Next Article in Journal
On the Qualitative Stability Analysis of Fractional-Order Corruption Dynamics via Equilibrium Points
Previous Article in Journal
Computational and Parameter-Sensitivity Analysis of Dual-Order Memory-Driven Fractional Differential Equations with an Application to Animal Learning
Previous Article in Special Issue
Rapid Estimation of Soil Copper Content Using a Novel Fractional Derivative Three-Band Index and Spaceborne Hyperspectral Data
 
 
Font Type:
Arial Georgia Verdana
Font Size:
Aa Aa Aa
Line Spacing:
Column Width:
Background:
Article

Analysis of a Finite Difference Method for a Time-Fractional Black–Scholes Equation

1
School of Statistics and Mathematics, Shandong University of Finance and Economics, Jinan 250014, China
2
School of Statistics and Mathematics, Shanghai Lixin University of Accounting and Finance, Shanghai 201209, China
3
School of Mathematical Sciences, Ocean University of China, Qingdao 266100, China
4
Laboratory of Marine Mathematics, Ocean University of China, Qingdao 266100, China
*
Author to whom correspondence should be addressed.
Fractal Fract. 2025, 9(10), 665; https://doi.org/10.3390/fractalfract9100665
Submission received: 7 September 2025 / Revised: 21 September 2025 / Accepted: 14 October 2025 / Published: 16 October 2025

Abstract

The goal of this paper is to give an error analysis of a finite difference method for a time-fractional Black–Scholes equation with weakly singular solutions. The time Gerasimov-Caputo derivative is discretized by the L1 scheme on a graded mesh designed to compensate for the initial singularities, and a standard finite difference method is used for spatial discretization on a uniform mesh. A discrete comparison principle is presented for the fully discrete scheme, and stability and convergence of the scheme in maximum norm are established by constructing some appropriate barrier functions. Furthermore, an α -robust pointwise error estimate of the fully discrete scheme on a uniform mesh is given. Finally, some numerical results are presented to show the sharpness of the error estimate.

1. Introduction

Black–Scholes equation (BSE) was first proposed by Black and Scholes [1] and Merton [2], which has wide applications in finance, such as options in derivatives, etc. The option price derived by the BSE model is under the assumption that the underlying asset follows the geometric Brownian motion and has constant volatility; thus, it fails to capture the significant movements or jumps over small time steps in a financial market [3].
In recent years, fractional differential equations (FDEs) have attracted extensive interest among researchers all over the world. Stynes et al. [4] first conducted an error analysis of the L1 scheme on graded mesh for a time-fractional diffusion equation with weakly singular solutions. Liao et al. [5] considered the L1 scheme on a general nonuniform mesh for a reaction-subdiffusion equation, and the convergence analysis is based on a discrete Gronwall inequality. Kopteva and Meng [6] established pointwise-in-time error estimates of the L1 scheme and Alikhanov’s scheme for the time-fractional diffusion equation, and later the analysis was extended to the L2 scheme in work [7]. Jin et al. [8] gave an extensive literature review on numerical methods for time-fractional evolution equations with nonsmooth data. In a series of papers, Yang and Zhang [9,10,11] investigated the convergence of the collocation method and finite volume method for subdiffusion equations. For the numerical approximation and analysis of quasilinear subdiffusion equations, we have noted two recent papers; see [12,13]. As FDEs involve the fractional derivatives, which have the properties of non-locality and long memory; thus, FDE-based models are proposed in the financial field. The following time-fractional BSE was proposed in [14]:
α w τ α + 1 2 σ 2 S 2 2 w S 2 + r S 2 w S r w = 0 , ( S , τ ) ( 0 , ) × [ 0 , T ) ,
subject to terminal condition
w ( S , T ) = h ˜ ( S ) , S ( 0 , ) ,
and boundary conditions
w ( 0 , τ ) = p ˜ ( τ ) , lim S w ( S , τ ) = q ˜ ( τ ) , τ [ 0 , T ] ,
where σ is the volatility of the underlying asset, 0 < α < 1 , r is the risk-free interest rate, T is the maturity date of the European option, and α w τ α denotes the modified right Riemann–Liouville derivative which is defined by the following:
α w τ α = 1 Γ ( 1 α ) d d t τ T w ( S , ξ ) w ( S , T ) ( ξ τ ) α d ξ .
Let t = T τ , x = ln S , and u ( x , t ) = w ( e x , T t ) , assume u C [ 0 , T ] C 1 ( 0 , T ] , after transformation, the model (1)–(3) can be rewritten as the following initial-boundary value problem [15]:
D t α u 1 2 σ 2 2 u x 2 ( r 1 2 σ 2 ) u x + r u = 0 , ( x , t ) ( , + ) × ( 0 , T ] ,
u ( x , 0 ) = h ( x ) , x ( , + ) ,
lim x u ( x , t ) = p ( t ) , lim x + u ( x , t ) = q ( t ) t [ 0 , T ] ,
where D t α u is the Gerasimov-Caputo derivative of order α ( 0 , 1 ) with respect to t. It is defined as follows:
D t α u ( x , t ) = 0 t ( t s ) α Γ ( 1 α ) u ( x , s ) s d s .
To numerically solve the option price problem, usually the unbounded spatial domain is truncated into a bounded domain ( X , X ) , where in practice, X > 0 is large enough so that the truncated boundary in the price scale S is three to four times the strike price [16]. Without loss of generality, in this paper, we consider the following model problem:
D t α u a 2 u x 2 b u x + c u = f ( x , t ) , ( x , t ) Ω × ( 0 , T ] ,
u ( x , 0 ) = ϕ ( x ) , x Ω ,
u ( x , t ) = 0 , ( x , t ) Ω × ( 0 , T ] ,
where a, b, and c are constants satisfying a > 0 and c 0 ; Ω = ( x l , x r ) ; and f is a continuous function.
Zhang et al. [15] proposed a finite difference method for the model problem (8)–(10), but the error analysis is under sufficient solution regularity, while it is well-known that the solution typically exhibits some weak initial singularity for the time-fractional derivative problem [17]. Hence, the aim of this paper is to provide a detailed error analysis under the realistic assumption that the solution has weakly singular solutions. It should be noted that, recently, some papers have taken the weak singularity under consideration, such as [18,19,20]. The work [18] proposed a compact difference method for time-fractional BSE, and ref. [19] proposed two higher-order compact difference methods for time-fractional BSE; both of the two works used the L1 scheme for the discretization of the time-fractional derivative. The work [20] proposed a fast scheme with variable time steps for the time-fractional BSE, where they used Alikhanov’s scheme for approximation of the time-fractional derivative.
The main contributions of this paper are as follows:
  • We employ the L1 scheme on a graded mesh to compensate for the weak singularity at initial time.
  • A discrete comparison principle is established for the fully discrete scheme.
  • Stability and convergence of the fully discrete scheme in maximum norm are presented by constructing some barrier functions.
  • An α -robust pointwise error estimate of the fully discrete scheme on a uniform mesh is established.
The paper is outlined as follows: In Section 2, we construct a finite difference scheme for the problem (8)–(10). A discrete comparison principle of the fully discrete scheme is given in Section 3, and based on it the stability of the fully discrete scheme is presented in Section 4 by constructing some appropriate barrier functions. The convergence of the fully discrete scheme in maximum norm is proved in Section 5. Section 6 is devoted to giving an α -robust pointwise error estimate of the scheme on a uniform mesh. Some numerical results are presented in Section 7. Finally, the paper ends with a conclusion in Section 8.
Notation: Throughout the work, C denotes a generic constant, it may have different values in various contexts, but it is always independent of the mesh sizes.

2. A Finite Difference Scheme

Given two positive integers M and N, we partition the space and time intervals [ x l , x r ] and [ 0 , T ] into M and N parts, respectively, with the mesh points x l = x 0 < x 1 < < x M = x r and 0 = t 0 < t 1 < < t N = T . In this paper, we choose x i = x 0 + i h for 0 i M with spatial step size h = ( x r x l ) / M and t n = T ( n / N ) r for 0 n N , with r 1 as the grading parameter which can be chosen by the user. We designate τ n = t n t n 1 for n 1 . We denote u i n as the approximation of the exact solution u ( x i , t n ) for all admissible i and n.
For discretizations of the spatial derivatives 2 u x 2 and u x , we use the well-known second-order central difference formulas, viz., calculated as follows:
2 u ( x i , t n ) x 2 δ x 2 u i n : = u i + 1 n 2 u i n + u i 1 n h 2 ,
and
u ( x i , t n ) x δ x u i n : = u i + 1 n u i 1 n 2 h .
For the approximation of the Gerasimov-Caputo fractional derivative D t α u ( x i , t n ) , a widely used method is the L1 scheme, which uses piecewise linear interpolation to approximate the solution (see the review article [21] for more details), written as follows:
δ t α u i n : = d n , 0 u i n d n , n 1 u i 0 j = 1 n 1 ( d n , j 1 d n , j ) u i n j ,
where
d n , j = ( t n t n j 1 ) 1 α ( t n t n j ) 1 α Γ ( 2 α ) τ n j for 0 j n 1 .
Note that d n , 0 = τ n α / Γ ( 2 α ) , and one can easily verify the following:
d n , j 1 > d n , j for all admissible n and j
by the mean value theorem.
Now we have the following discrete problem to approximate the continuous problem (8)–(10):
L M , N u i n : = δ t α u i n a δ x 2 u i n b δ x u i n + c u i n = f ( x i , t n ) for n = 1 , , N , 1 i M 1 ,
u i 0 = ϕ ( x i ) for 0 i M ,
u 0 n = 0 , u M n = 0 for 0 < n N

3. A Discrete Comparison Principle

In [22], the authors established a discrete comparison principle for a time-fractional diffusion problem. In the following theorem, we extend the discrete comparison principle to the discrete problem (12)–(13) with an extra convection term.
Theorem 1.
Suppose f 0 and ϕ 0 . Then for small h, we have the following:
u i n 0 for 0 i M , 0 n N .
Proof. 
We imitate the proof of ([22], Theorem 2.1). Suppose there are some i and n such that u i n < 0 . Let n ^ denote the minimal value of n for which there exists some i such that u i n ^ < 0 . Then select i ^ for which u i n ^ u i ^ n ^ holds for all i. It is clear that u i ^ n ^ < 0 ; also from the boundary conditions u 0 n = u M n = 0 and initial condition u i 0 = ϕ ( x i ) 0 , we know that 1 i ^ M 1 and 1 n ^ N . Then from (12), one has the following:
d n ^ , 0 + 2 a h 2 + c u i ^ n ^ = a h 2 + b 2 h u i ^ + 1 n ^ + a h 2 b 2 h u i ^ 1 n ^ + f ( x i ^ , t n ^ ) + d n ^ , n ^ 1 u i ^ 0 + j = 1 n ^ 1 ( d n ^ , j 1 d n ^ , j ) u i ^ n ^ j .
Now by the definition of n ^ , one has u i n 0 for all n < n ^ and all i. Also one has u i n ^ u i ^ n ^ for all i, owing to the selection of i ^ . Using these inequalities and a > 0 , for small h, from (15) we have the following:
d n ^ , 0 + 2 a h 2 + c u i ^ n ^ a h 2 + b 2 h u i ^ n ^ + a h 2 b 2 h u i ^ n ^ + f ( x i ^ , t n ^ ) = 2 a h 2 u i ^ n ^ + f ( x i ^ , t n ^ ) ,
which reduces to
d n ^ , 0 + c u i ^ n ^ f ( x i ^ , t n ^ ) .
Then by c 0 , d n ^ , 0 > 0 , f 0 , one concludes that u i ^ n ^ 0 , which contradicts the assumption that u i ^ n ^ < 0 . Thus the lemma is true. □

4. A Barrier Function and Stability

We define the positive stability multipliers as follows:
θ n , n = 1 , θ n , j = k = 1 n j d n j , 0 1 ( d n , k 1 d n , k ) θ n k , j for 1 j n 1 .
From Lemma 2.3 [23], we have the following lemma.
Lemma 1.
For any mesh function { ϕ j } j = 0 N , set η 0 = ϕ 0 , and η n = ϕ 0 + d n , 0 1 j = 1 n θ n , j ϕ j for n = 1 , , N . Then one has the following:
δ t α η n = ϕ n for n = 1 , , N .
For the properties of the stability multipliers, from ([24], Corollary 5.4), we have the following:
Lemma 2.
For n = 1 , , N , one has the following:
d n , 0 1 j = 1 n θ n , j t n α Γ ( 1 + α ) .
For any mesh function { v i } i = 0 M , we define the following:
v : = max 0 i M | v i | .
Then we have the following stability theorem:
Theorem 2.
For the solution of the discrete problem (12)–(13), one has, for n = 1 , , N , the following:
u n u 0 + d n , 0 1 j = 1 n θ n , j f j u 0 + t n α Γ ( 1 + α ) max 1 j n f j .
Proof. 
We construct a barrier function B i n as follows: set B 0 n = B M n = 0 for all n, and set B i 0 = u 0 , B i n = u 0 + d n , 0 1 j = 1 n θ n , j f j for i = 1 , , M 1 . Then using Lemma 1 and c 0 , we have the following:
L M , N B i n = δ t α B i n + c B i n = f n + c B i n f ( x i , t n ) .
Thus, by the discrete comparison principle, one has u i n B i n . Similarly, using f n f ( x i , t n ) , we obtain u i n B i n . Hence, one has | u i n | B i n for all i and n. On the other hand, one has the following:
B i n = u 0 + d n , 0 1 j = 1 n θ n , j f j u 0 + max 1 j n f j d n , 0 1 j = 1 n θ n , j u 0 + t n α Γ ( 1 + α ) max 1 j n f j ,
where we have used Lemma 2 to deduce the last inequality. Clearly, u n B n , the proof is completed. □

5. Convergence

We first need a lemma on the truncation error of L1 scheme.
Lemma 3
([6], Lemma 3.4). Assume that | t l u ( t ) | C t α l for l = 0 , 1 , 2 . Then we obtain the following:
| D t α u ( t n ) δ t α u ( t n ) | C ( t 1 / t n ) min { α + 1 , ( 2 α ) / r } , n = 1 , , N .
Set the following:
N γ n : = t 1 t n α 1 if γ > 0 , t 1 t n α 1 [ 1 + ln ( t n / t 1 ) ] if γ = 0 , t 1 t n α 1 ( t 1 / t n ) γ if γ < 0 .
Then the following lemma is valid:
Lemma 4
([25], Lemma 2.5). Set ψ 0 = 0 and the following:
ψ n = d n , 0 1 j = 1 n θ n , j ( t 1 / t j ) γ + 1 for n = 1 , , N .
Then we obtain the following:
ψ n C N γ n for n = 1 , , N ,
where C is a positive constant.
Now we obtain the following convergence result:
Theorem 3.
Let e i n : = u ( x i , t n ) u i n . Then one has the following:
e n C ( h 2 + E N n ) , n = 1 , , N ,
where
E N n : = N r t n α 1 if 1 r < 2 α , N α 2 t n α 1 [ 1 + ln ( t n / t 1 ) ] if r = 2 α , N α 2 t n α ( 2 α ) / r if r > 2 α .
Proof. 
One has L M , N e i n = r i n , where r i n is the truncation error. As the spatial truncation error is second-order, from Lemma 3, we know that r n C h 2 + ( t 1 / t n ) min { α + 1 , ( 2 α ) / r } . Then similar as the proof of Theorem 2, noting that e 0 = 0 , we have the following:
e n d n , 0 1 j = 1 n θ n , j r j C d n , 0 1 j = 1 n θ n , j h 2 + C d n , 0 1 j = 1 n θ n , j ( t 1 / t j ) min { α + 1 , ( 2 α ) / r } C h 2 + C N γ n ,
where γ : = min { α + 1 , ( 2 α ) / r } 1 and we have used Lemmas 2 and 4 to obtain the last inequality. It remains to prove that N γ n C E N n .
Case 1: 1 r < 2 α . Now γ > 0 , using t 1 = T N r , one has N γ n = t 1 t n α 1 C N r t n α 1 .
Case 2: r = 2 α . Now γ = 0 , then N γ n = t 1 t n α 1 [ 1 + ln ( t n / t 1 ) ] C N α 2 t n α 1 [ 1 + ln ( t n / t 1 ) ] using t 1 = T N r .
Case 3: r > 2 α . Now γ < 0 , then N γ n = t 1 t n α 1 ( t 1 / t n ) ( 2 α ) / r 1 = t 1 ( 2 α ) / r t n α ( 2 α ) / r C N α 2 t n α ( 2 α ) / r using t 1 = T N r . Thus we obtain the desired result. □

6. α -Robust Pointwise Error Estimate on Uniform Mesh

One can see that there is a constant C in Lemma 4, which is based on the analysis of [6]. However, if one carefully checks the proof of ([6], Theorem 2.1), one can see that the constant C in Lemma 4 contains the factor Γ ( 1 α ) , which will blow up when α 1 . In this section, we give an α -robust pointwise error estimate on a uniform mesh. We call the constant C  α -robust if it does not blow up when α 1 .
Now on uniform mesh, with the time step τ = T / N , the L1 scheme becomes the following:
δ t α u i n : = d 0 u i n d n 1 u i 0 j = 1 n 1 ( d j 1 d j ) u i n j ,
where
d j = ( j + 1 ) 1 α j 1 α Γ ( 2 α ) τ α for j 0 .
Note that d 0 = 1 Γ ( 2 α ) τ α and d j = d n , j on uniform mesh. Now the stability multipliers becomes the following:
θ 0 = 1 , θ j = d 0 1 k = 1 j ( d k 1 d k ) θ j k for j 1 .
Note here θ n j = θ n , j on uniform mesh. One can easily see that the definition of θ j is the same as ([26], Equation (4.6)). Then we have the following:
Lemma 5
([26], Lemma 2). For j 1 , one has the following:
θ j < ( j + 1 ) α 1 .
Given a positive integer n for β 0 , we define the following:
K β , n : = 1 + 1 n 1 β β 1 if β 1 , 1 + ln n if β = 1 .
It is easy to verify that K β , n is strictly decreasing for the variable β and lim β 1 K β , n = K 1 , n .
By Lemma 5, from ([27], Lemma 9), we have the following:
Lemma 6.
Let β 0 . For n = 1 , , one has the following:
j = 1 n j β θ n j K β , n 2 n 2 α 1 + K 1 α , n 2 n 2 β .
On uniform mesh, i.e., r = 1 , from Lemma 3, the truncation error of L1 scheme is | R n : = D t α u ( t n ) δ t α u ( t n ) | C n min { α + 1 , 2 α } . Then we have the following lemma:
Lemma 7.
Let ρ : = min { α + 1 , 2 α } . For n = 1 , , N , one has the following:
d 0 1 j = 1 n θ n j | R j | C K ρ , n 2 τ α n α 1 = C K ρ , n 2 τ t n α 1 ,
where C is α-robust.
Proof. 
Note that d 0 1 = Γ ( 2 α ) τ α , by Lemma 6, we obtain the following:
d 0 1 j = 1 n θ n j | R j | C τ α j = 1 n θ n j j ρ
C τ α K ρ , n 2 n 2 α 1 + K 1 α , n 2 n 2 ρ
C τ α K ρ , n 2 n α 1 + n α ρ ,
where we have used K 1 α , n 2 C n α to deduce the last inequality. Finally, noting that ρ > 1 and t n = n τ , the desired result follows. □
Theorem 4.
Let ρ : = min { α + 1 , 2 α } . For the errors e i n : = u ( x i , t n ) u i n on uniform mesh, one has the following:
e n C ( h 2 + K ρ , n 2 τ t n α 1 ) , n = 1 , , N ,
where C is α-robust.
Proof. 
Following the proof of Theorem 3, substituting Lemma 7 into (18), one obtains the desired result. □

7. Numerical Experiments

Example 1.
Let Ω = ( 0 , 1 ) , T = 1 , a = 1 / 32 , b = 0.05 a , c = 0.05 . Suppose the problem (8)–(10) has an exact solution, written as follows:
u ( x , t ) = ( 1 + t α ) x 2 ( 1 x )
which exhibits a typical weak singularity at the initial time. The function f can be computed by (8).
We define E G : = max 1 n N u ( t n ) u n as global errors and E L : = u ( t N ) u N as local errors. As the spatial accuracy is well-known, here we just show the convergence in the time direction. To test the temporal accuracy, we take M = 10,000 to eliminate the contamination of the spatial errors. Table 1, Table 2, Table 3, Table 4, Table 5 and Table 6 show the convergence orders of the global errors and local errors; one can see the convergence order of the global error is O ( N min { r α , 2 α } ) , while the local error can attain the optimal convergence order 2 α under milder grading parameters (e.g., one just takes r = 2 ). This is consistent with Theorem 3.
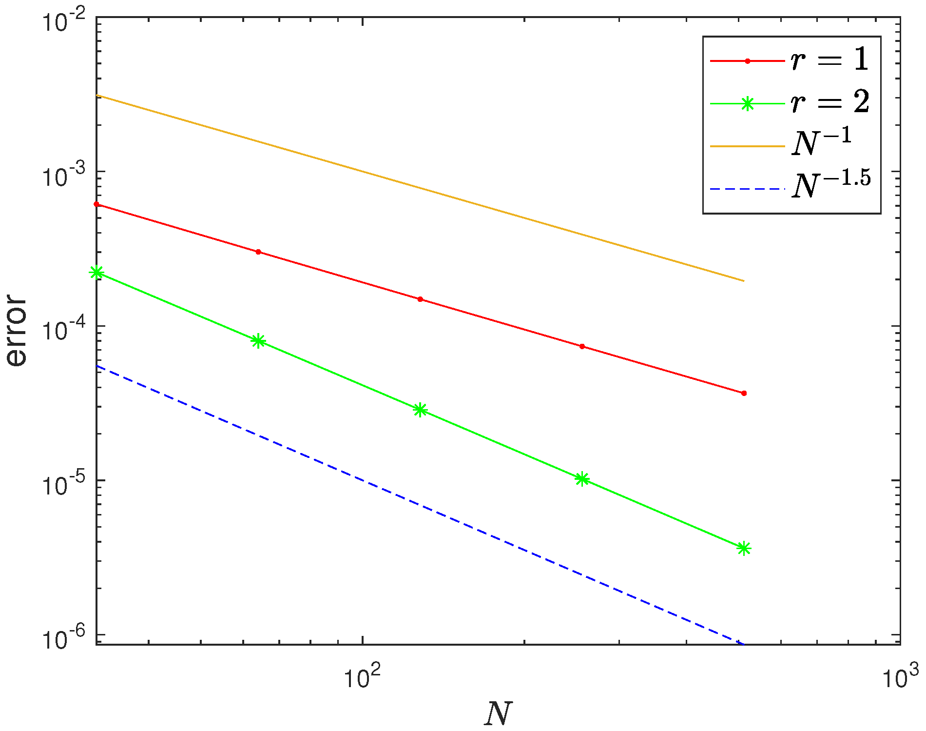
Table 7 presents the comparison of the computational cost of the numerical scheme between the case r = 1 and the case r = 2 , where we take M = 10,000 and N = 1000 to compute the local error of our scheme. From which one can see that the CPU times are comparable between the uniform mesh ( r = 1 ) and graded mesh ( r = 2 ) , but the latter attains higher convergence rates. Figure 1 shows the convergence rates in the case α = 0.5 for uniform mesh ( r = 1 ) and graded mesh ( r = 2 ) , and it is clear that the case r = 2 has a higher convergence rate.
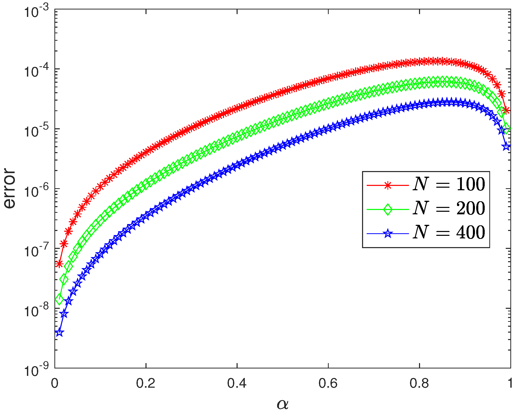
In Table 4, it is interesting to see that the local errors increase as α increases, so we test the local errors for various α between ( 0 , 1 ) , and the results are presented in Figure 2. From this figure, we can see that the errors increase when α increases (this is natural as the convergence rates worsen as α increases), but when α approaches 1 , the errors then decrease (at present we do not know why).
Example 2.
Let Ω = ( 0 , 1 ) , T = 1 , a = 1 / 32 , b = 0.05 a , c = 0.05 , the function f = 0 , the initial condition ϕ ( x ) = sin ( x ) .
Since the exact solution to Example 2 is unknown, we use the two-mesh principle in [28] to estimate the convergence rates of our computed solutions. The local differences D L N of the two-mesh are defined by the following:
D L N = u N w 2 N ,
where w i n with 0 n 2 N is computed on a second temporal mesh t n = T ( n / 2 N ) r with the same mesh of u i n in space. The estimate convergence rates are computed by the following:
log 2 ( D L N D L 2 N ) .
We also take M = 10 , 000 to eliminate the contamination of the spatial errors. Table 8, Table 9 and Table 10 present the two-mesh differences and convergence orders for Example 2 with difference choice of r, which agrees with our theoretical prediction, i.e., just choosing r = 2 , the optimal convergence order 2 α is obtained.

8. Conclusions

In this work, a fully discrete finite difference scheme for a time-fractional Black-Scholes equation with weakly singular solutions is established, and a pointwise error estimate of the fully discrete scheme is given by using a discrete comparison principle. It should be noted that we used the L1 scheme for the discretization of the time-fractional derivative, which at most attains a 2 α convergence rate, so future work may involve how to construct some higher-order schemes and establish their associated stability and convergence.

Author Contributions

Investigation: H.C. and T.S.; writing—original draft preparation: Q.L. and H.C.; writing—review and editing: Q.L., C.H., T.S., and H.C. All authors have read and agreed to the published version of the manuscript.

Funding

The research is supported in part by Natural Science Foundation of Shandong Province, China under grant ZR2023MA077, the National Natural Science Foundation of China (Nos. 11801026 and 12171141), and the Support Plan for Outstanding Youth Innovation Team in Shandong Higher Education Institutions under grant 2022KJ184.

Data Availability Statement

The data are available from the corresponding author upon reasonable request.

Conflicts of Interest

The authors declare no conflicts of interest.

References

  1. Black, F.; Scholes, M. The pricing of options and corporate liabilities. J. Polit. Econ. 1973, 81, 637–654. [Google Scholar] [CrossRef]
  2. Merton, R.C. Theory of rational option pricing. Bell J. Econ. Manag. Sci. 1973, 4, 141–183. [Google Scholar] [CrossRef]
  3. Carr, P.; Wu, L. The finite moment log stable process and option pricing. J. Financ. 2003, 58, 753–777. [Google Scholar] [CrossRef]
  4. Stynes, M.; O’Riordan, E.; Gracia, J.L. Error analysis of a finite difference method on graded meshes for a time-fractional diffusion equation. SIAM J. Numer. Anal. 2017, 55, 1057–1079. [Google Scholar] [CrossRef]
  5. Liao, H.l.; Li, D.; Zhang, J. Sharp error estimate of the nonuniform L1 formula for linear reaction-subdiffusion equations. SIAM J. Numer. Anal. 2018, 56, 1112–1133. [Google Scholar] [CrossRef]
  6. Kopteva, N.; Meng, X. Error analysis for a fractional-derivative parabolic problem on quasi-graded meshes using barrier functions. SIAM J. Numer. Anal. 2020, 58, 1217–1238. [Google Scholar] [CrossRef]
  7. Kopteva, N. Error analysis of an L2-type method on graded meshes for a fractional-order parabolic problem. Math. Comp. 2021, 90, 19–40. [Google Scholar] [CrossRef]
  8. Jin, B.; Lazarov, R.; Zhou, Z. Numerical methods for time-fractional evolution equations with nonsmooth data: A concise overview. Comput. Methods Appl. Mech. Engrg. 2019, 346, 332–358. [Google Scholar] [CrossRef]
  9. Yang, X.; Zhang, Z. Superconvergence analysis of a robust orthogonal Gauss collocation method for 2D fourth-order subdiffusion equations. J. Sci. Comput. 2024, 100, 62. [Google Scholar] [CrossRef]
  10. Yang, X.; Zhang, Z. Analysis of a new NFV scheme preserving DMP for two-dimensional sub-diffusion equation on distorted meshes. J. Sci. Comput. 2024, 99, 80. [Google Scholar] [CrossRef]
  11. Yang, X.; Zhang, Z. On conservative, positivity preserving, nonlinear FV scheme on distorted meshes for the multi-term nonlocal Nagumo-type equations. Appl. Math. Lett. 2024, 150, 108972. [Google Scholar] [CrossRef]
  12. Jin, B.; Quan, Q.; Wohlmuth, B.; Zhou, Z. Regularity analysis and high-order time stepping scheme for quasilinear subdiffusion. SIAM J. Numer. Anal. 2025, 63, 1512–1539. [Google Scholar] [CrossRef]
  13. López-Fernández, M.; Pł ociniczak, L.u. Convolution quadrature for the quasilinear subdiffusion equation. SIAM J. Numer. Anal. 2025, 63, 1482–1511. [Google Scholar] [CrossRef]
  14. Chen, W.; Xu, X.; Zhu, S.P. Analytically pricing double barrier options based on a time-fractional Black-Scholes equation. Comput. Math. Appl. 2015, 69, 1407–1419. [Google Scholar] [CrossRef]
  15. Zhang, H.; Liu, F.; Turner, I.; Yang, Q. Numerical solution of the time fractional Black-Scholes model governing European options. Comput. Math. Appl. 2016, 71, 1772–1783. [Google Scholar] [CrossRef]
  16. Wilmott, P.; Dewynne, J.; Howison, S. Option Pricing: Mathematical Models and Computation; Financial Press: Oxford, UK, 1995. [Google Scholar]
  17. Stynes, M. Too much regularity may force too much uniqueness. Fract. Calc. Appl. Anal. 2016, 19, 1554–1562. [Google Scholar] [CrossRef]
  18. Gu, J.; Nong, L.; Yi, Q.; Chen, A. Compact difference schemes with temporal uniform/non-uniform meshes for time-fractional Black-Scholes equation. Fractal Fract. 2023, 7, 340. [Google Scholar] [CrossRef]
  19. Gu, J.; Nong, L.; Yi, Q.; Chen, A. Two high-order compact difference schemes with temporal graded meshes for time-fractional Black-Scholes equation. Netw. Heterog. Media 2023, 18, 1692–1712. [Google Scholar] [CrossRef]
  20. Song, K.; Lyu, P. A high-order and fast scheme with variable time steps for the time-fractional Black-Scholes equation. Math. Methods Appl. Sci. 2023, 46, 1990–2011. [Google Scholar] [CrossRef]
  21. Stynes, M. A survey of the L1 scheme in the discretisation of time-fractional problems. Numer. Math. Theory Methods Appl. 2022, 15, 1173–1192. [Google Scholar] [CrossRef]
  22. Chen, H.; Stynes, M. A discrete comparison principle for the time-fractional diffusion equation. Comput. Math. Appl. 2020, 80, 917–922. [Google Scholar] [CrossRef]
  23. Chen, H.; Stynes, M. Using complete monotonicity to deduce local error estimates for discretisations of a multi-term time-fractional diffusion equation. Comput. Methods Appl. Math. 2022, 22, 15–29. [Google Scholar] [CrossRef]
  24. Chen, H.; Stynes, M. Blow-up of error estimates in time-fractional initial-boundary value problems. IMA J. Numer. Anal. 2021, 41, 974–997. [Google Scholar] [CrossRef]
  25. Chen, H.; Chen, M.; Sun, T.; Tang, Y. Local error estimate of L1 scheme for linearized time fractional KdV equation with weakly singular solutions. Appl. Numer. Math. 2022, 179, 183–190. [Google Scholar] [CrossRef]
  26. Gracia, J.L.; O’Riordan, E.; Stynes, M. Convergence in positive time for a finite difference method applied to a fractional convection-diffusion problem. Comput. Methods Appl. Math. 2018, 18, 33–42. [Google Scholar] [CrossRef]
  27. Cao, D.; Chen, H. Sharp error estimate of Grünwald-Letnikov scheme for a multi-term time fractional diffusion equation. Adv. Comput. Math. 2022, 48, 82. [Google Scholar] [CrossRef]
  28. Farrell, P.A.; Hegarty, A.F.; Miller, J.J.H.; O’Riordan, E.; Shishkin, G.I. Robust Computational Techniques for Boundary Layers; Applied Mathematics (Boca Raton); Chapman & Hall/CRC: Boca Raton, FL, USA, 2000; Volume 16, pp. xvi+254. [Google Scholar]
Figure 1. Local errors vs. N for Example 1 in the case α = 0.5 .
Figure 1. Local errors vs. N for Example 1 in the case α = 0.5 .
Fractalfract 09 00665 g001
Figure 2. Local errors for Example 1 with respect to α in the case r = 2 .
Figure 2. Local errors for Example 1 with respect to α in the case r = 2 .
Fractalfract 09 00665 g002
Table 1. Global errors and orders of convergence for Example 1 when r = 1 .
Table 1. Global errors and orders of convergence for Example 1 when r = 1 .
N α = 0.3 α = 0.5 α = 0.7
E G order E G order E G order
328.3580e-03 5.2216e-03 2.3272e-03
646.9637e-030.26333.7715e-030.46941.4534e-030.6792
1285.7786e-030.26922.7078e-030.47809.0267e-040.6872
2564.7781e-030.27431.9356e-030.48435.5871e-040.6921
5123.9389e-030.27871.3793e-030.48893.4508e-040.6951
Table 2. Local errors and orders of convergence for Example 1 when r = 1 .
Table 2. Local errors and orders of convergence for Example 1 when r = 1 .
N α = 0.3 α = 0.5 α = 0.7
E L order E L order E L order
323.7167e-04 6.1436e-04 8.1037e-04
641.8055e-041.04163.0158e-041.02654.1087e-040.9799
1288.8394e-051.03041.4884e-041.01882.0783e-040.9833
2564.3511e-051.02267.3738e-051.01331.0493e-040.9860
5122.1501e-051.01703.6629e-051.00945.2890e-050.9883
Table 3. Global errors and orders of convergence for Example 1 when r = 2 .
Table 3. Global errors and orders of convergence for Example 1 when r = 2 .
N α = 0.3 α = 0.5 α = 0.7
E G order E G order E G order
323.2386e-03 9.8321e-04 5.1910e-04
642.1759e-030.57384.9895e-040.97862.2076e-041.2336
1281.4530e-030.58262.5133e-040.98939.2331e-051.2576
2569.6628e-040.58851.2613e-040.99473.8193e-051.2735
5126.4087e-040.59246.3181e-050.99731.5688e-051.2837
Table 4. Local errors and orders of convergence for Example 1 when r = 2 .
Table 4. Local errors and orders of convergence for Example 1 when r = 2 .
N α = 0.3 α = 0.5 α = 0.7
E L order E L order E L order
326.9596e-05 2.2246e-04 4.4467e-04
642.1893e-051.66868.0014e-051.47521.8371e-041.2753
1286.8617e-061.67382.8634e-051.48257.5365e-051.2855
2562.1437e-061.67841.0211e-051.48763.0792e-051.2913
5126.6803e-071.68213.6321e-061.49121.2551e-051.2948
Table 5. Global errors and orders of convergence for Example 1 when r = ( 2 α ) / α .
Table 5. Global errors and orders of convergence for Example 1 when r = ( 2 α ) / α .
N α = 0.3 α = 0.5 α = 0.7
E G order E G order E G order
322.2028e-04 3.6850e-04 5.6799e-04
647.2913e-051.59511.3701e-041.42732.4816e-041.1946
1282.3854e-051.61205.0082e-051.45201.0634e-041.2226
2567.7289e-061.62591.8119e-051.46684.4923e-051.2431
5122.4834e-061.63796.5144e-061.47581.8784e-051.2579
Table 6. Local errors and orders of convergence for Example 1 when r = ( 2 α ) / α .
Table 6. Local errors and orders of convergence for Example 1 when r = ( 2 α ) / α .
N α = 0.3 α = 0.5 α = 0.7
E L order E L order E L order
321.7309e-04 2.6854e-04 4.4354e-04
645.5981e-051.62859.6176e-051.48141.8426e-041.2673
1281.7938e-051.64193.4330e-051.48627.5940e-051.2788
2565.6950e-061.65521.2225e-051.48973.1140e-051.2861
5121.7765e-061.68074.3453e-061.49231.2728e-051.2908
Table 7. CPU computation times of local errors between r = 1 and r = 2 for Example 1.
Table 7. CPU computation times of local errors between r = 1 and r = 2 for Example 1.
α CPU Time for r = 1 (s)CPU Time for r = 2 (s)
0.37.0667.162
0.56.8867.140
0.76.3647.257
Table 8. Local differences D L N and orders of convergence for Example 2 when r = 1 .
Table 8. Local differences D L N and orders of convergence for Example 2 when r = 1 .
N α = 0.3 α = 0.5 α = 0.7
D L N order D L N order D L N order
101.4425e-03 2.6619e-03 4.1485e-03
206.8909e-041.06581.2611e-031.07781.9866e-031.0623
403.3586e-041.03686.0918e-041.04989.6206e-041.0461
801.6547e-041.02132.9770e-041.03304.6948e-041.0351
1608.2023e-051.01251.4655e-041.02252.3033e-041.0274
Table 9. Local differences D L N and orders of convergence for Example 2 when r = 2 .
Table 9. Local differences D L N and orders of convergence for Example 2 when r = 2 .
N α = 0.3 α = 0.5 α = 0.7
D L N order D L N order D L N order
105.8830e-04 1.7907e-03 3.9057e-03
201.8369e-041.67936.4328e-041.47701.6191e-031.2704
405.7613e-051.67282.3082e-041.47876.6566e-041.2823
801.8052e-051.67428.2593e-051.48272.7247e-041.2887
1605.6425e-061.67782.9469e-051.48681.1122e-041.2927
Table 10. Local differences D L N and orders of convergence for Example 2 when r = ( 2 α ) / α .
Table 10. Local differences D L N and orders of convergence for Example 2 when r = ( 2 α ) / α .
N α = 0.3 α = 0.5 α = 0.7
D L N order D L N order D L N order
101.1832e-03 2.1661e-03 3.8024e-03
203.7893e-041.64277.6708e-041.49771 1.5835e-031.2638
401.2181e-041.63732.7211e-041.49526.5428e-041.2751
803.9009e-051.64289.6643e-051.49352.6902e-041.2822
1601.2456e-051.64703.4325e-051.49341.1022e-041.2873
Disclaimer/Publisher’s Note: The statements, opinions and data contained in all publications are solely those of the individual author(s) and contributor(s) and not of MDPI and/or the editor(s). MDPI and/or the editor(s) disclaim responsibility for any injury to people or property resulting from any ideas, methods, instructions or products referred to in the content.

Share and Cite

MDPI and ACS Style

Li, Q.; Huang, C.; Sun, T.; Chen, H. Analysis of a Finite Difference Method for a Time-Fractional Black–Scholes Equation. Fractal Fract. 2025, 9, 665. https://doi.org/10.3390/fractalfract9100665

AMA Style

Li Q, Huang C, Sun T, Chen H. Analysis of a Finite Difference Method for a Time-Fractional Black–Scholes Equation. Fractal and Fractional. 2025; 9(10):665. https://doi.org/10.3390/fractalfract9100665

Chicago/Turabian Style

Li, Qingzhao, Chaobao Huang, Tao Sun, and Hu Chen. 2025. "Analysis of a Finite Difference Method for a Time-Fractional Black–Scholes Equation" Fractal and Fractional 9, no. 10: 665. https://doi.org/10.3390/fractalfract9100665

APA Style

Li, Q., Huang, C., Sun, T., & Chen, H. (2025). Analysis of a Finite Difference Method for a Time-Fractional Black–Scholes Equation. Fractal and Fractional, 9(10), 665. https://doi.org/10.3390/fractalfract9100665

Article Metrics

Back to TopTop