
These operators satisfy the identities
The general solution of the homogeneous equation is the polynomial
with arbitrary constants for .
Now, we present the proof of the following lemma, which will be used in the latter section.
Lemma 1.
Let satisfy the fractional differential equation
where and denote Caputo fractional derivatives of orders and , respectively, with . Then, x is a solution to the fractional differential Equation (6) if and only if it satisfies the following integral equation:
Proof.
Assume that solves Equation (6). Apply the Riemann–Liouville integral operator to both sides of
Using the property of the Caputo fractional derivative for and incorporating the initial conditions and , we get
For the Caputo fractional derivative with , using the composition property of fractional integrals and derivatives, given by , we have
Conversely, assume that satisfies Equation (7). By using the properties of the fractional differential equation, we can easily recover the FDE given in Equation (6). The initial conditions and follow directly from evaluating Equation (7) and its first derivative at . The equivalence is thereby established. □
In the sequel, the following well-established results will be utilized.
Theorem 1
(Banach’s fixed-point theorem [26]). Let be a complete metric space, and suppose that an operator satisfies the contraction condition
where . Then, Z has a unique fixed point , and for any initial point , the sequence of iterates converges to , i.e.,
Theorem 2
(Krasnoselskii’s fixed-point theorem [27]). Let X be a nonempty, bounded, closed, and convex subset of a Banach space , and let the operators satisfy the following conditions:
- 1.
- , for all .
- 2.
- is compact and continuous.
- 3.
- is a contraction mapping.
Then, the sum has at least one fixed point in X.
3. Analytical Investigation
To establish the well-posedness of solutions for the integral Equation (7) associated with the fractional differential Equation (6), we construct a functional framework that respects both the operators’ characteristics and the solution’s regularity requirements. The presence of Caputo derivatives and with , , and necessitates solutions with enhanced smoothness properties beyond mere continuity. We therefore work within the Banach space
where denotes the set of real-valued functions possessing continuous first derivatives on . This space is equipped with the composite norm
which simultaneously controls function values and their rates of change. This dual control proves essential for managing the memory effects inherent in fractional operators. The completeness of follows from fundamental results in functional analysis (see [28]).
Lemma 2.
Assume , , and and let . For , define
and then . Moreover, with , for all , we have the bounds
and
This carefully constructed setting provides the necessary foundation for applying fixed-point theorems to prove solution existence and uniqueness. Here is the first result.
Theorem 3.
Then, we have the following:
Proof.
The operator is well-defined, as both fractional integral terms preserve -regularity. This follows from standard differentiation properties of fractional integrals (see [29]), ensuring that .
Next, to prove the contraction condition, we let and write . Note that . The difference between the operator evaluations satisfies
For the function component, we have
On the other hand, for the derivative component, we have
Corollary 1.
Under the hypotheses of Theorem 3, there exists such that for any T with , the operator Z defined in Equation (11) is a contraction on . Consequently, the conclusions of Theorem 3 hold on .
Corollary 2.
Under the hypotheses of Theorem 3, for any fixed interval and
there exists such that for all , the operator Z defined in Equation (11) is a contraction on . Consequently, the conclusions of Theorem 3 hold on .
Proof.
From Theorem 3,
Grouping the -dependent terms gives
Given , we choose
By the hypothesis on , we have . Hence, for all ,
So, Z is a contraction on . The conclusions of Theorem 3 follow. □
Theorem 4.
Let with the norm (10). Assume , , , , and . Define by
Set
Proof.
For , both integrals are well-defined. Since and , the kernels vanish at the diagonal, so the boundary term at is zero, and Leibniz’ rule yields
Because and , the right-hand sides are finite and depend continuously on t (dominated convergence); hence, .
For and , we have
So , i.e., B is a contraction.
If , then , and
Hence, . Standard estimates for differences of such integrals (with and for ) yield equicontinuity of and on bounded sets. Therefore, A is compact by Arzelà–Ascoli theorem [30] and continuous by dominated convergence.
As a direct corollary of the contraction estimate in Theorem 3, we obtain the following stability bound (for further details on stability, see [31,32] and the references cited therein).
Corollary 3.
Let be as it is in Theorem 3 and set . If satisfies
with (non-negative a.e.), then the unique solution x of (6) and (7) obeys
In particular, if , then
Remark 1.
Consider the forced problem
and let be a perturbed stimulus with the same initial data as x. Denote and let be the corresponding solution. Then,
Thus, Corollary 3 applied with , with x as stated above, and yields
where , and is as in Theorem 3. In the learning context, this establishes robustness, namely that bounded perturbations of the feedback (amplitude errors, noise, and unmodeled inputs) yield proportionally bounded changes in the proficiency trajectory.
Example 1.
Consider the fractional model
i.e., , , , , , and . The admissibility condition holds:
For Theorem 4 (existence), the contraction constant of B is
The invariance constant is
Hence, , so all hypotheses of Theorem 4 are satisfied and the problem admits at least one solution on .
For Theorem 3, the global Lipschitz constant is
Since , Z is a strict contraction, and there is a unique solution to Equation (17). Moreover, the numerical verification of this result using the Picard iteration is illustrated in Figure 3, which demonstrates the iterative convergence of the approximate solution towards the exact solution.
Figure 3.
Picard iteration and its convergence.
By Corollary 3 and the value computed above, problem (17) admits Ulam–Hyers–Rassias stability on with the explicit bound stated therein.
4. Parameter Sensitivity Analysis
Figure 4 displays the pairs for which Equations (4) and (5) are well posed on , with and . We sample and and declare stability when together with and . The heatmap separates stable and unstable parameters with the stable set concentrated where sufficiently exceeds .
Figure 4.
Stability region for FDE.
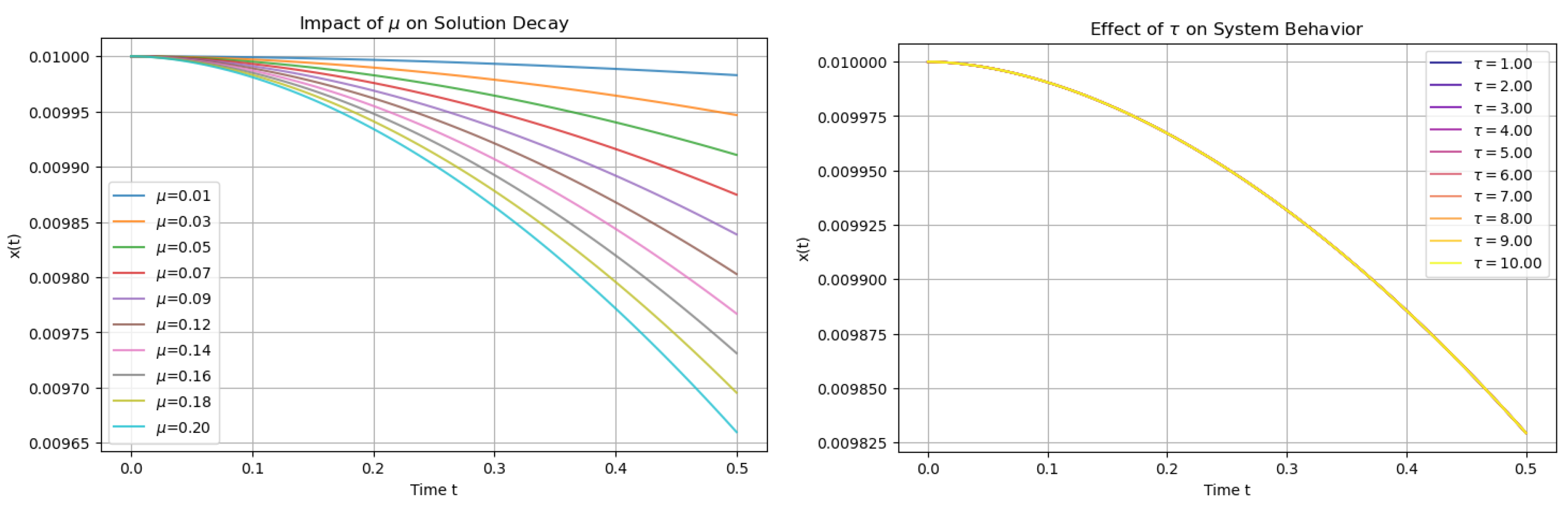
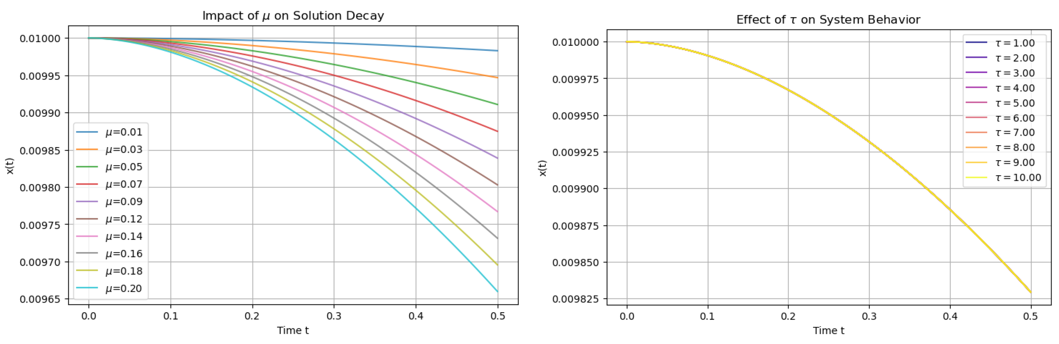
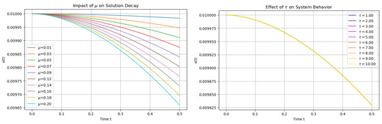
With fixed, Figure 5 reports the effect of varying value within the stable set. The trajectories show mild changes in the decay rate of as increases while the qualitative behavior remains the same, indicating robustness to moderate perturbations of .
Figure 5.
Sensitivity of solution to (fixed ).
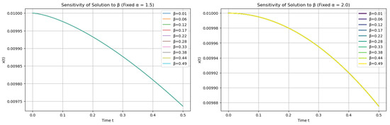
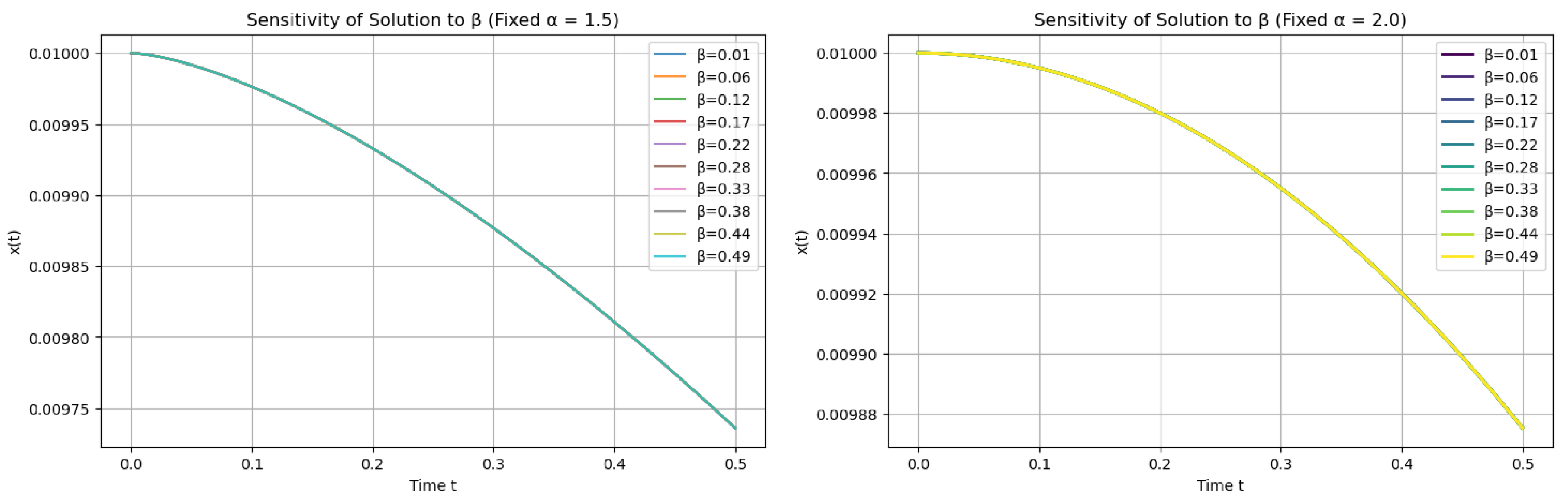
Figure 6 examines the sensitivity to for and . Variations in slightly modify the decay of while preserving the overall stability on the reported time scale.
Figure 6.
Sensitivity of solution to with fixed .
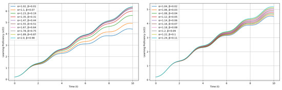
On the other hand, Figure 7 summarizes the roles of and in the decay of . Increasing with fixed produces faster damping, whereas increasing with fixed slows the decay in line with stronger memory. All curves correspond to stable parameters and show monotone changes in rate without altering the qualitative form.
Figure 7.
Effect of and on solution behavior.
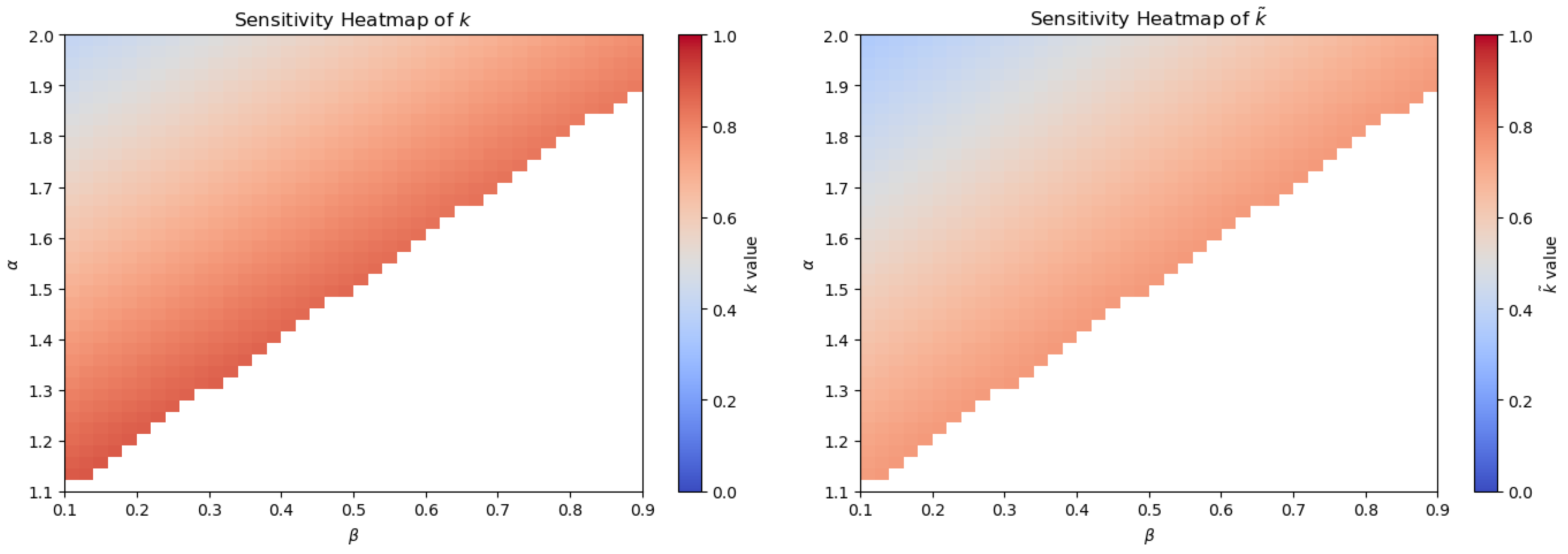
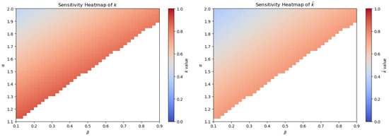
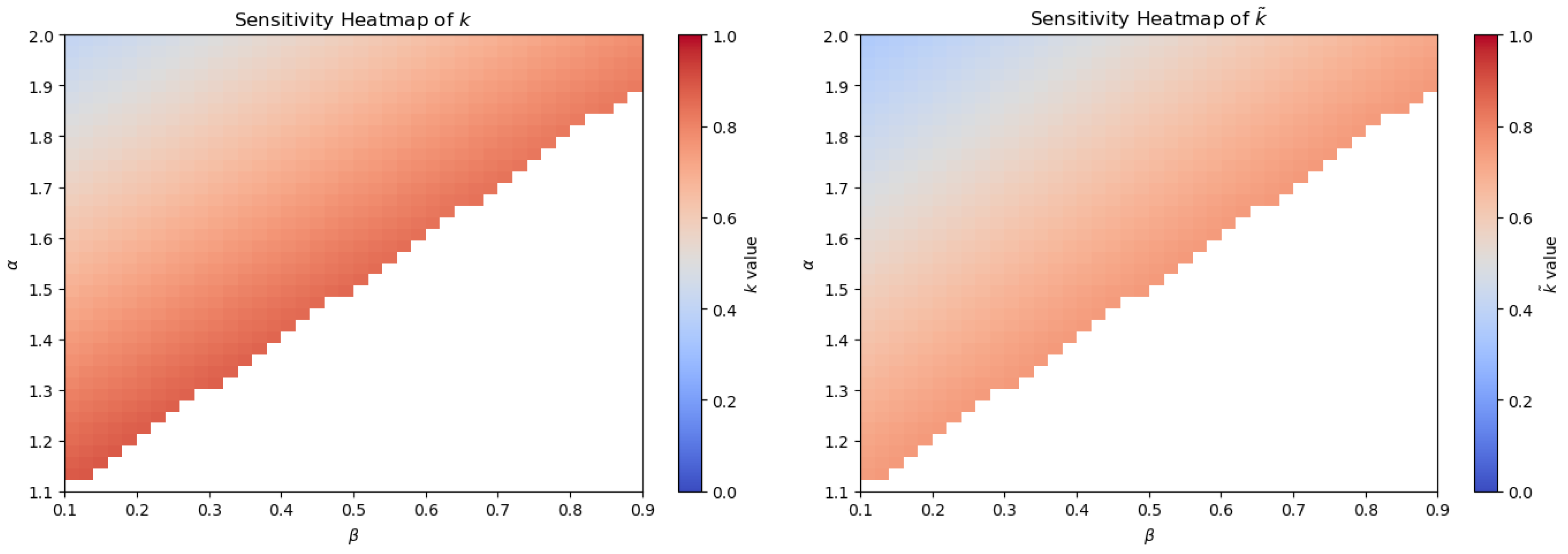
The heatmaps illustrated in Figure 8 represent the sensitivity of k and over . Lighter tones indicate smaller values and hence stronger contractions. For fixed , both quantities decrease with increasing and for fixed , they increase with . These trends confirm that larger values relative to improve the stability within the admissible region.
Figure 8.
Sensitivity heatmap of k and .
5. Memory-Dependent Learning and Behavioral Adaptation in Animals: An Application
This section applies the fractional models (4) and (5) to a learning process with memory. The state represents proficiency, and is an external stimulus. We consider
with initial data
The stimulus is a bounded Gaussian pulse train:
The orders and encode persistent memory and rapid responsiveness and satisfy . The parameters are , , , . The term accounts for long-range history, captures short-term adaptation, and models slow forgetting. The setup matches the empirical features of animal learning: for instance, vocal acquisition in songbirds, where measures accuracy, and represents periodic auditory feedback (see Figure 9).
Figure 9.
Overview of the songbird vocal learning model. The stimulus induces memory-driven responses through Caputo derivatives and , yielding the learning proficiency .
To certify well-posedness for the learning model, we use the constants from Theorems 3 and 4. For the parameters in Equation (18), we obtain and . Hence, Z is a strict contraction and the hypotheses of Krasnosel’skii hold. Existence and uniqueness follow without further conditions.
The numerical behavior is analyzed using two established schemes: the Adams–Bashforth–Moulton (ABM) predictor–corrector method [33] and the fractional linear multistep Method (FLMM) [34]. Pulse times are and with and . Figure 10 compares ABM and FLMM together with the absolute error. Both resolve the stimulus-driven oscillations and remain close, with a maximum discrepancy below . Figure 11 reports an alternative configuration and yields the same level of agreement.
Figure 10.
Comparison of ABM and FLMM with error analysis for .
Figure 11.
Comparison of ABM and FLMM with error analysis for .
Figure 12 and Figure 13 display convergence for step sizes against a high-accuracy ABM reference at . Both methods show first-order behavior. ABM is slightly sharper in Figure 13, while FLMM attains the smaller error in Figure 12, reflecting sensitivity to pulse timing.
Figure 12.
Convergence for .
Figure 13.
Convergence for .
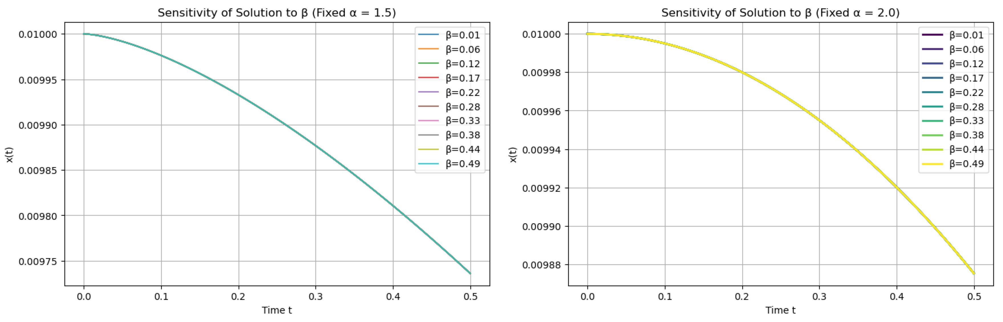
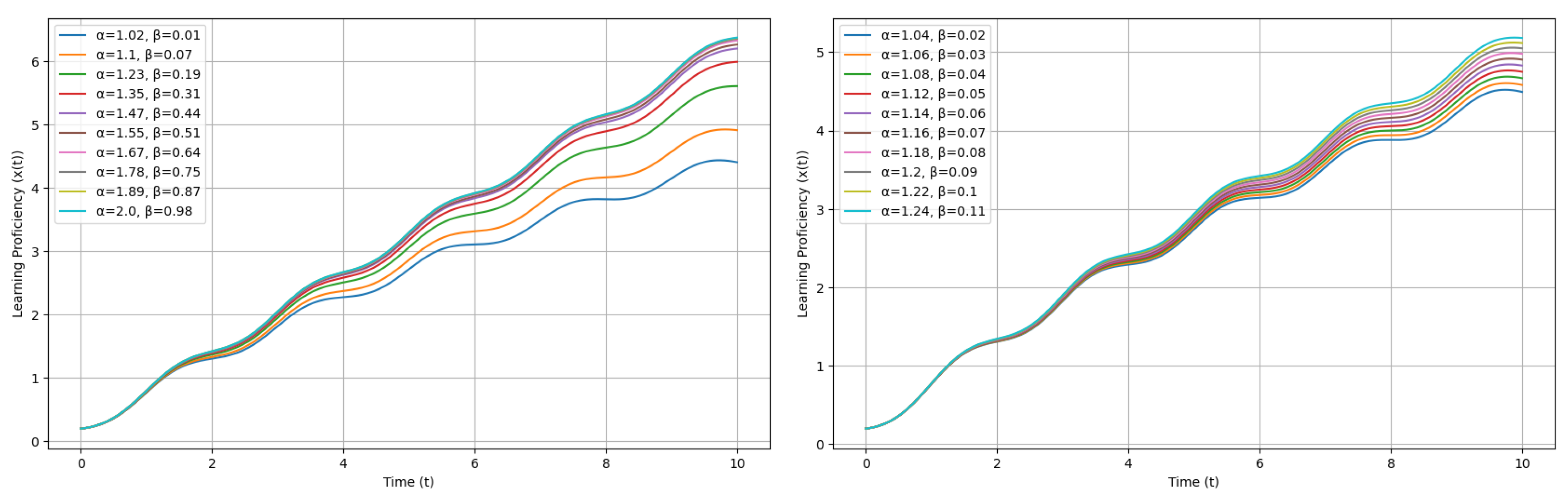
The evolution of under varying pairs is illustrated in Figure 14. The left panel considers a broad range within the stable region, while the right panel focuses on a narrow band where . In the broader setting, solutions with larger exhibit faster growth, reflecting stronger memory effects. Increased values enhance sensitivity to the feedback pulses, inducing sharper local variations in . In the narrow-band simulations, the profiles remain closely aligned, suggesting that small perturbations in and yield quantitatively similar outcomes, provided that the system remains within the stable domain.
Figure 14.
Solution of the fractional learning model with Gaussian pulse train stimulus.
The numerical results for randomly selected pairs with feedback events at are summarized in Table 1. Both ABM and FLM methods yield solutions in close agreement. The absolute error between them remains within the range to , while the RMSE values vary from to . These low error magnitudes confirm the reliability of both numerical schemes. The ABM method incurs a higher computational cost, with average runtimes near seconds, compared to FLMM’s seconds. The final learning proficiency increases monotonically with both and , indicating enhanced memory integration and adaptive responsiveness.
Table 1.
Random and values with .
For the same random pairs but with feedback events shifted to , the corresponding data are presented in Table 2. Learning proficiency values are consistently lower compared to the earlier case. The maximum error ranges from to , and RMSE values span to . These increases suggest a decline in learning efficiency when feedback is delayed. Runtimes remain stable across configurations. The shift in feedback timing leads to diminished cumulative effects of stimulus, highlighting the importance of reinforcement schedules in learning processes.
Table 2.
Random and values with .
Table 3 contains results for non-randomly selected values, retaining the original feedback times . The absolute error remains bounded within to , with RMSE between and . The numerical behavior mirrors the random parameter case, confirming the insensitivity of solution accuracy to specific configurations within the stability region. The observed trend in supports the model’s robustness under controlled parameter variations. The ABM method again incurs higher runtimes, while FLMM achieves faster execution without loss of fidelity.
Table 3.
Non-random and values with .
In Table 4, non-random parameter pairs are evaluated under the delayed feedback configuration . Learning proficiency levels decrease, with final values lower than those in earlier reinforcement scenarios. The error increases slightly, with maximum values ranging from to and RMSE between and . This pattern reinforces the sensitivity of the learning model to the temporal distribution of external stimuli. Earlier feedback consistently results in higher proficiency gains.
Table 4.
Non-random and values with .
Across our tests, learning outcomes depend on both the fractional orders and the timing of reinforcement: larger sustains retention, larger sharpens responsiveness, and earlier pulses yield greater proficiency. Between the two solvers, ABM is marginally more accurate at fixed steps, whereas FLMM attains comparable errors with lower cost. For fine accuracy targets or stiff transients, ABM is preferable, while FLMM is advantageous in large-scale or near-real-time runs. The dual-order formulation reflects long-term persistence together with fast adaptation and reproduces the observed sensitivity to feedback timing. The present example is illustrative rather than data-driven, and future work will fit to experimental trajectories with recorded stimuli and compare single-order vs. dual-order kernels by out-of-sample errors, thereby providing quantitative validation.
6. Conclusions
In this work, we proposed a Caputo fractional model with two orders to describe learning dynamics with memory and external stimuli. Existence and uniqueness were obtained by fixed-point arguments. A parameter study quantified how the orders and coefficients shape solution trajectories and the stability region. We computed solutions with the Adams–Bashforth–Moulton (ABM) and fractional linear multistep method (FLMM) and compared accuracy and convergence. In a learning example with Gaussian pulses, earlier feedback produced larger gains. The term captures rapid alignment with recent input, while sustains proficiency in the absence of feedback. The framework provides a rigorous basis for systems with memory and suggests applications to biological learning and adaptive behavior. Future work will fit to experimental trajectories with recorded stimuli and compare single-order versus dual-order kernels by out-of-sample errors. Extensions include nonlinear or state-dependent feedback, stochastic or subject-specific stimuli, and mixed-effect formulations to capture inter-individual variability.
Author Contributions
Conceptualization, A.T., J.-A.N.-S. and J.-J.T.; Methodology, A.T., W.A., A.M. and J.-J.T.; Validation, A.T., J.-A.N.-S. and A.M.; Formal analysis, J.-A.N.-S. and A.M.; Investigation, J.-A.N.-S., A.M. and J.-J.T.; Resources, W.A.; Data curation, W.A. and J.-J.T.; Writing—original draft, A.T.; Writing—review and editing: A.T., W.A. and J.-J.T.; Visualization, A.T. and W.A.; Supervision, A.M. and J.-J.T. All authors have read and agreed to the published version of the manuscript.
Funding
This research is supported by the University of Alicante, Spain; the Spanish Ministry of Science and Innovation; the Generalitat Valenciana, Spain; and the European Regional Development Fund (ERDF) through the following funding sources: At the national level, this work was funded by the following projects: TRIVIAL (PID2021-122263OB-C22) and CORTEX (PID2021-123956OB-I00), granted by MCIN/AEI/10.13039/501100011033 and, as appropriate, co-financed by “ERDF A way of making Europe”, the “European Union”, or the “European Union Next Generation EU/PRTR”. At the regional level, the Generalitat Valenciana (Conselleria d’Educació, Investigació, Cultura i Esport), Spain, provided funding for NL4DISMIS (CIPROM/2021/21).
Data Availability Statement
The original contributions presented in this study are included in this article. Further inquiries can be directed to the corresponding authors.
Conflicts of Interest
The authors declare no conflict of interest.
References
- Whitby, M.; Cardelli, L.; Kwiatkowska, M.; Laurenti, L.; Tribastone, M.; Tschaikowski, M. PID control of biochemical reaction networks. IEEE Trans. Autom. Control 2021, 67, 1023–1030. [Google Scholar] [CrossRef]
- Fröhlich, F.; Sorger, P.K. Fides: Reliable trust-region optimization for parameter estimation of ordinary differential equation models. PLoS Comput. Biol. 2022, 18, e1010322. [Google Scholar] [CrossRef] [PubMed]
- Linot, A.J.; Burby, J.W.; Tang, Q.; Balaprakash, P.; Graham, M.D.; Maulik, R. Stabilized neural ordinary differential equations for long-time forecasting of dynamical systems. J. Comput. Phys. 2023, 474, 111838. [Google Scholar] [CrossRef]
- Turab, A.; Sintunavarat, W. A unique solution of the iterative boundary value problem for a second-order differential equation approached by fixed point results. Alex. Eng. J. 2021, 60, 5797–5802. [Google Scholar] [CrossRef]
- He, L.; Valocchi, A.J.; Duarte, C.A. A transient global-local generalized FEM for parabolic and hyperbolic PDEs with multi-space/time scales. J. Comput. Phys. 2023, 488, 112179. [Google Scholar] [CrossRef]
- Zúñiga-Aguilar, C.J.; Gómez-Aguilar, J.F.; Romero-Ugalde, H.M.; Escobar-Jiménez, R.F.; Fernández-Anaya, G.; Alsaadi, F.E. Numerical solution of fractal-fractional Mittag–Leffler differential equations with variable-order using artificial neural networks. Eng. Comput. 2022, 38, 2669–2682. [Google Scholar] [CrossRef]
- Lakzian, H.; Gopal, D.; Sintunavarat, W. New fixed point results for mappings of contractive type with an application to nonlinear fractional differential equations. J. Fixed Point Theory Appl. 2016, 18, 251–266. [Google Scholar] [CrossRef]
- Rezaei, M.M.; Zohoor, H.; Haddadpour, H. Analytical solution for nonlinear dynamics of a rotating wind turbine blade under aerodynamic loading and yawed inflow effects. Thin-Walled Struct. 2025, 212, 113164. [Google Scholar] [CrossRef]
- Magazev, A.A.; Boldyreva, M.N. Schrödinger equations in electromagnetic fields: Symmetries and noncommutative integration. Symmetry 2021, 13, 1527. [Google Scholar] [CrossRef]
- Liu, Y.; Yang, Z.; Yu, Z.; Liu, Z.; Liu, D.; Lin, H.; Li, M.; Ma, S.; Avdeev, M.; Shi, S. Generative artificial intelligence and its applications in materials science: Current situation and future perspectives. J. Mater. 2023, 9, 798–816. [Google Scholar] [CrossRef]
- Hsu, S.B.; Chen, K.C. Ordinary Differential Equations with Applications; World Scientific: Singapore, 2022; Volume 23. [Google Scholar]
- Kai, Y.; Yin, Z. Linear structure and soliton molecules of Sharma-Tasso-Olver-Burgers equation. Phys. Lett. A 2022, 452, 128430. [Google Scholar] [CrossRef]
- Turab, A.; Montoyo, A.; Nescolarde-Selva, J.A. Stability and numerical solutions for second-order ordinary differential equations with application in mechanical systems. J. Appl. Math. Comput. 2024, 70, 5103–5128. [Google Scholar] [CrossRef]
- Brady, J.P.; Marmasse, C. Analysis of a simple avoidance situation: I. Experimental paradigm. Psychol. Rec. 1962, 12, 361. [Google Scholar] [CrossRef]
- Turab, A.; Montoyo, A.; Nescolarde-Selva, J.-A. Computational and analytical analysis of integral-differential equations for modeling avoidance learning behavior. J. Appl. Math. Comput. 2024, 70, 4423–4439. [Google Scholar] [CrossRef]
- Marmasse, C.; Brady, J.P. Analysis of a simple avoidance situation. II. A model. Bull. Math. Biophys. 1964, 26, 77–81. [Google Scholar] [CrossRef] [PubMed]
- Zhang, D.; Zhang, L.; Lan, T.; Wen, J.; Gao, L. A memory-dependent three-dimensional creep model for concrete. Case Stud. Constr. Mater. 2024, 20, e03289. [Google Scholar] [CrossRef]
- Ribeiro, H.V.; Tateishi, A.A.; Lenzi, E.K.; Magin, R.L.; Perc, M. Interplay between particle trapping and heterogeneity in anomalous diffusion. Commun. Phys. 2023, 6, 244. [Google Scholar] [CrossRef]
- Maurizi, M.; Gao, C.; Berto, F. Predicting stress, strain and deformation fields in materials and structures with graph neural networks. Sci. Rep. 2022, 12, 21834. [Google Scholar] [CrossRef]
- Lenzi, M.K.; Lenzi, E.K.; Guilherme, L.M.S.; Evangelista, L.R.; Ribeiro, H.V. Transient anomalous diffusion in heterogeneous media with stochastic resetting. Phys. A Stat. Mech. Its Appl. 2022, 588, 126560. [Google Scholar] [CrossRef]
- Hattaf, K. On the stability and numerical scheme of fractional differential equations with application to biology. Computation 2022, 10, 97. [Google Scholar] [CrossRef]
- Jajarmi, A.; Baleanu, D.; Sajjadi, S.S.; Nieto, J.J. Analysis and some applications of a regularized Ψ–Hilfer fractional derivative. J. Comput. Appl. Math. 2022, 415, 114476. [Google Scholar] [CrossRef]
- Özköse, F.; Yavuz, M.; Şenel, M.T.; Habbireeh, R. Fractional order modelling of omicron SARS-CoV-2 variant containing heart attack effect using real data from the United Kingdom. Chaos Solitons Fractals 2022, 157, 111954. [Google Scholar] [CrossRef] [PubMed]
- Sintunavarat, W.; Turab, A. A unified fixed point approach to study the existence of solutions for a class of fractional boundary value problems arising in a chemical graph theory. PLoS ONE 2022, 17, e0270148. [Google Scholar] [CrossRef]
- Almeida, R. A Caputo fractional derivative of a function with respect to another function. Commun. Nonlinear Sci. Numer. Simul. 2017, 44, 460–481. [Google Scholar] [CrossRef]
- Banach, S. Sur les opérations dans les ensembles abstraits et leur application aux équations intégrales. Fundam. Math. 1922, 3, 133–181. [Google Scholar] [CrossRef]
- Burton, T.A. A fixed-point theorem of Krasnoselskii. Appl. Math. Lett. 1998, 11, 85–88. [Google Scholar] [CrossRef]
- Kawamura, K.; Koshimizu, H.; Miura, T. Norms on C 1 ([0, 1]) and their isometries. Acta Sci. Math. 2018, 84, 239–261. [Google Scholar] [CrossRef]
- Kilbas, A.A.; Srivastava, H.M.; Trujillo, J.J. Theory and Applications of Fractional Differential Equations; Elsevier: Amsterdam, The Netherlands, 2006; Volume 204. [Google Scholar]
- Zhu, T. Global attractivity for fractional differential equations of Riemann-Liouville type. Fract. Calc. Appl. Anal. 2023, 26, 2264–2280. [Google Scholar] [CrossRef]
- Vu, H.; Rassias, J.M.; Hoa, N.V. Hyers–Ulam stability for boundary value problem of fractional differential equations with κ-Caputo fractional derivative. Math. Methods Appl. Sci. 2023, 46, 438–460. [Google Scholar] [CrossRef]
- Wang, X.; Luo, D.; Zhu, Q. Ulam-Hyers stability of caputo type fuzzy fractional differential equations with time-delays. Chaos Solitons Fractals 2022, 156, 111822. [Google Scholar] [CrossRef]
- Rosenfeld, J.A.; Dixon, W.E. Convergence rate estimates for the kernelized predictor corrector method for fractional order initial value problems. Fract. Calc. Appl. Anal. 2021, 24, 1879–1898. [Google Scholar] [CrossRef]
- Karaman, B. The global stability investigation of the mathematical design of a fractional-order HBV infection. J. Appl. Math. Comput. 2022, 68, 4759–4775. [Google Scholar] [CrossRef] [PubMed]
Disclaimer/Publisher’s Note: The statements, opinions and data contained in all publications are solely those of the individual author(s) and contributor(s) and not of MDPI and/or the editor(s). MDPI and/or the editor(s) disclaim responsibility for any injury to people or property resulting from any ideas, methods, instructions or products referred to in the content. |
© 2025 by the authors. Licensee MDPI, Basel, Switzerland. This article is an open access article distributed under the terms and conditions of the Creative Commons Attribution (CC BY) license (https://creativecommons.org/licenses/by/4.0/).













